These Highlights Do Not Include All The Information Needed To Use Oxycodone Hydrochloride Tablets Safely And Effectively. See Full Prescribing Information For Oxycodone Hydrochloride Tablets.

These Highlights Do Not Include All The Information Needed To Use Oxycodone Hydrochloride Tablets Safely And Effectively. See Full Prescribing Information For Oxycodone Hydrochloride Tablets.
SPL v18
SPL
SPL Set ID 20bb6bb4-230a-c9c2-01d8-a6e9341e96ba
Route
ORAL
Published
Effective Date 2017-11-04
Document Type 34391-3 HUMAN PRESCRIPTION DRUG LABEL

Drug Facts

Composition & Product

Active Ingredients
Oxycodone (5 mg)
Inactive Ingredients
Silicon Dioxide Microcrystalline Cellulose Stearic Acid Starch, Corn D&c Yellow No. 10 Fd&c Blue No. 2

Identifiers & Packaging

Marketing Status
ANDA Active Since 2011-12-30

Description

Boxed Warning 12/2025 Indications and Usage ( 1 ) 12/2025 Dosage and Administration ( 2.2 , 2.5 ) 12/2025 Warnings and Precautions ( 5.1 , 5.2 , 5.3 , 5.12 , 5.14 ) 12/2025

Indications and Usage

Oxycodone hydrochloride tablets are indicated for the management of pain severe enough to require an opioid analgesic and for which alternative treatments are inadequate. Limitations of Use Because of the risks of addiction, abuse, misuse, overdose, and death, which can occur at any dosage or duration and persist over the course of therapy [see Warnings and Precautions ( 5.1 )] , reserve opioid analgesics, including oxycodone hydrochloride tablets for use in patients for whom alternative treatment options are ineffective, not tolerated, or would be otherwise inadequate to provide sufficient management of pain.

Dosage and Administration

Oxycodone hydrochloride tablets should be prescribed only by healthcare professionals who are knowledgeable about the use of opioids and how to mitigate the associated risks. ( 2.1 ) Use the lowest effective dosage for the shortest duration of time consistent with individual patient treatment goals. Reserve titration to higher doses of oxycodone hydrochloride tablets for patients in whom lower doses are insufficiently effective and in whom the expected benefits of using a higher dose opioid clearly outweigh the substantial risks. ( 2.1 , 5 ) Many acute pain conditions (e.g., the pain that occurs with a number of surgical procedures or acute musculoskeletal injuries) require no more than a few days of an opioid analgesic. Clinical guidelines on opioid prescribing for some acute pain conditions are available. ( 2.1 ) Initiate the dosing regimen for each patient individually, taking into account the patient’s underlying case and severity of pain, prior analgesic treatment and response, and risk factors for addiction, abuse, and misuse. ( 2.1 , 5.1 ) Respiratory depression can occur at any time during opioid therapy, especially when initiating and following dosage increases with oxycodone hydrochloride tablets. Consider this risk when selecting an initial dose and when making dose adjustments. ( 2.1 , 5.2 ) Discuss opioid overdose reversal agents and options for acquiring them with the patient and/or caregiver, both when initiating and renewing treatment with oxycodone hydrochloride tablets, especially if the patient has additional risk factors for overdose, or close contacts at risk for exposure and overdose. ( 2.2 , 5.1 , 5.2 , 5.3 ) Initiate treatment with oxycodone hydrochloride tablets in a dosing range of 5 mg to 15 mg every 4 to 6 hours as needed for pain and at the lowest dose necessary to achieve adequate analgesia. Titrate the dose based upon the individual patient’s response to their initial dose of oxycodone hydrochloride tablets. ( 2.3 , 2.4 ) Periodically reassess patients receiving oxycodone hydrochloride tablets to evaluate the continued need for opioid analgesics to maintain pain control, for the signs or symptoms of adverse reactions, and for the development of addiction, abuse, or misuse. ( 2.4 ) Do not rapidly reduce or abruptly discontinue oxycodone hydrochloride tablets in a physically dependent patient because rapid reduction or abrupt discontinuation of opioid analgesics has resulted in serious withdrawal symptoms, uncontrolled pain, and suicide. ( 2.5 , 5.1 )

Warnings and Precautions

Opioid-Induced Hyperalgesia and Allodynia: Opioid-Induced Hyperalgesia (OIH) occurs when opioid analgesic paradoxically causes an increase in pain, or an increase in sensitivity to pain. If OIH is suspected, carefully consider appropriately decreasing the dose of the current opioid analgesic, or opioid rotation. ( 5.7) Life-Threatening Respiratory Depression in Patients with Chronic Pulmonary Disease or in Elderly, Cachectic, or Debilitated Patients: Regularly evaluate closely, particularly during initiation and titration. ( 5.8 ) Adrenal Insufficiency: If diagnosed, treat with physiologic replacement of corticosteroids, and wean patient off of the opioid. ( 5.9 ) Severe Hypotension: Regularly evaluate during dosage initiation and titration. Avoid use of oxycodone hydrochloride tablets in patients with circulatory shock. ( 5.10 ) Risks of Use in Patients with Increased Intracranial Pressure, Brain Tumors, Head Injury, or Impaired Consciousness: Monitor for sedation and respiratory depression. Avoid use of oxycodone hydrochloride tablets in patients with impaired consciousness or coma. ( 5.11 )

Contraindications

Oxycodone hydrochloride tablets are contraindicated in patients with: Significant respiratory depression [see Warnings and Precautions ( 5.2 )]. Acute or severe bronchial asthma in an unmonitored setting or in the absence of resuscitative equipment or hypercarbia [see Warnings and Precautions ( 5.8 )]. Known or suspected gastrointestinal obstruction, including paralytic ileus [see Warnings and Precautions ( 5.12 )] . Known hypersensitivity (e.g., anaphylaxis) to oxycodone [see Adverse Reactions ( 6.2 )] .

Adverse Reactions

The following serious adverse reactions are described, or described in greater detail, in other sections: Addiction, Abuse, and Misuse [see Warnings and Precautions ( 5.1 )] Life-Threatening Respiratory Depression [see Warnings and Precautions ( 5.2 )] Interactions with Benzodiazepines or Other CNS Depressants [see Warnings and Precautions ( 5.3 )] Neonatal Opioid Withdrawal Syndrome [see Warnings and Precautions ( 5.4 )] Opioid-Induce Hyperalgesia and Allodynia [see Warnings and Precautions ( 5.7 )] Adrenal Insufficiency [see Warnings and Precautions ( 5.9 )] Severe Hypotension [see Warnings and Precautions ( 5.10 )] Gastrointestinal Adverse Reactions [see Warnings and Precautions ( 5.12 )] Seizures [see Warnings and Precautions ( 5.13 )] Withdrawal [see Warnings and Precautions ( 5.14 )]

Drug Interactions

Table 1 includes clinically significant drug interactions with oxycodone hydrochloride tablets. Table 1: Clinically Significant Drug Interactions with Oxycodone Hydrochloride Tablets Inhibitors of CYP3A4 and CYP2D6 Clinical Impact: The concomitant use of oxycodone hydrochloride tablets and CYP3A4 inhibitors can increase the plasma concentration of oxycodone, resulting in increased or prolonged opioid effects. These effects could be more pronounced with concomitant use of oxycodone hydrochloride tablets and CYP2D6 and CYP3A4 inhibitors, particularly when an inhibitor is added after a stable dose of oxycodone hydrochloride tablets is achieved [see Warnings and Precautions ( 5.3 )] . After stopping a CYP3A4 inhibitor, as the effects of the inhibitor decline, the oxycodone plasma concentration will decrease [see Clinical Pharmacology ( 12.3 )] , resulting in decreased opioid efficacy or a withdrawal syndrome in patients who had developed physical dependence to oxycodone. Intervention: If concomitant use is necessary, consider dosage reduction of oxycodone hydrochloride tablets until stable drug effects are achieved. Evaluate patients at frequent intervals for respiratory depression and sedation. If a CYP3A4 inhibitor is discontinued, consider increasing the oxycodone hydrochloride tablets dosage until stable drug effects are achieved. Evaluate for signs of opioid withdrawal. Examples: Macrolide antibiotics (e.g., erythromycin), azole-antifungal agents (e.g., ketoconazole), protease inhibitors (e.g., ritonavir). CYP3A4 Inducers Clinical Impact: The concomitant use of oxycodone hydrochloride tablets and CYP3A4 inducers can decrease the plasma concentration of oxycodone [see Clinical Pharmacology ( 12.3 )] , resulting in decreased efficacy or onset of a withdrawal syndrome in patients who have developed physical dependence to oxycodone [see Warnings and Precautions ( 5.6 )] . After stopping a CYP3A4 inducer, as the effects of the inducer decline, the oxycodone plasma concentration will increase [see Clinical Pharmacology ( 12.3 )] , which could increase or prolong both the therapeutic effects and adverse reactions, and may cause serious respiratory depression. Intervention: If concomitant use is necessary, consider increasing the oxycodone hydrochloride tablets dosage until stable drug effects are achieved. Evaluate patients for signs of opioid withdrawal. If a CYP3A4 inducer is discontinued, consider oxycodone hydrochloride tablets dosage reduction and evaluate patients at frequent intervals for signs of respiratory depression and sedation. Examples: Rifampin, carbamazepine, phenytoin Benzodiazepines and Other Central Nervous System (CNS) Depressants Clinical Impact: Due to additive pharmacologic effect, the concomitant use of benzodiazepines or other CNS depressants, including alcohol, can increase the risk of hypotension, respiratory depression, profound sedation, coma, and death [see Warnings and Precautions ( 5.3 )] . Intervention: Reserve concomitant prescribing of these drugs for use in patients for whom alternative treatment options are inadequate. Limit dosages and durations to the minimum required. Inform patients and caregivers of this potential interaction and educate them on the signs and symptoms of respiratory depression (including sedation). If concomitant use is warranted, consider recommending or prescribing an opioid overdose reversal agent [see Dosage and Administration ( 2.2 ), Warnings and Precautions ( 5.1 , 5.2 , 5.3 )] . Examples: Benzodiazepines and other sedatives/hypnotics, anxiolytics, tranquilizers, muscle relaxants, general anesthetics, antipsychotics, gabapentinoids (gabapentin or pregabalin), other opioids, alcohol. Serotonergic Drugs Clinical Impact: The concomitant use of opioids with other drugs that affect the serotonergic neurotransmitter system has resulted in serotonin syndrome [see Adverse Reactions ( 6.2 )]. Intervention: If concomitant use is warranted, frequently evaluate the patient, particularly during treatment initiation and dose adjustment. Discontinue oxycodone hydrochloride tablets if serotonin syndrome is suspected. Examples: Selective serotonin reuptake inhibitors (SSRIs), serotonin and norepinephrine reuptake inhibitors (SNRIs), tricyclic antidepressants (TCAs), triptans, 5-HT3 receptor antagonists, drugs that affect the serotonin neurotransmitter system (e.g., mirtazapine, trazodone, tramadol), certain muscle relaxants (i.e., cyclobenzaprine, metaxalone), monoamine oxidase (MAO) inhibitors (those intended to treat psychiatric disorders and also others, such as linezolid and intravenous methylene blue). Monoamine Oxidase Inhibitors (MAOIs) Clinical Impact: MAOI interactions with opioids may manifest as serotonin syndrome or opioid toxicity (e.g., respiratory depression, coma) [see Warnings and Precautions ( 5.2 )] . Intervention: The use of oxycodone hydrochloride tablets are not recommended for patients taking MAOIs or within 14 days of stopping such treatment. If urgent use of an opioid is necessary, use test doses and frequent titration of small doses to treat pain while closely monitoring blood pressure and signs and symptoms of CNS and respiratory depression. Examples: phenelzine, tranylcypromine, linezolid Mixed Agonist/Antagonist Opioid Analgesics Clinical Impact: May reduce the analgesic effect of oxycodone hydrochloride tablets and/or may precipitate withdrawal symptoms. Intervention: Avoid concomitant use Examples: Butorphanol, nalbuphine, pentazocine, buprenorphine Muscle Relaxants Clinical Impact: Oxycodone may enhance the neuromuscular blocking action of skeletal muscle relaxants and produce an increased degree of respiratory depression. Intervention: Because respiratory depression may be greater than otherwise expected, decrease the dosage of oxycodone hydrochloride tablets and/or the muscle relaxant as necessary. Due to the risk of respiratory depression with concomitant use of skeletal muscle relaxants and opioids, consider recommending or prescribing an opioid overdose reversal agent [see Dosage and Administration ( 2.2 ), Warnings and Precautions ( 5.2 , 5.3 )] . Examples: Cyclobenzaprine, metaxalone Diuretics Clinical Impact: Opioids can reduce the efficacy of diuretics by inducing the release of antidiuretic hormone. Intervention: Evaluate patients for signs of dismissed diuresis and/or effects on blood pressure and increase the dosage of the diuretic as needed. Anticholinergic Drugs Clinical Impact: The concomitant risk of anticholinergic drugs may result in increased risk of urinary retention and/or severe constipation, which may lead to paralytic ileus. Intervention: Evaluate patients for signs of urinary retention or reduced gastric motility when oxycodone hydrochloride tablets are used concurrently with anticholinergic drugs.

Storage and Handling

Oxycodone hydrochloride tablets, USP are available as follows: 5 mg tablets: white, round, biconvex tablets debossed “ALG 263” on one side and score line on the other side. Bottles of 500 tablets: NDC 47781-263-05 Bottles of 100 tablets: NDC 47781-263-01 15 mg tablets: green, round, biconvex tablets, debossed “ALG 264” on one side and score line on the other side. Bottles of 500 tablets: NDC 47781-264-05 Bottles of 100 tablets: NDC 47781-264-01 30 mg tablets: blue, round, biconvex tablets, debossed “ALG 265” on one side and score line on the other side. Bottles of 500 tablets: NDC 47781-265-05 Bottles of 100 tablets: NDC 47781-265-01 Dispense in a tight, light-resistant container. Protect from moisture. Store at 25°C (77°F); excursions are permitted to 15°C to 30°C (59°F to 86°F) [See USP Controlled Room Temperature]. Store oxycodone hydrochloride tablets securely and dispose of properly [see Patient Counseling Information ( 17 )] .

How Supplied

Oxycodone hydrochloride tablets, USP are available as follows: 5 mg tablets: white, round, biconvex tablets debossed “ALG 263” on one side and score line on the other side. Bottles of 500 tablets: NDC 47781-263-05 Bottles of 100 tablets: NDC 47781-263-01 15 mg tablets: green, round, biconvex tablets, debossed “ALG 264” on one side and score line on the other side. Bottles of 500 tablets: NDC 47781-264-05 Bottles of 100 tablets: NDC 47781-264-01 30 mg tablets: blue, round, biconvex tablets, debossed “ALG 265” on one side and score line on the other side. Bottles of 500 tablets: NDC 47781-265-05 Bottles of 100 tablets: NDC 47781-265-01 Dispense in a tight, light-resistant container. Protect from moisture. Store at 25°C (77°F); excursions are permitted to 15°C to 30°C (59°F to 86°F) [See USP Controlled Room Temperature]. Store oxycodone hydrochloride tablets securely and dispose of properly [see Patient Counseling Information ( 17 )] .


Medication Information

Warnings and Precautions

Opioid-Induced Hyperalgesia and Allodynia: Opioid-Induced Hyperalgesia (OIH) occurs when opioid analgesic paradoxically causes an increase in pain, or an increase in sensitivity to pain. If OIH is suspected, carefully consider appropriately decreasing the dose of the current opioid analgesic, or opioid rotation. ( 5.7) Life-Threatening Respiratory Depression in Patients with Chronic Pulmonary Disease or in Elderly, Cachectic, or Debilitated Patients: Regularly evaluate closely, particularly during initiation and titration. ( 5.8 ) Adrenal Insufficiency: If diagnosed, treat with physiologic replacement of corticosteroids, and wean patient off of the opioid. ( 5.9 ) Severe Hypotension: Regularly evaluate during dosage initiation and titration. Avoid use of oxycodone hydrochloride tablets in patients with circulatory shock. ( 5.10 ) Risks of Use in Patients with Increased Intracranial Pressure, Brain Tumors, Head Injury, or Impaired Consciousness: Monitor for sedation and respiratory depression. Avoid use of oxycodone hydrochloride tablets in patients with impaired consciousness or coma. ( 5.11 )

Indications and Usage

Oxycodone hydrochloride tablets are indicated for the management of pain severe enough to require an opioid analgesic and for which alternative treatments are inadequate. Limitations of Use Because of the risks of addiction, abuse, misuse, overdose, and death, which can occur at any dosage or duration and persist over the course of therapy [see Warnings and Precautions ( 5.1 )] , reserve opioid analgesics, including oxycodone hydrochloride tablets for use in patients for whom alternative treatment options are ineffective, not tolerated, or would be otherwise inadequate to provide sufficient management of pain.

Dosage and Administration

Oxycodone hydrochloride tablets should be prescribed only by healthcare professionals who are knowledgeable about the use of opioids and how to mitigate the associated risks. ( 2.1 ) Use the lowest effective dosage for the shortest duration of time consistent with individual patient treatment goals. Reserve titration to higher doses of oxycodone hydrochloride tablets for patients in whom lower doses are insufficiently effective and in whom the expected benefits of using a higher dose opioid clearly outweigh the substantial risks. ( 2.1 , 5 ) Many acute pain conditions (e.g., the pain that occurs with a number of surgical procedures or acute musculoskeletal injuries) require no more than a few days of an opioid analgesic. Clinical guidelines on opioid prescribing for some acute pain conditions are available. ( 2.1 ) Initiate the dosing regimen for each patient individually, taking into account the patient’s underlying case and severity of pain, prior analgesic treatment and response, and risk factors for addiction, abuse, and misuse. ( 2.1 , 5.1 ) Respiratory depression can occur at any time during opioid therapy, especially when initiating and following dosage increases with oxycodone hydrochloride tablets. Consider this risk when selecting an initial dose and when making dose adjustments. ( 2.1 , 5.2 ) Discuss opioid overdose reversal agents and options for acquiring them with the patient and/or caregiver, both when initiating and renewing treatment with oxycodone hydrochloride tablets, especially if the patient has additional risk factors for overdose, or close contacts at risk for exposure and overdose. ( 2.2 , 5.1 , 5.2 , 5.3 ) Initiate treatment with oxycodone hydrochloride tablets in a dosing range of 5 mg to 15 mg every 4 to 6 hours as needed for pain and at the lowest dose necessary to achieve adequate analgesia. Titrate the dose based upon the individual patient’s response to their initial dose of oxycodone hydrochloride tablets. ( 2.3 , 2.4 ) Periodically reassess patients receiving oxycodone hydrochloride tablets to evaluate the continued need for opioid analgesics to maintain pain control, for the signs or symptoms of adverse reactions, and for the development of addiction, abuse, or misuse. ( 2.4 ) Do not rapidly reduce or abruptly discontinue oxycodone hydrochloride tablets in a physically dependent patient because rapid reduction or abrupt discontinuation of opioid analgesics has resulted in serious withdrawal symptoms, uncontrolled pain, and suicide. ( 2.5 , 5.1 )

Contraindications

Oxycodone hydrochloride tablets are contraindicated in patients with: Significant respiratory depression [see Warnings and Precautions ( 5.2 )]. Acute or severe bronchial asthma in an unmonitored setting or in the absence of resuscitative equipment or hypercarbia [see Warnings and Precautions ( 5.8 )]. Known or suspected gastrointestinal obstruction, including paralytic ileus [see Warnings and Precautions ( 5.12 )] . Known hypersensitivity (e.g., anaphylaxis) to oxycodone [see Adverse Reactions ( 6.2 )] .

Adverse Reactions

The following serious adverse reactions are described, or described in greater detail, in other sections: Addiction, Abuse, and Misuse [see Warnings and Precautions ( 5.1 )] Life-Threatening Respiratory Depression [see Warnings and Precautions ( 5.2 )] Interactions with Benzodiazepines or Other CNS Depressants [see Warnings and Precautions ( 5.3 )] Neonatal Opioid Withdrawal Syndrome [see Warnings and Precautions ( 5.4 )] Opioid-Induce Hyperalgesia and Allodynia [see Warnings and Precautions ( 5.7 )] Adrenal Insufficiency [see Warnings and Precautions ( 5.9 )] Severe Hypotension [see Warnings and Precautions ( 5.10 )] Gastrointestinal Adverse Reactions [see Warnings and Precautions ( 5.12 )] Seizures [see Warnings and Precautions ( 5.13 )] Withdrawal [see Warnings and Precautions ( 5.14 )]

Drug Interactions

Table 1 includes clinically significant drug interactions with oxycodone hydrochloride tablets. Table 1: Clinically Significant Drug Interactions with Oxycodone Hydrochloride Tablets Inhibitors of CYP3A4 and CYP2D6 Clinical Impact: The concomitant use of oxycodone hydrochloride tablets and CYP3A4 inhibitors can increase the plasma concentration of oxycodone, resulting in increased or prolonged opioid effects. These effects could be more pronounced with concomitant use of oxycodone hydrochloride tablets and CYP2D6 and CYP3A4 inhibitors, particularly when an inhibitor is added after a stable dose of oxycodone hydrochloride tablets is achieved [see Warnings and Precautions ( 5.3 )] . After stopping a CYP3A4 inhibitor, as the effects of the inhibitor decline, the oxycodone plasma concentration will decrease [see Clinical Pharmacology ( 12.3 )] , resulting in decreased opioid efficacy or a withdrawal syndrome in patients who had developed physical dependence to oxycodone. Intervention: If concomitant use is necessary, consider dosage reduction of oxycodone hydrochloride tablets until stable drug effects are achieved. Evaluate patients at frequent intervals for respiratory depression and sedation. If a CYP3A4 inhibitor is discontinued, consider increasing the oxycodone hydrochloride tablets dosage until stable drug effects are achieved. Evaluate for signs of opioid withdrawal. Examples: Macrolide antibiotics (e.g., erythromycin), azole-antifungal agents (e.g., ketoconazole), protease inhibitors (e.g., ritonavir). CYP3A4 Inducers Clinical Impact: The concomitant use of oxycodone hydrochloride tablets and CYP3A4 inducers can decrease the plasma concentration of oxycodone [see Clinical Pharmacology ( 12.3 )] , resulting in decreased efficacy or onset of a withdrawal syndrome in patients who have developed physical dependence to oxycodone [see Warnings and Precautions ( 5.6 )] . After stopping a CYP3A4 inducer, as the effects of the inducer decline, the oxycodone plasma concentration will increase [see Clinical Pharmacology ( 12.3 )] , which could increase or prolong both the therapeutic effects and adverse reactions, and may cause serious respiratory depression. Intervention: If concomitant use is necessary, consider increasing the oxycodone hydrochloride tablets dosage until stable drug effects are achieved. Evaluate patients for signs of opioid withdrawal. If a CYP3A4 inducer is discontinued, consider oxycodone hydrochloride tablets dosage reduction and evaluate patients at frequent intervals for signs of respiratory depression and sedation. Examples: Rifampin, carbamazepine, phenytoin Benzodiazepines and Other Central Nervous System (CNS) Depressants Clinical Impact: Due to additive pharmacologic effect, the concomitant use of benzodiazepines or other CNS depressants, including alcohol, can increase the risk of hypotension, respiratory depression, profound sedation, coma, and death [see Warnings and Precautions ( 5.3 )] . Intervention: Reserve concomitant prescribing of these drugs for use in patients for whom alternative treatment options are inadequate. Limit dosages and durations to the minimum required. Inform patients and caregivers of this potential interaction and educate them on the signs and symptoms of respiratory depression (including sedation). If concomitant use is warranted, consider recommending or prescribing an opioid overdose reversal agent [see Dosage and Administration ( 2.2 ), Warnings and Precautions ( 5.1 , 5.2 , 5.3 )] . Examples: Benzodiazepines and other sedatives/hypnotics, anxiolytics, tranquilizers, muscle relaxants, general anesthetics, antipsychotics, gabapentinoids (gabapentin or pregabalin), other opioids, alcohol. Serotonergic Drugs Clinical Impact: The concomitant use of opioids with other drugs that affect the serotonergic neurotransmitter system has resulted in serotonin syndrome [see Adverse Reactions ( 6.2 )]. Intervention: If concomitant use is warranted, frequently evaluate the patient, particularly during treatment initiation and dose adjustment. Discontinue oxycodone hydrochloride tablets if serotonin syndrome is suspected. Examples: Selective serotonin reuptake inhibitors (SSRIs), serotonin and norepinephrine reuptake inhibitors (SNRIs), tricyclic antidepressants (TCAs), triptans, 5-HT3 receptor antagonists, drugs that affect the serotonin neurotransmitter system (e.g., mirtazapine, trazodone, tramadol), certain muscle relaxants (i.e., cyclobenzaprine, metaxalone), monoamine oxidase (MAO) inhibitors (those intended to treat psychiatric disorders and also others, such as linezolid and intravenous methylene blue). Monoamine Oxidase Inhibitors (MAOIs) Clinical Impact: MAOI interactions with opioids may manifest as serotonin syndrome or opioid toxicity (e.g., respiratory depression, coma) [see Warnings and Precautions ( 5.2 )] . Intervention: The use of oxycodone hydrochloride tablets are not recommended for patients taking MAOIs or within 14 days of stopping such treatment. If urgent use of an opioid is necessary, use test doses and frequent titration of small doses to treat pain while closely monitoring blood pressure and signs and symptoms of CNS and respiratory depression. Examples: phenelzine, tranylcypromine, linezolid Mixed Agonist/Antagonist Opioid Analgesics Clinical Impact: May reduce the analgesic effect of oxycodone hydrochloride tablets and/or may precipitate withdrawal symptoms. Intervention: Avoid concomitant use Examples: Butorphanol, nalbuphine, pentazocine, buprenorphine Muscle Relaxants Clinical Impact: Oxycodone may enhance the neuromuscular blocking action of skeletal muscle relaxants and produce an increased degree of respiratory depression. Intervention: Because respiratory depression may be greater than otherwise expected, decrease the dosage of oxycodone hydrochloride tablets and/or the muscle relaxant as necessary. Due to the risk of respiratory depression with concomitant use of skeletal muscle relaxants and opioids, consider recommending or prescribing an opioid overdose reversal agent [see Dosage and Administration ( 2.2 ), Warnings and Precautions ( 5.2 , 5.3 )] . Examples: Cyclobenzaprine, metaxalone Diuretics Clinical Impact: Opioids can reduce the efficacy of diuretics by inducing the release of antidiuretic hormone. Intervention: Evaluate patients for signs of dismissed diuresis and/or effects on blood pressure and increase the dosage of the diuretic as needed. Anticholinergic Drugs Clinical Impact: The concomitant risk of anticholinergic drugs may result in increased risk of urinary retention and/or severe constipation, which may lead to paralytic ileus. Intervention: Evaluate patients for signs of urinary retention or reduced gastric motility when oxycodone hydrochloride tablets are used concurrently with anticholinergic drugs.

