Cefdinir For Oral Suspension Usp

Cefdinir For Oral Suspension Usp
SPL v1
SPL
SPL Set ID 1bbd75ea-5a50-eb00-e063-6394a90a1cec
Route
ORAL
Published
Effective Date 2024-06-25
Document Type 34391-3 HUMAN PRESCRIPTION DRUG LABEL

Drug Facts

Composition & Product

Active Ingredients
Cefdinir (125 mg)
Inactive Ingredients
Anhydrous Citric Acid Guar Gum Silicon Dioxide Sodium Benzoate Sodium Citrate Strawberry Sucrose Xanthan Gum

Identifiers & Packaging

Marketing Status
ANDA Active Since 2006-05-31

Description

125 mg/5 mL & 250 mg/5 mL Rx only To reduce the development of drug-resistant bacteria and maintain the effectiveness of cefdinir for oral suspension and other antibacterial drugs, cefdinir for oral suspension should be used only to treat or prevent infections that are proven or strongly suspected to be caused by bacteria. 

Indications and Usage

To reduce the development of drug-resistant bacteria and maintain the effectiveness of cefdinir for oral suspension and other antibacterial drugs, cefdinir for oral suspension should be used only to treat or prevent infections that are proven or strongly suspected to be caused by susceptible bacteria. When culture and susceptibility information are available, they should be considered in selecting or modifying antibacterial therapy. In the absence of such data, local epidemiology and susceptibility patterns may contribute to the empiric selection of therapy. Cefdinir for oral suspension is indicated for the treatment of patients with mild to moderate infections caused by susceptible strains of the designated microorganisms in the conditions listed below. 

Dosage and Administration

(see INDICATIONS AND USAGE for Indicated Pathogens) The recommended dosage and duration of treatment for infections in pediatric patients are described in the following chart; the total daily dose for all infections is 14 mg/kg, up to a maximum dose of 600 mg per day. Once-daily dosing for 10 days is as effective as BID dosing. Once-daily dosing has not been studied in skin infections; therefore, cefdinir for oral suspension should be administered twice daily in this infection. Cefdinir for oral suspension may be administered without regard to meals. Pediatric Patients (Age 6 Months Through 12 Years) Type  of  Infection Dosage Duration Acute Bacterial Otitis Media 7 mg/kg q12h or 5 to 10 days 14 mg/kg q24h 10 days Acute Maxillary Sinusitis 7 mg/kg q12h or 10 days 14 mg/kg q24h 10 days Pharyngitis/Tonsillitis  7 mg/kg q12h or 5 to 10 days 14 mg/kg q24h 10 days Uncomplicated Skin and Skin Structure Infections 7 mg/kg q12h 10 days CEFDINIR FOR ORAL SUSPENSION PEDIATRIC DOSAGE CHART Weight   125  mg / 5  mL  250  mg / 5  mL  a Pediatric patients who weight ≥43 kg should receive the maximum daily dose of 600 mg. 9 kg/20 lbs  2.5 mL q12h or 5 mL q24h  Use 125 mg/5 mL product  18 kg/40 lbs  5 mL q12h or 10 mL q24h  2.5 mL q12h or 5 mL q24h  27 kg/60 lbs  7.5 mL q12h or 15 mL q24h  3.75 mL q12h or 7.5 mL q24h  36 kg/80 lbs  10 mL q12h or 20 mL q24h  5 mL q12h or 10 mL q24h  ≥43 kg a/95 lbs  12 mL q12h or 24 mL q24h  6 mL q12h or 12 mL q24h 

Contraindications

Cefdinir is contraindicated in patients with known allergy to the cephalosporin class of antibiotics. 

How Supplied

Cefdinir for oral suspension USP, is an off-white to creamish powder formulation that, when reconstituted as directed, contains 125 mg cefdinir/5 mL or 250 mg cefdinir/5 mL. The reconstituted suspension has an off-white to creamish color and strawberry flavor. The powder is available as follows: 125 mg/5 mL: 60 mL bottles NDC 68071-3609-6 Store dry powder and reconstituted suspension at 20° to 25 ° C (68° to 77 ° F); [See USP Controlled Room Temperature].


Medication Information

Indications and Usage

To reduce the development of drug-resistant bacteria and maintain the effectiveness of cefdinir for oral suspension and other antibacterial drugs, cefdinir for oral suspension should be used only to treat or prevent infections that are proven or strongly suspected to be caused by susceptible bacteria. When culture and susceptibility information are available, they should be considered in selecting or modifying antibacterial therapy. In the absence of such data, local epidemiology and susceptibility patterns may contribute to the empiric selection of therapy.

Cefdinir for oral suspension is indicated for the treatment of patients with mild to moderate infections caused by susceptible strains of the designated microorganisms in the conditions listed below. 

Dosage and Administration

(see INDICATIONS AND USAGE for Indicated Pathogens)

The recommended dosage and duration of treatment for infections in pediatric patients are described in the following chart; the total daily dose for all infections is 14 mg/kg, up to a maximum dose of 600 mg per day. Once-daily dosing for 10 days is as effective as BID dosing. Once-daily dosing has not been studied in skin infections; therefore, cefdinir for oral suspension should be administered twice daily in this infection. Cefdinir for oral suspension may be administered without regard to meals.

Pediatric Patients (Age 6 Months Through 12 Years)
Type  of  Infection

Dosage

Duration

Acute Bacterial Otitis Media

7 mg/kg q12h or

5 to 10 days



14 mg/kg q24h

10 days

Acute Maxillary Sinusitis

7 mg/kg q12h or

10 days



14 mg/kg q24h

10 days

Pharyngitis/Tonsillitis 

7 mg/kg q12h or

5 to 10 days



14 mg/kg q24h

10 days

Uncomplicated Skin and Skin Structure Infections

7 mg/kg q12h

10 days

CEFDINIR FOR ORAL SUSPENSION PEDIATRIC DOSAGE CHART
Weight  

125  mg / mL 

250  mg / mL 

aPediatric patients who weight ≥43 kg should receive the maximum daily dose of 600 mg.

9 kg/20 lbs 

2.5 mL q12h or 5 mL q24h 

Use 125 mg/5 mL product 

18 kg/40 lbs 

5 mL q12h or 10 mL q24h 

2.5 mL q12h or 5 mL q24h 

27 kg/60 lbs 

7.5 mL q12h or 15 mL q24h 

3.75 mL q12h or 7.5 mL q24h 

36 kg/80 lbs 

10 mL q12h or 20 mL q24h 

5 mL q12h or 10 mL q24h 

≥43 kg a/95 lbs 

12 mL q12h or 24 mL q24h 

6 mL q12h or 12 mL q24h 

Contraindications

Cefdinir is contraindicated in patients with known allergy to the cephalosporin class of antibiotics. 

How Supplied

Cefdinir for oral suspension USP, is an off-white to creamish powder formulation that, when reconstituted as directed, contains 125 mg cefdinir/5 mL or 250 mg cefdinir/5 mL. The reconstituted suspension has an off-white to creamish color and strawberry flavor. The powder is available as follows:

125 mg/5 mL:

60 mL bottles NDC 68071-3609-6

Store dry powder and reconstituted suspension at 20° to 25° C (68° to 77° F); [See USP Controlled Room Temperature].

Description

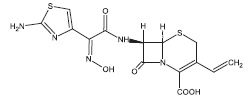
Cefdinir for oral suspension contain the active ingredient cefdinir, an extended-spectrum, semisynthetic cephalosporin, for oral administration. Chemically, cefdinir is [6R-[6α,7β(Z)]]-7-[[(2-amino-4-thiazolyl)(hydroxyimino)acetyl]amino]-3-ethenyl-8-oxo-5-thia-1-azabicyclo[4.2.0]oct-2-ene-2-carboxylic acid. Cefdinir is a white to slightly brownish-yellow solid. It is slightly soluble in dilute hydrochloric acid and sparingly soluble in 0.1 M pH 7.0 phosphate buffer. The molecular formula is C 14H 13N 5O 5S 2and the molecular weight is 395.42. Cefdinir has the structural formula shown below:

Cefdinir for oral suspension, after reconstitution, contains 125 mg cefdinir per 5 mL or 250 mg cefdinir per 5 mL and the following inactive ingredients: anhydrous citric acid; colloidal silicon dioxide; guar gum; anhydrous sodium citrate; sodium benzoate; strawberry flavour; sucrose; and xanthan gum.

Section 42229-5

125 mg/5 mL & 250 mg/5 mL

Rx only

To reduce the development of drug-resistant bacteria and maintain the effectiveness of cefdinir for oral suspension and other antibacterial drugs, cefdinir for oral suspension should be used only to treat or prevent infections that are proven or strongly suspected to be caused by bacteria. 

General:

Prescribing cefdinir for oral suspension in the absence of a proven or strongly suspected bacterial infection or a prophylactic indication is unlikely to provide benefit to the patient and increases the risk of the development of drug-resistant bacteria.

As with other broad-spectrum antibiotics, prolonged treatment may result in the possible emergence and overgrowth of resistant organisms. Careful observation of the patient is essential. If superinfection occurs during therapy, appropriate alternative therapy should be administered. 

Cefdinir, as with other broad-spectrum antimicrobials (antibiotics), should be prescribed with caution in individuals with a history of colitis.

In patients with transient or persistent renal insufficiency (creatinine clearance <30 mL/min), the total daily dose of cefdinir should be reduced because high and prolonged plasma concentrations of cefdinir can result following recommended doses (see DOSAGE AND ADMINISTRATION ).

Warnings

BEFORE THERAPY WITH CEFDINIR IS INSTITUTED, CAREFUL INQUIRY SHOULD BE MADE TO DETERMINE WHETHER THE PATIENT HAS HAD PREVIOUS HYPERSENSITIVITY REACTIONS TO CEFDINIR, OTHER CEPHALOSPORINS, PENICILLINS, OR OTHER DRUGS. IF CEFDINIR IS TO BE GIVEN TO PENICILLIN-SENSITIVE PATIENTS, CAUTION SHOULD BE EXERCISED BECAUSE CROSS-HYPERSENSITIVITY AMONG β-LACTAM ANTIBIOTICS HAS BEEN CLEARLY DOCUMENTED AND MAY OCCUR IN UP TO 10% OF PATIENTS WITH A HISTORY OF PENICILLIN ALLERGY. IF AN ALLERGIC REACTION TO CEFDINIR OCCURS, THE DRUG SHOULD BE DISCONTINUED. SERIOUS ACUTE HYPERSENSITIVITY REACTIONS MAY REQUIRE TREATMENT WITH EPINEPHRINE AND OTHER EMERGENCY MEASURES, INCLUDING OXYGEN, INTRAVENOUS FLUIDS, INTRAVENOUS ANTIHISTAMINES, CORTICOSTEROIDS, PRESSOR AMINES, AND AIRWAY MANAGEMENT, AS CLINICALLY INDICATED. 

Clostridium difficileassociated diarrhea (CDAD) has been reported with use of nearly all antibacterial agents, including cefdinir, and may range in severity from mild diarrhea to fatal colitis. Treatment with antibacterial agents alters the normal flora of the colon leading to overgrowth of C. difficile.

C. difficileproduces toxins A and B which contribute to the development of CDAD. Hypertoxin producing strains of C. difficilecause increased morbidity and mortality, as these infections can be refractory to antimicrobial therapy and may require colectomy. CDAD must be considered in all patients who present with diarrhea following antibacterial use. Careful medical history is necessary since CDAD has been reported to occur over two months after the administration of antibacterial agents.

