Ceftriaxone For Injection, Usp

Ceftriaxone For Injection, Usp
SPL v2
SPL
SPL Set ID 1f8776bd-4f5b-427a-849a-6b8338f7997d
Route
INTRAVENOUS
Published
Effective Date 2019-04-24
Document Type 34391-3 HUMAN PRESCRIPTION DRUG LABEL

Drug Facts

Composition & Product

Active Ingredients
Ceftriaxone (10 g)

Identifiers & Packaging

Marketing Status
ANDA Active Since 2017-10-04

Description

Rx Only PHARMACY BULK PACKAGE NOT FOR DIRECT INFUSION  To reduce the development of drug-resistant bacteria and maintain the effectiveness of Ceftriaxone and other antibacterial drugs, Ceftriaxone should be used only to treat or prevent infections that are proven or strongly suspected to be caused by bacteria.

Indications and Usage

Before instituting treatment with Ceftriaxone for Injection, USP, appropriate specimens should be obtained for isolation of the causative organism and for determination of its susceptibility to the drug. Therapy may be instituted prior to obtaining results of susceptibility testing. To reduce the development of drug-resistant bacteria and maintain the effectiveness of Ceftriaxone for Injection, USP and other antibacterial drugs, Ceftriaxone for Injection, USP should be used only to treat or prevent infections that are proven or strongly suspected to be caused by susceptible bacteria. When culture and susceptibility information are available, they should be considered in selecting or modifying antibacterial therapy. In the absence of such data, local epidemiology and susceptibility patterns may contribute to the empiric selection of therapy. Ceftriaxone for Injection, USP is indicated for the treatment of the following infections when caused by susceptible organisms: LOWER RESPIRATORY TRACT INFECTIONS caused by Streptococcus pneumoniae , Staphylococcus aureus, Haemophilus influenzae, Haemophilus parainfluenzae, Klebsiella pneumoniae, Escherichia coli, Enterobacter aerogenes, Proteus mirabilis or Serratia marcescens . ACUTE BACTERIAL OTITIS MEDIA caused by Streptococcus pneumoniae, Haemophilus influenzae (including beta-lactamase producing strains) or Moraxella catarrhalis (including beta-lactamase producing strains). NOTE: In one study lower clinical cure rates were observed with a single dose of Ceftriaxone compared to 10 days of oral therapy. In a second study comparable cure rates were observed between single dose Ceftriaxone and the comparator. The potentially lower clinical cure rate of ceftriaxone should be balanced against the potential advantages of parenteral therapy (see CLINICAL STUDIES ). SKIN AND SKIN STRUCTURE INFECTIONS caused by Staphylococcus aureus, Staphylococcus epidermidis, Streptococcus pyogenes , Viridans group streptococci, Escherichia coli, Enterobacter cloacae, Klebsiella oxytoca, Klebsiella pneumoniae, Proteus mirabilis, Morganella morganii*, Pseudomonas aeruginosa, Serratia marcescens, Acinetobacter calcoaceticus, Bacteroides fragilis* or Peptostreptococcus species. * Efficacy for this organism in this organ system was studied in fewer than ten infections. URINARY TRACT INFECTIONS (complicated and uncomplicated) caused by Escherichia coli, Proteus mirabilis, Proteus vulgaris, Morganella morganii or Klebsiella pneumoniae . UNCOMPLICATED GONORRHEA (cervical/urethral and rectal) caused by Neisseria gonorrhoeae , including both penicillinase- and nonpenicillinase-producing strains, and pharyngeal gonorrhea caused by nonpenicillinase-producing strains of Neisseria gonorrhoeae . PELVIC INFLAMMATORY DISEASE caused by Neisseria gonorrhoeae . Ceftriaxone sodium, like other cephalosporins, has no activity against Chlamydia trachomatis . Therefore, when cephalosporins are used in the treatment of patients with pelvic inflammatory disease and Chlamydia trachomatis is one of the suspected pathogens, appropriate antichlamydial coverage should be added. BACTERIAL SEPTICEMIA caused by Staphylococcus aureus, Streptococcus pneumoniae, Escherichia coli, Haemophilus influenzae or Klebsiella pneumoniae . BONE AND JOINT INFECTIONS caused by Staphylococcus aureus, Streptococcus pneumoniae, Escherichia coli, Proteus mirabilis, Klebsiella pneumoniae or Enterobacter species. INTRA-ABDOMINAL INFECTIONS caused by Escherichia coli, Klebsiella pneumoniae, Bacteroides fragilis, Clostridium species (Note: most strains of Clostridium difficile are resistant) or Peptostreptococcus species. MENINGITIS caused by Haemophilus influenzae, Neisseria meningitidis or Streptococcus pneumoniae . Ceftriaxone has also been used successfully in a limited number of cases of meningitis and shunt infection caused by Staphylococcus epidermidis* and Escherichia coli* . * Efficacy for this organism in this organ system was studied in fewer than ten infections. SURGICAL PROPHYLAXIS: The preoperative administration of a single 1 g dose of Ceftriaxone may reduce the incidence of postoperative infections in patients undergoing surgical procedures classified as contaminated or potentially contaminated (e.g., vaginal or abdominal hysterectomy or cholecystectomy for chronic calculous cholecystitis in high-risk patients, such as those over 70 years of age, with acute cholecystitis not requiring therapeutic antimicrobials, obstructive jaundice or common duct bile stones) and in surgical patients for whom infection at the operative site would present serious risk (e.g., during coronary artery bypass surgery). Although Ceftriaxone has been shown to have been as effective as cefazolin in the prevention of infection following coronary artery bypass surgery, no placebo-controlled trials have been conducted to evaluate any cephalosporin antibiotic in the prevention of infection following coronary artery bypass surgery. When administered prior to surgical procedures for which it is indicated, a single 1 g dose of Ceftriaxone provides protection from most infections due to susceptible organisms throughout the course of the procedure.

Dosage and Administration

Ceftriaxone may be administered intravenously or intramuscularly. However, the intent of this Pharmacy Bulk Package is for the preparation of solutions for intravenous infusion only. Ceftriaxone should be administered intravenously by infusion over a period of 30 minutes. Do not use diluents containing calcium, such as Ringer ’ s solution or Hartmann ’ s solution, to reconstitute Ceftriaxone vials or to further dilute a reconstituted vial for IV administration because a precipitate can form. Precipitation of ceftriaxone-calcium can also occur when Ceftriaxone is mixed with calcium-containing solutions in the same IV administration line. Ceftriaxone must not be administered simultaneously with calcium-containing IV solutions, including continuous calcium-containing infusions such as parenteral nutrition via a Y-site. However, in patients other than neonates, Ceftriaxone and calcium-containing solutions may be administered sequentially of one another if the infusion lines are thoroughly flushed between infusions with a compatible fluid (see WARNINGS ). There have been no reports of an interaction between ceftriaxone and oral calcium-containing products or interaction between intramuscular ceftriaxone and calcium-containing products (IV or oral).

Adverse Reactions

Ceftriaxone is generally well tolerated. In clinical trials, the following adverse reactions, which were considered to be related to Ceftriaxone therapy or of uncertain etiology, were observed: LOCAL REACTIONS - pain, induration and tenderness was 1% overall. Phlebitis was reported in <1% after IV administration. The incidence of warmth, tightness or induration was 17% (3/17) after IM administration of 350 mg/mL and 5% (1/20) after IM administration of 250 mg/mL. GENERAL DISORDERS AND ADMINISTRATION SITE CONDITIONS - injection site pain (0.6%). HYPERSENSITIVITY - rash (1.7%). Less frequently reported (<1%) were pruritus, fever or chills. INFECTIONS AND INFESTATIONS - genital fungal infection (0.1%). HEMATOLOGIC - eosinophilia (6%), thrombocytosis (5.1%) and leukopenia (2.1%). Less frequently reported (<1%) were anemia, hemolytic anemia, neutropenia, lymphopenia, thrombocytopenia and prolongation of the prothrombin time. BLOOD AND LYMPHATIC DISORDERS - granulocytopenia (0.9%), coagulopathy (0.4%). GASTROINTESTINAL - diarrhea/loose stools (2.7%). Less frequently reported (<1%) were nausea or vomiting, and dysgeusia. The onset of pseudomembranous colitis symptoms may occur during or after antibacterial treatment (see WARNINGS ). HEPATIC - elevations of aspartate aminotransferase (AST) (3.1%) or alanine aminotransferase (ALT) (3.3%). Less frequently reported (<1%) were elevations of alkaline phosphatase and bilirubin. RENAL —elevations of the BUN (1.2%). Less frequently reported (<1%) were elevations of creatinine and the presence of casts in the urine. CENTRAL NERVOUS SYSTEM —headache or dizziness were reported occasionally (<1%). GENITOURINARY —moniliasis or vaginitis were reported occasionally (<1%). MISCELLANEOUS —diaphoresis and flushing were reported occasionally (<1%). INVESTIGATIONS - blood creatinine increased (0.6%) Other rarely observed adverse reactions (<0.1%) include abdominal pain, agranulocytosis, allergic pneumonitis, anaphylaxis, basophilia, biliary lithiasis, bronchospasm, colitis, dyspepsia, epistaxis, flatulence, gallbladder sludge, glycosuria, hematuria, jaundice, leukocytosis, lymphocytosis, monocytosis, nephrolithiasis, palpitations, a decrease in the prothrombin time, renal precipitations, seizures, and serum sickness.

How Supplied

Ceftriaxone for Injection, USP, as sterile powder in Pharmacy Bulk Package bottle containing 10 grams equivalent of ceftriaxone, is available as: Box of 1 (NDC 0143-9678-01) Box of 10 (NDC 0143-9678-10)


Medication Information

Indications and Usage

Before instituting treatment with Ceftriaxone for Injection, USP, appropriate specimens should be obtained for isolation of the causative organism and for determination of its susceptibility to the drug. Therapy may be instituted prior to obtaining results of susceptibility testing.

To reduce the development of drug-resistant bacteria and maintain the effectiveness of Ceftriaxone for Injection, USP and other antibacterial drugs, Ceftriaxone for Injection, USP should be used only to treat or prevent infections that are proven or strongly suspected to be caused by susceptible bacteria. When culture and susceptibility information are available, they should be considered in selecting or modifying antibacterial therapy. In the absence of such data, local epidemiology and susceptibility patterns may contribute to the empiric selection of therapy. Ceftriaxone for Injection, USP is indicated for the treatment of the following infections when caused by susceptible organisms:

LOWER RESPIRATORY TRACT INFECTIONS caused by Streptococcus pneumoniae, Staphylococcus aureus, Haemophilus influenzae, Haemophilus parainfluenzae, Klebsiella pneumoniae, Escherichia coli, Enterobacter aerogenes, Proteus mirabilis or Serratia marcescens.

ACUTE BACTERIAL OTITIS MEDIA caused by Streptococcus pneumoniae, Haemophilus influenzae (including beta-lactamase producing strains) or Moraxella catarrhalis (including beta-lactamase producing strains).

NOTE: In one study lower clinical cure rates were observed with a single dose of Ceftriaxone compared to 10 days of oral therapy. In a second study comparable cure rates were observed between single dose Ceftriaxone and the comparator. The potentially lower clinical cure rate of ceftriaxone should be balanced against the potential advantages of parenteral therapy (see CLINICAL STUDIES ).

SKIN AND SKIN STRUCTURE INFECTIONS caused by Staphylococcus aureus, Staphylococcus epidermidis, Streptococcus pyogenes, Viridans group streptococci, Escherichia coli, Enterobacter cloacae, Klebsiella oxytoca, Klebsiella pneumoniae, Proteus mirabilis, Morganella morganii*, Pseudomonas aeruginosa, Serratia marcescens, Acinetobacter calcoaceticus, Bacteroides fragilis* or Peptostreptococcus species.

* Efficacy for this organism in this organ system was studied in fewer than ten infections.

URINARY TRACT INFECTIONS (complicated and uncomplicated) caused by Escherichia coli, Proteus mirabilis, Proteus vulgaris, Morganella morganii or Klebsiella pneumoniae.

UNCOMPLICATED GONORRHEA (cervical/urethral and rectal) caused by Neisseria gonorrhoeae, including both penicillinase- and nonpenicillinase-producing strains, and pharyngeal gonorrhea caused by nonpenicillinase-producing strains of Neisseria gonorrhoeae.

PELVIC INFLAMMATORY DISEASE caused by Neisseria gonorrhoeae. Ceftriaxone sodium, like other cephalosporins, has no activity against Chlamydia trachomatis. Therefore, when cephalosporins are used in the treatment of patients with pelvic inflammatory disease and Chlamydia trachomatis is one of the suspected pathogens, appropriate antichlamydial coverage should be added.

BACTERIAL SEPTICEMIA caused by Staphylococcus aureus, Streptococcus pneumoniae, Escherichia coli, Haemophilus influenzae or Klebsiella pneumoniae.

BONE AND JOINT INFECTIONS caused by Staphylococcus aureus, Streptococcus pneumoniae, Escherichia coli, Proteus mirabilis, Klebsiella pneumoniae or Enterobacter species.

