These Highlights Do Not Include All The Information Needed To Use Latanoprostene Bunod Ophthalmic Solution Safely And Effectively. See Full Prescribing Information For Latanoprostene Bunod Ophthalmic Solution.

These Highlights Do Not Include All The Information Needed To Use Latanoprostene Bunod Ophthalmic Solution Safely And Effectively. See Full Prescribing Information For Latanoprostene Bunod Ophthalmic Solution.
SPL v6
SPL
SPL Set ID 1beedfbd-5e2b-4ab1-ab8e-8320e69af1ea
Route
OPHTHALMIC
Published
Effective Date 2022-12-31
Document Type 34391-3 Human Prescription Drug Label

Drug Facts

Composition & Product

Active Ingredients
Latanoprost Acid (0.24 mg)
Inactive Ingredients
Benzalkonium Chloride Polysorbate 80 Glycerin Edetate Sodium Anhydrous Citric Acid Trisodium Citrate Dihydrate Water

Identifiers & Packaging

Marketing Status
ANDA Active Since 2025-04-29

Description

Latanoprostene bunod ophthalmic solution, 0.024% is indicated for the reduction of intraocular pressure (IOP) in patients with open-angle glaucoma or ocular hypertension.

Indications and Usage

Latanoprostene bunod ophthalmic solution, 0.024% is indicated for the reduction of intraocular pressure (IOP) in patients with open-angle glaucoma or ocular hypertension.

Dosage and Administration

The recommended dosage is one drop in the conjunctival sac of the affected eye(s) once daily in the evening. Do not administer latanoprostene bunod ophthalmic solution, 0.024% more than once daily since it has been shown that more frequent administration of prostaglandin analogs may lessen the intraocular pressure lowering effect. If latanoprostene bunod ophthalmic solution is to be used concomitantly with other topical ophthalmic drug products to lower intraocular pressure, administer each drug product at least five (5) minutes apart.

Warnings and Precautions

• Pigmentation: Increased pigmentation of the iris and periorbital tissue (eyelid) can occur. Iris pigmentation is likely to be permanent. ( 5.1 ) • Eyelash changes: Gradual changes to eyelashes including increased length, increased thickness and number of eyelashes. Usually reversible upon discontinuation of treatment. ( 5.2 )

Contraindications

None.

Adverse Reactions

The following adverse reactions are described elsewhere in the labeling: • Pigmentation [ see Warnings and Precautions (5.1) ] • Eyelash Changes [ see Warnings and Precautions (5.2) ] • Intraocular Inflammation [ see Warnings and Precautions (5.3) ] • Macular Edema [ see Warnings and Precautions (5.4) ] • Bacterial Keratitis [ see Warnings and Precautions (5.5) ] • Use with Contact Lens [ see Warnings and Precautions (5.6 )]

Storage and Handling

Latanoprostene bunod ophthalmic solution, 0.024% is supplied in low density polyethylene bottles with dropper tips and turquoise caps in the following sizes:         2.5 mL fill in a 4 mL white container - NDC 68083-563-01         5 mL fill in a 7 mL Natural container - NDC 68083-564-01 Storage: Unopened bottle should be stored refrigerated at 2º to 8ºC (36º to 46ºF). Once a bottle is opened it may be stored at 2º to 25ºC (36º to 77ºF) for 8 weeks. During shipment, bottles may be maintained at temperatures up to 40°C (104°F) for a period not exceeding 14 days. Protect from light. Protect from freezing.

How Supplied

Latanoprostene bunod ophthalmic solution, 0.024% is supplied in low density polyethylene bottles with dropper tips and turquoise caps in the following sizes:         2.5 mL fill in a 4 mL white container - NDC 68083-563-01         5 mL fill in a 7 mL Natural container - NDC 68083-564-01 Storage: Unopened bottle should be stored refrigerated at 2º to 8ºC (36º to 46ºF). Once a bottle is opened it may be stored at 2º to 25ºC (36º to 77ºF) for 8 weeks. During shipment, bottles may be maintained at temperatures up to 40°C (104°F) for a period not exceeding 14 days. Protect from light. Protect from freezing.


Medication Information

Warnings and Precautions

• Pigmentation: Increased pigmentation of the iris and periorbital tissue (eyelid) can occur. Iris pigmentation is likely to be permanent. ( 5.1 ) • Eyelash changes: Gradual changes to eyelashes including increased length, increased thickness and number of eyelashes. Usually reversible upon discontinuation of treatment. ( 5.2 )

Indications and Usage

Latanoprostene bunod ophthalmic solution, 0.024% is indicated for the reduction of intraocular pressure (IOP) in patients with open-angle glaucoma or ocular hypertension.

Dosage and Administration

The recommended dosage is one drop in the conjunctival sac of the affected eye(s) once daily in the evening. Do not administer latanoprostene bunod ophthalmic solution, 0.024% more than once daily since it has been shown that more frequent administration of prostaglandin analogs may lessen the intraocular pressure lowering effect. If latanoprostene bunod ophthalmic solution is to be used concomitantly with other topical ophthalmic drug products to lower intraocular pressure, administer each drug product at least five (5) minutes apart.

Contraindications

None.

