These Highlights Do Not Include All The Information Needed To Use Morphine Sulfate Injection Safely And Effectively. See Full Prescribing Information For Morphine Sulfate Injection.

These Highlights Do Not Include All The Information Needed To Use Morphine Sulfate Injection Safely And Effectively. See Full Prescribing Information For Morphine Sulfate Injection.
SPL v7
SPL
SPL Set ID 1f53de80-efc8-4930-b3e3-fba0d026af05
Routes
INTRAVENOUS INTRAMUSCULAR
Published
Effective Date 2025-03-31
Document Type 34391-3 HUMAN PRESCRIPTION DRUG LABEL

Drug Facts

Composition & Product

Active Ingredients
Morphine (2 mg)
Inactive Ingredients
Sodium Chloride Trisodium Citrate Dihydrate Citric Acid Monohydrate Edetate Disodium Calcium Chloride Water

Identifiers & Packaging

Marketing Status
NDA Active Since 2013-10-30 Until 2025-03-12

Description

Boxed Warning                                                                                                                                                         12/2023 Indications and Usage ( 1 )                                                                                                                                         12/2023 Dosage and Administration ( 2.1 , 2.2 , 2.3 )                                                                                                               12/2023 Warnings and Precautions ( 5.6 )                                                                                                                               12/2023

Indications and Usage

Morphine Sulfate Injection is an opioid agonist indicated for the management of pain severe enough to require an opioid analgesic and for which alternative treatments are inadequate. ( 1 ) Limitations of Use : ( 1 ) Because of the risks of addiction, abuse, and misuse with opioids, which can occur at any dosage or duration ( 5.1 ), reserve Morphine Sulfate Injection for use in patients for whom alternative treatment options (e.g., non-opioid analgesics or opioid combination products): • Have not been tolerated or are not expected to be tolerated • Have not provided adequate analgesia or are not expected to provide adequate analgesia Morphine Sulfate Injection should not be used for an extended period of time unless the pain remains severe enough to require an opioid analgesic and for which alternative treatment options continue to be inadequate.

Dosage and Administration

• Morphine Sulfate Injection should be prescribed only by healthcare professionals who are knowledgeable about the use of opioids and how to mitigate the associated risks. ( 2.1 ) • Use the lowest effective dosage for the shortest duration of time consistent with individual patient treatment goals. Reserve titration to higher doses of Morphine Sulfate Injection for patients in whom lower doses are insufficiently effective and in whom the expected benefits of using a higher dose opioid clearly outweigh the substantial risks. ( 2.1 , 5 ) • Many acute pain conditions (e.g., the pain that occurs with a number of surgical procedures or acute musculoskeletal injuries) require no more than a few days of an opioid analgesic. Clinical guidelines on opioid prescribing for some acute pain conditions are available. ( 2.1 ) • Initiate the dosing regimen for each patient individually, taking into account the patient’s underlying cause and severity of pain, prior analgesic treatment and response, and risk factors for addiction, abuse, and misuse. ( 2.1 , 5.1 ) • Respiratory depression can occur at any time during opioid therapy, especially when initiating the following dosage increases with Morphine Sulfate Injection. Consider this risk when selecting an initial dose and when making dose adjustments. ( 2.1 , 5.2 ) • Direct Intravenous Injection : Initiate treatment with 0.1 mg to 0.2 mg per kg every 4 hours as needed to manage pain. ( 2.2 ) • Intramuscular Injection : Initiate treatment with 10 mg, every 4 hours as needed to manage pain (based on a 70 kg adult). ( 2.2 ) • Do not abruptly discontinue Morphine Sulfate Injection in a physically-dependent patient. ( 2.4 )

Warnings and Precautions

• Cardiovascular Instability : High doses are excitatory. Have naloxone injection and resuscitative equipment immediately available. ( 5.5 ) • Opioid-Induced Hyperalgesia and Allodynia : Opioid-Induced Hyperalgesia (OIH) occurs when an opioid analgesic paradoxically causes an increase in pain, or an increase in sensitivity to pain. If OIH is suspected, carefully consider appropriately decreasing the dose of the current opioid analgesic or opioid rotation. ( 5.6 ) • Life-Threatening Respiratory Depression in Patients with Chronic Pulmonary Disease or in Elderly, Cachectic, or Debilitated Patients : Monitor closely, particularly during initiation and titration. ( 5.7 ) • Adrenal Insufficiency : If diagnosed, treat with physiologic replacement of corticosteroids, and wean patient off of the opioid. ( 5.9 ) • Severe Hypotension : Monitor during dosage initiation and titration. Avoid use of Morphine Sulfate Injection in patients with circulatory shock. ( 5.10 ) • Risks of Use in Patients with Increased Intracranial Pressure, Brain Tumors, Head Injury, or Impaired Consciousnes s: Monitor for sedation and respiratory depression. Avoid use of Morphine Sulfate Injection in patients with impaired consciousness or coma. ( 5.11 )

Contraindications

Morphine Sulfate Injection is contraindicated in patients with: • Significant respiratory depression [see Warnings and Precautions ( 5.2 )] • Acute or severe bronchial asthma in an unmonitored setting or in the absence of resuscitative equipment [see Warnings and Precautions ( 5.7 )] • Concurrent use of monoamine oxidase inhibitors (MAOIs) or use of MAOIs within the last 14 days [see Warnings and Precautions ( 5.8 )]. • Known or suspected gastrointestinal obstruction, including paralytic ileus [see Warnings and Precautions ( 5.12 )] • Hypersensitivity to morphine (e.g., anaphylaxis) [see Adverse Reactions ( 6 )]

Adverse Reactions

The following serious adverse reactions are described, or described in greater detail, in other sections: • Addiction, Abuse, and Misuse [see Warnings and Precautions ( 5.1 )] • Life-Threatening Respiratory Depression [see Warnings and Precautions ( 5.2 )] • Interactions with Benzodiazepines or Other CNS Depressants [see Warnings and Precautions ( 5.3 )] • Neonatal Opioid Withdrawal Syndrome [see Warnings and Precautions ( 5.4 )] • Cardiovascular Instability [see Warnings and Precautions ( 5.5 )] • Opioid-Induced Hyperalgesia and Allodynia [see Warnings and Precautions ( 5.6 )] • Adrenal Insufficiency [see Warnings and Precautions ( 5.9 )] • Severe Hypotension [see Warnings and Precautions ( 5.10 )] • Gastrointestinal Adverse Reactions [see Warnings and Precautions ( 5.12 )] • Seizures [see Warnings and Precautions ( 5.13 )] • Withdrawal [see Warnings and Precautions ( 5.14 )] The following adverse reactions associated with the use of morphine were identified in clinical studies or postmarketing reports. Because some of these reactions were reported voluntarily from a population of uncertain size, it is not always possible to reliably estimate their frequency or establish a causal relationship to drug exposure. Serious adverse reactions associated with Morphine Sulfate Injection included respiratory depression, apnea, and to a lesser degree, circulatory depression, respiratory arrest, shock, and cardiac arrest. Rarely, anaphylactoid reactions have been reported when morphine or other phenanthrene alkaloids of opium are administered intravenously. The most frequently observed adverse reactions included sedation, lightheadedness, dizziness, nausea, vomiting, constipation, and diaphoresis. Other possible adverse reactions include: Central Nervous System : Euphoria, dysphoria, weakness, headache, agitation, tremor, uncoordinated muscle movements, visual disturbances, transient hallucinations and disorientation. Gastrointestinal : Constipation, biliary tract spasm. Cardiovascular : Tachycardia, bradycardia, palpitation, faintness, syncope, and orthostatic hypotension. Genitourinary : Oliguria and urinary retention; an antidiuretic effect has been reported. Allergic : Pruritus, urticaria, and skin rashes. Anaphylactoid reactions have been reported following intravenous administration. Other : Opioid-induced histamine release may be responsible for the flushing of the face, diaphoresis, and pruritus often seen with these drugs. Wheals and urticaria at the site of injection are probably related to histamine release. Local tissue irritation, pain and induration have been reported following repeated subcutaneous injection. Morphine may alter temperature regulation in susceptible individuals and will depress the cough reflex. Androgen deficiency : Cases of androgen deficiency have occurred with use of opioids for an extended period of time [see Clinical Pharmacology ( 12.2 )] . Hyperalgesia and Allodynia: Cases of hyperalgesia and allodynia have been reported with opioid therapy of any duration [see Warnings and Precautions ( 5.6 )] Anaphylaxis : Anaphylaxis has been reported with ingredients contained in Morphine Sulfate Injection. Serotonin syndrome : Cases of serotonin syndrome, a potentially life-threatening condition, have been reported during concomitant use of opioids with serotonergic drugs. Adrenal insufficiency : Cases of adrenal insufficiency have been reported with opioid use, more often following greater than one month of use. Hypoglycemia : Cases of hypoglycemia have been reported in patients taking opioids. Most reports were in patients with at least one predisposing risk factor (e.g., diabetes).

Drug Interactions

Table 1 includes clinically significant drug interactions with Morphine Sulfate Injection. Table 1: Clinically Significant Drug Interactions with Morphine Sulfate Injection Benzodiazepines and Other Central Nervous System (CNS) Depressants Clinical Impact: Due to additive pharmacologic effect, the concomitant use of benzodiazepines or other CNS depressants, including alcohol, can increase the risk of hypotension, respiratory depression, profound sedation, coma, and death [see Warnings and Precautions ( 5.3 )] . Intervention: Reserve concomitant prescribing of these drugs for use in patients for whom alternative treatment options are inadequate. Limit dosages and durations to the minimum required. Monitor patients closely for signs of respiratory depression and sedation [see Warnings and Precautions ( 5.3 )] . Examples: Benzodiazepines and other sedatives/hypnotics, anxiolytics, tranquilizers, muscle relaxants, general anesthetics, antipsychotics, other opioids, alcohol. Serotonergic Drugs Clinical Impact: The concomitant use of opioids with other drugs that affect the serotonergic neurotransmitter system has resulted in serotonin syndrome. Intervention: If concomitant use is warranted, carefully observe the patient, particularly during treatment initiation and dose adjustment. Discontinue Morphine Sulfate Injection if serotonin syndrome is suspected. Examples: Selective serotonin reuptake inhibitors (SSRIs), serotonin and norepinephrine reuptake inhibitors (SNRIs), tricyclic antidepressants (TCAs), triptans, 5-HT3 receptor antagonists, drugs that affect the serotonin neurotransmitter system (e.g., mirtazapine, trazodone, tramadol), certain muscle relaxants (i.e., cyclobenzaprine, metaxalone), monoamine oxidase (MAO) inhibitors (those intended to treat psychiatric disorders and also others, such as linezolid and intravenous methylene blue). Monoamine Oxidase Inhibitors (MAOIs) Clinical Impact: MAOI interactions with opioids may manifest as serotonin syndrome or opioid toxicity (e.g., respiratory depression, coma) [see Warnings and Precautions ( 5.8 )]. Intervention: Do not use Morphine Sulfate Injection in patients taking MAOIs or within 14 days of stopping such treatment. If urgent use of an opioid is necessary, use test doses and frequent titration of small doses of other opioids (such as oxycodone, oxymorphone, hydrocodone, or buprenorphine) to treat pain while closely monitoring blood pressure and signs and symptoms of CNS and respiratory depression. Examples: phenelzine, tranylcypromine, linezolid Mixed Agonist/Antagonist and Partial Agonist Opioid Analgesics Clinical Impact: May reduce the analgesic effect of Morphine Sulfate Injection and/or precipitate withdrawal symptoms. Intervention: Avoid concomitant use. Examples: butorphanol, nalbuphine, pentazocine, buprenorphine Muscle Relaxants Clinical Impact: Morphine may enhance the neuromuscular blocking action of skeletal muscle relaxants and produce an increased degree of respiratory depression. Intervention: Monitor patients for signs of respiratory depression that may be greater than otherwise expected and decrease the dosage of Morphine Sulfate Injection and/or the muscle relaxant as necessary. Cimetidine Clinical Impact: The concomitant administration of morphine sulfate and cimetidine has been reported to precipitate apnea, confusion, and muscle twitching in an isolated report. Intervention: Monitor patients for increased respiratory and CNS depression when receiving cimetidine concomitantly with Morphine Sulfate Injection. Diuretics Clinical Impact: Opioids can reduce the efficacy of diuretics by inducing the release of antidiuretic hormone. Intervention: Monitor patients for signs of diminished diuresis and/or effects on blood pressure and increase the dosage of the diuretic as needed. Anticholinergic Drugs Clinical Impact: The concomitant use of anticholinergic drugs may increase risk of urinary retention and/or severe constipation, which may lead to paralytic ileus. Intervention: Monitor patients for signs of urinary retention or reduced gastric motility when Morphine Sulfate Injection is used concomitantly with anticholinergic drugs. Oral P2Y 12 Inhibitors Clinical Impact: The co-administration of oral P2Y 12 inhibitors and intravenous morphine sulfate can decrease the absorption and peak concentration of oral P2Y 12 inhibitors and delay the onset of antiplatelet effect. Intervention: Consider the use of a parenteral antiplatelet agent in the setting of acute coronary syndrome requiring co-administration of intravenous morphine sulfate. Examples: clopidogrel, prasugrel, ticagrelor

Storage and Handling

Morphine Sulfate Injection, USP is available for intravenous (IV) or intramuscular (IM) use as: Product Code Unit of Sale Strength Each 764411 NDC 76045-004-11 Unit of 10 2 mg/mL NDC 76045-004-01 1 mL single-dose prefilled syringe 764511 NDC 76045-005-11 Unit of 10 4 mg/mL NDC 76045-005-01 1 mL single-dose prefilled syringe Store at 20°C to 25°C (68°F to 77°F) [See USP Controlled Room Temperature.] PROTECT FROM LIGHT. DO NOT FREEZE.

How Supplied

Morphine Sulfate Injection, USP is available for intravenous (IV) or intramuscular (IM) use as: Product Code Unit of Sale Strength Each 764411 NDC 76045-004-11 Unit of 10 2 mg/mL NDC 76045-004-01 1 mL single-dose prefilled syringe 764511 NDC 76045-005-11 Unit of 10 4 mg/mL NDC 76045-005-01 1 mL single-dose prefilled syringe Store at 20°C to 25°C (68°F to 77°F) [See USP Controlled Room Temperature.] PROTECT FROM LIGHT. DO NOT FREEZE.