INTRA-ABDOMINAL INFECTIONS caused by Escherichia coli, Klebsiella pneumoniae, Bacteroides fragilis, Clostridium species (Note: most strains of Clostridium difficile are resistant) or Peptostreptococcus species.

MENINGITIS caused by Haemophilus influenzae, Neisseria meningitidis or Streptococcus pneumoniae. Ceftriaxone has also been used successfully in a limited number of cases of meningitis and shunt infection caused by Staphylococcus epidermidis* and Escherichia coli*.

* Efficacy for this organism in this organ system was studied in fewer than ten infections.

SURGICAL PROPHYLAXIS: The preoperative administration of a single 1 g dose of Ceftriaxone may reduce the incidence of postoperative infections in patients undergoing surgical procedures classified as contaminated or potentially contaminated (e.g., vaginal or abdominal hysterectomy or cholecystectomy for chronic calculous cholecystitis in high-risk patients, such as those over 70 years of age, with acute cholecystitis not requiring therapeutic antimicrobials, obstructive jaundice or common duct bile stones) and in surgical patients for whom infection at the operative site would present serious risk (e.g., during coronary artery bypass surgery). Although Ceftriaxone has been shown to have been as effective as cefazolin in the prevention of infection following coronary artery bypass surgery, no placebo-controlled trials have been conducted to evaluate any cephalosporin antibiotic in the prevention of infection following coronary artery bypass surgery. When administered prior to surgical procedures for which it is indicated, a single 1 g dose of Ceftriaxone provides protection from most infections due to susceptible organisms throughout the course of the procedure.

Dosage and Administration

Ceftriaxone may be administered intravenously or intramuscularly. However, the intent of this Pharmacy Bulk Package is for the preparation of solutions for intravenous infusion only. Ceftriaxone should be administered intravenously by infusion over a period of 30 minutes.

Do not use diluents containing calcium, such as Ringers solution or Hartmanns solution, to reconstitute Ceftriaxone vials or to further dilute a reconstituted vial for IV administration because a precipitate can form. Precipitation of ceftriaxone-calcium can also occur when Ceftriaxone is mixed with calcium-containing solutions in the same IV administration line. Ceftriaxone must not be administered simultaneously with calcium-containing IV solutions, including continuous calcium-containing infusions such as parenteral nutrition via a Y-site. However, in patients other than neonates, Ceftriaxone and calcium-containing solutions may be administered sequentially of one another if the infusion lines are thoroughly flushed between infusions with a compatible fluid (see WARNINGS ).

There have been no reports of an interaction between ceftriaxone and oral calcium-containing products or interaction between intramuscular ceftriaxone and calcium-containing products (IV or oral).

Adverse Reactions

Ceftriaxone is generally well tolerated. In clinical trials, the following adverse reactions, which were considered to be related to Ceftriaxone therapy or of uncertain etiology, were observed:

LOCAL REACTIONS - pain, induration and tenderness was 1% overall. Phlebitis was reported in <1% after IV administration. The incidence of warmth, tightness or induration was 17% (3/17) after IM administration of 350 mg/mL and 5% (1/20) after IM administration of 250 mg/mL.

GENERAL DISORDERS AND ADMINISTRATION SITE CONDITIONS - injection site pain (0.6%).

HYPERSENSITIVITY - rash (1.7%). Less frequently reported (<1%) were pruritus, fever or chills.

INFECTIONS AND INFESTATIONS - genital fungal infection (0.1%).

HEMATOLOGIC - eosinophilia (6%), thrombocytosis (5.1%) and leukopenia (2.1%). Less frequently reported (<1%) were anemia, hemolytic anemia, neutropenia, lymphopenia, thrombocytopenia and prolongation of the prothrombin time.

BLOOD AND LYMPHATIC DISORDERS - granulocytopenia (0.9%), coagulopathy (0.4%).

GASTROINTESTINAL - diarrhea/loose stools (2.7%). Less frequently reported (<1%) were nausea or vomiting, and dysgeusia. The onset of pseudomembranous colitis symptoms may occur during or after antibacterial treatment (see WARNINGS ).

HEPATIC - elevations of aspartate aminotransferase (AST) (3.1%) or alanine aminotransferase (ALT) (3.3%). Less frequently reported (<1%) were elevations of alkaline phosphatase and bilirubin.

RENAL—elevations of the BUN (1.2%). Less frequently reported (<1%) were elevations of creatinine and the presence of casts in the urine.

CENTRAL NERVOUS SYSTEM—headache or dizziness were reported occasionally (<1%).

GENITOURINARY—moniliasis or vaginitis were reported occasionally (<1%).

MISCELLANEOUS—diaphoresis and flushing were reported occasionally (<1%).

INVESTIGATIONS - blood creatinine increased (0.6%)

Other rarely observed adverse reactions (<0.1%) include abdominal pain, agranulocytosis, allergic pneumonitis, anaphylaxis, basophilia, biliary lithiasis, bronchospasm, colitis, dyspepsia, epistaxis, flatulence, gallbladder sludge, glycosuria, hematuria, jaundice, leukocytosis, lymphocytosis, monocytosis, nephrolithiasis, palpitations, a decrease in the prothrombin time, renal precipitations, seizures, and serum sickness.

How Supplied

Ceftriaxone for Injection, USP, as sterile powder in Pharmacy Bulk Package bottle containing 10 grams equivalent of ceftriaxone, is available as:

Box of 1 (NDC 0143-9678-01)

Box of 10 (NDC 0143-9678-10)

Description

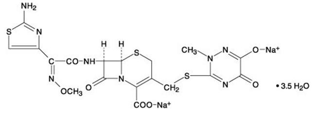
Ceftriaxone for Injection, USP is a sterile, semisynthetic, broad-spectrum cephalosporin antibiotic for intravenous or intramuscular administration. Ceftriaxone sodium is (6R, 7R)-7-[2-(2-Amino-4-thiazolyl) glyoxylamido]-8-oxo-3-[[(1,2,5,6-tetrahydro-2-methyl-5,6-dioxo-as-triazin-3-yl)thio]methyl]-5-thia-1-azabicyclo[4.2.0]oct-2-ene-2-carboxylic acid, 72-(Z)-(O-methyloxime), disodium salt, sesquaterhydrate.

The chemical formula of ceftriaxone sodium is C18H16N8Na2O7S3•3.5H2O. It has a calculated molecular weight of 661.60 and the following structural formula:

Ceftriaxone sodium is a white to yellowish-orange crystalline powder which is readily soluble in water, sparingly soluble in methanol and very slightly soluble in ethanol. The pH of a 1% aqueous solution is approximately 6.7. The color of ceftriaxone solutions ranges from light yellow to amber, depending on the length of storage, concentration and diluent used.

Each Pharmacy Bulk Package is supplied as a dry powder in Pharmacy Bulk Package bottles containing sterile Ceftriaxone Sodium, USP equivalent to 10 grams of ceftriaxone and is intended for intravenous infusion only. Ceftriaxone sodium contains approximately 83 mg (3.6 mEq) of sodium per gram of ceftriaxone activity.

A Pharmacy Bulk Package is a container of a sterile preparation for parenteral use that contains many single doses. The contents are intended for use in a pharmacy admixture program and are restricted to the preparation of admixtures for intravenous infusion. FURTHER DILUTION IS REQUIRED BEFORE USE. (See DOSAGE AND ADMINISTRATION , and DIRECTIONS FOR PROPER USE OF PHARMACY BULK PACKAGE .)

Section 42229-5

Rx Only

PHARMACY BULK PACKAGE

NOT FOR DIRECT INFUSION 

To reduce the development of drug-resistant bacteria and maintain the effectiveness of Ceftriaxone and other antibacterial drugs, Ceftriaxone should be used only to treat or prevent infections that are proven or strongly suspected to be caused by bacteria.

Adults:

The usual adult daily dose is 1 to 2 grams given once a day (or in equally divided doses twice a day) depending on the type and severity of infection. The total daily dose should not exceed 4 grams.

If Chlamydia trachomatis is a suspected pathogen, appropriate antichlamydial coverage should be added, because ceftriaxone sodium has no activity against this organism.

For preoperative use (surgical prophylaxis), a single dose of 1 gram administered intravenously 1/2 to 2 hours before surgery is recommended.

Generally, Ceftriaxone therapy should be continued for at least 2 days after the signs and symptoms of infection have disappeared. The usual duration of therapy is 4 to 14 days; in complicated infections, longer therapy may be required.

When treating infections caused by Streptococcus pyogenes, therapy should be continued for at least 10 days.

No dosage adjustment is necessary for patients with impairment of renal or hepatic function (see PRECAUTIONS ).

The dosages recommended for adults require no modification in elderly patients, up to 2 gm per day, provided there is no severe renal and hepatic impairment (see PRECAUTIONS ).

Neonates

Premature neonates: Ceftriaxone is contraindicated in premature neonates up to a postmenstrual age of 41 weeks (gestational age + chronological age).

Hyperbilirubinemic neonates: Hyperbilirubinemic neonates should not be treated with Ceftriaxone. Ceftriaxone can displace bilirubin from its binding to serum albumin, leading to a risk of bilirubin encephalopathy in these patients.

Lidocaine

Intravenous administration of ceftriaxone solutions containing lidocaine is contraindicated. When lidocaine solution is used as a solvent with ceftriaxone for intramuscular injection, exclude all contraindications to lidocaine. Refer to the prescribing information of lidocaine.

Neonates:

Hyperbilirubinemic neonates, especially prematures, should not be treated with Ceftriaxone. Ceftriaxone is contraindicated in premature neonates (see CONTRAINDICATIONS ).

Ceftriaxone is contraindicated in neonates (≤ 28 days) if they require (or are expected to require) treatment with calcium-containing IV solutions, including continuous calcium-containing infusions such as parenteral nutrition because of the risk of precipitation of ceftriaxone-calcium (see CONTRAINDICATIONS ).

Intravenous doses should be given over 60 minutes in neonates to reduce the risk of bilirubin encephalopathy.

Overdosage

In the case of overdosage, drug concentration would not be reduced by hemodialysis or peritoneal dialysis. There is no specific antidote. Treatment of overdosage should be symptomatic.

References
  • Barnett ED, Teele DW, Klein JO, et al. Comparison of Ceftriaxone and Trimethoprim-Sulfamethoxazole for Acute Otitis Media. Pediatrics. Vol. 99, No. 1, January 1997.

Flagyl® is a registered trademark of G.D. Searle & Co.

Manufactured by :

HIKMA FARMACÊUTICA (PORTUGAL), S.A.

Estrada do Rio da Mó, nº 8, 8A e 8B - Fervença,

2705 – 906 Terrugem SNT

PORTUGAL

Distributed by:

WEST-WARD PHARMACEUTICAL Corp.

465 Industrial Way West

EATONTOWN NJ 07724 USA

Revised: March 2019

PIN525-WES/1

Mutagenesis

Genetic toxicology tests included the Ames test, a micronucleus test and a test for chromosomal aberrations in human lymphocytes cultured in vitro with ceftriaxone. Ceftriaxone showed no potential for mutagenic activity in these studies.

Microbiology

Mechanism of Action

Ceftriaxone is a bactericidal agent that acts by inhibition of bacterial cell wall synthesis. Ceftriaxone has activity in the presence of some beta-lactamases, both penicillinases and cephalosporinases, of Gram-negative and Gram-positive bacteria.

Mechanism of Resistance

Resistance to ceftriaxone is primarily through hydrolysis by beta-lactamase, alteration of penicillin-binding proteins (PBPs), and decreased permeability.

Interaction with Other Antimicrobials

In an in vitro study antagonistic effects have been observed with the combination of chloramphenicol and ceftriaxone.

Ceftriaxone has been shown to be active against most isolates of the following bacteria, both in vitro and in clinical infections as described in the  INDICATIONS AND USAGE (1)  section.

  • Gram-negative bacteria

    Acinetobacter calcoaceticus

    Enterobacter aerogenes

    Enterobacter cloacae

    Escherichia coli

    Haemophilus influenzae

    Haemophilus parainfluenzae

    Klebsiella oxytoca

    Klebsiella pneumoniae

    Moraxella catarrhalis

    Morganella morganii

    Neisseria gonorrhoeae

    Neisseria meningitidis

    Proteus mirabilis

    Proteus vulgaris

    Pseudomonas aeruginosa

    Serratia marcescens
  • Gram-positive bacteria

    Staphylococcus aureus

    Staphylococcus epidermidis

    Streptococcus pneumoniae

    Streptococcus pyogenes

    Viridans group streptococci
  • Anaerobic bacteria

    Bacteroides fragilis

    Clostridium species

    Peptostreptococcus species

The following in vitro data are available, but their clinical significance is unknown . At least 90 percent of the following microorganisms exhibit an in vitro minimum inhibitory concentration (MIC) less than or equal to the susceptible breakpoint for ceftriaxone. However, the efficacy of ceftriaxone in treating clinical infections due to these microorganisms has not been established in adequate and well- controlled clinical trials.