Adverse Reactions

The following adverse reactions are described elsewhere in the labeling: • Pigmentation [ see Warnings and Precautions (5.1) ] • Eyelash Changes [ see Warnings and Precautions (5.2) ] • Intraocular Inflammation [ see Warnings and Precautions (5.3) ] • Macular Edema [ see Warnings and Precautions (5.4) ] • Bacterial Keratitis [ see Warnings and Precautions (5.5) ] • Use with Contact Lens [ see Warnings and Precautions (5.6 )]

Storage and Handling

Latanoprostene bunod ophthalmic solution, 0.024% is supplied in low density polyethylene bottles with dropper tips and turquoise caps in the following sizes:         2.5 mL fill in a 4 mL white container - NDC 68083-563-01         5 mL fill in a 7 mL Natural container - NDC 68083-564-01 Storage: Unopened bottle should be stored refrigerated at 2º to 8ºC (36º to 46ºF). Once a bottle is opened it may be stored at 2º to 25ºC (36º to 77ºF) for 8 weeks. During shipment, bottles may be maintained at temperatures up to 40°C (104°F) for a period not exceeding 14 days. Protect from light. Protect from freezing.

How Supplied

Latanoprostene bunod ophthalmic solution, 0.024% is supplied in low density polyethylene bottles with dropper tips and turquoise caps in the following sizes:         2.5 mL fill in a 4 mL white container - NDC 68083-563-01         5 mL fill in a 7 mL Natural container - NDC 68083-564-01 Storage: Unopened bottle should be stored refrigerated at 2º to 8ºC (36º to 46ºF). Once a bottle is opened it may be stored at 2º to 25ºC (36º to 77ºF) for 8 weeks. During shipment, bottles may be maintained at temperatures up to 40°C (104°F) for a period not exceeding 14 days. Protect from light. Protect from freezing.

Description

Latanoprostene bunod ophthalmic solution, 0.024% is indicated for the reduction of intraocular pressure (IOP) in patients with open-angle glaucoma or ocular hypertension.

8.1 Pregnancy

Risk Summary

There are no available human data for the use of Latanoprostene bunod ophthalmic solution during pregnancy to inform any drug associated risks.

Latanoprostene bunod has caused miscarriages, abortion, and fetal harm in rabbits. Latanoprostene bunod was shown to be abortifacient and teratogenic when administered intravenously (IV) to pregnant rabbits at exposures ≥ 0.28 times the clinical dose. Doses ≥ 20 mcg/kg/day (23 times the clinical dose) produced 100% embryofetal lethality. Structural abnormalities observed in rabbit fetuses included anomalies of the great vessels and aortic arch vessels, domed head, sternebral and vertebral skeletal anomalies, limb hyperextension and malrotation, abdominal distension and edema. Latanoprostene bunod was not teratogenic in the rat when administered IV at 150 mcg/kg/day (87 times the clinical dose) [see Data].

The background risk of major birth defects and miscarriage for the indicated population is unknown. However, the background risk in the U.S. general population of major birth defects is 2 to 4%, and of miscarriage is 15 to 20%, of clinically recognized pregnancies. 

Data

Animal Data

Embryofetal studies were conducted in pregnant rabbits administered latanoprostene bunod daily by intravenous injection on gestation days 7 through 19, to target the period of organogenesis. The doses administered ranged from 0.24 to 80 mcg/kg/day. Abortion occurred at doses ≥ 0.24 mcg/kg/day latanoprostene bunod (0.28 times the clinical dose, on a body surface area basis, assuming 100% absorption). Embryofetal lethality (resorption) was increased in latanoprostene bunod treatment groups, as evidenced by increases in early resorptions at doses ≥ 0.24 mcg/kg/day and late resorptions at doses ≥ 6 mcg/kg/day (approximately 7 times the clinical dose). No fetuses survived in any rabbit pregnancy at doses of 20 mcg/kg/day (23 times the clinical dose) or greater. Latanoprostene bunod produced structural abnormalities at doses ≥ 0.24 mcg/kg/day (0.28 times the clinical dose). Malformations included anomalies of sternum, coarctation of the aorta with pulmonary trunk dilation, retroesophageal subclavian artery with absent brachiocephalic artery, domed head, forepaw hyperextension and hindlimb malrotation, abdominal distention/edema, and missing/fused caudal vertebrae.



An embryofetal study was conducted in pregnant rats administered latanoprostene bunod daily by intravenous injection on gestation days 7 through 17, to target the period of organogenesis. The doses administered ranged from 150 to 1500 mcg/kg/day. Maternal toxicity was produced at 1500 mcg/kg/day (870 times the clinical dose, on a body surface area basis, assuming 100% absorption), as evidenced by reduced maternal weight gain. Embryofetal lethality (resorption and fetal death) and structural anomalies were produced at doses ≥ 300 mcg/kg/day (174 times the clinical dose). Malformations included anomalies of the sternum, domed head, forepaw hyperextension and hindlimb malrotation, vertebral anomalies and delayed ossification of distal limb bones. A no observed adverse effect level (NOAEL) was established at 150 mcg/kg/day (87 times the clinical dose) in this study.

8.2 Lactation

Risk Summary

There are no data on the presence of latanoprostene bunod in human milk, the effects on the breastfed infant, or the effects on milk production. The developmental and health benefits of breastfeeding should be considered, along with the mother’s clinical need for latanoprostene bunod ophthalmic solution and any potential adverse effects on the breastfed infant from latanoprostene bunod ophthalmic solution.