Medication Information

Warnings and Precautions

• Cardiovascular Instability : High doses are excitatory. Have naloxone injection and resuscitative equipment immediately available. ( 5.5 ) • Opioid-Induced Hyperalgesia and Allodynia : Opioid-Induced Hyperalgesia (OIH) occurs when an opioid analgesic paradoxically causes an increase in pain, or an increase in sensitivity to pain. If OIH is suspected, carefully consider appropriately decreasing the dose of the current opioid analgesic or opioid rotation. ( 5.6 ) • Life-Threatening Respiratory Depression in Patients with Chronic Pulmonary Disease or in Elderly, Cachectic, or Debilitated Patients : Monitor closely, particularly during initiation and titration. ( 5.7 ) • Adrenal Insufficiency : If diagnosed, treat with physiologic replacement of corticosteroids, and wean patient off of the opioid. ( 5.9 ) • Severe Hypotension : Monitor during dosage initiation and titration. Avoid use of Morphine Sulfate Injection in patients with circulatory shock. ( 5.10 ) • Risks of Use in Patients with Increased Intracranial Pressure, Brain Tumors, Head Injury, or Impaired Consciousnes s: Monitor for sedation and respiratory depression. Avoid use of Morphine Sulfate Injection in patients with impaired consciousness or coma. ( 5.11 )

Indications and Usage

Morphine Sulfate Injection is an opioid agonist indicated for the management of pain severe enough to require an opioid analgesic and for which alternative treatments are inadequate. ( 1 ) Limitations of Use : ( 1 ) Because of the risks of addiction, abuse, and misuse with opioids, which can occur at any dosage or duration ( 5.1 ), reserve Morphine Sulfate Injection for use in patients for whom alternative treatment options (e.g., non-opioid analgesics or opioid combination products): • Have not been tolerated or are not expected to be tolerated • Have not provided adequate analgesia or are not expected to provide adequate analgesia Morphine Sulfate Injection should not be used for an extended period of time unless the pain remains severe enough to require an opioid analgesic and for which alternative treatment options continue to be inadequate.

Dosage and Administration

• Morphine Sulfate Injection should be prescribed only by healthcare professionals who are knowledgeable about the use of opioids and how to mitigate the associated risks. ( 2.1 ) • Use the lowest effective dosage for the shortest duration of time consistent with individual patient treatment goals. Reserve titration to higher doses of Morphine Sulfate Injection for patients in whom lower doses are insufficiently effective and in whom the expected benefits of using a higher dose opioid clearly outweigh the substantial risks. ( 2.1 , 5 ) • Many acute pain conditions (e.g., the pain that occurs with a number of surgical procedures or acute musculoskeletal injuries) require no more than a few days of an opioid analgesic. Clinical guidelines on opioid prescribing for some acute pain conditions are available. ( 2.1 ) • Initiate the dosing regimen for each patient individually, taking into account the patient’s underlying cause and severity of pain, prior analgesic treatment and response, and risk factors for addiction, abuse, and misuse. ( 2.1 , 5.1 ) • Respiratory depression can occur at any time during opioid therapy, especially when initiating the following dosage increases with Morphine Sulfate Injection. Consider this risk when selecting an initial dose and when making dose adjustments. ( 2.1 , 5.2 ) • Direct Intravenous Injection : Initiate treatment with 0.1 mg to 0.2 mg per kg every 4 hours as needed to manage pain. ( 2.2 ) • Intramuscular Injection : Initiate treatment with 10 mg, every 4 hours as needed to manage pain (based on a 70 kg adult). ( 2.2 ) • Do not abruptly discontinue Morphine Sulfate Injection in a physically-dependent patient. ( 2.4 )

Contraindications

Morphine Sulfate Injection is contraindicated in patients with: • Significant respiratory depression [see Warnings and Precautions ( 5.2 )] • Acute or severe bronchial asthma in an unmonitored setting or in the absence of resuscitative equipment [see Warnings and Precautions ( 5.7 )] • Concurrent use of monoamine oxidase inhibitors (MAOIs) or use of MAOIs within the last 14 days [see Warnings and Precautions ( 5.8 )]. • Known or suspected gastrointestinal obstruction, including paralytic ileus [see Warnings and Precautions ( 5.12 )] • Hypersensitivity to morphine (e.g., anaphylaxis) [see Adverse Reactions ( 6 )]

Adverse Reactions

The following serious adverse reactions are described, or described in greater detail, in other sections: • Addiction, Abuse, and Misuse [see Warnings and Precautions ( 5.1 )] • Life-Threatening Respiratory Depression [see Warnings and Precautions ( 5.2 )] • Interactions with Benzodiazepines or Other CNS Depressants [see Warnings and Precautions ( 5.3 )] • Neonatal Opioid Withdrawal Syndrome [see Warnings and Precautions ( 5.4 )] • Cardiovascular Instability [see Warnings and Precautions ( 5.5 )] • Opioid-Induced Hyperalgesia and Allodynia [see Warnings and Precautions ( 5.6 )] • Adrenal Insufficiency [see Warnings and Precautions ( 5.9 )] • Severe Hypotension [see Warnings and Precautions ( 5.10 )] • Gastrointestinal Adverse Reactions [see Warnings and Precautions ( 5.12 )] • Seizures [see Warnings and Precautions ( 5.13 )] • Withdrawal [see Warnings and Precautions ( 5.14 )] The following adverse reactions associated with the use of morphine were identified in clinical studies or postmarketing reports. Because some of these reactions were reported voluntarily from a population of uncertain size, it is not always possible to reliably estimate their frequency or establish a causal relationship to drug exposure. Serious adverse reactions associated with Morphine Sulfate Injection included respiratory depression, apnea, and to a lesser degree, circulatory depression, respiratory arrest, shock, and cardiac arrest. Rarely, anaphylactoid reactions have been reported when morphine or other phenanthrene alkaloids of opium are administered intravenously. The most frequently observed adverse reactions included sedation, lightheadedness, dizziness, nausea, vomiting, constipation, and diaphoresis. Other possible adverse reactions include: Central Nervous System : Euphoria, dysphoria, weakness, headache, agitation, tremor, uncoordinated muscle movements, visual disturbances, transient hallucinations and disorientation. Gastrointestinal : Constipation, biliary tract spasm. Cardiovascular : Tachycardia, bradycardia, palpitation, faintness, syncope, and orthostatic hypotension. Genitourinary : Oliguria and urinary retention; an antidiuretic effect has been reported. Allergic : Pruritus, urticaria, and skin rashes. Anaphylactoid reactions have been reported following intravenous administration. Other : Opioid-induced histamine release may be responsible for the flushing of the face, diaphoresis, and pruritus often seen with these drugs. Wheals and urticaria at the site of injection are probably related to histamine release. Local tissue irritation, pain and induration have been reported following repeated subcutaneous injection. Morphine may alter temperature regulation in susceptible individuals and will depress the cough reflex. Androgen deficiency : Cases of androgen deficiency have occurred with use of opioids for an extended period of time [see Clinical Pharmacology ( 12.2 )] . Hyperalgesia and Allodynia: Cases of hyperalgesia and allodynia have been reported with opioid therapy of any duration [see Warnings and Precautions ( 5.6 )] Anaphylaxis : Anaphylaxis has been reported with ingredients contained in Morphine Sulfate Injection. Serotonin syndrome : Cases of serotonin syndrome, a potentially life-threatening condition, have been reported during concomitant use of opioids with serotonergic drugs. Adrenal insufficiency : Cases of adrenal insufficiency have been reported with opioid use, more often following greater than one month of use. Hypoglycemia : Cases of hypoglycemia have been reported in patients taking opioids. Most reports were in patients with at least one predisposing risk factor (e.g., diabetes).

Drug Interactions

Table 1 includes clinically significant drug interactions with Morphine Sulfate Injection. Table 1: Clinically Significant Drug Interactions with Morphine Sulfate Injection Benzodiazepines and Other Central Nervous System (CNS) Depressants Clinical Impact: Due to additive pharmacologic effect, the concomitant use of benzodiazepines or other CNS depressants, including alcohol, can increase the risk of hypotension, respiratory depression, profound sedation, coma, and death [see Warnings and Precautions ( 5.3 )] . Intervention: Reserve concomitant prescribing of these drugs for use in patients for whom alternative treatment options are inadequate. Limit dosages and durations to the minimum required. Monitor patients closely for signs of respiratory depression and sedation [see Warnings and Precautions ( 5.3 )] . Examples: Benzodiazepines and other sedatives/hypnotics, anxiolytics, tranquilizers, muscle relaxants, general anesthetics, antipsychotics, other opioids, alcohol. Serotonergic Drugs Clinical Impact: The concomitant use of opioids with other drugs that affect the serotonergic neurotransmitter system has resulted in serotonin syndrome. Intervention: If concomitant use is warranted, carefully observe the patient, particularly during treatment initiation and dose adjustment. Discontinue Morphine Sulfate Injection if serotonin syndrome is suspected. Examples: Selective serotonin reuptake inhibitors (SSRIs), serotonin and norepinephrine reuptake inhibitors (SNRIs), tricyclic antidepressants (TCAs), triptans, 5-HT3 receptor antagonists, drugs that affect the serotonin neurotransmitter system (e.g., mirtazapine, trazodone, tramadol), certain muscle relaxants (i.e., cyclobenzaprine, metaxalone), monoamine oxidase (MAO) inhibitors (those intended to treat psychiatric disorders and also others, such as linezolid and intravenous methylene blue). Monoamine Oxidase Inhibitors (MAOIs) Clinical Impact: MAOI interactions with opioids may manifest as serotonin syndrome or opioid toxicity (e.g., respiratory depression, coma) [see Warnings and Precautions ( 5.8 )]. Intervention: Do not use Morphine Sulfate Injection in patients taking MAOIs or within 14 days of stopping such treatment. If urgent use of an opioid is necessary, use test doses and frequent titration of small doses of other opioids (such as oxycodone, oxymorphone, hydrocodone, or buprenorphine) to treat pain while closely monitoring blood pressure and signs and symptoms of CNS and respiratory depression. Examples: phenelzine, tranylcypromine, linezolid Mixed Agonist/Antagonist and Partial Agonist Opioid Analgesics Clinical Impact: May reduce the analgesic effect of Morphine Sulfate Injection and/or precipitate withdrawal symptoms. Intervention: Avoid concomitant use. Examples: butorphanol, nalbuphine, pentazocine, buprenorphine Muscle Relaxants Clinical Impact: Morphine may enhance the neuromuscular blocking action of skeletal muscle relaxants and produce an increased degree of respiratory depression. Intervention: Monitor patients for signs of respiratory depression that may be greater than otherwise expected and decrease the dosage of Morphine Sulfate Injection and/or the muscle relaxant as necessary. Cimetidine Clinical Impact: The concomitant administration of morphine sulfate and cimetidine has been reported to precipitate apnea, confusion, and muscle twitching in an isolated report. Intervention: Monitor patients for increased respiratory and CNS depression when receiving cimetidine concomitantly with Morphine Sulfate Injection. Diuretics Clinical Impact: Opioids can reduce the efficacy of diuretics by inducing the release of antidiuretic hormone. Intervention: Monitor patients for signs of diminished diuresis and/or effects on blood pressure and increase the dosage of the diuretic as needed. Anticholinergic Drugs Clinical Impact: The concomitant use of anticholinergic drugs may increase risk of urinary retention and/or severe constipation, which may lead to paralytic ileus. Intervention: Monitor patients for signs of urinary retention or reduced gastric motility when Morphine Sulfate Injection is used concomitantly with anticholinergic drugs. Oral P2Y 12 Inhibitors Clinical Impact: The co-administration of oral P2Y 12 inhibitors and intravenous morphine sulfate can decrease the absorption and peak concentration of oral P2Y 12 inhibitors and delay the onset of antiplatelet effect. Intervention: Consider the use of a parenteral antiplatelet agent in the setting of acute coronary syndrome requiring co-administration of intravenous morphine sulfate. Examples: clopidogrel, prasugrel, ticagrelor

Storage and Handling

Morphine Sulfate Injection, USP is available for intravenous (IV) or intramuscular (IM) use as: Product Code Unit of Sale Strength Each 764411 NDC 76045-004-11 Unit of 10 2 mg/mL NDC 76045-004-01 1 mL single-dose prefilled syringe 764511 NDC 76045-005-11 Unit of 10 4 mg/mL NDC 76045-005-01 1 mL single-dose prefilled syringe Store at 20°C to 25°C (68°F to 77°F) [See USP Controlled Room Temperature.] PROTECT FROM LIGHT. DO NOT FREEZE.

How Supplied

Morphine Sulfate Injection, USP is available for intravenous (IV) or intramuscular (IM) use as: Product Code Unit of Sale Strength Each 764411 NDC 76045-004-11 Unit of 10 2 mg/mL NDC 76045-004-01 1 mL single-dose prefilled syringe 764511 NDC 76045-005-11 Unit of 10 4 mg/mL NDC 76045-005-01 1 mL single-dose prefilled syringe Store at 20°C to 25°C (68°F to 77°F) [See USP Controlled Room Temperature.] PROTECT FROM LIGHT. DO NOT FREEZE.

Description

Boxed Warning                                                                                                                                                         12/2023 Indications and Usage ( 1 )                                                                                                                                         12/2023 Dosage and Administration ( 2.1 , 2.2 , 2.3 )                                                                                                               12/2023 Warnings and Precautions ( 5.6 )                                                                                                                               12/2023

Data

Human Data

The results from a population-based prospective cohort, including 70 women exposed to morphine during the first trimester of pregnancy and 448 women exposed to morphine at any time during pregnancy, indicate no increased risk for congenital malformations. However, these studies cannot definitely establish the absence of any risk because of methodological limitations, including small sample size and non-randomized study design.

Section 42229-5

Addiction, Abuse, and Misuse

Because the use of Morphine Sulfate Injection exposes patients and other users to the risks of opioid addiction, abuse, and misuse, which can lead to overdose and death, assess each patient's risk prior to prescribing and reassess all patients regularly for the development of these behaviors and conditions [see Warnings and Precautions (5.1)].

Section 43683-2

Boxed Warning                                                                                                                                                         12/2023

Indications and Usage (1)                                                                                                                                         12/2023

Dosage and Administration (2.1, 2.2, 2.3)                                                                                                               12/2023

Warnings and Precautions (5.6)                                                                                                                               12/2023

Section 59845-8

INSTRUCTIONS FOR USE

Figure 1: Outer Packaging (MicroVault) and Prefilled Syringe

NOTES:

  • -
    Do not introduce any other fluid into the syringe at any time.
  • -
    Do not dilute for IV push.
  • -
    Do not re-sterilize the syringe.
  • -
    Do not use this product on a sterile field.
  • -
    This product is for single dose only.
9.2 Abuse

Morphine Sulfate Injection contains morphine, a substance with a high potential for misuse and abuse, which can lead to the development of substance use disorder, including addiction [see Warnings and Precautions (5.1)].

Misuse is the intentional use, for therapeutic purposes, of a drug by an individual in a way other than prescribed by a healthcare provider or for whom it was not prescribed.

Abuse is the intentional, non-therapeutic use of a drug, even once, for its desirable psychological or physiological effects.

Drug addiction is a cluster of behavioral, cognitive, and physiological phenomena that may include a strong desire to take the drug, difficulties in controlling drug use (e.g., continuing drug use despite harmful consequences, giving a higher priority to drug use than other activities and obligations), and possible tolerance or physical dependence.

Misuse and abuse of Morphine Sulfate Injection increases risk of overdose, which may lead to central nervous system and respiratory depression, hypotension, seizures, and death. The risk is increased with concurrent abuse of Morphine Sulfate Injection with alcohol and/or other CNS depressants. Abuse of and addiction to opioids in some individuals may not be accompanied by concurrent tolerance and symptoms of physical dependence. In addition, abuse of opioids can occur in the absence of addiction.