Storage and Handling

Oxycodone hydrochloride tablets, USP are available as follows: 5 mg tablets: white, round, biconvex tablets debossed “ALG 263” on one side and score line on the other side. Bottles of 500 tablets: NDC 47781-263-05 Bottles of 100 tablets: NDC 47781-263-01 15 mg tablets: green, round, biconvex tablets, debossed “ALG 264” on one side and score line on the other side. Bottles of 500 tablets: NDC 47781-264-05 Bottles of 100 tablets: NDC 47781-264-01 30 mg tablets: blue, round, biconvex tablets, debossed “ALG 265” on one side and score line on the other side. Bottles of 500 tablets: NDC 47781-265-05 Bottles of 100 tablets: NDC 47781-265-01 Dispense in a tight, light-resistant container. Protect from moisture. Store at 25°C (77°F); excursions are permitted to 15°C to 30°C (59°F to 86°F) [See USP Controlled Room Temperature]. Store oxycodone hydrochloride tablets securely and dispose of properly [see Patient Counseling Information ( 17 )] .

How Supplied

Oxycodone hydrochloride tablets, USP are available as follows: 5 mg tablets: white, round, biconvex tablets debossed “ALG 263” on one side and score line on the other side. Bottles of 500 tablets: NDC 47781-263-05 Bottles of 100 tablets: NDC 47781-263-01 15 mg tablets: green, round, biconvex tablets, debossed “ALG 264” on one side and score line on the other side. Bottles of 500 tablets: NDC 47781-264-05 Bottles of 100 tablets: NDC 47781-264-01 30 mg tablets: blue, round, biconvex tablets, debossed “ALG 265” on one side and score line on the other side. Bottles of 500 tablets: NDC 47781-265-05 Bottles of 100 tablets: NDC 47781-265-01 Dispense in a tight, light-resistant container. Protect from moisture. Store at 25°C (77°F); excursions are permitted to 15°C to 30°C (59°F to 86°F) [See USP Controlled Room Temperature]. Store oxycodone hydrochloride tablets securely and dispose of properly [see Patient Counseling Information ( 17 )] .

Description

Boxed Warning 12/2025 Indications and Usage ( 1 ) 12/2025 Dosage and Administration ( 2.2 , 2.5 ) 12/2025 Warnings and Precautions ( 5.1 , 5.2 , 5.3 , 5.12 , 5.14 ) 12/2025

Section 42229-5

Product of USA

Manufactured by:

Norwich Pharmaceuticals, Inc.

Norwich, NY 13815 USA

Distributed by:

Alvogen, Inc.

Morristown, NJ 07960 USA

To request medical information or to report suspected adverse reactions, contact Alvogen, Inc. at 1-866-770-3024.

Revised: 001/2026

PI263-10

Section 42231-1
Medication Guide

Oxycodone Hydrochloride (ox” i koe’ done hye” droe klor’ ide)

Tablets USP, CII
Oxycodone hydrochloride tablets are:
  • A strong prescription pain medicine that contains an opioid (narcotic) that is used to manage pain severe enough to require an opioid pain medicine, when other pain treatments such as non-opioid pain medicines do not treat your pain well enough or you cannot tolerate them.
  • An opioid pain medicine that can put you at risk for overdose and death. Even if you take your dose correctly as prescribed you are at risk for opioid addiction, abuse, and misuse that can lead to death.
Important information about oxycodone hydrochloride tablets:
  • Get emergency help or call 911 right away if you take too many oxycodone hydrochloride tablets (overdose). When you first start taking oxycodone hydrochloride tablets, when your dose is changed, or if you take too much (overdose), serious or life-threatening breathing problems that can lead to death may occur. Ask your healthcare provider about medicines like naloxone or nalmefene that can be used in an emergency to reverse an opioid overdose.

  • Taking oxycodone hydrochloride tablets with other opioid medicines, benzodiazepines, gabapentinoids (gabapentin or pregabalin), alcohol, or other central nervous system depressants (including street drugs) can cause severe drowsiness, decreased awareness, breathing problems, coma, and death.

  • Never give anyone else your oxycodone hydrochloride tablets. They could die from taking it. Selling or giving away oxycodone hydrochloride tablets is against the law.
  • Store oxycodone hydrochloride tablets securely, out of sight and reach of children, and in a location not accessible by others, including visitors to the home.
Do not take oxycodone hydrochloride tablets if you have:
  • severe asthma, trouble breathing, or other lung problems.
  • a bowel blockage or have narrowing of the stomach or intestines.
  • allergy to oxycodone.
Before taking oxycodone hydrochloride tablets, tell your healthcare provider if you have a history of:
  • head injury, seizures
  • liver, kidney, thyroid problems
  • problems urinating
  • pancreas or gallbladder problems
  • abuse of street or prescription drugs, alcohol addiction, opioid overdose, or mental health problems.
Tell your healthcare provider if you are:
  • noticing your pain getting worse. If your pain gets worse after you take oxycodone hydrochloride tablets, do not take more oxycodone hydrochloride tablets without first talking to your healthcare provider. Talk to your healthcare provider if the pain that you have increases, if you feel more sensitive to pain, or if you have new pain after taking oxycodone hydrochloride tablets.
  • pregnant or planning to become pregnant. Use of oxycodone hydrochloride tablets for an extended period of time during pregnancy can cause withdrawal symptoms in your newborn baby that could be life-threatening if not recognized and treated.
  • breastfeeding. Oxycodone hydrochloride passes into breast milk and may harm your baby. Carefully observe infants for increased sleepiness (more than usual), breathing difficulties, or limpness. Seek immediate medical care if you notice these signs.
  • living in a household where there are small children or someone who has abused street or prescription drugs.
  • taking prescription or over-the-counter medicines, vitamins, or herbal supplements. Taking oxycodone hydrochloride tablets with certain other medicines can cause serious side effects that could lead to death.
When taking oxycodone hydrochloride tablets:
  • Do not change your dose. Take oxycodone hydrochloride tablets exactly as prescribed by your healthcare provider. Use the lowest dose possible for the shortest time needed.
  • For acute (short-term) pain, you may only need to take oxycodone hydrochloride tablets for a few days. You may have some oxycodone hydrochloride tablets left over that you did not use. See disposal information at the bottom of this section for directions on how to safely throw away (dispose of) your unused oxycodone hydrochloride tablets.
  • Take your prescribed dose every 4 to 6 hours as needed for pain. Do not take more than your prescribed dose. If you miss a dose, take your next dose at your usual time.
  • Call your healthcare provider if the dose you are taking does not control your pain.
  • If you have been taking oxycodone hydrochloride tablets regularly, do not stop taking oxycodone hydrochloride tablets without talking to your healthcare provider.
  • Dispose of expired, unwanted, or unused oxycodone hydrochloride tablets by promptly flushing down the toilet, if a drug take-back option is not readily available. Visit www.fda.gov/drugdisposal for additional information on disposal of unused medicines.
While taking oxycodone hydrochloride tablets DO NOT:
  • Drive or operate heavy machinery, until you know how oxycodone hydrochloride tablets affect you. Oxycodone hydrochloride tablets can make you sleepy, dizzy, or lightheaded.
  • Drink alcohol or use prescription or over-the-counter medicines that contain alcohol. Using products containing alcohol during treatment with oxycodone hydrochloride tablets may cause you to overdose and die.
The possible side effects of oxycodone hydrochloride tablets are:
  • constipation, nausea, sleepiness, vomiting, tiredness, headache, dizziness, abdominal pain. Call your healthcare provider if you have any of these symptoms and they are severe.
Get emergency medical help or call 911 right away if you have:
  • trouble breathing, shortness of breath, fast heartbeat, chest pain, swelling of your face, tongue, or throat, extreme drowsiness, light-headedness when changing positions, feeling faint, agitation, high body temperature, trouble walking, stiff muscles, or mental changes such as confusion.
These are not all the possible side effects of oxycodone hydrochloride tablets. Call your healthcare provider for medical advice about side effects. You may report side effects to FDA at 1-800-FDA-1088. For more information call Alvogen, Inc. at 1-866-770-3024 or go to dailymed.nlm.nih.gov.



Product of USA

Manufactured by: Norwich Pharmaceuticals, Inc., Norwich, NY 13815 USA

Distributed by: Alvogen, Inc., Morristown, NJ 07960 USA

This Medication Guide has been approved by the U.S. Food and Drug Administration.                         

Revised: 01/2026

PL263-05

9.2 Abuse

Oxycodone hydrochloride tablets contain oxycodone, a substance with high potential for misuse and abuse, which can lead to the development of substance use disorder, including addiction [see Warnings and Precautions (5.1)].

Misuse is the intentional use, for therapeutic purposes, of a drug by an individual in a way other than prescribed by a healthcare provider or for whom it was not prescribed.

Abuse is the intentional, non-therapeutic use of a drug, even once, for its desirable psychological or physiological effects.

Drug addiction is a cluster of behavioral, cognitive, and physiological phenomena that may include a strong desire to take the drug, difficulties in controlling drug use (e.g., continuing drug use despite harmful consequences, giving a higher priority to drug use than other activities and obligations), and possible tolerance or physical dependence. Misuse and abuse of oxycodone hydrochloride tablets increases risk of overdose, which may lead to central nervous system and respiratory depression, hypotension, seizures, and death. The risk is increased with concurrent abuse of oxycodone hydrochloride tablets with alcohol and/or other CNS depressants. Abuse of and addiction to opioids in some individuals may not be accompanied by concurrent tolerance and symptoms of physical dependence. In addition, abuse of opioids can occur in the absence of addiction.

All patients treated with opioids require careful and frequent reevaluation for signs of misuse, abuse, and addiction, because use of opioid analgesic products carries the risk of addiction even under appropriate medical use. Patients at high risk of oxycodone hydrochloride tablets abuse include those with a history of prolonged use of any opioid, including products containing oxycodone, those with a history of drug or alcohol abuse, or those who use oxycodone hydrochloride tablets in combination with other abused drugs.

“Drug-seeking” behavior is very common in persons with substance use disorders. Drug-seeking tactics include emergency calls or visits near the end of office hours, refusal to undergo appropriate examination, testing, or referral, repeated “loss” of prescriptions, tampering with prescriptions, and reluctance to provide prior medical records or contact information for other treating healthcare provider(s). “Doctor shopping” (visiting multiple prescribers to obtain additional prescriptions) is common among people who abuse drugs and people with substance use disorder. Preoccupation with achieving adequate pain relief can be appropriate behavior in a patient with inadequate pain control.

Oxycodone hydrochloride tablets, like other opioids, can be diverted for nonmedical use into illicit channels of distribution. Careful record-keeping of prescribing information, including quantity, frequency, and renewal requests, as required by state and federal law, is strongly advised.

Proper assessment of the patient, proper prescribing practices, periodic reevaluation of therapy, and proper dispensing and storage are appropriate measures that help to limit abuse of opioid drugs.

Risks Specific to Abuse of Oxycodone Hydrochloride Tablets

Abuse of oxycodone hydrochloride tablets pose a risk of overdose and death. The risk is increased with concurrent use of oxycodone hydrochloride tablets with alcohol and/or other CNS depressants.

Oxycodone hydrochloride tablets are approved for oral use only.

Parenteral drug abuse is commonly associated with transmission of infectious diseases such as hepatitis and HIV.

10 Overdosage

Clinical Presentation

Acute overdose with oxycodone can be manifested by respiratory depression, somnolence progressing to stupor or coma, skeletal muscle flaccidity, cold and clammy skin, constricted pupils, and in some cases, pulmonary edema, bradycardia, hypotension, hypoglycemia, partial or complete airway obstruction, atypical snoring, and death. Marked mydriasis rather than miosis may be seen with hypoxia in overdose situations [see Clinical Pharmacology (12.2)]. Toxic leukoencephalopathy has been reported after opioid overdose and can present hours, days, or weeks after apparent recovery from the initial intoxication.

Treatment of Overdose

In case of overdose, priorities are the re-establishment of a patent and protected airway and institution of assisted or controlled ventilation, if needed. Employ other supportive measures (including oxygen and vasopressors) in the management of circulatory shock and pulmonary edema as indicated. Cardiac arrest or arrhythmias will require advanced life-support measures.

For clinically significant respiratory or circulatory depression secondary to opioid overdose, administer an opioid overdose reversal agent such as naloxone or nalmefene.

Because the duration of opioid reversal is expected to be less than the duration of action of oxycodone in oxycodone hydrochloride tablets, carefully monitor the patient until spontaneous respiration is reliably reestablished. If the response to an opioid overdose reversal agent is suboptimal or only brief in nature, administer additional reversal agent as directed by the product’s prescribing information.

In an individual physically dependent on opioids, administration of the recommended usual dosage of the overdose reversal agent will precipitate an acute withdrawal syndrome. The severity of the withdrawal symptoms experienced will depend on the degree of physical dependence and the dose of the reversal agent administered. If a decision is made to treat serious respiratory depression in the physically dependent patient, administration of the reversal agent should be initiated with care and by titration with smaller than usual doses of the reversal agent.

.

8.1 Pregnancy

Risk Summary

Use of opioid analgesics for an extended period of time during pregnancy may cause neonatal opioid withdrawal syndrome [see Warnings and Precautions (5.4)]. Available data with oxycodone hydrochloride tablets in pregnant women are insufficient to inform a drug-associated risk for major birth defects and miscarriage or adverse maternal outcomes. Animal reproduction studies with oral administrations of oxycodone hydrochloride in rats and rabbits during the period of organogenesis at doses 2.6 and 8.1 times, respectively, the human dose of 60 mg/day did not reveal evidence of teratogenicity or embryo-fetal toxicity. In several published studies, treatment of pregnant rats with oxycodone at clinically relevant doses and below, resulted in neurobehavioral effects in offspring [see Data]. Based on animal data, advise pregnant women of the potential risk to a fetus.

All pregnancies have a background risk of birth defect, loss, or other adverse outcomes. In the U.S. general population, the background risk of major birth defects and miscarriage in clinically recognized pregnancies is 2% to 4% and 15% to 20%, respectively.

Clinical Considerations

Fetal/Neonatal Adverse Reactions

Use of opioid analgesics for an extended period of time during pregnancy for medical or nonmedical purposes can result in physical dependence in the neonate and neonatal opioid withdrawal syndrome shortly after birth.

Neonatal opioid withdrawal syndrome presents irritability, hyperactivity, and abnormal sleep pattern, high pitched cry, tremor, vomiting, diarrhea, and failure to gain weight. The onset, duration, and severity of neonatal opioid withdrawal syndrome vary based on the specific opioid use, duration of use, timing and amount of last maternal use, and rate of elimination of the drug by the newborn. Observe newborns for symptoms of neonatal opioid withdrawal syndrome and manage accordingly [see Warnings and Precautions (5.4)].

Labor or Delivery

Opioids cross the placenta and may produce respiratory depression and psycho-physiologic effects in neonates. An opioid overdose reversal agent such as naloxone or nalmefene, must be available for reversal of opioid-induced respiratory depression in the neonate. Oxycodone hydrochloride tablets are not recommended for use in pregnant women during or immediately prior to labor, when other analgesic techniques are more appropriate. Opioid analgesics, including oxycodone hydrochloride tablets, can prolong labor through actions which temporarily reduce the strength, duration and frequency of uterine contractions. However, this effect is not consistent and may be offset by an increased rate of cervical dilation, which tends to shorten labor. Monitor neonates exposed to opioid analgesics during labor for signs of excess sedation and respiratory depression.

Data

Animal Data

In embryo-fetal development studies in rats and rabbits, pregnant animals received oral doses of oxycodone hydrochloride administered during the period of organogenesis up to 16 mg/kg/day and up to 25 mg/kg/day, respectively. These studies revealed no evidence of teratogenicity or embryo-fetal toxicity due to oxycodone. The highest doses tested in rats and rabbits were equivalent to approximately 2.6 and 8.1 times an adult human dose of 60 mg/day, respectively, on a mg/m2 basis. In published studies, offspring of pregnant rats administered oxycodone during gestation have been reported to exhibit neurobehavioral effects including altered stress responses, increased anxiety-like behavior (2 mg/kg/day IV from Gestation Day 8 to 21 and Postnatal Day 1, 3, and 5; 0.3 times an adult human dose of 60 mg/day, on a mg/m2 basis) and altered learning and memory (15 mg/kg/day orally from breeding through parturition; 2.4 times an adult human dose of 60 mg/day, on a mg/m2 basis).

8.2 Lactation

Risk Summary

Available data from lactation studies indicate that oxycodone is present in breastmilk and that doses of less than 60 mg/day of the immediate-release formulation are unlikely to result in clinically relevant exposures in breastfed infants. A pharmacokinetics study utilizing opportunistic sampling of 76 lactating women receiving oxycodone immediate-release products for postpartum pain management showed that oxycodone concentrates in breastmilk with an average milk to plasma ratio of 3.2. The relative infant dose was low, approximately 1.3% of a weight-adjusted maternal dose (see Data).

In the same study, among the 70 infants exposed to oxycodone in breastmilk, no adverse events were attributed to oxycodone. However, based on known adverse effects in adults, infants should be monitored for signs of excess sedation and respiratory depression (see Clinical Considerations). There are no data on the effects of the oxycodone on milk production.

The developmental and health benefits of breastfeeding should be considered along with the mother’s clinical need for oxycodone hydrochloride tablets and any potential adverse effects on the breastfed infant from oxycodone hydrochloride tablets or from the underlying maternal condition.

Clinical Considerations

Monitor infants exposed to oxycodone hydrochloride through breast milk for excess sedation and respiratory depression. Withdrawal symptoms can occur in breastfed infants when maternal administration of an opioid analgesic is stopped or when breastfeeding is stopped.

Data

Oxycodone concentration data from 76 lactating women receiving immediate-release oxycodone products for postpartum pain management, and 28 infants exposed to oxycodone in breastmilk showed that following a median (range) dose of oxycodone in mothers of 9.2 (5-10) mg/dose or 33.0 (5.4-59.3) mg/day, oxycodone concentrated in breastmilk with a median (range) milk to plasma ratio of 3.2 (1.2-5.3). However, when using maternal breastmilk data to estimate the daily and relative infant dose, the infant dose was 0.006 mg/kg/day, which is 1.3% of a weight-adjusted maternal dose of 10 mg every 6 hours. These estimates based on maternal breastmilk concentrations were corroborated by the observed infant concentrations, of which over 75% (19/25) were below the limit of quantification. Among the 6 infants with quantifiable concentration, the median (range) concentration was 0.2 ng/mL (0.1-0.7). These concentrations are 100 to 1000 times lower than concentrations observed in other studies after infants received oxycodone at 0.1 mg/kg/dose (~20-200 ng/mL).

11 Description

Oxycodone hydrochloride tablets, USP contain oxycodone, an opioid agonist.

Each tablet for oral administration contains 5 mg, 15 mg, or 30 mg of oxycodone hydrochloride USP.

Oxycodone hydrochloride is a white, odorless crystalline powder derived from the opium alkaloid, thebaine. Oxycodone hydrochloride dissolves in water (1 g in 6 to 7 mL) and is considered slightly soluble in alcohol (octanol water partition coefficient is 0.7).

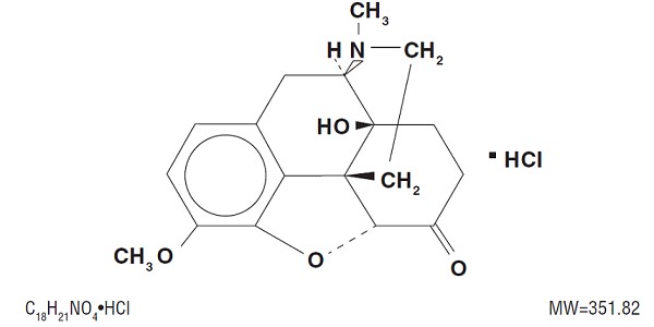
Chemically, oxycodone hydrochloride is 4, 5α-epoxy-14-hydroxy-3-methoxy-17-methylmorphinan-6-one hydrochloride and has the following structural formula:

Oxycodone hydrochloride tablets contain the following inactive ingredients: colloidal silicon dioxide, microcrystalline cellulose, pregelatinized corn starch, stearic acid, D&C Yellow No. 10 (15 mg tablet) and FD&C Blue No. 2 (15 mg and 30 mg tablet).

The 5 mg, 15 mg and 30 mg tablets contain the equivalent of 4.5 mg, 13.5 mg and 27.0 mg, respectively, of oxycodone free base.

9.3 Dependence

Both tolerance and physical dependence can develop during use of opioid therapy.

Tolerance is a physiological state characterized by a reduced response to a drug after repeated administration (i.e., a higher dose of a drug is required to produce the same effect that was once obtained at a lower dose).

Physical dependence is a state that develops as a result of a physiological adaptation in response to repeated drug use, manifested by withdrawal signs and symptoms after abrupt discontinuation or a significant dose reduction of a drug.

Withdrawal may be precipitated through the administration of drugs with opioid antagonist activity (e.g., naloxone, nalmefene), mixed agonist/antagonist analgesics (e.g., pentazocine, butorphanol, nalbuphine), or partial agonists (e.g., buprenorphine). Physical dependence may not occur to a clinically significant degree until after several days to weeks of continued use.

Do not rapidly reduce or abruptly discontinue oxycodone hydrochloride tablets in a patient physically dependent on opioids. Rapid tapering of oxycodone hydrochloride tablets in a patient physically dependent on opioids may lead to serious withdrawal symptoms, uncontrolled pain, and suicide. Rapid discontinuation has also been associated with attempts to find other sources of opioid analgesics, which may be confused with drug-seeking for abuse.

When discontinuing oxycodone hydrochloride tablets, gradually taper the dosage using a patient-specific plan that considers the following: the dose of oxycodone hydrochloride tablets the patient has been taking, the duration of treatment, and the physical and psychological attributes of the patient. To improve the likelihood of a successful taper and minimize withdrawal symptoms, it is important that the opioid tapering schedule is agreed upon by the patient. In patients taking opioids for an extended period of time at high doses, ensure that a multimodal approach to pain management, including mental health support (if needed), is in place prior to initiating an opioid analgesic taper [see Dosage and Administration (2.4), and Warnings and Precautions (5.14)].

Infants born to mothers physically dependent on opioids will also be physically dependent and may exhibit respiratory difficulties and withdrawal signs [see Use in Specific Populations (8.1)].

5.14 Withdrawal

Do not rapidly reduce or abruptly discontinue oxycodone hydrochloride tablets in a patient physically dependent on opioids. When discontinuing oxycodone hydrochloride tablets in a physically dependent patient, gradually taper the dosage. Rapid tapering of oxycodone in a patient physically dependent on opioids may lead to a withdrawal syndrome and return of pain [see Dosage and Administration (2.4), Drug Abuse and Dependence (9.3)].

Additionally, avoid the use of mixed agonist/antagonist (e.g., pentazocine, nalbuphine, and butorphanol) or partial agonist (e.g., buprenorphine) analgesics in patients who are receiving a full opioid agonist analgesic, including oxycodone hydrochloride tablets. In these patients, mixed agonist/antagonist and partial agonist analgesics may reduce the analgesic effect and/or precipitate withdrawal symptoms [see Drug Interactions (7)].

8.4 Pediatric Use

The safety and efficacy of oxycodone hydrochloride tablets in pediatric patients have not been evaluated.

8.5 Geriatric Use

Of the total number of subjects in clinical studies of oxycodone hydrochloride tablets, 20.8% (112/538) were 65 and over, while 7.2% (39/538) were 75 and over. No overall differences in safety or effectiveness were observed between these subjects and younger subjects, and other reported clinical experience has not identified differences in responses between the elderly and younger patients, but greater sensitivity of some older individuals cannot be ruled out.

Elderly patients (aged 65 years or older) may have increased sensitivity to oxycodone. In general, use caution when selecting a dosage for an elderly patient, usually starting at the low end of the dosing range, reflecting the greater frequency of decreased hepatic, renal, or cardiac function and of concomitant disease or other drug therapy.

Respiratory depression is the chief risk for elderly patients treated with opioids, and has occurred after large initial doses were administered to patients who were not opioid-tolerant or when opioids were co-administered with other agents that depress respiration. Titrate the dosage of oxycodone hydrochloride tablets slowly in geriatric patients and frequently reevaluate the patient for signs of central nervous system and respiratory depression [see Warnings and Precautions (5.2)].

Oxycodone is known to be substantially excreted by the kidney, and the risk of adverse reactions to this drug may be greater in patients with impaired renal function. Because elderly patients are more likely to have decreased renal function, care should be taken in dose selection, and it may be useful to regularly evaluate renal function.

2.3 Initial Dosage

Although it is not possible to list every condition that is important to the selection of the initial dose of oxycodone hydrochloride tablets, attention must be given to:

1. the daily dose, potency and characteristics of a full agonist or mixed agonist/antagonist the patient has been taking previously.

2. the reliability of the relative potency estimate to calculate the dose of oxycodone hydrochloride needed.

3. the degree of opioid tolerance.

4. the general condition and medical status of the patient, including the patient’s weight and age.

5. the balance between pain management and adverse reactions.

6. the type and severity of the patient’s pain.

7. risk factors for abuse or addiction, including a prior history of abuse or addiction.

Use of Oxycodone Hydrochloride Tablets as the First Opioid Analgesic

Initiate treatment with oxycodone hydrochloride tablets in a dosing range of 5 mg to 15 mg every 4 to 6 hours as needed for pain, and at the lowest dose necessary to achieve adequate analgesia. Titrate the dose based upon the individual patient’s response to their initial dose of oxycodone hydrochloride tablets.