  • Gram-negative bacteria

    Citrobacter diversus

    Citrobacter freundii

    Providencia species (including Providencia rettgeri)

    Salmonella species (including Salmonella typhi)

    Shigella species
  • Gram-positive bacteria

    Streptococcus agalactiae
  • Anaerobic bacteria

    Porphyromonas (Bacteroides) melaninogenicus

    Prevotella (Bacteroides) bivius
Pancreatitis

Cases of pancreatitis, possibly secondary to biliary obstruction, have been reported in patients treated with Ceftriaxone. Most patients presented with risk factors for biliary stasis and biliary sludge (preceding major therapy, severe illness, total parenteral nutrition). A cofactor role of ceftriaxone-related biliary precipitation cannot be ruled out.

Geriatric Use

Of the total number of subjects in clinical studies of Ceftriaxone, 32% were 60 and over. No overall differences in safety or effectiveness were observed between these subjects and younger subjects, and other reported clinical experience has not identified differences in responses between the elderly and younger patients, but greater sensitivity of some older individuals cannot be ruled out.

The pharmacokinetics of ceftriaxone were only minimally altered in geriatric patients compared to healthy adult subjects and dosage adjustments are not necessary for geriatric patients with ceftriaxone dosages up to 2 grams per day provided there is no severe renal and hepatic impairment (see CLINICAL PHARMACOLOGY ).

Pediatric Use

Safety and effectiveness of Ceftriaxone in neonates, infants and pediatric patients have been established for the dosages described in the  DOSAGE AND ADMINISTRATION  section. In vitro studies have shown that ceftriaxone, like some other cephalosporins, can displace bilirubin from serum albumin. Ceftriaxone should not be administered to hyperbilirubinemic neonates, especially prematures (see CONTRAINDICATIONS ).

Carcinogenesis

Considering the maximum duration of treatment and the class of the compound, carcinogenicity studies with ceftriaxone in animals have not been performed. The maximum duration of animal toxicity studies was 6 months.

Nursing Mothers

Low concentrations of ceftriaxone are excreted in human milk. Caution should be exercised when Ceftriaxone is administered to a nursing woman.

Hemolytic Anemia

An immune mediated hemolytic anemia has been observed in patients receiving cephalosporin class antibacterials including Ceftriaxone. Severe cases of hemolytic anemia, including fatalities, have been reported during treatment in both adults and children. If a patient develops anemia while on ceftriaxone, the diagnosis of a cephalosporin associated anemia should be considered and ceftriaxone stopped until the etiology is determined.

Hypersensitivity

Ceftriaxone is contraindicated in patients with known hypersensitivity to ceftriaxone, any of its excipients or to any other cephalosporin. Patients with previous hypersensitivity reactions to penicillin and other beta lactam antibacterial agents may be at greater risk of hypersensitivity to ceftriaxone (see WARNINGS – Hypersensitivity ).

Animal Pharmacology

Concretions consisting of the precipitated calcium salt of ceftriaxone have been found in the gallbladder bile of dogs and baboons treated with ceftriaxone.

These appeared as a gritty sediment in dogs that received 100 mg/kg/day for 4 weeks. A similar phenomenon has been observed in baboons but only after a protracted dosing period (6 months) at higher dose levels (335 mg/kg/day or more). The likelihood of this occurrence in humans is considered to be low, since ceftriaxone has a greater plasma half-life in humans, the calcium salt of ceftriaxone is more soluble in human gallbladder bile and the calcium content of human gallbladder bile is relatively low.

Pediatric Patients:

For the treatment of skin and skin structure infections, the recommended total daily dose is 50 to 75 mg/kg given once a day (or in equally divided doses twice a day). The total daily dose should not exceed 2 grams.

For the treatment of serious miscellaneous infections other than meningitis, the recommended total daily dose is 50 to 75 mg/kg, given in divided doses every 12 hours. The total daily dose should not exceed 2 grams.

In the treatment of meningitis, it is recommended that the initial therapeutic dose be 100 mg/kg (not to exceed 4 grams). Thereafter, a total daily dose of 100 mg/kg/day (not to exceed 4 grams daily) is recommended. The daily dose may be administered once a day (or in equally divided doses every 12 hours). The usual duration of therapy is 7 to 14 days.

Serialization Image

Representative Carton Serialization Image

Pregnancy Category B

Reproductive studies have been performed in mice and rats at doses up to 20 times the usual human dose and have no evidence of embryotoxicity, fetotoxicity or teratogenicity. In primates, no embryotoxicity or teratogenicity was demonstrated at a dose approximately 3 times the human dose.

There are, however, no adequate and well-controlled studies in pregnant women. Because animal reproductive studies are not always predictive of human response, this drug should be used during pregnancy only if clearly needed.

Clinical Pharmacology

Average plasma concentrations of ceftriaxone following a single 30-minute intravenous (IV) infusion of a 0.5, 1 or 2 g dose and intramuscular (IM) administration of a single 0.5 (250 mg/mL or 350 mg/mL concentrations) or 1 g dose in healthy subjects are presented in Table 1.

Table 1. Ceftriaxone Plasma Concentrations After Single Dose Administration
 

 Dose/Route
 Average Plasma Concentrations (mcg/mL)
 0.5 hr  1 hr 2 hr 4 hr 6 hr 8 hr 12 hr  16 hr  24 hr 
 0.5 g IV

IV doses were infused at a constant rate over 30 minutes.

 
 82 59   48 37  29  23  15  10   5
 0.5 g IM

 250 mg/mL
 22  33  38  35  30  26  16  ND  5
 0.5 g IM

 350 mg/mL 
 20  32  38  34  31  24  16  ND  5
 1 g IV
 
 151  111  88  67  53  43  28  18  9
 1 g IM  40  68  76  68  56  44  29  ND  ND
 2 g IV
 
 257  192  154  117  89  74  46  31  15
 ND = Not determined

Ceftriaxone was completely absorbed following IM administration with mean maximum plasma concentrations occurring between 2 and 3 hours post-dose. Multiple IV or IM doses ranging from 0.5 to 2 g at 12- to 24-hour intervals resulted in 15% to 36% accumulation of ceftriaxone above single dose values.

Ceftriaxone concentrations in urine are shown in Table 2.

Table 2 - Urinary Concentrations of Ceftriaxone After Single Dose Administration
 Dose/Route  Average Urinary Concentrations (mcg/mL)
 0-2 hr  2-4 hr 4-8 hr   8-12 hr 12-24 hr   24-48 hr
 0.5 g IV 526  366   142 87  70  15 
 0.5 g IM  115  425  308  127  96  28
 1 g IV  995  855  293  147  132  32
 1 g IM  504  628  418  237  ND  ND
 2 g IV  2692  1976  757  274  198  40

ND = Not determined.

Thirty-three percent to 67% of a ceftriaxone dose was excreted in the urine as unchanged drug and the remainder was secreted in the bile and ultimately found in the feces as microbiologically inactive compounds. After a 1 g IV dose, average concentrations of ceftriaxone, determined from 1 to 3 hours after dosing, were 581 mcg/mL in the gallbladder bile, 788 mcg/mL in the common duct bile, 898 mcg/mL in the cystic duct bile, 78.2 mcg/g in the gallbladder wall and 62.1 mcg/mL in the concurrent plasma.

Over a 0.15 to 3 g dose range in healthy adult subjects, the values of elimination half-life ranged from 5.8 to 8.7 hours; apparent volume of distribution from 5.78 to 13.5 L; plasma clearance from 0.58 to 1.45 L/hour; and renal clearance from 0.32 to 0.73 L/ hour. Ceftriaxone is reversibly bound to human plasma proteins, and the binding decreased from a value of 95% bound at plasma concentrations of < 25 mcg/mL to a value of 85% bound at 300 mcg/mL. Ceftriaxone crosses the blood placenta barrier.

The average values of maximum plasma concentration, elimination half-life, plasma clearance and volume of distribution after a 50 mg/kg IV dose and after a 75 mg/kg IV dose in pediatric patients suffering from bacterial meningitis are shown in Table 3. Ceftriaxone penetrated the inflamed meninges of infants and pediatric patients; CSF concentrations after a 50 mg/kg IV dose and after a 75 mg/kg IV dose are also shown in Table 3.

Table 3 - Average Pharmacokinetic Parameters of Ceftriaxone in Pediatric Patients With Meningitis
  50 mg/kg IV  75 mg/kg IV
 Maximum Plasma Concentrations (mcg/mL)   216  275
 Elimination Half-life (hr)  4.6  4.3
 Plasma Clearance (mL/hr/kg)  49  60
 Volume of Distribution (mL/kg)  338  373
 CSF Concentration - inflamed meninges (mcg/mL)  5.6  6.4
     Range (mcg/mL)  1.3-18.5  1.3-44
     Time after dose (hr)  3.7 (± 1.6)  3.3 (± 1.4)

Compared to that in healthy adult subjects, the pharmacokinetics of ceftriaxone were only minimally altered in elderly subjects and in patients with renal impairment or hepatic dysfunction (Table 4); therefore, dosage adjustments are not necessary for these patients with ceftriaxone dosages up to 2 g per day. Ceftriaxone was not removed to any significant extent from the plasma by hemodialysis. In 6 of 26 dialysis patients, the elimination rate of ceftriaxone was markedly reduced.

Table 4 - Average Pharmacokinetic Parameters of Ceftriaxone in Humans
Subject Group Elimination

Half-Life (hr)
 Plasma

Clearance

(L/hr)
 Volume of

Distribution

(L)
 Healthy Subjects 5.8-8.7  0.58-1.45  5.8-13.5 
 Elderly Subjects (mean age, 70.5 yr)  8.9  0.83  10.7
 Patients With Renal Impairment      
 Hemodialysis Patients (0-5 mL/min)

Creatinine clearance.

 
 14.7  0.65  13.7
 Severe (5-15 mL/min)  15.7  0.56  12.5
 Moderate (16-30 mL/min)  11.4  0.72  11.8
 Mild (31-60 mL/min)  12.4  0.70  13.3
 Patients With Liver Disease  8.8  1.1  13.6

The elimination of ceftriaxone is not altered when ceftriaxone is co-administered with probenecid.

Nonteratogenic Effects

In rats, in the Segment I (fertility and general reproduction) and Segment III (perinatal and postnatal) studies with intravenously administered ceftriaxone, no adverse effects were noted on various reproductive parameters during gestation and lactation, including postnatal growth, functional behavior and reproductive ability of the offspring, at doses of 586 mg/kg/day or less.

Clostridium Difficile

Clostridium difficile associated diarrhea (CDAD) has been reported with use of nearly all antibacterial agents, including Ceftriaxone, and may range in severity from mild diarrhea to fatal colitis. Treatment with antibacterial agents alters the normal flora of the colon leading to overgrowth of C. difficile.

C. difficile produces toxins A and B which contribute to the development of CDAD. Hypertoxin producing strains of C. difficile cause increased morbidity and mortality, as these infections can be refractory to antimicrobial therapy and may require colectomy. CDAD must be considered in all patients who present with diarrhea following antibiotic use. Careful medical history is necessary since CDAD has been reported to occur over two months after the administration of antibacterial agents.

If CDAD is suspected or confirmed, ongoing antibiotic use not directed against C. difficile may need to be discontinued. Appropriate fluid and electrolyte management, protein supplementation, antibiotic treatment of C. difficile, and surgical evaluation should be instituted as clinically indicated.

Impairment of Fertility

Ceftriaxone produced no impairment of fertility when given intravenously to rats at daily doses up to 586 mg/kg/day, approximately 20 times the recommended clinical dose of 2 g/day.

Principal Display Panel

NDC 0143-9678-01

CEFTRIAXONE

FOR INJECTION, USP

10 grams

per Pharmacy Bulk Package

PHARMACY BULK PACKAGE

NOT FOR DIRECT INFUSION

NOT TO BE DISPENSED AS A UNIT


FOR INTRAVENOUS USE

RECONSTITUTED STOCK SOLUTION MUST BE

TRANSFERRED AND FURTHER DILUTED FOR I.V. INFUSION

Rx ONLY

NDC 0143-9678-01

One Pharmacy Bulk Package

CEFTRIAXONE

FOR INJECTION, USP

10 grams per

Parmacy Bulk Package

PHARMACY BULK PACKAGE

NOT FOR DIRECT INFUSION

RECONSTITUTED STOCK SOLUTION MUST BE

TRANSFERRED AND FURTHER DILUTED FOR I.V. INFUSION

NOT TO BE DISPENSED AS A UNIT

FOR INTRAVENOUS USE

Rx ONLY

Information for Patients
  • Patients should be counseled that antibacterial drugs including Ceftriaxone should only be used to treat bacterial infections. They do not treat viral infections (e.g., the common cold).
  • When Ceftriaxone is prescribed to treat a bacterial infection, patients should be told that although it is common to feel better early in the course of therapy, the medication should be taken exactly as directed. Skipping doses or not completing the full course of therapy may (1) decrease the effectiveness of the immediate treatment and (2) increase the likelihood that bacteria will develop resistance and will not be treatable by Ceftriaxone or other antibacterial drugs in the future.
  • Diarrhea is a common problem caused by antibiotics which usually ends when the antibiotic is discontinued. Sometimes after starting treatment with antibiotics, patients can develop watery and bloody stools (with or without stomach cramps and fever) even as late as two or more months after having taken the last dose of the antibiotic. If this occurs, patients should contact their physician as soon as possible.
Interaction With Calcium

Two in vitro studies, one using adult plasma and the other neonatal plasma from umbilical cord blood have been carried out to assess interaction of ceftriaxone and calcium. Ceftriaxone concentrations up to 1 mM (in excess of concentrations achieved in vivo following administration of 2 grams ceftriaxone infused over 30 minutes) were used in combination with calcium concentrations up to 12 mM (48 mg/dL). Recovery of ceftriaxone from plasma was reduced with calcium concentrations of 6 mM (24 mg/dL) or higher in adult plasma or 4 mM (16 mg/dL) or higher in neonatal plasma. This may be reflective of ceftriaxone-calcium precipitation.