All patients treated with opioids require careful and frequent reevaluation for signs of misuse, abuse, and addiction, because use of opioid analgesic products carries the risk of addiction even under appropriate medical use. Patients at high risk of Morphine Sulfate Injection abuse include those with a history of prolonged use of any opioid, including products containing morphine, those with a history of drug or alcohol abuse, or those who use Morphine Sulfate Injection in combination with other abused drugs.

“Drug-seeking” behavior is very common in persons with substance use disorders. Drug-seeking tactics include emergency calls or visits near the end of office hours, refusal to undergo appropriate examination, testing, or referral, repeated “loss” of prescriptions, tampering with prescriptions, and reluctance to provide prior medical records or contact information for other treating healthcare provider(s). “Doctor shopping” (visiting multiple prescribers to obtain additional prescriptions) is common among people who abuse drugs and people with substance use disorder. Preoccupation with achieving adequate pain relief can be appropriate behavior in a patient with inadequate pain control.

Morphine Sulfate Injection, like other opioids, can be diverted for non-medical use into illicit channels of distribution. Careful record-keeping of prescribing information, including quantity, frequency, and renewal requests, as required by state and federal law, is strongly advised.

Proper assessment of the patient, proper prescribing practices, periodic reevaluation of therapy, and proper dispensing and storage are appropriate measures that help to limit abuse of opioid drugs.

Risk Specific to Abuse of Morphine Sulfate Injection

Abuse of Morphine Sulfate Injection poses a risk of overdose and death. The risk is increased with concurrent use of Morphine Sulfate Injection with alcohol and/or other CNS depressants.

Parenteral drug abuse is commonly associated with transmission of infectious diseases such as hepatitis and HIV.

Animal Data

Formal reproductive and developmental toxicology studies for morphine have not been conducted. Exposure margins for the following published study reports are based on human daily dose of 60 mg morphine using a body surface area comparison (HDD).

Neural tube defects (exencephaly and cranioschisis) were noted following subcutaneous administration of morphine sulfate (35-322 mg/kg) on Gestation Day 8 to pregnant hamsters (4.7 to 43.5 times the HDD). A no adverse effect level was not defined in this study and the findings cannot be clearly attributed to maternal toxicity. Neural tube defects (exencephaly), axial skeletal fusions, and cryptorchidism were reported following a single subcutaneous (SC) injection of morphine sulfate to pregnant mice (100-500 mg/kg) on Gestation Day 8 or 9 at 200 mg/kg or greater (16 times the HDD) and fetal resorption at 400 mg/kg or higher (32 times the HDD). No adverse effects were noted following 100 mg/kg morphine in this model (8 times the HDD). In one study, following continuous subcutaneous infusion of doses greater than or equal to 2.72 mg/kg to mice (0.2 times the HDD), exencephaly, hydronephrosis, intestinal hemorrhage, split supraoccipital, malformed sternebrae, and malformed xiphoid were noted. The effects were reduced with increasing daily dose; possibly due to rapid induction of tolerance under these infusion conditions. The clinical significance of this report is not clear.

Decreased fetal weights were observed in pregnant rats treated with 20 mg/kg/day morphine sulfate (3.2 times the HDD) from Gestation Day 7 to 9. There was no evidence of malformations despite maternal toxicity (10% mortality). In a second rat study, decreased fetal weight and increased incidences of growth retardation were noted at 35 mg/kg/day (5.7 times the HDD) and there was a reduced number of fetuses at 70 mg/kg/day (11.4 times the HDD) when pregnant rats were treated with 10, 35, or 70 mg/kg/day morphine sulfate via continuous infusion from Gestation Day 5 to 20. There was no evidence of fetal malformations or maternal toxicity.

An increased incidence of abortion was noted in a study in which pregnant rabbits were treated with 2.5 (0.8 times the HDD) to 10 mg/kg morphine sulfate via subcutaneous injection from Gestation Day 6 to 10. In a second study, decreased fetal body weights were reported following treatment of pregnant rabbits with increasing doses of morphine (10-50 mg/kg/day) during the pre-mating period and 50 mg/kg/day (16 times the HDD) throughout the gestation period. No overt malformations were reported in either publication; although only limited endpoints were evaluated.

In published studies in rats, exposure to morphine during gestation and/or lactation periods is associated with: decreased pup viability at 12.5 mg/kg/day or greater (2 times the HDD); decreased pup body weights at 15 mg/kg/day or greater (2.4 times the HDD); decreased litter size, decreased absolute brain and cerebellar weights, cyanosis, and hypothermia at 20 mg/kg/day (3.2 times the HDD); alteration of behavioral responses (play, social-interaction) at 1 mg/kg/day or greater (0.2 times the HDD); alteration of maternal behaviors (e.g., decreased nursing and pup retrievals) in mice at 1 mg/kg or higher (0.08 times the HDD) and rats at 1.5 mg/kg/day or higher (0.2 times the HDD); and a host of behavioral abnormalities in the offspring of rats, including altered responsiveness to opioids at 4 mg/kg/day (0.7 times the HDD) or greater.

Fetal and/or postnatal exposure to morphine in mice and rats has been shown to result in morphological changes in fetal and neonatal brain and neuronal cell loss, alteration of a number of neurotransmitter and neuromodulator systems, including opioid and non-opioid systems, and impairment in various learning and memory tests that appear to persist into adulthood. These studies were conducted with morphine treatment usually in the range of 4 to 20 mg/kg/day (0.7 to 3.2 times the HDD).

Additionally, delayed sexual maturation and decreased sexual behaviors in female offspring at 20 mg/kg/day (3.2 times the HDD), and decreased plasma and testicular levels of luteinizing hormone and testosterone, decreased testes weights, seminiferous tubule shrinkage, germinal cell aplasia, and decreased spermatogenesis in male offspring were also observed at 20 mg/kg/day (3.2 times the HDD). Decreased litter size and viability were observed in the offspring of male rats that were intraperitoneally administered morphine sulfate for 1 day prior to mating at 25 mg/kg/day (4.1 times the HDD) and mated to untreated females. Decreased viability and body weight and/or movement deficits in both first and second generation offspring were reported when male mice were treated for 5 days with escalating doses of 120 to 240 mg/kg/day morphine sulfate (9.7 to 19.5 times the HDD) or when female mice treated with escalating doses of 60 to 240 mg/kg/day (4.9 to 19.5 times the HDD) followed by a 5-day treatment-free recovery period prior to mating. Similar multigenerational findings were also seen in female rats pre-gestationally treated with escalating doses of 10 to 22 mg/kg/day morphine (1.6 to 3.6 times the HDD).

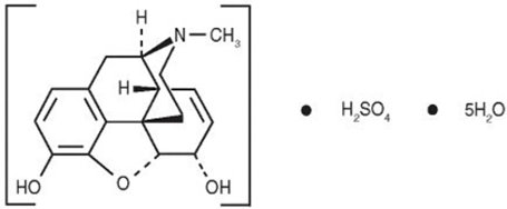
11 Description

Morphine sulfate is an opioid agonist. Morphine Sulfate Injection, USP is available as a sterile, nonpyrogenic solution of morphine sulfate, free of antioxidants and preservatives in single-dose prefilled syringes for intravenous and intramuscular administration.

The chemical name for Morphine sulfate is 7,8-Didehydro-4,5-epoxy-17-methyl-(5α,6α)-morphinan-3,6 α-diol sulfate (2: 1) (salt), pentahydrate. The molecular weight is 758.83. Its molecular formula is (C17H19NO3)2 • H2SO4 • 5H2O and it has the following chemical structure:

Morphine sulfate is a fine white powder. When exposed to air it gradually loses water of hydration, and darkens on prolonged exposure to light. It is soluble in water and ethanol at room temperature.

Each 1 mL single-dose pre-filled syringe contains 2 mg (equivalent to 1.75 mg Morphine) or 4 mg (equivalent to 3.50 mg Morphine) of Morphine Sulfate, USP in 1 mL total volume of water for injection solution with inactive ingredients. The inactive ingredients in Morphine Sulfate Injection, USP include:

  • For the 2 mg/mL and 4 mg/mL products: 8.4 mg sodium chloride, 2.3 mg of sodium citrate, 0.74 mg of citric acid, 0.111 mg of edetate disodium, 0.053 mg of calcium chloride and water for injection.
9.3 Dependence

Both tolerance and physical dependence can develop during use of opioid therapy.

Tolerance is a physiological state characterized by a reduced response to a drug after repeated administration (i.e., a higher dose of a drug is required to produce the same effect that was once obtained at a lower dose).

Physical dependence is a state that develops as a result of a physiological adaptation in response to repeated drug use, manifested by withdrawal signs and symptoms after abrupt discontinuation or a significant dose reduction of a drug.

Withdrawal may be precipitated through the administration of drugs with opioid antagonist activity (e.g., naloxone), mixed agonist/antagonist analgesics (e.g., pentazocine, butorphanol, nalbuphine), or partial agonists (e.g., buprenorphine). Physical dependence may not occur to a clinically significant degree until after several days to weeks of continued use.

Morphine Sulfate Injection should not be abruptly discontinued in a physically-dependent patient [see Dosage and Administration (2.4)]. If Morphine Sulfate Injection is abruptly discontinued in a physically-dependent patient, a withdrawal syndrome may occur, typically characterized by restlessness, lacrimation, rhinorrhea, perspiration, chills, myalgia, and mydriasis. Other signs and symptoms also may develop, including irritability, anxiety, backache, joint pain, weakness, abdominal cramps, insomnia, nausea, anorexia, vomiting, diarrhea, or increased blood pressure, respiratory rate, or heart rate.

Infants born to mothers physically dependent on opioids will also be physically dependent and may exhibit respiratory difficulties and withdrawal signs [see Use in Specific Populations (8.1)].

5.14 Withdrawal

Avoid the use of mixed agonist/antagonist (e.g., pentazocine, nalbuphine, and butorphanol) or partial agonist (e.g., buprenorphine) analgesics in patients who are receiving a full opioid agonist analgesic, including Morphine Sulfate Injection. In these patients, mixed agonist/antagonist and partial agonist analgesics may reduce the analgesic effect and/or precipitate withdrawal symptoms [see Drug Interactions (7)].

When discontinuing Morphine Sulfate Injection in a physically-dependent patient, gradually taper the dosage [see Dosage and Administration (2.4)]. Do not abruptly discontinue Morphine Sulfate Injection in these patients [see Drug Abuse and Dependence (9.3)].

8.4 Pediatric Use

The safety and effectiveness of Morphine Sulfate Injection in pediatric patients below the age of 18 have not been established.

8.5 Geriatric Use

The pharmacodynamic effects of morphine in the elderly are more variable than in the younger population. Older patients will vary widely in the effective initial dose, rate of development of tolerance and the frequency and magnitude of associated adverse effects as the dose is increased.

Elderly patients (aged 65 years or older) may have increased sensitivity to morphine. In general, use caution when selecting a dosage for an elderly patient, usually starting at the low end of the dosing range, reflecting the greater frequency of decreased hepatic, renal, or cardiac function and of concomitant disease or other drug therapy.

Respiratory depression is the chief risk for elderly patients treated with opioids, and has occurred after large initial doses were administered to patients who were not opioid-tolerant or when opioids were co-administered with other agents that depress respiration. Titrate the dosage of Morphine Sulfate Injection slowly in geriatric patients and monitor for signs of central nervous system and respiratory depression [see Warnings and Precautions (5.7)].

Morphine is known to be substantially excreted by the kidney, and the risk of adverse reactions to this drug may be greater in patients with impaired renal function. Because elderly patients are more likely to have decreased renal function, care should be taken in dose selection, and it may be useful to monitor renal function.

4 Contraindications

Morphine Sulfate Injection is contraindicated in patients with:

  • Significant respiratory depression [see Warnings and Precautions (5.2)]
  • Acute or severe bronchial asthma in an unmonitored setting or in the absence of resuscitative equipment [see Warnings and Precautions (5.7)]
  • Concurrent use of monoamine oxidase inhibitors (MAOIs) or use of MAOIs within the last 14 days [see Warnings and Precautions (5.8)].
  • Known or suspected gastrointestinal obstruction, including paralytic ileus [see Warnings and Precautions (5.12)]
  • Hypersensitivity to morphine (e.g., anaphylaxis) [see Adverse Reactions (6)]
6 Adverse Reactions

The following serious adverse reactions are described, or described in greater detail, in other sections:

  • Addiction, Abuse, and Misuse [see Warnings and Precautions (5.1)]
  • Life-Threatening Respiratory Depression [see Warnings and Precautions (5.2)]
  • Interactions with Benzodiazepines or Other CNS Depressants [see Warnings and Precautions (5.3)]
  • Neonatal Opioid Withdrawal Syndrome [see Warnings and Precautions (5.4)]
  • Cardiovascular Instability [see Warnings and Precautions (5.5)]
  • Opioid-Induced Hyperalgesia and Allodynia [see Warnings and Precautions (5.6)]
  • Adrenal Insufficiency [see Warnings and Precautions (5.9)]
  • Severe Hypotension [see Warnings and Precautions (5.10)]
  • Gastrointestinal Adverse Reactions [see Warnings and Precautions (5.12)]
  • Seizures [see Warnings and Precautions (5.13)]
  • Withdrawal [see Warnings and Precautions (5.14)]

The following adverse reactions associated with the use of morphine were identified in clinical studies or postmarketing reports. Because some of these reactions were reported voluntarily from a population of uncertain size, it is not always possible to reliably estimate their frequency or establish a causal relationship to drug exposure.

Serious adverse reactions associated with Morphine Sulfate Injection included respiratory depression, apnea, and to a lesser degree, circulatory depression, respiratory arrest, shock, and cardiac arrest. Rarely, anaphylactoid reactions have been reported when morphine or other phenanthrene alkaloids of opium are administered intravenously.

The most frequently observed adverse reactions included sedation, lightheadedness, dizziness, nausea, vomiting, constipation, and diaphoresis. Other possible adverse reactions include:

Central Nervous System: Euphoria, dysphoria, weakness, headache, agitation, tremor, uncoordinated muscle movements, visual disturbances, transient hallucinations and disorientation.

Gastrointestinal: Constipation, biliary tract spasm.

Cardiovascular: Tachycardia, bradycardia, palpitation, faintness, syncope, and orthostatic hypotension.

Genitourinary: Oliguria and urinary retention; an antidiuretic effect has been reported.

Allergic: Pruritus, urticaria, and skin rashes. Anaphylactoid reactions have been reported following intravenous administration.

Other: Opioid-induced histamine release may be responsible for the flushing of the face, diaphoresis, and pruritus often seen with these drugs. Wheals and urticaria at the site of injection are probably related to histamine release. Local tissue irritation, pain and induration have been reported following repeated subcutaneous injection. Morphine may alter temperature regulation in susceptible individuals and will depress the cough reflex.