Conversion from Other Opioids to Oxycodone Hydrochloride Tablets

There is inter-patient variability in the potency of opioid drugs and opioid formulations. Therefore, a conservative approach is advised when determining the total daily dosage of oxycodone hydrochloride tablets. It is safer to underestimate a patient’s 24-hour oxycodone hydrochloride tablets dosage than to overestimate the 24-hour oxycodone hydrochloride tablets dosage and manage an adverse reaction due to overdose. If a patient has been receiving opioid-containing medications prior to taking oxycodone hydrochloride tablets, the potency of the prior opioid relative to oxycodone should be factored into the selection of the total daily dose (TDD) of oxycodone.

In converting patients from other opioids to oxycodone hydrochloride tablets close observation and adjustment of dosage based upon the patient’s response to oxycodone hydrochloride tablets is imperative. Administration of supplemental analgesia for breakthrough or incident pain and titration of the total daily dose of oxycodone hydrochloride tablets may be necessary, especially in patients who have disease states that are changing rapidly.

Conversion from Fixed-Ratio Opioid/Acetaminophen, Opioid/Aspirin, or Opioid/Nonsteroidal Combination Drugs

When converting patients from fixed ratio opioid/non-opioid drug regimens a decision should be made whether or not to continue the non-opioid analgesic. If a decision is made to discontinue the use of non-opioid analgesic, it may be necessary to titrate the dose of oxycodone hydrochloride tablets in response to the level of analgesia and adverse effects afforded by the dosing regimen. If the non-opioid regimen is continued as a separate single entity agent, the starting dose oxycodone hydrochloride tablets should be based upon the most recent dose of opioid as a baseline for further titration of oxycodone. Incremental increases should be gauged according to side effects to an acceptable level of analgesia.

Conversion from Oxycodone Hydrochloride Tablets to Extended-Release Oxycodone

The relative bioavailability of oxycodone hydrochloride tablets compared to extended-release oxycodone is unknown, so conversion to extended-release oxycodone may lead to increased risk of excessive sedation and respiratory depression.

4 Contraindications

Oxycodone hydrochloride tablets are contraindicated in patients with:

  • Significant respiratory depression [see Warnings and Precautions (5.2)].
  • Acute or severe bronchial asthma in an unmonitored setting or in the absence of resuscitative equipment or hypercarbia [see Warnings and Precautions (5.8)].
  • Known or suspected gastrointestinal obstruction, including paralytic ileus [see Warnings and Precautions (5.12)].
  • Known hypersensitivity (e.g., anaphylaxis) to oxycodone [see Adverse Reactions (6.2)].
6 Adverse Reactions

The following serious adverse reactions are described, or described in greater detail, in other sections:

  • Addiction, Abuse, and Misuse [see Warnings and Precautions (5.1)]
  • Life-Threatening Respiratory Depression [see Warnings and Precautions (5.2)]
  • Interactions with Benzodiazepines or Other CNS Depressants [see Warnings and Precautions (5.3)]
  • Neonatal Opioid Withdrawal Syndrome [see Warnings and Precautions (5.4)]
  • Opioid-Induce Hyperalgesia and Allodynia [see Warnings and Precautions (5.7)]
  • Adrenal Insufficiency [see Warnings and Precautions (5.9)]
  • Severe Hypotension [see Warnings and Precautions (5.10)]
  • Gastrointestinal Adverse Reactions [see Warnings and Precautions (5.12)]
  • Seizures [see Warnings and Precautions (5.13)]
  • Withdrawal [see Warnings and Precautions (5.14)]
7 Drug Interactions

Table 1 includes clinically significant drug interactions with oxycodone hydrochloride tablets.

Table 1: Clinically Significant Drug Interactions with Oxycodone Hydrochloride Tablets

Inhibitors of CYP3A4 and CYP2D6

Clinical Impact:

The concomitant use of oxycodone hydrochloride tablets and CYP3A4 inhibitors can increase the plasma concentration of oxycodone, resulting in increased or prolonged opioid effects. These effects could be more pronounced with concomitant use of oxycodone hydrochloride tablets and CYP2D6 and CYP3A4 inhibitors, particularly when an inhibitor is added after a stable dose of oxycodone hydrochloride tablets is achieved [see Warnings and Precautions (5.3)]. After stopping a CYP3A4 inhibitor, as the effects of the inhibitor decline, the oxycodone plasma concentration will decrease [see Clinical Pharmacology (12.3)], resulting in decreased opioid efficacy or a withdrawal syndrome in patients who had developed physical dependence to oxycodone.

Intervention:

If concomitant use is necessary, consider dosage reduction of oxycodone hydrochloride tablets until stable drug effects are achieved. Evaluate patients at frequent intervals for respiratory depression and sedation. If a CYP3A4 inhibitor is discontinued, consider increasing the oxycodone hydrochloride tablets dosage until stable drug effects are achieved. Evaluate for signs of opioid withdrawal.

Examples:

Macrolide antibiotics (e.g., erythromycin), azole-antifungal agents (e.g., ketoconazole), protease inhibitors (e.g., ritonavir).

CYP3A4 Inducers

Clinical Impact:

The concomitant use of oxycodone hydrochloride tablets and CYP3A4 inducers can decrease the plasma concentration of oxycodone [see Clinical Pharmacology (12.3)], resulting in decreased efficacy or onset of a withdrawal syndrome in patients who have developed physical dependence to oxycodone [see Warnings and Precautions (5.6)].

After stopping a CYP3A4 inducer, as the effects of the inducer decline, the oxycodone plasma concentration will increase [see Clinical Pharmacology (12.3)], which could increase or prolong both the therapeutic effects and adverse reactions, and may cause serious respiratory depression.

Intervention:

If concomitant use is necessary, consider increasing the oxycodone hydrochloride tablets dosage until stable drug effects are achieved. Evaluate patients for signs of opioid withdrawal. If a CYP3A4 inducer is discontinued, consider oxycodone hydrochloride tablets dosage reduction and evaluate patients at frequent intervals for signs of respiratory depression and sedation.

Examples:

Rifampin, carbamazepine, phenytoin

Benzodiazepines and Other Central Nervous System (CNS) Depressants

Clinical Impact:

Due to additive pharmacologic effect, the concomitant use of benzodiazepines or other CNS depressants, including alcohol, can increase the risk of hypotension, respiratory depression, profound sedation, coma, and death [see Warnings and Precautions (5.3)].

Intervention:

Reserve concomitant prescribing of these drugs for use in patients for whom alternative treatment options are inadequate. Limit dosages and durations to the minimum required. Inform patients and caregivers of this potential interaction and educate them on the signs and symptoms of respiratory depression (including sedation). If concomitant use is warranted, consider recommending or prescribing an opioid overdose reversal agent [see Dosage and Administration (2.2), Warnings and Precautions (5.1, 5.2, 5.3)].

Examples:

Benzodiazepines and other sedatives/hypnotics, anxiolytics, tranquilizers, muscle relaxants, general anesthetics, antipsychotics, gabapentinoids (gabapentin or pregabalin), other opioids, alcohol.

Serotonergic Drugs

Clinical Impact:

The concomitant use of opioids with other drugs that affect the serotonergic neurotransmitter system has resulted in serotonin syndrome [see Adverse Reactions (6.2)].

Intervention:

If concomitant use is warranted, frequently evaluate the patient, particularly during treatment initiation and dose adjustment. Discontinue oxycodone hydrochloride tablets if serotonin syndrome is suspected.

Examples:

Selective serotonin reuptake inhibitors (SSRIs), serotonin and norepinephrine reuptake inhibitors (SNRIs), tricyclic antidepressants (TCAs), triptans, 5-HT3 receptor antagonists, drugs that affect the serotonin neurotransmitter system (e.g., mirtazapine, trazodone, tramadol), certain muscle relaxants (i.e., cyclobenzaprine, metaxalone), monoamine oxidase (MAO) inhibitors (those intended to treat psychiatric disorders and also others, such as linezolid and intravenous methylene blue).

Monoamine Oxidase Inhibitors (MAOIs)

Clinical Impact:

MAOI interactions with opioids may manifest as serotonin syndrome or opioid toxicity (e.g., respiratory depression, coma) [see Warnings and Precautions (5.2)].

Intervention:

The use of oxycodone hydrochloride tablets are not recommended for patients taking MAOIs or within 14 days of stopping such treatment.

If urgent use of an opioid is necessary, use test doses and frequent titration of small doses to treat pain while closely monitoring blood pressure and signs and symptoms of CNS and respiratory depression.

Examples:

phenelzine, tranylcypromine, linezolid

Mixed Agonist/Antagonist Opioid Analgesics

Clinical Impact:

May reduce the analgesic effect of oxycodone hydrochloride tablets and/or may precipitate withdrawal symptoms.

Intervention:

Avoid concomitant use

Examples:

Butorphanol, nalbuphine, pentazocine, buprenorphine

Muscle Relaxants

Clinical Impact:

Oxycodone may enhance the neuromuscular blocking action of skeletal muscle relaxants and produce an increased degree of respiratory depression.

Intervention:

Because respiratory depression may be greater than otherwise expected, decrease the dosage of oxycodone hydrochloride tablets and/or the muscle relaxant as necessary. Due to the risk of respiratory depression with concomitant use of skeletal muscle relaxants and opioids, consider recommending or prescribing an opioid overdose reversal agent [see Dosage and Administration (2.2), Warnings and Precautions (5.2, 5.3)].

Examples: Cyclobenzaprine, metaxalone

Diuretics

Clinical Impact:

Opioids can reduce the efficacy of diuretics by inducing the release of antidiuretic hormone.

Intervention:

Evaluate patients for signs of dismissed diuresis and/or effects on blood pressure and increase the dosage of the diuretic as needed.

Anticholinergic Drugs

Clinical Impact:

The concomitant risk of anticholinergic drugs may result in increased risk of urinary retention and/or severe constipation, which may lead to paralytic ileus.

Intervention:

Evaluate patients for signs of urinary retention or reduced gastric motility when oxycodone hydrochloride tablets are used concurrently with anticholinergic drugs.

8.7 Renal Impairment

Because oxycodone is known to be substantially excreted by the kidney, its clearance may decrease in patients with renal impairment. Initiate therapy with a lower than usual dosage of oxycodone hydrochloride tablets and titrate carefully. Regularly evaluate for adverse events such as respiratory depression, sedation, and hypotension [see Clinical Pharmacology (12.3)].

12.2 Pharmacodynamics

Effects on Central Nervous System

Oxycodone produces respiratory depression by direct action on brain stem respiratory centers. The respiratory depression involves a reduction in the responsiveness of the brain stem respiratory centers to both increases in carbon dioxide tension and electrical stimulation.

Oxycodone causes miosis, even in total darkness. Pinpoint pupils are a sign of opioid overdose but are not pathognomonic (e.g., pontine lesions of hemorrhagic or ischemic origins may produce similar findings). Marked mydriasis rather than miosis may be seen due to hypoxia in overdose situations.

Effects on Gastrointestinal Tract and Other Smooth Muscle

Oxycodone causes a reduction in motility associated with an increase in smooth muscle tone in the antrum of the stomach and duodenum. Digestion of food in the small intestine is delayed and propulsive contractions are decreased. Propulsive peristaltic waves in the colon are decreased, while tone may be increased to the point of spasm, resulting in constipation. Other opioid-induced effects may include a reduction in biliary and pancreatic secretions, spasm of sphincter of Oddi, transient elevations in serum amylase, and opioid-induced esophageal dysfunction (OIED).

Effects on Cardiovascular System

Oxycodone produces peripheral vasodilatation, which may result in orthostatic hypotension or syncope. Manifestations of histamine release and/or peripheral vasodilatation may include pruritus, flushing, red eyes, sweating, and/or orthostatic hypotension.

Effects on the Endocrine System

Opioids inhibit the secretion of adrenocorticotropic hormone (ACTH), cortisol, and luteinizing hormone (LH) in humans [see Adverse Reactions (6.2)]. They also stimulate prolactin, growth hormone (GH) secretion, and pancreatic secretion of insulin and glucagon.

Use of opioids for an extended period of time may influence the hypothalamic-pituitary-gonadal axis, leading to androgen deficiency that may manifest as low libido, impotence, erectile dysfunction, amenorrhea, or infertility. The causal role of opioids in the clinical syndrome of hypogonadism is unknown because the various medical, physical, lifestyle, and psychological stressors that may influence gonadal hormone levels have not been adequately controlled for in studies conducted to date [see Adverse Reactions (6.2)].

Effects on the Immune System

Opioids have been shown to have a variety of effects on components of the immune system in in vitro and animal models. The clinical significance of these findings is unknown. Overall, the effects of opioids appear to be modestly immunosuppressive.

Concentration–Efficacy Relationships

The minimum effective analgesic concentration will vary widely among patients, especially among patients who have been previously treated with opioid agonists. The minimum effective analgesic concentration of oxycodone for any individual patient may increase over time due to an increase in pain, the development of a new pain syndrome, and/or the development of analgesic tolerance [see Dosage and Administration (2.1, 2.3)].

Concentration–Adverse Reaction Relationships

There is a relationship between increasing oxycodone plasma concentration and increasing frequency of dose-related opioid adverse reactions such as nausea, vomiting, CNS effects, and respiratory depression. In opioid-tolerant patients, the situation may be altered by the development of tolerance to opioid-related adverse reactions [see Dosage and Administration (2.1, 2.3)].

12.3 Pharmacokinetics

The activity of oxycodone hydrochloride tablets is primarily due to the parent drug oxycodone. Oxycodone hydrochloride tablets are designed to provide immediate release of oxycodone.

Table 2:Pharmacokinetic Parameters (Mean±SD)
Dose\Parameters AUC

(ngxhr/mL)
Cmax

(ng/mL)
Tmax

(hr)
Cmin

(ng/mL)
Cavg

(ng/mL)
Half-Life

(hr)
Single Dose

Pharmacokinetics
Oxycodone Hydrochloride

5 mg tabs x 3
133.2±33 22.3±8.2 1.8±1.8 n/a n/a 3.73±0.9
Oxycodone Hydrochloride

15 mg tab
128.2±35.1 22.2±7.6 1.4±0.7 n/a n/a 3.55±1.0
Oxycodone Hydrochloride

Liquid Concentrate

15 mg oral solution
130.6±34.7 21.1±6.1 1.9±1.5 n/a n/a 3.71±0.8
Oxycodone Hydrochloride

30 mg tab
268.2±60.7 39.3±14.0 2.6±3.0 n/a n/a 3.85±1.3
Food Effect,

Single Dose
Oxycodone Hydrochloride

10 mg/10 mL oral sol’n (fasted)
105±6.2 19.0±3.7 1.25±0.5 n/a n/a 2.9±0.4
Oxycodone Hydrochloride

10 mg/10 mL oral sol’n (fed)
133±25.2 17.7±3.0 2.54±1.2 n/a n/a 3.3±0.5
Multiple-Dose

Studies
AUC

(72-84)
Oxycodone Hydrochloride

5 mg tabs q6h x 14 doses
113.3±24.0 15.7±3.2 1.3±0.3 7.4±1.8 9.4±2.0 n/a
Oxycodone Hydrochloride

3.33 mg (3.33 mL)

oral sol’n.

q4h x 21 doses
99.0±24.8 12.9±3.1 1.0±0.3 7.2±2.3 9.7±2.6 n/a

Absorption

About 60% to 87% of an oral dose of oxycodone reaches the systemic circulation in comparison to a parenteral dose. This high oral bioavailability (compared to other oral opioids) is due to lower presystemic and/or first-pass metabolism of oxycodone. The relative oral bioavailability of oxycodone hydrochloride 15 mg and 30 mg tablets, compared to the 5 mg oxycodone hydrochloride tablets, is 96% and 101% respectively. Oxycodone hydrochloride 15 mg tablets and 30 mg tablets are bioequivalent to the 5 mg oxycodone hydrochloride tablet (see Table 2 for pharmacokinetic parameters). Dose proportionality of oxycodone has been established using the oxycodone hydrochloride 5 mg tablets at doses of 5 mg, 15 mg (three 5 mg tablets) and 30 mg (six 5 mg tablets) based on extent of absorption (AUC) (see Figure 1). It takes approximately 18 to 24 hours to reach steady-state plasma concentrations of oxycodone with oxycodone hydrochloride tablets.

Figure 1 - Oxycodone Dose-Proportionality Study 5 mg, 15 mg, and 30 mg (single-dose)

Food Effect

A single-dose food effect study was conducted in normal volunteers using the 5 mg/5 mL solution. The concurrent intake of a high fat meal was shown to enhance the extent (27% increase in AUC), but not the rate of oxycodone absorption from the oral solution (see Table 2). In addition, food caused a delay in Tmax (1.25 to 2.54 hour). Similar effects of food are expected with the 15 mg and 30 mg tablets.

Distribution

Following intravenous administration, the volume of distribution (Vss) for oxycodone was 2.6 L/kg. Plasma protein binding of oxycodone at 37°C and a pH of 7.4 was about 45%. Oxycodone has been found in breast milk [see Special Populations (8.2)].

Elimination

Metabolism

A high portion of oxycodone is N-dealkylated to noroxycodone during first-pass metabolism, and is catalyzed by CYP3A4. Oxymorphone is formed by the O-demethylation of oxycodone. The metabolism of oxycodone to oxymorphone is catalyzed by CYP2D6 [see Drug Interactions (7)]. Free and conjugated noroxycodone, free and conjugated oxycodone, and oxymorphone are excreted in human urine following a single oral dose of oxycodone. The major circulating metabolite is noroxycodone with an AUC ratio of 0.6 relative to that of oxycodone. Oxymorphone is present in the plasma only in low concentrations. The analgesic activity profile of other metabolites is not known at present.

Excretion

Oxycodone and its metabolites are excreted primarily via the kidney. The amounts measured in the urine have been reported as follows: free oxycodone up to 19%; conjugated oxycodone up to 50%; free oxymorphone 0%; conjugated oxymorphone ≤14%; both free and conjugated noroxycodone have been found in the urine but not quantified. The total plasma clearance was 0.8 L/min for adults. Apparent elimination half-life of oxycodone following the administration of oxycodone hydrochloride tablets was 3.5 to 4 hours.

Specific Populations

Age: Geriatric Population

Population pharmacokinetic studies conducted with oxycodone hydrochloride tablets, indicated that the plasma concentrations of oxycodone did not appear to be increased in patients over the age of 65.

Hepatic Impairment

In a clinical trial supporting the development of oxycodone hydrochloride tablets, too few patients with decreased hepatic function were evaluated to study these potential differences. However, because oxycodone is extensively metabolized in the liver, its clearance may decrease in hepatic impaired patients [see Use in Specific Populations (8.6)].

Renal Impairment

This drug is known to be substantially excreted by the kidney, and the risk of adverse reactions to this drug may be greater in patients with impaired renal function [see Use in Specific Populations (8.7)].

8.6 Hepatic Impairment

Because oxycodone is extensively metabolized in the liver, its clearance may decrease in patients with hepatic impairment. Initiate therapy in these patients with a lower than usual dosage of oxycodone hydrochloride tablets and titrate carefully. Regularly evaluate for adverse events such as respiratory depression, sedation, and hypotension [see Clinical Pharmacology (12.3)].

1 Indications and Usage

Oxycodone hydrochloride tablets are indicated for the management of pain severe enough to require an opioid analgesic and for which alternative treatments are inadequate.

Limitations of Use

Because of the risks of addiction, abuse, misuse, overdose, and death, which can occur at any dosage or duration and persist over the course of therapy [see Warnings and Precautions (5.1)], reserve opioid analgesics, including oxycodone hydrochloride tablets for use in patients for whom alternative treatment options are ineffective, not tolerated, or would be otherwise inadequate to provide sufficient management of pain.

5.10 Severe Hypotension

Oxycodone hydrochloride tablets may cause severe hypotension including orthostatic hypotension and syncope in ambulatory patients. There is increased risk in patients whose ability to maintain blood pressure has already been compromised by a reduced blood volume or concurrent administration of certain CNS depressant drugs (e.g., phenothiazines or general anesthetics) [see Drug Interactions (7)]. Regularly evaluate these patients for signs of hypotension after initiating or titrating the dosage of oxycodone hydrochloride tablets. In patients with circulatory shock, use of oxycodone hydrochloride tablets may cause vasodilation that can further reduce cardiac output and blood pressure. Avoid use of oxycodone hydrochloride tablets in patients with circulatory shock.

12.1 Mechanism of Action

Oxycodone is a full opioid agonist and is relatively selective for the mu-opioid receptor, although it can bind to other opioid receptors at higher doses. The principal therapeutic action of oxycodone is analgesia. Like all full opioid agonists, there is no ceiling effect for analgesia with oxycodone. Clinically, dosage is titrated to provide adequate analgesia and may be limited by adverse reactions, including respiratory and CNS depression.

The precise mechanism of the analgesic action is unknown. However, specific CNS opioid receptors for endogenous compounds with opioid-like activity have been identified throughout the brain and spinal cord and are thought to play a role in the analgesic effects of this drug.

9.1 Controlled Substance

Oxycodone hydrochloride tablets contain oxycodone, a Schedule II controlled substance.

5.9 Adrenal Insufficiency

Cases of adrenal insufficiency have been reported with opioid use, more often following greater than one month of use. Presentation of adrenal insufficiency may include non-specific symptoms and signs including nausea, vomiting, anorexia, fatigue, weakness, dizziness, and low blood pressure. If adrenal insufficiency is suspected, confirm the diagnosis with diagnostic testing as soon as possible. If adrenal insufficiency is diagnosed, treat with physiologic replacement doses of corticosteroids. Wean the patient off of the opioid to allow adrenal function to recover and continue corticosteroid treatment until adrenal function recovers. Other opioids may be tried as some cases reported use of a different opioid without recurrence of adrenal insufficiency. The information available does not identify any particular opioids as being more likely to be associated with adrenal insufficiency.

5 Warnings and Precautions
  • Opioid-Induced Hyperalgesia and Allodynia: Opioid-Induced Hyperalgesia (OIH) occurs when opioid analgesic paradoxically causes an increase in pain, or an increase in sensitivity to pain. If OIH is suspected, carefully consider appropriately decreasing the dose of the current opioid analgesic, or opioid rotation. (5.7)
  • Life-Threatening Respiratory Depression in Patients with Chronic Pulmonary Disease or in Elderly, Cachectic, or Debilitated Patients: Regularly evaluate closely, particularly during initiation and titration. (5.8)
  • Adrenal Insufficiency: If diagnosed, treat with physiologic replacement of corticosteroids, and wean patient off of the opioid. (5.9)
  • Severe Hypotension: Regularly evaluate during dosage initiation and titration. Avoid use of oxycodone hydrochloride tablets in patients with circulatory shock. (5.10)
  • Risks of Use in Patients with Increased Intracranial Pressure, Brain Tumors, Head Injury, or Impaired Consciousness: Monitor for sedation and respiratory depression. Avoid use of oxycodone hydrochloride tablets in patients with impaired consciousness or coma. (5.11)

2 Dosage and Administration
  • Oxycodone hydrochloride tablets should be prescribed only by healthcare professionals who are knowledgeable about the use of opioids and how to mitigate the associated risks. (2.1)

  • Use the lowest effective dosage for the shortest duration of time consistent with individual patient treatment goals. Reserve titration to higher doses of oxycodone hydrochloride tablets for patients in whom lower doses are insufficiently effective and in whom the expected benefits of using a higher dose opioid clearly outweigh the substantial risks. (2.1, 5)

  • Many acute pain conditions (e.g., the pain that occurs with a number of surgical procedures or acute musculoskeletal injuries) require no more than a few days of an opioid analgesic. Clinical guidelines on opioid prescribing for some acute pain conditions are available. (2.1)

  • Initiate the dosing regimen for each patient individually, taking into account the patient’s underlying case and severity of pain, prior analgesic treatment and response, and risk factors for addiction, abuse, and misuse. (2.1, 5.1)

  • Respiratory depression can occur at any time during opioid therapy, especially when initiating and following dosage increases with oxycodone hydrochloride tablets. Consider this risk when selecting an initial dose and when making dose adjustments. (2.1, 5.2)

  • Discuss opioid overdose reversal agents and options for acquiring them with the patient and/or caregiver, both when initiating and renewing treatment with oxycodone hydrochloride tablets, especially if the patient has additional risk factors for overdose, or close contacts at risk for exposure and overdose. (2.2, 5.1, 5.2, 5.3)

  • Initiate treatment with oxycodone hydrochloride tablets in a dosing range of 5 mg to 15 mg every 4 to 6 hours as needed for pain and at the lowest dose necessary to achieve adequate analgesia. Titrate the dose based upon the individual patient’s response to their initial dose of oxycodone hydrochloride tablets. (2.3, 2.4)

  • Periodically reassess patients receiving oxycodone hydrochloride tablets to evaluate the continued need for opioid analgesics to maintain pain control, for the signs or symptoms of adverse reactions, and for the development of addiction, abuse, or misuse. (2.4)

  • Do not rapidly reduce or abruptly discontinue oxycodone hydrochloride tablets in a physically dependent patient because rapid reduction or abrupt discontinuation of opioid analgesics has resulted in serious withdrawal symptoms, uncontrolled pain, and suicide. (2.5, 5.1)

3 Dosage Forms and Strengths

Oxycodone hydrochloride tablets, USP are available as follows:

5 mg tablets: white, round, biconvex tablets debossed “ALG 263” on one side and score line on the other side.

15 mg tablets: green, round, biconvex tablets, debossed “ALG 264” on one side and score line on the other side.

30 mg tablets: blue, round, biconvex tablets, debossed “ALG 265” on one side and score line on the other side.

6.2 Postmarketing Experience

The following adverse reactions have been identified during post-approval use of oxycodone. Because these reactions are reported voluntarily from a population of uncertain size, it is not always possible to reliably estimate their frequency or establish a causal relationship to drug exposure.

General disorders and administrative site disorders: drug withdrawal syndrome neonatal [see Warnings and Precautions (5.4)]

Respiratory, thoracic and mediastinal disorders: pharyngeal edema

Serotonin syndrome: Cases of serotonin syndrome, a potentially life-threatening condition, have been reported during concomitant use of opioids with serotonergic drugs [see Drug Interactions (7)].