If CDAD is suspected or confirmed, ongoing antibacterial use not directed against C. difficilemay need to be discontinued. Appropriate fluid and electrolyte management, protein supplementation, antibacterial treatment of C. difficile, and surgical evaluation should be instituted as clinically indicated.

Overdosage

Information on cefdinir overdosage in humans is not available. In acute rodent toxicity studies, a single oral 5600 mg/kg dose produced no adverse effects. Toxic signs and symptoms following overdosage with other β-lactam antibiotics have included nausea, vomiting, epigastric distress, diarrhea, and convulsions. Hemodialysis removes cefdinir from the body. This may be useful in the event of a serious toxic reaction from overdosage, particularly if renal function is compromised. 

References
  • Clinical and Laboratory Standards Institute (CLSI). Methods for Dilution Antimicrobial Susceptibility Tests for Bacteria That Grow Aerobically; Approved Standard – Tenth Edition. CLSI Document M07-A10 [2015], Clinical and Laboratory Standards Institute, 950 West Valley Road, Suite 2500, Wayne, Pennsylvania 19087, USA.
  • Clinical and Laboratory Standards Institute (CLSI). Performance Standards for Antimicrobial Disk Diffusion Susceptibility Tests; Approved Standard – Twelfth Edition. CLSI Document M02-A12 [2015], Clinical and Laboratory Standards Institute, 950 West Valley Road, Suite 2500, Wayne, Pennsylvania 19087, USA.
  • Clinical and Laboratory Standards Institute (CLSI). Performance Standards for Antimicrobial Susceptibility Testing; Twenty-fifth Informational Supplement, CLSI Document M100-S25 [2015], Clinical and Laboratory Standards Institute, 950 West Valley Road, Suite 2500, Wayne, Pennsylvania 19087, USA.
  • Cockcroft DW, Gault MH. Prediction of creatinine clearance from serum creatinine. Nephron 1976;16:31-41.
  • Schwartz GJ, Haycock GB, Edelmann CM, Spitzer A. A simple estimate of glomerular filtration rate in children derived from body length and plasma creatinine. Pediatrics 1976;58:259-63.
  • Schwartz GJ, Feld LG, Langford DJ. A simple estimate of glomerular filtration rate in full-term infants during the first year of life. J Pediatrics 1984;104:849-54.

Manufactured for:

Lupin Pharmaceuticals, Inc.

Baltimore, Maryland 21202

United States

Manufactured by:

Lupin Limited

Mandideep 462 046

INDIA

Clinistix ®and Clinitest ®are registered trademarks of Miles Diagnostics.

Tes-tape ®is a registered trademark of Lilly.

Revised: March 2020                                                                                      ID#: 264893

Absorption:

Oral Bioavailability: Maximal plasma cefdinir concentrations occur 2 to 4 hours postdose following capsule or suspension administration. Plasma cefdinir concentrations increase with dose, but the increases are less than dose-proportional from 300 mg (7 mg/kg) to 600 mg (14 mg/kg). Following administration of suspension to healthy adults, cefdinir bioavailability is 120% relative to capsules. Estimated bioavailability of cefdinir capsules is 21% following administration of a 300 mg capsule dose, and 16% following administration of a 600 mg capsule dose. Estimated absolute bioavailability of cefdinir suspension is 25%. Cefdinir oral suspension of 250 mg/5 mL strength was shown to be bioequivalent to the 125 mg/5 mL strength in healthy adults under fasting conditions.

Effect of Food: The C maxand AUC of cefdinir from the capsules are reduced by 16% and 10%, respectively, when given with a high-fat meal. In adults given the 250 mg/5 mL oral suspension with a high-fat meal, the C maxand AUC of cefdinir are reduced by 44% and 33%, respectively. The magnitude of these reductions is not likely to be clinically significant because the safety and efficacy studies of oral suspension in pediatric patients were conducted without regard to food intake. Therefore, cefdinir may be taken without regard to food.

Cefdinir Suspension: Cefdinir plasma concentrations and pharmacokinetic parameter values following administration of single 7 and 14 mg/kg oral doses of cefdinir to pediatric subjects (age 6 months-12 years) are presented in the following table:

Mean (±SD) Plasma Cefdinir Pharmacokinetic Parameter Values Following Administration of Suspension to Pediatric Subjects
Dose 

Cmax ( mcg / mL

tmax ( hr

AUC ( mcg . hr / mL

7 mg/kg 

2.30(0.65) 

2.2(0.6) 

8.31(2.50) 

14 mg/kg 

3.86(0.62) 

1.8(0.4) 

13.4(2.64) 

Multiple Dosing: Cefdinir does not accumulate in plasma following once- or twice-daily administration to subjects with normal renal function.

Probenecid:

As with other β-lactam antibiotics, probenecid inhibits the renal excretion of cefdinir, resulting in an approximate doubling in AUC, a 54% increase in peak cefdinir plasma levels, and a 50% prolongation in the apparent elimination t 1/2

Distribution:

The mean volume of distribution (Vd area) of cefdinir in adult subjects is 0.35 L/kg (±0.29); in pediatric subjects (age 6 months-12 years), cefdinir Vd areais 0.67 L/kg (±0.38). Cefdinir is 60% to 70% bound to plasma proteins in both adult and pediatric subjects; binding is independent of concentration.

Skin Blister: In adult subjects, median (range) maximal blister fluid cefdinir concentrations of 0.65 (0.33-1.1) and 1.1 (0.49-1.9) mcg/mL were observed 4 to 5 hours following administration of 300 and 600 mg doses, respectively. Mean (±SD) blister C maxand AUC (0- ∞) values were 48% (±13) and 91% (±18) of corresponding plasma values.

Tonsil Tissue: In adult patients undergoing elective tonsillectomy, respective median tonsil tissue cefdinir concentrations 4 hours after administration of single 300 and 600 mg doses were 0.25 (0.22-0.46) and 0.36 (0.22-0.80) mcg/g. Mean tonsil tissue concentrations were 24% (±8) of corresponding plasma concentrations.

Sinus Tissue: In adult patients undergoing elective maxillary and ethmoid sinus surgery, respective median sinus tissue cefdinir concentrations 4 hours after administration of single 300 and 600 mg doses were <0.12 (<0.12-0.46) and 0.21 (<0.12-2.0) mcg/g. Mean sinus tissue concentrations were 16% (±20) of corresponding plasma concentrations.

Lung Tissue: In adult patients undergoing diagnostic bronchoscopy, respective median bronchial mucosa cefdinir concentrations 4 hours after administration of single 300 and 600 mg doses were 0.78 (<0.06-1.33) and 1.14 (<0.06-1.92) mcg/mL, and were 31% (±18) of corresponding plasma concentrations. Respective median epithelial lining fluid concentrations were 0.29 (<0.3-4.73) and 0.49 (<0.3-0.59) mcg/mL, and were 35% (±83) of corresponding plasma concentrations.

Middle Ear Fluid: In 14 pediatric patients with acute bacterial otitis media, respective median middle ear fluid cefdinir concentrations 3 hours after administration of single 7 and 14 mg/kg doses were 0.21 (<0.09-0.94) and 0.72 (0.14-1.42) mcg/mL. Mean middle ear fluid concentrations were 15% (±15) of corresponding plasma concentrations.

CSF: Data on cefdinir penetration into human cerebrospinal fluid are not available.

Microbiology:

Mechanism of Action:

As with other cephalosporins, bactericidal activity of cefdinir results from inhibition of cell wall synthesis. Cefdinir is stable in the presence of some, but not all, β-lactamase enzymes. As a result, many organisms resistant to penicillins and some cephalosporins are susceptible to cefdinir.

Mechanism of Resistance:

Resistance to cefdinir is primarily through hydrolysis by some β-lactamases, alteration of penicillin-binding proteins (PBPs) and decreased permeability. Cefdinir is inactive against most strains of Enterobacterspp., Pseudomonasspp., Enterococcusspp., penicillin-resistant streptococci, and methicillin-resistant staphylococci. β-lactamase negative, ampicillin-resistant (BLNAR) H. influenzaestrains are typically non-susceptible to cefdinir.

Antimicrobial Activity:

Cefdinir has been shown to be active against most strains of the following microorganisms, both in vitroand in clinical infections as described in INDICATIONS AND USAGE .

Gram-Positive Bacteria:

Staphylococcus aureus(methicillin-susceptible strains only)

Streptococcus pneumoniae(penicillin-susceptible strains only)

Streptococcus pyogenes

Gram-Negative Bacteria:

Haemophilus influenzae

Haemophilus parainfluenzae

Moraxella catarrhalis

The following in vitrodata are available, but their clinical significance is unknown.

Cefdinir exhibits in vitrominimum inhibitory concentrations (MICs) of 1 mcg/mL or less against (≥ 90%) strains of the following microorganisms; however, the safety and effectiveness of cefdinir in treating clinical infections due to these microorganisms have not been established in adequate and well-controlled clinical trials.

Gram-Positive Bacteria:  

Staphylococcus epidermidis(methicillin-susceptible strains only)

Streptococcus agalactiae

Viridans group streptococci

Gram-Negative Bacteria:  

Citrobacter koseri

Escherichia coli

Klebsiella pneumoniae

Proteus mirabilis

Susceptibility Test Methods:

When available, the clinical microbiology laboratory should provide periodic reports that describe the regional/local susceptibility profile of potential nosocomial and community-acquired pathogens. These reports should aid the physician in selecting an antibacterial drug for treatment.

Dilution Techniques:  

Quantitative methods are used to determine antimicrobial minimum inhibitory concentrations (MICs). These MICs provide estimates of the susceptibility of bacteria to antimicrobial compounds. The MICs should be determined using a standardized test method 1(broth and/or agar). The MIC values should be interpreted according to criteria provided in Table 1.

Diffusion Techniques:

Quantitative methods that require measurement of zone diameters also provide reproducible estimates of the susceptibility of bacteria to antimicrobial compounds. The zone size should be determined using a standardized method. 2The procedure uses paper disks impregnated with 5 mcg cefdinir to test the susceptibility of bacteria. The disk diffusion interpretive criteria are provided in Table 1.



Minimum  Inhibitory

Zone  Diameter

Microorganisms
Streptococci other than S. pneumoniae that are susceptible to penicillin (MIC ≤ 0.12 mcg/mL), can be considered susceptible to cefdinir.


Concentration  ( mcg / mL )

( mm )



S

I

R

S

I

R

Haemophilus  influenzae

≤ 1

-

-

≥ 20

-

--

Haemophilus  parainfluenzae

≤ 1

-

-

≥ 20

-

--

Moraxella  catarrhalis

≤ 1

2

≥ 4

≥ 20

17 to 19

≤ 16

Streptococcus pneumoniae
S. pneumoniae that are susceptible to penicillin (MIC ≤ 0.06 mcg/mL) can be considered susceptible to cefdinir. Isolates of S. pneumoniae tested against a 1-µg oxacillin disk with oxacillin zone sizes ≥ 20 mm are susceptible to penicillin and can be considered susceptible to cefdinir. Testing of cefdinir against penicillin-intermediate or penicillin-resistant isolates is not recommended. Reliable interpretive criteria for cefdinir are not available.


