These Highlights Do Not Include All The Information Needed To Use Azithromycin Tablets Safely And Effectively. See Full Prescribing Information For Azithromycin Tablets.

These Highlights Do Not Include All The Information Needed To Use Azithromycin Tablets Safely And Effectively. See Full Prescribing Information For Azithromycin Tablets.
SPL v1
SPL
SPL Set ID 21c67de0-3a4e-caab-e063-6394a90ae3cd
Route
ORAL
Published
Effective Date 2024-09-10
Document Type 34391-3 HUMAN PRESCRIPTION DRUG LABEL

Drug Facts

Composition & Product

Active Ingredients
Azithromycin Anhydrous (500 mg)
Inactive Ingredients
Croscarmellose Sodium Anhydrous Dibasic Calcium Phosphate Fd&c Blue No. 1 Lecithin, Soybean Fd&c Red No. 40 Fd&c Yellow No. 6 Polyethylene Glycol 3350 Magnesium Stearate Polyvinyl Alcohol, Unspecified Starch, Corn Talc Titanium Dioxide

Identifiers & Packaging

Pill Appearance
Imprint: OE;500 Shape: oval Color: red Size: 17 mm Score: 1
Marketing Status
ANDA Active Since 2024-02-15

Description

Azithromycin is a macrolide antibacterial drug indicated for the treatment of patients with mild to moderate infections caused by susceptible strains of the designated microorganisms in the specific conditions listed below. Recommended dosages and durations of therapy in adult and pediatric patient populations vary in these indications. [see Dosage and Administration (2) ]

Indications and Usage

Azithromycin is a macrolide antibacterial drug indicated for the treatment of patients with mild to moderate infections caused by susceptible strains of the designated microorganisms in the specific conditions listed below. Recommended dosages and durations of therapy in adult and pediatric patient populations vary in these indications. [see Dosage and Administration (2) ]

Dosage and Administration

Adult Patients ( 2.1 ) Infection Recommended Dose/Duration of Therapy Community-acquired pneumonia (mild severity) Pharyngitis/tonsillitis (second-line therapy) Skin/skin structure (uncomplicated) 500 mg as a single dose on Day 1, followed by 250 mg once daily on Days 2 through 5 Acute bacterial exacerbations of chronic bronchitis (mild to moderate) 500 mg as a single dose on Day 1, followed by 250 mg once daily on Days 2 through 5 or 500 mg once daily for 3 days Acute bacterial sinusitis 500 mg once daily for 3 days Genital ulcer disease (chancroid) Non-gonococcal urethritis and cervicitis One single 1 gram dose Gonococcal urethritis and cervicitis One single 2 gram dose Pediatric Patients ( 2.2 ) Infection Recommended Dose/Duration of Therapy Acute otitis media (6 months of age and older) 30 mg/kg as a single dose or 10 mg/kg once daily for 3 days or 10 mg/kg as a single dose on Day 1 followed by 5 mg/kg/day on Days 2 through 5 Acute bacterial sinusitis (6 months of age and older) 10 mg/kg once daily for 3 days Community-acquired pneumonia (6 months of age and older) 10 mg/kg as a single dose on Day 1 followed by 5 mg/kg once daily on Days 2 through 5 Pharyngitis/tonsillitis (2 years of age and older) 12 mg/kg once daily for 5 days

Warnings and Precautions

Serious (including fatal) allergic and skin reactions: Discontinue azithromycin if reaction occurs. ( 5.1 ) Hepatotoxicity: Severe, and sometimes fatal, hepatotoxicity has been reported. Discontinue azithromycin immediately if signs and symptoms of hepatitis occur. ( 5.2 ) Infantile Hypertrophic Pyloric Stenosis (IHPS): Following the use of azithromycin in neonates (treatment up to 42 days of life), IHPS has been reported. Direct parents and caregivers to contact their physician if vomiting or irritability with feeding occurs. ( 5.3 ) Prolongation of QT interval and cases of torsades de pointes have been reported. This risk which can be fatal should be considered in patients with certain cardiovascular disorders including known QT prolongation or history torsades de pointes, those with proarrhythmic conditions, and with other drugs that prolong the QT interval. ( 5.4 ) Clostridium difficile -Associated Diarrhea: Evaluate patients if diarrhea occurs. ( 5.5 ) Azithromycin may exacerbate muscle weakness in persons with myasthenia gravis. ( 5.6 )

Contraindications

Patients with known hypersensitivity to azithromycin, erythromycin, any macrolide, or ketolide drug. ( 4.1 ) Patients with a history of cholestatic jaundice/hepatic dysfunction associated with prior use of azithromycin. ( 4.2 )

Adverse Reactions

Most common adverse reactions are diarrhea (5% to 14%), nausea (3% to 18%), abdominal pain (3% to 7%), or vomiting (2% to 7%). ( 6.1 ) To report SUSPECTED ADVERSE REACTIONS, contact Precision Dose, Inc. at 1-800-397-9228 or FDA at 1-800-FDA-1088 or www.fda.gov/medwatch.

Drug Interactions

Interactions with digoxin, colchicine or phenytoin have not been reported in clinical trials with azithromycin. No specific drug interaction studies have been performed to evaluate potential drug-drug interactions. However, drug interactions have been observed with other macrolide products. Until further data are developed regarding drug interactions when digoxin, colchicine or phenytoin are used with azithromycin careful monitoring of patients is advised.

Storage and Handling

Azithromycin Tablets USP, 500 mg are supplied as red, oval, film coated tablets containing azithromycin dihydrate equivalent to 500 mg of azithromycin. NDC 68071-3661-2 BOTTLES OF 2 NDC 68071-3661-6 BOTTLES OF 6 Azithromycin Tablets USP, 500 mg are debossed "OE" on one side and "500" on the other side. These are packaged in bottles and blister cards of 3 tablets as follows:

How Supplied

Azithromycin Tablets USP, 500 mg are supplied as red, oval, film coated tablets containing azithromycin dihydrate equivalent to 500 mg of azithromycin. NDC 68071-3661-2 BOTTLES OF 2 NDC 68071-3661-6 BOTTLES OF 6 Azithromycin Tablets USP, 500 mg are debossed "OE" on one side and "500" on the other side. These are packaged in bottles and blister cards of 3 tablets as follows:

Patient Information

Read this Patient Information leaflet before you start taking azithromycin tablets and each time you get a refill. There may be new information. This information does not take the place of talking to your healthcare provider about your medical condition or your treatment. What are azithromycin tablets? Azithromycin tablets are a macrolide antibiotic prescription medicine used in adults 18 years or older to treat certain infections caused by certain germs called bacteria. These bacterial infections include: acute worsening of chronic bronchitis acute sinus infection community-acquired pneumonia infected throat or tonsils skin infections infections of the urethra or cervix genital ulcers in men Azithromycin tablets are also used in children to treat: ear infections community-acquired pneumonia infected throat or tonsils Azithromycin should not be taken by people who cannot tolerate oral medications because they are very ill or have certain other risk factors including: have cystic fibrosis have hospital acquired infections have known or suspected bacteria in the blood need to be in the hospital are elderly have any medical problems that can lower the ability of the immune system to fight infections Azithromycin tablets are not for viral infections such as the common cold. It is not known if azithromycin tablets are safe and effective for genital ulcers in women. It is not known if azithromycin tablets are safe and effective for children with ear infections, sinus infections, and community-acquired pneumonia under 6 months of age. It is not known if azithromycin tablets are safe and effective for infected throat or tonsils in children under 2 years of age. Who should not take azithromycin tablets? Do not take azithromycin tablets if you: have had a severe allergic reaction to certain antibiotics known as macrolides or ketolides including azithromycin and erythromycin. have a history of cholestatic jaundice or hepatic dysfunction that happened with the use of azithromycin. What should I tell my healthcare provider before taking azithromycin tablets? Before you take azithromycin tablets, tell your healthcare provider if you: have pneumonia have cystic fibrosis have known or suspected bacteremia (bacterial infection in the blood) have liver or kidney problems have an irregular heartbeat, especially a problem called "QT prolongation" have a problem that causes muscle weakness (myasthenia gravis) have any other medical problems are pregnant or plan to become pregnant. It is not known if azithromycin will harm your unborn baby. are breastfeeding or plan to breastfeed. Azithromycin has been reported to pass into breast milk. Talk to your healthcare provider about the best way to feed your baby while you take azithromycin tablets. Contact your healthcare provider immediately if you are giving azihtromycin tablets to a young child (less than 6 weeks of age) and he or she vomits or becomes irritable when fed. Tell your healthcare provider about all the medicines you take, including prescription and non-prescription medicines, vitamins, and herbal supplements. Azithromycin tablets and other medicines may affect each other causing side effects. Azithromycin tablets may affect the way other medicines work, and other medicines may affect how azithromycin tablets work. Especially tell your healthcare provider if you take: nelfinavir a blood thinner (warfarin) digoxin colchicine phenytoin an antacid that contains aluminum or magnesium Know the medicines you take. Keep a list of your medicines and show it to your healthcare provider and pharmacist when you get a new medicine. How should I take azithromycin tablets? Take azithromycin tablets exactly as your healthcare provider tells you to take it. Azithromycin tablets can be taken with or without food. Do not skip any doses of azithromycin tablets or stop taking it, even if you begin to feel better, until you finish your prescribed treatment unless you have a serious allergic reaction or your healthcare provider tells you to stop taking azithromycin tablets. "See What are the possible side effects of azithromycin tablets? " If you skip doses, or do not complete the total course of azithromycin tablets your treatment may not work as well and your infection may be harder to treat. Taking all of your azithromycin tablets doses will help lower the chance that the bacteria will become resistant to azithromycin tablets. If the bacteria becomes resistant to azithromycin tablets, azithromycin tablets and other antibiotic medicines may not work for you in the future. If you take too much azithromycin tablets, call your healthcare provider or get medical help right away. What are the possible side effects of azithromycin tablets? Azithromycin tablets can cause serious side effects, including: Serious allergic reactions. Allergic reactions can happen in people taking azithromcyin the active ingredient in azithromycin tablets, even after only 1 dose. Stop taking azithromycin tablets and get emergency medical help right away if you have any of the following symptoms of a severe allergic reaction: trouble breathing or swallowing swelling of the lips, tongue, face throat tightness, hoarseness rapid heartbeat faintness skin rash (hives) new onset of fever and swollen lymph nodes Stop taking azithromycin tablets at the first sign of a skin rash and call your healthcare provider. Skin rash may be a sign of a more serious reaction to azithromycin tablets. Liver damage (hepatotoxicity). Hepatotoxicity can happen in people who take azithromycin tablets. Call your healthcare provider right away if you have unexplained symptoms such as: nausea or vomiting stomach pain fever weakness abdominal pain or tenderness itching unusual tiredness loss of appetite change in the color of your bowel movements dark colored urine yellowing of your skin or of the whites of your eyes Stop taking azithromycin tablets and tell your healthcare provider right away if you have yellowing of your skin or white part of your eyes, or if you have dark urine. These can be signs of a serious reaction to azithromycin tablets (a liver problem). Serious heart rhythm changes (QT prolongation and torsades de pointes). Tell your healthcare provider right away if you have a change in your heartbeat (a fast or irregular heartbeat), or if you feel faint and dizzy. Azithromycin tablets may cause a rare heart problem known as prolongation of the QT interval. This condition can cause an abnormal heartbeat and can be very dangerous. The chances of this happening are higher in people: who are elderly with a family history of prolonged QT interval with low blood potassium who take certain medicines to control heart rhythm (antiarrhythmics) Worsening of myasthenia gravis (a problem that causes muscle weakness). Certain antibiotics like azithromycin tablets may cause worsening of myasthenia gravis symptoms, including muscle weakness and breathing problems. Call your healthcare provider right away if you have any worsening muscle weakness or breathing problems. Diarrhea. Tell your healthcare provider right away if you have watery diarrhea, diarrhea that does not go away, or bloody stools. You may experience cramping and a fever. This could happen after you have finished your azithromycin tablets. The most common side effects of azithromycin tablets include: nausea stomach pain vomiting These are not all the possible side effects of azithromycin tablets. Tell your healthcare provider about any side effect that bothers you or that does not go away. Call your doctor for medical advice about side effects. You may report side effects to FDA at 1-800- FDA-1088. How should I store azithromycin tablets? Store azithromycin tablets at 59ºF to 86ºF (15ºC to 30ºC). Azithromycin tablets come in a child-resistant package. Safely throw away any medicine that is out of date or no longer needed. Keep azithromycin tablets and all medicines out of the reach of children. General information about the safe and effective use of azithromycin tablets. Medicines are sometimes prescribed for purposes other than those listed in the Patient Information leaflet. Do not use azithromycin tablets for a condition for which it was not prescribed. Do not give azithromycin tablets to other people, even if they have the same symptoms you have. It may harm them. This Patient Information leaflet summarizes the most important information about azithromycin tablets. If you would like more information, talk with your healthcare provider. You can ask your pharmacist or healthcare provider for information about azithromycin tablets that is written for health professionals. For more information, call 1-800-397-9228. What are the ingredients in azithromycin tablets? Active ingredient: azithromycin dihydrate Inactive ingredients: croscarmellose sodium, dibasic calcium phosphate anhydrous, FD&C Blue #1 aluminum lake and lecithin, FD&C Red #40 aluminum Lake, FD&C Yellow #6 aluminum Lake, macrogol/PEG, magnesium stearate, polyvinyl alcohol, pregelatinized starch, talc, and titanium dioxide. This Patient Information has been approved by the U.S. Food and Drug Administration. Manufactured by: CSPC Ouyi Pharmaceutical Co., Ltd. Shijiazhuang, Hebei, China, 052160 Manufactured for: Precision Dose, Inc. South Beloit, IL 61080 Revised October 2023


