These Highlights Do Not Include All The Information Needed To Use Meclizine Hydrochloride Safely And Effectively. See Full Prescribing Information For Meclizine Hydrochloride.

These Highlights Do Not Include All The Information Needed To Use Meclizine Hydrochloride Safely And Effectively. See Full Prescribing Information For Meclizine Hydrochloride.
SPL v8
SPL
SPL Set ID 21d4a6ee-0a66-45d7-bab9-c5eef399713d
Route
ORAL
Published
Effective Date 2025-07-30
Document Type 34391-3 HUMAN PRESCRIPTION DRUG LABEL

Drug Facts

Composition & Product

Active Ingredients
Meclizine (25 mg)
Inactive Ingredients
Starch, Corn Sucrose Water Polyethylene Glycol, Unspecified Magnesium Stearate Anhydrous Dibasic Calcium Phosphate Fd&c Yellow No. 6 D&c Yellow No. 10

Identifiers & Packaging

Pill Appearance
Imprint: 49;L Shape: oval Color: yellow Size: 13 mm Score: 1
Marketing Status
NDA AUTHORIZED GENERIC Completed Since 2023-08-02 Until 2023-12-05

Description

Meclizine hydrochloride is indicated for the treatment of vertigo associated with diseases affecting the vestibular system in adults.

Indications and Usage

Meclizine hydrochloride is indicated for the treatment of vertigo associated with diseases affecting the vestibular system in adults.

Dosage and Administration

Recommended dosage: 25 mg to 100 mg daily, in divided doses ( 2.1 ). Tablets: Swallow whole ( 2.2 ). Chewable Tablets: Must be chewed or crushed before swallowing; do not swallow whole ( 2.2 ).

Warnings and Precautions

May cause drowsiness: Use caution when driving a car or operating dangerous machinery ( 5.1 ). Potential anticholinergic action: this drug should be prescribed with care to patients with a history of asthma, glaucoma, or enlargement of the prostate gland ( 5.2 ).

Contraindications

Meclizine hydrochloride is contraindicated in patients with a hypersensitivity to meclizine or any of the inactive ingredients [see Adverse Reactions (6) and Description (11) ] .

Adverse Reactions

The following adverse reactions associated with the use of meclizine hydrochloride were identified in clinical studies or postmarketing reports. Because some of these reactions were reported voluntarily from a population of uncertain size, it is not always possible to reliably estimate their frequency or establish a causal relationship to drug exposure. Anaphylactic reaction, drowsiness, dry mouth, headache, fatigue, and vomiting. On rare occasions blurred vision has been reported.

Drug Interactions

Coadministration of meclizine hydrochloride with other CNS depressants, including alcohol, may result in increased CNS depression ( 7.1 ). CYP2D6 inhibitors: As meclizine is metabolized by CYP2D6, there is a potential for drug-drug interactions between meclizine hydrochloride and CYP2D6 inhibitors ( 7.2 ).

Storage and Handling

Meclizine hydrochloride 25 mg tablets are oval shaped, biconvex, two-layered tablet, one yellow to pale yellow layer debossed with “49” and one white to off white layer debossed with “L”. NDC: 70518-3815-00 NDC: 70518-3815-01 NDC: 70518-3815-02 NDC: 70518-3815-03 NDC: 70518-3815-04 NDC: 70518-3815-05 PACKAGING: 21 in 1 BOTTLE PLASTIC PACKAGING: 30 in 1 BOTTLE PLASTIC PACKAGING; 30 in 1 BLISTER PACK PACKAGING: 90 in 1 BOTTLE PLASTIC PACKAGING: 30 in 1 BOTTLE PLASTIC PACKAGING: 10 in 1 BOTTLE PLASTIC Store at 20oC to 25oC (68oF to 77oF) [See USP Controlled Room Temperature]. Dispense in a tight, light-resistant container (USP). Repackaged and Distributed By: Remedy Repack, Inc. 625 Kolter Dr. Suite #4 Indiana, PA 1-724-465-8762