≤ 0.5

1

≥ 2

-

-

-

Susceptibility of staphylococci to cefdinir may be deduced from testing penicillin and either cefoxitin or oxacillin. Staphylococci susceptible to oxacillin (cefoxitin) can be considered susceptible to cefdinir.3

A report of "Susceptible" indicates that antimicrobial is likely to inhibit growth of the pathogen if the antimicrobial compound reaches the concentrations at the site of infection necessary to inhibit growth of the pathogen. A report of "Intermediate" indicates that the result should be considered equivocal, and, if the microorganism is not fully susceptible to alternative, clinically feasible drugs, the test should be repeated. This category implies possible clinical applicability in body sites where the drug is physiologically concentrated or in situations where a high dosage of drug can be used. This category also provides a buffer zone that prevents small uncontrolled technical factors from causing major discrepancies in interpretation. A report of "Resistant" indicates that the antimicrobial is not likely to inhibit growth of the pathogen if the antimicrobial compound reaches the concentrations usually achievable at the infection site; other therapy should be selected.

Quality Control:

Standardized susceptibility test procedures require the use of laboratory controls to monitor and ensure the accuracy and precision of supplies and reagents used in the assay, and the techniques of the individual performing the test. 1,2,3Standard cefdinir powder should provide the following range of MIC values as noted in Table 2. For the diffusion technique using a 5 mcg disk the criteria in Table 2 should be achieved.



QC  Strain

Minimum  Inhibitory  Concentration  ( mcg / mL )

Zone  Diameter  ( mm )

Escherichia  coli ATCC 25922 

0.12 to 0.5

24 to 28

Haemophilus  influenzae ATCC 49766

0.12 to 0.5

24 to 31

Staphylococcus  aureus ATCC 25923

-

25 to 32

Staphylococcus  aureus ATCC 29213

0.12 to 0.5

-

Streptococcus  pneumoniae ATCC 49619

0.03 to 0.25

26 to 31

Geriatric Use:

Efficacy is comparable in geriatric patients and younger adults. While cefdinir has been well-tolerated in all age groups, in clinical trials geriatric patients experienced a lower rate of adverse events, including diarrhea, than younger adults. Dose adjustment in elderly patients is not necessary unless renal function is markedly compromised (see DOSAGE AND ADMINISTRATION ). 

Pediatric Use:

Safety and efficacy in neonates and infants less than 6 months of age have not been established. Use of cefdinir for the treatment of acute maxillary sinusitis in pediatric patients (age 6 months through 12 years) is supported by evidence from adequate and well-controlled studies in adults and adolescents, the similar pathophysiology of acute sinusitis in adult and pediatric patients, and comparative pharmacokinetic data in the pediatric population. 

Nursing Mothers:

Following administration of single 600 mg doses, cefdinir was not detected in human breast milk. 

Labor and Delivery:

Cefdinir has not been studied for use during labor and delivery. 

Special Populations:

Patients with Renal Insufficiency: Cefdinir pharmacokinetics were investigated in 21 adult subjects with varying degrees of renal function. Decreases in cefdinir elimination rate, apparent oral clearance (CL/F), and renal clearance were approximately proportional to the reduction in creatinine clearance (CL cr). As a result, plasma cefdinir concentrations were higher and persisted longer in subjects with renal impairment than in those without renal impairment. In subjects with CL crbetween 30 and 60 mL/min, C maxand t 1/2increased by approximately 2-fold and AUC by approximately 3-fold. In subjects with CL cr<30 mL/min, C maxincreased by approximately 2-fold, t 1/2by approximately 5-fold, and AUC by approximately 6-fold. Dosage adjustment is recommended in patients with markedly compromised renal function (creatinine clearance <30 mL/min; see DOSAGE AND ADMINISTRATION ).

Hemodialysis: Cefdinir pharmacokinetics were studied in 8 adult subjects undergoing hemodialysis. Dialysis (4 hours duration) removed 63% of cefdinir from the body and reduced apparent elimination t 1/2from 16 (±3.5) to 3.2 (±1.2) hours. Dosage adjustment is recommended in this patient population (see DOSAGE AND ADMINISTRATION ).

Hepatic Disease: Because cefdinir is predominantly renally eliminated and not appreciably metabolized, studies in patients with hepatic impairment were not conducted. It is not expected that dosage adjustment will be required in this population.

Geriatric Patients: The effect of age on cefdinir pharmacokinetics after a single 300 mg dose was evaluated in 32 subjects 19 to 91 years of age. Systemic exposure to cefdinir was substantially increased in older subjects (N=16), C maxby 44% and AUC by 86%. This increase was due to a reduction in cefdinir clearance. The apparent volume of distribution was also reduced, thus no appreciable alterations in apparent elimination t 1/2were observed (elderly: 2.2 ± 0.6 hours vs young: 1.8 ± 0.4 hours). Since cefdinir clearance has been shown to be primarily related to changes in renal function rather than age, elderly patients do not require dosage adjustment unless they have markedly compromised renal function (creatinine clearance <30 mL/min, see Patients with Renal Insufficiency, above).

Gender and Race: The results of a meta-analysis of clinical pharmacokinetics (N=217) indicated no significant impact of either gender or race on cefdinir pharmacokinetics. 

Principal Display Panel

Pharyngitis/tonsillitis:

Caused by Streptococcus pyogenes(see CLINICAL STUDIES ).

NOTE: Cefdinir is effective in the eradication of S. pyogenesfrom the oropharynx. Cefdinir has not, however, been studied for the prevention of rheumatic fever following S. pyogenespharyngitis/tonsillitis. Only intramuscular penicillin has been demonstrated to be effective for the prevention of rheumatic fever. 

Information for Patients:

Patients should be counseled that antibacterial drugs including cefdinir for oral suspension should only be used to treat bacterial infections. They do not treat viral infections (e.g., the common cold). When cefdinir for oral suspension is prescribed to treat a bacterial infection, patients should be told that although it is common to feel better early in the course of therapy, the medication should be taken exactly as directed. Skipping doses or not completing the full course of therapy may (1) decrease the effectiveness of the immediate treatment and (2) increase the likelihood that bacteria will develop resistance and will not be treatable by cefdinir for oral suspension or other antibacterial drugs in the future.   

Antacids containing magnesium or aluminum interfere with the absorption of cefdinir. If this type of antacid is required during cefdinir therapy, cefdinir should be taken at least 2 hours before or after the antacid.

Iron supplements, including multivitamins that contain iron, interfere with the absorption of cefdinir. If iron supplements are required during cefdinir therapy, cefdinir should be taken at least 2 hours before or after the supplement.

Iron-fortified infant formula does not significantly interfere with the absorption of cefdinir. Therefore, cefdinir can be administered with iron-fortified infant formula.

Diabetic patients and caregivers should be aware that the oral suspension contains 2.86 g of sucrose per teaspoon.

Diarrhea is a common problem caused by antibiotics which usually ends when the antibiotic is discontinued. Sometimes after starting treatment with antibiotics, patients can develop watery and bloody stools (with or without stomach cramps and fever) even as late as two or more months after having taken the last dose of the antibiotic. If this occurs, patients should contact their physician as soon as possible.

Metabolism and Excretion:

Cefdinir is not appreciably metabolized. Activity is primarily due to parent drug. Cefdinir is eliminated principally via renal excretion with a mean plasma elimination half-life (t 1/2) of 1.7 (±0.6) hours. In healthy subjects with normal renal function, renal clearance is 2.0 (±1.0) mL/min/kg, and apparent oral clearance is 11.6 (±6.0) and 15.5 (±5.4) mL/min/kg following doses of 300 and 600 mg, respectively. Mean percent of dose recovered unchanged in the urine following 300 and 600 mg doses is 18.4% (±6.4) and 11.6% (±4.6), respectively. Cefdinir clearance is reduced in patients with renal dysfunction (see Special Populations: Patients with Renal Insufficiency ).

Because renal excretion is the predominant pathway of elimination, dosage should be adjusted in patients with markedly compromised renal function or who are undergoing hemodialysis (see DOSAGE AND ADMINISTRATION ).

Patients On Hemodialysis:

Hemodialysis removes cefdinir from the body. In patients maintained on chronic hemodialysis, the recommended initial dosage regimen is a 300 mg or 7 mg/kg dose every other day. At the conclusion of each hemodialysis session, 300 mg (or 7 mg/kg) should be given. Subsequent doses (300 mg or 7 mg/kg) are then administered every other day.

Directions for Mixing
Final Concentration

Final Volume(mL)

Amount of Water

Directions

125 mg/5 mL 

60

38 mL

Tap bottle to loosen  powder, then add water in 2 

100

61 mL

portions. Shake well after each aliquot.

250 mg/5 mL 

60

38 mL

Tap bottle to loosen  powder, then add water in 2

100

61 mL

portions. Shake well after each aliquot.

After mixing, the suspension can be stored at 20° to 25°C (68° to 77°F). The container should be kept tightly closed, and the suspension should be shaken well before each administration. The suspension may be used for 10 days, after which any unused portion must be discarded.

Postmarketing Experience:

The following adverse experiences and altered laboratory tests, regardless of their relationship to cefdinir, have been reported during extensive postmarketing experience, beginning with approval in Japan in 1991: shock, anaphylaxis with rare cases of fatality, facial and laryngeal edema, feeling of suffocation, serum sickness-like reactions, conjunctivitis, stomatitis, Stevens-Johnson syndrome, toxic epidermal necrolysis, exfoliative dermatitis, erythema multiforme, erythema nodosum, acute hepatitis, cholestasis, fulminant hepatitis, hepatic failure, jaundice, increased amylase, acute enterocolitis, bloody diarrhea, hemorrhagic colitis, melena, pseudomembranous colitis, pancytopenia, granulocytopenia, leukopenia, thrombocytopenia, idiopathic thrombocytopenic purpura, hemolytic anemia, acute respiratory failure, asthmatic attack, drug-induced pneumonia, eosinophilic pneumonia, idiopathic interstitial pneumonia, fever, acute renal failure, nephropathy, bleeding tendency, coagulation disorder, disseminated intravascular coagulation, upper GI bleed, peptic ulcer, ileus, loss of consciousness, allergic vasculitis, possible cefdinir-diclofenac interaction, cardiac failure, chest pain, myocardial infarction, hypertension, involuntary movements, and rhabdomyolysis.

Acute Maxillary Sinusitis:

Caused by Haemophilus influenzae(including β-lactamase producing strains), Streptococcus pneumoniae(penicillin-susceptible strains only), and Moraxella catarrhalis(including β-lactamase producing strains).

NOTE: For information on use in pediatric patients, see Pediatric Use and DOSAGE AND ADMINISTRATION

Acute Bacterial Otitis Media:

Causedby Haemophilus influenzae(including β-lactamase producing strains), Streptococcus pneumoniae(penicillin-susceptible strains only), and Moraxella catarrhalis(including β-lactamase producing strains). 

Community Acquired Pneumonia:

Caused by Haemophilus influenzae(including β-lactamase producing strains), Haemophilus parainfluenzae(including β-lactamase producing strains), Streptococcus pneumoniae(penicillin-susceptible strains only), and Moraxella catarrhalis(including β-lactamase producing strains) (see CLINICAL STUDIES ). 

Drug/laboratory Test Interactions:

A false-positive reaction for ketones in the urine may occur with tests using nitroprusside, but not with those using nitroferricyanide. The administration of cefdinir may result in a false-positive reaction for glucose in urine using Clinitest ®, Benedict's solution, or Fehling's solution. It is recommended that glucose tests based on enzymatic glucose oxidase reactions (such as Clinistix ®or Tes-Tape ®) be used. Cephalosporins are known to occasionally induce a positive direct Coombs' test. 