Medication Information

Warnings and Precautions

Serious (including fatal) allergic and skin reactions: Discontinue azithromycin if reaction occurs. ( 5.1 ) Hepatotoxicity: Severe, and sometimes fatal, hepatotoxicity has been reported. Discontinue azithromycin immediately if signs and symptoms of hepatitis occur. ( 5.2 ) Infantile Hypertrophic Pyloric Stenosis (IHPS): Following the use of azithromycin in neonates (treatment up to 42 days of life), IHPS has been reported. Direct parents and caregivers to contact their physician if vomiting or irritability with feeding occurs. ( 5.3 ) Prolongation of QT interval and cases of torsades de pointes have been reported. This risk which can be fatal should be considered in patients with certain cardiovascular disorders including known QT prolongation or history torsades de pointes, those with proarrhythmic conditions, and with other drugs that prolong the QT interval. ( 5.4 ) Clostridium difficile -Associated Diarrhea: Evaluate patients if diarrhea occurs. ( 5.5 ) Azithromycin may exacerbate muscle weakness in persons with myasthenia gravis. ( 5.6 )

Indications and Usage

Azithromycin is a macrolide antibacterial drug indicated for the treatment of patients with mild to moderate infections caused by susceptible strains of the designated microorganisms in the specific conditions listed below. Recommended dosages and durations of therapy in adult and pediatric patient populations vary in these indications. [see Dosage and Administration (2) ]

Dosage and Administration

Adult Patients ( 2.1 ) Infection Recommended Dose/Duration of Therapy Community-acquired pneumonia (mild severity) Pharyngitis/tonsillitis (second-line therapy) Skin/skin structure (uncomplicated) 500 mg as a single dose on Day 1, followed by 250 mg once daily on Days 2 through 5 Acute bacterial exacerbations of chronic bronchitis (mild to moderate) 500 mg as a single dose on Day 1, followed by 250 mg once daily on Days 2 through 5 or 500 mg once daily for 3 days Acute bacterial sinusitis 500 mg once daily for 3 days Genital ulcer disease (chancroid) Non-gonococcal urethritis and cervicitis One single 1 gram dose Gonococcal urethritis and cervicitis One single 2 gram dose Pediatric Patients ( 2.2 ) Infection Recommended Dose/Duration of Therapy Acute otitis media (6 months of age and older) 30 mg/kg as a single dose or 10 mg/kg once daily for 3 days or 10 mg/kg as a single dose on Day 1 followed by 5 mg/kg/day on Days 2 through 5 Acute bacterial sinusitis (6 months of age and older) 10 mg/kg once daily for 3 days Community-acquired pneumonia (6 months of age and older) 10 mg/kg as a single dose on Day 1 followed by 5 mg/kg once daily on Days 2 through 5 Pharyngitis/tonsillitis (2 years of age and older) 12 mg/kg once daily for 5 days

Contraindications

Patients with known hypersensitivity to azithromycin, erythromycin, any macrolide, or ketolide drug. ( 4.1 ) Patients with a history of cholestatic jaundice/hepatic dysfunction associated with prior use of azithromycin. ( 4.2 )

Adverse Reactions

Most common adverse reactions are diarrhea (5% to 14%), nausea (3% to 18%), abdominal pain (3% to 7%), or vomiting (2% to 7%). ( 6.1 ) To report SUSPECTED ADVERSE REACTIONS, contact Precision Dose, Inc. at 1-800-397-9228 or FDA at 1-800-FDA-1088 or www.fda.gov/medwatch.

Drug Interactions

Interactions with digoxin, colchicine or phenytoin have not been reported in clinical trials with azithromycin. No specific drug interaction studies have been performed to evaluate potential drug-drug interactions. However, drug interactions have been observed with other macrolide products. Until further data are developed regarding drug interactions when digoxin, colchicine or phenytoin are used with azithromycin careful monitoring of patients is advised.

Storage and Handling

Azithromycin Tablets USP, 500 mg are supplied as red, oval, film coated tablets containing azithromycin dihydrate equivalent to 500 mg of azithromycin. NDC 68071-3661-2 BOTTLES OF 2 NDC 68071-3661-6 BOTTLES OF 6 Azithromycin Tablets USP, 500 mg are debossed "OE" on one side and "500" on the other side. These are packaged in bottles and blister cards of 3 tablets as follows:

How Supplied

Azithromycin Tablets USP, 500 mg are supplied as red, oval, film coated tablets containing azithromycin dihydrate equivalent to 500 mg of azithromycin. NDC 68071-3661-2 BOTTLES OF 2 NDC 68071-3661-6 BOTTLES OF 6 Azithromycin Tablets USP, 500 mg are debossed "OE" on one side and "500" on the other side. These are packaged in bottles and blister cards of 3 tablets as follows:

Patient Information

Read this Patient Information leaflet before you start taking azithromycin tablets and each time you get a refill. There may be new information. This information does not take the place of talking to your healthcare provider about your medical condition or your treatment.

What are azithromycin tablets?

Azithromycin tablets are a macrolide antibiotic prescription medicine used in adults 18 years or older to treat certain infections caused by certain germs called bacteria. These bacterial infections include:

  • acute worsening of chronic bronchitis
  • acute sinus infection
  • community-acquired pneumonia
  • infected throat or tonsils
  • skin infections
  • infections of the urethra or cervix
  • genital ulcers in men

Azithromycin tablets are also used in children to treat:

  • ear infections
  • community-acquired pneumonia
  • infected throat or tonsils

Azithromycin should not be taken by people who cannot tolerate oral medications because they are very ill or have certain other risk factors including:

  • have cystic fibrosis
  • have hospital acquired infections
  • have known or suspected bacteria in the blood
  • need to be in the hospital
  • are elderly
  • have any medical problems that can lower the ability of the immune system to fight infections

Azithromycin tablets are not for viral infections such as the common cold.

It is not known if azithromycin tablets are safe and effective for genital ulcers in women.

It is not known if azithromycin tablets are safe and effective for children with ear infections, sinus infections, and community-acquired pneumonia under 6 months of age.

It is not known if azithromycin tablets are safe and effective for infected throat or tonsils in children under 2 years of age.

Who should not take azithromycin tablets?

Do not take azithromycin tablets if you:

  • have had a severe allergic reaction to certain antibiotics known as macrolides or ketolides including azithromycin and erythromycin.
  • have a history of cholestatic jaundice or hepatic dysfunction that happened with the use of azithromycin.

What should I tell my healthcare provider before taking azithromycin tablets?

Before you take azithromycin tablets, tell your healthcare provider if you:

  • have pneumonia
  • have cystic fibrosis
  • have known or suspected bacteremia (bacterial infection in the blood)
  • have liver or kidney problems
  • have an irregular heartbeat, especially a problem called "QT prolongation"
  • have a problem that causes muscle weakness (myasthenia gravis)
  • have any other medical problems
  • are pregnant or plan to become pregnant. It is not known if azithromycin will harm your unborn baby.
  • are breastfeeding or plan to breastfeed. Azithromycin has been reported to pass into breast milk. Talk to your healthcare provider about the best way to feed your baby while you take azithromycin tablets.

Contact your healthcare provider immediately if you are giving azihtromycin tablets to a young child (less than 6 weeks of age) and he or she vomits or becomes irritable when fed.

Tell your healthcare provider about all the medicines you take,including prescription and non-prescription medicines, vitamins, and herbal supplements.

Azithromycin tablets and other medicines may affect each other causing side effects. Azithromycin tablets may affect the way other medicines work, and other medicines may affect how azithromycin tablets work.

Especially tell your healthcare provider if you take:

  • nelfinavir
  • a blood thinner (warfarin)
  • digoxin
  • colchicine
  • phenytoin
  • an antacid that contains aluminum or magnesium

Know the medicines you take. Keep a list of your medicines and show it to your healthcare provider and pharmacist when you get a new medicine.

How should I take azithromycin tablets?

  • Take azithromycin tablets exactly as your healthcare provider tells you to take it.
  • Azithromycin tablets can be taken with or without food.
  • Do not skip any doses of azithromycin tablets or stop taking it, even if you begin to feel better, until you finish your prescribed treatment unless you have a serious allergic reaction or your healthcare provider tells you to stop taking azithromycin tablets. "See What are the possible side effects of azithromycin tablets?" If you skip doses, or do not complete the total course of azithromycin tablets your treatment may not work as well and your infection may be harder to treat. Taking all of your azithromycin tablets doses will help lower the chance that the bacteria will become resistant to azithromycin tablets.
  • If the bacteria becomes resistant to azithromycin tablets, azithromycin tablets and other antibiotic medicines may not work for you in the future.
  • If you take too much azithromycin tablets, call your healthcare provider or get medical help right away.

What are the possible side effects of azithromycin tablets?

Azithromycin tablets can cause serious side effects, including:

  • Serious allergic reactions.Allergic reactions can happen in people taking azithromcyin the active ingredient in azithromycin tablets, even after only 1 dose. Stop taking azithromycin tablets and get emergency medical help right away if you have any of the following symptoms of a severe allergic reaction:
    • trouble breathing or swallowing
    • swelling of the lips, tongue, face
    • throat tightness, hoarseness
    • rapid heartbeat
    • faintness
    • skin rash (hives)
    • new onset of fever and swollen lymph nodes
    Stop taking azithromycin tablets at the first sign of a skin rash and call your healthcare provider. Skin rash may be a sign of a more serious reaction to azithromycin tablets.
  • Liver damage (hepatotoxicity).Hepatotoxicity can happen in people who take azithromycin tablets. Call your healthcare provider right away if you have unexplained symptoms such as:
    • nausea or vomiting
    • stomach pain
    • fever
    • weakness
    • abdominal pain or tenderness
    • itching
    • unusual tiredness
    • loss of appetite
    • change in the color of your bowel movements
    • dark colored urine
    • yellowing of your skin or of the whites of your eyes
    Stop taking azithromycin tablets and tell your healthcare provider right away if you have yellowing of your skin or white part of your eyes, or if you have dark urine. These can be signs of a serious reaction to azithromycin tablets (a liver problem).
  • Serious heart rhythm changes (QT prolongation and torsades de pointes).