Androgen deficiency: Cases of androgen deficiency have occurred with use of opioids for an extended period of time [see Clinical Pharmacology (12.2)].

Hyperalgesia and Allodynia: Cases of hyperalgesia and allodynia have been reported with opioid therapy of any duration [see Warnings and Precautions (5.6)]

Anaphylaxis: Anaphylaxis has been reported with ingredients contained in Morphine Sulfate Injection.

Serotonin syndrome: Cases of serotonin syndrome, a potentially life-threatening condition, have been reported during concomitant use of opioids with serotonergic drugs.

Adrenal insufficiency: Cases of adrenal insufficiency have been reported with opioid use, more often following greater than one month of use.

Hypoglycemia: Cases of hypoglycemia have been reported in patients taking opioids. Most reports were in patients with at least one predisposing risk factor (e.g., diabetes).

7 Drug Interactions

Table 1 includes clinically significant drug interactions with Morphine Sulfate Injection.

Table 1: Clinically Significant Drug Interactions with Morphine Sulfate Injection

Benzodiazepines and Other Central Nervous System (CNS) Depressants

Clinical Impact:

Due to additive pharmacologic effect, the concomitant use of benzodiazepines or other CNS depressants, including alcohol, can increase the risk of hypotension, respiratory depression, profound sedation, coma, and death [see Warnings and Precautions (5.3)].

Intervention:

Reserve concomitant prescribing of these drugs for use in patients for whom alternative treatment options are inadequate. Limit dosages and durations to the minimum required. Monitor patients closely for signs of respiratory depression and sedation [see Warnings and Precautions (5.3)].

Examples:

Benzodiazepines and other sedatives/hypnotics, anxiolytics, tranquilizers, muscle relaxants, general anesthetics, antipsychotics, other opioids, alcohol.

Serotonergic Drugs

Clinical Impact:

The concomitant use of opioids with other drugs that affect the serotonergic neurotransmitter system has resulted in serotonin syndrome.

Intervention:

If concomitant use is warranted, carefully observe the patient, particularly during treatment initiation and dose adjustment.

Discontinue Morphine Sulfate Injection if serotonin syndrome is suspected.

Examples:

Selective serotonin reuptake inhibitors (SSRIs), serotonin and norepinephrine reuptake inhibitors (SNRIs), tricyclic antidepressants (TCAs), triptans, 5-HT3 receptor antagonists, drugs that affect the serotonin neurotransmitter system (e.g., mirtazapine, trazodone, tramadol), certain muscle relaxants (i.e., cyclobenzaprine, metaxalone), monoamine oxidase (MAO) inhibitors (those intended to treat psychiatric disorders and also others, such as linezolid and intravenous methylene blue).

Monoamine Oxidase Inhibitors (MAOIs)

Clinical Impact:

MAOI interactions with opioids may manifest as serotonin syndrome or

opioid toxicity (e.g., respiratory depression, coma) [see Warnings and Precautions (5.8)].

Intervention:

Do not use Morphine Sulfate Injection in patients taking MAOIs or within 14 days of stopping such treatment.

If urgent use of an opioid is necessary, use test doses and frequent titration of small doses of other opioids (such as oxycodone, oxymorphone, hydrocodone, or buprenorphine) to treat pain while closely monitoring blood pressure and signs and symptoms of CNS and respiratory depression.

Examples:

phenelzine, tranylcypromine, linezolid

Mixed Agonist/Antagonist and Partial Agonist Opioid Analgesics

Clinical Impact:

May reduce the analgesic effect of Morphine Sulfate Injection and/or precipitate withdrawal symptoms.

Intervention:

Avoid concomitant use.

Examples:

butorphanol, nalbuphine, pentazocine, buprenorphine

Muscle Relaxants

Clinical Impact:

Morphine may enhance the neuromuscular blocking action of skeletal muscle relaxants and produce an increased degree of respiratory depression.

Intervention:

Monitor patients for signs of respiratory depression that may be greater than otherwise expected and decrease the dosage of Morphine Sulfate Injection and/or the muscle relaxant as necessary.

Cimetidine

Clinical Impact:

The concomitant administration of morphine sulfate and cimetidine has been reported to precipitate apnea, confusion, and muscle twitching in an isolated report.

Intervention:

Monitor patients for increased respiratory and CNS depression when receiving cimetidine concomitantly with Morphine Sulfate Injection.

Diuretics

Clinical Impact:

Opioids can reduce the efficacy of diuretics by inducing the release of antidiuretic hormone.

Intervention:

Monitor patients for signs of diminished diuresis and/or effects on blood pressure and increase the dosage of the diuretic as needed.

Anticholinergic Drugs

Clinical Impact:

The concomitant use of anticholinergic drugs may increase risk of urinary retention and/or severe constipation, which may lead to paralytic ileus.

Intervention:

Monitor patients for signs of urinary retention or reduced gastric motility when Morphine Sulfate Injection is used concomitantly with anticholinergic drugs.

Oral P2Y12 Inhibitors

Clinical Impact:

The co-administration of oral P2Y12 inhibitors and intravenous morphine sulfate can decrease the absorption and peak concentration of oral P2Y12 inhibitors and delay the onset of antiplatelet effect.

Intervention:

Consider the use of a parenteral antiplatelet agent in the setting of acute coronary syndrome requiring co-administration of intravenous morphine sulfate.

Examples:

clopidogrel, prasugrel, ticagrelor

8.7 Renal Impairment

Morphine sulfate pharmacokinetics are altered in patients with renal failure. Start these patients with a lower than normal dosage of Morphine Sulfate Injection and titrate slowly while monitoring for signs of respiratory depression, sedation, and hypotension [see Clinical Pharmacology (12.3)].

5.13 Risk of Seizures

The morphine in Morphine Sulfate Injection may increase the frequency of seizures in patients with seizure disorders, and may increase the risk of seizures occurring in other clinical settings associated with seizures. Monitor patients with a history of seizure disorders for worsened seizure control during Morphine Sulfate Injection therapy.

Excitation of the central nervous system, resulting in convulsions, may accompany high doses of morphine given intravenously.

8.6 Hepatic Impairment

Morphine sulfate pharmacokinetics have been reported to be significantly altered in patients with cirrhosis. Start these patients with a lower than normal dosage of Morphine Sulfate Injection and titrate slowly while monitoring for signs of respiratory depression, sedation, and hypotension [see Clinical Pharmacology (12.3)].

1 Indications and Usage

Morphine Sulfate Injection is an opioid agonist indicated for the management of pain severe enough to require an opioid analgesic and for which alternative treatments are inadequate. (1)

Limitations of Use: (1)

Because of the risks of addiction, abuse, and misuse with opioids, which can occur at any dosage or duration (5.1), reserve Morphine Sulfate Injection for use in patients for whom alternative treatment options (e.g., non-opioid analgesics or opioid combination products):

  • Have not been tolerated or are not expected to be tolerated
  • Have not provided adequate analgesia or are not expected to provide adequate analgesia

Morphine Sulfate Injection should not be used for an extended period of time unless the pain remains severe enough to require an opioid analgesic and for which alternative treatment options continue to be inadequate.

5.10 Severe Hypotension

Morphine Sulfate Injection may cause severe hypotension including orthostatic hypotension and syncope in ambulatory patients. There is increased risk in patients whose ability to maintain blood pressure has already been compromised by a reduced blood volume or concurrent administration of certain CNS depressant drugs (e.g., phenothiazines or general anesthetics) [see Drug Interactions (7)].

Monitor these patients for signs of hypotension after initiating or titrating the dosage of Morphine Sulfate Injection. In patients with circulatory shock, Morphine Sulfate Injection may cause vasodilation that can further reduce cardiac output and blood pressure. Avoid the use of Morphine Sulfate Injection in patients with circulatory shock.

12.1 Mechanism of Action

Morphine is a full opioid agonist and is relatively selective for the mu-opioid receptor, although it can bind to other opioid receptors at higher doses. The principal therapeutic action of morphine is analgesia. Like all full opioid agonists, there is no ceiling effect for analgesia with morphine. Clinically, dosage is titrated to provide adequate analgesia and may be limited by adverse reactions, including respiratory and CNS depression.

The precise mechanism of the analgesic action is unknown. However, specific CNS opioid receptors for endogenous compounds with opioid-like activity have been identified throughout the brain and spinal cord and are thought to play a role in the analgesic effects of this drug.

9.1 Controlled Substance

Morphine Sulfate Injection contains morphine, a Schedule II controlled substance.

5.9 Adrenal Insufficiency

Cases of adrenal insufficiency have been reported with opioid use, more often following greater than one month of use. Presentation of adrenal insufficiency may include non-specific symptoms and signs including nausea, vomiting, anorexia, fatigue, weakness, dizziness, and low blood pressure. If adrenal insufficiency is suspected, confirm the diagnosis with diagnostic testing as soon as possible. If adrenal insufficiency is diagnosed, treat with physiologic replacement doses of corticosteroids. Wean the patient off of the opioid to allow adrenal function to recover and continue corticosteroid treatment until adrenal function recovers. Other opioids may be tried as some cases reported use of a different opioid without recurrence of adrenal insufficiency. The information available does not identify any particular opioids as being more likely to be associated with adrenal insufficiency.

5 Warnings and Precautions
  • Cardiovascular Instability: High doses are excitatory. Have naloxone injection and resuscitative equipment immediately available. (5.5)
  • Opioid-Induced Hyperalgesia and Allodynia: Opioid-Induced Hyperalgesia (OIH) occurs when an opioid analgesic paradoxically causes an increase in pain, or an increase in sensitivity to pain. If OIH is suspected, carefully consider appropriately decreasing the dose of the current opioid analgesic or opioid rotation. (5.6)
  • Life-Threatening Respiratory Depression in Patients with Chronic Pulmonary Disease or in Elderly, Cachectic, or Debilitated Patients: Monitor closely, particularly during initiation and titration. (5.7)
  • Adrenal Insufficiency: If diagnosed, treat with physiologic replacement of corticosteroids, and wean patient off of the opioid. (5.9)
  • Severe Hypotension: Monitor during dosage initiation and titration. Avoid use of Morphine Sulfate Injection in patients with circulatory shock. (5.10)
  • Risks of Use in Patients with Increased Intracranial Pressure, Brain Tumors, Head Injury, or Impaired Consciousness: Monitor for sedation and respiratory depression. Avoid use of Morphine Sulfate Injection in patients with impaired consciousness or coma. (5.11)
2 Dosage and Administration
  • Morphine Sulfate Injection should be prescribed only by healthcare professionals who are knowledgeable about the use of opioids and how to mitigate the associated risks. (2.1)
  • Use the lowest effective dosage for the shortest duration of time consistent with individual patient treatment goals. Reserve titration to higher doses of Morphine Sulfate Injection for patients in whom lower doses are insufficiently effective and in whom the expected benefits of using a higher dose opioid clearly outweigh the substantial risks. (2.1, 5)
  • Many acute pain conditions (e.g., the pain that occurs with a number of surgical procedures or acute musculoskeletal injuries) require no more than a few days of an opioid analgesic. Clinical guidelines on opioid prescribing for some acute pain conditions are available. (2.1)
  • Initiate the dosing regimen for each patient individually, taking into account the patient’s underlying cause and severity of pain, prior analgesic treatment and response, and risk factors for addiction, abuse, and misuse. (2.1, 5.1)
  • Respiratory depression can occur at any time during opioid therapy, especially when initiating the following dosage increases with Morphine Sulfate Injection. Consider this risk when selecting an initial dose and when making dose adjustments. (2.1, 5.2)
  • Direct Intravenous Injection: Initiate treatment with 0.1 mg to 0.2 mg per kg every 4 hours as needed to manage pain. (2.2)
  • Intramuscular Injection: Initiate treatment with 10 mg, every 4 hours as needed to manage pain (based on a 70 kg adult). (2.2)
  • Do not abruptly discontinue Morphine Sulfate Injection in a physically-dependent patient. (2.4)
3 Dosage Forms and Strengths

Morphine Sulfate Injection, USP is available in the following strengths for intravenous (IV) and intramuscular (IM) administration.

2 mg/mL in 1 mL single‐dose prefilled syringe for IV or IM use.

4 mg/mL in 1 mL single‐dose prefilled syringe for IV or IM use.

8 Use in Specific Populations

Pregnancy: May cause fetal harm. (8.1)

5.5 Cardiovascular Instability

While low doses of intravenously administered morphine have little effect on cardiovascular stability, high doses are excitatory, resulting from sympathetic hyperactivity and increase in circulatory catecholamines. Have naloxone injection and resuscitative equipment immediately available for use in case of life-threatening or intolerable side effects and whenever morphine therapy is being initiated.

5.1 Addiction, Abuse, and Misuse

Morphine Sulfate Injection contains morphine, a Schedule II controlled substance. As an opioid, Morphine Sulfate Injection exposes users to the risks of addiction, abuse, and misuse [see Drug Abuse and Dependence (9)].

Although the risk of addiction in any individual is unknown, it can occur in patients appropriately prescribed Morphine Sulfate Injection. Addiction can occur at recommended dosages and if the drug is misused or abused.

Assess each patient's risk for opioid addiction, abuse, or misuse prior to prescribing Morphine Sulfate Injection, and monitor all patients receiving morphine sulfate for the development of these behaviors and conditions. Risks are increased in patients with a personal or family history of substance abuse (including drug or alcohol abuse or addiction) or mental illness (e.g., major depression). The potential for these risks should not, however, prevent the proper management of pain in any given patient. Patients at increased risk may be prescribed opioids such as Morphine Sulfate Injection, but use in such patients necessitates intensive counseling about the risks and proper use of Morphine Sulfate Injection, along with intensive monitoring for signs of addiction, abuse, and misuse.

Opioids are sought for nonmedical use and are subject to diversion from legitimate prescribed use.

Consider these risks when prescribing or dispensing Morphine Sulfate Injection. Strategies to reduce these risks include prescribing the drug in the smallest appropriate quantity. Contact local state professional licensing board or state-controlled substances authority for information on how to prevent and detect abuse or diversion of this product.

16 How Supplied/storage and Handling

Morphine Sulfate Injection, USP is available for intravenous (IV) or intramuscular (IM) use as:

Product Code

Unit of Sale

Strength

Each

764411

NDC 76045-004-11 Unit of 10

2 mg/mL

NDC 76045-004-01

1 mL single-dose prefilled syringe

764511

NDC 76045-005-11 Unit of 10

4 mg/mL

NDC 76045-005-01

1 mL single-dose prefilled syringe

Store at 20°C to 25°C (68°F to 77°F) [See USP Controlled Room Temperature.]

PROTECT FROM LIGHT. DO NOT FREEZE.

5.15 Central Nervous System Toxicity

Dysphoric reactions may occur after any size dose and toxic psychoses have been reported.