Patients With Renal Insufficiency:

For adult patients with creatinine clearance <30 mL/min, the dose of cefdinir should be 300 mg given once daily.

Creatinine clearance is difficult to measure in outpatients. However, the following formula may be used to estimate creatinine clearance (CL cr) in adult patients. For estimates to be valid, serum creatinine levels should reflect steady-state levels of renal function.

                                                                                    (weight) (140 – age)

                                                    Males:  CL cr=   ————————————

                                                                                    (72) (serum creatinine)

                                                   Females:   CL cr= 0.85 x above value

where creatinine clearance is in mL/min, age is in years, weight is in kilograms, and serum creatinine is in mg/dL. 4

The following formula may be used to estimate creatinine clearance in pediatric patients:

                                                                           body length or height

                                                     CL cr= K  x   ———————————

                                                                            serum creatinine

where K = 0.55 for pediatric patients older than 1 year 5and 0.45 for infants (up to 1 year) 6.

In the above equation, creatinine clearance is in mL/min/1.73 m 2, body length or height is in centimeters, and serum creatinine is in mg/dL.

For pediatric patients with a creatinine clearance of <30 mL/min/1.73 m 2, the dose of cefdinir should be 7 mg/kg (up to 300 mg) given once daily.

Cephalosporin Class Adverse Events:

The following adverse events and altered laboratory tests have been reported for cephalosporin-class antibiotics in general:

Allergic reactions, anaphylaxis, Stevens-Johnson syndrome, erythema multiforme, toxic epidermal necrolysis, renal dysfunction, toxic nephropathy, hepatic dysfunction including cholestasis, aplastic anemia, hemolytic anemia, hemorrhage, false-positive test for urinary glucose, neutropenia, pancytopenia, and agranulocytosis. Pseudomembranous colitis symptoms may begin during or after antibiotic treatment (see WARNINGS ).

Several cephalosporins have been implicated in triggering seizures, particularly in patients with renal impairment when the dosage was not reduced (see DOSAGE AND ADMINISTRATION  and OVERDOSAGE ). If seizures associated with drug therapy occur, the drug should be discontinued. Anticonvulsant therapy can be given if clinically indicated.   

Streptococcal Pharyngitis/tonsillitis:

In four controlled studies conducted in the US, cefdinir was compared with 10 days of penicillin in adult, adolescent, and pediatric patients. Two studies (one in adults and adolescents, the other in pediatric patients) compared 10 days of cefdinir QD or BID to penicillin 250 mg or 10 mg/kg QID. Using strict evaluability and microbiologic/clinical response criteria 5 to 10 days posttherapy, the following clinical cure rates, microbiologic eradication rates, and statistical outcomes were obtained:

Pharyngitis/Tonsillitis Studies Cefdinir (10 days) vs Penicillin (10 days)
Study 

Efficacy  Parameter

Cefdinir  QD

Cefdinir  BID

Penicillin  QID

Outcome

Adults/ Adolescents 

Eradication of  S pyogenes

192/210 (91%)

199/217 (92%)

181/217 (83%)

Cefdinir superior to control



Clinical Cure Rates

199/210 (95%)

209/217 (96%)

193/217 (89%)

Cefdinir superior to control

Pediatric Patients 

Eradication of   S pyogenes

215/228 (94%)

214/227 (94%)

159/227 (70%)

Cefdinir superior  to control



Clinical Cure Rates

222/228 (97%)

218/227 (96%)

196/227 (86%)

Cefdinir superior  to control

Two studies (one in adults and adolescents, the other in pediatric patients) compared 5 days of cefdinir BID to 10 days of penicillin 250 mg or 10 mg/kg QID. Using strict evaluability and microbiologic/ clinical response criteria 4 to 10 days posttherapy, the following clinical cure rates, microbiologic eradication rates, and statistical outcomes were obtained:

Pharyngitis/Tonsillitis Studies Cefdinir (5 days) vs Penicillin (10 days)
Study 

Efficacy  Parameter 

Cefdinir  BID 

Penicillin  QID 

Outcome 

Adults/ Adolescents 

Eradication of  S pyogenes 

193/218 (89%) 

176/214 (82%) 

Cefdinir equivalent to control 



Clinical Cure Rates 

194/218 (89%) 

181/214 (85%) 

Cefdinir equivalent to control 

Pediatric Patients 

Eradication of  S pyogenes 

176/196 (90%) 

135/193 (70%) 

Cefdinir superior to control 



Clinical Cure Rates 

179/196 (91%) 

173/193 (90%) 

Cefdinir equivalent to control 

Clinical Trials (pediatric Patients):

In clinical trials, 2289 pediatric patients (1783 US and 506 non-US) were treated with the recommended dose of cefdinir suspension (14 mg/kg/day). Most adverse events were mild and self-limiting. No deaths or permanent disabilities were attributed to cefdinir. Forty of 2289 (2%) patients discontinued medication due to adverse events considered by the investigators to be possibly, probably, or definitely associated with cefdinir therapy. Discontinuations were primarily for gastrointestinal disturbances, usually diarrhea. Five of 2289 (0.2%) patients were discontinued due to rash thought related to cefdinir administration.

In the US, the following adverse events were thought by investigators to be possibly, probably, or definitely related to cefdinir suspension in multiple-dose clinical trials (N=1783 cefdinir-treated patients): 

ADVERSE  EVENTS  ASSOCIATED  WITH  CEFDINIR  SUSPENSION 

U . S TRIALS  IN  PEDIATRIC  PATIENTS  ( N = 1783 ) a

a977 males, 806 females

bLaboratory changes were occasionally reported as adverse events.

Incidence ≥1% 

Diarrhea 

8% 



Rash 

3% 



Vomiting 

1% 

Incidence <1% but >0.1% 

Cutaneous moniliasis 

0.9% 



Abdominal pain 

0.8% 



Leukopenia  b

0.3% 



Vaginal moniliasis 

0.3% of girls 



Vaginitis 

0.3% of girls 



Abnormal stools 

0.2% 



Dyspepsia 

0.2% 



Hyperkinesia 

0.2% 



Increased AST  b

0.2% 



Maculopapular rash 

0.2% 



Nausea 

0.2% 

NOTE: In both cefdinir- and control-treated patients, rates of diarrhea and rash were higher in the youngest pediatric patients. The incidence of diarrhea in cefdinir-treated patients ≤2 years of age was 17% (95/557) compared with 4% (51/1226) in those >2 years old. The incidence of rash (primarily diaper rash in the younger patients) was 8% (43/557) in patients ≤2 years of age compared with 1% (8/1226) in those >2 years old.

The following laboratory value changes of possible clinical significance, irrespective of relationship to therapy with cefdinir, were seen during clinical trials conducted in the US:

LABORATORY  VALUE  CHANGES  OF  POSSIBLE  CLINICAL  SIGNIFICANCE  OBSERVED  WITH 

CEFDINIR  SUSPENSION  U . S TRIALS  IN  PEDIATRIC  PATIENTS  ( N = 1783

aN = 1387 for these parameters.

Incidence ≥1% 

↑Lymphocytes,↓Lymphocytes 

2%, 0.8%



↑Alkaline phosphatase 

1%



↓Bicarbonate  a

1%



↑Eosinophils 

1%



↑Lactate dehydrogenase 

1%



↑Platelets 

1%



↑PMNs, ↓PMNs 

1%, 1%



↑Urine protein 

1%

Incidence <1% but >0.1% 

↑Phosphorus, ↓Phosphorus 

0.9%, 0.4%



↑Urine pH 

0.8%



↓White blood cells, ↑White blood cells 

0.7%, 0.3%



↓Calcium  a

0.5%



↓Hemoglobin 

0.5%



↑Urine leukocytes 

0.5%



↑Monocytes 

0.4%



↑AST 

0.3%



↑Potassium  a

0.3%



↑Urine specific gravity, ↓Urine specific gravity 

0.3%, 0.1%



↓Hematocrit  a

0.2%

Community Acquired Bacterial Pneumonia:

In a controlled, double-blind study in adults and adolescents conducted in the US, cefdinir BID was compared with cefaclor 500 mg TID. Using strict evaluability and microbiologic/clinical response criteria 6 to 14 days posttherapy, the following clinical cure rates, presumptive microbiologic eradication rates, and statistical outcomes were obtained:

US Community-Acquired Pneumonia Study Cefdinir vs Cefaclor


Cefdinir  BID

Cefaclor  TID

Outcome

Clinical  Cure  Rates

150/187 (80%)

147/186 (79%)

Cefdinir equivalent to control

Eradication  Rates







Overall

177/195 (91%)

184/200 (92%)

Cefdinir equivalent to control

S pneumoniae

31/31 (100%)

35/35 (100%)



H influenzae

55/65 (85%)

60/72 (83%)



M catarrhalis

10/10 (100%)

11/11 (100%)



H parainfluenzae

81/89 (91%)

78/82 (95%)



In a second controlled, investigator-blind study in adults and adolescents conducted primarily in Europe, cefdinir BID was compared with amoxicillin/clavulanate 500/125 mg TID. Using strict evaluability and clinical response criteria 6 to 14 days posttherapy, the following clinical cure rates, presumptive microbiologic eradication rates, and statistical outcomes were obtained:

European Community-Acquired Pneumonia Study Cefdinir vs Amoxicillin/Clavulanate


Cefdinir  BID

Amoxicillin Clavulanate  TID

Outcome

Clinical  Cure  Rates 

83/104 (80%)

86/97 (89%)

Cefdinir not equivalent to control

Eradication  Rates 







Overall 

85/96 (89%)

84/90 (93%)

Cefdinir equivalent to control

S pneumoniae  

42/44 (95%)

43/44 (98%)



H influenzae 

26/35 (74%)

21/26 (81%)



M catarrhalis 

6/6 (100%)

8/8 (100%)



H parainfluenzae 

11/11 (100%)

12/12 (100%)



Acute Exacerbations of Chronic Bronchitis:

Caused by Haemophilus influenzae(including β-lactamase producing strains), Haemophilus parainfluenzae(including β-lactamase producing strains), Streptococcus pneumoniae(penicillin-susceptible strains only), and Moraxella catarrhalis(including β-lactamase producing strains). 

Teratogenic Effects: Pregnancy Category B.

Cefdinir was not teratogenic in rats at oral doses up to 1000 mg/kg/day (70 times the human dose based on mg/kg/day, 11 times based on mg/m 2/day) or in rabbits at oral doses up to 10 mg/kg/ day (0.7 times the human dose based on mg/kg/day, 0.23 times based on mg/m 2/day). Maternal toxicity (decreased body weight gain) was observed in rabbits at the maximum tolerated dose of 10 mg/kg/day without adverse effects on offspring. Decreased body weight occurred in rat fetuses at ≥100 mg/kg/day, and in rat offspring at ≥32 mg/kg/day. No effects were observed on maternal reproductive parameters or offspring survival, development, behavior, or reproductive function.

There are, however, no adequate and well-controlled studies in pregnant women. Because animal reproduction studies are not always predictive of human response, this drug should be used during pregnancy only if clearly needed. 

Antacids (aluminum Or Magnesium Containing):

If antacids are required during cefdinir therapy, cefdinir should be taken at least 2 hours before or after the antacid. 