11 Description

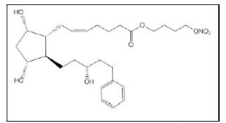
Latanoprostene bunod ophthalmic solution, 0.024% is a prostaglandin analog formulated as a sterile topical ophthalmic solution. Latanoprostene bunod ophthalmic solution contains the active ingredient latanoprostene bunod 0.24 mg/mL, the preservative benzalkonium chloride 0.2 mg/mL, and the following inactive ingredients: polysorbate 80, glycerin, EDTA, and water. The formulation is buffered to pH 5.5 with citric acid/sodium citrate.

Its chemical name is 4-(Nitrooxy)butyl (5Z)-7-{(1R,2R,3R,5S)-3,5-dihydroxy-2-[(3R)-3-hydroxy-5-phenylpentyl]cyclopentyl}hept-5-enoate. Its molecular formula is C27H41NO8. Molecular weight: 507.62.

Its chemical structure is



Latanoprostene bunod is a colorless to pale yellow viscous oil.

5.1 Pigmentation

Latanoprostene bunod ophthalmic solution, 0.024% may cause changes to pigmented tissues. The most frequently reported changes with prostaglandin analogs have been increased pigmentation of the iris and periorbital tissue (eyelid).



Pigmentation is expected to increase as long as Latanoprostene bunod ophthalmic solution is administered. The pigmentation change is due to increased melanin content in the melanocytes rather than to an increase in the number of melanocytes. After discontinuation of latanoprostene bunod ophthalmic solution, pigmentation of the iris is likely to be permanent, while pigmentation of the periorbital tissue and eyelash changes are likely to be reversible in most patients. Patients who receive prostaglandin analogs, including latanoprostene bunod ophthalmic solution, should be informed of the possibility of increased pigmentation, including permanent changes. The long-term effects of increased pigmentation are not known.



Iris color change may not be noticeable for several months to years. Typically, the brown pigmentation around the pupil spreads concentrically towards the periphery of the iris and the entire iris or parts of the iris become more brownish. Neither nevi nor freckles of the iris appear to be affected by treatment. While treatment with latanoprostene bunod ophthalmic solution, 0.024% can be continued in patients who develop noticeably increased iris pigmentation, these patients should be examined regularly [see Patient Counseling Information (17)].

5.4 Macular Edema

Macular edema, including cystoid macular edema, has been reported during treatment with prostaglandin analogs. Latanoprostene bunod ophthalmic solution should be used with caution in aphakic patients, in pseudophakic patients with a torn posterior lens capsule, or in patients with known risk factors for macular edema.

8.4 Pediatric Use

Use in pediatric patients aged 16 years and younger is not recommended because of potential safety concerns related to increased pigmentation following long-term chronic use.

8.5 Geriatric Use

No overall clinical differences in safety or effectiveness have been observed between elderly and other adult patients.

14 Clinical Studies

In clinical studies up to 12 months duration, patients with open-angle glaucoma or ocular hypertension with average baseline intraocular pressures (IOPs) of 26.7 mmHg, the IOP-lowering effect of latanoprostene bunod ophthalmic solution, 0.024% once daily (in the evening) was up to 7 to 9 mmHg.

4 Contraindications

None.

5.2 Eyelash Changes

Latanoprostene bunod ophthalmic solution may gradually change eyelashes and vellus hair in the treated eye. These changes include increased length, thickness, and the number of lashes or hairs. Eyelash changes are usually reversible upon discontinuation of treatment.

6 Adverse Reactions

The following adverse reactions are described elsewhere in the labeling:

• Pigmentation [see Warnings and Precautions (5.1)]

• Eyelash Changes [see Warnings and Precautions (5.2)]

• Intraocular Inflammation [see Warnings and Precautions (5.3)]

• Macular Edema [see Warnings and Precautions (5.4)]

• Bacterial Keratitis [see Warnings and Precautions (5.5)]

• Use with Contact Lens [see Warnings and Precautions (5.6)]

12.2 Pharmacodynamics

Reduction of the intraocular pressure starts approximately 1 to 3 hours after the first administration with the maximum effect reached after 11to13 hours in eyes with elevated intraocular pressure.

12.3 Pharmacokinetics


Absorption



The systemic exposure of latanoprostene bunod and its metabolites latanoprost acid and butanediol mononitrate were evaluated in one study with 22 healthy subjects after topical ocular administration of latanoprostene bunod ophthalmic solution, 0.024% once daily (one drop bilaterally in the morning) for 28 days. There were no quantifiable plasma concentrations of latanoprostene bunod (lower limit of quantitation, LLOQ, of 10.0 pg/mL) or butanediol mononitrate (LLOQ of 200 pg/mL) post-dose on Day 1 and Day 28. The mean maximal plasma concentrations (Cmax) of latanoprost acid (LLOQ of 30 pg/mL) were 59.1 pg/mL and 51.1 pg/mL on Day 1 and Day 28, respectively. The mean time of maximal plasma concentration (Tmax) for latanoprost acid was approximately 5 minutes post-administration on both Day 1 and Day 28.



Distribution



There were no ocular distribution studies performed in humans.