5.4 Neonatal Opioid Withdrawal Syndrome

Use of Morphine Sulfate Injection for an extended period of time during pregnancy can result in withdrawal in the neonate. Neonatal opioid withdrawal syndrome, unlike opioid withdrawal syndrome in adults, may be life-threatening if not recognized and treated, and requires management according to protocols developed by neonatology experts. Observe newborns for signs of neonatal opioid withdrawal syndrome and manage accordingly. Advise pregnant women using opioids for an extended period of time of the risk of neonatal opioid withdrawal syndrome and ensure that management by neonatology experts will be available at delivery [see Use in Specific Populations (8.1)].

2.3 Titration and Maintenance of Therapy

Titrate the dose based upon individual patient’s response to their initial dose of Morphine Sulfate Injection. Individually titrate Morphine Sulfate Injection to a dose that provides adequate analgesia and minimizes adverse reactions. Continually reevaluate patients receiving Morphine Sulfate Injection to assess the maintenance of pain control, signs and symptoms of opioid withdrawal, and other adverse reactions, as well as monitoring for the development of addiction, abuse, or misuse [see Warnings and Precautions (5.1, 5.14)].

If the level of pain increases after dosage stabilization, attempt to identify the source of increased pain before increasing the Morphine Sulfate Injection dosage. If after increasing the dosage, unacceptable opioid-related adverse reactions are observed (including an increase in pain after a dosage increase), consider reducing the dosage [see Warnings and Precautions (5)]. Adjust the dosage to obtain an appropriate balance between management of pain and opioid-related adverse reactions.

5.2 Life Threatening Respiratory Depression

Serious, life-threatening, or fatal respiratory depression has been reported with the use of opioids, even when used as recommended. Respiratory depression, if not immediately recognized and treated, may lead to respiratory arrest and death. Management of respiratory depression may include close observation, supportive measures, and use of opioid antagonists, depending on the patient's clinical status [see Overdosage (10)]. Carbon dioxide (CO2) retention from opioid-induced respiratory depression can exacerbate the sedating effects of opioids.

While serious, life-threatening, or fatal respiratory depression can occur at any time during the use of Morphine Sulfate Injection, the risk is greatest during the initiation of therapy or following a dosage increase. Because of a delay in the maximum CNS effect with intravenously administered Morphine Sulfate Injection (30 min), rapid administration may result in overdosing. The respiratory depression may be severe and could require intervention [see Overdosage (10)].

To reduce the risk of respiratory depression, proper dosing and titration of Morphine Sulfate Injection are essential [see Dosage and Administration (2)]. Overestimating the Morphine Sulfate Injection dosage when converting patients from another opioid product can result in a fatal overdose with the first dose.

Opioids can cause sleep-related breathing disorders including central sleep apnea (CSA) and sleep-related hypoxemia. Opioid use increases the risk of CSA in a dose-dependent fashion. In patients who present with CSA, consider decreasing the opioid dosage using best practices for opioid taper [see Dosage and Administration (2.4)].

5.17 Risks of Driving and Operating Machinery

Morphine Sulfate Injection may impair the mental or physical abilities needed to perform potentially hazardous activities such as driving a car or operating machinery. Warn patients not to drive or operate dangerous machinery unless they are tolerant to the effects of Morphine Sulfate Injection and know how they will react to the medication.

5.6 Opioid Induced Hyperalgesia and Allodynia

Opioid-Induced Hyperalgesia (OIH) occurs when an opioid analgesic paradoxically causes an increase in pain, or an increase in sensitivity to pain. This condition differs from tolerance, which is the need for increasing doses of opioids to maintain a defined effect [see Dependence (9.3)]. Symptoms of OIH include (but may not be limited to) increased levels of pain upon opioid dosage increase, decreased levels of pain upon opioid dosage decrease, or pain from ordinarily non-painful stimuli (allodynia). These symptoms may suggest OIH only if there is no evidence of underlying disease progression, opioid tolerance, opioid withdrawal, or addictive behavior.

Cases of OIH have been reported, both with short-term and longer-term use of opioid analgesics. Though the mechanism of OIH is not fully understood, multiple biochemical pathways have been implicated. Medical literature suggests a strong biologic plausibility between opioid analgesics and OIH and allodynia. If a patient is suspected to be experiencing OIH, carefully consider appropriately decreasing the dose of the current opioid analgesic or opioid rotation (safely switching the patient to a different opioid moiety) [see Dosage and Administration (2.4), Warnings and Precautions (5.14)].

5.16 Exposure, Hypothermia, Immersion and Shock

Caution must be used when injecting any opioid intramuscularly into chilled areas or in patients with hypotension or shock, since impaired perfusion may prevent complete absorption; if repeated injections are administered, an excessive amount may be suddenly absorbed if normal circulation is re-established.

5.8 Interactions With Monoamine Oxidase Inhibitors

Monoamine oxidase inhibitors (MAOIs) may potentiate the effects of morphine, including respiratory depression, coma, and confusion. Morphine Sulfate Injection should not be used in patients taking MAOIs or within 14 days of stopping such treatment.

2.1 Important Dosage and Administration Instructions
  • Morphine Sulfate Injection is intended for intravenous and intramuscular administration.
  • Morphine Sulfate Injection is available in two concentrations for direct injection. Dosing errors can result in accidental overdose and death. Avoid dosing errors that may result from confusion between mg and mL and confusion with morphine injections of different concentrations when prescribing, dispensing, and administering Morphine Sulfate Injection. Ensure that the dose is communicated and dispensed accurately.
  • Administration of Morphine Sulfate Injection should be limited to use by those familiar with the management of respiratory depression. Morphine must be injected slowly; rapid intravenous administration may result in chest wall rigidity.
  • Morphine Sulfate Injection should be prescribed only by healthcare professionals who are knowledgeable about the use of opioids and how to mitigate the associated risks.
  • Use the lowest effective dosage for the shortest duration of time consistent with individual patient treatment goals [see Warnings and Precautions (5)]. Because the risk of overdose increases as opioid doses increase, reserve titration to higher doses of Morphine Sulfate Injection for patients in whom lower doses are insufficiently effective and in whom the expected benefits of using a higher dose opioid clearly outweigh the substantial risks.
  • Many acute pain conditions (e.g., the pain that occurs with a number of surgical procedures or acute musculoskeletal injuries) require no more than a few days of an opioid analgesic. Clinical guidelines on opioid prescribing for some acute pain conditions are available.
  • There is a variability in the opioid analgesic dose and duration needed to adequately manage pain due both to the cause of pain and to individual patient factors. Initiate the dosing regimen for each patient individually, taking into account the patient’s underlying cause and severity of pain, prior analgesic treatment and response, and risk factors for addiction, abuse, and misuse [see Warnings and Precautions (5.1)].
  • Respiratory depression can occur at any time during opioid therapy, especially when initiating the following dosage increases with Morphine Sulfate Injection. Consider this risk when selecting an initial dose and when making dose adjustments [see Warnings and Precautions (5)].
  • Inspect Morphine Sulfate Injection for particulate matter and discoloration prior to administration.
5.12 Risks of Use in Patients With Gastrointestinal Conditions

Morphine Sulfate Injection is contraindicated in patients with known or suspected gastrointestinal obstruction, including paralytic ileus.

The morphine in Morphine Sulfate Injection may cause spasm of the sphincter of Oddi. Opioids may cause increases in serum amylase. Monitor patients with biliary tract disease, including acute pancreatitis, for worsening symptoms.

Package Label Principal Display – Morphine 1 Ml Tip Cap Label

Morphine Sulfate Injection, USP  CII

4 mg/mL


For IM or IV use ONLY.

Package Label Principal Display – morphine 1 Ml Carton Panel

Rx only

764411      NDC 76045-004-11

Morphine Sulfate Injection, USP  CII

2 mg/mL


For Intramuscular or Intravenous use.

Do NOT dilute for IV push.

Do NOT place syringe on a Sterile Field.

10 x 1 mL single-dose prefilled syringes

Discard unused portion

Package Label Principal Display – morphine 1 Ml Tip Cap Label

Morphine Sulfate Injection, USP  CII

2 mg/mL


For IM or IV use ONLY.

2.4 Safe Reduction Or Discontinuation of Morphine Sulfate Injection

When a patient who has been taking Morphine Sulfate Injection regularly and may be physically dependent or no longer requires therapy with Morphine Sulfate Injection, taper the dose gradually, by 25% to 50% every 2 to 4 days, while regularly evaluating for signs and symptoms of withdrawal. If the patient develops these signs or symptoms, raise the dose to the previous level and taper more slowly, either by increasing the interval between decreases, decreasing the amount of change in dose, or both. Do not abruptly discontinue Morphine Sulfate Injection in a physically-dependent patient [see Warnings and Precautions (5.14), Drug Abuse and Dependence (9.3)].

Package Label – Principal Display Panel – Morphine 1 Ml Syringe Label

For IM or IV use. 1mL Single-Dose.

Morphine Sulfate Injection, USP  CII

2 mg/mL

Rx only

5.3 Risks From Concomitant Use With Benzodiazepines Or Other Cns Depressants

Profound sedation, respiratory depression, coma, and death may result from the concomitant use of Morphine Sulfate Injection with benzodiazepines and/or other CNS depressants, including alcohol (e.g., non-benzodiazepine sedatives/hypnotics, anxiolytics, tranquilizers, muscle relaxants, general anesthetics, antipsychotics, other opioids). Because of these risks, reserve concomitant prescribing of these drugs for use in patients for whom alternative treatment options are inadequate.

Observational studies have demonstrated that concomitant use of opioid analgesics and benzodiazepines increases the risk of drug-related mortality compared to use of opioid analgesics alone. Because of similar pharmacological properties, it is reasonable to expect similar risk with the concomitant use of other CNS depressant drugs with opioid analgesics [see Drug Interactions (7)].

If the decision is made to prescribe a benzodiazepine or other CNS depressant concomitantly with an opioid analgesic, prescribe the lowest effective dosages and minimum durations of concomitant use. In patients already receiving an opioid analgesic, prescribe a lower initial dose of the benzodiazepine or other CNS depressant than indicated in the absence of an opioid, and titrate based on clinical response. If an opioid analgesic is initiated in a patient already taking a benzodiazepine or other CNS depressant, prescribe a lower initial dose of the opioid analgesic, and titrate based on clinical response. Monitor patients closely for signs and symptoms of respiratory depression and sedation.

Warning: Serious and Life Threatening Risks From Use of Morphine Sulfate Injection

WARNING: SERIOUS AND LIFE-THREATENING RISKS FROM USE OF MORPHINE SULFATE INJECTION

See full prescribing information for complete boxed warning .

  • Morphine Sulfate Injection exposes users to risks of addiction, abuse, and misuse, which can lead to overdose and death. Assess patient's risk before prescribing and reassess regularly for these behaviors and conditions. (5.1)
  • Serious, life-threatening, or fatal respiratory depression may occur. Monitor closely, especially upon initiation or following a dosage increase. To reduce the risk of respiratory depression, proper dosing and titration of Morphine Sulfate Injection are essential. (5.2)
  • Concomitant use of opioids with benzodiazepines or other central nervous system (CNS) depressants, including alcohol, may result in profound sedation, respiratory depression, coma, and death. Reserve concomitant prescribing for use in patients for whom alternative treatment options are inadequate. (5.3, 7)
  • If opioid use is required for an extended period of time in a pregnant woman, advise the patient of the risk of Neonatal Opioid Withdrawal Syndrome, which may be life-threatening if not recognized and treated. Ensure that management by neonatology experts will be available at delivery. (5.4)
5.11 Risks of Use in Patients With Increased Intracranial Pressure, Brain Tumors, Head Injury, Or Impaired Consciousness

In patients who may be susceptible to the intracranial effects of CO2 retention (e.g., those with evidence of increased intracranial pressure or brain tumors), Morphine Sulfate Injection may reduce respiratory drive, and the resultant CO2 retention can further increase intracranial pressure. Monitor such patients for signs of sedation and respiratory depression, particularly when initiating therapy with Morphine Sulfate Injection.

Opioids may also obscure the clinical course in a patient with a head injury. Avoid the use of Morphine Sulfate Injection in patients with impaired consciousness or coma.

5.7 Life Threatening Respiratory Depression in Patients With Chronic Pulmonary Disease Or in Elderly, Cachectic, Or Debilitated Patients

The use of Morphine Sulfate Injection in patients with acute or severe bronchial asthma in an unmonitored setting or in the absence of resuscitative equipment is contraindicated.

Patients with Chronic Pulmonary Disease: Morphine Sulfate Injection-treated patients with significant chronic obstructive pulmonary disease or cor pulmonale, and those with a substantially decreased respiratory reserve, hypoxia, hypercapnia, or pre-existing respiratory depression are at increased risk of decreased respiratory drive including apnea, even at recommended dosages of Morphine Sulfate Injection [see Warnings and Precautions (5.2)].

Elderly, Cachectic, or Debilitated Patients: Life-threatening respiratory depression is more likely to occur in elderly, cachectic, or debilitated patients because they may have altered pharmacokinetics or altered clearance compared to younger, healthier patients [see Warnings and Precautions (5.2)].

Monitor such patients closely, particularly when initiating and titrating Morphine Sulfate Injection and when Morphine Sulfate Injection is given concomitantly with other drugs that depress respiration [see Warnings and Precautions (5.2, 5.3), Drug Interactions (7)]. Alternatively, consider the use of non-opioid analgesics in these patients.


Structured Label Content

Data

Human Data

The results from a population-based prospective cohort, including 70 women exposed to morphine during the first trimester of pregnancy and 448 women exposed to morphine at any time during pregnancy, indicate no increased risk for congenital malformations. However, these studies cannot definitely establish the absence of any risk because of methodological limitations, including small sample size and non-randomized study design.

Section 42229-5 (42229-5)

Addiction, Abuse, and Misuse

Because the use of Morphine Sulfate Injection exposes patients and other users to the risks of opioid addiction, abuse, and misuse, which can lead to overdose and death, assess each patient's risk prior to prescribing and reassess all patients regularly for the development of these behaviors and conditions [see Warnings and Precautions (5.1)].

Section 43683-2 (43683-2)

Boxed Warning                                                                                                                                                         12/2023

Indications and Usage (1)                                                                                                                                         12/2023

Dosage and Administration (2.1, 2.2, 2.3)                                                                                                               12/2023

Warnings and Precautions (5.6)                                                                                                                               12/2023

Section 59845-8 (59845-8)

INSTRUCTIONS FOR USE

Figure 1: Outer Packaging (MicroVault) and Prefilled Syringe

NOTES:

  • -
    Do not introduce any other fluid into the syringe at any time.
  • -
    Do not dilute for IV push.
  • -
    Do not re-sterilize the syringe.
  • -
    Do not use this product on a sterile field.
  • -
    This product is for single dose only.
9.2 Abuse

Morphine Sulfate Injection contains morphine, a substance with a high potential for misuse and abuse, which can lead to the development of substance use disorder, including addiction [see Warnings and Precautions (5.1)].

Misuse is the intentional use, for therapeutic purposes, of a drug by an individual in a way other than prescribed by a healthcare provider or for whom it was not prescribed.

Abuse is the intentional, non-therapeutic use of a drug, even once, for its desirable psychological or physiological effects.