Iron Supplements and Foods Fortified With Iron:

Concomitant administration of cefdinir with a therapeutic iron supplement containing 60 mg of elemental iron (as FeSO 4) or vitamins supplemented with 10 mg of elemental iron reduced extent of absorption by 80% and 31%, respectively. If iron supplements are required during cefdinir therapy, cefdinir should be taken at least 2 hours before or after the supplement.

The effect of foods highly fortified with elemental iron (primarily iron-fortified breakfast cereals) on cefdinir absorption has not been studied.

Concomitantly administered iron-fortified infant formula (2.2 mg elemental iron/6 oz) has no significant effect on cefdinir pharmacokinetics. Therefore, cefdinir can be administered with iron-fortified infant formula.

There have been reports of reddish stools in patients receiving cefdinir. In many cases, patients were also receiving iron-containing products. The reddish color is due to the formation of a nonabsorbable complex between cefdinir or its breakdown products and iron in the gastrointestinal tract. 

Uncomplicated Skin and Skin Structure Infections:

Caused by Staphylococcus aureus(including β-lactamase producing strains) and Streptococcus pyogenes

Carcinogenesis, Mutagenesis, Impairment of Fertility:

The carcinogenic potential of cefdinir has not been evaluated. No mutagenic effects were seen in the bacterial reverse mutation assay (Ames) or point mutation assay at the hypoxanthine-guanine phosphoribosyltransferase locus (HGPRT) in V79 Chinese hamster lung cells. No clastogenic effects were observed in vitroin the structural chromosome aberration assay in V79 Chinese hamster lung cells or in vivoin the micronucleus assay in mouse bone marrow. In rats, fertility and reproductive performance were not affected by cefdinir at oral doses up to 1000 mg/kg/day (70 times the human dose based on mg/kg/day, 11 times based on mg/m 2/day). 


Structured Label Content

Section 42229-5 (42229-5)

125 mg/5 mL & 250 mg/5 mL

Rx only

To reduce the development of drug-resistant bacteria and maintain the effectiveness of cefdinir for oral suspension and other antibacterial drugs, cefdinir for oral suspension should be used only to treat or prevent infections that are proven or strongly suspected to be caused by bacteria. 

General:

Prescribing cefdinir for oral suspension in the absence of a proven or strongly suspected bacterial infection or a prophylactic indication is unlikely to provide benefit to the patient and increases the risk of the development of drug-resistant bacteria.

As with other broad-spectrum antibiotics, prolonged treatment may result in the possible emergence and overgrowth of resistant organisms. Careful observation of the patient is essential. If superinfection occurs during therapy, appropriate alternative therapy should be administered. 

Cefdinir, as with other broad-spectrum antimicrobials (antibiotics), should be prescribed with caution in individuals with a history of colitis.

In patients with transient or persistent renal insufficiency (creatinine clearance <30 mL/min), the total daily dose of cefdinir should be reduced because high and prolonged plasma concentrations of cefdinir can result following recommended doses (see DOSAGE AND ADMINISTRATION ).

Warnings (WARNINGS)

BEFORE THERAPY WITH CEFDINIR IS INSTITUTED, CAREFUL INQUIRY SHOULD BE MADE TO DETERMINE WHETHER THE PATIENT HAS HAD PREVIOUS HYPERSENSITIVITY REACTIONS TO CEFDINIR, OTHER CEPHALOSPORINS, PENICILLINS, OR OTHER DRUGS. IF CEFDINIR IS TO BE GIVEN TO PENICILLIN-SENSITIVE PATIENTS, CAUTION SHOULD BE EXERCISED BECAUSE CROSS-HYPERSENSITIVITY AMONG β-LACTAM ANTIBIOTICS HAS BEEN CLEARLY DOCUMENTED AND MAY OCCUR IN UP TO 10% OF PATIENTS WITH A HISTORY OF PENICILLIN ALLERGY. IF AN ALLERGIC REACTION TO CEFDINIR OCCURS, THE DRUG SHOULD BE DISCONTINUED. SERIOUS ACUTE HYPERSENSITIVITY REACTIONS MAY REQUIRE TREATMENT WITH EPINEPHRINE AND OTHER EMERGENCY MEASURES, INCLUDING OXYGEN, INTRAVENOUS FLUIDS, INTRAVENOUS ANTIHISTAMINES, CORTICOSTEROIDS, PRESSOR AMINES, AND AIRWAY MANAGEMENT, AS CLINICALLY INDICATED. 

Clostridium difficileassociated diarrhea (CDAD) has been reported with use of nearly all antibacterial agents, including cefdinir, and may range in severity from mild diarrhea to fatal colitis. Treatment with antibacterial agents alters the normal flora of the colon leading to overgrowth of C. difficile.

C. difficileproduces toxins A and B which contribute to the development of CDAD. Hypertoxin producing strains of C. difficilecause increased morbidity and mortality, as these infections can be refractory to antimicrobial therapy and may require colectomy. CDAD must be considered in all patients who present with diarrhea following antibacterial use. Careful medical history is necessary since CDAD has been reported to occur over two months after the administration of antibacterial agents.

If CDAD is suspected or confirmed, ongoing antibacterial use not directed against C. difficilemay need to be discontinued. Appropriate fluid and electrolyte management, protein supplementation, antibacterial treatment of C. difficile, and surgical evaluation should be instituted as clinically indicated.

Overdosage (OVERDOSAGE)

Information on cefdinir overdosage in humans is not available. In acute rodent toxicity studies, a single oral 5600 mg/kg dose produced no adverse effects. Toxic signs and symptoms following overdosage with other β-lactam antibiotics have included nausea, vomiting, epigastric distress, diarrhea, and convulsions. Hemodialysis removes cefdinir from the body. This may be useful in the event of a serious toxic reaction from overdosage, particularly if renal function is compromised. 

References (REFERENCES)
  • Clinical and Laboratory Standards Institute (CLSI). Methods for Dilution Antimicrobial Susceptibility Tests for Bacteria That Grow Aerobically; Approved Standard – Tenth Edition. CLSI Document M07-A10 [2015], Clinical and Laboratory Standards Institute, 950 West Valley Road, Suite 2500, Wayne, Pennsylvania 19087, USA.
  • Clinical and Laboratory Standards Institute (CLSI). Performance Standards for Antimicrobial Disk Diffusion Susceptibility Tests; Approved Standard – Twelfth Edition. CLSI Document M02-A12 [2015], Clinical and Laboratory Standards Institute, 950 West Valley Road, Suite 2500, Wayne, Pennsylvania 19087, USA.
  • Clinical and Laboratory Standards Institute (CLSI). Performance Standards for Antimicrobial Susceptibility Testing; Twenty-fifth Informational Supplement, CLSI Document M100-S25 [2015], Clinical and Laboratory Standards Institute, 950 West Valley Road, Suite 2500, Wayne, Pennsylvania 19087, USA.
  • Cockcroft DW, Gault MH. Prediction of creatinine clearance from serum creatinine. Nephron 1976;16:31-41.
  • Schwartz GJ, Haycock GB, Edelmann CM, Spitzer A. A simple estimate of glomerular filtration rate in children derived from body length and plasma creatinine. Pediatrics 1976;58:259-63.
  • Schwartz GJ, Feld LG, Langford DJ. A simple estimate of glomerular filtration rate in full-term infants during the first year of life. J Pediatrics 1984;104:849-54.

Manufactured for:

Lupin Pharmaceuticals, Inc.

Baltimore, Maryland 21202

United States

Manufactured by:

Lupin Limited

Mandideep 462 046

INDIA

Clinistix ®and Clinitest ®are registered trademarks of Miles Diagnostics.

Tes-tape ®is a registered trademark of Lilly.

Revised: March 2020                                                                                      ID#: 264893

Absorption:

Oral Bioavailability: Maximal plasma cefdinir concentrations occur 2 to 4 hours postdose following capsule or suspension administration. Plasma cefdinir concentrations increase with dose, but the increases are less than dose-proportional from 300 mg (7 mg/kg) to 600 mg (14 mg/kg). Following administration of suspension to healthy adults, cefdinir bioavailability is 120% relative to capsules. Estimated bioavailability of cefdinir capsules is 21% following administration of a 300 mg capsule dose, and 16% following administration of a 600 mg capsule dose. Estimated absolute bioavailability of cefdinir suspension is 25%. Cefdinir oral suspension of 250 mg/5 mL strength was shown to be bioequivalent to the 125 mg/5 mL strength in healthy adults under fasting conditions.

Effect of Food: The C maxand AUC of cefdinir from the capsules are reduced by 16% and 10%, respectively, when given with a high-fat meal. In adults given the 250 mg/5 mL oral suspension with a high-fat meal, the C maxand AUC of cefdinir are reduced by 44% and 33%, respectively. The magnitude of these reductions is not likely to be clinically significant because the safety and efficacy studies of oral suspension in pediatric patients were conducted without regard to food intake. Therefore, cefdinir may be taken without regard to food.

Cefdinir Suspension: Cefdinir plasma concentrations and pharmacokinetic parameter values following administration of single 7 and 14 mg/kg oral doses of cefdinir to pediatric subjects (age 6 months-12 years) are presented in the following table:

Mean (±SD) Plasma Cefdinir Pharmacokinetic Parameter Values Following Administration of Suspension to Pediatric Subjects
Dose 

Cmax ( mcg / mL

tmax ( hr

AUC ( mcg . hr / mL

7 mg/kg 

2.30(0.65) 

2.2(0.6) 

8.31(2.50) 

14 mg/kg 

3.86(0.62) 

1.8(0.4) 

13.4(2.64) 

Multiple Dosing: Cefdinir does not accumulate in plasma following once- or twice-daily administration to subjects with normal renal function.

Description (DESCRIPTION)

Cefdinir for oral suspension contain the active ingredient cefdinir, an extended-spectrum, semisynthetic cephalosporin, for oral administration. Chemically, cefdinir is [6R-[6α,7β(Z)]]-7-[[(2-amino-4-thiazolyl)(hydroxyimino)acetyl]amino]-3-ethenyl-8-oxo-5-thia-1-azabicyclo[4.2.0]oct-2-ene-2-carboxylic acid. Cefdinir is a white to slightly brownish-yellow solid. It is slightly soluble in dilute hydrochloric acid and sparingly soluble in 0.1 M pH 7.0 phosphate buffer. The molecular formula is C 14H 13N 5O 5S 2and the molecular weight is 395.42. Cefdinir has the structural formula shown below:

Cefdinir for oral suspension, after reconstitution, contains 125 mg cefdinir per 5 mL or 250 mg cefdinir per 5 mL and the following inactive ingredients: anhydrous citric acid; colloidal silicon dioxide; guar gum; anhydrous sodium citrate; sodium benzoate; strawberry flavour; sucrose; and xanthan gum.

Probenecid:

As with other β-lactam antibiotics, probenecid inhibits the renal excretion of cefdinir, resulting in an approximate doubling in AUC, a 54% increase in peak cefdinir plasma levels, and a 50% prolongation in the apparent elimination t 1/2

How Supplied (HOW SUPPLIED)

Cefdinir for oral suspension USP, is an off-white to creamish powder formulation that, when reconstituted as directed, contains 125 mg cefdinir/5 mL or 250 mg cefdinir/5 mL. The reconstituted suspension has an off-white to creamish color and strawberry flavor. The powder is available as follows:

125 mg/5 mL:

60 mL bottles NDC 68071-3609-6

Store dry powder and reconstituted suspension at 20° to 25° C (68° to 77° F); [See USP Controlled Room Temperature].