Metabolism

 

After topical ocular administration, latanoprostene bunod is rapidly metabolized in the eye to latanoprost acid (active moiety), an F2α prostaglandin analog, and butanediol mononitrate. After latanoprost acid reaches the systemic circulation, it is primarily metabolized by the liver to the 1,2-dinor and 1,2,3,4-tetranor metabolites via fatty acid β-oxidation.



Butanediol mononitrate is metabolized to 1,4-butanediol and nitric oxide. The metabolite 1,4-butanediol is further oxidized to succinic acid and enters the tricarboxylic acid (TCA) cycle.



Elimination

The elimination of latanoprost acid from human plasma is rapid as latanoprost acid plasma concentration dropped below the LLOQ (30 pg/mL) in the majority of subjects by 15 minutes following ocular administration of latanoprostene bunod ophthalmic solution, 0.024% in humans.

1 Indications and Usage

Latanoprostene bunod ophthalmic solution, 0.024% is indicated for the reduction of intraocular pressure (IOP) in patients with open-angle glaucoma or ocular hypertension.

5.5 Bacterial Keratitis

There have been reports of bacterial keratitis associated with the use of multiple-dose containers of topical ophthalmic products. These containers had been inadvertently contaminated by patients who, in most cases, had a concurrent corneal disease or a disruption of the ocular epithelial surface.

12.1 Mechanism of Action

Latanoprostene bunod is thought to lower intraocular pressure by increasing outflow of aqueous humor through both the trabecular meshwork and uveoscleral routes. Intraocular pressure is a major modifiable risk factor for glaucoma progression. Reduction of intraocular pressure reduces risk of glaucomatous visual field loss.

5.6 Use With Contact Lens

Contact lenses should be removed prior to the administration of latanoprostene bunod ophthalmic solution because this product contains benzalkonium chloride. Lenses may be reinserted 15 minutes after administration.

5 Warnings and Precautions

• Pigmentation: Increased pigmentation of the iris and periorbital tissue (eyelid) can occur. Iris pigmentation is likely to be permanent. (5.1)

• Eyelash changes: Gradual changes to eyelashes including increased length, increased thickness and number of eyelashes. Usually reversible upon discontinuation of treatment. (5.2)

2 Dosage and Administration

The recommended dosage is one drop in the conjunctival sac of the affected eye(s) once daily in the evening. Do not administer latanoprostene bunod ophthalmic solution, 0.024% more than once daily since it has been shown that more frequent administration of prostaglandin analogs may lessen the intraocular pressure lowering effect.

If latanoprostene bunod ophthalmic solution is to be used concomitantly with other topical ophthalmic drug products to lower intraocular pressure, administer each drug product at least five (5) minutes apart.

3 Dosage Forms and Strengths

Latanoprostene bunod ophthalmic solution is a topical ophthalmic solution containing latanoprostene bunod, 0.24 mg/mL.

5.3 Intraocular Inflammation

Latanoprostene bunod ophthalmic solution should be used with caution in patients with a history of intraocular inflammation (iritis/uveitis) and should generally not be used in patients with active intraocular inflammation as it may exacerbate this condition.

6.1 Clinical Trials Experience

Because clinical trials are conducted under widely varying conditions, adverse reaction rates observed in the clinical trials of a drug cannot be directly compared to rates in the clinical trials of another drug and may not reflect the rates observed in practice.



Latanoprostene bunod ophthalmic solution was evaluated in 811 patients in 2 controlled clinical trials of up to 12 months duration. The most common ocular adverse reactions observed in patients treated with latanoprostene bunod were: conjunctival hyperemia (6%), eye irritation (4%), eye pain (3%), and instillation site pain (2%). Approximately 0.6% of patients discontinued therapy due to ocular adverse reactions including ocular hyperemia, conjunctival irritation, eye irritation, eye pain, conjunctival edema, vision blurred, punctate keratitis and foreign body sensation.

17 Patient Counseling Information

• Potential for Pigmentation

Patients should be advised about the potential for increased brown pigmentation of the iris, which may be permanent. Patients should also be informed about the possibility of eyelid skin darkening, which is usually reversible after discontinuation of latanoprostene bunod ophthalmic solution.

• Potential for Eyelash Changes

Patients should also be informed of the possibility of eyelash and vellus hair changes in the treated eye during treatment with latanoprostene bunod ophthalmic solution. These changes may result in a disparity between eyes in length, thickness, pigmentation, number of eyelashes or vellus hairs, and/or direction of eyelash growth. Eyelash changes are usually reversible upon discontinuation of treatment.

• Handling the Container

Patients should be instructed to avoid allowing the tip of the dispensing container to contact the eye, surrounding structures, fingers, or any other surface in order to avoid contamination of the solution by common bacteria known to cause ocular infections. Serious damage to the eye and subsequent loss of vision may result from using contaminated solutions.

• When to Seek Physician Advice

Advise patients that if they develop a new ocular condition (e.g., trauma or infection), experience a sudden decrease in visual acuity, have ocular surgery, or develop any ocular reactions, particularly conjunctivitis and eyelid reactions, they should immediately seek their physician’s advice concerning the continued use of latanoprostene bunod ophthalmic solution.

• Use with Contact Lenses

Contact lenses should be removed prior to administration of the solution. Lenses may be reinserted 15 minutes following administration of latanoprostene bunod ophthalmic solution.

• Use with Other Ophthalmic Drugs

If more than one topical ophthalmic drug is being used, the drugs should be administered with at least five (5) minutes between applications.