Postmarketing Experience

In addition to the adverse reactions reported during clinical trials, the following adverse experiences have been reported during clinical practice in patients treated with Ceftriaxone. Data are generally insufficient to allow an estimate of incidence or to establish causation. A small number of cases of fatal outcomes in which a crystalline material was observed in the lungs and kidneys at autopsy have been reported in neonates receiving Ceftriaxone and calcium-containing fluids. In some of these cases, the same intravenous infusion line was used for both Ceftriaxone and calcium-containing fluids and in some a precipitate was observed in the intravenous infusion line.

At least one fatality has been reported in a neonate in whom Ceftriaxone and calcium-containing fluids were administered at different time points via different intravenous lines; no crystalline material was observed at autopsy in this neonate. There have been no similar reports in patients other than neonates.

GASTROINTESTINAL – pancreatitis,stomatitis and glossitis.

GENITOURINARY – oliguria, ureteric obstruction, post-renal acute renal failure.

DERMATOLOGIC – exanthema, allergic dermatitis, urticaria, edema; acute generalized exanthematous pustulosis (AGEP) and isolated cases of severe cutaneous adverse reactions (erythema multiforme, Stevens-Johnson syndrome or Lyell’s syndrome/toxic epidermal necrolysis) have been reported.

Effect On Prothrombin Time

Alterations in prothrombin times have occurred in patients treated with Ceftriaxone. Monitor prothrombin time during Ceftriaxone treatment in patients with impaired vitamin K synthesis or low vitamin K stores (e.g., chronic hepatic disease and malnutrition). Vitamin K administration (10 mg weekly) may be necessary if the prothrombin time is prolonged before or during therapy.

Concomitant use of ceftriaxone with Vitamin K antagonists may increase the risk of bleeding. Coagulation parameters should be monitored frequently, and the dose of the anticoagulant adjusted accordingly, both during and after treatment with ceftriaxone (see ADVERSE REACTIONS ).

Hypersensitivity Reactions

Before therapy with Ceftriaxone is instituted, careful inquiry should be made to determine whether the patient has had previous hypersensitivity reactions to cephalosporins, penicillins and other beta-lactam agents or other drugs. This product should be given cautiously to penicillin and other beta-lactam agent-sensitive patients. Antibacterial drugs should be administered with caution to any patient who has demonstrated some form of allergy, particularly to drugs. Serious acute hypersensitivity reactions may require the use of subcutaneous epinephrine and other emergency measures.

As with all beta-lactam antibacterial agents, serious and occasionally fatal hypersensitivity reactions (i.e., anaphylaxis) have been reported. In case of severe hypersensitivity reactions, treatment with ceftriaxone must be discontinued immediately and adequate emergency measures must be initiated.

Compatibility and Stability

Do not use diluents containing calcium, such as Ringer’s solution or Hartmann’s solution, to reconstitute Ceftriaxone vials or to further dilute a reconstituted vial for IV administration. Particulate formation can result.

Ceftriaxone has been shown to be compatible with Flagyl® IV (metronidazole hydrochloride). The concentration should not exceed 5 to 7.5 mg/mL metronidazole hydrochloride with ceftriaxone 10 mg/mL as an admixture. The admixture is stable for 24 hours at room temperature only in 0.9% sodium chloride injection or 5% dextrose in water (D5W). No compatibility studies have been conducted with the Flagyl® IV RTU® (metronidazole) formulation or using other diluents. Metronidazole at concentrations greater than 8 mg/ mL will precipitate. Do not refrigerate the admixture as precipitation will occur.

Vancomycin, amsacrine, aminoglycosides, and fluconazole are incompatible with ceftriaxone in admixtures. When any of these drugs are to be administered concomitantly with ceftriaxone by intermittent intravenous infusion, it is recommended that they be given sequentially, with thorough flushing of the intravenous lines (with one of the compatible fluids) between the administrations.

Ceftriaxone solutions should not be physically mixed with or piggybacked into solutions containing other antimicrobial drugs or into diluent solutions other than those listed above, due to possible incompatibility (see WARNINGS ).

Ceftriaxone sterile powder should be stored at 20° to 25°C (68° to 77°F) [see USP Controlled Room Temperature] and protected from light. After reconstitution, protection from normal light is not necessary. The color of solutions ranges from light yellow to amber, depending on the length of storage, concentration and diluent used.

Ceftriaxone intravenous solutions, at concentrations of 10, 20 and 40 mg/mL, remain stable (loss of potency less than 10%) for the following time periods stored in glass or PVC containers:

  Storage 
Diluent   Room Temp.

(25ºC)
Refrigerated

(4ºC)
 
 Sterile Water  2 days  10 days
 0.9% Sodium Chloride Solution  2 days  10 days
 5% Dextrose Solution  2 days  10 days
 10% Dextrose Solution  2 days  10 days
 5% Dextrose + 0.9% Sodium Chloride Solution
Data available for 10 to 40 mg/mL concentrations in this diluent in PVC containers only.
 
 2 days  Incompatible
 5% Dextrose + 0.45% Sodium Chloride Solution  2 days  Incompatible

The following intravenous ceftriaxone solutions are stable at room temperature (25°C) for 24 hours, at concentrations between 10 mg/ mL and 40 mg/mL: Sodium Lactate (PVC container), 10% Invert Sugar (glass container), 5% Sodium Bicarbonate (glass container), Freamine III (glass container), Normosol-M in 5% Dextrose (glass and PVC containers), Ionosol-B in 5% Dextrose (glass container), 5% Mannitol (glass container), 10% Mannitol (glass container).

After the indicated stability time periods, unused portions of solutions should be discarded.

NOTE: Parenteral drug products should be inspected visually for particulate matter before administration.

Ceftriaxone reconstituted with 5% Dextrose or 0.9% Sodium Chloride solution at concentrations between 10 mg/mL and 40 mg/mL, and then stored in frozen state (-20°C) in PVC or polyolefin containers, remains stable for 26 weeks.

Frozen solutions of Ceftriaxone should be thawed at room temperature before use. After thawing, unused portions should be discarded. DO NOT REFREEZE.

Gallbladder Pseudolithiasis

Ceftriaxone-calcium precipitates in the gallbladder have been observed in patients receiving Ceftriaxone. These precipitates appear on sonography as an echo without acoustical shadowing suggesting sludge or as an echo with acoustical shadowing which may be misinterpreted as gallstones. The probability of such precipitates appears to be greatest in pediatric patients. Patients may be asymptomatic or may develop symptoms of gallbladder disease. The condition appears to be reversible upon discontinuation of ceftriaxone sodium and institution of conservative management. Discontinue ceftriaxone sodium in patients who develop signs and symptoms suggestive of gallbladder disease and/or the sonographic findings described above.

Susceptibility Test Methods

For specific susceptibility test interpretive criteria and associated test methods and quality control standards recognized by FDA for this drug, please see: https://www.fda.gov/STIC.

Influence On Diagnostic Tests:

In patients treated with Ceftriaxone, the Coombs’ test may become positive. Ceftriaxone, like other antibacterial drugs, may result in positive test results for galactosemia.

Nonenzymatic methods for the glucose determination in urine may give false-positive results. For this reason, urine-glucose determination during therapy with Ceftriaxone should be done enzymatically.

The presence of ceftriaxone may falsely lower estimated blood glucose values obtained with some blood glucose monitoring systems. Please refer to instructions for use for each system. Alternative testing methods should be used if necessary.

Storage Prior to Reconstitution

Store at 20° to 25°C (68° to 77°F) [see USP Controlled Room Temperature]. Protect from light. 

Cephalosporin Class Adverse Reactions

In addition to the adverse reactions listed above which have been observed in patients treated with ceftriaxone, the following adverse reactions and altered laboratory test results have been reported for cephalosporin class antibiotics:

Adverse Reactions: Allergic reactions, drug fever, serum sickness-like reaction, renal dysfunction, toxic nephropathy, reversible hyperactivity, hypertonia, hepatic dysfunction including cholestasis, aplastic anemia, hemorrhage, and superinfection.

Altered Laboratory Tests: Positive direct Coombs’ test, false-positive test for urinary glucose, and elevated LDH (see PRECAUTIONS ).

Several cephalosporins have been implicated in triggering seizures, particularly in patients with renal impairment when the dosage was not reduced (see DOSAGE AND ADMINISTRATION ). If seizures associated with drug therapy occur, the drug should be discontinued. Anticonvulsant therapy can be given if clinically indicated.

To report SUSPECTED ADVERSE REACTIONS, contact West-Ward Pharmaceutical Corp. at 1-877-233-2001 or FDA at 1-800-FDA-1088 or www.fda.gov/medwatch

Development of Drug Resistant Bacteria

Prescribing Ceftriaxone in the absence of a proven or strongly suspected bacterial infection or a prophylactic indication is unlikely to provide benefit to the patient and increases the risk of the development of drug-resistant bacteria. Prolonged use of Ceftriaxone may result in overgrowth of nonsusceptible organisms. Careful observation of the patient is essential. If superinfection occurs during therapy, appropriate measures should be taken.

Pharmacokinetics in the Middle Ear Fluid

In one study, total ceftriaxone concentrations (bound and unbound) were measured in middle ear fluid obtained during the insertion of tympanostomy tubes in 42 pediatric patients with otitis media. Sampling times were from 1 to 50 hours after a single intramuscular injection of 50 mg/kg of ceftriaxone. Mean (±SD) ceftriaxone levels in the middle ear reached a peak of 35 (±12) mcg/mL at 24 hours, and remained at 19 (±7) mcg/mL at 48 hours. Based on middle ear fluid ceftriaxone concentrations in the 23 to 25 hour and the 46 to 50 hour sampling time intervals, a half-life of 25 hours was calculated. Ceftriaxone is highly bound to plasma proteins. The extent of binding to proteins in the middle ear fluid is unknown.

Patients With Renal Or Hepatic Impairment

Ceftriaxone is excreted via both biliary and renal excretion (see CLINICAL PHARMACOLOGY ). Therefore, patients with renal failure normally require no adjustment in dosage when usual doses of Ceftriaxone are administered.

Dosage adjustments should not be necessary in patients with hepatic dysfunction; however, in patients with both hepatic dysfunction and significant renal disease, caution should be exercised and the Ceftriaxone dosage should not exceed 2 g daily.

Ceftriaxone is not removed by peritoneal- or hemodialysis. In patients undergoing dialysis no additional supplementary dosing is required following the dialysis. In patients with both severe renal and hepatic dysfunction, close clinical monitoring for safety and efficacy is advised.

Interaction With Calcium Containing Products

Do not use diluents containing calcium, such as Ringer’s solution or Hartmann’s solution, to reconstitute Ceftriaxone vials or to further dilute a reconstituted vial for IV administration because a precipitate can form. Precipitation of ceftriaxone-calcium can also occur when Ceftriaxone is mixed with calcium-containing solutions in the same IV administration line. Ceftriaxone must not be administered simultaneously with calcium-containing IV solutions, including continuous calcium-containing infusions such as parenteral nutrition via a Y-site. However, in patients other than neonates, Ceftriaxone and calcium-containing solutions may be administered sequentially of one another if the infusion lines are thoroughly flushed between infusions with a compatible fluid. In vitro studies using adult and neonatal plasma from umbilical cord blood demonstrated that neonates have an increased risk of precipitation of ceftriaxone-calcium (see CLINICAL PHARMACOLOGY CONTRAINDICATIONS and DOSAGE AND ADMINISTRATION ).

Urolithiasis and Post Renal Acute Renal Failure

Ceftriaxone-calcium precipitates in the urinary tract have been observed in patients receiving Ceftriaxone and may be detected as sonographic abnormalities. The probability of such precipitates appears to be greatest in pediatric patients. Patients may be asymptomatic or may develop symptoms of urolithiasis, and ureteral obstruction and post-renal acute renal failure. The condition appears to be reversible upon discontinuation of ceftriaxone sodium and institution of appropriate management. Ensure adequate hydration in patients receiving Ceftriaxone. Discontinue Ceftriaxone in patients who develop signs and symptoms suggestive of urolithiasis, oliguria or renal failure and/or the sonographic findings described above.