How Supplied

Meclizine hydrochloride 25 mg tablets are oval shaped, biconvex, two-layered tablet, one yellow to pale yellow layer debossed with “49” and one white to off white layer debossed with “L”. NDC: 70518-3815-00 NDC: 70518-3815-01 NDC: 70518-3815-02 NDC: 70518-3815-03 NDC: 70518-3815-04 NDC: 70518-3815-05 PACKAGING: 21 in 1 BOTTLE PLASTIC PACKAGING: 30 in 1 BOTTLE PLASTIC PACKAGING; 30 in 1 BLISTER PACK PACKAGING: 90 in 1 BOTTLE PLASTIC PACKAGING: 30 in 1 BOTTLE PLASTIC PACKAGING: 10 in 1 BOTTLE PLASTIC Store at 20oC to 25oC (68oF to 77oF) [See USP Controlled Room Temperature]. Dispense in a tight, light-resistant container (USP). Repackaged and Distributed By: Remedy Repack, Inc. 625 Kolter Dr. Suite #4 Indiana, PA 1-724-465-8762


Medication Information

Warnings and Precautions

May cause drowsiness: Use caution when driving a car or operating dangerous machinery ( 5.1 ). Potential anticholinergic action: this drug should be prescribed with care to patients with a history of asthma, glaucoma, or enlargement of the prostate gland ( 5.2 ).

Indications and Usage

Meclizine hydrochloride is indicated for the treatment of vertigo associated with diseases affecting the vestibular system in adults.

Dosage and Administration

Recommended dosage: 25 mg to 100 mg daily, in divided doses ( 2.1 ). Tablets: Swallow whole ( 2.2 ). Chewable Tablets: Must be chewed or crushed before swallowing; do not swallow whole ( 2.2 ).

Contraindications

Meclizine hydrochloride is contraindicated in patients with a hypersensitivity to meclizine or any of the inactive ingredients [see Adverse Reactions (6) and Description (11) ] .

Adverse Reactions

The following adverse reactions associated with the use of meclizine hydrochloride were identified in clinical studies or postmarketing reports. Because some of these reactions were reported voluntarily from a population of uncertain size, it is not always possible to reliably estimate their frequency or establish a causal relationship to drug exposure. Anaphylactic reaction, drowsiness, dry mouth, headache, fatigue, and vomiting. On rare occasions blurred vision has been reported.

Drug Interactions

Coadministration of meclizine hydrochloride with other CNS depressants, including alcohol, may result in increased CNS depression ( 7.1 ). CYP2D6 inhibitors: As meclizine is metabolized by CYP2D6, there is a potential for drug-drug interactions between meclizine hydrochloride and CYP2D6 inhibitors ( 7.2 ).

Storage and Handling

Meclizine hydrochloride 25 mg tablets are oval shaped, biconvex, two-layered tablet, one yellow to pale yellow layer debossed with “49” and one white to off white layer debossed with “L”. NDC: 70518-3815-00 NDC: 70518-3815-01 NDC: 70518-3815-02 NDC: 70518-3815-03 NDC: 70518-3815-04 NDC: 70518-3815-05 PACKAGING: 21 in 1 BOTTLE PLASTIC PACKAGING: 30 in 1 BOTTLE PLASTIC PACKAGING; 30 in 1 BLISTER PACK PACKAGING: 90 in 1 BOTTLE PLASTIC PACKAGING: 30 in 1 BOTTLE PLASTIC PACKAGING: 10 in 1 BOTTLE PLASTIC Store at 20oC to 25oC (68oF to 77oF) [See USP Controlled Room Temperature]. Dispense in a tight, light-resistant container (USP). Repackaged and Distributed By: Remedy Repack, Inc. 625 Kolter Dr. Suite #4 Indiana, PA 1-724-465-8762

How Supplied

Meclizine hydrochloride 25 mg tablets are oval shaped, biconvex, two-layered tablet, one yellow to pale yellow layer debossed with “49” and one white to off white layer debossed with “L”. NDC: 70518-3815-00 NDC: 70518-3815-01 NDC: 70518-3815-02 NDC: 70518-3815-03 NDC: 70518-3815-04 NDC: 70518-3815-05 PACKAGING: 21 in 1 BOTTLE PLASTIC PACKAGING: 30 in 1 BOTTLE PLASTIC PACKAGING; 30 in 1 BLISTER PACK PACKAGING: 90 in 1 BOTTLE PLASTIC PACKAGING: 30 in 1 BOTTLE PLASTIC PACKAGING: 10 in 1 BOTTLE PLASTIC Store at 20oC to 25oC (68oF to 77oF) [See USP Controlled Room Temperature]. Dispense in a tight, light-resistant container (USP). Repackaged and Distributed By: Remedy Repack, Inc. 625 Kolter Dr. Suite #4 Indiana, PA 1-724-465-8762

Description

Meclizine hydrochloride is indicated for the treatment of vertigo associated with diseases affecting the vestibular system in adults.