Manufactured by:

Gland Pharma Limited

Hyderabad-500043, India



Issued: December 2022



16 How Supplied/storage and Handling

Latanoprostene bunod ophthalmic solution, 0.024% is supplied in low density polyethylene bottles with dropper tips and turquoise caps in the following sizes:

        2.5 mL fill in a 4 mL white container - NDC 68083-563-01

        5 mL fill in a 7 mL Natural container - NDC 68083-564-01

Storage: Unopened bottle should be stored refrigerated at 2º to 8ºC (36º to 46ºF). Once a bottle is opened it may be stored at 2º to 25ºC (36º to 77ºF) for 8 weeks.

During shipment, bottles may be maintained at temperatures up to 40°C (104°F) for a period not exceeding 14 days.

Protect from light. Protect from freezing.

Package Label.principal Display Panel

Carton Label - 2.5 mL

NDC 68083-563-01

Latanoprostene Bunod Ophthalmic Solution, 0.024% 

For Topical ophthalmic use

Rx only

2.5 mL

Sterile



 

Bottle Label - 2.5 mL

NDC 68083-563-01

Latanoprostene Bunod Ophthalmic Solution, 0.024% 

For Topical ophthalmic use

Rx only

2.5 mL

Sterile





Carton Label - 5 mL

NDC 68083-564-01

Latanoprostene Bunod Ophthalmic Solution, 0.024% 

For Topical ophthalmic use

Rx only

5 mL

Sterile





Bottle Label - 5 mL

NDC 68083-564-01

Latanoprostene Bunod Ophthalmic Solution, 0.024% 

For Topical ophthalmic use

Rx only

5 mL

Sterile





13.2 Animal Toxicology And/or Pharmacology

A 9-month toxicology study administered topical ocular doses of latanoprostene bunod to one eye of cynomolgus monkeys: control (vehicle only), one drop of 0.024% bid, one drop of 0.04% bid and two drops of 0.04% per dose, bid. The systemic exposures are equivalent to 4.2-fold, 7.9-fold, and 13.5- fold the clinical dose, respectively, on a body surface area basis (assuming 100% absorption). Microscopic evaluation of the lungs after 9 months observed pleural/subpleural chronic fibrosis/inflammation in the 0.04% dose male groups, with increasing incidence and severity compared to controls. Lung toxicity was not observed at the 0.024% dose.

13.1 Carcinogenesis, Mutagenesis, Impairment of Fertility

Latanoprostene bunod was not mutagenic in bacteria and did not induce micronuclei formation in the in vivo rat bone marrow micronucleus assay. Chromosomal aberrations were observed in vitro with human lymphocytes in the absence of metabolic activation.



Latanoprostene bunod has not been tested for carcinogenic activity in long-term animal studies. Latanoprost acid is a main metabolite of latanoprostene bunod. Exposure of rats and mice to latanoprost acid, resulting from oral dosing with latanoprost in lifetime rodent bioassays, was not carcinogenic.



Fertility studies have not been conducted with latanoprostene bunod. The potential to impact fertility can be partially characterized by exposure to latanoprost acid, a common metabolite of both latanoprostene bunod and latanoprost. Latanoprost acid has not been found to have any effect on male or female fertility in animal studies.


Structured Label Content

8.1 Pregnancy

Risk Summary

There are no available human data for the use of Latanoprostene bunod ophthalmic solution during pregnancy to inform any drug associated risks.

Latanoprostene bunod has caused miscarriages, abortion, and fetal harm in rabbits. Latanoprostene bunod was shown to be abortifacient and teratogenic when administered intravenously (IV) to pregnant rabbits at exposures ≥ 0.28 times the clinical dose. Doses ≥ 20 mcg/kg/day (23 times the clinical dose) produced 100% embryofetal lethality. Structural abnormalities observed in rabbit fetuses included anomalies of the great vessels and aortic arch vessels, domed head, sternebral and vertebral skeletal anomalies, limb hyperextension and malrotation, abdominal distension and edema. Latanoprostene bunod was not teratogenic in the rat when administered IV at 150 mcg/kg/day (87 times the clinical dose) [see Data].

The background risk of major birth defects and miscarriage for the indicated population is unknown. However, the background risk in the U.S. general population of major birth defects is 2 to 4%, and of miscarriage is 15 to 20%, of clinically recognized pregnancies. 

Data

Animal Data

Embryofetal studies were conducted in pregnant rabbits administered latanoprostene bunod daily by intravenous injection on gestation days 7 through 19, to target the period of organogenesis. The doses administered ranged from 0.24 to 80 mcg/kg/day. Abortion occurred at doses ≥ 0.24 mcg/kg/day latanoprostene bunod (0.28 times the clinical dose, on a body surface area basis, assuming 100% absorption). Embryofetal lethality (resorption) was increased in latanoprostene bunod treatment groups, as evidenced by increases in early resorptions at doses ≥ 0.24 mcg/kg/day and late resorptions at doses ≥ 6 mcg/kg/day (approximately 7 times the clinical dose). No fetuses survived in any rabbit pregnancy at doses of 20 mcg/kg/day (23 times the clinical dose) or greater. Latanoprostene bunod produced structural abnormalities at doses ≥ 0.24 mcg/kg/day (0.28 times the clinical dose). Malformations included anomalies of sternum, coarctation of the aorta with pulmonary trunk dilation, retroesophageal subclavian artery with absent brachiocephalic artery, domed head, forepaw hyperextension and hindlimb malrotation, abdominal distention/edema, and missing/fused caudal vertebrae.