Directions for Proper Use of Pharmacy Bulk Package

PHARMACY BULK PACKAGE

NOT FOR DIRECT INFUSION 

RECONSTITUTED STOCK SOLUTION MUST BE TRANSFERRED AND FURTHER DILUTED FOR I.V. INFUSION

The 10 gram vial should be reconstituted with 95 mL of an appropriate IV diluent in a suitable work area such as a laminar flow hood. The resulting solution will contain approximately 100 mg/mL of ceftriaxone.

The container closure may be penetrated only one time, utilizing a suitable sterile transfer device or dispensing set which allows measured distribution of the contents. (A sterile substance which must be reconstituted prior to use may require a separate closure entry.) Use of this product is restricted to a suitable work area, such as a laminar flow hood.

The withdrawal of container contents should be accomplished without delay. However, should this not be possible, a maximum time of 4 hours from initial closure entry is permitted to complete fluid transfer operations. If reconstitution is necessary, this time limit should begin with the introduction of solvent or diluent into the Pharmacy Bulk Package.

Unused portions of solution held longer than the recommended time periods should be discarded.

Reconstituted Bulk Solutions Should Not Be Used For Direct Infusion.

Transfer individual dose to appropriate intravenous solutions as soon as possible following reconstitution of the bulk package. The stability of the solution that has been transferred into a container varies according to diluent, concentration and temperature (see Compatibility and Stability ). Concentrations between 10 mg/mL and 40 mg/mL are recommended; however, lower concentrations may be used if desired.

Neonates Requiring Calcium Containing Iv Solutions

Ceftriaxone is contraindicated in neonates (≤ 28 days) if they require (or are expected to require) treatment with calcium-containing IV solutions, including continuous calcium-containing infusions such as parenteral nutrition because of the risk of precipitation of ceftriaxone-calcium (see CLINICAL PHARMACOLOGY WARNINGS and DOSAGE AND ADMINISTRATION ).

Cases of fatal outcomes in which a crystalline material was observed in the lungs and kidneys at autopsy have been reported in neonates receiving Ceftriaxone and calcium-containing fluids.

In some of these cases, the same intravenous infusion line was used for both Ceftriaxone and calcium-containing fluids and in some a precipitate was observed in the intravenous infusion line. There have been no similar reports in patients other than neonates.

Clinical Trials in Pediatric Patients With Acute Bacterial Otitis Media:

In two adequate and well-controlled US clinical trials a single IM dose of ceftriaxone was compared with a 10 day course of oral antibiotic in pediatric patients between the ages of 3 months and 6 years. The clinical cure rates and statistical outcome appear in the table below:

Table 7. Clinical Efficacy in Pediatric Patients with Acute Bacterial Otitis Media
 Clinical Efficacy in Evaluable Population
 Study Day Cetriaxone Single Dose   Comparator 10 Days of Oral Therapy 95% Confidence Interval  Statistical Outcome 
 Study 1 - US    amoxicillin/clavulanate   Ceftriaxone is lower than control at study day 14 and 28.
 14  74% (220/296)  82% (247/302)  (-14.4%, -0.5%)
 28  58% (167/288)  67% (200/297)  (-17.5%, -1.2%)
 Study 2 - US5    TMP-SMZ   Ceftriaxone is equivalent to control at study day 14 and 28.
 14  54% (113/210)  60% (124/206)  (-16.4%, 3.6%)
 28  35% (73/206)  45% (93/205)  (-19.9%, 0.0%)

An open-label bacteriologic study of ceftriaxone without a comparator enrolled 108 pediatric patients, 79 of whom had positive baseline cultures for one or more of the common pathogens. The results of this study are tabulated as follows:

Week 2 and 4 Bacteriologic Eradication Rates in the Per Protocol Analysis in the Roche Bacteriologic Study by Pathogen

Table 8. Bacteriologic Eradication Rates by Pathogen
 Organism Study Day

13-15 
   Study Day

30+2
 
 No. Analyzed No. Erad.

(%) 
 No. Analyzed  No. Erad.

(%)
Streptococcus pneumoniae    38  32 (84)  35  25 (71)
Haemophilus influenzae    33  28 (85)  31  22 (71)
Moraxella catarrhalis    15  12 (80)  15 9 (60) 



Structured Label Content

Section 42229-5 (42229-5)

Rx Only

PHARMACY BULK PACKAGE

NOT FOR DIRECT INFUSION 

To reduce the development of drug-resistant bacteria and maintain the effectiveness of Ceftriaxone and other antibacterial drugs, Ceftriaxone should be used only to treat or prevent infections that are proven or strongly suspected to be caused by bacteria.

Adults: (ADULTS:)

The usual adult daily dose is 1 to 2 grams given once a day (or in equally divided doses twice a day) depending on the type and severity of infection. The total daily dose should not exceed 4 grams.

If Chlamydia trachomatis is a suspected pathogen, appropriate antichlamydial coverage should be added, because ceftriaxone sodium has no activity against this organism.

For preoperative use (surgical prophylaxis), a single dose of 1 gram administered intravenously 1/2 to 2 hours before surgery is recommended.

Generally, Ceftriaxone therapy should be continued for at least 2 days after the signs and symptoms of infection have disappeared. The usual duration of therapy is 4 to 14 days; in complicated infections, longer therapy may be required.

When treating infections caused by Streptococcus pyogenes, therapy should be continued for at least 10 days.

No dosage adjustment is necessary for patients with impairment of renal or hepatic function (see PRECAUTIONS ).

The dosages recommended for adults require no modification in elderly patients, up to 2 gm per day, provided there is no severe renal and hepatic impairment (see PRECAUTIONS ).

Neonates

Premature neonates: Ceftriaxone is contraindicated in premature neonates up to a postmenstrual age of 41 weeks (gestational age + chronological age).

Hyperbilirubinemic neonates: Hyperbilirubinemic neonates should not be treated with Ceftriaxone. Ceftriaxone can displace bilirubin from its binding to serum albumin, leading to a risk of bilirubin encephalopathy in these patients.

Lidocaine

Intravenous administration of ceftriaxone solutions containing lidocaine is contraindicated. When lidocaine solution is used as a solvent with ceftriaxone for intramuscular injection, exclude all contraindications to lidocaine. Refer to the prescribing information of lidocaine.

Neonates: (NEONATES:)

Hyperbilirubinemic neonates, especially prematures, should not be treated with Ceftriaxone. Ceftriaxone is contraindicated in premature neonates (see CONTRAINDICATIONS ).

Ceftriaxone is contraindicated in neonates (≤ 28 days) if they require (or are expected to require) treatment with calcium-containing IV solutions, including continuous calcium-containing infusions such as parenteral nutrition because of the risk of precipitation of ceftriaxone-calcium (see CONTRAINDICATIONS ).

Intravenous doses should be given over 60 minutes in neonates to reduce the risk of bilirubin encephalopathy.

Overdosage (OVERDOSAGE)

In the case of overdosage, drug concentration would not be reduced by hemodialysis or peritoneal dialysis. There is no specific antidote. Treatment of overdosage should be symptomatic.

References (REFERENCES)
  • Barnett ED, Teele DW, Klein JO, et al. Comparison of Ceftriaxone and Trimethoprim-Sulfamethoxazole for Acute Otitis Media. Pediatrics. Vol. 99, No. 1, January 1997.

Flagyl® is a registered trademark of G.D. Searle & Co.

Manufactured by :

HIKMA FARMACÊUTICA (PORTUGAL), S.A.

Estrada do Rio da Mó, nº 8, 8A e 8B - Fervença,

2705 – 906 Terrugem SNT

PORTUGAL

Distributed by:

WEST-WARD PHARMACEUTICAL Corp.

465 Industrial Way West

EATONTOWN NJ 07724 USA

Revised: March 2019

PIN525-WES/1

Description (DESCRIPTION)

Ceftriaxone for Injection, USP is a sterile, semisynthetic, broad-spectrum cephalosporin antibiotic for intravenous or intramuscular administration. Ceftriaxone sodium is (6R, 7R)-7-[2-(2-Amino-4-thiazolyl) glyoxylamido]-8-oxo-3-[[(1,2,5,6-tetrahydro-2-methyl-5,6-dioxo-as-triazin-3-yl)thio]methyl]-5-thia-1-azabicyclo[4.2.0]oct-2-ene-2-carboxylic acid, 72-(Z)-(O-methyloxime), disodium salt, sesquaterhydrate.

The chemical formula of ceftriaxone sodium is C18H16N8Na2O7S3•3.5H2O. It has a calculated molecular weight of 661.60 and the following structural formula:

Ceftriaxone sodium is a white to yellowish-orange crystalline powder which is readily soluble in water, sparingly soluble in methanol and very slightly soluble in ethanol. The pH of a 1% aqueous solution is approximately 6.7. The color of ceftriaxone solutions ranges from light yellow to amber, depending on the length of storage, concentration and diluent used.

Each Pharmacy Bulk Package is supplied as a dry powder in Pharmacy Bulk Package bottles containing sterile Ceftriaxone Sodium, USP equivalent to 10 grams of ceftriaxone and is intended for intravenous infusion only. Ceftriaxone sodium contains approximately 83 mg (3.6 mEq) of sodium per gram of ceftriaxone activity.

A Pharmacy Bulk Package is a container of a sterile preparation for parenteral use that contains many single doses. The contents are intended for use in a pharmacy admixture program and are restricted to the preparation of admixtures for intravenous infusion. FURTHER DILUTION IS REQUIRED BEFORE USE. (See DOSAGE AND ADMINISTRATION , and DIRECTIONS FOR PROPER USE OF PHARMACY BULK PACKAGE .)

Mutagenesis

Genetic toxicology tests included the Ames test, a micronucleus test and a test for chromosomal aberrations in human lymphocytes cultured in vitro with ceftriaxone. Ceftriaxone showed no potential for mutagenic activity in these studies.

How Supplied (HOW SUPPLIED)

Ceftriaxone for Injection, USP, as sterile powder in Pharmacy Bulk Package bottle containing 10 grams equivalent of ceftriaxone, is available as:

Box of 1 (NDC 0143-9678-01)

Box of 10 (NDC 0143-9678-10)

Microbiology

Mechanism of Action

Ceftriaxone is a bactericidal agent that acts by inhibition of bacterial cell wall synthesis. Ceftriaxone has activity in the presence of some beta-lactamases, both penicillinases and cephalosporinases, of Gram-negative and Gram-positive bacteria.

Mechanism of Resistance

Resistance to ceftriaxone is primarily through hydrolysis by beta-lactamase, alteration of penicillin-binding proteins (PBPs), and decreased permeability.

Interaction with Other Antimicrobials

In an in vitro study antagonistic effects have been observed with the combination of chloramphenicol and ceftriaxone.

Ceftriaxone has been shown to be active against most isolates of the following bacteria, both in vitro and in clinical infections as described in the  INDICATIONS AND USAGE (1)  section.

  • Gram-negative bacteria

    Acinetobacter calcoaceticus

    Enterobacter aerogenes

    Enterobacter cloacae

    Escherichia coli

    Haemophilus influenzae

    Haemophilus parainfluenzae

    Klebsiella oxytoca

    Klebsiella pneumoniae

    Moraxella catarrhalis

    Morganella morganii

    Neisseria gonorrhoeae

    Neisseria meningitidis

    Proteus mirabilis

    Proteus vulgaris

    Pseudomonas aeruginosa

    Serratia marcescens
  • Gram-positive bacteria

    Staphylococcus aureus

    Staphylococcus epidermidis

    Streptococcus pneumoniae

    Streptococcus pyogenes

    Viridans group streptococci
  • Anaerobic bacteria

    Bacteroides fragilis

    Clostridium species

    Peptostreptococcus species

The following in vitro data are available, but their clinical significance is unknown . At least 90 percent of the following microorganisms exhibit an in vitro minimum inhibitory concentration (MIC) less than or equal to the susceptible breakpoint for ceftriaxone. However, the efficacy of ceftriaxone in treating clinical infections due to these microorganisms has not been established in adequate and well- controlled clinical trials.

  • Gram-negative bacteria

    Citrobacter diversus

    Citrobacter freundii

    Providencia species (including Providencia rettgeri)

    Salmonella species (including Salmonella typhi)

    Shigella species
  • Gram-positive bacteria

    Streptococcus agalactiae
  • Anaerobic bacteria

    Porphyromonas (Bacteroides) melaninogenicus

    Prevotella (Bacteroides) bivius
Pancreatitis

Cases of pancreatitis, possibly secondary to biliary obstruction, have been reported in patients treated with Ceftriaxone. Most patients presented with risk factors for biliary stasis and biliary sludge (preceding major therapy, severe illness, total parenteral nutrition). A cofactor role of ceftriaxone-related biliary precipitation cannot be ruled out.