Distribution:

The mean volume of distribution (Vd area) of cefdinir in adult subjects is 0.35 L/kg (±0.29); in pediatric subjects (age 6 months-12 years), cefdinir Vd areais 0.67 L/kg (±0.38). Cefdinir is 60% to 70% bound to plasma proteins in both adult and pediatric subjects; binding is independent of concentration.

Skin Blister: In adult subjects, median (range) maximal blister fluid cefdinir concentrations of 0.65 (0.33-1.1) and 1.1 (0.49-1.9) mcg/mL were observed 4 to 5 hours following administration of 300 and 600 mg doses, respectively. Mean (±SD) blister C maxand AUC (0- ∞) values were 48% (±13) and 91% (±18) of corresponding plasma values.

Tonsil Tissue: In adult patients undergoing elective tonsillectomy, respective median tonsil tissue cefdinir concentrations 4 hours after administration of single 300 and 600 mg doses were 0.25 (0.22-0.46) and 0.36 (0.22-0.80) mcg/g. Mean tonsil tissue concentrations were 24% (±8) of corresponding plasma concentrations.

Sinus Tissue: In adult patients undergoing elective maxillary and ethmoid sinus surgery, respective median sinus tissue cefdinir concentrations 4 hours after administration of single 300 and 600 mg doses were <0.12 (<0.12-0.46) and 0.21 (<0.12-2.0) mcg/g. Mean sinus tissue concentrations were 16% (±20) of corresponding plasma concentrations.

Lung Tissue: In adult patients undergoing diagnostic bronchoscopy, respective median bronchial mucosa cefdinir concentrations 4 hours after administration of single 300 and 600 mg doses were 0.78 (<0.06-1.33) and 1.14 (<0.06-1.92) mcg/mL, and were 31% (±18) of corresponding plasma concentrations. Respective median epithelial lining fluid concentrations were 0.29 (<0.3-4.73) and 0.49 (<0.3-0.59) mcg/mL, and were 35% (±83) of corresponding plasma concentrations.

Middle Ear Fluid: In 14 pediatric patients with acute bacterial otitis media, respective median middle ear fluid cefdinir concentrations 3 hours after administration of single 7 and 14 mg/kg doses were 0.21 (<0.09-0.94) and 0.72 (0.14-1.42) mcg/mL. Mean middle ear fluid concentrations were 15% (±15) of corresponding plasma concentrations.

CSF: Data on cefdinir penetration into human cerebrospinal fluid are not available.

Microbiology:

Mechanism of Action:

As with other cephalosporins, bactericidal activity of cefdinir results from inhibition of cell wall synthesis. Cefdinir is stable in the presence of some, but not all, β-lactamase enzymes. As a result, many organisms resistant to penicillins and some cephalosporins are susceptible to cefdinir.

Mechanism of Resistance:

Resistance to cefdinir is primarily through hydrolysis by some β-lactamases, alteration of penicillin-binding proteins (PBPs) and decreased permeability. Cefdinir is inactive against most strains of Enterobacterspp., Pseudomonasspp., Enterococcusspp., penicillin-resistant streptococci, and methicillin-resistant staphylococci. β-lactamase negative, ampicillin-resistant (BLNAR) H. influenzaestrains are typically non-susceptible to cefdinir.

Antimicrobial Activity:

Cefdinir has been shown to be active against most strains of the following microorganisms, both in vitroand in clinical infections as described in INDICATIONS AND USAGE .

Gram-Positive Bacteria:

Staphylococcus aureus(methicillin-susceptible strains only)

Streptococcus pneumoniae(penicillin-susceptible strains only)

Streptococcus pyogenes

Gram-Negative Bacteria:

Haemophilus influenzae

Haemophilus parainfluenzae

Moraxella catarrhalis

The following in vitrodata are available, but their clinical significance is unknown.

Cefdinir exhibits in vitrominimum inhibitory concentrations (MICs) of 1 mcg/mL or less against (≥ 90%) strains of the following microorganisms; however, the safety and effectiveness of cefdinir in treating clinical infections due to these microorganisms have not been established in adequate and well-controlled clinical trials.

Gram-Positive Bacteria:  

Staphylococcus epidermidis(methicillin-susceptible strains only)

Streptococcus agalactiae

Viridans group streptococci

Gram-Negative Bacteria:  

Citrobacter koseri

Escherichia coli

Klebsiella pneumoniae

Proteus mirabilis

Susceptibility Test Methods:

When available, the clinical microbiology laboratory should provide periodic reports that describe the regional/local susceptibility profile of potential nosocomial and community-acquired pathogens. These reports should aid the physician in selecting an antibacterial drug for treatment.

Dilution Techniques:  

Quantitative methods are used to determine antimicrobial minimum inhibitory concentrations (MICs). These MICs provide estimates of the susceptibility of bacteria to antimicrobial compounds. The MICs should be determined using a standardized test method 1(broth and/or agar). The MIC values should be interpreted according to criteria provided in Table 1.

Diffusion Techniques:

Quantitative methods that require measurement of zone diameters also provide reproducible estimates of the susceptibility of bacteria to antimicrobial compounds. The zone size should be determined using a standardized method. 2The procedure uses paper disks impregnated with 5 mcg cefdinir to test the susceptibility of bacteria. The disk diffusion interpretive criteria are provided in Table 1.



Minimum  Inhibitory

Zone  Diameter

Microorganisms
Streptococci other than S. pneumoniae that are susceptible to penicillin (MIC ≤ 0.12 mcg/mL), can be considered susceptible to cefdinir.


Concentration  ( mcg / mL )

( mm )



S

I

R

S

I

R

Haemophilus  influenzae

≤ 1

-

-

≥ 20

-

--

Haemophilus  parainfluenzae

≤ 1

-

-

≥ 20

-

--

Moraxella  catarrhalis

≤ 1

2

≥ 4

≥ 20

17 to 19

≤ 16

Streptococcus pneumoniae
S. pneumoniae that are susceptible to penicillin (MIC ≤ 0.06 mcg/mL) can be considered susceptible to cefdinir. Isolates of S. pneumoniae tested against a 1-µg oxacillin disk with oxacillin zone sizes ≥ 20 mm are susceptible to penicillin and can be considered susceptible to cefdinir. Testing of cefdinir against penicillin-intermediate or penicillin-resistant isolates is not recommended. Reliable interpretive criteria for cefdinir are not available.


≤ 0.5

1

≥ 2

-

-

-

Susceptibility of staphylococci to cefdinir may be deduced from testing penicillin and either cefoxitin or oxacillin. Staphylococci susceptible to oxacillin (cefoxitin) can be considered susceptible to cefdinir.3

A report of "Susceptible" indicates that antimicrobial is likely to inhibit growth of the pathogen if the antimicrobial compound reaches the concentrations at the site of infection necessary to inhibit growth of the pathogen. A report of "Intermediate" indicates that the result should be considered equivocal, and, if the microorganism is not fully susceptible to alternative, clinically feasible drugs, the test should be repeated. This category implies possible clinical applicability in body sites where the drug is physiologically concentrated or in situations where a high dosage of drug can be used. This category also provides a buffer zone that prevents small uncontrolled technical factors from causing major discrepancies in interpretation. A report of "Resistant" indicates that the antimicrobial is not likely to inhibit growth of the pathogen if the antimicrobial compound reaches the concentrations usually achievable at the infection site; other therapy should be selected.

Quality Control:

Standardized susceptibility test procedures require the use of laboratory controls to monitor and ensure the accuracy and precision of supplies and reagents used in the assay, and the techniques of the individual performing the test. 1,2,3Standard cefdinir powder should provide the following range of MIC values as noted in Table 2. For the diffusion technique using a 5 mcg disk the criteria in Table 2 should be achieved.



QC  Strain

Minimum  Inhibitory  Concentration  ( mcg / mL )

Zone  Diameter  ( mm )

Escherichia  coli ATCC 25922 

0.12 to 0.5

24 to 28

Haemophilus  influenzae ATCC 49766

0.12 to 0.5

24 to 31

Staphylococcus  aureus ATCC 25923

-

25 to 32

Staphylococcus  aureus ATCC 29213

0.12 to 0.5

-

Streptococcus  pneumoniae ATCC 49619

0.03 to 0.25

26 to 31

Geriatric Use:

Efficacy is comparable in geriatric patients and younger adults. While cefdinir has been well-tolerated in all age groups, in clinical trials geriatric patients experienced a lower rate of adverse events, including diarrhea, than younger adults. Dose adjustment in elderly patients is not necessary unless renal function is markedly compromised (see DOSAGE AND ADMINISTRATION ). 

Pediatric Use:

Safety and efficacy in neonates and infants less than 6 months of age have not been established. Use of cefdinir for the treatment of acute maxillary sinusitis in pediatric patients (age 6 months through 12 years) is supported by evidence from adequate and well-controlled studies in adults and adolescents, the similar pathophysiology of acute sinusitis in adult and pediatric patients, and comparative pharmacokinetic data in the pediatric population. 

Nursing Mothers:

Following administration of single 600 mg doses, cefdinir was not detected in human breast milk. 

Contraindications (CONTRAINDICATIONS)

Cefdinir is contraindicated in patients with known allergy to the cephalosporin class of antibiotics. 

Labor and Delivery:

Cefdinir has not been studied for use during labor and delivery. 

Special Populations:

Patients with Renal Insufficiency: Cefdinir pharmacokinetics were investigated in 21 adult subjects with varying degrees of renal function. Decreases in cefdinir elimination rate, apparent oral clearance (CL/F), and renal clearance were approximately proportional to the reduction in creatinine clearance (CL cr). As a result, plasma cefdinir concentrations were higher and persisted longer in subjects with renal impairment than in those without renal impairment. In subjects with CL crbetween 30 and 60 mL/min, C maxand t 1/2increased by approximately 2-fold and AUC by approximately 3-fold. In subjects with CL cr<30 mL/min, C maxincreased by approximately 2-fold, t 1/2by approximately 5-fold, and AUC by approximately 6-fold. Dosage adjustment is recommended in patients with markedly compromised renal function (creatinine clearance <30 mL/min; see DOSAGE AND ADMINISTRATION ).

Hemodialysis: Cefdinir pharmacokinetics were studied in 8 adult subjects undergoing hemodialysis. Dialysis (4 hours duration) removed 63% of cefdinir from the body and reduced apparent elimination t 1/2from 16 (±3.5) to 3.2 (±1.2) hours. Dosage adjustment is recommended in this patient population (see DOSAGE AND ADMINISTRATION ).

Hepatic Disease: Because cefdinir is predominantly renally eliminated and not appreciably metabolized, studies in patients with hepatic impairment were not conducted. It is not expected that dosage adjustment will be required in this population.

Geriatric Patients: The effect of age on cefdinir pharmacokinetics after a single 300 mg dose was evaluated in 32 subjects 19 to 91 years of age. Systemic exposure to cefdinir was substantially increased in older subjects (N=16), C maxby 44% and AUC by 86%. This increase was due to a reduction in cefdinir clearance. The apparent volume of distribution was also reduced, thus no appreciable alterations in apparent elimination t 1/2were observed (elderly: 2.2 ± 0.6 hours vs young: 1.8 ± 0.4 hours). Since cefdinir clearance has been shown to be primarily related to changes in renal function rather than age, elderly patients do not require dosage adjustment unless they have markedly compromised renal function (creatinine clearance <30 mL/min, see Patients with Renal Insufficiency, above).