An embryofetal study was conducted in pregnant rats administered latanoprostene bunod daily by intravenous injection on gestation days 7 through 17, to target the period of organogenesis. The doses administered ranged from 150 to 1500 mcg/kg/day. Maternal toxicity was produced at 1500 mcg/kg/day (870 times the clinical dose, on a body surface area basis, assuming 100% absorption), as evidenced by reduced maternal weight gain. Embryofetal lethality (resorption and fetal death) and structural anomalies were produced at doses ≥ 300 mcg/kg/day (174 times the clinical dose). Malformations included anomalies of the sternum, domed head, forepaw hyperextension and hindlimb malrotation, vertebral anomalies and delayed ossification of distal limb bones. A no observed adverse effect level (NOAEL) was established at 150 mcg/kg/day (87 times the clinical dose) in this study.

8.2 Lactation

Risk Summary

There are no data on the presence of latanoprostene bunod in human milk, the effects on the breastfed infant, or the effects on milk production. The developmental and health benefits of breastfeeding should be considered, along with the mother’s clinical need for latanoprostene bunod ophthalmic solution and any potential adverse effects on the breastfed infant from latanoprostene bunod ophthalmic solution.

11 Description (11 DESCRIPTION)

Latanoprostene bunod ophthalmic solution, 0.024% is a prostaglandin analog formulated as a sterile topical ophthalmic solution. Latanoprostene bunod ophthalmic solution contains the active ingredient latanoprostene bunod 0.24 mg/mL, the preservative benzalkonium chloride 0.2 mg/mL, and the following inactive ingredients: polysorbate 80, glycerin, EDTA, and water. The formulation is buffered to pH 5.5 with citric acid/sodium citrate.

Its chemical name is 4-(Nitrooxy)butyl (5Z)-7-{(1R,2R,3R,5S)-3,5-dihydroxy-2-[(3R)-3-hydroxy-5-phenylpentyl]cyclopentyl}hept-5-enoate. Its molecular formula is C27H41NO8. Molecular weight: 507.62.

Its chemical structure is



Latanoprostene bunod is a colorless to pale yellow viscous oil.

5.1 Pigmentation

Latanoprostene bunod ophthalmic solution, 0.024% may cause changes to pigmented tissues. The most frequently reported changes with prostaglandin analogs have been increased pigmentation of the iris and periorbital tissue (eyelid).



Pigmentation is expected to increase as long as Latanoprostene bunod ophthalmic solution is administered. The pigmentation change is due to increased melanin content in the melanocytes rather than to an increase in the number of melanocytes. After discontinuation of latanoprostene bunod ophthalmic solution, pigmentation of the iris is likely to be permanent, while pigmentation of the periorbital tissue and eyelash changes are likely to be reversible in most patients. Patients who receive prostaglandin analogs, including latanoprostene bunod ophthalmic solution, should be informed of the possibility of increased pigmentation, including permanent changes. The long-term effects of increased pigmentation are not known.



Iris color change may not be noticeable for several months to years. Typically, the brown pigmentation around the pupil spreads concentrically towards the periphery of the iris and the entire iris or parts of the iris become more brownish. Neither nevi nor freckles of the iris appear to be affected by treatment. While treatment with latanoprostene bunod ophthalmic solution, 0.024% can be continued in patients who develop noticeably increased iris pigmentation, these patients should be examined regularly [see Patient Counseling Information (17)].

5.4 Macular Edema

Macular edema, including cystoid macular edema, has been reported during treatment with prostaglandin analogs. Latanoprostene bunod ophthalmic solution should be used with caution in aphakic patients, in pseudophakic patients with a torn posterior lens capsule, or in patients with known risk factors for macular edema.

8.4 Pediatric Use

Use in pediatric patients aged 16 years and younger is not recommended because of potential safety concerns related to increased pigmentation following long-term chronic use.

8.5 Geriatric Use

No overall clinical differences in safety or effectiveness have been observed between elderly and other adult patients.

14 Clinical Studies (14 CLINICAL STUDIES)

In clinical studies up to 12 months duration, patients with open-angle glaucoma or ocular hypertension with average baseline intraocular pressures (IOPs) of 26.7 mmHg, the IOP-lowering effect of latanoprostene bunod ophthalmic solution, 0.024% once daily (in the evening) was up to 7 to 9 mmHg.

4 Contraindications (4 CONTRAINDICATIONS)

None.

5.2 Eyelash Changes

Latanoprostene bunod ophthalmic solution may gradually change eyelashes and vellus hair in the treated eye. These changes include increased length, thickness, and the number of lashes or hairs. Eyelash changes are usually reversible upon discontinuation of treatment.

6 Adverse Reactions (6 ADVERSE REACTIONS)

The following adverse reactions are described elsewhere in the labeling:

• Pigmentation [see Warnings and Precautions (5.1)]

• Eyelash Changes [see Warnings and Precautions (5.2)]

• Intraocular Inflammation [see Warnings and Precautions (5.3)]

• Macular Edema [see Warnings and Precautions (5.4)]

• Bacterial Keratitis [see Warnings and Precautions (5.5)]

• Use with Contact Lens [see Warnings and Precautions (5.6)]

12.2 Pharmacodynamics

Reduction of the intraocular pressure starts approximately 1 to 3 hours after the first administration with the maximum effect reached after 11to13 hours in eyes with elevated intraocular pressure.