Section 51945-4

DRUG: Meclizine Hydrochloride

GENERIC: Meclizine Hydrochloride

DOSAGE: TABLET

ADMINSTRATION: ORAL

NDC: 70518-3815-0

NDC: 70518-3815-1

NDC: 70518-3815-2

NDC: 70518-3815-3

NDC: 70518-3815-4

NDC: 70518-3815-5

COLOR: yellow

SHAPE: OVAL

SCORE: No score

SIZE: 13 mm

IMPRINT: 49;L

PACKAGING: 21 in 1 BOTTLE, PLASTIC

PACKAGING: 30 in 1 BOTTLE, PLASTIC

PACKAGING: 30 in 1 BLISTER PACK

PACKAGING: 90 in 1 BOTTLE PLASTIC

PACKAGING: 30 in 1 BOTTLE PLASTIC

PACKAGING: 10 in 1 BOTTLE PLASTIC

ACTIVE INGREDIENT(S):

  • MECLIZINE HYDROCHLORIDE 25mg in 1

INACTIVE INGREDIENT(S):

  • STARCH, CORN
  • SUCROSE
  • WATER
  • POLYETHYLENE GLYCOL, UNSPECIFIED
  • MAGNESIUM STEARATE
  • ANHYDROUS DIBASIC CALCIUM PHOSPHATE
  • FD&C YELLOW NO. 6
  • D&C YELLOW NO. 10

8.1 Pregnancy

Risk Summary

Data from epidemiological studies have not generally indicated a drug-associated risk of major birth defects with meclizine during pregnancy. However, in a published study, an increased incidence of fetal malformations was observed following oral administration of meclizine to pregnant rats during the period of organogenesis, at doses similar to those used clinically.



In the U.S. general population, the estimated background risk of major birth defects and miscarriage in clinically recognized pregnancies is 2-4% and 15-20%, respectively. The background risk of major birth defects and miscarriage for the indicated population is unknown.

Data

Human Data

Epidemiological studies reporting on pregnancies exposed to meclizine have not identified an association between the use of meclizine during pregnancy and an increased risk of major birth defects.

Animal Data

In a published study, oral administration of meclizine (25-250 mg/kg) to pregnant rats during the period of organogenesis resulted in a high incidence of fetal malformations. These effects occurred at doses as low as

25 mg/kg, which is approximately 2 times the maximum recommended human dose (100 mg) on a body surface area (mg/m2) basis.

8.2 Lactation

Risk Summary

There are no data on the presence of meclizine in human milk, the effects on the breastfed infant, or the effects on milk production. The developmental and health benefits of breastfeeding should be considered along with the mother’s clinical need for meclizine hydrochloride and any potential adverse effects on the breastfed infant from meclizine hydrochloride or from the underlying maternal condition.

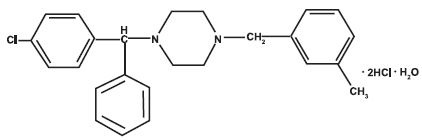
11 Description

Meclizine hydrochloride, a histamine (H1) receptor antagonist, is a white or slightly yellowish, crystalline powder. It has the following structural formula:

Chemically, meclizine hydrochloride is 1-(p-chloro-α-phenylbenzyl)-4-(m-methylbenzyl) piperazine dihydrochloride monohydrate.



Tablets

Inactive ingredients for the tablets are: corn starch; dibasic calcium phosphate; magnesium stearate; polyethylene glycol; sucrose. The 12.5 mg tablets also contain: FD&C Blue # 1. The 25 mg tablets also contain: FD&C Yellow # 6 and D&C Yellow # 10. The 50 mg tablets also contain: FD&C Blue # 1, FD&C Yellow # 6 and D&C Yellow # 10.



Each meclizine hydrochloride 12.5 mg tablet contains 12.5 mg of meclizine dihydrochloride equivalent to 10.53 mg of meclizine free base.

Each meclizine hydrochloride 25 mg tablet contains 25 mg of meclizine dihydrochloride equivalent to 21.07 mg of meclizine free base.

Each meclizine hydrochloride 50 mg tablet contains 50 mg of meclizine dihydrochloride equivalent to 42.14 mg of meclizine free base.