Gender and Race: The results of a meta-analysis of clinical pharmacokinetics (N=217) indicated no significant impact of either gender or race on cefdinir pharmacokinetics. 

Indications and Usage (INDICATIONS AND USAGE)

To reduce the development of drug-resistant bacteria and maintain the effectiveness of cefdinir for oral suspension and other antibacterial drugs, cefdinir for oral suspension should be used only to treat or prevent infections that are proven or strongly suspected to be caused by susceptible bacteria. When culture and susceptibility information are available, they should be considered in selecting or modifying antibacterial therapy. In the absence of such data, local epidemiology and susceptibility patterns may contribute to the empiric selection of therapy.

Cefdinir for oral suspension is indicated for the treatment of patients with mild to moderate infections caused by susceptible strains of the designated microorganisms in the conditions listed below. 

Principal Display Panel (PRINCIPAL DISPLAY PANEL)

Pharyngitis/tonsillitis: (Pharyngitis/Tonsillitis:)

Caused by Streptococcus pyogenes(see CLINICAL STUDIES ).

NOTE: Cefdinir is effective in the eradication of S. pyogenesfrom the oropharynx. Cefdinir has not, however, been studied for the prevention of rheumatic fever following S. pyogenespharyngitis/tonsillitis. Only intramuscular penicillin has been demonstrated to be effective for the prevention of rheumatic fever. 

Dosage and Administration (DOSAGE AND ADMINISTRATION)

(see INDICATIONS AND USAGE for Indicated Pathogens)

The recommended dosage and duration of treatment for infections in pediatric patients are described in the following chart; the total daily dose for all infections is 14 mg/kg, up to a maximum dose of 600 mg per day. Once-daily dosing for 10 days is as effective as BID dosing. Once-daily dosing has not been studied in skin infections; therefore, cefdinir for oral suspension should be administered twice daily in this infection. Cefdinir for oral suspension may be administered without regard to meals.

Pediatric Patients (Age 6 Months Through 12 Years)
Type  of  Infection

Dosage

Duration

Acute Bacterial Otitis Media

7 mg/kg q12h or

5 to 10 days



14 mg/kg q24h

10 days

Acute Maxillary Sinusitis

7 mg/kg q12h or

10 days



14 mg/kg q24h

10 days

Pharyngitis/Tonsillitis 

7 mg/kg q12h or

5 to 10 days



14 mg/kg q24h

10 days

Uncomplicated Skin and Skin Structure Infections

7 mg/kg q12h

10 days

CEFDINIR FOR ORAL SUSPENSION PEDIATRIC DOSAGE CHART
Weight  

125  mg / mL 

250  mg / mL 

aPediatric patients who weight ≥43 kg should receive the maximum daily dose of 600 mg.

9 kg/20 lbs 

2.5 mL q12h or 5 mL q24h 

Use 125 mg/5 mL product 

18 kg/40 lbs 

5 mL q12h or 10 mL q24h 

2.5 mL q12h or 5 mL q24h 

27 kg/60 lbs 

7.5 mL q12h or 15 mL q24h 

3.75 mL q12h or 7.5 mL q24h 

36 kg/80 lbs 

10 mL q12h or 20 mL q24h 

5 mL q12h or 10 mL q24h 

≥43 kg a/95 lbs 

12 mL q12h or 24 mL q24h 

6 mL q12h or 12 mL q24h 

Information for Patients:

Patients should be counseled that antibacterial drugs including cefdinir for oral suspension should only be used to treat bacterial infections. They do not treat viral infections (e.g., the common cold). When cefdinir for oral suspension is prescribed to treat a bacterial infection, patients should be told that although it is common to feel better early in the course of therapy, the medication should be taken exactly as directed. Skipping doses or not completing the full course of therapy may (1) decrease the effectiveness of the immediate treatment and (2) increase the likelihood that bacteria will develop resistance and will not be treatable by cefdinir for oral suspension or other antibacterial drugs in the future.   

Antacids containing magnesium or aluminum interfere with the absorption of cefdinir. If this type of antacid is required during cefdinir therapy, cefdinir should be taken at least 2 hours before or after the antacid.

Iron supplements, including multivitamins that contain iron, interfere with the absorption of cefdinir. If iron supplements are required during cefdinir therapy, cefdinir should be taken at least 2 hours before or after the supplement.

Iron-fortified infant formula does not significantly interfere with the absorption of cefdinir. Therefore, cefdinir can be administered with iron-fortified infant formula.

Diabetic patients and caregivers should be aware that the oral suspension contains 2.86 g of sucrose per teaspoon.

Diarrhea is a common problem caused by antibiotics which usually ends when the antibiotic is discontinued. Sometimes after starting treatment with antibiotics, patients can develop watery and bloody stools (with or without stomach cramps and fever) even as late as two or more months after having taken the last dose of the antibiotic. If this occurs, patients should contact their physician as soon as possible.

Metabolism and Excretion:

Cefdinir is not appreciably metabolized. Activity is primarily due to parent drug. Cefdinir is eliminated principally via renal excretion with a mean plasma elimination half-life (t 1/2) of 1.7 (±0.6) hours. In healthy subjects with normal renal function, renal clearance is 2.0 (±1.0) mL/min/kg, and apparent oral clearance is 11.6 (±6.0) and 15.5 (±5.4) mL/min/kg following doses of 300 and 600 mg, respectively. Mean percent of dose recovered unchanged in the urine following 300 and 600 mg doses is 18.4% (±6.4) and 11.6% (±4.6), respectively. Cefdinir clearance is reduced in patients with renal dysfunction (see Special Populations: Patients with Renal Insufficiency ).

Because renal excretion is the predominant pathway of elimination, dosage should be adjusted in patients with markedly compromised renal function or who are undergoing hemodialysis (see DOSAGE AND ADMINISTRATION ).

Patients On Hemodialysis: (Patients on Hemodialysis:)

Hemodialysis removes cefdinir from the body. In patients maintained on chronic hemodialysis, the recommended initial dosage regimen is a 300 mg or 7 mg/kg dose every other day. At the conclusion of each hemodialysis session, 300 mg (or 7 mg/kg) should be given. Subsequent doses (300 mg or 7 mg/kg) are then administered every other day.

Directions for Mixing
Final Concentration

Final Volume(mL)

Amount of Water

Directions

125 mg/5 mL 

60

38 mL

Tap bottle to loosen  powder, then add water in 2 

100

61 mL

portions. Shake well after each aliquot.

250 mg/5 mL 

60

38 mL

Tap bottle to loosen  powder, then add water in 2

100

61 mL

portions. Shake well after each aliquot.

After mixing, the suspension can be stored at 20° to 25°C (68° to 77°F). The container should be kept tightly closed, and the suspension should be shaken well before each administration. The suspension may be used for 10 days, after which any unused portion must be discarded.

Postmarketing Experience:

The following adverse experiences and altered laboratory tests, regardless of their relationship to cefdinir, have been reported during extensive postmarketing experience, beginning with approval in Japan in 1991: shock, anaphylaxis with rare cases of fatality, facial and laryngeal edema, feeling of suffocation, serum sickness-like reactions, conjunctivitis, stomatitis, Stevens-Johnson syndrome, toxic epidermal necrolysis, exfoliative dermatitis, erythema multiforme, erythema nodosum, acute hepatitis, cholestasis, fulminant hepatitis, hepatic failure, jaundice, increased amylase, acute enterocolitis, bloody diarrhea, hemorrhagic colitis, melena, pseudomembranous colitis, pancytopenia, granulocytopenia, leukopenia, thrombocytopenia, idiopathic thrombocytopenic purpura, hemolytic anemia, acute respiratory failure, asthmatic attack, drug-induced pneumonia, eosinophilic pneumonia, idiopathic interstitial pneumonia, fever, acute renal failure, nephropathy, bleeding tendency, coagulation disorder, disseminated intravascular coagulation, upper GI bleed, peptic ulcer, ileus, loss of consciousness, allergic vasculitis, possible cefdinir-diclofenac interaction, cardiac failure, chest pain, myocardial infarction, hypertension, involuntary movements, and rhabdomyolysis.

Acute Maxillary Sinusitis:

Caused by Haemophilus influenzae(including β-lactamase producing strains), Streptococcus pneumoniae(penicillin-susceptible strains only), and Moraxella catarrhalis(including β-lactamase producing strains).

NOTE: For information on use in pediatric patients, see Pediatric Use and DOSAGE AND ADMINISTRATION

Acute Bacterial Otitis Media:

Causedby Haemophilus influenzae(including β-lactamase producing strains), Streptococcus pneumoniae(penicillin-susceptible strains only), and Moraxella catarrhalis(including β-lactamase producing strains). 

Community Acquired Pneumonia: (Community-Acquired Pneumonia:)

Caused by Haemophilus influenzae(including β-lactamase producing strains), Haemophilus parainfluenzae(including β-lactamase producing strains), Streptococcus pneumoniae(penicillin-susceptible strains only), and Moraxella catarrhalis(including β-lactamase producing strains) (see CLINICAL STUDIES ). 

Drug/laboratory Test Interactions: (Drug/Laboratory Test Interactions:)

A false-positive reaction for ketones in the urine may occur with tests using nitroprusside, but not with those using nitroferricyanide. The administration of cefdinir may result in a false-positive reaction for glucose in urine using Clinitest ®, Benedict's solution, or Fehling's solution. It is recommended that glucose tests based on enzymatic glucose oxidase reactions (such as Clinistix ®or Tes-Tape ®) be used. Cephalosporins are known to occasionally induce a positive direct Coombs' test. 

Patients With Renal Insufficiency:

For adult patients with creatinine clearance <30 mL/min, the dose of cefdinir should be 300 mg given once daily.

Creatinine clearance is difficult to measure in outpatients. However, the following formula may be used to estimate creatinine clearance (CL cr) in adult patients. For estimates to be valid, serum creatinine levels should reflect steady-state levels of renal function.

                                                                                    (weight) (140 – age)

                                                    Males:  CL cr=   ————————————

                                                                                    (72) (serum creatinine)

                                                   Females:   CL cr= 0.85 x above value

where creatinine clearance is in mL/min, age is in years, weight is in kilograms, and serum creatinine is in mg/dL. 4

The following formula may be used to estimate creatinine clearance in pediatric patients:

                                                                           body length or height

                                                     CL cr= K  x   ———————————

                                                                            serum creatinine

where K = 0.55 for pediatric patients older than 1 year 5and 0.45 for infants (up to 1 year) 6.

In the above equation, creatinine clearance is in mL/min/1.73 m 2, body length or height is in centimeters, and serum creatinine is in mg/dL.

For pediatric patients with a creatinine clearance of <30 mL/min/1.73 m 2, the dose of cefdinir should be 7 mg/kg (up to 300 mg) given once daily.

Cephalosporin Class Adverse Events:

The following adverse events and altered laboratory tests have been reported for cephalosporin-class antibiotics in general:

Allergic reactions, anaphylaxis, Stevens-Johnson syndrome, erythema multiforme, toxic epidermal necrolysis, renal dysfunction, toxic nephropathy, hepatic dysfunction including cholestasis, aplastic anemia, hemolytic anemia, hemorrhage, false-positive test for urinary glucose, neutropenia, pancytopenia, and agranulocytosis. Pseudomembranous colitis symptoms may begin during or after antibiotic treatment (see WARNINGS ).