12.3 Pharmacokinetics


Absorption



The systemic exposure of latanoprostene bunod and its metabolites latanoprost acid and butanediol mononitrate were evaluated in one study with 22 healthy subjects after topical ocular administration of latanoprostene bunod ophthalmic solution, 0.024% once daily (one drop bilaterally in the morning) for 28 days. There were no quantifiable plasma concentrations of latanoprostene bunod (lower limit of quantitation, LLOQ, of 10.0 pg/mL) or butanediol mononitrate (LLOQ of 200 pg/mL) post-dose on Day 1 and Day 28. The mean maximal plasma concentrations (Cmax) of latanoprost acid (LLOQ of 30 pg/mL) were 59.1 pg/mL and 51.1 pg/mL on Day 1 and Day 28, respectively. The mean time of maximal plasma concentration (Tmax) for latanoprost acid was approximately 5 minutes post-administration on both Day 1 and Day 28.



Distribution



There were no ocular distribution studies performed in humans.



Metabolism

 

After topical ocular administration, latanoprostene bunod is rapidly metabolized in the eye to latanoprost acid (active moiety), an F2α prostaglandin analog, and butanediol mononitrate. After latanoprost acid reaches the systemic circulation, it is primarily metabolized by the liver to the 1,2-dinor and 1,2,3,4-tetranor metabolites via fatty acid β-oxidation.



Butanediol mononitrate is metabolized to 1,4-butanediol and nitric oxide. The metabolite 1,4-butanediol is further oxidized to succinic acid and enters the tricarboxylic acid (TCA) cycle.



Elimination

The elimination of latanoprost acid from human plasma is rapid as latanoprost acid plasma concentration dropped below the LLOQ (30 pg/mL) in the majority of subjects by 15 minutes following ocular administration of latanoprostene bunod ophthalmic solution, 0.024% in humans.

1 Indications and Usage (1 INDICATIONS AND USAGE)

Latanoprostene bunod ophthalmic solution, 0.024% is indicated for the reduction of intraocular pressure (IOP) in patients with open-angle glaucoma or ocular hypertension.

5.5 Bacterial Keratitis

There have been reports of bacterial keratitis associated with the use of multiple-dose containers of topical ophthalmic products. These containers had been inadvertently contaminated by patients who, in most cases, had a concurrent corneal disease or a disruption of the ocular epithelial surface.

12.1 Mechanism of Action

Latanoprostene bunod is thought to lower intraocular pressure by increasing outflow of aqueous humor through both the trabecular meshwork and uveoscleral routes. Intraocular pressure is a major modifiable risk factor for glaucoma progression. Reduction of intraocular pressure reduces risk of glaucomatous visual field loss.

5.6 Use With Contact Lens (5.6 Use with Contact Lens)

Contact lenses should be removed prior to the administration of latanoprostene bunod ophthalmic solution because this product contains benzalkonium chloride. Lenses may be reinserted 15 minutes after administration.

5 Warnings and Precautions (5 WARNINGS AND PRECAUTIONS)

• Pigmentation: Increased pigmentation of the iris and periorbital tissue (eyelid) can occur. Iris pigmentation is likely to be permanent. (5.1)

• Eyelash changes: Gradual changes to eyelashes including increased length, increased thickness and number of eyelashes. Usually reversible upon discontinuation of treatment. (5.2)

2 Dosage and Administration (2 DOSAGE AND ADMINISTRATION)

The recommended dosage is one drop in the conjunctival sac of the affected eye(s) once daily in the evening. Do not administer latanoprostene bunod ophthalmic solution, 0.024% more than once daily since it has been shown that more frequent administration of prostaglandin analogs may lessen the intraocular pressure lowering effect.

If latanoprostene bunod ophthalmic solution is to be used concomitantly with other topical ophthalmic drug products to lower intraocular pressure, administer each drug product at least five (5) minutes apart.

3 Dosage Forms and Strengths (3 DOSAGE FORMS AND STRENGTHS)

Latanoprostene bunod ophthalmic solution is a topical ophthalmic solution containing latanoprostene bunod, 0.24 mg/mL.

5.3 Intraocular Inflammation

Latanoprostene bunod ophthalmic solution should be used with caution in patients with a history of intraocular inflammation (iritis/uveitis) and should generally not be used in patients with active intraocular inflammation as it may exacerbate this condition.

6.1 Clinical Trials Experience

Because clinical trials are conducted under widely varying conditions, adverse reaction rates observed in the clinical trials of a drug cannot be directly compared to rates in the clinical trials of another drug and may not reflect the rates observed in practice.



Latanoprostene bunod ophthalmic solution was evaluated in 811 patients in 2 controlled clinical trials of up to 12 months duration. The most common ocular adverse reactions observed in patients treated with latanoprostene bunod were: conjunctival hyperemia (6%), eye irritation (4%), eye pain (3%), and instillation site pain (2%). Approximately 0.6% of patients discontinued therapy due to ocular adverse reactions including ocular hyperemia, conjunctival irritation, eye irritation, eye pain, conjunctival edema, vision blurred, punctate keratitis and foreign body sensation.