Chewable Tablets

Inactive ingredients for the chewable tablets are: corn starch, colloidal silicon dioxide, FD&C Red # 40, lactose monohydrate, magnesium stearate, raspberry flavor, saccharin sodium, and talc.



Each meclizine hydrochloride 25 mg chewable tablet contains 25 mg of meclizine dihydrochloride equivalent to 21.07 mg of meclizine free base.

5.1 Drowsiness

Since drowsiness may occur with use of meclizine hydrochloride, patients should be warned of this possibility and cautioned against driving a car or operating dangerous machinery.



Patients should avoid alcoholic beverages while taking meclizine hydrochloride [see Drug Interactions (7.1)] .

8.4 Pediatric Use

Safety and effectiveness in pediatric patients have not been established.

8.5 Geriatric Use

In general, dose selection for an elderly patient should be cautious, usually starting at the low end of the dosing range, reflecting the greater frequency of decreased hepatic, renal, or cardiac function, and of concomitant disease or other drug therapy.

4 Contraindications

Meclizine hydrochloride is contraindicated in patients with a hypersensitivity to meclizine or any of the inactive ingredients [see Adverse Reactions (6)and Description (11)] .

6 Adverse Reactions

The following adverse reactions associated with the use of meclizine hydrochloride were identified in clinical studies or postmarketing reports. Because some of these reactions were reported voluntarily from a population of uncertain size, it is not always possible to reliably estimate their frequency or establish a causal relationship to drug exposure.

Anaphylactic reaction, drowsiness, dry mouth, headache, fatigue, and vomiting. On rare occasions blurred vision has been reported.

7 Drug Interactions
  • Coadministration of meclizine hydrochloride with other CNS depressants, including alcohol, may result in increased CNS depression ( 7.1).
  • CYP2D6 inhibitors: As meclizine is metabolized by CYP2D6, there is a potential for drug-drug interactions between meclizine hydrochloride and CYP2D6 inhibitors ( 7.2).
7.1 Cns Depressants

There may be increased CNS depression when meclizine hydrochloride is administered concurrently with other CNS depressants, including alcohol [see Warnings and Precautions (5.1)] .

8.7 Renal Impairment

The effect of renal impairment on the pharmacokinetics of meclizine has not been evaluated. Because of a potential for drug/metabolite accumulation, meclizine hydrochloride should be administered with caution in patients with renal impairment and in the elderly, as renal function generally declines with age.

12.2 Pharmacodynamics

There are no relevant pharmacodynamic data regarding meclizine.

12.3 Pharmacokinetics

The available pharmacokinetic information for meclizine following oral administration has been summarized from published literature.



Absorption

Meclizine is absorbed after oral administration with maximum plasma concentrations reaching at a median T maxvalue of 3 hours post-dose (range: 1.5 to 6 hours) for the tablet dosage form.



Distribution

Drug distribution characteristics for meclizine in humans are unknown.



Elimination

Meclizine has a plasma elimination half-life of about 5-6 hours in humans.



Metabolism

In an in vitrometabolic study using human hepatic microsome and recombinant CYP enzyme, CYP2D6 was found to be the dominant enzyme for metabolism of meclizine.

7.2 Cyp2d6 Inhibitors

Based on in-vitroevaluation, meclizine is metabolized by CYP2D6. Therefore, there is a possibility for a drug interaction between meclizine hydrochloride and CYP2D6 inhibitors. Therefore, monitor for adverse reactions and clinical effect accordingly.

2.1 Recommended Dosage

The recommended dosage is 25 mg to 100 mg daily administered orally, in divided doses, depending upon clinical response.

8.6 Hepatic Impairment

The effect of hepatic impairment on the pharmacokinetics of meclizine has not been evaluated. As meclizine hydrochloride undergoes metabolism, hepatic impairment may result in increased systemic exposure of meclizine. Treatment with meclizine hydrochloride should be administered with caution in patients with hepatic impairment.

1 Indications and Usage

Meclizine hydrochloride is indicated for the treatment of vertigo associated with diseases affecting the vestibular system in adults.

12.1 Mechanism of Action

The precise mechanism by which meclizine exerts its therapeutic effect is unknown but is presumed to involve antagonism of the histamine H1 receptor.