Drug addiction is a cluster of behavioral, cognitive, and physiological phenomena that may include a strong desire to take the drug, difficulties in controlling drug use (e.g., continuing drug use despite harmful consequences, giving a higher priority to drug use than other activities and obligations), and possible tolerance or physical dependence.

Misuse and abuse of Morphine Sulfate Injection increases risk of overdose, which may lead to central nervous system and respiratory depression, hypotension, seizures, and death. The risk is increased with concurrent abuse of Morphine Sulfate Injection with alcohol and/or other CNS depressants. Abuse of and addiction to opioids in some individuals may not be accompanied by concurrent tolerance and symptoms of physical dependence. In addition, abuse of opioids can occur in the absence of addiction.

All patients treated with opioids require careful and frequent reevaluation for signs of misuse, abuse, and addiction, because use of opioid analgesic products carries the risk of addiction even under appropriate medical use. Patients at high risk of Morphine Sulfate Injection abuse include those with a history of prolonged use of any opioid, including products containing morphine, those with a history of drug or alcohol abuse, or those who use Morphine Sulfate Injection in combination with other abused drugs.

“Drug-seeking” behavior is very common in persons with substance use disorders. Drug-seeking tactics include emergency calls or visits near the end of office hours, refusal to undergo appropriate examination, testing, or referral, repeated “loss” of prescriptions, tampering with prescriptions, and reluctance to provide prior medical records or contact information for other treating healthcare provider(s). “Doctor shopping” (visiting multiple prescribers to obtain additional prescriptions) is common among people who abuse drugs and people with substance use disorder. Preoccupation with achieving adequate pain relief can be appropriate behavior in a patient with inadequate pain control.

Morphine Sulfate Injection, like other opioids, can be diverted for non-medical use into illicit channels of distribution. Careful record-keeping of prescribing information, including quantity, frequency, and renewal requests, as required by state and federal law, is strongly advised.

Proper assessment of the patient, proper prescribing practices, periodic reevaluation of therapy, and proper dispensing and storage are appropriate measures that help to limit abuse of opioid drugs.

Risk Specific to Abuse of Morphine Sulfate Injection

Abuse of Morphine Sulfate Injection poses a risk of overdose and death. The risk is increased with concurrent use of Morphine Sulfate Injection with alcohol and/or other CNS depressants.

Parenteral drug abuse is commonly associated with transmission of infectious diseases such as hepatitis and HIV.

Animal Data

Formal reproductive and developmental toxicology studies for morphine have not been conducted. Exposure margins for the following published study reports are based on human daily dose of 60 mg morphine using a body surface area comparison (HDD).

Neural tube defects (exencephaly and cranioschisis) were noted following subcutaneous administration of morphine sulfate (35-322 mg/kg) on Gestation Day 8 to pregnant hamsters (4.7 to 43.5 times the HDD). A no adverse effect level was not defined in this study and the findings cannot be clearly attributed to maternal toxicity. Neural tube defects (exencephaly), axial skeletal fusions, and cryptorchidism were reported following a single subcutaneous (SC) injection of morphine sulfate to pregnant mice (100-500 mg/kg) on Gestation Day 8 or 9 at 200 mg/kg or greater (16 times the HDD) and fetal resorption at 400 mg/kg or higher (32 times the HDD). No adverse effects were noted following 100 mg/kg morphine in this model (8 times the HDD). In one study, following continuous subcutaneous infusion of doses greater than or equal to 2.72 mg/kg to mice (0.2 times the HDD), exencephaly, hydronephrosis, intestinal hemorrhage, split supraoccipital, malformed sternebrae, and malformed xiphoid were noted. The effects were reduced with increasing daily dose; possibly due to rapid induction of tolerance under these infusion conditions. The clinical significance of this report is not clear.

Decreased fetal weights were observed in pregnant rats treated with 20 mg/kg/day morphine sulfate (3.2 times the HDD) from Gestation Day 7 to 9. There was no evidence of malformations despite maternal toxicity (10% mortality). In a second rat study, decreased fetal weight and increased incidences of growth retardation were noted at 35 mg/kg/day (5.7 times the HDD) and there was a reduced number of fetuses at 70 mg/kg/day (11.4 times the HDD) when pregnant rats were treated with 10, 35, or 70 mg/kg/day morphine sulfate via continuous infusion from Gestation Day 5 to 20. There was no evidence of fetal malformations or maternal toxicity.

An increased incidence of abortion was noted in a study in which pregnant rabbits were treated with 2.5 (0.8 times the HDD) to 10 mg/kg morphine sulfate via subcutaneous injection from Gestation Day 6 to 10. In a second study, decreased fetal body weights were reported following treatment of pregnant rabbits with increasing doses of morphine (10-50 mg/kg/day) during the pre-mating period and 50 mg/kg/day (16 times the HDD) throughout the gestation period. No overt malformations were reported in either publication; although only limited endpoints were evaluated.

In published studies in rats, exposure to morphine during gestation and/or lactation periods is associated with: decreased pup viability at 12.5 mg/kg/day or greater (2 times the HDD); decreased pup body weights at 15 mg/kg/day or greater (2.4 times the HDD); decreased litter size, decreased absolute brain and cerebellar weights, cyanosis, and hypothermia at 20 mg/kg/day (3.2 times the HDD); alteration of behavioral responses (play, social-interaction) at 1 mg/kg/day or greater (0.2 times the HDD); alteration of maternal behaviors (e.g., decreased nursing and pup retrievals) in mice at 1 mg/kg or higher (0.08 times the HDD) and rats at 1.5 mg/kg/day or higher (0.2 times the HDD); and a host of behavioral abnormalities in the offspring of rats, including altered responsiveness to opioids at 4 mg/kg/day (0.7 times the HDD) or greater.

Fetal and/or postnatal exposure to morphine in mice and rats has been shown to result in morphological changes in fetal and neonatal brain and neuronal cell loss, alteration of a number of neurotransmitter and neuromodulator systems, including opioid and non-opioid systems, and impairment in various learning and memory tests that appear to persist into adulthood. These studies were conducted with morphine treatment usually in the range of 4 to 20 mg/kg/day (0.7 to 3.2 times the HDD).

Additionally, delayed sexual maturation and decreased sexual behaviors in female offspring at 20 mg/kg/day (3.2 times the HDD), and decreased plasma and testicular levels of luteinizing hormone and testosterone, decreased testes weights, seminiferous tubule shrinkage, germinal cell aplasia, and decreased spermatogenesis in male offspring were also observed at 20 mg/kg/day (3.2 times the HDD). Decreased litter size and viability were observed in the offspring of male rats that were intraperitoneally administered morphine sulfate for 1 day prior to mating at 25 mg/kg/day (4.1 times the HDD) and mated to untreated females. Decreased viability and body weight and/or movement deficits in both first and second generation offspring were reported when male mice were treated for 5 days with escalating doses of 120 to 240 mg/kg/day morphine sulfate (9.7 to 19.5 times the HDD) or when female mice treated with escalating doses of 60 to 240 mg/kg/day (4.9 to 19.5 times the HDD) followed by a 5-day treatment-free recovery period prior to mating. Similar multigenerational findings were also seen in female rats pre-gestationally treated with escalating doses of 10 to 22 mg/kg/day morphine (1.6 to 3.6 times the HDD).

11 Description (11 DESCRIPTION)

Morphine sulfate is an opioid agonist. Morphine Sulfate Injection, USP is available as a sterile, nonpyrogenic solution of morphine sulfate, free of antioxidants and preservatives in single-dose prefilled syringes for intravenous and intramuscular administration.

The chemical name for Morphine sulfate is 7,8-Didehydro-4,5-epoxy-17-methyl-(5α,6α)-morphinan-3,6 α-diol sulfate (2: 1) (salt), pentahydrate. The molecular weight is 758.83. Its molecular formula is (C17H19NO3)2 • H2SO4 • 5H2O and it has the following chemical structure:

Morphine sulfate is a fine white powder. When exposed to air it gradually loses water of hydration, and darkens on prolonged exposure to light. It is soluble in water and ethanol at room temperature.

Each 1 mL single-dose pre-filled syringe contains 2 mg (equivalent to 1.75 mg Morphine) or 4 mg (equivalent to 3.50 mg Morphine) of Morphine Sulfate, USP in 1 mL total volume of water for injection solution with inactive ingredients. The inactive ingredients in Morphine Sulfate Injection, USP include:

  • For the 2 mg/mL and 4 mg/mL products: 8.4 mg sodium chloride, 2.3 mg of sodium citrate, 0.74 mg of citric acid, 0.111 mg of edetate disodium, 0.053 mg of calcium chloride and water for injection.
9.3 Dependence

Both tolerance and physical dependence can develop during use of opioid therapy.

Tolerance is a physiological state characterized by a reduced response to a drug after repeated administration (i.e., a higher dose of a drug is required to produce the same effect that was once obtained at a lower dose).

Physical dependence is a state that develops as a result of a physiological adaptation in response to repeated drug use, manifested by withdrawal signs and symptoms after abrupt discontinuation or a significant dose reduction of a drug.

Withdrawal may be precipitated through the administration of drugs with opioid antagonist activity (e.g., naloxone), mixed agonist/antagonist analgesics (e.g., pentazocine, butorphanol, nalbuphine), or partial agonists (e.g., buprenorphine). Physical dependence may not occur to a clinically significant degree until after several days to weeks of continued use.

Morphine Sulfate Injection should not be abruptly discontinued in a physically-dependent patient [see Dosage and Administration (2.4)]. If Morphine Sulfate Injection is abruptly discontinued in a physically-dependent patient, a withdrawal syndrome may occur, typically characterized by restlessness, lacrimation, rhinorrhea, perspiration, chills, myalgia, and mydriasis. Other signs and symptoms also may develop, including irritability, anxiety, backache, joint pain, weakness, abdominal cramps, insomnia, nausea, anorexia, vomiting, diarrhea, or increased blood pressure, respiratory rate, or heart rate.

Infants born to mothers physically dependent on opioids will also be physically dependent and may exhibit respiratory difficulties and withdrawal signs [see Use in Specific Populations (8.1)].

5.14 Withdrawal

Avoid the use of mixed agonist/antagonist (e.g., pentazocine, nalbuphine, and butorphanol) or partial agonist (e.g., buprenorphine) analgesics in patients who are receiving a full opioid agonist analgesic, including Morphine Sulfate Injection. In these patients, mixed agonist/antagonist and partial agonist analgesics may reduce the analgesic effect and/or precipitate withdrawal symptoms [see Drug Interactions (7)].

When discontinuing Morphine Sulfate Injection in a physically-dependent patient, gradually taper the dosage [see Dosage and Administration (2.4)]. Do not abruptly discontinue Morphine Sulfate Injection in these patients [see Drug Abuse and Dependence (9.3)].

8.4 Pediatric Use

The safety and effectiveness of Morphine Sulfate Injection in pediatric patients below the age of 18 have not been established.

8.5 Geriatric Use

The pharmacodynamic effects of morphine in the elderly are more variable than in the younger population. Older patients will vary widely in the effective initial dose, rate of development of tolerance and the frequency and magnitude of associated adverse effects as the dose is increased.

Elderly patients (aged 65 years or older) may have increased sensitivity to morphine. In general, use caution when selecting a dosage for an elderly patient, usually starting at the low end of the dosing range, reflecting the greater frequency of decreased hepatic, renal, or cardiac function and of concomitant disease or other drug therapy.

Respiratory depression is the chief risk for elderly patients treated with opioids, and has occurred after large initial doses were administered to patients who were not opioid-tolerant or when opioids were co-administered with other agents that depress respiration. Titrate the dosage of Morphine Sulfate Injection slowly in geriatric patients and monitor for signs of central nervous system and respiratory depression [see Warnings and Precautions (5.7)].

Morphine is known to be substantially excreted by the kidney, and the risk of adverse reactions to this drug may be greater in patients with impaired renal function. Because elderly patients are more likely to have decreased renal function, care should be taken in dose selection, and it may be useful to monitor renal function.

4 Contraindications (4 CONTRAINDICATIONS)

Morphine Sulfate Injection is contraindicated in patients with:

  • Significant respiratory depression [see Warnings and Precautions (5.2)]
  • Acute or severe bronchial asthma in an unmonitored setting or in the absence of resuscitative equipment [see Warnings and Precautions (5.7)]
  • Concurrent use of monoamine oxidase inhibitors (MAOIs) or use of MAOIs within the last 14 days [see Warnings and Precautions (5.8)].
  • Known or suspected gastrointestinal obstruction, including paralytic ileus [see Warnings and Precautions (5.12)]
  • Hypersensitivity to morphine (e.g., anaphylaxis) [see Adverse Reactions (6)]
6 Adverse Reactions (6 ADVERSE REACTIONS)

The following serious adverse reactions are described, or described in greater detail, in other sections:

  • Addiction, Abuse, and Misuse [see Warnings and Precautions (5.1)]
  • Life-Threatening Respiratory Depression [see Warnings and Precautions (5.2)]
  • Interactions with Benzodiazepines or Other CNS Depressants [see Warnings and Precautions (5.3)]
  • Neonatal Opioid Withdrawal Syndrome [see Warnings and Precautions (5.4)]
  • Cardiovascular Instability [see Warnings and Precautions (5.5)]
  • Opioid-Induced Hyperalgesia and Allodynia [see Warnings and Precautions (5.6)]
  • Adrenal Insufficiency [see Warnings and Precautions (5.9)]
  • Severe Hypotension [see Warnings and Precautions (5.10)]
  • Gastrointestinal Adverse Reactions [see Warnings and Precautions (5.12)]
  • Seizures [see Warnings and Precautions (5.13)]
  • Withdrawal [see Warnings and Precautions (5.14)]

The following adverse reactions associated with the use of morphine were identified in clinical studies or postmarketing reports. Because some of these reactions were reported voluntarily from a population of uncertain size, it is not always possible to reliably estimate their frequency or establish a causal relationship to drug exposure.

Serious adverse reactions associated with Morphine Sulfate Injection included respiratory depression, apnea, and to a lesser degree, circulatory depression, respiratory arrest, shock, and cardiac arrest. Rarely, anaphylactoid reactions have been reported when morphine or other phenanthrene alkaloids of opium are administered intravenously.

The most frequently observed adverse reactions included sedation, lightheadedness, dizziness, nausea, vomiting, constipation, and diaphoresis. Other possible adverse reactions include:

Central Nervous System: Euphoria, dysphoria, weakness, headache, agitation, tremor, uncoordinated muscle movements, visual disturbances, transient hallucinations and disorientation.

Gastrointestinal: Constipation, biliary tract spasm.

Cardiovascular: Tachycardia, bradycardia, palpitation, faintness, syncope, and orthostatic hypotension.

Genitourinary: Oliguria and urinary retention; an antidiuretic effect has been reported.

Allergic: Pruritus, urticaria, and skin rashes. Anaphylactoid reactions have been reported following intravenous administration.

Other: Opioid-induced histamine release may be responsible for the flushing of the face, diaphoresis, and pruritus often seen with these drugs. Wheals and urticaria at the site of injection are probably related to histamine release. Local tissue irritation, pain and induration have been reported following repeated subcutaneous injection. Morphine may alter temperature regulation in susceptible individuals and will depress the cough reflex.