    Tell your healthcare provider right away if you have a change in your heartbeat (a fast or irregular heartbeat), or if you feel faint and dizzy. Azithromycin tablets may cause a rare heart problem known as prolongation of the QT interval. This condition can cause an abnormal heartbeat and can be very dangerous. The chances of this happening are higher in people:
    • who are elderly
    • with a family history of prolonged QT interval
    • with low blood potassium
    • who take certain medicines to control heart rhythm (antiarrhythmics)
  • Worsening of myasthenia gravis (a problem that causes muscle weakness).Certain antibiotics like azithromycin tablets may cause worsening of myasthenia gravis symptoms, including muscle weakness and breathing problems. Call your healthcare provider right away if you have any worsening muscle weakness or breathing problems.
  • Diarrhea.Tell your healthcare provider right away if you have watery diarrhea, diarrhea that does not go away, or bloody stools. You may experience cramping and a fever. This could happen after you have finished your azithromycin tablets.



    The most common side effects of azithromycin tablets include:
    • nausea
    • stomach pain
    • vomiting

These are not all the possible side effects of azithromycin tablets. Tell your healthcare provider about any side effect that bothers you or that does not go away.

Call your doctor for medical advice about side effects. You may report side effects to FDA at 1-800- FDA-1088.

How should I store azithromycin tablets?

  • Store azithromycin tablets at 59ºF to 86ºF (15ºC to 30ºC).
  • Azithromycin tablets come in a child-resistant package.
  • Safely throw away any medicine that is out of date or no longer needed.

Keep azithromycin tablets and all medicines out of the reach of children.

General information about the safe and effective use of azithromycin tablets.

Medicines are sometimes prescribed for purposes other than those listed in the Patient Information leaflet. Do not use azithromycin tablets for a condition for which it was not prescribed. Do not give azithromycin tablets to other people, even if they have the same symptoms you have. It may harm them.

This Patient Information leaflet summarizes the most important information about azithromycin tablets. If you would like more information, talk with your healthcare provider. You can ask your pharmacist or healthcare provider for information about azithromycin tablets that is written for health professionals.

For more information, call 1-800-397-9228.

What are the ingredients in azithromycin tablets?

Active ingredient: azithromycin dihydrate

Inactive ingredients: croscarmellose sodium, dibasic calcium phosphate anhydrous, FD&C Blue #1 aluminum lake and lecithin, FD&C Red #40 aluminum Lake, FD&C Yellow #6 aluminum Lake, macrogol/PEG, magnesium stearate, polyvinyl alcohol, pregelatinized starch, talc, and titanium dioxide.

This Patient Information has been approved by the U.S. Food and Drug Administration.

Manufactured by:

CSPC Ouyi Pharmaceutical Co., Ltd.

Shijiazhuang, Hebei, China, 052160

Manufactured for:

Precision Dose, Inc.

South Beloit, IL 61080

Revised October 2023

Description

Azithromycin is a macrolide antibacterial drug indicated for the treatment of patients with mild to moderate infections caused by susceptible strains of the designated microorganisms in the specific conditions listed below. Recommended dosages and durations of therapy in adult and pediatric patient populations vary in these indications. [see Dosage and Administration (2) ]

Section 42229-5

PEDIATRIC DOSAGE GUIDELINES FOR OTITIS MEDIA, ACUTE BACTERIAL SINUSITIS, AND COMMUNITY-ACQUIRED PNEUMONIA

(Age 6 months and above, [see Use in Specific Populations (8.4)] )

Based on Body Weight

OTITIS MEDIA AND COMMUNITY-ACQUIRED PNEUMONIA: (5-Day Regimen)
Effectiveness of the 3-day or 1-day regimen in pediatric patients with community-acquired pneumonia has not been established.
Dosing Calculated on 10 mg/kg/day Day 1 and 5 mg/kg/day Days 2 to 5.
Weight 100 mg/5 mL 200 mg/5 mL Total mL per Treatment Course Total mg per Treatment Course
Kg Day 1 Days 2 to 5 Day 1 Days 2 to 5
5 2.5 mL; (½ tsp) 1.25mL; (¼ tsp) 7.5 mL 150 mg
10 5 mL; (1 tsp) 2.5 mL; (½ tsp) 15 mL 300 mg
20 5 mL; (1 tsp) 2.5 mL; (½ tsp) 15 mL 600 mg
30 7.5 mL; (1½ tsp) 3.75 mL; (¾ tsp) 22.5 mL 900 mg
40 10 mL; (2 tsp) 5 mL; (1 tsp) 30 mL 1,200 mg
50 and above 12.5 mL; (2½ tsp) 6.25 mL; (1¼ tsp) 37.5 mL 1,500 mg
OTITIS MEDIA AND ACUTE BACTERIAL SINUSITIS: (3-Day Regimen)
Effectiveness of the 5-day or 1-day regimen in pediatric patients with acute bacterial sinusitis has not been established.
Dosing Calculated on 10 mg/kg/day.
Weight 100 mg/5 mL 200 mg/5 mL Total mL per Treatment Course Total mg per Treatment Course
Kg Days 1 to 3 Days 1 to 3
5 2.5 mL; (½ tsp) 7.5 mL 150 mg
10 5 mL; (1 tsp) 15 mL 300 mg
20 5 mL; (1 tsp) 15 mL 600 mg
30 7.5 mL; (1½ tsp) 22.5 mL 900 mg
40 10 mL; (2 tsp) 30 mL 1,200 mg
50 and above 12.5 mL; (2½ tsp) 37.5 mL 1,500 mg
OTITIS MEDIA: (1-Day Regimen)
Dosing Calculated on 30 mg/kg as a single dose.
Weight 200 mg/5 mL Total mL per Treatment Course Total mg per Treatment Course
Kg 1-Day Regimen
5 3.75 mL; (3/4 tsp) 3.75 mL 150 mg
10 7.5 mL; (1½ tsp) 7.5 mL 300 mg
20 15 mL; (3 tsp) 15 mL 600 mg
30 22.5 mL; (4½ tsp) 22.5 mL 900 mg
40 30 mL; (6 tsp) 30 mL 1,200 mg
50 and above 37.5 mL; (7½ tsp) 37.5 mL 1,500 mg

The safety of re-dosing azithromycin in pediatric patients who vomit after receiving 30 mg/kg as a single dose has not been established. In clinical studies involving 487 patients with acute otitis media given a single 30 mg/kg dose of azithromycin, 8 patients who vomited within 30 minutes of dosing were re-dosed at the same total dose.

Section 44425-7

Store at 20° to 25°C (68° to 77°F); excursions permitted from 15° to 30°C (59° to 86°F) [see USP Controlled Room Temperature].

Dispense in tight containers (USP).

1.4 Usage

To reduce the development of drug-resistant bacteria and maintain the effectiveness of azithromycin and other antibacterial drugs, azithromycin should be used only to treat infections that are proven or strongly suspected to be caused by susceptible bacteria. When culture and susceptibility information are available, they should be considered in selecting or modifying antibacterial therapy. In the absence of such data, local epidemiology and susceptibility patterns may contribute to the empiric selection of therapy.

7.2 Warfarin

Spontaneous postmarketing reports suggest that concomitant administration of azithromycin may potentiate the effects of oral anticoagulants such as warfarin, although the prothrombin time was not affected in the dedicated drug interaction study with azithromycin and warfarin. Prothrombin times should be carefully monitored while patients are receiving azithromycin and oral anticoagulants concomitantly.

10 Overdosage

Adverse reactions experienced at higher than recommended doses were similar to those seen at normal doses particularly nausea, diarrhea, and vomiting. In the event of overdosage, general symptomatic and supportive measures are indicated as required.

11 Description

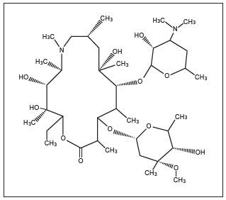
Azithromycin Tablets, USP contain the active ingredient azithromycin, a macrolide antibacterial drug, for oral administration. Azithromycin has the chemical name (2R,3S,4R,5R,8R,10R,11R,12S,13S,14R)-13-[(2,6-dideoxy-3-C-methyl-3-O-methyl-α-L-ribo-hexopyranosyl)oxy]-2-ethyl-3,4,10-trihydroxy-3,5,6,8,10,12,14-heptamethyl-11-[[3,4,6-trideoxy-3-(dimethylamino)-β-D-xylo-hexopyranosyl]oxy]-1-oxa-6-azacyclopentadecan-15-one. Azithromycin is derived from erythromycin; however, it differs chemically from erythromycin in that a methyl-substituted nitrogen atom is incorporated into the lactone ring. Its molecular formula is C 38H 72N 2O 12, and its molecular weight is 749.00. Azithromycin has the following structural formula:

Azithromycin, as the dihydrate, is a white crystalline powder with a molecular formula of C 38H 72N 2O 12∙2H 2O and a molecular weight of 785.0.

Azithromycin is supplied as tablets containing azithromycin dihydrate equivalent to 500 mg azithromycin and the following inactive ingredients: croscarmellose sodium, dibasic calcium phosphate anhydrous, FD&C Blue #1 aluminum lake and lecithin, FD&C Red #40 aluminum Lake, FD&C Yellow #6 aluminum Lake, macrogol/PEG, magnesium stearate, polyvinyl alcohol, pregelatinized starch, talc, and titanium dioxide.

7.1 Nelfinavir

Co-administration of nelfinavir at steady-state with a single oral dose of azithromycin resulted in increased azithromycin serum concentrations. Although a dose adjustment of azithromycin is not recommended when administered in combination with nelfinavir, close monitoring for known adverse reactions of azithromycin, such as liver enzyme abnormalities and hearing impairment, is warranted. [see Adverse Reactions (6)]

8.4 Pediatric Use

[see Clinical Pharmacology (12.3), Indications and Usage (1.2), and Dosage and Administration (2.2)]

Safety and effectiveness in the treatment of pediatric patients with acute otitis media, acute bacterial sinusitis and community-acquired pneumonia under 6 months of age have not been established. Use of azithromycin for the treatment of acute bacterial sinusitis and community-acquired pneumonia in pediatric patients (6 months of age or greater) is supported by adequate and well-controlled trials in adults.

8.5 Geriatric Use

In multiple-dose clinical trials of oral azithromycin, 9% of patients were at least 65 years of age (458/4,949) and 3% of patients (144/4,949) were at least 75 years of age. No overall differences in safety or effectiveness were observed between these subjects and younger subjects, and other reported clinical experience has not identified differences in response between the elderly and younger patients, but greater sensitivity of some older individuals cannot be ruled out.