5 Warnings and Precautions
  • May cause drowsiness: Use caution when driving a car or operating dangerous machinery ( 5.1).
  • Potential anticholinergic action: this drug should be prescribed with care to patients with a history of asthma, glaucoma, or enlargement of the prostate gland ( 5.2).
2 Dosage and Administration
  • Recommended dosage: 25 mg to 100 mg daily, in divided doses ( 2.1).
  • Tablets: Swallow whole ( 2.2).
  • Chewable Tablets: Must be chewed or crushed before swallowing; do not swallow whole ( 2.2).
3 Dosage Forms and Strengths

Tablets

  • 25 mg: oval-shaped, biconvex, two-layered tablet, one yellow to pale yellow layer debossed with “49” and one white to off white layer debossed with “L”.

2.2 Administration Instructions

Tablets

Meclizine hydrochloride tablets must be swallowed whole.



Chewable Tablets

Meclizine hydrochloride chewable tablets must be chewed or crushed completely before swallowing. Do not swallow chewable tablets whole.

8.8 Genetic Cyp2d6 Polymorphism

The genetic polymorphism of CYP2D6 that results in poor-, intermediate-, extensive-, and ultrarapid metabolizer phenotypes could contribute to large inter-individual variability in meclizine exposure. Therefore, when meclizine hydrochloride is administered to patients with CYP2D6 polymorphism, monitor for adverse reactions and clinical effect accordingly.

17 Patient Counseling Information

Administration Instructions

Advise patients that the tablets must be swallowed whole, but chewable tablets must be chewed or crushed completely before swallowing [see Dosage and Administration (2.1)] .



Adverse Reactions

Advise patients that meclizine hydrochloride may cause anaphylactic reaction, drowsiness, dry mouth, headache, fatigue, vomiting and, on rare occasions, blurred vision [see Warnings and Precautions (5.1), Adverse Reactions (6)] .

Inform patients that meclizine hydrochloride may impair their ability to engage in potentially dangerous activities, such as operating machinery or vehicles.



Concomitant Drug Interactions

Advise patients regarding medications that should not be taken in combination with meclizine hydrochloride or that may necessitate increased monitoring [see Drug Interactions (7.1, 7.2)] . Inform patients that alcohol may increase adverse reactions.



Concurrent Medical Conditions

Advise patients to notify their healthcare provider about all of their medical conditions, including if they are pregnant or plan to become pregnant or if they are breastfeeding [see Warnings and Precautions (5.2), Use in Specific Populations (8.1, 8.2)] .

Repackaged By / Distributed By: RemedyRepack Inc.

625 Kolter Drive, Indiana, PA 15701

(724) 465-8762

5.2 Concurrent Medical Conditions

Because of its potential anticholinergic action, meclizine hydrochloride should be used with caution in patients with asthma, glaucoma, or enlargement of the prostate gland.

16 How Supplied/storage and Handling

Meclizine hydrochloride 25 mg tablets are oval shaped, biconvex, two-layered tablet, one yellow to pale yellow layer debossed with “49” and one white to off white layer debossed with “L”.

NDC: 70518-3815-00

NDC: 70518-3815-01

NDC: 70518-3815-02

NDC: 70518-3815-03

NDC: 70518-3815-04

NDC: 70518-3815-05

PACKAGING: 21 in 1 BOTTLE PLASTIC

PACKAGING: 30 in 1 BOTTLE PLASTIC

PACKAGING; 30 in 1 BLISTER PACK

PACKAGING: 90 in 1 BOTTLE PLASTIC

PACKAGING: 30 in 1 BOTTLE PLASTIC

PACKAGING: 10 in 1 BOTTLE PLASTIC

Store at 20oC to 25oC (68oF to 77oF) [See USP Controlled Room Temperature].

Dispense in a tight, light-resistant container (USP).

Repackaged and Distributed By:

Remedy Repack, Inc.

625 Kolter Dr. Suite #4 Indiana, PA 1-724-465-8762

13.1 Carcinogenesis, Mutagenesis, impairment of Fertility

Carcinogenesis

Animal studies to assess the carcinogenic potential of meclizine have not been conducted.



Mutagenesis

Genetic toxicology studies of meclizine have not been conducted.



Impairment of Fertility

Animal studies to assess the effects of meclizine on fertility and early embryonic development have not been conducted.