Androgen deficiency: Cases of androgen deficiency have occurred with use of opioids for an extended period of time [see Clinical Pharmacology (12.2)].

Hyperalgesia and Allodynia: Cases of hyperalgesia and allodynia have been reported with opioid therapy of any duration [see Warnings and Precautions (5.6)]

Anaphylaxis: Anaphylaxis has been reported with ingredients contained in Morphine Sulfate Injection.

Serotonin syndrome: Cases of serotonin syndrome, a potentially life-threatening condition, have been reported during concomitant use of opioids with serotonergic drugs.

Adrenal insufficiency: Cases of adrenal insufficiency have been reported with opioid use, more often following greater than one month of use.

Hypoglycemia: Cases of hypoglycemia have been reported in patients taking opioids. Most reports were in patients with at least one predisposing risk factor (e.g., diabetes).

7 Drug Interactions (7 DRUG INTERACTIONS)

Table 1 includes clinically significant drug interactions with Morphine Sulfate Injection.

Table 1: Clinically Significant Drug Interactions with Morphine Sulfate Injection

Benzodiazepines and Other Central Nervous System (CNS) Depressants

Clinical Impact:

Due to additive pharmacologic effect, the concomitant use of benzodiazepines or other CNS depressants, including alcohol, can increase the risk of hypotension, respiratory depression, profound sedation, coma, and death [see Warnings and Precautions (5.3)].

Intervention:

Reserve concomitant prescribing of these drugs for use in patients for whom alternative treatment options are inadequate. Limit dosages and durations to the minimum required. Monitor patients closely for signs of respiratory depression and sedation [see Warnings and Precautions (5.3)].

Examples:

Benzodiazepines and other sedatives/hypnotics, anxiolytics, tranquilizers, muscle relaxants, general anesthetics, antipsychotics, other opioids, alcohol.

Serotonergic Drugs

Clinical Impact:

The concomitant use of opioids with other drugs that affect the serotonergic neurotransmitter system has resulted in serotonin syndrome.

Intervention:

If concomitant use is warranted, carefully observe the patient, particularly during treatment initiation and dose adjustment.

Discontinue Morphine Sulfate Injection if serotonin syndrome is suspected.

Examples:

Selective serotonin reuptake inhibitors (SSRIs), serotonin and norepinephrine reuptake inhibitors (SNRIs), tricyclic antidepressants (TCAs), triptans, 5-HT3 receptor antagonists, drugs that affect the serotonin neurotransmitter system (e.g., mirtazapine, trazodone, tramadol), certain muscle relaxants (i.e., cyclobenzaprine, metaxalone), monoamine oxidase (MAO) inhibitors (those intended to treat psychiatric disorders and also others, such as linezolid and intravenous methylene blue).

Monoamine Oxidase Inhibitors (MAOIs)

Clinical Impact:

MAOI interactions with opioids may manifest as serotonin syndrome or

opioid toxicity (e.g., respiratory depression, coma) [see Warnings and Precautions (5.8)].

Intervention:

Do not use Morphine Sulfate Injection in patients taking MAOIs or within 14 days of stopping such treatment.

If urgent use of an opioid is necessary, use test doses and frequent titration of small doses of other opioids (such as oxycodone, oxymorphone, hydrocodone, or buprenorphine) to treat pain while closely monitoring blood pressure and signs and symptoms of CNS and respiratory depression.

Examples:

phenelzine, tranylcypromine, linezolid

Mixed Agonist/Antagonist and Partial Agonist Opioid Analgesics

Clinical Impact:

May reduce the analgesic effect of Morphine Sulfate Injection and/or precipitate withdrawal symptoms.

Intervention:

Avoid concomitant use.

Examples:

butorphanol, nalbuphine, pentazocine, buprenorphine

Muscle Relaxants

Clinical Impact:

Morphine may enhance the neuromuscular blocking action of skeletal muscle relaxants and produce an increased degree of respiratory depression.

Intervention:

Monitor patients for signs of respiratory depression that may be greater than otherwise expected and decrease the dosage of Morphine Sulfate Injection and/or the muscle relaxant as necessary.

Cimetidine

Clinical Impact:

The concomitant administration of morphine sulfate and cimetidine has been reported to precipitate apnea, confusion, and muscle twitching in an isolated report.

Intervention:

Monitor patients for increased respiratory and CNS depression when receiving cimetidine concomitantly with Morphine Sulfate Injection.

Diuretics

Clinical Impact:

Opioids can reduce the efficacy of diuretics by inducing the release of antidiuretic hormone.

Intervention:

Monitor patients for signs of diminished diuresis and/or effects on blood pressure and increase the dosage of the diuretic as needed.

Anticholinergic Drugs

Clinical Impact:

The concomitant use of anticholinergic drugs may increase risk of urinary retention and/or severe constipation, which may lead to paralytic ileus.

Intervention:

Monitor patients for signs of urinary retention or reduced gastric motility when Morphine Sulfate Injection is used concomitantly with anticholinergic drugs.

Oral P2Y12 Inhibitors

Clinical Impact:

The co-administration of oral P2Y12 inhibitors and intravenous morphine sulfate can decrease the absorption and peak concentration of oral P2Y12 inhibitors and delay the onset of antiplatelet effect.

Intervention:

Consider the use of a parenteral antiplatelet agent in the setting of acute coronary syndrome requiring co-administration of intravenous morphine sulfate.

Examples:

clopidogrel, prasugrel, ticagrelor

8.7 Renal Impairment

Morphine sulfate pharmacokinetics are altered in patients with renal failure. Start these patients with a lower than normal dosage of Morphine Sulfate Injection and titrate slowly while monitoring for signs of respiratory depression, sedation, and hypotension [see Clinical Pharmacology (12.3)].

5.13 Risk of Seizures

The morphine in Morphine Sulfate Injection may increase the frequency of seizures in patients with seizure disorders, and may increase the risk of seizures occurring in other clinical settings associated with seizures. Monitor patients with a history of seizure disorders for worsened seizure control during Morphine Sulfate Injection therapy.

Excitation of the central nervous system, resulting in convulsions, may accompany high doses of morphine given intravenously.

8.6 Hepatic Impairment

Morphine sulfate pharmacokinetics have been reported to be significantly altered in patients with cirrhosis. Start these patients with a lower than normal dosage of Morphine Sulfate Injection and titrate slowly while monitoring for signs of respiratory depression, sedation, and hypotension [see Clinical Pharmacology (12.3)].

1 Indications and Usage (1 INDICATIONS AND USAGE)

Morphine Sulfate Injection is an opioid agonist indicated for the management of pain severe enough to require an opioid analgesic and for which alternative treatments are inadequate. (1)

Limitations of Use: (1)

Because of the risks of addiction, abuse, and misuse with opioids, which can occur at any dosage or duration (5.1), reserve Morphine Sulfate Injection for use in patients for whom alternative treatment options (e.g., non-opioid analgesics or opioid combination products):

  • Have not been tolerated or are not expected to be tolerated
  • Have not provided adequate analgesia or are not expected to provide adequate analgesia

Morphine Sulfate Injection should not be used for an extended period of time unless the pain remains severe enough to require an opioid analgesic and for which alternative treatment options continue to be inadequate.

5.10 Severe Hypotension

Morphine Sulfate Injection may cause severe hypotension including orthostatic hypotension and syncope in ambulatory patients. There is increased risk in patients whose ability to maintain blood pressure has already been compromised by a reduced blood volume or concurrent administration of certain CNS depressant drugs (e.g., phenothiazines or general anesthetics) [see Drug Interactions (7)].

Monitor these patients for signs of hypotension after initiating or titrating the dosage of Morphine Sulfate Injection. In patients with circulatory shock, Morphine Sulfate Injection may cause vasodilation that can further reduce cardiac output and blood pressure. Avoid the use of Morphine Sulfate Injection in patients with circulatory shock.

12.1 Mechanism of Action

Morphine is a full opioid agonist and is relatively selective for the mu-opioid receptor, although it can bind to other opioid receptors at higher doses. The principal therapeutic action of morphine is analgesia. Like all full opioid agonists, there is no ceiling effect for analgesia with morphine. Clinically, dosage is titrated to provide adequate analgesia and may be limited by adverse reactions, including respiratory and CNS depression.

The precise mechanism of the analgesic action is unknown. However, specific CNS opioid receptors for endogenous compounds with opioid-like activity have been identified throughout the brain and spinal cord and are thought to play a role in the analgesic effects of this drug.

9.1 Controlled Substance

Morphine Sulfate Injection contains morphine, a Schedule II controlled substance.

5.9 Adrenal Insufficiency

Cases of adrenal insufficiency have been reported with opioid use, more often following greater than one month of use. Presentation of adrenal insufficiency may include non-specific symptoms and signs including nausea, vomiting, anorexia, fatigue, weakness, dizziness, and low blood pressure. If adrenal insufficiency is suspected, confirm the diagnosis with diagnostic testing as soon as possible. If adrenal insufficiency is diagnosed, treat with physiologic replacement doses of corticosteroids. Wean the patient off of the opioid to allow adrenal function to recover and continue corticosteroid treatment until adrenal function recovers. Other opioids may be tried as some cases reported use of a different opioid without recurrence of adrenal insufficiency. The information available does not identify any particular opioids as being more likely to be associated with adrenal insufficiency.

5 Warnings and Precautions (5 WARNINGS AND PRECAUTIONS)
  • Cardiovascular Instability: High doses are excitatory. Have naloxone injection and resuscitative equipment immediately available. (5.5)
  • Opioid-Induced Hyperalgesia and Allodynia: Opioid-Induced Hyperalgesia (OIH) occurs when an opioid analgesic paradoxically causes an increase in pain, or an increase in sensitivity to pain. If OIH is suspected, carefully consider appropriately decreasing the dose of the current opioid analgesic or opioid rotation. (5.6)
  • Life-Threatening Respiratory Depression in Patients with Chronic Pulmonary Disease or in Elderly, Cachectic, or Debilitated Patients: Monitor closely, particularly during initiation and titration. (5.7)
  • Adrenal Insufficiency: If diagnosed, treat with physiologic replacement of corticosteroids, and wean patient off of the opioid. (5.9)
  • Severe Hypotension: Monitor during dosage initiation and titration. Avoid use of Morphine Sulfate Injection in patients with circulatory shock. (5.10)
  • Risks of Use in Patients with Increased Intracranial Pressure, Brain Tumors, Head Injury, or Impaired Consciousness: Monitor for sedation and respiratory depression. Avoid use of Morphine Sulfate Injection in patients with impaired consciousness or coma. (5.11)
2 Dosage and Administration (2 DOSAGE AND ADMINISTRATION)
  • Morphine Sulfate Injection should be prescribed only by healthcare professionals who are knowledgeable about the use of opioids and how to mitigate the associated risks. (2.1)
  • Use the lowest effective dosage for the shortest duration of time consistent with individual patient treatment goals. Reserve titration to higher doses of Morphine Sulfate Injection for patients in whom lower doses are insufficiently effective and in whom the expected benefits of using a higher dose opioid clearly outweigh the substantial risks. (2.1, 5)
  • Many acute pain conditions (e.g., the pain that occurs with a number of surgical procedures or acute musculoskeletal injuries) require no more than a few days of an opioid analgesic. Clinical guidelines on opioid prescribing for some acute pain conditions are available. (2.1)
  • Initiate the dosing regimen for each patient individually, taking into account the patient’s underlying cause and severity of pain, prior analgesic treatment and response, and risk factors for addiction, abuse, and misuse. (2.1, 5.1)
  • Respiratory depression can occur at any time during opioid therapy, especially when initiating the following dosage increases with Morphine Sulfate Injection. Consider this risk when selecting an initial dose and when making dose adjustments. (2.1, 5.2)
  • Direct Intravenous Injection: Initiate treatment with 0.1 mg to 0.2 mg per kg every 4 hours as needed to manage pain. (2.2)
  • Intramuscular Injection: Initiate treatment with 10 mg, every 4 hours as needed to manage pain (based on a 70 kg adult). (2.2)
  • Do not abruptly discontinue Morphine Sulfate Injection in a physically-dependent patient. (2.4)
3 Dosage Forms and Strengths (3 DOSAGE FORMS AND STRENGTHS)

Morphine Sulfate Injection, USP is available in the following strengths for intravenous (IV) and intramuscular (IM) administration.

2 mg/mL in 1 mL single‐dose prefilled syringe for IV or IM use.

4 mg/mL in 1 mL single‐dose prefilled syringe for IV or IM use.

8 Use in Specific Populations (8 USE IN SPECIFIC POPULATIONS)

Pregnancy: May cause fetal harm. (8.1)

5.5 Cardiovascular Instability

While low doses of intravenously administered morphine have little effect on cardiovascular stability, high doses are excitatory, resulting from sympathetic hyperactivity and increase in circulatory catecholamines. Have naloxone injection and resuscitative equipment immediately available for use in case of life-threatening or intolerable side effects and whenever morphine therapy is being initiated.

5.1 Addiction, Abuse, and Misuse

Morphine Sulfate Injection contains morphine, a Schedule II controlled substance. As an opioid, Morphine Sulfate Injection exposes users to the risks of addiction, abuse, and misuse [see Drug Abuse and Dependence (9)].

Although the risk of addiction in any individual is unknown, it can occur in patients appropriately prescribed Morphine Sulfate Injection. Addiction can occur at recommended dosages and if the drug is misused or abused.

Assess each patient's risk for opioid addiction, abuse, or misuse prior to prescribing Morphine Sulfate Injection, and monitor all patients receiving morphine sulfate for the development of these behaviors and conditions. Risks are increased in patients with a personal or family history of substance abuse (including drug or alcohol abuse or addiction) or mental illness (e.g., major depression). The potential for these risks should not, however, prevent the proper management of pain in any given patient. Patients at increased risk may be prescribed opioids such as Morphine Sulfate Injection, but use in such patients necessitates intensive counseling about the risks and proper use of Morphine Sulfate Injection, along with intensive monitoring for signs of addiction, abuse, and misuse.

Opioids are sought for nonmedical use and are subject to diversion from legitimate prescribed use.

Consider these risks when prescribing or dispensing Morphine Sulfate Injection. Strategies to reduce these risks include prescribing the drug in the smallest appropriate quantity. Contact local state professional licensing board or state-controlled substances authority for information on how to prevent and detect abuse or diversion of this product.

16 How Supplied/storage and Handling (16 HOW SUPPLIED/STORAGE AND HANDLING)

Morphine Sulfate Injection, USP is available for intravenous (IV) or intramuscular (IM) use as:

Product Code

Unit of Sale

Strength

Each

764411

NDC 76045-004-11 Unit of 10

2 mg/mL

NDC 76045-004-01

1 mL single-dose prefilled syringe

764511

NDC 76045-005-11 Unit of 10

4 mg/mL

NDC 76045-005-01

1 mL single-dose prefilled syringe

Store at 20°C to 25°C (68°F to 77°F) [See USP Controlled Room Temperature.]