Elderly patients may be more susceptible to development of torsades de pointes arrhythmias than younger patients. [see Warnings and Precautions (5.4)]

1.1 Adult Patients
  • Acute bacterial exacerbations of chronic bronchitis due to Haemophilus influenzae, Moraxella catarrhalis,or Streptococcus pneumoniae.
  • Acute bacterial sinusitis due to Haemophilus influenzae, Moraxella catarrhalis.or Streptococcus pneumoniae.
  • Community-acquired pneumonia due to Chlamydophila pneumoniae, Haemophilus influenzae, Mycoplasma pneumoniae,or Streptococcus pneumoniaein patients appropriate for oral therapy.
  • Pharyngitis/tonsillitis caused by Streptococcus pyogenesas an alternative to first-line therapy in individuals who cannot use first-line therapy.
  • Uncomplicated skin and skin structure infections due to Staphylococcus aureus, Streptococcus pyogenes, or Streptococcus agalactiae.
  • Urethritis and cervicitis due to Chlamydia trachomatisor Neisseria gonorrhoeae.
  • Genital ulcer disease in men due to Haemophilus ducreyi(chancroid). Due to the small number of women included in clinical trials, the efficacy of azithromycin in the treatment of chancroid in women has not been established.
2.1 Adult Patients

[see Indications and Usage (1.1)and Clinical Pharmacology (12.3)]

Infection
DUE TO THE INDICATED ORGANISMS [see Indications and Usage (1.1)]
Recommended Dose/Duration of Therapy
Community-acquired pneumonia

Pharyngitis/tonsillitis (second-line therapy)

Skin/skin structure (uncomplicated)
500 mg as a single dose on Day 1, followed by 250 mg once daily on Days 2 through 5
Acute bacterial exacerbations of chronic obstructive pulmonary disease 500 mg once daily for 3 days

OR

500 mg as a single dose on Day 1, followed by 250 mg once daily on Days 2 through 5
Acute bacterial sinusitis 500 mg once daily for 3 days
Genital ulcer disease (chancroid) One single 1 gram dose
Non-gonococcal urethritis and cervicitis One single 1 gram dose
Gonococcal urethritis and cervicitis One single 2 gram dose

Azithromycin tablets can be taken with or without food.

5.2 Hepatotoxicity

Abnormal liver function, hepatitis, cholestatic jaundice, hepatic necrosis, and hepatic failure have been reported, some of which have resulted in death. Discontinue azithromycin immediately if signs and symptoms of hepatitis occur.

4 Contraindications
  • Patients with known hypersensitivity to azithromycin, erythromycin, any macrolide, or ketolide drug. ( 4.1)
  • Patients with a history of cholestatic jaundice/hepatic dysfunction associated with prior use of azithromycin. ( 4.2)
5.4 Qt Prolongation

Prolonged cardiac repolarization and QT interval, imparting a risk of developing cardiac arrhythmia and torsades de pointes, have been seen with treatment with macrolides, including azithromycin. Cases of torsades de pointes have been spontaneously reported during postmarketing surveillance in patients receiving azithromycin. Providers should consider the risk of QT prolongation which can be fatal when weighing the risks and benefits of azithromycin for at-risk groups including:

  • patients with known prolongation of the QT interval, a history of torsades de pointes, congenital long QT syndrome, bradyarrhythmias or uncompensated heart failure
  • patients on drugs known to prolong the QT interval
  • patients with ongoing proarrhythmic conditions such as uncorrected hypokalemia or hypomagnesemia, clinically significant bradycardia, and in patients receiving Class IA (quinidine, procainamide) or Class III (dofetilide, amiodarone, sotalol) antiarrhythmic agents.

Elderly patients may be more susceptible to drug-associated effects on the QT interval.

6 Adverse Reactions

Most common adverse reactions are diarrhea (5% to 14%), nausea (3% to 18%), abdominal pain (3% to 7%), or vomiting (2% to 7%). ( 6.1)



To report SUSPECTED ADVERSE REACTIONS, contact Precision Dose, Inc. at 1-800-397-9228 or FDA at 1-800-FDA-1088 or www.fda.gov/medwatch.

7 Drug Interactions
  • Nelfinavir: Close monitoring for known adverse reactions of azithromycin, such as liver enzyme abnormalities and hearing impairment, is warranted. ( 7.1)
  • Warfarin: Use with azithromycin may increase coagulation times; monitor prothrombin time. ( 7.2)
4.1 Hypersensitivity

Azithromycin is contraindicated in patients with known hypersensitivity to azithromycin, erythromycin, any macrolide, or ketolide drug.

5.1 Hypersensitivity

Serious allergic reactions, including angioedema, anaphylaxis, and dermatologic reactions including Acute Generalized Exanthematous Pustulosis (AGEP), Stevens-Johnson syndrome, and toxic epidermal necrolysis have been reported in patients on azithromycin therapy. [see Contraindications (4.1)]

Fatalities have been reported. Cases of Drug Reaction with Eosinophilia and Systemic Symptoms (DRESS) have also been reported. Despite initially successful symptomatic treatment of the allergic symptoms, when symptomatic therapy was discontinued, the allergic symptoms recurred soon thereafter in some patients without further azithromycin exposure .These patients required prolonged periods of observation and symptomatic treatment. The relationship of these episodes to the long tissue half-life of azithromycin and subsequent prolonged exposure to antigen is presently unknown.

If an allergic reaction occurs, the drug should be discontinued and appropriate therapy should be instituted. Physicians should be aware that allergic symptoms may reappear when symptomatic therapy has been discontinued.

12.2 Pharmacodynamics

Based on animal models of infection, the antibacterial activity of azithromycin appears to correlate with the ratio of area under the concentration-time curve to minimum inhibitory concentration (AUC/MIC) for certain pathogens ( S. pneumoniaeand S. aureus). The principal pharmacokinetic/pharmacodynamic parameter best associated with clinical and microbiological cure has not been elucidated in clinical trials with azithromycin.

12.3 Pharmacokinetics

Following oral administration of a single 500 mg dose (two 250 mg tablets) to 36 fasted healthy male volunteers, the mean (SD) pharmacokinetic parameters were AUC 0-72= 4.3 (1.2) mcg∙hr/mL; C max= 0.5 (0.2) mcg/mL; T max= 2.2 (0.9) hours. Two azithromycin 250 mg tablets are bioequivalent to a single 500 mg tablet.

In a two-way crossover study, 12 adult healthy volunteers (6 males, 6 females) received 1,500 mg of azithromycin administered in single daily doses over either 5 days (two 250 mg tablets on day 1, followed by one 250 mg tablet on days 2 to 5) or 3 days (500 mg per day for days 1 to 3). Due to limited serum samples on day 2 (3-day regimen) and days 2 to 4 (5-day regimen), the serum concentration-time profile of each subject was fit to a 3-compartment model and the AUC 0–∞for the fitted concentration profile was comparable between the 5-day and 3-day regimens.

3-Day Regimen 5-Day Regimen
Pharmacokinetic Parameter

[mean (SD)]
Day 1 Day 3 Day 1 Day 5
C max(serum, mcg/mL) 0.44 (0.22) 0.54 (0.25) 0.43 (0.20) 0.24 (0.06)
Serum AUC 0–∞(mcg∙hr/mL) 17.4 (6.2)
Total AUC for the entire 3-day and 5-day regimens.
14.9 (3.1)
Serum T 1/2 71.8 hr 68.9 hr
1.2 Pediatric Patients

[see Use in Specific Populations (8.4)and Clinical Studies (14.2)]

  • Acute otitis media ( > 6 months of age) caused by Haemophilus influenzae, Moraxella catarrhalis,or Streptococcus pneumoniae
  • Community-acquired pneumonia ( > 6 months of age) due to Chlamydophila pneumoniae, Haemophilus influenzae, Mycoplasma pneumonia, or Streptococcus pneumoniaein patients appropriate for oral therapy.
  • Pharyngitis/tonsillitis ( > 2 years of age) caused by Streptococcus pyogenesas an alternative to first-line therapy in individuals who cannot use first-line therapy.
1.3 Limitations of Use

Azithromycin should not be used in patients with pneumonia who are judged to be inappropriate for oral therapy because of moderate to severe illness or risk factors such as any of the following:

  • patients with cystic fibrosis,
  • patients with nosocomial infections,
  • patients with known or suspected bacteremia,
  • patients requiring hospitalization,
  • elderly or debilitated patients, or
  • patients with significant underlying health problems that may compromise their ability to respond to their illness (including immunodeficiency or functional asplenia).
1 Indications and Usage

Azithromycin is a macrolide antibacterial drug indicated for the treatment of patients with mild to moderate infections caused by susceptible strains of the designated microorganisms in the specific conditions listed below. Recommended dosages and durations of therapy in adult and pediatric patient populations vary in these indications. [see Dosage and Administration (2)]

14.2 Pediatric Patients

From the perspective of evaluating pediatric clinical trials, Days 11 to 14 were considered on-therapy evaluations because of the extended half-life of azithromycin. Days 11 to 14 data are provided for clinical guidance. Days 24 to 32 evaluations were considered the primary test of cure endpoint.

4.2 Hepatic Dysfunction

Azithromycin is contraindicated in patients with a history of cholestatic jaundice/hepatic dysfunction associated with prior use of azithromycin.

Principal Display Panel

12.1 Mechanism of Action

Azithromycin is a macrolide antibacterial drug . [see Microbiology (12.4)]

2.2 Pediatric Patients 1
Infection
DUE TO THE INDICATED ORGANISMS [see Indications and Usage (1.2)]
Recommended Dose/Duration of Therapy
1see dosing tables below for maximum doses evaluated by indication
Acute otitis media 30 mg/kg as a single dose or 10 mg/kg once daily for 3 days or 10 mg/kg as a single dose on Day 1 followed by 5 mg/kg/day on Days 2 through 5
Acute bacterial sinusitis 10 mg/kg once daily for 3 days
Community-acquired pneumonia 10 mg/kg as a single dose on Day 1 followed by 5 mg/kg once daily on Days 2 through 5
Pharyngitis/tonsillitis 12 mg/kg once daily for 5 days

Azithromycin for oral suspension can be taken with or without food.

5.5 Clostridium Difficile

Clostridium difficile-associated diarrhea has been reported with use of nearly all antibacterial agents, including azithromycin, and may range in severity from mild diarrhea to fatal colitis. Treatment with antibacterial agents alters the normal flora of the colon, leading to overgrowth of C. difficile.

C. difficileproduces toxins A and B which contribute to the development of CDAD. Hypertoxin producing strains of C. difficilecause increased morbidity and mortality, as these infections can be refractory to antibacterial therapy and may require colectomy. CDAD must be considered in all patients who present with diarrhea following antibiotic use. Careful medical history is necessary since CDAD has been reported to occur over two months after the administration of antibacterial agents.

If CDAD is suspected or confirmed, ongoing antibiotic use not directed against C. difficilemay need to be discontinued. Appropriate fluid and electrolyte management, protein supplementation, antibiotic treatment of C. difficile, and surgical evaluation should be instituted as clinically indicated.

5 Warnings and Precautions
  • Serious (including fatal) allergic and skin reactions: Discontinue azithromycin if reaction occurs. ( 5.1)
  • Hepatotoxicity: Severe, and sometimes fatal, hepatotoxicity has been reported. Discontinue azithromycin immediately if signs and symptoms of hepatitis occur. ( 5.2)
  • Infantile Hypertrophic Pyloric Stenosis (IHPS): Following the use of azithromycin in neonates (treatment up to 42 days of life), IHPS has been reported. Direct parents and caregivers to contact their physician if vomiting or irritability with feeding occurs. ( 5.3)
  • Prolongation of QT interval and cases of torsades de pointes have been reported. This risk which can be fatal should be considered in patients with certain cardiovascular disorders including known QT prolongation or history torsades de pointes, those with proarrhythmic conditions, and with other drugs that prolong the QT interval. ( 5.4)
  • Clostridium difficile-Associated Diarrhea: Evaluate patients if diarrhea occurs. ( 5.5)
  • Azithromycin may exacerbate muscle weakness in persons with myasthenia gravis. ( 5.6)
2 Dosage and Administration
  • Adult Patients ( 2.1)
Infection Recommended Dose/Duration of Therapy
Community-acquired pneumonia (mild severity)

Pharyngitis/tonsillitis (second-line therapy)

Skin/skin structure (uncomplicated)
500 mg as a single dose on Day 1, followed by 250 mg once daily on Days 2 through 5
Acute bacterial exacerbations of chronic bronchitis (mild to moderate) 500 mg as a single dose on Day 1, followed by 250 mg once daily on Days 2 through 5 or 500 mg once daily for 3 days
Acute bacterial sinusitis 500 mg once daily for 3 days
Genital ulcer disease (chancroid)

Non-gonococcal urethritis and cervicitis
One single 1 gram dose
Gonococcal urethritis and cervicitis One single 2 gram dose
  • Pediatric Patients ( 2.2)
Infection Recommended Dose/Duration of Therapy
Acute otitis media (6 months of age and older) 30 mg/kg as a single dose or 10 mg/kg once daily for 3 days or 10 mg/kg as a single dose on Day 1 followed by 5 mg/kg/day on Days 2 through 5
Acute bacterial sinusitis (6 months of age and older) 10 mg/kg once daily for 3 days
Community-acquired pneumonia (6 months of age and older) 10 mg/kg as a single dose on Day 1 followed by 5 mg/kg once daily on Days 2 through 5
Pharyngitis/tonsillitis (2 years of age and older) 12 mg/kg once daily for 5 days
3 Dosage Forms and Strengths

Azithromycin Tablets USP, 500 mg (debossed "OE" on one side and "500" on the other side) are supplied as red, oval, film coated tablets containing azithromycin dihydrate equivalent to 500 mg azithromycin.