Adrenal insufficiency: Cases of adrenal insufficiency have been reported with opioid use, more often following greater than one month of use [see Warnings and Precautions (5.9)].

Anaphylaxis: Anaphylactic reaction has been reported with ingredients contained in oxycodone hydrochloride tablets [see Contraindications (4)].

Androgen deficiency: Cases of androgen deficiency have occurred with use of opioids for an extended period of time [see Clinical Pharmacology (12.2)].

Hyperalgesia and Allodynia: Cases of hyperalgesia and allodynia have been reported with opioid therapy of any duration [see Warnings and Precautions (5.7)].

Hypoglycemia: Cases of hypoglycemia have been reported in patients taking opioids. Most reports were in patients with at least one predisposing risk factor (e.g., diabetes).

Opioid-induced esophageal dysfunction (OIED): Cases of OIED have been reported in patients taking opioids and may occur more frequently in patients taking higher doses of opioids, and/or in patients taking opioids longer term [see Warnings and Precautions (5.12)].

Adverse Reactions from Observational Studies

A prospective, observational cohort study estimated the risks of addiction, abuse, and misuse in patients initiating long-term use of Schedule II opioid analgesics between 2017 and 2021. Study participants included in one or more analyses had been enrolled in selected insurance plans or health systems for at least one year, were free of at least one outcome at baseline, completed a minimum number of follow-up assessments, and either: 1) filled multiple extended-release/long-acting opioid analgesic prescriptions during a 90-day period (n=978); or 2) filled any Schedule II opioid analgesic prescriptions covering at least 70 of 90 days (n=1,244). Those included also had no dispensing of the qualifying opioids in the previous 6 months.

Over 12 months:

  • approximately 1% to 6% of participants across the two cohorts newly met criteria for addiction, as assessed with two validated interview based measures of moderate-to-severe opioid use disorder based on Diagnostic and Statistical Manual of Mental Disorders, Fifth Edition (DSM-5) criteria, and

  • approximately 9% and 22% of participants across the two cohorts newly met criteria for prescription opioid abuse and misuse [defined in Drug Abuse and Dependence (9.2)], respectively, as measured with a validated self-reported instrument.

A retrospective, observational cohort study estimated the risk of opioid-involved overdose or opioid overdose-related death in patients with new long-term use of Schedule II opioid analgesics from 2006 through 2016 (n=220,249). Included patients had been enrolled in either one of two commercial insurance programs, one managed care program, or one Medicaid program for at least 9 months. New long-term use was defined as having Schedule II opioid analgesic prescriptions covering at least 70 days’ supply over the 3 months prior to study entry and none during the preceding 6 months. Patients were excluded if they had an opioid-involved overdose in the 9 months prior to study entry. Overdose was measured using a validated medical code-based algorithm with linkage to the National Death Index database. The 5-year cumulative incidence estimates for opioid-involved overdose or opioid overdose-related death ranged from approximately 1.5% to 4% across study sites, counting only the first event during follow-up. Approximately 17% of first opioid overdoses observed over the entire study period (5-11 years, depending on the study site) were fatal. Higher baseline opioid dose was the strongest and most consistent predictor of opioid-involved overdose or opioid overdose-related death. Study exclusion criteria may have selected patients at lower risk of overdose, and substantial loss to follow up (approximately 80%) also may have biased estimates.

The risk estimates from the studies described above may not be generalizable to all patients receiving opioid analgesics, such as those with exposures shorter or longer than the duration evaluated in the studies.

Recent Major Changes Section
Boxed Warning 12/2025
Indications and Usage (1) 12/2025
Dosage and Administration (2.2 , 2.5) 12/2025
Warnings and Precautions (5.1, 5.2, 5.3, 5.12, 5.14) 12/2025
8 Use in Specific Populations
  • Pregnancy: May cause fetal harm. (8.1)

6.1 Clinical Trials Experience

Because clinical trials are conducted under widely varying conditions, adverse reaction rates observed in the clinical trials of a drug cannot be directly compared to rates in the clinical trials of another drug and may not reflect the rates observed in practice.

Oxycodone hydrochloride tablets have been evaluated in open label clinical trials in patients with cancer and nonmalignant pain. Oxycodone hydrochloride tablets are associated with adverse experiences similar to those seen with other opioids.

Serious adverse reactions associated with oxycodone hydrochloride tablets use included: respiratory depression, respiratory arrest, circulatory depression, cardiac arrest, hypotension, and/or shock.

The common adverse reactions seen on initiation of therapy with oxycodone hydrochloride tablets are dose related and are typical opioid-related adverse reactions. The most frequent of these included nausea, constipation, vomiting, headache, pruritus, insomnia, dizziness, asthenia, and somnolence. The frequency of these reactions depended on several factors, including clinical setting, the patient’s level of opioid tolerance, and host factors specific to the individual.

In all patients for whom dosing information was available (n=191) from the open-label and double-blind studies involving oxycodone hydrochloride tablets, the following adverse events were recorded in oxycodone hydrochloride tablets treated patients with an incidence ≥3%. In descending order of frequency they were: nausea, constipation, vomiting, headache, pruritus, insomnia, dizziness, asthenia, and somnolence.

Other less frequently observed adverse reactions from opioid analgesics, including oxycodone hydrochloride tablets included:

Blood and lymphatic system disorders: anemia, leukopenia

Cardiac disorders: cardiac failure, palpitation, tachycardia

Gastrointestinal disorders: abdominal pain, dry mouth, diarrhea, dyspepsia, dysphagia, glossitis, nausea, vomiting.

General disorders and administration site conditions: chills, edema, edema peripheral, pain, pyrexia

Immune system disorders: hypersensitivity

Infections and infestations: bronchitis, gingivitis, infection, pharyngitis, rhinitis, sepsis, sinusitis, urinary tract infection

Injury, poisoning and procedural complications: injury

Metabolism and nutrition disorders: decreased appetite, gout, hyperglycemia

Musculoskeletal and connective tissue disorders: arthralgia, arthritis, back pain, bone pain, myalgia, neck pain, pathological fracture

Nervous system disorders: hypertonia, hypoesthesia, migraine, neuralgia, tremor, vasodilation

Psychiatric disorders: agitation, anxiety, confusional state, nervousness, personality disorder

Respiratory, thoracic and mediastinal disorders: cough, dyspnea, epistaxis, laryngospasm, lung disorder

Skin and subcutaneous tissue disorders: photosensitivity reaction, rash, hyperhidrosis, urticaria

Vascular disorders: thrombophlebitis, hemorrhage, hypotension, vasodilatation

5.1 Addiction, Abuse, and Misuse

Oxycodone hydrochloride tablets contain oxycodone, a Schedule II controlled substance. As an opioid, oxycodone hydrochloride tablets expose users to the risks of addiction, abuse, and misuse [see Drug Abuse and Dependence (9)].

Although the risk of addiction in any individual is unknown, it can occur in patients appropriately prescribed oxycodone hydrochloride tablets. Addiction can occur at recommended dosages and if the drug is misused or abused. The risk of opioid-related overdose or overdose-related death is increased with higher opioid doses, and this risk persists over the course of therapy. In postmarketing studies, addiction, abuse, misuse, and fatal and non-fatal opioid overdose were observed in patients with long-term opioid use [see Adverse Reactions (6.2)].

Assess each patient’s risk for opioid addiction, abuse, or misuse prior to prescribing oxycodone hydrochloride tablets, and reassess all patients receiving oxycodone hydrochloride tablets for the development of these behaviors and conditions. Risks are increased in patients with a personal or family history of substance abuse (including drug or alcohol abuse or addiction) or mental illness (e.g., major depression). The potential for these risks should not, however, prevent the proper management of pain in any given patient. Patients at increased risk may be prescribed opioids such as oxycodone hydrochloride tablets, but use in such patients necessitates intensive counseling about the risks and proper use of oxycodone hydrochloride tablets along with frequent reevaluation for signs of addiction, abuse, and misuse. Consider recommending or prescribing an opioid overdose reversal agent [see Dosage and Administration (2.2), Warnings and Precautions (5.2)].

Opioids are sought for nonmedical use and are subject to diversion from legitimate prescribed use. Consider these risks when prescribing or dispensing oxycodone hydrochloride tablets. Strategies to reduce these risks include prescribing the drug in the smallest appropriate quantity and advising the patient on careful storage of the drug during the course of treatment and on the proper disposal of unused drugs. Contact local state professional licensing board or state-controlled substances authority for information on how to prevent and detect abuse or diversion of this product.

17 Patient Counseling Information

Advise the patient to read the FDA-approved patient labeling (Medication Guide).

Storage and Disposal

Because of the risks associated with accidental ingestion, misuse, and abuse, advise patients to store oxycodone hydrochloride tablets securely, out of sight and reach of children, and in a location not accessible by others, including visitors to the home. Inform patients that leaving oxycodone hydrochloride tablets unsecured can pose a deadly risk to others in the home. [see Warnings and Precautions (5.1, 5.3) , Drug Abuse and Dependence (9.2)].

Advise patients and caregivers that when medicines are no longer needed, they should be disposed of promptly. Expired, unwanted, or unused oxycodone hydrochloride tablets should be disposed of by flushing the unused medication down the toilet if a drug take-back option is not readily available. Inform patients that they can visit www.fda.gov/drugdisposal for a complete list of medicines recommended for disposal by flushing, as well as additional information on disposal of unused medicines.  

Addiction, Abuse and Misuse

Inform patients that the use of oxycodone hydrochloride tablets, even when taken as recommended, can result in addiction, abuse, and misuse, which can lead to overdose and death [see Warnings and Precautions (5.1)]. Instruct patients not to share oxycodone hydrochloride tablets with others and to take steps to protect oxycodone hydrochloride tablets from theft and misuse.

Life-Threatening Respiratory Depression

Inform patients of the risk of life-threatening respiratory depression, including information that the risk is greatest when starting oxycodone hydrochloride tablets or when the dosage is increased, and that it can occur even at recommended dosages.

Educate patients and caregivers on how to recognize respiratory depression and emphasize the importance of calling 911 or getting emergency medical help right away in the event of a known or suspected overdose [see Warnings and Precautions (5.2), Overdosage (10)].

Accidental Ingestion

Inform patients that accidental ingestion, especially by children, may result in respiratory depression or death [see Warnings and Precautions (5.2)].

Interactions with Benzodiazepines and Other CNS Depressants

Inform patients and caregivers that potentially fatal additive effects may occur if oxycodone hydrochloride tablets are used with benzodiazepines or other CNS depressants, including alcohol (e.g., non-benzodiazepine sedative/hypnotics, anxiolytics, tranquilizers, muscle relaxants, general anesthetics, antipsychotics, gabapentinoids [gabapentin or pregabalin], and other opioids), and not to use these concomitantly unless supervised by a healthcare provider [see Warnings and Precautions (5.3), Drug Interactions (7)].

Patient Access to an Opioid Overdose Reversal Agent for the Emergency Treatment of Opioid Overdose

Inform patients and caregivers about opioid overdose reversal agents (e.g., naloxone, nalmefene). Discuss the importance of having access to an opioid overdose reversal agent, especially if the patient has risk factors for overdose (e.g., concomitant use of CNS depressants, a history of opioid use disorder, or prior opioid overdose) or if there are household members (including children) or other close contacts at risk for accidental ingestion or opioid overdose.

Discuss with the patient the options for obtaining an opioid overdose reversal agent (e.g., prescription, over-the-counter, or as part of a community-based program) [see Dosage and Administration (2.2), Warnings and Precautions (5.3)].

Educate patients and caregivers on how to recognize the signs and symptoms of an overdose.

Explain to patients and caregivers that effects of opioid overdose reversal agents like naloxone and nalmefene are temporary, and that they must call 911 or get emergency medical help right away in all cases of known or suspected opioid overdose, even if an opioid overdose reversal agent is administered [see Overdosage (10)].

Advise patients and caregivers:

  • how to treat with the overdose reversal agent in the event of an opioid overdose

  • to tell family and friends about their opioid overdose reversal agent, and to keep it in a place where family and friends can access it in an emergency

  • to read the Patient Information (or other educational material) that will come with their opioid overdose reversal agent. Emphasize the importance of doing this before an opioid emergency happens, so the patient and caregiver will know what to do.

Hyperalgesia and Allodynia

Inform patients and caregivers not to increase opioid dosage without first consulting a clinician. Advise patients to seek medical attention if they experience symptoms of hyperalgesia, including worsening pain, increased sensitivity to pain, or new pain [see Warnings and Precautions (5.7), Adverse Reactions (6.2)].

Serotonin Syndrome

Inform patients that opioids could cause a rare but potentially life-threatening condition resulting from concomitant administration of serotonergic drugs. Warn patients of the symptoms of serotonin syndrome and to seek medical attention right away if symptoms develop. Instruct patients to inform their healthcare providers if they are taking, or plan to take serotonergic medication [see Drug Interactions (7)].

MAOI Interaction

Inform patients to avoid taking oxycodone hydrochloride tablets while using any drugs that inhibit monoamine oxidase. Patients should not start MAOIs while taking oxycodone hydrochloride tablets [see Drug Interactions (7)].

Important Administration Instructions

Instruct patients how to properly take oxycodone hydrochloride tablets. Patients should be advised not to adjust the dose of oxycodone hydrochloride tablets without consulting the prescribing healthcare provider [see Dosage and Administration (2)].

Important Discontinuation Instructions

In order to avoid developing withdrawal symptoms, instruct patients not to discontinue oxycodone hydrochloride tablets without first discussing a tapering plan with the prescriber [see Dosage and Administration (2.5)].

Driving or Operating Machinery

Inform patients that oxycodone hydrochloride tablets may impair the ability to perform potentially hazardous activities such as driving a car or operating dangerous machinery. Advise patients not to perform such tasks until they know how they will react to the medication [see Warnings and Precautions (5.15)].

Constipation

Advise patients of the potential for severe constipation, including management instructions and when to seek medical attention [see Adverse Reactions (6), Clinical Pharmacology (12.1)].

Adrenal Insufficiency

Inform patients that opioids could cause adrenal insufficiency, a potentially life-threatening condition. Adrenal insufficiency may present with non-specific symptoms and signs such as nausea, vomiting, anorexia, fatigue, weakness, dizziness and low blood pressure. Advise patients to seek medical attention if they experience a constellation of these symptoms [see Warnings and Precautions (5.9)].

Hypotension

Inform patients that oxycodone hydrochloride tablets may cause orthostatic hypotension and syncope. Instruct patients how to recognize symptoms of low blood pressure and how to reduce the risk of serious consequences should hypotension occur (e.g., sit or lie down, carefully rise from sitting or lying position) [see Warnings and Precautions (5.10)].

Anaphylaxis

Inform patients that anaphylaxis has been reported with ingredients contained in oxycodone hydrochloride tablets. Advise patients how to recognize such a reaction and when to seek medical attention [see Contraindications (4), Adverse Reactions (6.2)].

Pregnancy

Neonatal Opioid Withdrawal Syndrome

Inform female patients of reproductive potential that use of oxycodone hydrochloride tablets for an extended period of time during pregnancy can result in neonatal opioid withdrawal syndrome, which may be life-threatening if not recognized and treated [see Warnings and Precautions (5.4), Use in Specific Populations (8.1)].

Embryo-Fetal Toxicity

Inform female patients of reproductive potential that oxycodone hydrochloride tablets can cause fetal harm and to inform their healthcare provider of a known or suspected pregnancy [see Use in Specific Populations (8.1)].

Lactation

Advise breastfeeding women using oxycodone hydrochloride tablets to carefully observe infants for increased sleepiness (more than usual), breathing difficulties, or limpness. Instruct breastfeeding women to seek immediate medical care if they notice these signs [see Use in Specific Populations (8.2)].

Infertility

Inform patients that use of opioids for an extended period of time may cause reduced fertility. It is not known whether these effects on fertility are reversible [see Use in Specific Populations (8.3)].

16 How Supplied/storage and Handling

Oxycodone hydrochloride tablets, USP are available as follows:

5 mg tablets: white, round, biconvex tablets debossed “ALG 263” on one side and score line on the other side.

Bottles of 500 tablets: NDC 47781-263-05

Bottles of 100 tablets: NDC 47781-263-01

15 mg tablets: green, round, biconvex tablets, debossed “ALG 264” on one side and score line on the other side.

Bottles of 500 tablets: NDC 47781-264-05

Bottles of 100 tablets: NDC 47781-264-01

30 mg tablets: blue, round, biconvex tablets, debossed “ALG 265” on one side and score line on the other side.

Bottles of 500 tablets: NDC 47781-265-05

Bottles of 100 tablets: NDC 47781-265-01

Dispense in a tight, light-resistant container. Protect from moisture.

Store at 25°C (77°F); excursions are permitted to 15°C to 30°C (59°F to 86°F) [See USP Controlled Room Temperature].

Store oxycodone hydrochloride tablets securely and dispose of properly [see Patient Counseling Information (17)].

Package Label. Principal Display Panel

NDC 47781-263-01

Oxycodone Hydrochloride Tablets, USP  CII

5 mg

PHARMACIST: Dispense the Medication Guide provided separately to each patient

Rx only

100 Tablets

5.4 Neonatal Opioid Withdrawal Syndrome

Use of oxycodone hydrochloride tablets for an extended period of time during pregnancy can result in withdrawal in the neonate. Neonatal opioid withdrawal syndrome, unlike opioid withdrawal syndrome in adults, may be life-threatening if not recognized and treated, and requires management according to protocols developed by neonatology experts. Observe newborns for signs of neonatal opioid withdrawal syndrome and manage accordingly. Advise pregnant women using opioids for an extended period of time of the risk of neonatal opioid withdrawal syndrome and ensure that appropriate treatment will be available [see Use in Specific Populations (8.1)].

2.4 Titration and Maintenance of Therapy

Individually titrate oxycodone hydrochloride tablets to a dose that provides adequate analgesia and minimizes adverse reactions. Continually reevaluate patients receiving oxycodone hydrochloride tablets to assess the maintenance of pain control, signs and symptoms of opioid withdrawal, and other adverse reactions, as well as to reassess for the development of addiction, abuse, or misuse [see Warnings and Precautions (5.1, 5.14 )]. Frequent communication is important among the prescriber, other members of the healthcare team, the patient, and the caregiver/family during periods of changing analgesic requirements, including initial titration.

If the level of pain increases after dosage stabilization, attempt to identify the source of increased pain before increasing the oxycodone hydrochloride tablets dosage. If after increasing the dosage, unacceptable opioid-related adverse reactions are observed (including an increase in pain after a dosage increase), consider reducing the dosage [see Warnings and Precautions (5)]. Adjust the dosage to obtain an appropriate balance between management of pain and opioid-related adverse reactions.

5.2 Life Threatening Respiratory Depression

Serious, life-threatening, or fatal respiratory depression has been reported with the use of opioids, even when used as recommended. Respiratory depression, if not immediately recognized and treated, may lead to respiratory arrest and death. Management of respiratory depression may include close observation, supportive measures, and use of opioid overdose reversal agents (e.g., naloxone, nalmefene), depending on the patient’s clinical status [see Overdosage (10)]. Carbon dioxide (CO2) retention from opioid-induced respiratory depression can exacerbate the sedating effects of opioids.

While serious, life-threatening, or fatal respiratory depression can occur at any time during the use of oxycodone hydrochloride tablets, the risk is greatest during the initiation of therapy or following a dosage increase.

To reduce the risk of respiratory depression, proper dosing and titration of oxycodone hydrochloride tablets are essential [see Dosage and Administration (2)]. Overestimating the oxycodone hydrochloride tablets dosage when converting patients from another opioid product can result in fatal overdose with the first dose.

Accidental ingestion of even one dose of oxycodone hydrochloride tablets, especially by children, can result in respiratory depression and death due to an overdose of oxycodone.

Educate patients and caregivers on how to recognize respiratory depression and emphasize the importance of calling 911 or getting emergency medical help right away in the event of a known or suspected overdose.

Opioids can cause sleep-related breathing disorders including central sleep apnea (CSA) and sleep-related hypoxemia. Opioid use increases the risk of CSA in a dose-dependent fashion. In patients who present with CSA, consider decreasing the opioid dosage using best practices for opioid taper [see Dosage and Administration (2.5)].

Patient Access to an Opioid Overdose Reversal Agent for the Emergency Treatment of Opioid Overdose

Inform patients and caregivers about opioid overdose reversal agents (e.g., naloxone, nalmefene). Discuss the importance of having access to an opioid overdose reversal agent, especially if the patient has risk factors for overdose (e.g., concomitant use of CNS depressants, a history of opioid use disorder, or prior opioid overdose) or if there are household members (including children) or other close contacts at risk for accidental ingestion or opioid overdose. The presence of risk factors for overdose should not prevent the management of pain in any patient [see Warnings and Precautions (5.1, 5.3)].

Discuss the options for obtaining an opioid overdose reversal agent (e.g., prescription, over-the-counter, or as part of a community-based program).

There are important differences among the opioid overdose reversal agents, such as route of administration, product strength, approved patient age range, and pharmacokinetics. Be familiar with these differences, as outlined in the approved labeling for those products, prior to recommending or prescribing such an agent.

Educate patients and caregivers on how to recognize respiratory depression, and how to use an opioid overdose reversal agent for the emergency treatment of opioid overdose. Emphasize the importance of calling 911 or getting emergency medical help, even if an opioid overdose reversal agent is administered [see Dosage and Administration (2.2), Warnings and Precautions (5.1, 5.3), Overdosage (10)].

5.12 Risks of Gastrointestinal Complications

Oxycodone hydrochloride tablets are contraindicated in patients with gastrointestinal obstruction, including paralytic ileus.

The oxycodone in oxycodone hydrochloride tablets may cause spasm of the sphincter of Oddi. Opioids may cause increases in serum amylase. Regularly evaluate patients with biliary tract disease, including acute pancreatitis, for worsening symptoms.

Cases of opioid-induced esophageal dysfunction (OIED) have been reported in patients taking opioids. The risk of OIED may increase as the dose and/or duration of opioids increases. Regularly evaluate patients for signs and symptoms of OIED (e.g., dysphagia, regurgitation, non-cardiac chest pain) and, if necessary, adjust opioid therapy as clinically appropriate [see Clinical Pharmacology (12.2)].

5.15 Risks of Driving and Operating Machinery

Oxycodone hydrochloride tablets may impair the mental or physical abilities needed to perform potentially hazardous activities such as driving a car or operating machinery. Warn patients not to drive or operate dangerous machinery unless they are tolerant to the effects of oxycodone hydrochloride tablets and know how they will react to the medication [see Patient Counseling Information (17)].

5.7 Opioid Induced Hyperalgesia and Allodynia

Opioid-Induced Hyperalgesia (OIH) occurs when an opioid analgesic paradoxically causes an increase in pain, or an increase in sensitivity to pain. This condition differs from tolerance, which is the need for increasing doses of opioids to maintain a defined effect [see Dependence (9.3)]. Symptoms of OIH include (but may not be limited to) increased levels of pain upon opioid dosage increase, decreased levels of pain upon opioid dosage decrease, or pain from ordinarily non-painful stimuli (allodynia). These symptoms may suggest OIH only if there is no evidence of underlying disease progression, opioid tolerance, opioid withdrawal, or addictive behavior.

Cases of OIH have been reported, both with short-term and longer-term use of opioid analgesics. Though the mechanism of OIH is not fully understood, multiple biochemical pathways have been implicated. Medical literature suggests a strong biologic plausibility between opioid analgesics and OIH and allodynia. If a patient is suspected to be experiencing OIH, carefully consider appropriately decreasing the dose of the current opioid analgesic or opioid rotation (safely switching the patient to a different opioid moiety) [see Dosage and Administration (2.5), Warnings and Precautions (5.14)].

8.3 Females and Males of Reproductive Potential

Infertility

Use of opioids for an extended period of time may cause reduced fertility in females and males of reproductive potential. It is not known whether these effects on fertility are reversible [see Adverse Reactions (6.2), Clinical Pharmacology (12.2)].

2.1 Important Dosage and Administration Instructions

• Oxycodone hydrochloride tablets should be prescribed only by healthcare professionals who are knowledgeable about the use of opioids and how to mitigate the associated risks.

• Use the lowest effective dosage for the shortest duration of time consistent with individual patient treatment goals [see Warnings and Precautions (5)]. Because the risk of overdose increases as opioid doses increase, reserve titration to higher doses of oxycodone hydrochloride tablets for patients in whom lower doses are insufficiently effective and in whom the expected benefits of using a higher dose opioid clearly outweigh the substantial risks.

• Many acute pain conditions (e.g., the pain that occurs with a number of surgical procedures or acute musculoskeletal injuries) require no more than a few days of an opioid analgesic. Clinical guidelines on opioid prescribing for some acute pain conditions are available.

• There is variability in the opioid analgesic dose and duration needed to adequately manage pain due both to the cause of pain and to individual patient factors. Initiate the dosing regimen for each patient individually, taking into account the patient's underlying cause and severity of pain, prior analgesic treatment and response, and risk factors for addiction, abuse, and misuse [see Warnings and Precautions (5.1)].

• Respiratory depression can occur at any time during opioid therapy, especially when initiating and following dosage increases with oxycodone hydrochloride tablets. Consider this risk when selecting an initial dose and when making dose adjustments [see Warnings and Precautions (5)].

13.1 Carcinogenesis, Mutagenesis, Impairment of Fertility

Carcinogenesis

Long-term studies have not been performed in animals to evaluate the carcinogenic potential of oxycodone hydrochloride tablets or oxycodone.

Mutagenesis

Oxycodone hydrochloride was genotoxic in an in vitro mouse lymphoma assay in the presence of metabolic activation. There was no evidence of genotoxic potential in an in vitro bacterial reverse mutation assay (Salmonella typhimurium and Escherichia coli) or in an assay for chromosomal aberrations (in vivo mouse bone marrow micronucleus assay).

Impairment of Fertility

Studies in animals to evaluate the potential impact of oxycodone on fertility have not been conducted.

5.13 Increased Risk of Seizures in Patients With Seizure Disorders

The oxycodone in oxycodone hydrochloride tablets may increase the frequency of seizures in patients with seizure disorders, and may increase the risk of seizures occurring in other clinical settings associated with seizures. Regularly evaluate patients with a history of seizure disorders for worsened seizure control during oxycodone hydrochloride tablets therapy.