Structured Label Content

Section 51945-4 (51945-4)

DRUG: Meclizine Hydrochloride

GENERIC: Meclizine Hydrochloride

DOSAGE: TABLET

ADMINSTRATION: ORAL

NDC: 70518-3815-0

NDC: 70518-3815-1

NDC: 70518-3815-2

NDC: 70518-3815-3

NDC: 70518-3815-4

NDC: 70518-3815-5

COLOR: yellow

SHAPE: OVAL

SCORE: No score

SIZE: 13 mm

IMPRINT: 49;L

PACKAGING: 21 in 1 BOTTLE, PLASTIC

PACKAGING: 30 in 1 BOTTLE, PLASTIC

PACKAGING: 30 in 1 BLISTER PACK

PACKAGING: 90 in 1 BOTTLE PLASTIC

PACKAGING: 30 in 1 BOTTLE PLASTIC

PACKAGING: 10 in 1 BOTTLE PLASTIC

ACTIVE INGREDIENT(S):

  • MECLIZINE HYDROCHLORIDE 25mg in 1

INACTIVE INGREDIENT(S):

  • STARCH, CORN
  • SUCROSE
  • WATER
  • POLYETHYLENE GLYCOL, UNSPECIFIED
  • MAGNESIUM STEARATE
  • ANHYDROUS DIBASIC CALCIUM PHOSPHATE
  • FD&C YELLOW NO. 6
  • D&C YELLOW NO. 10

8.1 Pregnancy

Risk Summary

Data from epidemiological studies have not generally indicated a drug-associated risk of major birth defects with meclizine during pregnancy. However, in a published study, an increased incidence of fetal malformations was observed following oral administration of meclizine to pregnant rats during the period of organogenesis, at doses similar to those used clinically.



In the U.S. general population, the estimated background risk of major birth defects and miscarriage in clinically recognized pregnancies is 2-4% and 15-20%, respectively. The background risk of major birth defects and miscarriage for the indicated population is unknown.

Data

Human Data

Epidemiological studies reporting on pregnancies exposed to meclizine have not identified an association between the use of meclizine during pregnancy and an increased risk of major birth defects.

Animal Data

In a published study, oral administration of meclizine (25-250 mg/kg) to pregnant rats during the period of organogenesis resulted in a high incidence of fetal malformations. These effects occurred at doses as low as

25 mg/kg, which is approximately 2 times the maximum recommended human dose (100 mg) on a body surface area (mg/m2) basis.

8.2 Lactation

Risk Summary

There are no data on the presence of meclizine in human milk, the effects on the breastfed infant, or the effects on milk production. The developmental and health benefits of breastfeeding should be considered along with the mother’s clinical need for meclizine hydrochloride and any potential adverse effects on the breastfed infant from meclizine hydrochloride or from the underlying maternal condition.

11 Description (11 DESCRIPTION)

Meclizine hydrochloride, a histamine (H1) receptor antagonist, is a white or slightly yellowish, crystalline powder. It has the following structural formula:

Chemically, meclizine hydrochloride is 1-(p-chloro-α-phenylbenzyl)-4-(m-methylbenzyl) piperazine dihydrochloride monohydrate.



Tablets

Inactive ingredients for the tablets are: corn starch; dibasic calcium phosphate; magnesium stearate; polyethylene glycol; sucrose. The 12.5 mg tablets also contain: FD&C Blue # 1. The 25 mg tablets also contain: FD&C Yellow # 6 and D&C Yellow # 10. The 50 mg tablets also contain: FD&C Blue # 1, FD&C Yellow # 6 and D&C Yellow # 10.



Each meclizine hydrochloride 12.5 mg tablet contains 12.5 mg of meclizine dihydrochloride equivalent to 10.53 mg of meclizine free base.

Each meclizine hydrochloride 25 mg tablet contains 25 mg of meclizine dihydrochloride equivalent to 21.07 mg of meclizine free base.

Each meclizine hydrochloride 50 mg tablet contains 50 mg of meclizine dihydrochloride equivalent to 42.14 mg of meclizine free base.



Chewable Tablets

Inactive ingredients for the chewable tablets are: corn starch, colloidal silicon dioxide, FD&C Red # 40, lactose monohydrate, magnesium stearate, raspberry flavor, saccharin sodium, and talc.



Each meclizine hydrochloride 25 mg chewable tablet contains 25 mg of meclizine dihydrochloride equivalent to 21.07 mg of meclizine free base.

5.1 Drowsiness

Since drowsiness may occur with use of meclizine hydrochloride, patients should be warned of this possibility and cautioned against driving a car or operating dangerous machinery.