6.2 Postmarketing Experience

The following adverse reactions have been identified during post-approval use of azithromycin. Because these reactions are reported voluntarily from a population of uncertain size, it is not always possible to reliably estimate their frequency or establish a causal relationship to drug exposure.

Adverse reactions reported with azithromycin during the postmarketing period in adult and/or pediatric patients for which a causal relationship may not be established include:

Allergic:Arthralgia, edema, urticaria, and angioedema.

Cardiovascular:Arrhythmias including ventricular tachycardia and hypotension. There have been reports of QT prolongation and torsades de pointes.

Gastrointestinal:Anorexia, constipation, dyspepsia, flatulence, vomiting/diarrhea, pseudomembranous colitis, pancreatitis, oral candidiasis, pyloric stenosis, and reports of tongue discoloration.

General:Asthenia, paresthesia, fatigue, malaise, and anaphylaxis.

Genitourinary:Interstitial nephritis, acute renal failure, and vaginitis.

Hematopoietic:Thrombocytopenia.

Liver/Biliary:Abnormal liver function, hepatitis, cholestatic jaundice, hepatic necrosis, and hepatic failure. [see Warnings and Precautions (5.2)]

Nervous System:Convulsions, dizziness/vertigo, headache, somnolence, hyperactivity, nervousness, agitation, and syncope.

Psychiatric:Aggressive reaction and anxiety.

Skin/Appendages:Pruritus serious skin reactions including erythema multiforme, AGEP, Stevens-Johnson Syndrome, toxic epidermal necrolysis, and DRESS.

Special Senses:Hearing disturbances including hearing loss, deafness and/or tinnitus, and reports of taste/smell perversion and/or loss.

8 Use in Specific Populations
  • Pediatric use: Safety and effectiveness in the treatment of patients under 6 months of age have not been established. ( 8.4)
  • Geriatric use: Elderly patients may be more susceptible to development of torsades de pointes arrhythmias. ( 8.5)
6.1 Clinical Trials Experience

Because clinical trials are conducted under widely varying conditions, adverse reaction rates observed in the clinical trials of a drug cannot be directly compared to rates in the clinical trials of another drug and may not reflect the rates observed in practice.

In clinical trials, most of the reported side effects were mild to moderate in severity and were reversible upon discontinuation of the drug. Potentially serious adverse reactions of angioedema and cholestatic jaundice were reported. Approximately 0.7% of the patients (adults and pediatric patients) from the 5-day multiple-dose clinical trials discontinued azithromycin therapy because of treatment-related adverse reactions. In adults given 500 mg/day for 3 days, the discontinuation rate due to treatment-related adverse reactions was 0.6%. In clinical trials in pediatric patients given 30 mg/kg, either as a single dose or over 3 days, discontinuation from the trials due to treatment-related adverse reactions was approximately 1%. Most of the adverse reactions leading to discontinuation were related to the gastrointestinal tract, e.g., nausea, vomiting, diarrhea, or abdominal pain. [see Clinical Studies (14.2)]

17 Patient Counseling Information

Advise the patient to read the FDA-approved patient labeling (Patient Information).

16 How Supplied/storage and Handling

Azithromycin Tablets USP, 500 mg are supplied as red, oval, film coated tablets containing azithromycin dihydrate equivalent to 500 mg of azithromycin.

NDC 68071-3661-2 BOTTLES OF 2

NDC 68071-3661-6 BOTTLES OF 6

Azithromycin Tablets USP, 500 mg are debossed "OE" on one side and "500" on the other side. These are packaged in bottles and blister cards of 3 tablets as follows:

5.6 Exacerbation of Myasthenia Gravis

Exacerbation of symptoms of myasthenia gravis and new onset of myasthenic syndrome have been reported in patients receiving azithromycin therapy.

13.2 Animal Toxicology And/or Pharmacology

Phospholipidosis (intracellular phospholipid accumulation) has been observed in some tissues of mice, rats, and dogs given multiple doses of azithromycin. It has been demonstrated in numerous organ systems (e.g., eye, dorsal root ganglia, liver, gallbladder, kidney, spleen, and/or pancreas) in dogs and rats treated with azithromycin at doses which, expressed on the basis of body surface area, are similar to or less than the highest recommended adult human dose. This effect has been shown to be reversible after cessation of azithromycin treatment. Based on the pharmacokinetic data, phospholipidosis has been seen in the rat (50 mg/kg/day dose) at the observed maximal plasma concentration of 1.3 mcg/mL (1.6 times the observed C maxof 0.821 mcg/mL at the adult dose of 2 g). Similarly, it has been shown in the dog (10 mg/kg/day dose) at the observed maximal serum concentration of 1 mcg/mL (1.2 times the observed C maxof 0.821 mcg/mL at the adult dose of 2 g). Phospholipidosis was also observed in neonatal rats dosed for 18 days at 30 mg/kg/day, which is less than the pediatric dose of 60 mg/kg based on the surface area. It was not observed in neonatal rats treated for 10 days at 40 mg/kg/day with mean maximal serum concentrations of 1.86 mcg/mL, approximately 1.5 times the C maxof 1.27 mcg/mL at the pediatric dose. Phospholipidosis has been observed in neonatal dogs (10 mg/kg/day) at maximum mean whole blood concentrations of 3.54 mcg/mL, approximately 3 times the pediatric dose C max. The significance of these findings for animals and for humans is unknown.

5.7 Use in Sexually Transmitted Infections

Azithromycin, at the recommended dose, should not be relied upon to treat syphilis. Antibacterial agents used to treat non-gonococcal urethritis may mask or delay the symptoms of incubating syphilis. All patients with sexually transmitted urethritis or cervicitis should have a serologic test for syphilis and appropriate testing for gonorrhea performed at the time of diagnosis. Appropriate antibacterial therapy and follow-up tests for these diseases should be initiated if infection is confirmed.

5.8 Development of Drug Resistant Bacteria

Prescribing azithromycin in the absence of a proven or strongly suspected bacterial infection is unlikely to provide benefit to the patient and increases the risk of the development of drug-resistant bacteria.

5.3 Infantile Hypertrophic Pyloric Stenosis (ihps)

Following the use of azithromycin in neonates (treatment up to 42 days of life), IHPS has been reported. Direct parents and caregivers to contact their physician if vomiting or irritability with feeding occurs.

7.3 Potential Drug Drug Interactions With Macrolides

Interactions with digoxin, colchicine or phenytoin have not been reported in clinical trials with azithromycin. No specific drug interaction studies have been performed to evaluate potential drug-drug interactions. However, drug interactions have been observed with other macrolide products. Until further data are developed regarding drug interactions when digoxin, colchicine or phenytoin are used with azithromycin careful monitoring of patients is advised.

13.1 Carcinogenesis, Mutagenesis, Impairment of Fertility

Long-term studies in animals have not been performed to evaluate carcinogenic potential. Azithromycin has shown no mutagenic potential in standard laboratory tests: mouse lymphoma assay, human lymphocyte clastogenic assay, and mouse bone marrow clastogenic assay. In fertility studies conducted in male and female rats, oral administration of azithromycin for 64 to 66 days (males) or 15 days (females) prior to and during cohabitation resulted in decreased pregnancy rate at 20 mg/kg/day and 30 mg/kg/day when both males and females were treated with azithromycin. This minimal effect on pregnancy rate (approximately 12% reduction compared to concurrent controls) did not become more pronounced when the dose was increased from 20 mg/kg/day to 30 mg/kg/day (approximately 0.4 to 0.6 times the adult daily dose of 500 mg based on body surface area) and it was not observed when only one animal in the mated pair was treated. There were no effects on any other reproductive parameters, and there were no effects on fertility at 10 mg/kg/day. The relevance of these findings to patients being treated with azithromycin at the doses and durations recommended in the prescribing information is uncertain.


Structured Label Content

Section 42229-5 (42229-5)

PEDIATRIC DOSAGE GUIDELINES FOR OTITIS MEDIA, ACUTE BACTERIAL SINUSITIS, AND COMMUNITY-ACQUIRED PNEUMONIA

(Age 6 months and above, [see Use in Specific Populations (8.4)] )

Based on Body Weight

OTITIS MEDIA AND COMMUNITY-ACQUIRED PNEUMONIA: (5-Day Regimen)
Effectiveness of the 3-day or 1-day regimen in pediatric patients with community-acquired pneumonia has not been established.
Dosing Calculated on 10 mg/kg/day Day 1 and 5 mg/kg/day Days 2 to 5.
Weight 100 mg/5 mL 200 mg/5 mL Total mL per Treatment Course Total mg per Treatment Course
Kg Day 1 Days 2 to 5 Day 1 Days 2 to 5
5 2.5 mL; (½ tsp) 1.25mL; (¼ tsp) 7.5 mL 150 mg
10 5 mL; (1 tsp) 2.5 mL; (½ tsp) 15 mL 300 mg
20 5 mL; (1 tsp) 2.5 mL; (½ tsp) 15 mL 600 mg
30 7.5 mL; (1½ tsp) 3.75 mL; (¾ tsp) 22.5 mL 900 mg
40 10 mL; (2 tsp) 5 mL; (1 tsp) 30 mL 1,200 mg
50 and above 12.5 mL; (2½ tsp) 6.25 mL; (1¼ tsp) 37.5 mL 1,500 mg
OTITIS MEDIA AND ACUTE BACTERIAL SINUSITIS: (3-Day Regimen)
Effectiveness of the 5-day or 1-day regimen in pediatric patients with acute bacterial sinusitis has not been established.
Dosing Calculated on 10 mg/kg/day.
Weight 100 mg/5 mL 200 mg/5 mL Total mL per Treatment Course Total mg per Treatment Course
Kg Days 1 to 3 Days 1 to 3
5 2.5 mL; (½ tsp) 7.5 mL 150 mg
10 5 mL; (1 tsp) 15 mL 300 mg
20 5 mL; (1 tsp) 15 mL 600 mg
30 7.5 mL; (1½ tsp) 22.5 mL 900 mg
40 10 mL; (2 tsp) 30 mL 1,200 mg
50 and above 12.5 mL; (2½ tsp) 37.5 mL 1,500 mg
OTITIS MEDIA: (1-Day Regimen)
Dosing Calculated on 30 mg/kg as a single dose.
Weight 200 mg/5 mL Total mL per Treatment Course Total mg per Treatment Course
Kg 1-Day Regimen
5 3.75 mL; (3/4 tsp) 3.75 mL 150 mg
10 7.5 mL; (1½ tsp) 7.5 mL 300 mg
20 15 mL; (3 tsp) 15 mL 600 mg
30 22.5 mL; (4½ tsp) 22.5 mL 900 mg
40 30 mL; (6 tsp) 30 mL 1,200 mg
50 and above 37.5 mL; (7½ tsp) 37.5 mL 1,500 mg

The safety of re-dosing azithromycin in pediatric patients who vomit after receiving 30 mg/kg as a single dose has not been established. In clinical studies involving 487 patients with acute otitis media given a single 30 mg/kg dose of azithromycin, 8 patients who vomited within 30 minutes of dosing were re-dosed at the same total dose.