5.5 Opioid Analgesic Risk Evaluation and Mitigation Strategy (rems)

To ensure that the benefits of opioid analgesics outweigh the risks of addiction, abuse, and misuse, the Food and Drug Administration (FDA) has required a Risk Evaluation and Mitigation Strategy (REMS) for these products. Under the requirements of the REMS, drug companies with approved opioid analgesic products must make REMS-compliant education programs available to healthcare providers. Healthcare providers are strongly encouraged to do all of the following:

• Complete a REMS-compliant education program offered by an accredited provider of continuing education (CE) or another education program that includes all the elements of the FDA Education Blueprint for Health Care Providers Involved in the Management or Support of Patients with Pain.

• Discuss the safe use, serious risks, and proper storage and disposal of opioid analgesics with patients and/or their caregivers every time these medicines are prescribed. The Patient Counseling Guide (PCG) can be obtained at this link: www.fda.gov/OpioidAnalgesicREMSPCG.

• Emphasize to patients and their caregivers the importance of reading the Medication Guide that they will receive from their pharmacist every time an opioid analgesic is dispensed to them.

• Consider using other tools to improve patient, household, and community safety, such as patient-prescriber agreements that reinforce patient-prescriber responsibilities.

To obtain further information on the opioid analgesic REMS and for a list of accredited REMS CME/CE, call 1-800-503-0784, or log on to www.opioidanalgesicrems.com. The FDA Blueprint can be found at www.fda.gov/OpioidAnalgesicREMSBlueprint.

2.5 Safe Reduction Or Discontinuation of Oxycodone Hydrochloride Tablets

Do not rapidly reduce or abruptly discontinue oxycodone hydrochloride tablets in patients who may be physically dependent on opioids. Rapid reduction or abrupt discontinuation of opioid analgesics in patients who are physically dependent on opioids has resulted in serious withdrawal symptoms, uncontrolled pain, and suicide. Rapid reduction or abrupt discontinuation has also been associated with attempts to find other sources of opioid analgesics, which may be confused with drug-seeking for abuse. Patients may also attempt to treat their pain or withdrawal symptoms with illicit opioids, such as heroin, and other substances.

When a decision has been made to decrease the dose or discontinue therapy in an opioid-dependent patient taking oxycodone hydrochloride tablets, there are a variety of factors that should be considered, including the total daily dose of opioid (including oxycodone hydrochloride tablets) the patient has been taking, the duration of treatment, the type of pain being treated, and the physical and psychological attributes of the patient. It is important to ensure ongoing care of the patient and to agree on an appropriate tapering schedule and follow-up plan so that patient and provider goals and expectations are clear and realistic. When opioid analgesics are being discontinued due to a suspected substance use disorder, evaluate and treat the patient, or refer for evaluation and treatment of the substance use disorder. Treatment should include evidence-based approaches, such as medication assisted treatment of opioid use disorder. Complex patients with comorbid pain and substance use disorders may benefit from referral to a specialist.

There are no standard opioid tapering schedules that are suitable for all patients. Good clinical practice dictates a patient-specific plan to taper the dose of the opioid gradually. For patients on oxycodone hydrochloride tablets who are physically opioid-dependent, initiate the taper by a small enough increment (e.g., no greater than 10% to 25% of the total daily dose) to avoid withdrawal symptoms, and proceed with dose-lowering at an interval of every 2 to 4 weeks. Patients who have been taking opioids for briefer periods of time may tolerate a more rapid taper.

It may be necessary to provide the patient with lower dosage strengths to accomplish a successful taper. Reassess the patient frequently to manage pain and withdrawal symptoms, should they emerge. Common withdrawal symptoms include restlessness, lacrimation, rhinorrhea, yawning, perspiration, chills, myalgia, and mydriasis. Other signs and symptoms also may develop, including irritability, anxiety, backache, joint pain, weakness, abdominal cramps, insomnia, nausea, anorexia, vomiting, diarrhea, or increased blood pressure, respiratory rate, or heart rate. If withdrawal symptoms arise, it may be necessary to pause the taper for a period of time or raise the dose of the opioid analgesic to the previous dose, and then proceed with a slower taper. In addition, evaluate patients for any changes in mood, emergence of suicidal thoughts, or use of other substances.

When managing patients taking opioid analgesics, particularly those who have been treated for an extended period of time, and/or with high doses for chronic pain, ensure that a multimodal approach to pain management, including mental health support (if needed), is in place prior to initiating an opioid analgesic taper. A multimodal approach to pain management may optimize the treatment of chronic pain, as well as assist with the successful tapering of the opioid analgesic [see Warnings and Precautions (5.14), Drug Abuse and Dependence (9.3)].  

5.3 Risks From Concomitant Use With Benzodiazepines Or Other Cns Depressants

Profound sedation, respiratory depression, coma, and death may result from the concomitant use of oxycodone hydrochloride tablets with benzodiazepines and/or other CNS depressants, including alcohol (e.g., non-benzodiazepine sedatives/hypnotics, anxiolytics, tranquilizers, muscle relaxants, general anesthetics, antipsychotics, gabapentinoids [gabapentin or pregabalin], and other opioids). Because of these risks, reserve concomitant prescribing of these drugs for use in patients for whom alternative treatment options are inadequate.

Observational studies have demonstrated that concomitant use of opioid analgesics and benzodiazepines increases the risk of drug-related mortality compared to use of opioid analgesics alone. Because of similar pharmacological properties, it is reasonable to expect similar risk with the concomitant use of other CNS depressant drugs with opioid analgesics [see Drug Interactions (7)].

If the decision is made to prescribe a benzodiazepine or other CNS depressant concomitantly with an opioid analgesic, prescribe the lowest effective dosages and minimum durations of concomitant use. In patients already receiving an opioid analgesic, prescribe a lower initial dose of the benzodiazepine or other CNS depressant than indicated in the absence of an opioid, and titrate based on clinical response. If an opioid analgesic is initiated in a patient already taking a benzodiazepine or other CNS depressant, prescribe a lower initial dose of the opioid analgesic, and titrate based on clinical response. Inform patients and caregivers of this potential interaction and educate them on the signs and symptoms of respiratory depression (including sedation). If concomitant use is warranted, consider recommending or prescribing an opioid overdose reversal agent [see Dosage and Administration (2.2), Warnings and Precautions (5.2), Overdosage (10)].

Advise both patients and caregivers about the risks of respiratory depression and sedation when oxycodone hydrochloride tablets are used with benzodiazepines or other CNS depressants (including alcohol and illicit drugs). Advise patients not to drive or operate dangerous machinery until the effects of concomitant use of the benzodiazepine or other CNS depressant have been determined. Screen patients for risk of substance use disorders, including opioid abuse and misuse, and warn them of the risk for overdose and death associated with the use of additional CNS depressants including alcohol and illicit drugs [see Drug Interactions (7)].

Warning: Serious and Life Threatening Risks From Use of Oxycodone Hydrochloride Tablets

Addiction, Abuse, and Misuse

Because the use of oxycodone hydrochloride tablets exposes patients and other users to the risks of opioid addiction, abuse, and misuse, which can lead to overdose and death, assess each patient’s risk prior to prescribing and reassess all patients regularly for the development of these behaviors and conditions [see Warnings and Precautions (5.1)] .

Life-Threatening Respiratory Depression

Serious, life-threatening, or fatal respiratory depression may occur with use of oxycodone hydrochloride tablets, especially during initiation or following a dosage increase. To reduce the risk of respiratory depression, proper dosing and titration of oxycodone hydrochloride tablets are essential [see Warnings and Precautions (5.2)] .

Accidental Ingestion

Accidental ingestion of even one dose of oxycodone hydrochloride tablets, especially by children, can result in a fatal overdose of oxycodone [see Warnings and Precautions (5.2)] .

Risks from Concomitant Use with Benzodiazepines or Other CNS Depressants 

Concomitant use of opioids with benzodiazepines or other central nervous system (CNS) depressants, including alcohol, may result in profound sedation, respiratory depression, coma, and death. Reserve concomitant prescribing of oxycodone hydrochloride tablets and benzodiazepines or other CNS depressants for use in patients for whom alternative treatment options are inadequate [ see Warnings and Precautions (5.3), Drug Interactions (7)] .

Neonatal Opioid Withdrawal Syndrome (NOWS)

Advise pregnant women using opioids for an extended period of time of the risk of Neonatal Opioid Withdrawal Syndrome, which may be life-threatening if not recognized and treated. Ensure that management by neonatology experts will be available at delivery [see Warnings and Precautions (5.4)] .

Opioid Analgesic Risk Evaluation and Mitigation Strategy (REMS)

Healthcare providers are strongly encouraged to complete a REMS-compliant education program and to counsel patients and caregivers on serious risks, safe use, and the importance of reading the Medication Guide with each prescription [see Warnings and Precautions (5.5)] .

Cytochrome P450 3A4 Interaction

The concomitant use of oxycodone hydrochloride tablets with all cytochrome P450 3A4 inhibitors may result in an increase in oxycodone plasma concentrations, which could increase or prolong adverse reactions and may cause potentially fatal respiratory depression. In addition, discontinuation of a concomitantly used cytochrome P450 3A4 inducer may result in an increase in oxycodone plasma concentration. Regularly evaluate patients receiving oxycodone hydrochloride tablets and any CYP3A4 inhibitor or inducer [see Warnings and Precautions (5.6), Drug Interactions (7), Clinical Pharmacology (12.3)] .

5.6 Risks of Concomitant Use Or Discontinuation of Cytochrome P450 3a4 Inhibitors and Inducers

Concomitant use of oxycodone hydrochloride tablets with a CYP3A4 inhibitor, such as macrolide antibiotics (e.g., erythromycin), azole-antifungal agents (e.g., ketoconazole), and protease inhibitors (e.g., ritonavir), may increase plasma concentrations of oxycodone and prolong opioid adverse reactions, which may cause potentially fatal respiratory depression [see Warnings and Precautions (5.3)], particularly when an inhibitor is added after a stable dose of oxycodone hydrochloride tablets is achieved. Similarly, discontinuation of a CYP3A4 inducer, such as rifampin, carbamazepine, and phenytoin, in oxycodone hydrochloride tablets-treated patients may increase oxycodone plasma concentrations and prolong opioid adverse reactions. When using oxycodone hydrochloride tablets with CYP3A4 inhibitors or discontinuing CYP3A4 inducers in oxycodone hydrochloride tablets-treated patients, evaluate patients at frequent intervals and consider dosage reduction of oxycodone hydrochloride tablets until stable drugs effects are achieved [see Drug Interactions (7)].

Concomitant use of oxycodone hydrochloride tablets with CYP3A4 inducers or discontinuation of an CYP3A4 inhibitor could decrease oxycodone plasma concentrations, decrease opioid efficacy or, possibly, lead to a withdrawal syndrome in a patient who had developed physical dependence to oxycodone. When using oxycodone hydrochloride tablets with CYP3A4 inducers or discontinuing CYP3A4 inhibitors, evaluate patients at frequent intervals and consider increasing the opioid dosage if needed to maintain adequate analgesia or if symptoms of opioid withdrawal occur [see Drug Interactions (7)].

2.2 Patient Access to An Opioid Overdose Reversal Agent for the Emergency Treatment of Opioid Overdose  

Inform patients and caregivers about opioid overdose reversal agents (e.g., naloxone, nalmefene). Discuss the importance of having access to an opioid overdose reversal agent, especially if the patient has risk factors for overdose (e.g., concomitant use of CNS depressants, a history of opioid use disorder, or prior opioid overdose) or if there are household members (including children) or other close contacts at risk for accidental ingestion or opioid overdose. The presence of risk factors for overdose should not prevent the management of pain in any patient [see Warnings and Precautions (5.1,5.2, 5.3)].

Discuss the options for obtaining an opioid overdose reversal agent (e.g., prescription, over-the-counter, or as part of a community-based program) [see Warnings and Precautions (5.2)].

There are important differences among the opioid overdose reversal agents, such as route of administration, product strength, approved patient age range, and pharmacokinetics. Be familiar with these differences, as outlined in the approved labeling for those products, prior to recommending or prescribing such an agent.

5.11 Risks of Use in Patients With Increased Intracranial Pressure, Brain Tumors, Head Injury, Or Impaired Consciousness

In patients who may be susceptible to the intracranial effects of CO2 retention (e.g., those with evidence of increased intracranial pressure or brain tumors), oxycodone hydrochloride tablets may reduce the respiratory drive, and the resultant CO2 retention can further increase intracranial pressure. Monitor such patients for signs of sedation and respiratory depression, particularly when initiating therapy with oxycodone hydrochloride tablets.

Opioids may obscure the clinical course in a patient with a head injury. Avoid the use of oxycodone hydrochloride tablets in patients with impaired consciousness or coma.

5.8 Life Threatening Respiratory Depression in Patients With Chronic Pulmonary Disease Or in Elderly, Cachectic, Or Debilitated Patients

The use of oxycodone hydrochloride tablets in patients with acute or severe bronchial asthma in an unmonitored setting or in the absence of resuscitative equipment is contraindicated.

Patients with Chronic Pulmonary Disease: Oxycodone hydrochloride tablets-treated patients with significant chronic obstructive pulmonary disease or cor pulmonale, and those with a substantially decreased respiratory reserve, hypoxia, hypercapnia, or pre-existing respiratory depression are at increased risk of decreased respiratory drive including apnea, even at recommended dosages of oxycodone hydrochloride tablets [see Warnings and Precautions (5.2)].

Elderly, Cachectic, or Debilitated Patients: Life-threatening respiratory depression is more likely to occur in elderly, cachectic, or debilitated patients because they may have altered pharmacokinetics or altered clearance compared to younger, healthier patients [see Warnings and Precautions (5.2)].

Regularly evaluate patients, particularly when initiating and titrating oxycodone hydrochloride tablets and when oxycodone hydrochloride tablets are given concomitantly with other drugs that depress respiration [see Warnings and Precautions (5.2, 5.3), Drug Interactions (7)]. Alternatively, consider the use of non-opioid analgesics in these patients.


Structured Label Content

Section 42229-5 (42229-5)

Product of USA

Manufactured by:

Norwich Pharmaceuticals, Inc.

Norwich, NY 13815 USA

Distributed by:

Alvogen, Inc.

Morristown, NJ 07960 USA

To request medical information or to report suspected adverse reactions, contact Alvogen, Inc. at 1-866-770-3024.

Revised: 001/2026

PI263-10

Section 42231-1 (42231-1)
Medication Guide

Oxycodone Hydrochloride (ox” i koe’ done hye” droe klor’ ide)

Tablets USP, CII
Oxycodone hydrochloride tablets are:
  • A strong prescription pain medicine that contains an opioid (narcotic) that is used to manage pain severe enough to require an opioid pain medicine, when other pain treatments such as non-opioid pain medicines do not treat your pain well enough or you cannot tolerate them.
  • An opioid pain medicine that can put you at risk for overdose and death. Even if you take your dose correctly as prescribed you are at risk for opioid addiction, abuse, and misuse that can lead to death.
Important information about oxycodone hydrochloride tablets:
  • Get emergency help or call 911 right away if you take too many oxycodone hydrochloride tablets (overdose). When you first start taking oxycodone hydrochloride tablets, when your dose is changed, or if you take too much (overdose), serious or life-threatening breathing problems that can lead to death may occur. Ask your healthcare provider about medicines like naloxone or nalmefene that can be used in an emergency to reverse an opioid overdose.

  • Taking oxycodone hydrochloride tablets with other opioid medicines, benzodiazepines, gabapentinoids (gabapentin or pregabalin), alcohol, or other central nervous system depressants (including street drugs) can cause severe drowsiness, decreased awareness, breathing problems, coma, and death.

  • Never give anyone else your oxycodone hydrochloride tablets. They could die from taking it. Selling or giving away oxycodone hydrochloride tablets is against the law.
  • Store oxycodone hydrochloride tablets securely, out of sight and reach of children, and in a location not accessible by others, including visitors to the home.
Do not take oxycodone hydrochloride tablets if you have:
  • severe asthma, trouble breathing, or other lung problems.
  • a bowel blockage or have narrowing of the stomach or intestines.
  • allergy to oxycodone.
Before taking oxycodone hydrochloride tablets, tell your healthcare provider if you have a history of:
  • head injury, seizures
  • liver, kidney, thyroid problems
  • problems urinating
  • pancreas or gallbladder problems
  • abuse of street or prescription drugs, alcohol addiction, opioid overdose, or mental health problems.
Tell your healthcare provider if you are:
  • noticing your pain getting worse. If your pain gets worse after you take oxycodone hydrochloride tablets, do not take more oxycodone hydrochloride tablets without first talking to your healthcare provider. Talk to your healthcare provider if the pain that you have increases, if you feel more sensitive to pain, or if you have new pain after taking oxycodone hydrochloride tablets.
  • pregnant or planning to become pregnant. Use of oxycodone hydrochloride tablets for an extended period of time during pregnancy can cause withdrawal symptoms in your newborn baby that could be life-threatening if not recognized and treated.
  • breastfeeding. Oxycodone hydrochloride passes into breast milk and may harm your baby. Carefully observe infants for increased sleepiness (more than usual), breathing difficulties, or limpness. Seek immediate medical care if you notice these signs.
  • living in a household where there are small children or someone who has abused street or prescription drugs.
  • taking prescription or over-the-counter medicines, vitamins, or herbal supplements. Taking oxycodone hydrochloride tablets with certain other medicines can cause serious side effects that could lead to death.
When taking oxycodone hydrochloride tablets:
  • Do not change your dose. Take oxycodone hydrochloride tablets exactly as prescribed by your healthcare provider. Use the lowest dose possible for the shortest time needed.
  • For acute (short-term) pain, you may only need to take oxycodone hydrochloride tablets for a few days. You may have some oxycodone hydrochloride tablets left over that you did not use. See disposal information at the bottom of this section for directions on how to safely throw away (dispose of) your unused oxycodone hydrochloride tablets.
  • Take your prescribed dose every 4 to 6 hours as needed for pain. Do not take more than your prescribed dose. If you miss a dose, take your next dose at your usual time.
  • Call your healthcare provider if the dose you are taking does not control your pain.
  • If you have been taking oxycodone hydrochloride tablets regularly, do not stop taking oxycodone hydrochloride tablets without talking to your healthcare provider.
  • Dispose of expired, unwanted, or unused oxycodone hydrochloride tablets by promptly flushing down the toilet, if a drug take-back option is not readily available. Visit www.fda.gov/drugdisposal for additional information on disposal of unused medicines.
While taking oxycodone hydrochloride tablets DO NOT:
  • Drive or operate heavy machinery, until you know how oxycodone hydrochloride tablets affect you. Oxycodone hydrochloride tablets can make you sleepy, dizzy, or lightheaded.
  • Drink alcohol or use prescription or over-the-counter medicines that contain alcohol. Using products containing alcohol during treatment with oxycodone hydrochloride tablets may cause you to overdose and die.
The possible side effects of oxycodone hydrochloride tablets are:
  • constipation, nausea, sleepiness, vomiting, tiredness, headache, dizziness, abdominal pain. Call your healthcare provider if you have any of these symptoms and they are severe.
Get emergency medical help or call 911 right away if you have:
  • trouble breathing, shortness of breath, fast heartbeat, chest pain, swelling of your face, tongue, or throat, extreme drowsiness, light-headedness when changing positions, feeling faint, agitation, high body temperature, trouble walking, stiff muscles, or mental changes such as confusion.
These are not all the possible side effects of oxycodone hydrochloride tablets. Call your healthcare provider for medical advice about side effects. You may report side effects to FDA at 1-800-FDA-1088. For more information call Alvogen, Inc. at 1-866-770-3024 or go to dailymed.nlm.nih.gov.



Product of USA

Manufactured by: Norwich Pharmaceuticals, Inc., Norwich, NY 13815 USA

Distributed by: Alvogen, Inc., Morristown, NJ 07960 USA

This Medication Guide has been approved by the U.S. Food and Drug Administration.                         

Revised: 01/2026

PL263-05

9.2 Abuse

Oxycodone hydrochloride tablets contain oxycodone, a substance with high potential for misuse and abuse, which can lead to the development of substance use disorder, including addiction [see Warnings and Precautions (5.1)].

Misuse is the intentional use, for therapeutic purposes, of a drug by an individual in a way other than prescribed by a healthcare provider or for whom it was not prescribed.

Abuse is the intentional, non-therapeutic use of a drug, even once, for its desirable psychological or physiological effects.

Drug addiction is a cluster of behavioral, cognitive, and physiological phenomena that may include a strong desire to take the drug, difficulties in controlling drug use (e.g., continuing drug use despite harmful consequences, giving a higher priority to drug use than other activities and obligations), and possible tolerance or physical dependence. Misuse and abuse of oxycodone hydrochloride tablets increases risk of overdose, which may lead to central nervous system and respiratory depression, hypotension, seizures, and death. The risk is increased with concurrent abuse of oxycodone hydrochloride tablets with alcohol and/or other CNS depressants. Abuse of and addiction to opioids in some individuals may not be accompanied by concurrent tolerance and symptoms of physical dependence. In addition, abuse of opioids can occur in the absence of addiction.

All patients treated with opioids require careful and frequent reevaluation for signs of misuse, abuse, and addiction, because use of opioid analgesic products carries the risk of addiction even under appropriate medical use. Patients at high risk of oxycodone hydrochloride tablets abuse include those with a history of prolonged use of any opioid, including products containing oxycodone, those with a history of drug or alcohol abuse, or those who use oxycodone hydrochloride tablets in combination with other abused drugs.

“Drug-seeking” behavior is very common in persons with substance use disorders. Drug-seeking tactics include emergency calls or visits near the end of office hours, refusal to undergo appropriate examination, testing, or referral, repeated “loss” of prescriptions, tampering with prescriptions, and reluctance to provide prior medical records or contact information for other treating healthcare provider(s). “Doctor shopping” (visiting multiple prescribers to obtain additional prescriptions) is common among people who abuse drugs and people with substance use disorder. Preoccupation with achieving adequate pain relief can be appropriate behavior in a patient with inadequate pain control.

Oxycodone hydrochloride tablets, like other opioids, can be diverted for nonmedical use into illicit channels of distribution. Careful record-keeping of prescribing information, including quantity, frequency, and renewal requests, as required by state and federal law, is strongly advised.

Proper assessment of the patient, proper prescribing practices, periodic reevaluation of therapy, and proper dispensing and storage are appropriate measures that help to limit abuse of opioid drugs.

Risks Specific to Abuse of Oxycodone Hydrochloride Tablets

Abuse of oxycodone hydrochloride tablets pose a risk of overdose and death. The risk is increased with concurrent use of oxycodone hydrochloride tablets with alcohol and/or other CNS depressants.

Oxycodone hydrochloride tablets are approved for oral use only.

Parenteral drug abuse is commonly associated with transmission of infectious diseases such as hepatitis and HIV.

10 Overdosage (10 OVERDOSAGE)

Clinical Presentation

Acute overdose with oxycodone can be manifested by respiratory depression, somnolence progressing to stupor or coma, skeletal muscle flaccidity, cold and clammy skin, constricted pupils, and in some cases, pulmonary edema, bradycardia, hypotension, hypoglycemia, partial or complete airway obstruction, atypical snoring, and death. Marked mydriasis rather than miosis may be seen with hypoxia in overdose situations [see Clinical Pharmacology (12.2)]. Toxic leukoencephalopathy has been reported after opioid overdose and can present hours, days, or weeks after apparent recovery from the initial intoxication.

Treatment of Overdose

In case of overdose, priorities are the re-establishment of a patent and protected airway and institution of assisted or controlled ventilation, if needed. Employ other supportive measures (including oxygen and vasopressors) in the management of circulatory shock and pulmonary edema as indicated. Cardiac arrest or arrhythmias will require advanced life-support measures.

For clinically significant respiratory or circulatory depression secondary to opioid overdose, administer an opioid overdose reversal agent such as naloxone or nalmefene.

Because the duration of opioid reversal is expected to be less than the duration of action of oxycodone in oxycodone hydrochloride tablets, carefully monitor the patient until spontaneous respiration is reliably reestablished. If the response to an opioid overdose reversal agent is suboptimal or only brief in nature, administer additional reversal agent as directed by the product’s prescribing information.

In an individual physically dependent on opioids, administration of the recommended usual dosage of the overdose reversal agent will precipitate an acute withdrawal syndrome. The severity of the withdrawal symptoms experienced will depend on the degree of physical dependence and the dose of the reversal agent administered. If a decision is made to treat serious respiratory depression in the physically dependent patient, administration of the reversal agent should be initiated with care and by titration with smaller than usual doses of the reversal agent.

.

8.1 Pregnancy

Risk Summary

Use of opioid analgesics for an extended period of time during pregnancy may cause neonatal opioid withdrawal syndrome [see Warnings and Precautions (5.4)]. Available data with oxycodone hydrochloride tablets in pregnant women are insufficient to inform a drug-associated risk for major birth defects and miscarriage or adverse maternal outcomes. Animal reproduction studies with oral administrations of oxycodone hydrochloride in rats and rabbits during the period of organogenesis at doses 2.6 and 8.1 times, respectively, the human dose of 60 mg/day did not reveal evidence of teratogenicity or embryo-fetal toxicity. In several published studies, treatment of pregnant rats with oxycodone at clinically relevant doses and below, resulted in neurobehavioral effects in offspring [see Data]. Based on animal data, advise pregnant women of the potential risk to a fetus.

All pregnancies have a background risk of birth defect, loss, or other adverse outcomes. In the U.S. general population, the background risk of major birth defects and miscarriage in clinically recognized pregnancies is 2% to 4% and 15% to 20%, respectively.

Clinical Considerations

Fetal/Neonatal Adverse Reactions

Use of opioid analgesics for an extended period of time during pregnancy for medical or nonmedical purposes can result in physical dependence in the neonate and neonatal opioid withdrawal syndrome shortly after birth.