Geriatric Use

Of the total number of subjects in clinical studies of Ceftriaxone, 32% were 60 and over. No overall differences in safety or effectiveness were observed between these subjects and younger subjects, and other reported clinical experience has not identified differences in responses between the elderly and younger patients, but greater sensitivity of some older individuals cannot be ruled out.

The pharmacokinetics of ceftriaxone were only minimally altered in geriatric patients compared to healthy adult subjects and dosage adjustments are not necessary for geriatric patients with ceftriaxone dosages up to 2 grams per day provided there is no severe renal and hepatic impairment (see CLINICAL PHARMACOLOGY ).

Pediatric Use

Safety and effectiveness of Ceftriaxone in neonates, infants and pediatric patients have been established for the dosages described in the  DOSAGE AND ADMINISTRATION  section. In vitro studies have shown that ceftriaxone, like some other cephalosporins, can displace bilirubin from serum albumin. Ceftriaxone should not be administered to hyperbilirubinemic neonates, especially prematures (see CONTRAINDICATIONS ).

Carcinogenesis

Considering the maximum duration of treatment and the class of the compound, carcinogenicity studies with ceftriaxone in animals have not been performed. The maximum duration of animal toxicity studies was 6 months.

Nursing Mothers

Low concentrations of ceftriaxone are excreted in human milk. Caution should be exercised when Ceftriaxone is administered to a nursing woman.

Hemolytic Anemia

An immune mediated hemolytic anemia has been observed in patients receiving cephalosporin class antibacterials including Ceftriaxone. Severe cases of hemolytic anemia, including fatalities, have been reported during treatment in both adults and children. If a patient develops anemia while on ceftriaxone, the diagnosis of a cephalosporin associated anemia should be considered and ceftriaxone stopped until the etiology is determined.

Hypersensitivity

Ceftriaxone is contraindicated in patients with known hypersensitivity to ceftriaxone, any of its excipients or to any other cephalosporin. Patients with previous hypersensitivity reactions to penicillin and other beta lactam antibacterial agents may be at greater risk of hypersensitivity to ceftriaxone (see WARNINGS – Hypersensitivity ).

Adverse Reactions (ADVERSE REACTIONS)

Ceftriaxone is generally well tolerated. In clinical trials, the following adverse reactions, which were considered to be related to Ceftriaxone therapy or of uncertain etiology, were observed:

LOCAL REACTIONS - pain, induration and tenderness was 1% overall. Phlebitis was reported in <1% after IV administration. The incidence of warmth, tightness or induration was 17% (3/17) after IM administration of 350 mg/mL and 5% (1/20) after IM administration of 250 mg/mL.

GENERAL DISORDERS AND ADMINISTRATION SITE CONDITIONS - injection site pain (0.6%).

HYPERSENSITIVITY - rash (1.7%). Less frequently reported (<1%) were pruritus, fever or chills.

INFECTIONS AND INFESTATIONS - genital fungal infection (0.1%).

HEMATOLOGIC - eosinophilia (6%), thrombocytosis (5.1%) and leukopenia (2.1%). Less frequently reported (<1%) were anemia, hemolytic anemia, neutropenia, lymphopenia, thrombocytopenia and prolongation of the prothrombin time.

BLOOD AND LYMPHATIC DISORDERS - granulocytopenia (0.9%), coagulopathy (0.4%).

GASTROINTESTINAL - diarrhea/loose stools (2.7%). Less frequently reported (<1%) were nausea or vomiting, and dysgeusia. The onset of pseudomembranous colitis symptoms may occur during or after antibacterial treatment (see WARNINGS ).

HEPATIC - elevations of aspartate aminotransferase (AST) (3.1%) or alanine aminotransferase (ALT) (3.3%). Less frequently reported (<1%) were elevations of alkaline phosphatase and bilirubin.

RENAL—elevations of the BUN (1.2%). Less frequently reported (<1%) were elevations of creatinine and the presence of casts in the urine.

CENTRAL NERVOUS SYSTEM—headache or dizziness were reported occasionally (<1%).

GENITOURINARY—moniliasis or vaginitis were reported occasionally (<1%).

MISCELLANEOUS—diaphoresis and flushing were reported occasionally (<1%).

INVESTIGATIONS - blood creatinine increased (0.6%)

Other rarely observed adverse reactions (<0.1%) include abdominal pain, agranulocytosis, allergic pneumonitis, anaphylaxis, basophilia, biliary lithiasis, bronchospasm, colitis, dyspepsia, epistaxis, flatulence, gallbladder sludge, glycosuria, hematuria, jaundice, leukocytosis, lymphocytosis, monocytosis, nephrolithiasis, palpitations, a decrease in the prothrombin time, renal precipitations, seizures, and serum sickness.

Animal Pharmacology (ANIMAL PHARMACOLOGY)

Concretions consisting of the precipitated calcium salt of ceftriaxone have been found in the gallbladder bile of dogs and baboons treated with ceftriaxone.

These appeared as a gritty sediment in dogs that received 100 mg/kg/day for 4 weeks. A similar phenomenon has been observed in baboons but only after a protracted dosing period (6 months) at higher dose levels (335 mg/kg/day or more). The likelihood of this occurrence in humans is considered to be low, since ceftriaxone has a greater plasma half-life in humans, the calcium salt of ceftriaxone is more soluble in human gallbladder bile and the calcium content of human gallbladder bile is relatively low.

Pediatric Patients: (PEDIATRIC PATIENTS:)

For the treatment of skin and skin structure infections, the recommended total daily dose is 50 to 75 mg/kg given once a day (or in equally divided doses twice a day). The total daily dose should not exceed 2 grams.

For the treatment of serious miscellaneous infections other than meningitis, the recommended total daily dose is 50 to 75 mg/kg, given in divided doses every 12 hours. The total daily dose should not exceed 2 grams.

In the treatment of meningitis, it is recommended that the initial therapeutic dose be 100 mg/kg (not to exceed 4 grams). Thereafter, a total daily dose of 100 mg/kg/day (not to exceed 4 grams daily) is recommended. The daily dose may be administered once a day (or in equally divided doses every 12 hours). The usual duration of therapy is 7 to 14 days.

Serialization Image (SERIALIZATION IMAGE)

Representative Carton Serialization Image

Pregnancy Category B

Reproductive studies have been performed in mice and rats at doses up to 20 times the usual human dose and have no evidence of embryotoxicity, fetotoxicity or teratogenicity. In primates, no embryotoxicity or teratogenicity was demonstrated at a dose approximately 3 times the human dose.

There are, however, no adequate and well-controlled studies in pregnant women. Because animal reproductive studies are not always predictive of human response, this drug should be used during pregnancy only if clearly needed.

Clinical Pharmacology (CLINICAL PHARMACOLOGY)

Average plasma concentrations of ceftriaxone following a single 30-minute intravenous (IV) infusion of a 0.5, 1 or 2 g dose and intramuscular (IM) administration of a single 0.5 (250 mg/mL or 350 mg/mL concentrations) or 1 g dose in healthy subjects are presented in Table 1.

Table 1. Ceftriaxone Plasma Concentrations After Single Dose Administration
 

 Dose/Route
 Average Plasma Concentrations (mcg/mL)
 0.5 hr  1 hr 2 hr 4 hr 6 hr 8 hr 12 hr  16 hr  24 hr 
 0.5 g IV

IV doses were infused at a constant rate over 30 minutes.

 
 82 59   48 37  29  23  15  10   5
 0.5 g IM

 250 mg/mL
 22  33  38  35  30  26  16  ND  5
 0.5 g IM

 350 mg/mL 
 20  32  38  34  31  24  16  ND  5
 1 g IV
 
 151  111  88  67  53  43  28  18  9
 1 g IM  40  68  76  68  56  44  29  ND  ND
 2 g IV
 
 257  192  154  117  89  74  46  31  15
 ND = Not determined

Ceftriaxone was completely absorbed following IM administration with mean maximum plasma concentrations occurring between 2 and 3 hours post-dose. Multiple IV or IM doses ranging from 0.5 to 2 g at 12- to 24-hour intervals resulted in 15% to 36% accumulation of ceftriaxone above single dose values.

Ceftriaxone concentrations in urine are shown in Table 2.

Table 2 - Urinary Concentrations of Ceftriaxone After Single Dose Administration
 Dose/Route  Average Urinary Concentrations (mcg/mL)
 0-2 hr  2-4 hr 4-8 hr   8-12 hr 12-24 hr   24-48 hr
 0.5 g IV 526  366   142 87  70  15 
 0.5 g IM  115  425  308  127  96  28
 1 g IV  995  855  293  147  132  32
 1 g IM  504  628  418  237  ND  ND
 2 g IV  2692  1976  757  274  198  40

ND = Not determined.

Thirty-three percent to 67% of a ceftriaxone dose was excreted in the urine as unchanged drug and the remainder was secreted in the bile and ultimately found in the feces as microbiologically inactive compounds. After a 1 g IV dose, average concentrations of ceftriaxone, determined from 1 to 3 hours after dosing, were 581 mcg/mL in the gallbladder bile, 788 mcg/mL in the common duct bile, 898 mcg/mL in the cystic duct bile, 78.2 mcg/g in the gallbladder wall and 62.1 mcg/mL in the concurrent plasma.

Over a 0.15 to 3 g dose range in healthy adult subjects, the values of elimination half-life ranged from 5.8 to 8.7 hours; apparent volume of distribution from 5.78 to 13.5 L; plasma clearance from 0.58 to 1.45 L/hour; and renal clearance from 0.32 to 0.73 L/ hour. Ceftriaxone is reversibly bound to human plasma proteins, and the binding decreased from a value of 95% bound at plasma concentrations of < 25 mcg/mL to a value of 85% bound at 300 mcg/mL. Ceftriaxone crosses the blood placenta barrier.

The average values of maximum plasma concentration, elimination half-life, plasma clearance and volume of distribution after a 50 mg/kg IV dose and after a 75 mg/kg IV dose in pediatric patients suffering from bacterial meningitis are shown in Table 3. Ceftriaxone penetrated the inflamed meninges of infants and pediatric patients; CSF concentrations after a 50 mg/kg IV dose and after a 75 mg/kg IV dose are also shown in Table 3.

Table 3 - Average Pharmacokinetic Parameters of Ceftriaxone in Pediatric Patients With Meningitis
  50 mg/kg IV  75 mg/kg IV
 Maximum Plasma Concentrations (mcg/mL)   216  275
 Elimination Half-life (hr)  4.6  4.3
 Plasma Clearance (mL/hr/kg)  49  60
 Volume of Distribution (mL/kg)  338  373
 CSF Concentration - inflamed meninges (mcg/mL)  5.6  6.4
     Range (mcg/mL)  1.3-18.5  1.3-44
     Time after dose (hr)  3.7 (± 1.6)  3.3 (± 1.4)

Compared to that in healthy adult subjects, the pharmacokinetics of ceftriaxone were only minimally altered in elderly subjects and in patients with renal impairment or hepatic dysfunction (Table 4); therefore, dosage adjustments are not necessary for these patients with ceftriaxone dosages up to 2 g per day. Ceftriaxone was not removed to any significant extent from the plasma by hemodialysis. In 6 of 26 dialysis patients, the elimination rate of ceftriaxone was markedly reduced.

Table 4 - Average Pharmacokinetic Parameters of Ceftriaxone in Humans
Subject Group Elimination

Half-Life (hr)
 Plasma

Clearance

(L/hr)
 Volume of

Distribution

(L)
 Healthy Subjects 5.8-8.7  0.58-1.45  5.8-13.5 
 Elderly Subjects (mean age, 70.5 yr)  8.9  0.83  10.7
 Patients With Renal Impairment      
 Hemodialysis Patients (0-5 mL/min)

Creatinine clearance.

 
 14.7  0.65  13.7
 Severe (5-15 mL/min)  15.7  0.56  12.5
 Moderate (16-30 mL/min)  11.4  0.72  11.8
 Mild (31-60 mL/min)  12.4  0.70  13.3
 Patients With Liver Disease  8.8  1.1  13.6

The elimination of ceftriaxone is not altered when ceftriaxone is co-administered with probenecid.

Indications and Usage (INDICATIONS AND USAGE)

Before instituting treatment with Ceftriaxone for Injection, USP, appropriate specimens should be obtained for isolation of the causative organism and for determination of its susceptibility to the drug. Therapy may be instituted prior to obtaining results of susceptibility testing.

To reduce the development of drug-resistant bacteria and maintain the effectiveness of Ceftriaxone for Injection, USP and other antibacterial drugs, Ceftriaxone for Injection, USP should be used only to treat or prevent infections that are proven or strongly suspected to be caused by susceptible bacteria. When culture and susceptibility information are available, they should be considered in selecting or modifying antibacterial therapy. In the absence of such data, local epidemiology and susceptibility patterns may contribute to the empiric selection of therapy. Ceftriaxone for Injection, USP is indicated for the treatment of the following infections when caused by susceptible organisms:

LOWER RESPIRATORY TRACT INFECTIONS caused by Streptococcus pneumoniae, Staphylococcus aureus, Haemophilus influenzae, Haemophilus parainfluenzae, Klebsiella pneumoniae, Escherichia coli, Enterobacter aerogenes, Proteus mirabilis or Serratia marcescens.