Section 44425-7 (44425-7)

Store at 20° to 25°C (68° to 77°F); excursions permitted from 15° to 30°C (59° to 86°F) [see USP Controlled Room Temperature].

Dispense in tight containers (USP).

1.4 Usage

To reduce the development of drug-resistant bacteria and maintain the effectiveness of azithromycin and other antibacterial drugs, azithromycin should be used only to treat infections that are proven or strongly suspected to be caused by susceptible bacteria. When culture and susceptibility information are available, they should be considered in selecting or modifying antibacterial therapy. In the absence of such data, local epidemiology and susceptibility patterns may contribute to the empiric selection of therapy.

7.2 Warfarin

Spontaneous postmarketing reports suggest that concomitant administration of azithromycin may potentiate the effects of oral anticoagulants such as warfarin, although the prothrombin time was not affected in the dedicated drug interaction study with azithromycin and warfarin. Prothrombin times should be carefully monitored while patients are receiving azithromycin and oral anticoagulants concomitantly.

10 Overdosage (10 OVERDOSAGE)

Adverse reactions experienced at higher than recommended doses were similar to those seen at normal doses particularly nausea, diarrhea, and vomiting. In the event of overdosage, general symptomatic and supportive measures are indicated as required.

11 Description (11 DESCRIPTION)

Azithromycin Tablets, USP contain the active ingredient azithromycin, a macrolide antibacterial drug, for oral administration. Azithromycin has the chemical name (2R,3S,4R,5R,8R,10R,11R,12S,13S,14R)-13-[(2,6-dideoxy-3-C-methyl-3-O-methyl-α-L-ribo-hexopyranosyl)oxy]-2-ethyl-3,4,10-trihydroxy-3,5,6,8,10,12,14-heptamethyl-11-[[3,4,6-trideoxy-3-(dimethylamino)-β-D-xylo-hexopyranosyl]oxy]-1-oxa-6-azacyclopentadecan-15-one. Azithromycin is derived from erythromycin; however, it differs chemically from erythromycin in that a methyl-substituted nitrogen atom is incorporated into the lactone ring. Its molecular formula is C 38H 72N 2O 12, and its molecular weight is 749.00. Azithromycin has the following structural formula:

Azithromycin, as the dihydrate, is a white crystalline powder with a molecular formula of C 38H 72N 2O 12∙2H 2O and a molecular weight of 785.0.

Azithromycin is supplied as tablets containing azithromycin dihydrate equivalent to 500 mg azithromycin and the following inactive ingredients: croscarmellose sodium, dibasic calcium phosphate anhydrous, FD&C Blue #1 aluminum lake and lecithin, FD&C Red #40 aluminum Lake, FD&C Yellow #6 aluminum Lake, macrogol/PEG, magnesium stearate, polyvinyl alcohol, pregelatinized starch, talc, and titanium dioxide.

7.1 Nelfinavir

Co-administration of nelfinavir at steady-state with a single oral dose of azithromycin resulted in increased azithromycin serum concentrations. Although a dose adjustment of azithromycin is not recommended when administered in combination with nelfinavir, close monitoring for known adverse reactions of azithromycin, such as liver enzyme abnormalities and hearing impairment, is warranted. [see Adverse Reactions (6)]

8.4 Pediatric Use

[see Clinical Pharmacology (12.3), Indications and Usage (1.2), and Dosage and Administration (2.2)]

Safety and effectiveness in the treatment of pediatric patients with acute otitis media, acute bacterial sinusitis and community-acquired pneumonia under 6 months of age have not been established. Use of azithromycin for the treatment of acute bacterial sinusitis and community-acquired pneumonia in pediatric patients (6 months of age or greater) is supported by adequate and well-controlled trials in adults.

8.5 Geriatric Use

In multiple-dose clinical trials of oral azithromycin, 9% of patients were at least 65 years of age (458/4,949) and 3% of patients (144/4,949) were at least 75 years of age. No overall differences in safety or effectiveness were observed between these subjects and younger subjects, and other reported clinical experience has not identified differences in response between the elderly and younger patients, but greater sensitivity of some older individuals cannot be ruled out.

Elderly patients may be more susceptible to development of torsades de pointes arrhythmias than younger patients. [see Warnings and Precautions (5.4)]

1.1 Adult Patients
  • Acute bacterial exacerbations of chronic bronchitis due to Haemophilus influenzae, Moraxella catarrhalis,or Streptococcus pneumoniae.
  • Acute bacterial sinusitis due to Haemophilus influenzae, Moraxella catarrhalis.or Streptococcus pneumoniae.
  • Community-acquired pneumonia due to Chlamydophila pneumoniae, Haemophilus influenzae, Mycoplasma pneumoniae,or Streptococcus pneumoniaein patients appropriate for oral therapy.
  • Pharyngitis/tonsillitis caused by Streptococcus pyogenesas an alternative to first-line therapy in individuals who cannot use first-line therapy.
  • Uncomplicated skin and skin structure infections due to Staphylococcus aureus, Streptococcus pyogenes, or Streptococcus agalactiae.
  • Urethritis and cervicitis due to Chlamydia trachomatisor Neisseria gonorrhoeae.
  • Genital ulcer disease in men due to Haemophilus ducreyi(chancroid). Due to the small number of women included in clinical trials, the efficacy of azithromycin in the treatment of chancroid in women has not been established.
2.1 Adult Patients

[see Indications and Usage (1.1)and Clinical Pharmacology (12.3)]

Infection
DUE TO THE INDICATED ORGANISMS [see Indications and Usage (1.1)]
Recommended Dose/Duration of Therapy
Community-acquired pneumonia

Pharyngitis/tonsillitis (second-line therapy)

Skin/skin structure (uncomplicated)
500 mg as a single dose on Day 1, followed by 250 mg once daily on Days 2 through 5
Acute bacterial exacerbations of chronic obstructive pulmonary disease 500 mg once daily for 3 days

OR

500 mg as a single dose on Day 1, followed by 250 mg once daily on Days 2 through 5
Acute bacterial sinusitis 500 mg once daily for 3 days
Genital ulcer disease (chancroid) One single 1 gram dose
Non-gonococcal urethritis and cervicitis One single 1 gram dose
Gonococcal urethritis and cervicitis One single 2 gram dose

Azithromycin tablets can be taken with or without food.

5.2 Hepatotoxicity

Abnormal liver function, hepatitis, cholestatic jaundice, hepatic necrosis, and hepatic failure have been reported, some of which have resulted in death. Discontinue azithromycin immediately if signs and symptoms of hepatitis occur.

4 Contraindications (4 CONTRAINDICATIONS)
  • Patients with known hypersensitivity to azithromycin, erythromycin, any macrolide, or ketolide drug. ( 4.1)
  • Patients with a history of cholestatic jaundice/hepatic dysfunction associated with prior use of azithromycin. ( 4.2)
5.4 Qt Prolongation (5.4 QT Prolongation)

Prolonged cardiac repolarization and QT interval, imparting a risk of developing cardiac arrhythmia and torsades de pointes, have been seen with treatment with macrolides, including azithromycin. Cases of torsades de pointes have been spontaneously reported during postmarketing surveillance in patients receiving azithromycin. Providers should consider the risk of QT prolongation which can be fatal when weighing the risks and benefits of azithromycin for at-risk groups including:

  • patients with known prolongation of the QT interval, a history of torsades de pointes, congenital long QT syndrome, bradyarrhythmias or uncompensated heart failure
  • patients on drugs known to prolong the QT interval
  • patients with ongoing proarrhythmic conditions such as uncorrected hypokalemia or hypomagnesemia, clinically significant bradycardia, and in patients receiving Class IA (quinidine, procainamide) or Class III (dofetilide, amiodarone, sotalol) antiarrhythmic agents.

Elderly patients may be more susceptible to drug-associated effects on the QT interval.

6 Adverse Reactions (6 ADVERSE REACTIONS)

Most common adverse reactions are diarrhea (5% to 14%), nausea (3% to 18%), abdominal pain (3% to 7%), or vomiting (2% to 7%). ( 6.1)



To report SUSPECTED ADVERSE REACTIONS, contact Precision Dose, Inc. at 1-800-397-9228 or FDA at 1-800-FDA-1088 or www.fda.gov/medwatch.

7 Drug Interactions (7 DRUG INTERACTIONS)
  • Nelfinavir: Close monitoring for known adverse reactions of azithromycin, such as liver enzyme abnormalities and hearing impairment, is warranted. ( 7.1)
  • Warfarin: Use with azithromycin may increase coagulation times; monitor prothrombin time. ( 7.2)
Patient Information

Read this Patient Information leaflet before you start taking azithromycin tablets and each time you get a refill. There may be new information. This information does not take the place of talking to your healthcare provider about your medical condition or your treatment.

What are azithromycin tablets?

Azithromycin tablets are a macrolide antibiotic prescription medicine used in adults 18 years or older to treat certain infections caused by certain germs called bacteria. These bacterial infections include:

  • acute worsening of chronic bronchitis
  • acute sinus infection
  • community-acquired pneumonia
  • infected throat or tonsils
  • skin infections
  • infections of the urethra or cervix
  • genital ulcers in men

Azithromycin tablets are also used in children to treat:

  • ear infections
  • community-acquired pneumonia
  • infected throat or tonsils

Azithromycin should not be taken by people who cannot tolerate oral medications because they are very ill or have certain other risk factors including:

  • have cystic fibrosis
  • have hospital acquired infections
  • have known or suspected bacteria in the blood
  • need to be in the hospital
  • are elderly
  • have any medical problems that can lower the ability of the immune system to fight infections

Azithromycin tablets are not for viral infections such as the common cold.

It is not known if azithromycin tablets are safe and effective for genital ulcers in women.

It is not known if azithromycin tablets are safe and effective for children with ear infections, sinus infections, and community-acquired pneumonia under 6 months of age.

It is not known if azithromycin tablets are safe and effective for infected throat or tonsils in children under 2 years of age.

Who should not take azithromycin tablets?

Do not take azithromycin tablets if you:

  • have had a severe allergic reaction to certain antibiotics known as macrolides or ketolides including azithromycin and erythromycin.
  • have a history of cholestatic jaundice or hepatic dysfunction that happened with the use of azithromycin.

What should I tell my healthcare provider before taking azithromycin tablets?

Before you take azithromycin tablets, tell your healthcare provider if you:

  • have pneumonia
  • have cystic fibrosis
  • have known or suspected bacteremia (bacterial infection in the blood)
  • have liver or kidney problems
  • have an irregular heartbeat, especially a problem called "QT prolongation"
  • have a problem that causes muscle weakness (myasthenia gravis)
  • have any other medical problems
  • are pregnant or plan to become pregnant. It is not known if azithromycin will harm your unborn baby.
  • are breastfeeding or plan to breastfeed. Azithromycin has been reported to pass into breast milk. Talk to your healthcare provider about the best way to feed your baby while you take azithromycin tablets.

Contact your healthcare provider immediately if you are giving azihtromycin tablets to a young child (less than 6 weeks of age) and he or she vomits or becomes irritable when fed.

Tell your healthcare provider about all the medicines you take,including prescription and non-prescription medicines, vitamins, and herbal supplements.

Azithromycin tablets and other medicines may affect each other causing side effects. Azithromycin tablets may affect the way other medicines work, and other medicines may affect how azithromycin tablets work.