Neonatal opioid withdrawal syndrome presents irritability, hyperactivity, and abnormal sleep pattern, high pitched cry, tremor, vomiting, diarrhea, and failure to gain weight. The onset, duration, and severity of neonatal opioid withdrawal syndrome vary based on the specific opioid use, duration of use, timing and amount of last maternal use, and rate of elimination of the drug by the newborn. Observe newborns for symptoms of neonatal opioid withdrawal syndrome and manage accordingly [see Warnings and Precautions (5.4)].

Labor or Delivery

Opioids cross the placenta and may produce respiratory depression and psycho-physiologic effects in neonates. An opioid overdose reversal agent such as naloxone or nalmefene, must be available for reversal of opioid-induced respiratory depression in the neonate. Oxycodone hydrochloride tablets are not recommended for use in pregnant women during or immediately prior to labor, when other analgesic techniques are more appropriate. Opioid analgesics, including oxycodone hydrochloride tablets, can prolong labor through actions which temporarily reduce the strength, duration and frequency of uterine contractions. However, this effect is not consistent and may be offset by an increased rate of cervical dilation, which tends to shorten labor. Monitor neonates exposed to opioid analgesics during labor for signs of excess sedation and respiratory depression.

Data

Animal Data

In embryo-fetal development studies in rats and rabbits, pregnant animals received oral doses of oxycodone hydrochloride administered during the period of organogenesis up to 16 mg/kg/day and up to 25 mg/kg/day, respectively. These studies revealed no evidence of teratogenicity or embryo-fetal toxicity due to oxycodone. The highest doses tested in rats and rabbits were equivalent to approximately 2.6 and 8.1 times an adult human dose of 60 mg/day, respectively, on a mg/m2 basis. In published studies, offspring of pregnant rats administered oxycodone during gestation have been reported to exhibit neurobehavioral effects including altered stress responses, increased anxiety-like behavior (2 mg/kg/day IV from Gestation Day 8 to 21 and Postnatal Day 1, 3, and 5; 0.3 times an adult human dose of 60 mg/day, on a mg/m2 basis) and altered learning and memory (15 mg/kg/day orally from breeding through parturition; 2.4 times an adult human dose of 60 mg/day, on a mg/m2 basis).

8.2 Lactation

Risk Summary

Available data from lactation studies indicate that oxycodone is present in breastmilk and that doses of less than 60 mg/day of the immediate-release formulation are unlikely to result in clinically relevant exposures in breastfed infants. A pharmacokinetics study utilizing opportunistic sampling of 76 lactating women receiving oxycodone immediate-release products for postpartum pain management showed that oxycodone concentrates in breastmilk with an average milk to plasma ratio of 3.2. The relative infant dose was low, approximately 1.3% of a weight-adjusted maternal dose (see Data).

In the same study, among the 70 infants exposed to oxycodone in breastmilk, no adverse events were attributed to oxycodone. However, based on known adverse effects in adults, infants should be monitored for signs of excess sedation and respiratory depression (see Clinical Considerations). There are no data on the effects of the oxycodone on milk production.

The developmental and health benefits of breastfeeding should be considered along with the mother’s clinical need for oxycodone hydrochloride tablets and any potential adverse effects on the breastfed infant from oxycodone hydrochloride tablets or from the underlying maternal condition.

Clinical Considerations

Monitor infants exposed to oxycodone hydrochloride through breast milk for excess sedation and respiratory depression. Withdrawal symptoms can occur in breastfed infants when maternal administration of an opioid analgesic is stopped or when breastfeeding is stopped.

Data

Oxycodone concentration data from 76 lactating women receiving immediate-release oxycodone products for postpartum pain management, and 28 infants exposed to oxycodone in breastmilk showed that following a median (range) dose of oxycodone in mothers of 9.2 (5-10) mg/dose or 33.0 (5.4-59.3) mg/day, oxycodone concentrated in breastmilk with a median (range) milk to plasma ratio of 3.2 (1.2-5.3). However, when using maternal breastmilk data to estimate the daily and relative infant dose, the infant dose was 0.006 mg/kg/day, which is 1.3% of a weight-adjusted maternal dose of 10 mg every 6 hours. These estimates based on maternal breastmilk concentrations were corroborated by the observed infant concentrations, of which over 75% (19/25) were below the limit of quantification. Among the 6 infants with quantifiable concentration, the median (range) concentration was 0.2 ng/mL (0.1-0.7). These concentrations are 100 to 1000 times lower than concentrations observed in other studies after infants received oxycodone at 0.1 mg/kg/dose (~20-200 ng/mL).

11 Description (11 DESCRIPTION)

Oxycodone hydrochloride tablets, USP contain oxycodone, an opioid agonist.

Each tablet for oral administration contains 5 mg, 15 mg, or 30 mg of oxycodone hydrochloride USP.

Oxycodone hydrochloride is a white, odorless crystalline powder derived from the opium alkaloid, thebaine. Oxycodone hydrochloride dissolves in water (1 g in 6 to 7 mL) and is considered slightly soluble in alcohol (octanol water partition coefficient is 0.7).

Chemically, oxycodone hydrochloride is 4, 5α-epoxy-14-hydroxy-3-methoxy-17-methylmorphinan-6-one hydrochloride and has the following structural formula:

Oxycodone hydrochloride tablets contain the following inactive ingredients: colloidal silicon dioxide, microcrystalline cellulose, pregelatinized corn starch, stearic acid, D&C Yellow No. 10 (15 mg tablet) and FD&C Blue No. 2 (15 mg and 30 mg tablet).

The 5 mg, 15 mg and 30 mg tablets contain the equivalent of 4.5 mg, 13.5 mg and 27.0 mg, respectively, of oxycodone free base.

9.3 Dependence

Both tolerance and physical dependence can develop during use of opioid therapy.

Tolerance is a physiological state characterized by a reduced response to a drug after repeated administration (i.e., a higher dose of a drug is required to produce the same effect that was once obtained at a lower dose).

Physical dependence is a state that develops as a result of a physiological adaptation in response to repeated drug use, manifested by withdrawal signs and symptoms after abrupt discontinuation or a significant dose reduction of a drug.

Withdrawal may be precipitated through the administration of drugs with opioid antagonist activity (e.g., naloxone, nalmefene), mixed agonist/antagonist analgesics (e.g., pentazocine, butorphanol, nalbuphine), or partial agonists (e.g., buprenorphine). Physical dependence may not occur to a clinically significant degree until after several days to weeks of continued use.

Do not rapidly reduce or abruptly discontinue oxycodone hydrochloride tablets in a patient physically dependent on opioids. Rapid tapering of oxycodone hydrochloride tablets in a patient physically dependent on opioids may lead to serious withdrawal symptoms, uncontrolled pain, and suicide. Rapid discontinuation has also been associated with attempts to find other sources of opioid analgesics, which may be confused with drug-seeking for abuse.

When discontinuing oxycodone hydrochloride tablets, gradually taper the dosage using a patient-specific plan that considers the following: the dose of oxycodone hydrochloride tablets the patient has been taking, the duration of treatment, and the physical and psychological attributes of the patient. To improve the likelihood of a successful taper and minimize withdrawal symptoms, it is important that the opioid tapering schedule is agreed upon by the patient. In patients taking opioids for an extended period of time at high doses, ensure that a multimodal approach to pain management, including mental health support (if needed), is in place prior to initiating an opioid analgesic taper [see Dosage and Administration (2.4), and Warnings and Precautions (5.14)].

Infants born to mothers physically dependent on opioids will also be physically dependent and may exhibit respiratory difficulties and withdrawal signs [see Use in Specific Populations (8.1)].

5.14 Withdrawal

Do not rapidly reduce or abruptly discontinue oxycodone hydrochloride tablets in a patient physically dependent on opioids. When discontinuing oxycodone hydrochloride tablets in a physically dependent patient, gradually taper the dosage. Rapid tapering of oxycodone in a patient physically dependent on opioids may lead to a withdrawal syndrome and return of pain [see Dosage and Administration (2.4), Drug Abuse and Dependence (9.3)].

Additionally, avoid the use of mixed agonist/antagonist (e.g., pentazocine, nalbuphine, and butorphanol) or partial agonist (e.g., buprenorphine) analgesics in patients who are receiving a full opioid agonist analgesic, including oxycodone hydrochloride tablets. In these patients, mixed agonist/antagonist and partial agonist analgesics may reduce the analgesic effect and/or precipitate withdrawal symptoms [see Drug Interactions (7)].

8.4 Pediatric Use

The safety and efficacy of oxycodone hydrochloride tablets in pediatric patients have not been evaluated.

8.5 Geriatric Use

Of the total number of subjects in clinical studies of oxycodone hydrochloride tablets, 20.8% (112/538) were 65 and over, while 7.2% (39/538) were 75 and over. No overall differences in safety or effectiveness were observed between these subjects and younger subjects, and other reported clinical experience has not identified differences in responses between the elderly and younger patients, but greater sensitivity of some older individuals cannot be ruled out.

Elderly patients (aged 65 years or older) may have increased sensitivity to oxycodone. In general, use caution when selecting a dosage for an elderly patient, usually starting at the low end of the dosing range, reflecting the greater frequency of decreased hepatic, renal, or cardiac function and of concomitant disease or other drug therapy.

Respiratory depression is the chief risk for elderly patients treated with opioids, and has occurred after large initial doses were administered to patients who were not opioid-tolerant or when opioids were co-administered with other agents that depress respiration. Titrate the dosage of oxycodone hydrochloride tablets slowly in geriatric patients and frequently reevaluate the patient for signs of central nervous system and respiratory depression [see Warnings and Precautions (5.2)].

Oxycodone is known to be substantially excreted by the kidney, and the risk of adverse reactions to this drug may be greater in patients with impaired renal function. Because elderly patients are more likely to have decreased renal function, care should be taken in dose selection, and it may be useful to regularly evaluate renal function.

2.3 Initial Dosage

Although it is not possible to list every condition that is important to the selection of the initial dose of oxycodone hydrochloride tablets, attention must be given to:

1. the daily dose, potency and characteristics of a full agonist or mixed agonist/antagonist the patient has been taking previously.

2. the reliability of the relative potency estimate to calculate the dose of oxycodone hydrochloride needed.

3. the degree of opioid tolerance.

4. the general condition and medical status of the patient, including the patient’s weight and age.

5. the balance between pain management and adverse reactions.

6. the type and severity of the patient’s pain.

7. risk factors for abuse or addiction, including a prior history of abuse or addiction.

Use of Oxycodone Hydrochloride Tablets as the First Opioid Analgesic

Initiate treatment with oxycodone hydrochloride tablets in a dosing range of 5 mg to 15 mg every 4 to 6 hours as needed for pain, and at the lowest dose necessary to achieve adequate analgesia. Titrate the dose based upon the individual patient’s response to their initial dose of oxycodone hydrochloride tablets.

Conversion from Other Opioids to Oxycodone Hydrochloride Tablets

There is inter-patient variability in the potency of opioid drugs and opioid formulations. Therefore, a conservative approach is advised when determining the total daily dosage of oxycodone hydrochloride tablets. It is safer to underestimate a patient’s 24-hour oxycodone hydrochloride tablets dosage than to overestimate the 24-hour oxycodone hydrochloride tablets dosage and manage an adverse reaction due to overdose. If a patient has been receiving opioid-containing medications prior to taking oxycodone hydrochloride tablets, the potency of the prior opioid relative to oxycodone should be factored into the selection of the total daily dose (TDD) of oxycodone.

In converting patients from other opioids to oxycodone hydrochloride tablets close observation and adjustment of dosage based upon the patient’s response to oxycodone hydrochloride tablets is imperative. Administration of supplemental analgesia for breakthrough or incident pain and titration of the total daily dose of oxycodone hydrochloride tablets may be necessary, especially in patients who have disease states that are changing rapidly.

Conversion from Fixed-Ratio Opioid/Acetaminophen, Opioid/Aspirin, or Opioid/Nonsteroidal Combination Drugs

When converting patients from fixed ratio opioid/non-opioid drug regimens a decision should be made whether or not to continue the non-opioid analgesic. If a decision is made to discontinue the use of non-opioid analgesic, it may be necessary to titrate the dose of oxycodone hydrochloride tablets in response to the level of analgesia and adverse effects afforded by the dosing regimen. If the non-opioid regimen is continued as a separate single entity agent, the starting dose oxycodone hydrochloride tablets should be based upon the most recent dose of opioid as a baseline for further titration of oxycodone. Incremental increases should be gauged according to side effects to an acceptable level of analgesia.

Conversion from Oxycodone Hydrochloride Tablets to Extended-Release Oxycodone

The relative bioavailability of oxycodone hydrochloride tablets compared to extended-release oxycodone is unknown, so conversion to extended-release oxycodone may lead to increased risk of excessive sedation and respiratory depression.

4 Contraindications (4 CONTRAINDICATIONS)

Oxycodone hydrochloride tablets are contraindicated in patients with:

  • Significant respiratory depression [see Warnings and Precautions (5.2)].
  • Acute or severe bronchial asthma in an unmonitored setting or in the absence of resuscitative equipment or hypercarbia [see Warnings and Precautions (5.8)].
  • Known or suspected gastrointestinal obstruction, including paralytic ileus [see Warnings and Precautions (5.12)].
  • Known hypersensitivity (e.g., anaphylaxis) to oxycodone [see Adverse Reactions (6.2)].
6 Adverse Reactions (6 ADVERSE REACTIONS)

The following serious adverse reactions are described, or described in greater detail, in other sections:

  • Addiction, Abuse, and Misuse [see Warnings and Precautions (5.1)]
  • Life-Threatening Respiratory Depression [see Warnings and Precautions (5.2)]
  • Interactions with Benzodiazepines or Other CNS Depressants [see Warnings and Precautions (5.3)]
  • Neonatal Opioid Withdrawal Syndrome [see Warnings and Precautions (5.4)]
  • Opioid-Induce Hyperalgesia and Allodynia [see Warnings and Precautions (5.7)]
  • Adrenal Insufficiency [see Warnings and Precautions (5.9)]
  • Severe Hypotension [see Warnings and Precautions (5.10)]
  • Gastrointestinal Adverse Reactions [see Warnings and Precautions (5.12)]
  • Seizures [see Warnings and Precautions (5.13)]
  • Withdrawal [see Warnings and Precautions (5.14)]
7 Drug Interactions (7 DRUG INTERACTIONS)

Table 1 includes clinically significant drug interactions with oxycodone hydrochloride tablets.

Table 1: Clinically Significant Drug Interactions with Oxycodone Hydrochloride Tablets

Inhibitors of CYP3A4 and CYP2D6

Clinical Impact:

The concomitant use of oxycodone hydrochloride tablets and CYP3A4 inhibitors can increase the plasma concentration of oxycodone, resulting in increased or prolonged opioid effects. These effects could be more pronounced with concomitant use of oxycodone hydrochloride tablets and CYP2D6 and CYP3A4 inhibitors, particularly when an inhibitor is added after a stable dose of oxycodone hydrochloride tablets is achieved [see Warnings and Precautions (5.3)]. After stopping a CYP3A4 inhibitor, as the effects of the inhibitor decline, the oxycodone plasma concentration will decrease [see Clinical Pharmacology (12.3)], resulting in decreased opioid efficacy or a withdrawal syndrome in patients who had developed physical dependence to oxycodone.

Intervention:

If concomitant use is necessary, consider dosage reduction of oxycodone hydrochloride tablets until stable drug effects are achieved. Evaluate patients at frequent intervals for respiratory depression and sedation. If a CYP3A4 inhibitor is discontinued, consider increasing the oxycodone hydrochloride tablets dosage until stable drug effects are achieved. Evaluate for signs of opioid withdrawal.

Examples:

Macrolide antibiotics (e.g., erythromycin), azole-antifungal agents (e.g., ketoconazole), protease inhibitors (e.g., ritonavir).

CYP3A4 Inducers

Clinical Impact:

The concomitant use of oxycodone hydrochloride tablets and CYP3A4 inducers can decrease the plasma concentration of oxycodone [see Clinical Pharmacology (12.3)], resulting in decreased efficacy or onset of a withdrawal syndrome in patients who have developed physical dependence to oxycodone [see Warnings and Precautions (5.6)].

After stopping a CYP3A4 inducer, as the effects of the inducer decline, the oxycodone plasma concentration will increase [see Clinical Pharmacology (12.3)], which could increase or prolong both the therapeutic effects and adverse reactions, and may cause serious respiratory depression.

Intervention:

If concomitant use is necessary, consider increasing the oxycodone hydrochloride tablets dosage until stable drug effects are achieved. Evaluate patients for signs of opioid withdrawal. If a CYP3A4 inducer is discontinued, consider oxycodone hydrochloride tablets dosage reduction and evaluate patients at frequent intervals for signs of respiratory depression and sedation.

Examples:

Rifampin, carbamazepine, phenytoin

Benzodiazepines and Other Central Nervous System (CNS) Depressants

Clinical Impact:

Due to additive pharmacologic effect, the concomitant use of benzodiazepines or other CNS depressants, including alcohol, can increase the risk of hypotension, respiratory depression, profound sedation, coma, and death [see Warnings and Precautions (5.3)].

Intervention:

Reserve concomitant prescribing of these drugs for use in patients for whom alternative treatment options are inadequate. Limit dosages and durations to the minimum required. Inform patients and caregivers of this potential interaction and educate them on the signs and symptoms of respiratory depression (including sedation). If concomitant use is warranted, consider recommending or prescribing an opioid overdose reversal agent [see Dosage and Administration (2.2), Warnings and Precautions (5.1, 5.2, 5.3)].

Examples:

Benzodiazepines and other sedatives/hypnotics, anxiolytics, tranquilizers, muscle relaxants, general anesthetics, antipsychotics, gabapentinoids (gabapentin or pregabalin), other opioids, alcohol.

Serotonergic Drugs

Clinical Impact:

The concomitant use of opioids with other drugs that affect the serotonergic neurotransmitter system has resulted in serotonin syndrome [see Adverse Reactions (6.2)].

Intervention:

If concomitant use is warranted, frequently evaluate the patient, particularly during treatment initiation and dose adjustment. Discontinue oxycodone hydrochloride tablets if serotonin syndrome is suspected.

Examples:

Selective serotonin reuptake inhibitors (SSRIs), serotonin and norepinephrine reuptake inhibitors (SNRIs), tricyclic antidepressants (TCAs), triptans, 5-HT3 receptor antagonists, drugs that affect the serotonin neurotransmitter system (e.g., mirtazapine, trazodone, tramadol), certain muscle relaxants (i.e., cyclobenzaprine, metaxalone), monoamine oxidase (MAO) inhibitors (those intended to treat psychiatric disorders and also others, such as linezolid and intravenous methylene blue).

Monoamine Oxidase Inhibitors (MAOIs)

Clinical Impact:

MAOI interactions with opioids may manifest as serotonin syndrome or opioid toxicity (e.g., respiratory depression, coma) [see Warnings and Precautions (5.2)].

Intervention:

The use of oxycodone hydrochloride tablets are not recommended for patients taking MAOIs or within 14 days of stopping such treatment.

If urgent use of an opioid is necessary, use test doses and frequent titration of small doses to treat pain while closely monitoring blood pressure and signs and symptoms of CNS and respiratory depression.

Examples:

phenelzine, tranylcypromine, linezolid

Mixed Agonist/Antagonist Opioid Analgesics

Clinical Impact:

May reduce the analgesic effect of oxycodone hydrochloride tablets and/or may precipitate withdrawal symptoms.

Intervention:

Avoid concomitant use

Examples:

Butorphanol, nalbuphine, pentazocine, buprenorphine

Muscle Relaxants

Clinical Impact:

Oxycodone may enhance the neuromuscular blocking action of skeletal muscle relaxants and produce an increased degree of respiratory depression.

Intervention:

Because respiratory depression may be greater than otherwise expected, decrease the dosage of oxycodone hydrochloride tablets and/or the muscle relaxant as necessary. Due to the risk of respiratory depression with concomitant use of skeletal muscle relaxants and opioids, consider recommending or prescribing an opioid overdose reversal agent [see Dosage and Administration (2.2), Warnings and Precautions (5.2, 5.3)].

Examples: Cyclobenzaprine, metaxalone

Diuretics

Clinical Impact:

Opioids can reduce the efficacy of diuretics by inducing the release of antidiuretic hormone.

Intervention:

Evaluate patients for signs of dismissed diuresis and/or effects on blood pressure and increase the dosage of the diuretic as needed.

Anticholinergic Drugs

Clinical Impact:

The concomitant risk of anticholinergic drugs may result in increased risk of urinary retention and/or severe constipation, which may lead to paralytic ileus.

Intervention:

Evaluate patients for signs of urinary retention or reduced gastric motility when oxycodone hydrochloride tablets are used concurrently with anticholinergic drugs.

8.7 Renal Impairment

Because oxycodone is known to be substantially excreted by the kidney, its clearance may decrease in patients with renal impairment. Initiate therapy with a lower than usual dosage of oxycodone hydrochloride tablets and titrate carefully. Regularly evaluate for adverse events such as respiratory depression, sedation, and hypotension [see Clinical Pharmacology (12.3)].

12.2 Pharmacodynamics

Effects on Central Nervous System

Oxycodone produces respiratory depression by direct action on brain stem respiratory centers. The respiratory depression involves a reduction in the responsiveness of the brain stem respiratory centers to both increases in carbon dioxide tension and electrical stimulation.

Oxycodone causes miosis, even in total darkness. Pinpoint pupils are a sign of opioid overdose but are not pathognomonic (e.g., pontine lesions of hemorrhagic or ischemic origins may produce similar findings). Marked mydriasis rather than miosis may be seen due to hypoxia in overdose situations.

Effects on Gastrointestinal Tract and Other Smooth Muscle

Oxycodone causes a reduction in motility associated with an increase in smooth muscle tone in the antrum of the stomach and duodenum. Digestion of food in the small intestine is delayed and propulsive contractions are decreased. Propulsive peristaltic waves in the colon are decreased, while tone may be increased to the point of spasm, resulting in constipation. Other opioid-induced effects may include a reduction in biliary and pancreatic secretions, spasm of sphincter of Oddi, transient elevations in serum amylase, and opioid-induced esophageal dysfunction (OIED).

Effects on Cardiovascular System

Oxycodone produces peripheral vasodilatation, which may result in orthostatic hypotension or syncope. Manifestations of histamine release and/or peripheral vasodilatation may include pruritus, flushing, red eyes, sweating, and/or orthostatic hypotension.

Effects on the Endocrine System

Opioids inhibit the secretion of adrenocorticotropic hormone (ACTH), cortisol, and luteinizing hormone (LH) in humans [see Adverse Reactions (6.2)]. They also stimulate prolactin, growth hormone (GH) secretion, and pancreatic secretion of insulin and glucagon.

Use of opioids for an extended period of time may influence the hypothalamic-pituitary-gonadal axis, leading to androgen deficiency that may manifest as low libido, impotence, erectile dysfunction, amenorrhea, or infertility. The causal role of opioids in the clinical syndrome of hypogonadism is unknown because the various medical, physical, lifestyle, and psychological stressors that may influence gonadal hormone levels have not been adequately controlled for in studies conducted to date [see Adverse Reactions (6.2)].

Effects on the Immune System

Opioids have been shown to have a variety of effects on components of the immune system in in vitro and animal models. The clinical significance of these findings is unknown. Overall, the effects of opioids appear to be modestly immunosuppressive.

Concentration–Efficacy Relationships

The minimum effective analgesic concentration will vary widely among patients, especially among patients who have been previously treated with opioid agonists. The minimum effective analgesic concentration of oxycodone for any individual patient may increase over time due to an increase in pain, the development of a new pain syndrome, and/or the development of analgesic tolerance [see Dosage and Administration (2.1, 2.3)].

Concentration–Adverse Reaction Relationships

There is a relationship between increasing oxycodone plasma concentration and increasing frequency of dose-related opioid adverse reactions such as nausea, vomiting, CNS effects, and respiratory depression. In opioid-tolerant patients, the situation may be altered by the development of tolerance to opioid-related adverse reactions [see Dosage and Administration (2.1, 2.3)].

12.3 Pharmacokinetics

The activity of oxycodone hydrochloride tablets is primarily due to the parent drug oxycodone. Oxycodone hydrochloride tablets are designed to provide immediate release of oxycodone.

Table 2:Pharmacokinetic Parameters (Mean±SD)
Dose\Parameters AUC

(ngxhr/mL)
Cmax

(ng/mL)
Tmax

(hr)
Cmin

(ng/mL)
Cavg

(ng/mL)
Half-Life

(hr)
Single Dose

Pharmacokinetics
Oxycodone Hydrochloride

5 mg tabs x 3
133.2±33 22.3±8.2 1.8±1.8 n/a n/a 3.73±0.9
Oxycodone Hydrochloride

15 mg tab
128.2±35.1 22.2±7.6 1.4±0.7 n/a n/a 3.55±1.0
Oxycodone Hydrochloride

Liquid Concentrate

15 mg oral solution
130.6±34.7 21.1±6.1 1.9±1.5 n/a n/a 3.71±0.8
Oxycodone Hydrochloride

30 mg tab
268.2±60.7 39.3±14.0 2.6±3.0 n/a n/a 3.85±1.3
Food Effect,

Single Dose
Oxycodone Hydrochloride

10 mg/10 mL oral sol’n (fasted)
105±6.2 19.0±3.7 1.25±0.5 n/a n/a 2.9±0.4
Oxycodone Hydrochloride

10 mg/10 mL oral sol’n (fed)
133±25.2 17.7±3.0 2.54±1.2 n/a n/a 3.3±0.5
Multiple-Dose

Studies
AUC

(72-84)
Oxycodone Hydrochloride

5 mg tabs q6h x 14 doses
113.3±24.0 15.7±3.2 1.3±0.3 7.4±1.8 9.4±2.0 n/a
Oxycodone Hydrochloride

3.33 mg (3.33 mL)

oral sol’n.

q4h x 21 doses
99.0±24.8 12.9±3.1 1.0±0.3 7.2±2.3 9.7±2.6 n/a

Absorption

About 60% to 87% of an oral dose of oxycodone reaches the systemic circulation in comparison to a parenteral dose. This high oral bioavailability (compared to other oral opioids) is due to lower presystemic and/or first-pass metabolism of oxycodone. The relative oral bioavailability of oxycodone hydrochloride 15 mg and 30 mg tablets, compared to the 5 mg oxycodone hydrochloride tablets, is 96% and 101% respectively. Oxycodone hydrochloride 15 mg tablets and 30 mg tablets are bioequivalent to the 5 mg oxycodone hydrochloride tablet (see Table 2 for pharmacokinetic parameters). Dose proportionality of oxycodone has been established using the oxycodone hydrochloride 5 mg tablets at doses of 5 mg, 15 mg (three 5 mg tablets) and 30 mg (six 5 mg tablets) based on extent of absorption (AUC) (see Figure 1). It takes approximately 18 to 24 hours to reach steady-state plasma concentrations of oxycodone with oxycodone hydrochloride tablets.