Patients should avoid alcoholic beverages while taking meclizine hydrochloride [see Drug Interactions (7.1)] .

8.4 Pediatric Use

Safety and effectiveness in pediatric patients have not been established.

8.5 Geriatric Use

In general, dose selection for an elderly patient should be cautious, usually starting at the low end of the dosing range, reflecting the greater frequency of decreased hepatic, renal, or cardiac function, and of concomitant disease or other drug therapy.

4 Contraindications (4 CONTRAINDICATIONS)

Meclizine hydrochloride is contraindicated in patients with a hypersensitivity to meclizine or any of the inactive ingredients [see Adverse Reactions (6)and Description (11)] .

6 Adverse Reactions (6 ADVERSE REACTIONS)

The following adverse reactions associated with the use of meclizine hydrochloride were identified in clinical studies or postmarketing reports. Because some of these reactions were reported voluntarily from a population of uncertain size, it is not always possible to reliably estimate their frequency or establish a causal relationship to drug exposure.

Anaphylactic reaction, drowsiness, dry mouth, headache, fatigue, and vomiting. On rare occasions blurred vision has been reported.

7 Drug Interactions (7 DRUG INTERACTIONS)
  • Coadministration of meclizine hydrochloride with other CNS depressants, including alcohol, may result in increased CNS depression ( 7.1).
  • CYP2D6 inhibitors: As meclizine is metabolized by CYP2D6, there is a potential for drug-drug interactions between meclizine hydrochloride and CYP2D6 inhibitors ( 7.2).
7.1 Cns Depressants (7.1 CNS Depressants)

There may be increased CNS depression when meclizine hydrochloride is administered concurrently with other CNS depressants, including alcohol [see Warnings and Precautions (5.1)] .

8.7 Renal Impairment

The effect of renal impairment on the pharmacokinetics of meclizine has not been evaluated. Because of a potential for drug/metabolite accumulation, meclizine hydrochloride should be administered with caution in patients with renal impairment and in the elderly, as renal function generally declines with age.

12.2 Pharmacodynamics

There are no relevant pharmacodynamic data regarding meclizine.

12.3 Pharmacokinetics

The available pharmacokinetic information for meclizine following oral administration has been summarized from published literature.



Absorption

Meclizine is absorbed after oral administration with maximum plasma concentrations reaching at a median T maxvalue of 3 hours post-dose (range: 1.5 to 6 hours) for the tablet dosage form.



Distribution

Drug distribution characteristics for meclizine in humans are unknown.



Elimination

Meclizine has a plasma elimination half-life of about 5-6 hours in humans.



Metabolism

In an in vitrometabolic study using human hepatic microsome and recombinant CYP enzyme, CYP2D6 was found to be the dominant enzyme for metabolism of meclizine.

7.2 Cyp2d6 Inhibitors (7.2 CYP2D6 Inhibitors)

Based on in-vitroevaluation, meclizine is metabolized by CYP2D6. Therefore, there is a possibility for a drug interaction between meclizine hydrochloride and CYP2D6 inhibitors. Therefore, monitor for adverse reactions and clinical effect accordingly.

2.1 Recommended Dosage

The recommended dosage is 25 mg to 100 mg daily administered orally, in divided doses, depending upon clinical response.

8.6 Hepatic Impairment

The effect of hepatic impairment on the pharmacokinetics of meclizine has not been evaluated. As meclizine hydrochloride undergoes metabolism, hepatic impairment may result in increased systemic exposure of meclizine. Treatment with meclizine hydrochloride should be administered with caution in patients with hepatic impairment.

1 Indications and Usage (1 INDICATIONS AND USAGE)

Meclizine hydrochloride is indicated for the treatment of vertigo associated with diseases affecting the vestibular system in adults.

12.1 Mechanism of Action

The precise mechanism by which meclizine exerts its therapeutic effect is unknown but is presumed to involve antagonism of the histamine H1 receptor.