Especially tell your healthcare provider if you take:

  • nelfinavir
  • a blood thinner (warfarin)
  • digoxin
  • colchicine
  • phenytoin
  • an antacid that contains aluminum or magnesium

Know the medicines you take. Keep a list of your medicines and show it to your healthcare provider and pharmacist when you get a new medicine.

How should I take azithromycin tablets?

  • Take azithromycin tablets exactly as your healthcare provider tells you to take it.
  • Azithromycin tablets can be taken with or without food.
  • Do not skip any doses of azithromycin tablets or stop taking it, even if you begin to feel better, until you finish your prescribed treatment unless you have a serious allergic reaction or your healthcare provider tells you to stop taking azithromycin tablets. "See What are the possible side effects of azithromycin tablets?" If you skip doses, or do not complete the total course of azithromycin tablets your treatment may not work as well and your infection may be harder to treat. Taking all of your azithromycin tablets doses will help lower the chance that the bacteria will become resistant to azithromycin tablets.
  • If the bacteria becomes resistant to azithromycin tablets, azithromycin tablets and other antibiotic medicines may not work for you in the future.
  • If you take too much azithromycin tablets, call your healthcare provider or get medical help right away.

What are the possible side effects of azithromycin tablets?

Azithromycin tablets can cause serious side effects, including:

  • Serious allergic reactions.Allergic reactions can happen in people taking azithromcyin the active ingredient in azithromycin tablets, even after only 1 dose. Stop taking azithromycin tablets and get emergency medical help right away if you have any of the following symptoms of a severe allergic reaction:
    • trouble breathing or swallowing
    • swelling of the lips, tongue, face
    • throat tightness, hoarseness
    • rapid heartbeat
    • faintness
    • skin rash (hives)
    • new onset of fever and swollen lymph nodes
    Stop taking azithromycin tablets at the first sign of a skin rash and call your healthcare provider. Skin rash may be a sign of a more serious reaction to azithromycin tablets.
  • Liver damage (hepatotoxicity).Hepatotoxicity can happen in people who take azithromycin tablets. Call your healthcare provider right away if you have unexplained symptoms such as:
    • nausea or vomiting
    • stomach pain
    • fever
    • weakness
    • abdominal pain or tenderness
    • itching
    • unusual tiredness
    • loss of appetite
    • change in the color of your bowel movements
    • dark colored urine
    • yellowing of your skin or of the whites of your eyes
    Stop taking azithromycin tablets and tell your healthcare provider right away if you have yellowing of your skin or white part of your eyes, or if you have dark urine. These can be signs of a serious reaction to azithromycin tablets (a liver problem).
  • Serious heart rhythm changes (QT prolongation and torsades de pointes).

    Tell your healthcare provider right away if you have a change in your heartbeat (a fast or irregular heartbeat), or if you feel faint and dizzy. Azithromycin tablets may cause a rare heart problem known as prolongation of the QT interval. This condition can cause an abnormal heartbeat and can be very dangerous. The chances of this happening are higher in people:
    • who are elderly
    • with a family history of prolonged QT interval
    • with low blood potassium
    • who take certain medicines to control heart rhythm (antiarrhythmics)
  • Worsening of myasthenia gravis (a problem that causes muscle weakness).Certain antibiotics like azithromycin tablets may cause worsening of myasthenia gravis symptoms, including muscle weakness and breathing problems. Call your healthcare provider right away if you have any worsening muscle weakness or breathing problems.
  • Diarrhea.Tell your healthcare provider right away if you have watery diarrhea, diarrhea that does not go away, or bloody stools. You may experience cramping and a fever. This could happen after you have finished your azithromycin tablets.



    The most common side effects of azithromycin tablets include:
    • nausea
    • stomach pain
    • vomiting

These are not all the possible side effects of azithromycin tablets. Tell your healthcare provider about any side effect that bothers you or that does not go away.

Call your doctor for medical advice about side effects. You may report side effects to FDA at 1-800- FDA-1088.

How should I store azithromycin tablets?

  • Store azithromycin tablets at 59ºF to 86ºF (15ºC to 30ºC).
  • Azithromycin tablets come in a child-resistant package.
  • Safely throw away any medicine that is out of date or no longer needed.

Keep azithromycin tablets and all medicines out of the reach of children.

General information about the safe and effective use of azithromycin tablets.

Medicines are sometimes prescribed for purposes other than those listed in the Patient Information leaflet. Do not use azithromycin tablets for a condition for which it was not prescribed. Do not give azithromycin tablets to other people, even if they have the same symptoms you have. It may harm them.

This Patient Information leaflet summarizes the most important information about azithromycin tablets. If you would like more information, talk with your healthcare provider. You can ask your pharmacist or healthcare provider for information about azithromycin tablets that is written for health professionals.

For more information, call 1-800-397-9228.

What are the ingredients in azithromycin tablets?

Active ingredient: azithromycin dihydrate

Inactive ingredients: croscarmellose sodium, dibasic calcium phosphate anhydrous, FD&C Blue #1 aluminum lake and lecithin, FD&C Red #40 aluminum Lake, FD&C Yellow #6 aluminum Lake, macrogol/PEG, magnesium stearate, polyvinyl alcohol, pregelatinized starch, talc, and titanium dioxide.

This Patient Information has been approved by the U.S. Food and Drug Administration.

Manufactured by:

CSPC Ouyi Pharmaceutical Co., Ltd.

Shijiazhuang, Hebei, China, 052160

Manufactured for:

Precision Dose, Inc.

South Beloit, IL 61080

Revised October 2023

4.1 Hypersensitivity

Azithromycin is contraindicated in patients with known hypersensitivity to azithromycin, erythromycin, any macrolide, or ketolide drug.

5.1 Hypersensitivity

Serious allergic reactions, including angioedema, anaphylaxis, and dermatologic reactions including Acute Generalized Exanthematous Pustulosis (AGEP), Stevens-Johnson syndrome, and toxic epidermal necrolysis have been reported in patients on azithromycin therapy. [see Contraindications (4.1)]

Fatalities have been reported. Cases of Drug Reaction with Eosinophilia and Systemic Symptoms (DRESS) have also been reported. Despite initially successful symptomatic treatment of the allergic symptoms, when symptomatic therapy was discontinued, the allergic symptoms recurred soon thereafter in some patients without further azithromycin exposure .These patients required prolonged periods of observation and symptomatic treatment. The relationship of these episodes to the long tissue half-life of azithromycin and subsequent prolonged exposure to antigen is presently unknown.

If an allergic reaction occurs, the drug should be discontinued and appropriate therapy should be instituted. Physicians should be aware that allergic symptoms may reappear when symptomatic therapy has been discontinued.

12.2 Pharmacodynamics

Based on animal models of infection, the antibacterial activity of azithromycin appears to correlate with the ratio of area under the concentration-time curve to minimum inhibitory concentration (AUC/MIC) for certain pathogens ( S. pneumoniaeand S. aureus). The principal pharmacokinetic/pharmacodynamic parameter best associated with clinical and microbiological cure has not been elucidated in clinical trials with azithromycin.

12.3 Pharmacokinetics

Following oral administration of a single 500 mg dose (two 250 mg tablets) to 36 fasted healthy male volunteers, the mean (SD) pharmacokinetic parameters were AUC 0-72= 4.3 (1.2) mcg∙hr/mL; C max= 0.5 (0.2) mcg/mL; T max= 2.2 (0.9) hours. Two azithromycin 250 mg tablets are bioequivalent to a single 500 mg tablet.

In a two-way crossover study, 12 adult healthy volunteers (6 males, 6 females) received 1,500 mg of azithromycin administered in single daily doses over either 5 days (two 250 mg tablets on day 1, followed by one 250 mg tablet on days 2 to 5) or 3 days (500 mg per day for days 1 to 3). Due to limited serum samples on day 2 (3-day regimen) and days 2 to 4 (5-day regimen), the serum concentration-time profile of each subject was fit to a 3-compartment model and the AUC 0–∞for the fitted concentration profile was comparable between the 5-day and 3-day regimens.

3-Day Regimen 5-Day Regimen
Pharmacokinetic Parameter

[mean (SD)]
Day 1 Day 3 Day 1 Day 5
C max(serum, mcg/mL) 0.44 (0.22) 0.54 (0.25) 0.43 (0.20) 0.24 (0.06)
Serum AUC 0–∞(mcg∙hr/mL) 17.4 (6.2)
Total AUC for the entire 3-day and 5-day regimens.
14.9 (3.1)
Serum T 1/2 71.8 hr 68.9 hr
1.2 Pediatric Patients

[see Use in Specific Populations (8.4)and Clinical Studies (14.2)]

  • Acute otitis media ( > 6 months of age) caused by Haemophilus influenzae, Moraxella catarrhalis,or Streptococcus pneumoniae
  • Community-acquired pneumonia ( > 6 months of age) due to Chlamydophila pneumoniae, Haemophilus influenzae, Mycoplasma pneumonia, or Streptococcus pneumoniaein patients appropriate for oral therapy.
  • Pharyngitis/tonsillitis ( > 2 years of age) caused by Streptococcus pyogenesas an alternative to first-line therapy in individuals who cannot use first-line therapy.
1.3 Limitations of Use

Azithromycin should not be used in patients with pneumonia who are judged to be inappropriate for oral therapy because of moderate to severe illness or risk factors such as any of the following:

  • patients with cystic fibrosis,
  • patients with nosocomial infections,
  • patients with known or suspected bacteremia,
  • patients requiring hospitalization,
  • elderly or debilitated patients, or
  • patients with significant underlying health problems that may compromise their ability to respond to their illness (including immunodeficiency or functional asplenia).
1 Indications and Usage (1 INDICATIONS AND USAGE)

Azithromycin is a macrolide antibacterial drug indicated for the treatment of patients with mild to moderate infections caused by susceptible strains of the designated microorganisms in the specific conditions listed below. Recommended dosages and durations of therapy in adult and pediatric patient populations vary in these indications. [see Dosage and Administration (2)]

14.2 Pediatric Patients

From the perspective of evaluating pediatric clinical trials, Days 11 to 14 were considered on-therapy evaluations because of the extended half-life of azithromycin. Days 11 to 14 data are provided for clinical guidance. Days 24 to 32 evaluations were considered the primary test of cure endpoint.

4.2 Hepatic Dysfunction

Azithromycin is contraindicated in patients with a history of cholestatic jaundice/hepatic dysfunction associated with prior use of azithromycin.

Principal Display Panel (PRINCIPAL DISPLAY PANEL)

12.1 Mechanism of Action

Azithromycin is a macrolide antibacterial drug . [see Microbiology (12.4)]

2.2 Pediatric Patients 1
Infection
DUE TO THE INDICATED ORGANISMS [see Indications and Usage (1.2)]
Recommended Dose/Duration of Therapy
1see dosing tables below for maximum doses evaluated by indication
Acute otitis media 30 mg/kg as a single dose or 10 mg/kg once daily for 3 days or 10 mg/kg as a single dose on Day 1 followed by 5 mg/kg/day on Days 2 through 5
Acute bacterial sinusitis 10 mg/kg once daily for 3 days
Community-acquired pneumonia 10 mg/kg as a single dose on Day 1 followed by 5 mg/kg once daily on Days 2 through 5
Pharyngitis/tonsillitis 12 mg/kg once daily for 5 days

Azithromycin for oral suspension can be taken with or without food.

5.5 Clostridium Difficile (5.5 Clostridium difficile)

Clostridium difficile-associated diarrhea has been reported with use of nearly all antibacterial agents, including azithromycin, and may range in severity from mild diarrhea to fatal colitis. Treatment with antibacterial agents alters the normal flora of the colon, leading to overgrowth of C. difficile.