ACUTE BACTERIAL OTITIS MEDIA caused by Streptococcus pneumoniae, Haemophilus influenzae (including beta-lactamase producing strains) or Moraxella catarrhalis (including beta-lactamase producing strains).

NOTE: In one study lower clinical cure rates were observed with a single dose of Ceftriaxone compared to 10 days of oral therapy. In a second study comparable cure rates were observed between single dose Ceftriaxone and the comparator. The potentially lower clinical cure rate of ceftriaxone should be balanced against the potential advantages of parenteral therapy (see CLINICAL STUDIES ).

SKIN AND SKIN STRUCTURE INFECTIONS caused by Staphylococcus aureus, Staphylococcus epidermidis, Streptococcus pyogenes, Viridans group streptococci, Escherichia coli, Enterobacter cloacae, Klebsiella oxytoca, Klebsiella pneumoniae, Proteus mirabilis, Morganella morganii*, Pseudomonas aeruginosa, Serratia marcescens, Acinetobacter calcoaceticus, Bacteroides fragilis* or Peptostreptococcus species.

* Efficacy for this organism in this organ system was studied in fewer than ten infections.

URINARY TRACT INFECTIONS (complicated and uncomplicated) caused by Escherichia coli, Proteus mirabilis, Proteus vulgaris, Morganella morganii or Klebsiella pneumoniae.

UNCOMPLICATED GONORRHEA (cervical/urethral and rectal) caused by Neisseria gonorrhoeae, including both penicillinase- and nonpenicillinase-producing strains, and pharyngeal gonorrhea caused by nonpenicillinase-producing strains of Neisseria gonorrhoeae.

PELVIC INFLAMMATORY DISEASE caused by Neisseria gonorrhoeae. Ceftriaxone sodium, like other cephalosporins, has no activity against Chlamydia trachomatis. Therefore, when cephalosporins are used in the treatment of patients with pelvic inflammatory disease and Chlamydia trachomatis is one of the suspected pathogens, appropriate antichlamydial coverage should be added.

BACTERIAL SEPTICEMIA caused by Staphylococcus aureus, Streptococcus pneumoniae, Escherichia coli, Haemophilus influenzae or Klebsiella pneumoniae.

BONE AND JOINT INFECTIONS caused by Staphylococcus aureus, Streptococcus pneumoniae, Escherichia coli, Proteus mirabilis, Klebsiella pneumoniae or Enterobacter species.

INTRA-ABDOMINAL INFECTIONS caused by Escherichia coli, Klebsiella pneumoniae, Bacteroides fragilis, Clostridium species (Note: most strains of Clostridium difficile are resistant) or Peptostreptococcus species.

MENINGITIS caused by Haemophilus influenzae, Neisseria meningitidis or Streptococcus pneumoniae. Ceftriaxone has also been used successfully in a limited number of cases of meningitis and shunt infection caused by Staphylococcus epidermidis* and Escherichia coli*.

* Efficacy for this organism in this organ system was studied in fewer than ten infections.

SURGICAL PROPHYLAXIS: The preoperative administration of a single 1 g dose of Ceftriaxone may reduce the incidence of postoperative infections in patients undergoing surgical procedures classified as contaminated or potentially contaminated (e.g., vaginal or abdominal hysterectomy or cholecystectomy for chronic calculous cholecystitis in high-risk patients, such as those over 70 years of age, with acute cholecystitis not requiring therapeutic antimicrobials, obstructive jaundice or common duct bile stones) and in surgical patients for whom infection at the operative site would present serious risk (e.g., during coronary artery bypass surgery). Although Ceftriaxone has been shown to have been as effective as cefazolin in the prevention of infection following coronary artery bypass surgery, no placebo-controlled trials have been conducted to evaluate any cephalosporin antibiotic in the prevention of infection following coronary artery bypass surgery. When administered prior to surgical procedures for which it is indicated, a single 1 g dose of Ceftriaxone provides protection from most infections due to susceptible organisms throughout the course of the procedure.

Nonteratogenic Effects

In rats, in the Segment I (fertility and general reproduction) and Segment III (perinatal and postnatal) studies with intravenously administered ceftriaxone, no adverse effects were noted on various reproductive parameters during gestation and lactation, including postnatal growth, functional behavior and reproductive ability of the offspring, at doses of 586 mg/kg/day or less.

Clostridium Difficile (Clostridium difficile -)

Clostridium difficile associated diarrhea (CDAD) has been reported with use of nearly all antibacterial agents, including Ceftriaxone, and may range in severity from mild diarrhea to fatal colitis. Treatment with antibacterial agents alters the normal flora of the colon leading to overgrowth of C. difficile.

C. difficile produces toxins A and B which contribute to the development of CDAD. Hypertoxin producing strains of C. difficile cause increased morbidity and mortality, as these infections can be refractory to antimicrobial therapy and may require colectomy. CDAD must be considered in all patients who present with diarrhea following antibiotic use. Careful medical history is necessary since CDAD has been reported to occur over two months after the administration of antibacterial agents.

If CDAD is suspected or confirmed, ongoing antibiotic use not directed against C. difficile may need to be discontinued. Appropriate fluid and electrolyte management, protein supplementation, antibiotic treatment of C. difficile, and surgical evaluation should be instituted as clinically indicated.

Impairment of Fertility

Ceftriaxone produced no impairment of fertility when given intravenously to rats at daily doses up to 586 mg/kg/day, approximately 20 times the recommended clinical dose of 2 g/day.

Principal Display Panel (PRINCIPAL DISPLAY PANEL)

NDC 0143-9678-01

CEFTRIAXONE

FOR INJECTION, USP

10 grams

per Pharmacy Bulk Package

PHARMACY BULK PACKAGE

NOT FOR DIRECT INFUSION

NOT TO BE DISPENSED AS A UNIT


FOR INTRAVENOUS USE

RECONSTITUTED STOCK SOLUTION MUST BE

TRANSFERRED AND FURTHER DILUTED FOR I.V. INFUSION

Rx ONLY

NDC 0143-9678-01

One Pharmacy Bulk Package

CEFTRIAXONE

FOR INJECTION, USP

10 grams per

Parmacy Bulk Package

PHARMACY BULK PACKAGE

NOT FOR DIRECT INFUSION

RECONSTITUTED STOCK SOLUTION MUST BE

TRANSFERRED AND FURTHER DILUTED FOR I.V. INFUSION

NOT TO BE DISPENSED AS A UNIT

FOR INTRAVENOUS USE

Rx ONLY

Information for Patients
  • Patients should be counseled that antibacterial drugs including Ceftriaxone should only be used to treat bacterial infections. They do not treat viral infections (e.g., the common cold).
  • When Ceftriaxone is prescribed to treat a bacterial infection, patients should be told that although it is common to feel better early in the course of therapy, the medication should be taken exactly as directed. Skipping doses or not completing the full course of therapy may (1) decrease the effectiveness of the immediate treatment and (2) increase the likelihood that bacteria will develop resistance and will not be treatable by Ceftriaxone or other antibacterial drugs in the future.
  • Diarrhea is a common problem caused by antibiotics which usually ends when the antibiotic is discontinued. Sometimes after starting treatment with antibiotics, patients can develop watery and bloody stools (with or without stomach cramps and fever) even as late as two or more months after having taken the last dose of the antibiotic. If this occurs, patients should contact their physician as soon as possible.
Interaction With Calcium (Interaction with Calcium)

Two in vitro studies, one using adult plasma and the other neonatal plasma from umbilical cord blood have been carried out to assess interaction of ceftriaxone and calcium. Ceftriaxone concentrations up to 1 mM (in excess of concentrations achieved in vivo following administration of 2 grams ceftriaxone infused over 30 minutes) were used in combination with calcium concentrations up to 12 mM (48 mg/dL). Recovery of ceftriaxone from plasma was reduced with calcium concentrations of 6 mM (24 mg/dL) or higher in adult plasma or 4 mM (16 mg/dL) or higher in neonatal plasma. This may be reflective of ceftriaxone-calcium precipitation.

Postmarketing Experience

In addition to the adverse reactions reported during clinical trials, the following adverse experiences have been reported during clinical practice in patients treated with Ceftriaxone. Data are generally insufficient to allow an estimate of incidence or to establish causation. A small number of cases of fatal outcomes in which a crystalline material was observed in the lungs and kidneys at autopsy have been reported in neonates receiving Ceftriaxone and calcium-containing fluids. In some of these cases, the same intravenous infusion line was used for both Ceftriaxone and calcium-containing fluids and in some a precipitate was observed in the intravenous infusion line.

At least one fatality has been reported in a neonate in whom Ceftriaxone and calcium-containing fluids were administered at different time points via different intravenous lines; no crystalline material was observed at autopsy in this neonate. There have been no similar reports in patients other than neonates.

GASTROINTESTINAL – pancreatitis,stomatitis and glossitis.

GENITOURINARY – oliguria, ureteric obstruction, post-renal acute renal failure.

DERMATOLOGIC – exanthema, allergic dermatitis, urticaria, edema; acute generalized exanthematous pustulosis (AGEP) and isolated cases of severe cutaneous adverse reactions (erythema multiforme, Stevens-Johnson syndrome or Lyell’s syndrome/toxic epidermal necrolysis) have been reported.

Dosage and Administration (DOSAGE AND ADMINISTRATION)

Ceftriaxone may be administered intravenously or intramuscularly. However, the intent of this Pharmacy Bulk Package is for the preparation of solutions for intravenous infusion only. Ceftriaxone should be administered intravenously by infusion over a period of 30 minutes.

Do not use diluents containing calcium, such as Ringers solution or Hartmanns solution, to reconstitute Ceftriaxone vials or to further dilute a reconstituted vial for IV administration because a precipitate can form. Precipitation of ceftriaxone-calcium can also occur when Ceftriaxone is mixed with calcium-containing solutions in the same IV administration line. Ceftriaxone must not be administered simultaneously with calcium-containing IV solutions, including continuous calcium-containing infusions such as parenteral nutrition via a Y-site. However, in patients other than neonates, Ceftriaxone and calcium-containing solutions may be administered sequentially of one another if the infusion lines are thoroughly flushed between infusions with a compatible fluid (see WARNINGS ).

There have been no reports of an interaction between ceftriaxone and oral calcium-containing products or interaction between intramuscular ceftriaxone and calcium-containing products (IV or oral).

Effect On Prothrombin Time (Effect on Prothrombin Time)

Alterations in prothrombin times have occurred in patients treated with Ceftriaxone. Monitor prothrombin time during Ceftriaxone treatment in patients with impaired vitamin K synthesis or low vitamin K stores (e.g., chronic hepatic disease and malnutrition). Vitamin K administration (10 mg weekly) may be necessary if the prothrombin time is prolonged before or during therapy.

Concomitant use of ceftriaxone with Vitamin K antagonists may increase the risk of bleeding. Coagulation parameters should be monitored frequently, and the dose of the anticoagulant adjusted accordingly, both during and after treatment with ceftriaxone (see ADVERSE REACTIONS ).

Hypersensitivity Reactions

Before therapy with Ceftriaxone is instituted, careful inquiry should be made to determine whether the patient has had previous hypersensitivity reactions to cephalosporins, penicillins and other beta-lactam agents or other drugs. This product should be given cautiously to penicillin and other beta-lactam agent-sensitive patients. Antibacterial drugs should be administered with caution to any patient who has demonstrated some form of allergy, particularly to drugs. Serious acute hypersensitivity reactions may require the use of subcutaneous epinephrine and other emergency measures.

As with all beta-lactam antibacterial agents, serious and occasionally fatal hypersensitivity reactions (i.e., anaphylaxis) have been reported. In case of severe hypersensitivity reactions, treatment with ceftriaxone must be discontinued immediately and adequate emergency measures must be initiated.

Compatibility and Stability (COMPATIBILITY AND STABILITY)

Do not use diluents containing calcium, such as Ringer’s solution or Hartmann’s solution, to reconstitute Ceftriaxone vials or to further dilute a reconstituted vial for IV administration. Particulate formation can result.

Ceftriaxone has been shown to be compatible with Flagyl® IV (metronidazole hydrochloride). The concentration should not exceed 5 to 7.5 mg/mL metronidazole hydrochloride with ceftriaxone 10 mg/mL as an admixture. The admixture is stable for 24 hours at room temperature only in 0.9% sodium chloride injection or 5% dextrose in water (D5W). No compatibility studies have been conducted with the Flagyl® IV RTU® (metronidazole) formulation or using other diluents. Metronidazole at concentrations greater than 8 mg/ mL will precipitate. Do not refrigerate the admixture as precipitation will occur.

Vancomycin, amsacrine, aminoglycosides, and fluconazole are incompatible with ceftriaxone in admixtures. When any of these drugs are to be administered concomitantly with ceftriaxone by intermittent intravenous infusion, it is recommended that they be given sequentially, with thorough flushing of the intravenous lines (with one of the compatible fluids) between the administrations.