PROTECT FROM LIGHT. DO NOT FREEZE.

5.15 Central Nervous System Toxicity

Dysphoric reactions may occur after any size dose and toxic psychoses have been reported.

5.4 Neonatal Opioid Withdrawal Syndrome

Use of Morphine Sulfate Injection for an extended period of time during pregnancy can result in withdrawal in the neonate. Neonatal opioid withdrawal syndrome, unlike opioid withdrawal syndrome in adults, may be life-threatening if not recognized and treated, and requires management according to protocols developed by neonatology experts. Observe newborns for signs of neonatal opioid withdrawal syndrome and manage accordingly. Advise pregnant women using opioids for an extended period of time of the risk of neonatal opioid withdrawal syndrome and ensure that management by neonatology experts will be available at delivery [see Use in Specific Populations (8.1)].

2.3 Titration and Maintenance of Therapy

Titrate the dose based upon individual patient’s response to their initial dose of Morphine Sulfate Injection. Individually titrate Morphine Sulfate Injection to a dose that provides adequate analgesia and minimizes adverse reactions. Continually reevaluate patients receiving Morphine Sulfate Injection to assess the maintenance of pain control, signs and symptoms of opioid withdrawal, and other adverse reactions, as well as monitoring for the development of addiction, abuse, or misuse [see Warnings and Precautions (5.1, 5.14)].

If the level of pain increases after dosage stabilization, attempt to identify the source of increased pain before increasing the Morphine Sulfate Injection dosage. If after increasing the dosage, unacceptable opioid-related adverse reactions are observed (including an increase in pain after a dosage increase), consider reducing the dosage [see Warnings and Precautions (5)]. Adjust the dosage to obtain an appropriate balance between management of pain and opioid-related adverse reactions.

5.2 Life Threatening Respiratory Depression (5.2 Life-Threatening Respiratory Depression)

Serious, life-threatening, or fatal respiratory depression has been reported with the use of opioids, even when used as recommended. Respiratory depression, if not immediately recognized and treated, may lead to respiratory arrest and death. Management of respiratory depression may include close observation, supportive measures, and use of opioid antagonists, depending on the patient's clinical status [see Overdosage (10)]. Carbon dioxide (CO2) retention from opioid-induced respiratory depression can exacerbate the sedating effects of opioids.

While serious, life-threatening, or fatal respiratory depression can occur at any time during the use of Morphine Sulfate Injection, the risk is greatest during the initiation of therapy or following a dosage increase. Because of a delay in the maximum CNS effect with intravenously administered Morphine Sulfate Injection (30 min), rapid administration may result in overdosing. The respiratory depression may be severe and could require intervention [see Overdosage (10)].

To reduce the risk of respiratory depression, proper dosing and titration of Morphine Sulfate Injection are essential [see Dosage and Administration (2)]. Overestimating the Morphine Sulfate Injection dosage when converting patients from another opioid product can result in a fatal overdose with the first dose.

Opioids can cause sleep-related breathing disorders including central sleep apnea (CSA) and sleep-related hypoxemia. Opioid use increases the risk of CSA in a dose-dependent fashion. In patients who present with CSA, consider decreasing the opioid dosage using best practices for opioid taper [see Dosage and Administration (2.4)].

5.17 Risks of Driving and Operating Machinery

Morphine Sulfate Injection may impair the mental or physical abilities needed to perform potentially hazardous activities such as driving a car or operating machinery. Warn patients not to drive or operate dangerous machinery unless they are tolerant to the effects of Morphine Sulfate Injection and know how they will react to the medication.

5.6 Opioid Induced Hyperalgesia and Allodynia (5.6 Opioid-Induced Hyperalgesia and Allodynia)

Opioid-Induced Hyperalgesia (OIH) occurs when an opioid analgesic paradoxically causes an increase in pain, or an increase in sensitivity to pain. This condition differs from tolerance, which is the need for increasing doses of opioids to maintain a defined effect [see Dependence (9.3)]. Symptoms of OIH include (but may not be limited to) increased levels of pain upon opioid dosage increase, decreased levels of pain upon opioid dosage decrease, or pain from ordinarily non-painful stimuli (allodynia). These symptoms may suggest OIH only if there is no evidence of underlying disease progression, opioid tolerance, opioid withdrawal, or addictive behavior.

Cases of OIH have been reported, both with short-term and longer-term use of opioid analgesics. Though the mechanism of OIH is not fully understood, multiple biochemical pathways have been implicated. Medical literature suggests a strong biologic plausibility between opioid analgesics and OIH and allodynia. If a patient is suspected to be experiencing OIH, carefully consider appropriately decreasing the dose of the current opioid analgesic or opioid rotation (safely switching the patient to a different opioid moiety) [see Dosage and Administration (2.4), Warnings and Precautions (5.14)].

5.16 Exposure, Hypothermia, Immersion and Shock

Caution must be used when injecting any opioid intramuscularly into chilled areas or in patients with hypotension or shock, since impaired perfusion may prevent complete absorption; if repeated injections are administered, an excessive amount may be suddenly absorbed if normal circulation is re-established.

5.8 Interactions With Monoamine Oxidase Inhibitors (5.8 Interactions with Monoamine Oxidase Inhibitors)

Monoamine oxidase inhibitors (MAOIs) may potentiate the effects of morphine, including respiratory depression, coma, and confusion. Morphine Sulfate Injection should not be used in patients taking MAOIs or within 14 days of stopping such treatment.

2.1 Important Dosage and Administration Instructions
  • Morphine Sulfate Injection is intended for intravenous and intramuscular administration.
  • Morphine Sulfate Injection is available in two concentrations for direct injection. Dosing errors can result in accidental overdose and death. Avoid dosing errors that may result from confusion between mg and mL and confusion with morphine injections of different concentrations when prescribing, dispensing, and administering Morphine Sulfate Injection. Ensure that the dose is communicated and dispensed accurately.
  • Administration of Morphine Sulfate Injection should be limited to use by those familiar with the management of respiratory depression. Morphine must be injected slowly; rapid intravenous administration may result in chest wall rigidity.
  • Morphine Sulfate Injection should be prescribed only by healthcare professionals who are knowledgeable about the use of opioids and how to mitigate the associated risks.
  • Use the lowest effective dosage for the shortest duration of time consistent with individual patient treatment goals [see Warnings and Precautions (5)]. Because the risk of overdose increases as opioid doses increase, reserve titration to higher doses of Morphine Sulfate Injection for patients in whom lower doses are insufficiently effective and in whom the expected benefits of using a higher dose opioid clearly outweigh the substantial risks.
  • Many acute pain conditions (e.g., the pain that occurs with a number of surgical procedures or acute musculoskeletal injuries) require no more than a few days of an opioid analgesic. Clinical guidelines on opioid prescribing for some acute pain conditions are available.
  • There is a variability in the opioid analgesic dose and duration needed to adequately manage pain due both to the cause of pain and to individual patient factors. Initiate the dosing regimen for each patient individually, taking into account the patient’s underlying cause and severity of pain, prior analgesic treatment and response, and risk factors for addiction, abuse, and misuse [see Warnings and Precautions (5.1)].
  • Respiratory depression can occur at any time during opioid therapy, especially when initiating the following dosage increases with Morphine Sulfate Injection. Consider this risk when selecting an initial dose and when making dose adjustments [see Warnings and Precautions (5)].
  • Inspect Morphine Sulfate Injection for particulate matter and discoloration prior to administration.
5.12 Risks of Use in Patients With Gastrointestinal Conditions (5.12 Risks of Use in Patients with Gastrointestinal Conditions)

Morphine Sulfate Injection is contraindicated in patients with known or suspected gastrointestinal obstruction, including paralytic ileus.

The morphine in Morphine Sulfate Injection may cause spasm of the sphincter of Oddi. Opioids may cause increases in serum amylase. Monitor patients with biliary tract disease, including acute pancreatitis, for worsening symptoms.

Package Label Principal Display – Morphine 1 Ml Tip Cap Label (PACKAGE LABEL - PRINCIPAL DISPLAY – Morphine 1 mL Tip Cap Label)

Morphine Sulfate Injection, USP  CII

4 mg/mL


For IM or IV use ONLY.

Package Label Principal Display – morphine 1 Ml Carton Panel (PACKAGE LABEL - PRINCIPAL DISPLAY – Morphine 1 mL Carton Panel)

Rx only

764411      NDC 76045-004-11

Morphine Sulfate Injection, USP  CII

2 mg/mL


For Intramuscular or Intravenous use.

Do NOT dilute for IV push.

Do NOT place syringe on a Sterile Field.

10 x 1 mL single-dose prefilled syringes

Discard unused portion

Package Label Principal Display – morphine 1 Ml Tip Cap Label (PACKAGE LABEL - PRINCIPAL DISPLAY – Morphine 1 mL Tip Cap Label)

Morphine Sulfate Injection, USP  CII

2 mg/mL


For IM or IV use ONLY.

2.4 Safe Reduction Or Discontinuation of Morphine Sulfate Injection (2.4 Safe Reduction or Discontinuation of Morphine Sulfate Injection)

When a patient who has been taking Morphine Sulfate Injection regularly and may be physically dependent or no longer requires therapy with Morphine Sulfate Injection, taper the dose gradually, by 25% to 50% every 2 to 4 days, while regularly evaluating for signs and symptoms of withdrawal. If the patient develops these signs or symptoms, raise the dose to the previous level and taper more slowly, either by increasing the interval between decreases, decreasing the amount of change in dose, or both. Do not abruptly discontinue Morphine Sulfate Injection in a physically-dependent patient [see Warnings and Precautions (5.14), Drug Abuse and Dependence (9.3)].

Package Label – Principal Display Panel – Morphine 1 Ml Syringe Label (PACKAGE LABEL – PRINCIPAL DISPLAY PANEL – Morphine 1 mL Syringe Label)

For IM or IV use. 1mL Single-Dose.

Morphine Sulfate Injection, USP  CII

2 mg/mL

Rx only

5.3 Risks From Concomitant Use With Benzodiazepines Or Other Cns Depressants (5.3 Risks from Concomitant Use with Benzodiazepines or Other CNS Depressants)

Profound sedation, respiratory depression, coma, and death may result from the concomitant use of Morphine Sulfate Injection with benzodiazepines and/or other CNS depressants, including alcohol (e.g., non-benzodiazepine sedatives/hypnotics, anxiolytics, tranquilizers, muscle relaxants, general anesthetics, antipsychotics, other opioids). Because of these risks, reserve concomitant prescribing of these drugs for use in patients for whom alternative treatment options are inadequate.

Observational studies have demonstrated that concomitant use of opioid analgesics and benzodiazepines increases the risk of drug-related mortality compared to use of opioid analgesics alone. Because of similar pharmacological properties, it is reasonable to expect similar risk with the concomitant use of other CNS depressant drugs with opioid analgesics [see Drug Interactions (7)].

If the decision is made to prescribe a benzodiazepine or other CNS depressant concomitantly with an opioid analgesic, prescribe the lowest effective dosages and minimum durations of concomitant use. In patients already receiving an opioid analgesic, prescribe a lower initial dose of the benzodiazepine or other CNS depressant than indicated in the absence of an opioid, and titrate based on clinical response. If an opioid analgesic is initiated in a patient already taking a benzodiazepine or other CNS depressant, prescribe a lower initial dose of the opioid analgesic, and titrate based on clinical response. Monitor patients closely for signs and symptoms of respiratory depression and sedation.

Warning: Serious and Life Threatening Risks From Use of Morphine Sulfate Injection (WARNING: SERIOUS AND LIFE-THREATENING RISKS FROM USE OF MORPHINE SULFATE INJECTION)

WARNING: SERIOUS AND LIFE-THREATENING RISKS FROM USE OF MORPHINE SULFATE INJECTION

See full prescribing information for complete boxed warning .

  • Morphine Sulfate Injection exposes users to risks of addiction, abuse, and misuse, which can lead to overdose and death. Assess patient's risk before prescribing and reassess regularly for these behaviors and conditions. (5.1)
  • Serious, life-threatening, or fatal respiratory depression may occur. Monitor closely, especially upon initiation or following a dosage increase. To reduce the risk of respiratory depression, proper dosing and titration of Morphine Sulfate Injection are essential. (5.2)
  • Concomitant use of opioids with benzodiazepines or other central nervous system (CNS) depressants, including alcohol, may result in profound sedation, respiratory depression, coma, and death. Reserve concomitant prescribing for use in patients for whom alternative treatment options are inadequate. (5.3, 7)
  • If opioid use is required for an extended period of time in a pregnant woman, advise the patient of the risk of Neonatal Opioid Withdrawal Syndrome, which may be life-threatening if not recognized and treated. Ensure that management by neonatology experts will be available at delivery. (5.4)
5.11 Risks of Use in Patients With Increased Intracranial Pressure, Brain Tumors, Head Injury, Or Impaired Consciousness (5.11 Risks of Use in Patients with Increased Intracranial Pressure, Brain Tumors, Head Injury, or Impaired Consciousness)

In patients who may be susceptible to the intracranial effects of CO2 retention (e.g., those with evidence of increased intracranial pressure or brain tumors), Morphine Sulfate Injection may reduce respiratory drive, and the resultant CO2 retention can further increase intracranial pressure. Monitor such patients for signs of sedation and respiratory depression, particularly when initiating therapy with Morphine Sulfate Injection.

Opioids may also obscure the clinical course in a patient with a head injury. Avoid the use of Morphine Sulfate Injection in patients with impaired consciousness or coma.

5.7 Life Threatening Respiratory Depression in Patients With Chronic Pulmonary Disease Or in Elderly, Cachectic, Or Debilitated Patients (5.7 Life-Threatening Respiratory Depression in Patients with Chronic Pulmonary Disease or in Elderly, Cachectic, or Debilitated Patients)

The use of Morphine Sulfate Injection in patients with acute or severe bronchial asthma in an unmonitored setting or in the absence of resuscitative equipment is contraindicated.

Patients with Chronic Pulmonary Disease: Morphine Sulfate Injection-treated patients with significant chronic obstructive pulmonary disease or cor pulmonale, and those with a substantially decreased respiratory reserve, hypoxia, hypercapnia, or pre-existing respiratory depression are at increased risk of decreased respiratory drive including apnea, even at recommended dosages of Morphine Sulfate Injection [see Warnings and Precautions (5.2)].

Elderly, Cachectic, or Debilitated Patients: Life-threatening respiratory depression is more likely to occur in elderly, cachectic, or debilitated patients because they may have altered pharmacokinetics or altered clearance compared to younger, healthier patients [see Warnings and Precautions (5.2)].

Monitor such patients closely, particularly when initiating and titrating Morphine Sulfate Injection and when Morphine Sulfate Injection is given concomitantly with other drugs that depress respiration [see Warnings and Precautions (5.2, 5.3), Drug Interactions (7)]. Alternatively, consider the use of non-opioid analgesics in these patients.


Advanced Ingredient Data


Raw Label Data

All Sections (JSON)