C. difficileproduces toxins A and B which contribute to the development of CDAD. Hypertoxin producing strains of C. difficilecause increased morbidity and mortality, as these infections can be refractory to antibacterial therapy and may require colectomy. CDAD must be considered in all patients who present with diarrhea following antibiotic use. Careful medical history is necessary since CDAD has been reported to occur over two months after the administration of antibacterial agents.

If CDAD is suspected or confirmed, ongoing antibiotic use not directed against C. difficilemay need to be discontinued. Appropriate fluid and electrolyte management, protein supplementation, antibiotic treatment of C. difficile, and surgical evaluation should be instituted as clinically indicated.

5 Warnings and Precautions (5 WARNINGS AND PRECAUTIONS)
  • Serious (including fatal) allergic and skin reactions: Discontinue azithromycin if reaction occurs. ( 5.1)
  • Hepatotoxicity: Severe, and sometimes fatal, hepatotoxicity has been reported. Discontinue azithromycin immediately if signs and symptoms of hepatitis occur. ( 5.2)
  • Infantile Hypertrophic Pyloric Stenosis (IHPS): Following the use of azithromycin in neonates (treatment up to 42 days of life), IHPS has been reported. Direct parents and caregivers to contact their physician if vomiting or irritability with feeding occurs. ( 5.3)
  • Prolongation of QT interval and cases of torsades de pointes have been reported. This risk which can be fatal should be considered in patients with certain cardiovascular disorders including known QT prolongation or history torsades de pointes, those with proarrhythmic conditions, and with other drugs that prolong the QT interval. ( 5.4)
  • Clostridium difficile-Associated Diarrhea: Evaluate patients if diarrhea occurs. ( 5.5)
  • Azithromycin may exacerbate muscle weakness in persons with myasthenia gravis. ( 5.6)
2 Dosage and Administration (2 DOSAGE AND ADMINISTRATION)
  • Adult Patients ( 2.1)
Infection Recommended Dose/Duration of Therapy
Community-acquired pneumonia (mild severity)

Pharyngitis/tonsillitis (second-line therapy)

Skin/skin structure (uncomplicated)
500 mg as a single dose on Day 1, followed by 250 mg once daily on Days 2 through 5
Acute bacterial exacerbations of chronic bronchitis (mild to moderate) 500 mg as a single dose on Day 1, followed by 250 mg once daily on Days 2 through 5 or 500 mg once daily for 3 days
Acute bacterial sinusitis 500 mg once daily for 3 days
Genital ulcer disease (chancroid)

Non-gonococcal urethritis and cervicitis
One single 1 gram dose
Gonococcal urethritis and cervicitis One single 2 gram dose
  • Pediatric Patients ( 2.2)
Infection Recommended Dose/Duration of Therapy
Acute otitis media (6 months of age and older) 30 mg/kg as a single dose or 10 mg/kg once daily for 3 days or 10 mg/kg as a single dose on Day 1 followed by 5 mg/kg/day on Days 2 through 5
Acute bacterial sinusitis (6 months of age and older) 10 mg/kg once daily for 3 days
Community-acquired pneumonia (6 months of age and older) 10 mg/kg as a single dose on Day 1 followed by 5 mg/kg once daily on Days 2 through 5
Pharyngitis/tonsillitis (2 years of age and older) 12 mg/kg once daily for 5 days
3 Dosage Forms and Strengths (3 DOSAGE FORMS AND STRENGTHS)

Azithromycin Tablets USP, 500 mg (debossed "OE" on one side and "500" on the other side) are supplied as red, oval, film coated tablets containing azithromycin dihydrate equivalent to 500 mg azithromycin.

6.2 Postmarketing Experience

The following adverse reactions have been identified during post-approval use of azithromycin. Because these reactions are reported voluntarily from a population of uncertain size, it is not always possible to reliably estimate their frequency or establish a causal relationship to drug exposure.

Adverse reactions reported with azithromycin during the postmarketing period in adult and/or pediatric patients for which a causal relationship may not be established include:

Allergic:Arthralgia, edema, urticaria, and angioedema.

Cardiovascular:Arrhythmias including ventricular tachycardia and hypotension. There have been reports of QT prolongation and torsades de pointes.

Gastrointestinal:Anorexia, constipation, dyspepsia, flatulence, vomiting/diarrhea, pseudomembranous colitis, pancreatitis, oral candidiasis, pyloric stenosis, and reports of tongue discoloration.

General:Asthenia, paresthesia, fatigue, malaise, and anaphylaxis.

Genitourinary:Interstitial nephritis, acute renal failure, and vaginitis.

Hematopoietic:Thrombocytopenia.

Liver/Biliary:Abnormal liver function, hepatitis, cholestatic jaundice, hepatic necrosis, and hepatic failure. [see Warnings and Precautions (5.2)]

Nervous System:Convulsions, dizziness/vertigo, headache, somnolence, hyperactivity, nervousness, agitation, and syncope.

Psychiatric:Aggressive reaction and anxiety.

Skin/Appendages:Pruritus serious skin reactions including erythema multiforme, AGEP, Stevens-Johnson Syndrome, toxic epidermal necrolysis, and DRESS.

Special Senses:Hearing disturbances including hearing loss, deafness and/or tinnitus, and reports of taste/smell perversion and/or loss.

8 Use in Specific Populations (8 USE IN SPECIFIC POPULATIONS)
  • Pediatric use: Safety and effectiveness in the treatment of patients under 6 months of age have not been established. ( 8.4)
  • Geriatric use: Elderly patients may be more susceptible to development of torsades de pointes arrhythmias. ( 8.5)
6.1 Clinical Trials Experience

Because clinical trials are conducted under widely varying conditions, adverse reaction rates observed in the clinical trials of a drug cannot be directly compared to rates in the clinical trials of another drug and may not reflect the rates observed in practice.

In clinical trials, most of the reported side effects were mild to moderate in severity and were reversible upon discontinuation of the drug. Potentially serious adverse reactions of angioedema and cholestatic jaundice were reported. Approximately 0.7% of the patients (adults and pediatric patients) from the 5-day multiple-dose clinical trials discontinued azithromycin therapy because of treatment-related adverse reactions. In adults given 500 mg/day for 3 days, the discontinuation rate due to treatment-related adverse reactions was 0.6%. In clinical trials in pediatric patients given 30 mg/kg, either as a single dose or over 3 days, discontinuation from the trials due to treatment-related adverse reactions was approximately 1%. Most of the adverse reactions leading to discontinuation were related to the gastrointestinal tract, e.g., nausea, vomiting, diarrhea, or abdominal pain. [see Clinical Studies (14.2)]

17 Patient Counseling Information (17 PATIENT COUNSELING INFORMATION)

Advise the patient to read the FDA-approved patient labeling (Patient Information).

16 How Supplied/storage and Handling (16 HOW SUPPLIED/STORAGE AND HANDLING)

Azithromycin Tablets USP, 500 mg are supplied as red, oval, film coated tablets containing azithromycin dihydrate equivalent to 500 mg of azithromycin.

NDC 68071-3661-2 BOTTLES OF 2

NDC 68071-3661-6 BOTTLES OF 6

Azithromycin Tablets USP, 500 mg are debossed "OE" on one side and "500" on the other side. These are packaged in bottles and blister cards of 3 tablets as follows:

5.6 Exacerbation of Myasthenia Gravis

Exacerbation of symptoms of myasthenia gravis and new onset of myasthenic syndrome have been reported in patients receiving azithromycin therapy.

13.2 Animal Toxicology And/or Pharmacology (13.2 Animal Toxicology and/or Pharmacology)

Phospholipidosis (intracellular phospholipid accumulation) has been observed in some tissues of mice, rats, and dogs given multiple doses of azithromycin. It has been demonstrated in numerous organ systems (e.g., eye, dorsal root ganglia, liver, gallbladder, kidney, spleen, and/or pancreas) in dogs and rats treated with azithromycin at doses which, expressed on the basis of body surface area, are similar to or less than the highest recommended adult human dose. This effect has been shown to be reversible after cessation of azithromycin treatment. Based on the pharmacokinetic data, phospholipidosis has been seen in the rat (50 mg/kg/day dose) at the observed maximal plasma concentration of 1.3 mcg/mL (1.6 times the observed C maxof 0.821 mcg/mL at the adult dose of 2 g). Similarly, it has been shown in the dog (10 mg/kg/day dose) at the observed maximal serum concentration of 1 mcg/mL (1.2 times the observed C maxof 0.821 mcg/mL at the adult dose of 2 g). Phospholipidosis was also observed in neonatal rats dosed for 18 days at 30 mg/kg/day, which is less than the pediatric dose of 60 mg/kg based on the surface area. It was not observed in neonatal rats treated for 10 days at 40 mg/kg/day with mean maximal serum concentrations of 1.86 mcg/mL, approximately 1.5 times the C maxof 1.27 mcg/mL at the pediatric dose. Phospholipidosis has been observed in neonatal dogs (10 mg/kg/day) at maximum mean whole blood concentrations of 3.54 mcg/mL, approximately 3 times the pediatric dose C max. The significance of these findings for animals and for humans is unknown.

5.7 Use in Sexually Transmitted Infections

Azithromycin, at the recommended dose, should not be relied upon to treat syphilis. Antibacterial agents used to treat non-gonococcal urethritis may mask or delay the symptoms of incubating syphilis. All patients with sexually transmitted urethritis or cervicitis should have a serologic test for syphilis and appropriate testing for gonorrhea performed at the time of diagnosis. Appropriate antibacterial therapy and follow-up tests for these diseases should be initiated if infection is confirmed.

5.8 Development of Drug Resistant Bacteria (5.8 Development of Drug-Resistant Bacteria)

Prescribing azithromycin in the absence of a proven or strongly suspected bacterial infection is unlikely to provide benefit to the patient and increases the risk of the development of drug-resistant bacteria.

5.3 Infantile Hypertrophic Pyloric Stenosis (ihps) (5.3 Infantile Hypertrophic Pyloric Stenosis (IHPS))

Following the use of azithromycin in neonates (treatment up to 42 days of life), IHPS has been reported. Direct parents and caregivers to contact their physician if vomiting or irritability with feeding occurs.

7.3 Potential Drug Drug Interactions With Macrolides (7.3 Potential Drug-Drug Interactions with Macrolides)

Interactions with digoxin, colchicine or phenytoin have not been reported in clinical trials with azithromycin. No specific drug interaction studies have been performed to evaluate potential drug-drug interactions. However, drug interactions have been observed with other macrolide products. Until further data are developed regarding drug interactions when digoxin, colchicine or phenytoin are used with azithromycin careful monitoring of patients is advised.

13.1 Carcinogenesis, Mutagenesis, Impairment of Fertility

Long-term studies in animals have not been performed to evaluate carcinogenic potential. Azithromycin has shown no mutagenic potential in standard laboratory tests: mouse lymphoma assay, human lymphocyte clastogenic assay, and mouse bone marrow clastogenic assay. In fertility studies conducted in male and female rats, oral administration of azithromycin for 64 to 66 days (males) or 15 days (females) prior to and during cohabitation resulted in decreased pregnancy rate at 20 mg/kg/day and 30 mg/kg/day when both males and females were treated with azithromycin. This minimal effect on pregnancy rate (approximately 12% reduction compared to concurrent controls) did not become more pronounced when the dose was increased from 20 mg/kg/day to 30 mg/kg/day (approximately 0.4 to 0.6 times the adult daily dose of 500 mg based on body surface area) and it was not observed when only one animal in the mated pair was treated. There were no effects on any other reproductive parameters, and there were no effects on fertility at 10 mg/kg/day. The relevance of these findings to patients being treated with azithromycin at the doses and durations recommended in the prescribing information is uncertain.


Advanced Ingredient Data


Raw Label Data

All Sections (JSON)