5 Warnings and Precautions (5 WARNINGS AND PRECAUTIONS)
  • May cause drowsiness: Use caution when driving a car or operating dangerous machinery ( 5.1).
  • Potential anticholinergic action: this drug should be prescribed with care to patients with a history of asthma, glaucoma, or enlargement of the prostate gland ( 5.2).
2 Dosage and Administration (2 DOSAGE AND ADMINISTRATION)
  • Recommended dosage: 25 mg to 100 mg daily, in divided doses ( 2.1).
  • Tablets: Swallow whole ( 2.2).
  • Chewable Tablets: Must be chewed or crushed before swallowing; do not swallow whole ( 2.2).
3 Dosage Forms and Strengths (3 DOSAGE FORMS AND STRENGTHS)

Tablets

  • 25 mg: oval-shaped, biconvex, two-layered tablet, one yellow to pale yellow layer debossed with “49” and one white to off white layer debossed with “L”.

2.2 Administration Instructions

Tablets

Meclizine hydrochloride tablets must be swallowed whole.



Chewable Tablets

Meclizine hydrochloride chewable tablets must be chewed or crushed completely before swallowing. Do not swallow chewable tablets whole.

8.8 Genetic Cyp2d6 Polymorphism (8.8 Genetic CYP2D6 Polymorphism)

The genetic polymorphism of CYP2D6 that results in poor-, intermediate-, extensive-, and ultrarapid metabolizer phenotypes could contribute to large inter-individual variability in meclizine exposure. Therefore, when meclizine hydrochloride is administered to patients with CYP2D6 polymorphism, monitor for adverse reactions and clinical effect accordingly.

17 Patient Counseling Information (17 PATIENT COUNSELING INFORMATION)

Administration Instructions

Advise patients that the tablets must be swallowed whole, but chewable tablets must be chewed or crushed completely before swallowing [see Dosage and Administration (2.1)] .



Adverse Reactions

Advise patients that meclizine hydrochloride may cause anaphylactic reaction, drowsiness, dry mouth, headache, fatigue, vomiting and, on rare occasions, blurred vision [see Warnings and Precautions (5.1), Adverse Reactions (6)] .

Inform patients that meclizine hydrochloride may impair their ability to engage in potentially dangerous activities, such as operating machinery or vehicles.



Concomitant Drug Interactions

Advise patients regarding medications that should not be taken in combination with meclizine hydrochloride or that may necessitate increased monitoring [see Drug Interactions (7.1, 7.2)] . Inform patients that alcohol may increase adverse reactions.



Concurrent Medical Conditions

Advise patients to notify their healthcare provider about all of their medical conditions, including if they are pregnant or plan to become pregnant or if they are breastfeeding [see Warnings and Precautions (5.2), Use in Specific Populations (8.1, 8.2)] .

Repackaged By / Distributed By: RemedyRepack Inc.

625 Kolter Drive, Indiana, PA 15701

(724) 465-8762

5.2 Concurrent Medical Conditions

Because of its potential anticholinergic action, meclizine hydrochloride should be used with caution in patients with asthma, glaucoma, or enlargement of the prostate gland.

16 How Supplied/storage and Handling (16 HOW SUPPLIED/STORAGE AND HANDLING)

Meclizine hydrochloride 25 mg tablets are oval shaped, biconvex, two-layered tablet, one yellow to pale yellow layer debossed with “49” and one white to off white layer debossed with “L”.

NDC: 70518-3815-00

NDC: 70518-3815-01

NDC: 70518-3815-02

NDC: 70518-3815-03

NDC: 70518-3815-04

NDC: 70518-3815-05

PACKAGING: 21 in 1 BOTTLE PLASTIC

PACKAGING: 30 in 1 BOTTLE PLASTIC

PACKAGING; 30 in 1 BLISTER PACK

PACKAGING: 90 in 1 BOTTLE PLASTIC

PACKAGING: 30 in 1 BOTTLE PLASTIC

PACKAGING: 10 in 1 BOTTLE PLASTIC

Store at 20oC to 25oC (68oF to 77oF) [See USP Controlled Room Temperature].

Dispense in a tight, light-resistant container (USP).

Repackaged and Distributed By:

Remedy Repack, Inc.

625 Kolter Dr. Suite #4 Indiana, PA 1-724-465-8762

13.1 Carcinogenesis, Mutagenesis, impairment of Fertility (13.1 Carcinogenesis, Mutagenesis, Impairment of Fertility)

Carcinogenesis

Animal studies to assess the carcinogenic potential of meclizine have not been conducted.



Mutagenesis

Genetic toxicology studies of meclizine have not been conducted.



Impairment of Fertility

Animal studies to assess the effects of meclizine on fertility and early embryonic development have not been conducted.


Advanced Ingredient Data


Raw Label Data

All Sections (JSON)