Figure 1 - Oxycodone Dose-Proportionality Study 5 mg, 15 mg, and 30 mg (single-dose)

Food Effect

A single-dose food effect study was conducted in normal volunteers using the 5 mg/5 mL solution. The concurrent intake of a high fat meal was shown to enhance the extent (27% increase in AUC), but not the rate of oxycodone absorption from the oral solution (see Table 2). In addition, food caused a delay in Tmax (1.25 to 2.54 hour). Similar effects of food are expected with the 15 mg and 30 mg tablets.

Distribution

Following intravenous administration, the volume of distribution (Vss) for oxycodone was 2.6 L/kg. Plasma protein binding of oxycodone at 37°C and a pH of 7.4 was about 45%. Oxycodone has been found in breast milk [see Special Populations (8.2)].

Elimination

Metabolism

A high portion of oxycodone is N-dealkylated to noroxycodone during first-pass metabolism, and is catalyzed by CYP3A4. Oxymorphone is formed by the O-demethylation of oxycodone. The metabolism of oxycodone to oxymorphone is catalyzed by CYP2D6 [see Drug Interactions (7)]. Free and conjugated noroxycodone, free and conjugated oxycodone, and oxymorphone are excreted in human urine following a single oral dose of oxycodone. The major circulating metabolite is noroxycodone with an AUC ratio of 0.6 relative to that of oxycodone. Oxymorphone is present in the plasma only in low concentrations. The analgesic activity profile of other metabolites is not known at present.

Excretion

Oxycodone and its metabolites are excreted primarily via the kidney. The amounts measured in the urine have been reported as follows: free oxycodone up to 19%; conjugated oxycodone up to 50%; free oxymorphone 0%; conjugated oxymorphone ≤14%; both free and conjugated noroxycodone have been found in the urine but not quantified. The total plasma clearance was 0.8 L/min for adults. Apparent elimination half-life of oxycodone following the administration of oxycodone hydrochloride tablets was 3.5 to 4 hours.

Specific Populations

Age: Geriatric Population

Population pharmacokinetic studies conducted with oxycodone hydrochloride tablets, indicated that the plasma concentrations of oxycodone did not appear to be increased in patients over the age of 65.

Hepatic Impairment

In a clinical trial supporting the development of oxycodone hydrochloride tablets, too few patients with decreased hepatic function were evaluated to study these potential differences. However, because oxycodone is extensively metabolized in the liver, its clearance may decrease in hepatic impaired patients [see Use in Specific Populations (8.6)].

Renal Impairment

This drug is known to be substantially excreted by the kidney, and the risk of adverse reactions to this drug may be greater in patients with impaired renal function [see Use in Specific Populations (8.7)].

8.6 Hepatic Impairment

Because oxycodone is extensively metabolized in the liver, its clearance may decrease in patients with hepatic impairment. Initiate therapy in these patients with a lower than usual dosage of oxycodone hydrochloride tablets and titrate carefully. Regularly evaluate for adverse events such as respiratory depression, sedation, and hypotension [see Clinical Pharmacology (12.3)].

1 Indications and Usage (1 INDICATIONS AND USAGE)

Oxycodone hydrochloride tablets are indicated for the management of pain severe enough to require an opioid analgesic and for which alternative treatments are inadequate.

Limitations of Use

Because of the risks of addiction, abuse, misuse, overdose, and death, which can occur at any dosage or duration and persist over the course of therapy [see Warnings and Precautions (5.1)], reserve opioid analgesics, including oxycodone hydrochloride tablets for use in patients for whom alternative treatment options are ineffective, not tolerated, or would be otherwise inadequate to provide sufficient management of pain.

5.10 Severe Hypotension

Oxycodone hydrochloride tablets may cause severe hypotension including orthostatic hypotension and syncope in ambulatory patients. There is increased risk in patients whose ability to maintain blood pressure has already been compromised by a reduced blood volume or concurrent administration of certain CNS depressant drugs (e.g., phenothiazines or general anesthetics) [see Drug Interactions (7)]. Regularly evaluate these patients for signs of hypotension after initiating or titrating the dosage of oxycodone hydrochloride tablets. In patients with circulatory shock, use of oxycodone hydrochloride tablets may cause vasodilation that can further reduce cardiac output and blood pressure. Avoid use of oxycodone hydrochloride tablets in patients with circulatory shock.

12.1 Mechanism of Action

Oxycodone is a full opioid agonist and is relatively selective for the mu-opioid receptor, although it can bind to other opioid receptors at higher doses. The principal therapeutic action of oxycodone is analgesia. Like all full opioid agonists, there is no ceiling effect for analgesia with oxycodone. Clinically, dosage is titrated to provide adequate analgesia and may be limited by adverse reactions, including respiratory and CNS depression.

The precise mechanism of the analgesic action is unknown. However, specific CNS opioid receptors for endogenous compounds with opioid-like activity have been identified throughout the brain and spinal cord and are thought to play a role in the analgesic effects of this drug.

9.1 Controlled Substance

Oxycodone hydrochloride tablets contain oxycodone, a Schedule II controlled substance.

5.9 Adrenal Insufficiency

Cases of adrenal insufficiency have been reported with opioid use, more often following greater than one month of use. Presentation of adrenal insufficiency may include non-specific symptoms and signs including nausea, vomiting, anorexia, fatigue, weakness, dizziness, and low blood pressure. If adrenal insufficiency is suspected, confirm the diagnosis with diagnostic testing as soon as possible. If adrenal insufficiency is diagnosed, treat with physiologic replacement doses of corticosteroids. Wean the patient off of the opioid to allow adrenal function to recover and continue corticosteroid treatment until adrenal function recovers. Other opioids may be tried as some cases reported use of a different opioid without recurrence of adrenal insufficiency. The information available does not identify any particular opioids as being more likely to be associated with adrenal insufficiency.

5 Warnings and Precautions (5 WARNINGS AND PRECAUTIONS)
  • Opioid-Induced Hyperalgesia and Allodynia: Opioid-Induced Hyperalgesia (OIH) occurs when opioid analgesic paradoxically causes an increase in pain, or an increase in sensitivity to pain. If OIH is suspected, carefully consider appropriately decreasing the dose of the current opioid analgesic, or opioid rotation. (5.7)
  • Life-Threatening Respiratory Depression in Patients with Chronic Pulmonary Disease or in Elderly, Cachectic, or Debilitated Patients: Regularly evaluate closely, particularly during initiation and titration. (5.8)
  • Adrenal Insufficiency: If diagnosed, treat with physiologic replacement of corticosteroids, and wean patient off of the opioid. (5.9)
  • Severe Hypotension: Regularly evaluate during dosage initiation and titration. Avoid use of oxycodone hydrochloride tablets in patients with circulatory shock. (5.10)
  • Risks of Use in Patients with Increased Intracranial Pressure, Brain Tumors, Head Injury, or Impaired Consciousness: Monitor for sedation and respiratory depression. Avoid use of oxycodone hydrochloride tablets in patients with impaired consciousness or coma. (5.11)

2 Dosage and Administration (2 DOSAGE AND ADMINISTRATION)
  • Oxycodone hydrochloride tablets should be prescribed only by healthcare professionals who are knowledgeable about the use of opioids and how to mitigate the associated risks. (2.1)

  • Use the lowest effective dosage for the shortest duration of time consistent with individual patient treatment goals. Reserve titration to higher doses of oxycodone hydrochloride tablets for patients in whom lower doses are insufficiently effective and in whom the expected benefits of using a higher dose opioid clearly outweigh the substantial risks. (2.1, 5)

  • Many acute pain conditions (e.g., the pain that occurs with a number of surgical procedures or acute musculoskeletal injuries) require no more than a few days of an opioid analgesic. Clinical guidelines on opioid prescribing for some acute pain conditions are available. (2.1)

  • Initiate the dosing regimen for each patient individually, taking into account the patient’s underlying case and severity of pain, prior analgesic treatment and response, and risk factors for addiction, abuse, and misuse. (2.1, 5.1)

  • Respiratory depression can occur at any time during opioid therapy, especially when initiating and following dosage increases with oxycodone hydrochloride tablets. Consider this risk when selecting an initial dose and when making dose adjustments. (2.1, 5.2)

  • Discuss opioid overdose reversal agents and options for acquiring them with the patient and/or caregiver, both when initiating and renewing treatment with oxycodone hydrochloride tablets, especially if the patient has additional risk factors for overdose, or close contacts at risk for exposure and overdose. (2.2, 5.1, 5.2, 5.3)

  • Initiate treatment with oxycodone hydrochloride tablets in a dosing range of 5 mg to 15 mg every 4 to 6 hours as needed for pain and at the lowest dose necessary to achieve adequate analgesia. Titrate the dose based upon the individual patient’s response to their initial dose of oxycodone hydrochloride tablets. (2.3, 2.4)

  • Periodically reassess patients receiving oxycodone hydrochloride tablets to evaluate the continued need for opioid analgesics to maintain pain control, for the signs or symptoms of adverse reactions, and for the development of addiction, abuse, or misuse. (2.4)

  • Do not rapidly reduce or abruptly discontinue oxycodone hydrochloride tablets in a physically dependent patient because rapid reduction or abrupt discontinuation of opioid analgesics has resulted in serious withdrawal symptoms, uncontrolled pain, and suicide. (2.5, 5.1)

3 Dosage Forms and Strengths (3 DOSAGE FORMS AND STRENGTHS)

Oxycodone hydrochloride tablets, USP are available as follows:

5 mg tablets: white, round, biconvex tablets debossed “ALG 263” on one side and score line on the other side.

15 mg tablets: green, round, biconvex tablets, debossed “ALG 264” on one side and score line on the other side.

30 mg tablets: blue, round, biconvex tablets, debossed “ALG 265” on one side and score line on the other side.

6.2 Postmarketing Experience

The following adverse reactions have been identified during post-approval use of oxycodone. Because these reactions are reported voluntarily from a population of uncertain size, it is not always possible to reliably estimate their frequency or establish a causal relationship to drug exposure.

General disorders and administrative site disorders: drug withdrawal syndrome neonatal [see Warnings and Precautions (5.4)]

Respiratory, thoracic and mediastinal disorders: pharyngeal edema

Serotonin syndrome: Cases of serotonin syndrome, a potentially life-threatening condition, have been reported during concomitant use of opioids with serotonergic drugs [see Drug Interactions (7)].

Adrenal insufficiency: Cases of adrenal insufficiency have been reported with opioid use, more often following greater than one month of use [see Warnings and Precautions (5.9)].

Anaphylaxis: Anaphylactic reaction has been reported with ingredients contained in oxycodone hydrochloride tablets [see Contraindications (4)].

Androgen deficiency: Cases of androgen deficiency have occurred with use of opioids for an extended period of time [see Clinical Pharmacology (12.2)].

Hyperalgesia and Allodynia: Cases of hyperalgesia and allodynia have been reported with opioid therapy of any duration [see Warnings and Precautions (5.7)].

Hypoglycemia: Cases of hypoglycemia have been reported in patients taking opioids. Most reports were in patients with at least one predisposing risk factor (e.g., diabetes).

Opioid-induced esophageal dysfunction (OIED): Cases of OIED have been reported in patients taking opioids and may occur more frequently in patients taking higher doses of opioids, and/or in patients taking opioids longer term [see Warnings and Precautions (5.12)].

Adverse Reactions from Observational Studies

A prospective, observational cohort study estimated the risks of addiction, abuse, and misuse in patients initiating long-term use of Schedule II opioid analgesics between 2017 and 2021. Study participants included in one or more analyses had been enrolled in selected insurance plans or health systems for at least one year, were free of at least one outcome at baseline, completed a minimum number of follow-up assessments, and either: 1) filled multiple extended-release/long-acting opioid analgesic prescriptions during a 90-day period (n=978); or 2) filled any Schedule II opioid analgesic prescriptions covering at least 70 of 90 days (n=1,244). Those included also had no dispensing of the qualifying opioids in the previous 6 months.

Over 12 months:

  • approximately 1% to 6% of participants across the two cohorts newly met criteria for addiction, as assessed with two validated interview based measures of moderate-to-severe opioid use disorder based on Diagnostic and Statistical Manual of Mental Disorders, Fifth Edition (DSM-5) criteria, and

  • approximately 9% and 22% of participants across the two cohorts newly met criteria for prescription opioid abuse and misuse [defined in Drug Abuse and Dependence (9.2)], respectively, as measured with a validated self-reported instrument.

A retrospective, observational cohort study estimated the risk of opioid-involved overdose or opioid overdose-related death in patients with new long-term use of Schedule II opioid analgesics from 2006 through 2016 (n=220,249). Included patients had been enrolled in either one of two commercial insurance programs, one managed care program, or one Medicaid program for at least 9 months. New long-term use was defined as having Schedule II opioid analgesic prescriptions covering at least 70 days’ supply over the 3 months prior to study entry and none during the preceding 6 months. Patients were excluded if they had an opioid-involved overdose in the 9 months prior to study entry. Overdose was measured using a validated medical code-based algorithm with linkage to the National Death Index database. The 5-year cumulative incidence estimates for opioid-involved overdose or opioid overdose-related death ranged from approximately 1.5% to 4% across study sites, counting only the first event during follow-up. Approximately 17% of first opioid overdoses observed over the entire study period (5-11 years, depending on the study site) were fatal. Higher baseline opioid dose was the strongest and most consistent predictor of opioid-involved overdose or opioid overdose-related death. Study exclusion criteria may have selected patients at lower risk of overdose, and substantial loss to follow up (approximately 80%) also may have biased estimates.

The risk estimates from the studies described above may not be generalizable to all patients receiving opioid analgesics, such as those with exposures shorter or longer than the duration evaluated in the studies.

Recent Major Changes Section (RECENT MAJOR CHANGES SECTION)
Boxed Warning 12/2025
Indications and Usage (1) 12/2025
Dosage and Administration (2.2 , 2.5) 12/2025
Warnings and Precautions (5.1, 5.2, 5.3, 5.12, 5.14) 12/2025
8 Use in Specific Populations (8 USE IN SPECIFIC POPULATIONS)
  • Pregnancy: May cause fetal harm. (8.1)

6.1 Clinical Trials Experience

Because clinical trials are conducted under widely varying conditions, adverse reaction rates observed in the clinical trials of a drug cannot be directly compared to rates in the clinical trials of another drug and may not reflect the rates observed in practice.

Oxycodone hydrochloride tablets have been evaluated in open label clinical trials in patients with cancer and nonmalignant pain. Oxycodone hydrochloride tablets are associated with adverse experiences similar to those seen with other opioids.

Serious adverse reactions associated with oxycodone hydrochloride tablets use included: respiratory depression, respiratory arrest, circulatory depression, cardiac arrest, hypotension, and/or shock.

The common adverse reactions seen on initiation of therapy with oxycodone hydrochloride tablets are dose related and are typical opioid-related adverse reactions. The most frequent of these included nausea, constipation, vomiting, headache, pruritus, insomnia, dizziness, asthenia, and somnolence. The frequency of these reactions depended on several factors, including clinical setting, the patient’s level of opioid tolerance, and host factors specific to the individual.

In all patients for whom dosing information was available (n=191) from the open-label and double-blind studies involving oxycodone hydrochloride tablets, the following adverse events were recorded in oxycodone hydrochloride tablets treated patients with an incidence ≥3%. In descending order of frequency they were: nausea, constipation, vomiting, headache, pruritus, insomnia, dizziness, asthenia, and somnolence.

Other less frequently observed adverse reactions from opioid analgesics, including oxycodone hydrochloride tablets included:

Blood and lymphatic system disorders: anemia, leukopenia

Cardiac disorders: cardiac failure, palpitation, tachycardia

Gastrointestinal disorders: abdominal pain, dry mouth, diarrhea, dyspepsia, dysphagia, glossitis, nausea, vomiting.

General disorders and administration site conditions: chills, edema, edema peripheral, pain, pyrexia

Immune system disorders: hypersensitivity

Infections and infestations: bronchitis, gingivitis, infection, pharyngitis, rhinitis, sepsis, sinusitis, urinary tract infection

Injury, poisoning and procedural complications: injury

Metabolism and nutrition disorders: decreased appetite, gout, hyperglycemia

Musculoskeletal and connective tissue disorders: arthralgia, arthritis, back pain, bone pain, myalgia, neck pain, pathological fracture

Nervous system disorders: hypertonia, hypoesthesia, migraine, neuralgia, tremor, vasodilation

Psychiatric disorders: agitation, anxiety, confusional state, nervousness, personality disorder

Respiratory, thoracic and mediastinal disorders: cough, dyspnea, epistaxis, laryngospasm, lung disorder

Skin and subcutaneous tissue disorders: photosensitivity reaction, rash, hyperhidrosis, urticaria

Vascular disorders: thrombophlebitis, hemorrhage, hypotension, vasodilatation

5.1 Addiction, Abuse, and Misuse

Oxycodone hydrochloride tablets contain oxycodone, a Schedule II controlled substance. As an opioid, oxycodone hydrochloride tablets expose users to the risks of addiction, abuse, and misuse [see Drug Abuse and Dependence (9)].

Although the risk of addiction in any individual is unknown, it can occur in patients appropriately prescribed oxycodone hydrochloride tablets. Addiction can occur at recommended dosages and if the drug is misused or abused. The risk of opioid-related overdose or overdose-related death is increased with higher opioid doses, and this risk persists over the course of therapy. In postmarketing studies, addiction, abuse, misuse, and fatal and non-fatal opioid overdose were observed in patients with long-term opioid use [see Adverse Reactions (6.2)].

Assess each patient’s risk for opioid addiction, abuse, or misuse prior to prescribing oxycodone hydrochloride tablets, and reassess all patients receiving oxycodone hydrochloride tablets for the development of these behaviors and conditions. Risks are increased in patients with a personal or family history of substance abuse (including drug or alcohol abuse or addiction) or mental illness (e.g., major depression). The potential for these risks should not, however, prevent the proper management of pain in any given patient. Patients at increased risk may be prescribed opioids such as oxycodone hydrochloride tablets, but use in such patients necessitates intensive counseling about the risks and proper use of oxycodone hydrochloride tablets along with frequent reevaluation for signs of addiction, abuse, and misuse. Consider recommending or prescribing an opioid overdose reversal agent [see Dosage and Administration (2.2), Warnings and Precautions (5.2)].

Opioids are sought for nonmedical use and are subject to diversion from legitimate prescribed use. Consider these risks when prescribing or dispensing oxycodone hydrochloride tablets. Strategies to reduce these risks include prescribing the drug in the smallest appropriate quantity and advising the patient on careful storage of the drug during the course of treatment and on the proper disposal of unused drugs. Contact local state professional licensing board or state-controlled substances authority for information on how to prevent and detect abuse or diversion of this product.

17 Patient Counseling Information (17 PATIENT COUNSELING INFORMATION)

Advise the patient to read the FDA-approved patient labeling (Medication Guide).

Storage and Disposal

Because of the risks associated with accidental ingestion, misuse, and abuse, advise patients to store oxycodone hydrochloride tablets securely, out of sight and reach of children, and in a location not accessible by others, including visitors to the home. Inform patients that leaving oxycodone hydrochloride tablets unsecured can pose a deadly risk to others in the home. [see Warnings and Precautions (5.1, 5.3) , Drug Abuse and Dependence (9.2)].

Advise patients and caregivers that when medicines are no longer needed, they should be disposed of promptly. Expired, unwanted, or unused oxycodone hydrochloride tablets should be disposed of by flushing the unused medication down the toilet if a drug take-back option is not readily available. Inform patients that they can visit www.fda.gov/drugdisposal for a complete list of medicines recommended for disposal by flushing, as well as additional information on disposal of unused medicines.  

Addiction, Abuse and Misuse

Inform patients that the use of oxycodone hydrochloride tablets, even when taken as recommended, can result in addiction, abuse, and misuse, which can lead to overdose and death [see Warnings and Precautions (5.1)]. Instruct patients not to share oxycodone hydrochloride tablets with others and to take steps to protect oxycodone hydrochloride tablets from theft and misuse.

Life-Threatening Respiratory Depression

Inform patients of the risk of life-threatening respiratory depression, including information that the risk is greatest when starting oxycodone hydrochloride tablets or when the dosage is increased, and that it can occur even at recommended dosages.

Educate patients and caregivers on how to recognize respiratory depression and emphasize the importance of calling 911 or getting emergency medical help right away in the event of a known or suspected overdose [see Warnings and Precautions (5.2), Overdosage (10)].

Accidental Ingestion

Inform patients that accidental ingestion, especially by children, may result in respiratory depression or death [see Warnings and Precautions (5.2)].

Interactions with Benzodiazepines and Other CNS Depressants

Inform patients and caregivers that potentially fatal additive effects may occur if oxycodone hydrochloride tablets are used with benzodiazepines or other CNS depressants, including alcohol (e.g., non-benzodiazepine sedative/hypnotics, anxiolytics, tranquilizers, muscle relaxants, general anesthetics, antipsychotics, gabapentinoids [gabapentin or pregabalin], and other opioids), and not to use these concomitantly unless supervised by a healthcare provider [see Warnings and Precautions (5.3), Drug Interactions (7)].

Patient Access to an Opioid Overdose Reversal Agent for the Emergency Treatment of Opioid Overdose

Inform patients and caregivers about opioid overdose reversal agents (e.g., naloxone, nalmefene). Discuss the importance of having access to an opioid overdose reversal agent, especially if the patient has risk factors for overdose (e.g., concomitant use of CNS depressants, a history of opioid use disorder, or prior opioid overdose) or if there are household members (including children) or other close contacts at risk for accidental ingestion or opioid overdose.

Discuss with the patient the options for obtaining an opioid overdose reversal agent (e.g., prescription, over-the-counter, or as part of a community-based program) [see Dosage and Administration (2.2), Warnings and Precautions (5.3)].

Educate patients and caregivers on how to recognize the signs and symptoms of an overdose.

Explain to patients and caregivers that effects of opioid overdose reversal agents like naloxone and nalmefene are temporary, and that they must call 911 or get emergency medical help right away in all cases of known or suspected opioid overdose, even if an opioid overdose reversal agent is administered [see Overdosage (10)].

Advise patients and caregivers:

  • how to treat with the overdose reversal agent in the event of an opioid overdose

  • to tell family and friends about their opioid overdose reversal agent, and to keep it in a place where family and friends can access it in an emergency

  • to read the Patient Information (or other educational material) that will come with their opioid overdose reversal agent. Emphasize the importance of doing this before an opioid emergency happens, so the patient and caregiver will know what to do.

Hyperalgesia and Allodynia

Inform patients and caregivers not to increase opioid dosage without first consulting a clinician. Advise patients to seek medical attention if they experience symptoms of hyperalgesia, including worsening pain, increased sensitivity to pain, or new pain [see Warnings and Precautions (5.7), Adverse Reactions (6.2)].

Serotonin Syndrome

Inform patients that opioids could cause a rare but potentially life-threatening condition resulting from concomitant administration of serotonergic drugs. Warn patients of the symptoms of serotonin syndrome and to seek medical attention right away if symptoms develop. Instruct patients to inform their healthcare providers if they are taking, or plan to take serotonergic medication [see Drug Interactions (7)].

MAOI Interaction

Inform patients to avoid taking oxycodone hydrochloride tablets while using any drugs that inhibit monoamine oxidase. Patients should not start MAOIs while taking oxycodone hydrochloride tablets [see Drug Interactions (7)].

Important Administration Instructions

Instruct patients how to properly take oxycodone hydrochloride tablets. Patients should be advised not to adjust the dose of oxycodone hydrochloride tablets without consulting the prescribing healthcare provider [see Dosage and Administration (2)].

Important Discontinuation Instructions

In order to avoid developing withdrawal symptoms, instruct patients not to discontinue oxycodone hydrochloride tablets without first discussing a tapering plan with the prescriber [see Dosage and Administration (2.5)].

Driving or Operating Machinery

Inform patients that oxycodone hydrochloride tablets may impair the ability to perform potentially hazardous activities such as driving a car or operating dangerous machinery. Advise patients not to perform such tasks until they know how they will react to the medication [see Warnings and Precautions (5.15)].

Constipation

Advise patients of the potential for severe constipation, including management instructions and when to seek medical attention [see Adverse Reactions (6), Clinical Pharmacology (12.1)].

Adrenal Insufficiency

Inform patients that opioids could cause adrenal insufficiency, a potentially life-threatening condition. Adrenal insufficiency may present with non-specific symptoms and signs such as nausea, vomiting, anorexia, fatigue, weakness, dizziness and low blood pressure. Advise patients to seek medical attention if they experience a constellation of these symptoms [see Warnings and Precautions (5.9)].

Hypotension

Inform patients that oxycodone hydrochloride tablets may cause orthostatic hypotension and syncope. Instruct patients how to recognize symptoms of low blood pressure and how to reduce the risk of serious consequences should hypotension occur (e.g., sit or lie down, carefully rise from sitting or lying position) [see Warnings and Precautions (5.10)].

Anaphylaxis

Inform patients that anaphylaxis has been reported with ingredients contained in oxycodone hydrochloride tablets. Advise patients how to recognize such a reaction and when to seek medical attention [see Contraindications (4), Adverse Reactions (6.2)].

Pregnancy

Neonatal Opioid Withdrawal Syndrome

Inform female patients of reproductive potential that use of oxycodone hydrochloride tablets for an extended period of time during pregnancy can result in neonatal opioid withdrawal syndrome, which may be life-threatening if not recognized and treated [see Warnings and Precautions (5.4), Use in Specific Populations (8.1)].

Embryo-Fetal Toxicity

Inform female patients of reproductive potential that oxycodone hydrochloride tablets can cause fetal harm and to inform their healthcare provider of a known or suspected pregnancy [see Use in Specific Populations (8.1)].