17 Patient Counseling Information (17 PATIENT COUNSELING INFORMATION)

• Potential for Pigmentation

Patients should be advised about the potential for increased brown pigmentation of the iris, which may be permanent. Patients should also be informed about the possibility of eyelid skin darkening, which is usually reversible after discontinuation of latanoprostene bunod ophthalmic solution.

• Potential for Eyelash Changes

Patients should also be informed of the possibility of eyelash and vellus hair changes in the treated eye during treatment with latanoprostene bunod ophthalmic solution. These changes may result in a disparity between eyes in length, thickness, pigmentation, number of eyelashes or vellus hairs, and/or direction of eyelash growth. Eyelash changes are usually reversible upon discontinuation of treatment.

• Handling the Container

Patients should be instructed to avoid allowing the tip of the dispensing container to contact the eye, surrounding structures, fingers, or any other surface in order to avoid contamination of the solution by common bacteria known to cause ocular infections. Serious damage to the eye and subsequent loss of vision may result from using contaminated solutions.

• When to Seek Physician Advice

Advise patients that if they develop a new ocular condition (e.g., trauma or infection), experience a sudden decrease in visual acuity, have ocular surgery, or develop any ocular reactions, particularly conjunctivitis and eyelid reactions, they should immediately seek their physician’s advice concerning the continued use of latanoprostene bunod ophthalmic solution.

• Use with Contact Lenses

Contact lenses should be removed prior to administration of the solution. Lenses may be reinserted 15 minutes following administration of latanoprostene bunod ophthalmic solution.

• Use with Other Ophthalmic Drugs

If more than one topical ophthalmic drug is being used, the drugs should be administered with at least five (5) minutes between applications.

Manufactured by:

Gland Pharma Limited

Hyderabad-500043, India



Issued: December 2022



16 How Supplied/storage and Handling (16 HOW SUPPLIED/STORAGE AND HANDLING)

Latanoprostene bunod ophthalmic solution, 0.024% is supplied in low density polyethylene bottles with dropper tips and turquoise caps in the following sizes:

        2.5 mL fill in a 4 mL white container - NDC 68083-563-01

        5 mL fill in a 7 mL Natural container - NDC 68083-564-01

Storage: Unopened bottle should be stored refrigerated at 2º to 8ºC (36º to 46ºF). Once a bottle is opened it may be stored at 2º to 25ºC (36º to 77ºF) for 8 weeks.

During shipment, bottles may be maintained at temperatures up to 40°C (104°F) for a period not exceeding 14 days.

Protect from light. Protect from freezing.

Package Label.principal Display Panel (PACKAGE LABEL.PRINCIPAL DISPLAY PANEL)

Carton Label - 2.5 mL

NDC 68083-563-01

Latanoprostene Bunod Ophthalmic Solution, 0.024% 

For Topical ophthalmic use

Rx only

2.5 mL

Sterile



 

Bottle Label - 2.5 mL

NDC 68083-563-01

Latanoprostene Bunod Ophthalmic Solution, 0.024% 

For Topical ophthalmic use

Rx only

2.5 mL

Sterile





Carton Label - 5 mL

NDC 68083-564-01

Latanoprostene Bunod Ophthalmic Solution, 0.024% 

For Topical ophthalmic use

Rx only

5 mL

Sterile





Bottle Label - 5 mL

NDC 68083-564-01

Latanoprostene Bunod Ophthalmic Solution, 0.024% 

For Topical ophthalmic use

Rx only

5 mL

Sterile





13.2 Animal Toxicology And/or Pharmacology (13.2 Animal Toxicology and/or Pharmacology)

A 9-month toxicology study administered topical ocular doses of latanoprostene bunod to one eye of cynomolgus monkeys: control (vehicle only), one drop of 0.024% bid, one drop of 0.04% bid and two drops of 0.04% per dose, bid. The systemic exposures are equivalent to 4.2-fold, 7.9-fold, and 13.5- fold the clinical dose, respectively, on a body surface area basis (assuming 100% absorption). Microscopic evaluation of the lungs after 9 months observed pleural/subpleural chronic fibrosis/inflammation in the 0.04% dose male groups, with increasing incidence and severity compared to controls. Lung toxicity was not observed at the 0.024% dose.

13.1 Carcinogenesis, Mutagenesis, Impairment of Fertility

Latanoprostene bunod was not mutagenic in bacteria and did not induce micronuclei formation in the in vivo rat bone marrow micronucleus assay. Chromosomal aberrations were observed in vitro with human lymphocytes in the absence of metabolic activation.



Latanoprostene bunod has not been tested for carcinogenic activity in long-term animal studies. Latanoprost acid is a main metabolite of latanoprostene bunod. Exposure of rats and mice to latanoprost acid, resulting from oral dosing with latanoprost in lifetime rodent bioassays, was not carcinogenic.



Fertility studies have not been conducted with latanoprostene bunod. The potential to impact fertility can be partially characterized by exposure to latanoprost acid, a common metabolite of both latanoprostene bunod and latanoprost. Latanoprost acid has not been found to have any effect on male or female fertility in animal studies.


Advanced Ingredient Data


Raw Label Data

All Sections (JSON)