Ceftriaxone solutions should not be physically mixed with or piggybacked into solutions containing other antimicrobial drugs or into diluent solutions other than those listed above, due to possible incompatibility (see WARNINGS ).

Ceftriaxone sterile powder should be stored at 20° to 25°C (68° to 77°F) [see USP Controlled Room Temperature] and protected from light. After reconstitution, protection from normal light is not necessary. The color of solutions ranges from light yellow to amber, depending on the length of storage, concentration and diluent used.

Ceftriaxone intravenous solutions, at concentrations of 10, 20 and 40 mg/mL, remain stable (loss of potency less than 10%) for the following time periods stored in glass or PVC containers:

  Storage 
Diluent   Room Temp.

(25ºC)
Refrigerated

(4ºC)
 
 Sterile Water  2 days  10 days
 0.9% Sodium Chloride Solution  2 days  10 days
 5% Dextrose Solution  2 days  10 days
 10% Dextrose Solution  2 days  10 days
 5% Dextrose + 0.9% Sodium Chloride Solution
Data available for 10 to 40 mg/mL concentrations in this diluent in PVC containers only.
 
 2 days  Incompatible
 5% Dextrose + 0.45% Sodium Chloride Solution  2 days  Incompatible

The following intravenous ceftriaxone solutions are stable at room temperature (25°C) for 24 hours, at concentrations between 10 mg/ mL and 40 mg/mL: Sodium Lactate (PVC container), 10% Invert Sugar (glass container), 5% Sodium Bicarbonate (glass container), Freamine III (glass container), Normosol-M in 5% Dextrose (glass and PVC containers), Ionosol-B in 5% Dextrose (glass container), 5% Mannitol (glass container), 10% Mannitol (glass container).

After the indicated stability time periods, unused portions of solutions should be discarded.

NOTE: Parenteral drug products should be inspected visually for particulate matter before administration.

Ceftriaxone reconstituted with 5% Dextrose or 0.9% Sodium Chloride solution at concentrations between 10 mg/mL and 40 mg/mL, and then stored in frozen state (-20°C) in PVC or polyolefin containers, remains stable for 26 weeks.

Frozen solutions of Ceftriaxone should be thawed at room temperature before use. After thawing, unused portions should be discarded. DO NOT REFREEZE.

Gallbladder Pseudolithiasis

Ceftriaxone-calcium precipitates in the gallbladder have been observed in patients receiving Ceftriaxone. These precipitates appear on sonography as an echo without acoustical shadowing suggesting sludge or as an echo with acoustical shadowing which may be misinterpreted as gallstones. The probability of such precipitates appears to be greatest in pediatric patients. Patients may be asymptomatic or may develop symptoms of gallbladder disease. The condition appears to be reversible upon discontinuation of ceftriaxone sodium and institution of conservative management. Discontinue ceftriaxone sodium in patients who develop signs and symptoms suggestive of gallbladder disease and/or the sonographic findings described above.

Susceptibility Test Methods

For specific susceptibility test interpretive criteria and associated test methods and quality control standards recognized by FDA for this drug, please see: https://www.fda.gov/STIC.

Influence On Diagnostic Tests: (Influence on Diagnostic Tests:)

In patients treated with Ceftriaxone, the Coombs’ test may become positive. Ceftriaxone, like other antibacterial drugs, may result in positive test results for galactosemia.

Nonenzymatic methods for the glucose determination in urine may give false-positive results. For this reason, urine-glucose determination during therapy with Ceftriaxone should be done enzymatically.

The presence of ceftriaxone may falsely lower estimated blood glucose values obtained with some blood glucose monitoring systems. Please refer to instructions for use for each system. Alternative testing methods should be used if necessary.

Storage Prior to Reconstitution

Store at 20° to 25°C (68° to 77°F) [see USP Controlled Room Temperature]. Protect from light. 

Cephalosporin Class Adverse Reactions

In addition to the adverse reactions listed above which have been observed in patients treated with ceftriaxone, the following adverse reactions and altered laboratory test results have been reported for cephalosporin class antibiotics:

Adverse Reactions: Allergic reactions, drug fever, serum sickness-like reaction, renal dysfunction, toxic nephropathy, reversible hyperactivity, hypertonia, hepatic dysfunction including cholestasis, aplastic anemia, hemorrhage, and superinfection.

Altered Laboratory Tests: Positive direct Coombs’ test, false-positive test for urinary glucose, and elevated LDH (see PRECAUTIONS ).

Several cephalosporins have been implicated in triggering seizures, particularly in patients with renal impairment when the dosage was not reduced (see DOSAGE AND ADMINISTRATION ). If seizures associated with drug therapy occur, the drug should be discontinued. Anticonvulsant therapy can be given if clinically indicated.

To report SUSPECTED ADVERSE REACTIONS, contact West-Ward Pharmaceutical Corp. at 1-877-233-2001 or FDA at 1-800-FDA-1088 or www.fda.gov/medwatch

Development of Drug Resistant Bacteria (Development of Drug-resistant Bacteria)

Prescribing Ceftriaxone in the absence of a proven or strongly suspected bacterial infection or a prophylactic indication is unlikely to provide benefit to the patient and increases the risk of the development of drug-resistant bacteria. Prolonged use of Ceftriaxone may result in overgrowth of nonsusceptible organisms. Careful observation of the patient is essential. If superinfection occurs during therapy, appropriate measures should be taken.

Pharmacokinetics in the Middle Ear Fluid

In one study, total ceftriaxone concentrations (bound and unbound) were measured in middle ear fluid obtained during the insertion of tympanostomy tubes in 42 pediatric patients with otitis media. Sampling times were from 1 to 50 hours after a single intramuscular injection of 50 mg/kg of ceftriaxone. Mean (±SD) ceftriaxone levels in the middle ear reached a peak of 35 (±12) mcg/mL at 24 hours, and remained at 19 (±7) mcg/mL at 48 hours. Based on middle ear fluid ceftriaxone concentrations in the 23 to 25 hour and the 46 to 50 hour sampling time intervals, a half-life of 25 hours was calculated. Ceftriaxone is highly bound to plasma proteins. The extent of binding to proteins in the middle ear fluid is unknown.

Patients With Renal Or Hepatic Impairment (Patients with Renal or Hepatic Impairment)

Ceftriaxone is excreted via both biliary and renal excretion (see CLINICAL PHARMACOLOGY ). Therefore, patients with renal failure normally require no adjustment in dosage when usual doses of Ceftriaxone are administered.

Dosage adjustments should not be necessary in patients with hepatic dysfunction; however, in patients with both hepatic dysfunction and significant renal disease, caution should be exercised and the Ceftriaxone dosage should not exceed 2 g daily.

Ceftriaxone is not removed by peritoneal- or hemodialysis. In patients undergoing dialysis no additional supplementary dosing is required following the dialysis. In patients with both severe renal and hepatic dysfunction, close clinical monitoring for safety and efficacy is advised.

Interaction With Calcium Containing Products (Interaction with Calcium-Containing Products)

Do not use diluents containing calcium, such as Ringer’s solution or Hartmann’s solution, to reconstitute Ceftriaxone vials or to further dilute a reconstituted vial for IV administration because a precipitate can form. Precipitation of ceftriaxone-calcium can also occur when Ceftriaxone is mixed with calcium-containing solutions in the same IV administration line. Ceftriaxone must not be administered simultaneously with calcium-containing IV solutions, including continuous calcium-containing infusions such as parenteral nutrition via a Y-site. However, in patients other than neonates, Ceftriaxone and calcium-containing solutions may be administered sequentially of one another if the infusion lines are thoroughly flushed between infusions with a compatible fluid. In vitro studies using adult and neonatal plasma from umbilical cord blood demonstrated that neonates have an increased risk of precipitation of ceftriaxone-calcium (see CLINICAL PHARMACOLOGY CONTRAINDICATIONS and DOSAGE AND ADMINISTRATION ).

Urolithiasis and Post Renal Acute Renal Failure (Urolithiasis and Post-Renal Acute Renal Failure)

Ceftriaxone-calcium precipitates in the urinary tract have been observed in patients receiving Ceftriaxone and may be detected as sonographic abnormalities. The probability of such precipitates appears to be greatest in pediatric patients. Patients may be asymptomatic or may develop symptoms of urolithiasis, and ureteral obstruction and post-renal acute renal failure. The condition appears to be reversible upon discontinuation of ceftriaxone sodium and institution of appropriate management. Ensure adequate hydration in patients receiving Ceftriaxone. Discontinue Ceftriaxone in patients who develop signs and symptoms suggestive of urolithiasis, oliguria or renal failure and/or the sonographic findings described above.

Directions for Proper Use of Pharmacy Bulk Package (DIRECTIONS FOR PROPER USE OF PHARMACY BULK PACKAGE)

PHARMACY BULK PACKAGE

NOT FOR DIRECT INFUSION 

RECONSTITUTED STOCK SOLUTION MUST BE TRANSFERRED AND FURTHER DILUTED FOR I.V. INFUSION

The 10 gram vial should be reconstituted with 95 mL of an appropriate IV diluent in a suitable work area such as a laminar flow hood. The resulting solution will contain approximately 100 mg/mL of ceftriaxone.

The container closure may be penetrated only one time, utilizing a suitable sterile transfer device or dispensing set which allows measured distribution of the contents. (A sterile substance which must be reconstituted prior to use may require a separate closure entry.) Use of this product is restricted to a suitable work area, such as a laminar flow hood.

The withdrawal of container contents should be accomplished without delay. However, should this not be possible, a maximum time of 4 hours from initial closure entry is permitted to complete fluid transfer operations. If reconstitution is necessary, this time limit should begin with the introduction of solvent or diluent into the Pharmacy Bulk Package.

Unused portions of solution held longer than the recommended time periods should be discarded.

Reconstituted Bulk Solutions Should Not Be Used For Direct Infusion.

Transfer individual dose to appropriate intravenous solutions as soon as possible following reconstitution of the bulk package. The stability of the solution that has been transferred into a container varies according to diluent, concentration and temperature (see Compatibility and Stability ). Concentrations between 10 mg/mL and 40 mg/mL are recommended; however, lower concentrations may be used if desired.

Neonates Requiring Calcium Containing Iv Solutions (Neonates Requiring Calcium Containing IV Solutions)

Ceftriaxone is contraindicated in neonates (≤ 28 days) if they require (or are expected to require) treatment with calcium-containing IV solutions, including continuous calcium-containing infusions such as parenteral nutrition because of the risk of precipitation of ceftriaxone-calcium (see CLINICAL PHARMACOLOGY WARNINGS and DOSAGE AND ADMINISTRATION ).

Cases of fatal outcomes in which a crystalline material was observed in the lungs and kidneys at autopsy have been reported in neonates receiving Ceftriaxone and calcium-containing fluids.

In some of these cases, the same intravenous infusion line was used for both Ceftriaxone and calcium-containing fluids and in some a precipitate was observed in the intravenous infusion line. There have been no similar reports in patients other than neonates.

Clinical Trials in Pediatric Patients With Acute Bacterial Otitis Media:

In two adequate and well-controlled US clinical trials a single IM dose of ceftriaxone was compared with a 10 day course of oral antibiotic in pediatric patients between the ages of 3 months and 6 years. The clinical cure rates and statistical outcome appear in the table below:

Table 7. Clinical Efficacy in Pediatric Patients with Acute Bacterial Otitis Media
 Clinical Efficacy in Evaluable Population
 Study Day Cetriaxone Single Dose   Comparator 10 Days of Oral Therapy 95% Confidence Interval  Statistical Outcome 
 Study 1 - US    amoxicillin/clavulanate   Ceftriaxone is lower than control at study day 14 and 28.
 14  74% (220/296)  82% (247/302)  (-14.4%, -0.5%)
 28  58% (167/288)  67% (200/297)  (-17.5%, -1.2%)
 Study 2 - US5    TMP-SMZ   Ceftriaxone is equivalent to control at study day 14 and 28.
 14  54% (113/210)  60% (124/206)  (-16.4%, 3.6%)
 28  35% (73/206)  45% (93/205)  (-19.9%, 0.0%)

An open-label bacteriologic study of ceftriaxone without a comparator enrolled 108 pediatric patients, 79 of whom had positive baseline cultures for one or more of the common pathogens. The results of this study are tabulated as follows:

Week 2 and 4 Bacteriologic Eradication Rates in the Per Protocol Analysis in the Roche Bacteriologic Study by Pathogen

Table 8. Bacteriologic Eradication Rates by Pathogen
 Organism Study Day

13-15 
   Study Day

30+2
 
 No. Analyzed No. Erad.

(%) 
 No. Analyzed  No. Erad.

(%)
Streptococcus pneumoniae    38  32 (84)  35  25 (71)
Haemophilus influenzae    33  28 (85)  31  22 (71)
Moraxella catarrhalis    15  12 (80)  15 9 (60) 



Advanced Ingredient Data


Raw Label Data

All Sections (JSON)