Several cephalosporins have been implicated in triggering seizures, particularly in patients with renal impairment when the dosage was not reduced (see DOSAGE AND ADMINISTRATION  and OVERDOSAGE ). If seizures associated with drug therapy occur, the drug should be discontinued. Anticonvulsant therapy can be given if clinically indicated.   

Streptococcal Pharyngitis/tonsillitis: (Streptococcal Pharyngitis/Tonsillitis:)

In four controlled studies conducted in the US, cefdinir was compared with 10 days of penicillin in adult, adolescent, and pediatric patients. Two studies (one in adults and adolescents, the other in pediatric patients) compared 10 days of cefdinir QD or BID to penicillin 250 mg or 10 mg/kg QID. Using strict evaluability and microbiologic/clinical response criteria 5 to 10 days posttherapy, the following clinical cure rates, microbiologic eradication rates, and statistical outcomes were obtained:

Pharyngitis/Tonsillitis Studies Cefdinir (10 days) vs Penicillin (10 days)
Study 

Efficacy  Parameter

Cefdinir  QD

Cefdinir  BID

Penicillin  QID

Outcome

Adults/ Adolescents 

Eradication of  S pyogenes

192/210 (91%)

199/217 (92%)

181/217 (83%)

Cefdinir superior to control



Clinical Cure Rates

199/210 (95%)

209/217 (96%)

193/217 (89%)

Cefdinir superior to control

Pediatric Patients 

Eradication of   S pyogenes

215/228 (94%)

214/227 (94%)

159/227 (70%)

Cefdinir superior  to control



Clinical Cure Rates

222/228 (97%)

218/227 (96%)

196/227 (86%)

Cefdinir superior  to control

Two studies (one in adults and adolescents, the other in pediatric patients) compared 5 days of cefdinir BID to 10 days of penicillin 250 mg or 10 mg/kg QID. Using strict evaluability and microbiologic/ clinical response criteria 4 to 10 days posttherapy, the following clinical cure rates, microbiologic eradication rates, and statistical outcomes were obtained:

Pharyngitis/Tonsillitis Studies Cefdinir (5 days) vs Penicillin (10 days)
Study 

Efficacy  Parameter 

Cefdinir  BID 

Penicillin  QID 

Outcome 

Adults/ Adolescents 

Eradication of  S pyogenes 

193/218 (89%) 

176/214 (82%) 

Cefdinir equivalent to control 



Clinical Cure Rates 

194/218 (89%) 

181/214 (85%) 

Cefdinir equivalent to control 

Pediatric Patients 

Eradication of  S pyogenes 

176/196 (90%) 

135/193 (70%) 

Cefdinir superior to control 



Clinical Cure Rates 

179/196 (91%) 

173/193 (90%) 

Cefdinir equivalent to control 

Clinical Trials (pediatric Patients): (Clinical Trials - (Pediatric Patients):)

In clinical trials, 2289 pediatric patients (1783 US and 506 non-US) were treated with the recommended dose of cefdinir suspension (14 mg/kg/day). Most adverse events were mild and self-limiting. No deaths or permanent disabilities were attributed to cefdinir. Forty of 2289 (2%) patients discontinued medication due to adverse events considered by the investigators to be possibly, probably, or definitely associated with cefdinir therapy. Discontinuations were primarily for gastrointestinal disturbances, usually diarrhea. Five of 2289 (0.2%) patients were discontinued due to rash thought related to cefdinir administration.

In the US, the following adverse events were thought by investigators to be possibly, probably, or definitely related to cefdinir suspension in multiple-dose clinical trials (N=1783 cefdinir-treated patients): 

ADVERSE  EVENTS  ASSOCIATED  WITH  CEFDINIR  SUSPENSION 

U . S TRIALS  IN  PEDIATRIC  PATIENTS  ( N = 1783 ) a

a977 males, 806 females

bLaboratory changes were occasionally reported as adverse events.

Incidence ≥1% 

Diarrhea 

8% 



Rash 

3% 



Vomiting 

1% 

Incidence <1% but >0.1% 

Cutaneous moniliasis 

0.9% 



Abdominal pain 

0.8% 



Leukopenia  b

0.3% 



Vaginal moniliasis 

0.3% of girls 



Vaginitis 

0.3% of girls 



Abnormal stools 

0.2% 



Dyspepsia 

0.2% 



Hyperkinesia 

0.2% 



Increased AST  b

0.2% 



Maculopapular rash 

0.2% 



Nausea 

0.2% 

NOTE: In both cefdinir- and control-treated patients, rates of diarrhea and rash were higher in the youngest pediatric patients. The incidence of diarrhea in cefdinir-treated patients ≤2 years of age was 17% (95/557) compared with 4% (51/1226) in those >2 years old. The incidence of rash (primarily diaper rash in the younger patients) was 8% (43/557) in patients ≤2 years of age compared with 1% (8/1226) in those >2 years old.

The following laboratory value changes of possible clinical significance, irrespective of relationship to therapy with cefdinir, were seen during clinical trials conducted in the US:

LABORATORY  VALUE  CHANGES  OF  POSSIBLE  CLINICAL  SIGNIFICANCE  OBSERVED  WITH 

CEFDINIR  SUSPENSION  U . S TRIALS  IN  PEDIATRIC  PATIENTS  ( N = 1783

aN = 1387 for these parameters.

Incidence ≥1% 

↑Lymphocytes,↓Lymphocytes 

2%, 0.8%



↑Alkaline phosphatase 

1%



↓Bicarbonate  a

1%



↑Eosinophils 

1%



↑Lactate dehydrogenase 

1%



↑Platelets 

1%



↑PMNs, ↓PMNs 

1%, 1%



↑Urine protein 

1%

Incidence <1% but >0.1% 

↑Phosphorus, ↓Phosphorus 

0.9%, 0.4%



↑Urine pH 

0.8%



↓White blood cells, ↑White blood cells 

0.7%, 0.3%



↓Calcium  a

0.5%



↓Hemoglobin 

0.5%



↑Urine leukocytes 

0.5%



↑Monocytes 

0.4%



↑AST 

0.3%



↑Potassium  a

0.3%



↑Urine specific gravity, ↓Urine specific gravity 

0.3%, 0.1%



↓Hematocrit  a

0.2%

Community Acquired Bacterial Pneumonia: (Community-Acquired Bacterial Pneumonia:)

In a controlled, double-blind study in adults and adolescents conducted in the US, cefdinir BID was compared with cefaclor 500 mg TID. Using strict evaluability and microbiologic/clinical response criteria 6 to 14 days posttherapy, the following clinical cure rates, presumptive microbiologic eradication rates, and statistical outcomes were obtained:

US Community-Acquired Pneumonia Study Cefdinir vs Cefaclor


Cefdinir  BID

Cefaclor  TID

Outcome

Clinical  Cure  Rates

150/187 (80%)

147/186 (79%)

Cefdinir equivalent to control

Eradication  Rates







Overall

177/195 (91%)

184/200 (92%)

Cefdinir equivalent to control

S pneumoniae

31/31 (100%)

35/35 (100%)



H influenzae

55/65 (85%)

60/72 (83%)



M catarrhalis

10/10 (100%)

11/11 (100%)



H parainfluenzae

81/89 (91%)

78/82 (95%)



In a second controlled, investigator-blind study in adults and adolescents conducted primarily in Europe, cefdinir BID was compared with amoxicillin/clavulanate 500/125 mg TID. Using strict evaluability and clinical response criteria 6 to 14 days posttherapy, the following clinical cure rates, presumptive microbiologic eradication rates, and statistical outcomes were obtained:

European Community-Acquired Pneumonia Study Cefdinir vs Amoxicillin/Clavulanate


Cefdinir  BID

Amoxicillin Clavulanate  TID

Outcome

Clinical  Cure  Rates 

83/104 (80%)

86/97 (89%)

Cefdinir not equivalent to control

Eradication  Rates 







Overall 

85/96 (89%)

84/90 (93%)

Cefdinir equivalent to control

S pneumoniae  

42/44 (95%)

43/44 (98%)



H influenzae 

26/35 (74%)

21/26 (81%)



M catarrhalis 

6/6 (100%)

8/8 (100%)



H parainfluenzae 

11/11 (100%)

12/12 (100%)



Acute Exacerbations of Chronic Bronchitis:

Caused by Haemophilus influenzae(including β-lactamase producing strains), Haemophilus parainfluenzae(including β-lactamase producing strains), Streptococcus pneumoniae(penicillin-susceptible strains only), and Moraxella catarrhalis(including β-lactamase producing strains). 

Teratogenic Effects: Pregnancy Category B.

Cefdinir was not teratogenic in rats at oral doses up to 1000 mg/kg/day (70 times the human dose based on mg/kg/day, 11 times based on mg/m 2/day) or in rabbits at oral doses up to 10 mg/kg/ day (0.7 times the human dose based on mg/kg/day, 0.23 times based on mg/m 2/day). Maternal toxicity (decreased body weight gain) was observed in rabbits at the maximum tolerated dose of 10 mg/kg/day without adverse effects on offspring. Decreased body weight occurred in rat fetuses at ≥100 mg/kg/day, and in rat offspring at ≥32 mg/kg/day. No effects were observed on maternal reproductive parameters or offspring survival, development, behavior, or reproductive function.

There are, however, no adequate and well-controlled studies in pregnant women. Because animal reproduction studies are not always predictive of human response, this drug should be used during pregnancy only if clearly needed. 

Antacids (aluminum Or Magnesium Containing): (Antacids (Aluminum- or Magnesium-Containing):)

If antacids are required during cefdinir therapy, cefdinir should be taken at least 2 hours before or after the antacid. 

Iron Supplements and Foods Fortified With Iron:

Concomitant administration of cefdinir with a therapeutic iron supplement containing 60 mg of elemental iron (as FeSO 4) or vitamins supplemented with 10 mg of elemental iron reduced extent of absorption by 80% and 31%, respectively. If iron supplements are required during cefdinir therapy, cefdinir should be taken at least 2 hours before or after the supplement.

The effect of foods highly fortified with elemental iron (primarily iron-fortified breakfast cereals) on cefdinir absorption has not been studied.

Concomitantly administered iron-fortified infant formula (2.2 mg elemental iron/6 oz) has no significant effect on cefdinir pharmacokinetics. Therefore, cefdinir can be administered with iron-fortified infant formula.

There have been reports of reddish stools in patients receiving cefdinir. In many cases, patients were also receiving iron-containing products. The reddish color is due to the formation of a nonabsorbable complex between cefdinir or its breakdown products and iron in the gastrointestinal tract. 

Uncomplicated Skin and Skin Structure Infections:

Caused by Staphylococcus aureus(including β-lactamase producing strains) and Streptococcus pyogenes

Carcinogenesis, Mutagenesis, Impairment of Fertility:

The carcinogenic potential of cefdinir has not been evaluated. No mutagenic effects were seen in the bacterial reverse mutation assay (Ames) or point mutation assay at the hypoxanthine-guanine phosphoribosyltransferase locus (HGPRT) in V79 Chinese hamster lung cells. No clastogenic effects were observed in vitroin the structural chromosome aberration assay in V79 Chinese hamster lung cells or in vivoin the micronucleus assay in mouse bone marrow. In rats, fertility and reproductive performance were not affected by cefdinir at oral doses up to 1000 mg/kg/day (70 times the human dose based on mg/kg/day, 11 times based on mg/m 2/day). 


Advanced Ingredient Data


Raw Label Data

All Sections (JSON)