Lactation

Advise breastfeeding women using oxycodone hydrochloride tablets to carefully observe infants for increased sleepiness (more than usual), breathing difficulties, or limpness. Instruct breastfeeding women to seek immediate medical care if they notice these signs [see Use in Specific Populations (8.2)].

Infertility

Inform patients that use of opioids for an extended period of time may cause reduced fertility. It is not known whether these effects on fertility are reversible [see Use in Specific Populations (8.3)].

16 How Supplied/storage and Handling (16 HOW SUPPLIED/STORAGE AND HANDLING)

Oxycodone hydrochloride tablets, USP are available as follows:

5 mg tablets: white, round, biconvex tablets debossed “ALG 263” on one side and score line on the other side.

Bottles of 500 tablets: NDC 47781-263-05

Bottles of 100 tablets: NDC 47781-263-01

15 mg tablets: green, round, biconvex tablets, debossed “ALG 264” on one side and score line on the other side.

Bottles of 500 tablets: NDC 47781-264-05

Bottles of 100 tablets: NDC 47781-264-01

30 mg tablets: blue, round, biconvex tablets, debossed “ALG 265” on one side and score line on the other side.

Bottles of 500 tablets: NDC 47781-265-05

Bottles of 100 tablets: NDC 47781-265-01

Dispense in a tight, light-resistant container. Protect from moisture.

Store at 25°C (77°F); excursions are permitted to 15°C to 30°C (59°F to 86°F) [See USP Controlled Room Temperature].

Store oxycodone hydrochloride tablets securely and dispose of properly [see Patient Counseling Information (17)].

Package Label. Principal Display Panel (PACKAGE LABEL. PRINCIPAL DISPLAY PANEL)

NDC 47781-263-01

Oxycodone Hydrochloride Tablets, USP  CII

5 mg

PHARMACIST: Dispense the Medication Guide provided separately to each patient

Rx only

100 Tablets

5.4 Neonatal Opioid Withdrawal Syndrome

Use of oxycodone hydrochloride tablets for an extended period of time during pregnancy can result in withdrawal in the neonate. Neonatal opioid withdrawal syndrome, unlike opioid withdrawal syndrome in adults, may be life-threatening if not recognized and treated, and requires management according to protocols developed by neonatology experts. Observe newborns for signs of neonatal opioid withdrawal syndrome and manage accordingly. Advise pregnant women using opioids for an extended period of time of the risk of neonatal opioid withdrawal syndrome and ensure that appropriate treatment will be available [see Use in Specific Populations (8.1)].

2.4 Titration and Maintenance of Therapy

Individually titrate oxycodone hydrochloride tablets to a dose that provides adequate analgesia and minimizes adverse reactions. Continually reevaluate patients receiving oxycodone hydrochloride tablets to assess the maintenance of pain control, signs and symptoms of opioid withdrawal, and other adverse reactions, as well as to reassess for the development of addiction, abuse, or misuse [see Warnings and Precautions (5.1, 5.14 )]. Frequent communication is important among the prescriber, other members of the healthcare team, the patient, and the caregiver/family during periods of changing analgesic requirements, including initial titration.

If the level of pain increases after dosage stabilization, attempt to identify the source of increased pain before increasing the oxycodone hydrochloride tablets dosage. If after increasing the dosage, unacceptable opioid-related adverse reactions are observed (including an increase in pain after a dosage increase), consider reducing the dosage [see Warnings and Precautions (5)]. Adjust the dosage to obtain an appropriate balance between management of pain and opioid-related adverse reactions.

5.2 Life Threatening Respiratory Depression (5.2 Life-Threatening Respiratory Depression)

Serious, life-threatening, or fatal respiratory depression has been reported with the use of opioids, even when used as recommended. Respiratory depression, if not immediately recognized and treated, may lead to respiratory arrest and death. Management of respiratory depression may include close observation, supportive measures, and use of opioid overdose reversal agents (e.g., naloxone, nalmefene), depending on the patient’s clinical status [see Overdosage (10)]. Carbon dioxide (CO2) retention from opioid-induced respiratory depression can exacerbate the sedating effects of opioids.

While serious, life-threatening, or fatal respiratory depression can occur at any time during the use of oxycodone hydrochloride tablets, the risk is greatest during the initiation of therapy or following a dosage increase.

To reduce the risk of respiratory depression, proper dosing and titration of oxycodone hydrochloride tablets are essential [see Dosage and Administration (2)]. Overestimating the oxycodone hydrochloride tablets dosage when converting patients from another opioid product can result in fatal overdose with the first dose.

Accidental ingestion of even one dose of oxycodone hydrochloride tablets, especially by children, can result in respiratory depression and death due to an overdose of oxycodone.

Educate patients and caregivers on how to recognize respiratory depression and emphasize the importance of calling 911 or getting emergency medical help right away in the event of a known or suspected overdose.

Opioids can cause sleep-related breathing disorders including central sleep apnea (CSA) and sleep-related hypoxemia. Opioid use increases the risk of CSA in a dose-dependent fashion. In patients who present with CSA, consider decreasing the opioid dosage using best practices for opioid taper [see Dosage and Administration (2.5)].

Patient Access to an Opioid Overdose Reversal Agent for the Emergency Treatment of Opioid Overdose

Inform patients and caregivers about opioid overdose reversal agents (e.g., naloxone, nalmefene). Discuss the importance of having access to an opioid overdose reversal agent, especially if the patient has risk factors for overdose (e.g., concomitant use of CNS depressants, a history of opioid use disorder, or prior opioid overdose) or if there are household members (including children) or other close contacts at risk for accidental ingestion or opioid overdose. The presence of risk factors for overdose should not prevent the management of pain in any patient [see Warnings and Precautions (5.1, 5.3)].

Discuss the options for obtaining an opioid overdose reversal agent (e.g., prescription, over-the-counter, or as part of a community-based program).

There are important differences among the opioid overdose reversal agents, such as route of administration, product strength, approved patient age range, and pharmacokinetics. Be familiar with these differences, as outlined in the approved labeling for those products, prior to recommending or prescribing such an agent.

Educate patients and caregivers on how to recognize respiratory depression, and how to use an opioid overdose reversal agent for the emergency treatment of opioid overdose. Emphasize the importance of calling 911 or getting emergency medical help, even if an opioid overdose reversal agent is administered [see Dosage and Administration (2.2), Warnings and Precautions (5.1, 5.3), Overdosage (10)].

5.12 Risks of Gastrointestinal Complications

Oxycodone hydrochloride tablets are contraindicated in patients with gastrointestinal obstruction, including paralytic ileus.

The oxycodone in oxycodone hydrochloride tablets may cause spasm of the sphincter of Oddi. Opioids may cause increases in serum amylase. Regularly evaluate patients with biliary tract disease, including acute pancreatitis, for worsening symptoms.

Cases of opioid-induced esophageal dysfunction (OIED) have been reported in patients taking opioids. The risk of OIED may increase as the dose and/or duration of opioids increases. Regularly evaluate patients for signs and symptoms of OIED (e.g., dysphagia, regurgitation, non-cardiac chest pain) and, if necessary, adjust opioid therapy as clinically appropriate [see Clinical Pharmacology (12.2)].

5.15 Risks of Driving and Operating Machinery

Oxycodone hydrochloride tablets may impair the mental or physical abilities needed to perform potentially hazardous activities such as driving a car or operating machinery. Warn patients not to drive or operate dangerous machinery unless they are tolerant to the effects of oxycodone hydrochloride tablets and know how they will react to the medication [see Patient Counseling Information (17)].

5.7 Opioid Induced Hyperalgesia and Allodynia (5.7 Opioid-Induced Hyperalgesia and Allodynia)

Opioid-Induced Hyperalgesia (OIH) occurs when an opioid analgesic paradoxically causes an increase in pain, or an increase in sensitivity to pain. This condition differs from tolerance, which is the need for increasing doses of opioids to maintain a defined effect [see Dependence (9.3)]. Symptoms of OIH include (but may not be limited to) increased levels of pain upon opioid dosage increase, decreased levels of pain upon opioid dosage decrease, or pain from ordinarily non-painful stimuli (allodynia). These symptoms may suggest OIH only if there is no evidence of underlying disease progression, opioid tolerance, opioid withdrawal, or addictive behavior.

Cases of OIH have been reported, both with short-term and longer-term use of opioid analgesics. Though the mechanism of OIH is not fully understood, multiple biochemical pathways have been implicated. Medical literature suggests a strong biologic plausibility between opioid analgesics and OIH and allodynia. If a patient is suspected to be experiencing OIH, carefully consider appropriately decreasing the dose of the current opioid analgesic or opioid rotation (safely switching the patient to a different opioid moiety) [see Dosage and Administration (2.5), Warnings and Precautions (5.14)].

8.3 Females and Males of Reproductive Potential

Infertility

Use of opioids for an extended period of time may cause reduced fertility in females and males of reproductive potential. It is not known whether these effects on fertility are reversible [see Adverse Reactions (6.2), Clinical Pharmacology (12.2)].

2.1 Important Dosage and Administration Instructions

• Oxycodone hydrochloride tablets should be prescribed only by healthcare professionals who are knowledgeable about the use of opioids and how to mitigate the associated risks.

• Use the lowest effective dosage for the shortest duration of time consistent with individual patient treatment goals [see Warnings and Precautions (5)]. Because the risk of overdose increases as opioid doses increase, reserve titration to higher doses of oxycodone hydrochloride tablets for patients in whom lower doses are insufficiently effective and in whom the expected benefits of using a higher dose opioid clearly outweigh the substantial risks.

• Many acute pain conditions (e.g., the pain that occurs with a number of surgical procedures or acute musculoskeletal injuries) require no more than a few days of an opioid analgesic. Clinical guidelines on opioid prescribing for some acute pain conditions are available.

• There is variability in the opioid analgesic dose and duration needed to adequately manage pain due both to the cause of pain and to individual patient factors. Initiate the dosing regimen for each patient individually, taking into account the patient's underlying cause and severity of pain, prior analgesic treatment and response, and risk factors for addiction, abuse, and misuse [see Warnings and Precautions (5.1)].

• Respiratory depression can occur at any time during opioid therapy, especially when initiating and following dosage increases with oxycodone hydrochloride tablets. Consider this risk when selecting an initial dose and when making dose adjustments [see Warnings and Precautions (5)].

13.1 Carcinogenesis, Mutagenesis, Impairment of Fertility

Carcinogenesis

Long-term studies have not been performed in animals to evaluate the carcinogenic potential of oxycodone hydrochloride tablets or oxycodone.

Mutagenesis

Oxycodone hydrochloride was genotoxic in an in vitro mouse lymphoma assay in the presence of metabolic activation. There was no evidence of genotoxic potential in an in vitro bacterial reverse mutation assay (Salmonella typhimurium and Escherichia coli) or in an assay for chromosomal aberrations (in vivo mouse bone marrow micronucleus assay).

Impairment of Fertility

Studies in animals to evaluate the potential impact of oxycodone on fertility have not been conducted.

5.13 Increased Risk of Seizures in Patients With Seizure Disorders (5.13 Increased Risk of Seizures in Patients with Seizure Disorders)

The oxycodone in oxycodone hydrochloride tablets may increase the frequency of seizures in patients with seizure disorders, and may increase the risk of seizures occurring in other clinical settings associated with seizures. Regularly evaluate patients with a history of seizure disorders for worsened seizure control during oxycodone hydrochloride tablets therapy.

5.5 Opioid Analgesic Risk Evaluation and Mitigation Strategy (rems) (5.5 Opioid Analgesic Risk Evaluation and Mitigation Strategy (REMS))

To ensure that the benefits of opioid analgesics outweigh the risks of addiction, abuse, and misuse, the Food and Drug Administration (FDA) has required a Risk Evaluation and Mitigation Strategy (REMS) for these products. Under the requirements of the REMS, drug companies with approved opioid analgesic products must make REMS-compliant education programs available to healthcare providers. Healthcare providers are strongly encouraged to do all of the following:

• Complete a REMS-compliant education program offered by an accredited provider of continuing education (CE) or another education program that includes all the elements of the FDA Education Blueprint for Health Care Providers Involved in the Management or Support of Patients with Pain.

• Discuss the safe use, serious risks, and proper storage and disposal of opioid analgesics with patients and/or their caregivers every time these medicines are prescribed. The Patient Counseling Guide (PCG) can be obtained at this link: www.fda.gov/OpioidAnalgesicREMSPCG.

• Emphasize to patients and their caregivers the importance of reading the Medication Guide that they will receive from their pharmacist every time an opioid analgesic is dispensed to them.

• Consider using other tools to improve patient, household, and community safety, such as patient-prescriber agreements that reinforce patient-prescriber responsibilities.

To obtain further information on the opioid analgesic REMS and for a list of accredited REMS CME/CE, call 1-800-503-0784, or log on to www.opioidanalgesicrems.com. The FDA Blueprint can be found at www.fda.gov/OpioidAnalgesicREMSBlueprint.

2.5 Safe Reduction Or Discontinuation of Oxycodone Hydrochloride Tablets (2.5 Safe Reduction or Discontinuation of Oxycodone Hydrochloride Tablets)

Do not rapidly reduce or abruptly discontinue oxycodone hydrochloride tablets in patients who may be physically dependent on opioids. Rapid reduction or abrupt discontinuation of opioid analgesics in patients who are physically dependent on opioids has resulted in serious withdrawal symptoms, uncontrolled pain, and suicide. Rapid reduction or abrupt discontinuation has also been associated with attempts to find other sources of opioid analgesics, which may be confused with drug-seeking for abuse. Patients may also attempt to treat their pain or withdrawal symptoms with illicit opioids, such as heroin, and other substances.

When a decision has been made to decrease the dose or discontinue therapy in an opioid-dependent patient taking oxycodone hydrochloride tablets, there are a variety of factors that should be considered, including the total daily dose of opioid (including oxycodone hydrochloride tablets) the patient has been taking, the duration of treatment, the type of pain being treated, and the physical and psychological attributes of the patient. It is important to ensure ongoing care of the patient and to agree on an appropriate tapering schedule and follow-up plan so that patient and provider goals and expectations are clear and realistic. When opioid analgesics are being discontinued due to a suspected substance use disorder, evaluate and treat the patient, or refer for evaluation and treatment of the substance use disorder. Treatment should include evidence-based approaches, such as medication assisted treatment of opioid use disorder. Complex patients with comorbid pain and substance use disorders may benefit from referral to a specialist.

There are no standard opioid tapering schedules that are suitable for all patients. Good clinical practice dictates a patient-specific plan to taper the dose of the opioid gradually. For patients on oxycodone hydrochloride tablets who are physically opioid-dependent, initiate the taper by a small enough increment (e.g., no greater than 10% to 25% of the total daily dose) to avoid withdrawal symptoms, and proceed with dose-lowering at an interval of every 2 to 4 weeks. Patients who have been taking opioids for briefer periods of time may tolerate a more rapid taper.

It may be necessary to provide the patient with lower dosage strengths to accomplish a successful taper. Reassess the patient frequently to manage pain and withdrawal symptoms, should they emerge. Common withdrawal symptoms include restlessness, lacrimation, rhinorrhea, yawning, perspiration, chills, myalgia, and mydriasis. Other signs and symptoms also may develop, including irritability, anxiety, backache, joint pain, weakness, abdominal cramps, insomnia, nausea, anorexia, vomiting, diarrhea, or increased blood pressure, respiratory rate, or heart rate. If withdrawal symptoms arise, it may be necessary to pause the taper for a period of time or raise the dose of the opioid analgesic to the previous dose, and then proceed with a slower taper. In addition, evaluate patients for any changes in mood, emergence of suicidal thoughts, or use of other substances.

When managing patients taking opioid analgesics, particularly those who have been treated for an extended period of time, and/or with high doses for chronic pain, ensure that a multimodal approach to pain management, including mental health support (if needed), is in place prior to initiating an opioid analgesic taper. A multimodal approach to pain management may optimize the treatment of chronic pain, as well as assist with the successful tapering of the opioid analgesic [see Warnings and Precautions (5.14), Drug Abuse and Dependence (9.3)].  

5.3 Risks From Concomitant Use With Benzodiazepines Or Other Cns Depressants (5.3 Risks from Concomitant Use with Benzodiazepines or Other CNS Depressants)

Profound sedation, respiratory depression, coma, and death may result from the concomitant use of oxycodone hydrochloride tablets with benzodiazepines and/or other CNS depressants, including alcohol (e.g., non-benzodiazepine sedatives/hypnotics, anxiolytics, tranquilizers, muscle relaxants, general anesthetics, antipsychotics, gabapentinoids [gabapentin or pregabalin], and other opioids). Because of these risks, reserve concomitant prescribing of these drugs for use in patients for whom alternative treatment options are inadequate.

Observational studies have demonstrated that concomitant use of opioid analgesics and benzodiazepines increases the risk of drug-related mortality compared to use of opioid analgesics alone. Because of similar pharmacological properties, it is reasonable to expect similar risk with the concomitant use of other CNS depressant drugs with opioid analgesics [see Drug Interactions (7)].

If the decision is made to prescribe a benzodiazepine or other CNS depressant concomitantly with an opioid analgesic, prescribe the lowest effective dosages and minimum durations of concomitant use. In patients already receiving an opioid analgesic, prescribe a lower initial dose of the benzodiazepine or other CNS depressant than indicated in the absence of an opioid, and titrate based on clinical response. If an opioid analgesic is initiated in a patient already taking a benzodiazepine or other CNS depressant, prescribe a lower initial dose of the opioid analgesic, and titrate based on clinical response. Inform patients and caregivers of this potential interaction and educate them on the signs and symptoms of respiratory depression (including sedation). If concomitant use is warranted, consider recommending or prescribing an opioid overdose reversal agent [see Dosage and Administration (2.2), Warnings and Precautions (5.2), Overdosage (10)].

Advise both patients and caregivers about the risks of respiratory depression and sedation when oxycodone hydrochloride tablets are used with benzodiazepines or other CNS depressants (including alcohol and illicit drugs). Advise patients not to drive or operate dangerous machinery until the effects of concomitant use of the benzodiazepine or other CNS depressant have been determined. Screen patients for risk of substance use disorders, including opioid abuse and misuse, and warn them of the risk for overdose and death associated with the use of additional CNS depressants including alcohol and illicit drugs [see Drug Interactions (7)].

Warning: Serious and Life Threatening Risks From Use of Oxycodone Hydrochloride Tablets (WARNING: SERIOUS AND LIFE-THREATENING RISKS FROM USE OF OXYCODONE HYDROCHLORIDE TABLETS)

Addiction, Abuse, and Misuse

Because the use of oxycodone hydrochloride tablets exposes patients and other users to the risks of opioid addiction, abuse, and misuse, which can lead to overdose and death, assess each patient’s risk prior to prescribing and reassess all patients regularly for the development of these behaviors and conditions [see Warnings and Precautions (5.1)] .

Life-Threatening Respiratory Depression

Serious, life-threatening, or fatal respiratory depression may occur with use of oxycodone hydrochloride tablets, especially during initiation or following a dosage increase. To reduce the risk of respiratory depression, proper dosing and titration of oxycodone hydrochloride tablets are essential [see Warnings and Precautions (5.2)] .

Accidental Ingestion

Accidental ingestion of even one dose of oxycodone hydrochloride tablets, especially by children, can result in a fatal overdose of oxycodone [see Warnings and Precautions (5.2)] .

Risks from Concomitant Use with Benzodiazepines or Other CNS Depressants 

Concomitant use of opioids with benzodiazepines or other central nervous system (CNS) depressants, including alcohol, may result in profound sedation, respiratory depression, coma, and death. Reserve concomitant prescribing of oxycodone hydrochloride tablets and benzodiazepines or other CNS depressants for use in patients for whom alternative treatment options are inadequate [ see Warnings and Precautions (5.3), Drug Interactions (7)] .

Neonatal Opioid Withdrawal Syndrome (NOWS)

Advise pregnant women using opioids for an extended period of time of the risk of Neonatal Opioid Withdrawal Syndrome, which may be life-threatening if not recognized and treated. Ensure that management by neonatology experts will be available at delivery [see Warnings and Precautions (5.4)] .

Opioid Analgesic Risk Evaluation and Mitigation Strategy (REMS)

Healthcare providers are strongly encouraged to complete a REMS-compliant education program and to counsel patients and caregivers on serious risks, safe use, and the importance of reading the Medication Guide with each prescription [see Warnings and Precautions (5.5)] .

Cytochrome P450 3A4 Interaction

The concomitant use of oxycodone hydrochloride tablets with all cytochrome P450 3A4 inhibitors may result in an increase in oxycodone plasma concentrations, which could increase or prolong adverse reactions and may cause potentially fatal respiratory depression. In addition, discontinuation of a concomitantly used cytochrome P450 3A4 inducer may result in an increase in oxycodone plasma concentration. Regularly evaluate patients receiving oxycodone hydrochloride tablets and any CYP3A4 inhibitor or inducer [see Warnings and Precautions (5.6), Drug Interactions (7), Clinical Pharmacology (12.3)] .

5.6 Risks of Concomitant Use Or Discontinuation of Cytochrome P450 3a4 Inhibitors and Inducers (5.6 Risks of Concomitant Use or Discontinuation of Cytochrome P450 3A4 Inhibitors and Inducers)

Concomitant use of oxycodone hydrochloride tablets with a CYP3A4 inhibitor, such as macrolide antibiotics (e.g., erythromycin), azole-antifungal agents (e.g., ketoconazole), and protease inhibitors (e.g., ritonavir), may increase plasma concentrations of oxycodone and prolong opioid adverse reactions, which may cause potentially fatal respiratory depression [see Warnings and Precautions (5.3)], particularly when an inhibitor is added after a stable dose of oxycodone hydrochloride tablets is achieved. Similarly, discontinuation of a CYP3A4 inducer, such as rifampin, carbamazepine, and phenytoin, in oxycodone hydrochloride tablets-treated patients may increase oxycodone plasma concentrations and prolong opioid adverse reactions. When using oxycodone hydrochloride tablets with CYP3A4 inhibitors or discontinuing CYP3A4 inducers in oxycodone hydrochloride tablets-treated patients, evaluate patients at frequent intervals and consider dosage reduction of oxycodone hydrochloride tablets until stable drugs effects are achieved [see Drug Interactions (7)].

Concomitant use of oxycodone hydrochloride tablets with CYP3A4 inducers or discontinuation of an CYP3A4 inhibitor could decrease oxycodone plasma concentrations, decrease opioid efficacy or, possibly, lead to a withdrawal syndrome in a patient who had developed physical dependence to oxycodone. When using oxycodone hydrochloride tablets with CYP3A4 inducers or discontinuing CYP3A4 inhibitors, evaluate patients at frequent intervals and consider increasing the opioid dosage if needed to maintain adequate analgesia or if symptoms of opioid withdrawal occur [see Drug Interactions (7)].

2.2 Patient Access to An Opioid Overdose Reversal Agent for the Emergency Treatment of Opioid Overdose   (2.2 Patient Access to an Opioid Overdose Reversal Agent for the Emergency Treatment of Opioid Overdose  )

Inform patients and caregivers about opioid overdose reversal agents (e.g., naloxone, nalmefene). Discuss the importance of having access to an opioid overdose reversal agent, especially if the patient has risk factors for overdose (e.g., concomitant use of CNS depressants, a history of opioid use disorder, or prior opioid overdose) or if there are household members (including children) or other close contacts at risk for accidental ingestion or opioid overdose. The presence of risk factors for overdose should not prevent the management of pain in any patient [see Warnings and Precautions (5.1,5.2, 5.3)].

Discuss the options for obtaining an opioid overdose reversal agent (e.g., prescription, over-the-counter, or as part of a community-based program) [see Warnings and Precautions (5.2)].

There are important differences among the opioid overdose reversal agents, such as route of administration, product strength, approved patient age range, and pharmacokinetics. Be familiar with these differences, as outlined in the approved labeling for those products, prior to recommending or prescribing such an agent.

5.11 Risks of Use in Patients With Increased Intracranial Pressure, Brain Tumors, Head Injury, Or Impaired Consciousness (5.11 Risks of Use in Patients with Increased Intracranial Pressure, Brain Tumors, Head Injury, or Impaired Consciousness)

In patients who may be susceptible to the intracranial effects of CO2 retention (e.g., those with evidence of increased intracranial pressure or brain tumors), oxycodone hydrochloride tablets may reduce the respiratory drive, and the resultant CO2 retention can further increase intracranial pressure. Monitor such patients for signs of sedation and respiratory depression, particularly when initiating therapy with oxycodone hydrochloride tablets.

Opioids may obscure the clinical course in a patient with a head injury. Avoid the use of oxycodone hydrochloride tablets in patients with impaired consciousness or coma.

5.8 Life Threatening Respiratory Depression in Patients With Chronic Pulmonary Disease Or in Elderly, Cachectic, Or Debilitated Patients (5.8 Life-Threatening Respiratory Depression in Patients with Chronic Pulmonary Disease or in Elderly, Cachectic, or Debilitated Patients)

The use of oxycodone hydrochloride tablets in patients with acute or severe bronchial asthma in an unmonitored setting or in the absence of resuscitative equipment is contraindicated.

Patients with Chronic Pulmonary Disease: Oxycodone hydrochloride tablets-treated patients with significant chronic obstructive pulmonary disease or cor pulmonale, and those with a substantially decreased respiratory reserve, hypoxia, hypercapnia, or pre-existing respiratory depression are at increased risk of decreased respiratory drive including apnea, even at recommended dosages of oxycodone hydrochloride tablets [see Warnings and Precautions (5.2)].

Elderly, Cachectic, or Debilitated Patients: Life-threatening respiratory depression is more likely to occur in elderly, cachectic, or debilitated patients because they may have altered pharmacokinetics or altered clearance compared to younger, healthier patients [see Warnings and Precautions (5.2)].

Regularly evaluate patients, particularly when initiating and titrating oxycodone hydrochloride tablets and when oxycodone hydrochloride tablets are given concomitantly with other drugs that depress respiration [see Warnings and Precautions (5.2, 5.3), Drug Interactions (7)]. Alternatively, consider the use of non-opioid analgesics in these patients.


Advanced Ingredient Data


Raw Label Data

All Sections (JSON)