These Highlights Do Not Include All The Information Needed To Use Clonidine Hydrochloride Extended-release Tablets Safely And Effectively. See Full Prescribing Information For Clonidine Hydrochloride Extended-release Tablets.

These Highlights Do Not Include All The Information Needed To Use Clonidine Hydrochloride Extended-release Tablets Safely And Effectively. See Full Prescribing Information For Clonidine Hydrochloride Extended-release Tablets.
SPL v1
SPL
SPL Set ID 1b4fb182-8194-4fdd-bf9b-f7e60e734179
Route
ORAL
Published
Effective Date 2025-03-07
Document Type 34391-3 HUMAN PRESCRIPTION DRUG LABEL

Drug Facts

Composition & Product

Active Ingredients
Clonidine (0.1 mg)
Inactive Ingredients
Silicon Dioxide Hypromellose, Unspecified Lactose Monohydrate Magnesium Stearate Starch, Corn Sodium Lauryl Sulfate

Identifiers & Packaging

Pill Appearance
Imprint: U;77 Shape: round Color: white Size: 6 mm Score: 1
Marketing Status
ANDA Active Since 2025-03-04

Description

Clonidine hydrochloride extended-release tablets are indicated for the treatment of attention deficit hyperactivity disorder (ADHD) as monotherapy and as adjunctive therapy to stimulant medications [see Clinical Studies (14) ].

Indications and Usage

Clonidine hydrochloride extended-release tablets are indicated for the treatment of attention deficit hyperactivity disorder (ADHD) as monotherapy and as adjunctive therapy to stimulant medications [see Clinical Studies (14) ].

Dosage and Administration

Start with one 0.1 mg tablet at bedtime for one week. Increase daily dosage in increments of 0.1 mg/day at weekly intervals until the desired response is achieved. Take twice a day, with either an equal or higher split dosage being given at bedtime, as depicted below ( 2.2 ) Total Daily Dose Morning Dose Bedtime Dose 0.1 mg/day 0.1 mg 0.2 mg/day 0.1 mg 0.1 mg 0.3 mg/day 0.1 mg 0.2 mg 0.4 mg/day 0.2 mg 0.2 mg Do not crush, chew or break tablet before swallowing. ( 2.1 ) Do not substitute for other clonidine products on a mg-per-mg basis, because of differing pharmacokinetic profiles. ( 2.1 ) When discontinuing, taper the dose in decrements of no more than 0.1 mg every 3 to 7 days to avoid rebound hypertension. ( 2.3 )

Warnings and Precautions

Hypotension/bradycardia/syncope: Titrate slowly and monitor vital signs frequently in patients at risk for hypotension, heart block, bradycardia, syncope, cardiovascular disease, vascular disease, cerebrovascular disease or chronic renal failure. Measure heart rate and blood pressure prior to initiation of therapy, following dose increases, and periodically while on therapy. Avoid concomitant use of drugs with additive effects unless clinically indicated. Advise patients to avoid becoming dehydrated or overheated. ( 5.1 ) Somnolence/Sedation: Has been observed with clonidine hydrochloride extended-release tablets. Consider the potential for additive sedative effects with CNS depressant drugs. Caution patients against operating heavy equipment or driving until they know how they respond to clonidine hydrochloride extended-release tablets. ( 5.2 ) Cardiac Conduction Abnormalities: May worsen sinus node dysfunction and atrioventricular (AV) block, especially in patients taking other sympatholytic drugs. Titrate slowly and monitor vital signs frequently. ( 5.5 )

Contraindications

Clonidine hydrochloride extended-release tablets are contraindicated in patients with a history of a hypersensitivity reaction to clonidine. Reactions have included generalized rash, urticaria, and angioedema [see Adverse Reactions (6) ].

Adverse Reactions

The following serious adverse reactions are described in greater detail elsewhere in labeling: Hypotension/bradycardia [see Warnings and Precautions (5.1) ] Sedation and somnolence [see Warnings and Precautions (5.2) ] Rebound hypertension [see Warnings and Precautions (5.3) ] Allergic reactions [see Warnings and Precautions (5.4) ] Cardiac Conduction Abnormalities [see Warnings and Precautions (5.5) ]

Drug Interactions

The following have been reported with other oral immediate release formulations of clonidine: Table 6 Clinically Important Drug Interactions Concomitant Drug Name or Drug Class Clinical Rationale Clinical Recommendation Tricyclic antidepressants Increase blood pressure and may counteract clonidine's hypotensive effects Monitor blood pressure and adjust as needed Antihypertensive drugs Potentiate clonidine's hypotensive effects Monitor blood pressure and adjust as needed CNS depressants Potentiate sedating effects Avoid use Drugs that affect sinus node function or AV node conduction (e.g., digitalis, calcium channel blockers, beta blockers) Potentiate bradycardia and risk of AV block Avoid use

Storage and Handling

Clonidine hydrochloride extended-release tablet 0.1 mg is a white to off-white round, biconvex tablets with debossing: "U" on one side and "77" on the other side and supplied as follows. Bottles of 60 tablets with child-resistant closure, NDC 70069-044-01 Store at 20° to 25°C (68° to 77°F); excursions permitted to 15° to 30°C (59° to 86°F) [See USP Controlled Room Temperature]. Dispense in a tight container as defined in the USP. Keep clonidine hydrochloride extended-release tablets and all medicines out of the reach of children.

How Supplied

Clonidine hydrochloride extended-release tablet 0.1 mg is a white to off-white round, biconvex tablets with debossing: "U" on one side and "77" on the other side and supplied as follows. Bottles of 60 tablets with child-resistant closure, NDC 70069-044-01 Store at 20° to 25°C (68° to 77°F); excursions permitted to 15° to 30°C (59° to 86°F) [See USP Controlled Room Temperature]. Dispense in a tight container as defined in the USP. Keep clonidine hydrochloride extended-release tablets and all medicines out of the reach of children.


Medication Information

Warnings and Precautions

Hypotension/bradycardia/syncope: Titrate slowly and monitor vital signs frequently in patients at risk for hypotension, heart block, bradycardia, syncope, cardiovascular disease, vascular disease, cerebrovascular disease or chronic renal failure. Measure heart rate and blood pressure prior to initiation of therapy, following dose increases, and periodically while on therapy. Avoid concomitant use of drugs with additive effects unless clinically indicated. Advise patients to avoid becoming dehydrated or overheated. ( 5.1 ) Somnolence/Sedation: Has been observed with clonidine hydrochloride extended-release tablets. Consider the potential for additive sedative effects with CNS depressant drugs. Caution patients against operating heavy equipment or driving until they know how they respond to clonidine hydrochloride extended-release tablets. ( 5.2 ) Cardiac Conduction Abnormalities: May worsen sinus node dysfunction and atrioventricular (AV) block, especially in patients taking other sympatholytic drugs. Titrate slowly and monitor vital signs frequently. ( 5.5 )

Indications and Usage

Clonidine hydrochloride extended-release tablets are indicated for the treatment of attention deficit hyperactivity disorder (ADHD) as monotherapy and as adjunctive therapy to stimulant medications [see Clinical Studies (14) ].

Dosage and Administration

Start with one 0.1 mg tablet at bedtime for one week. Increase daily dosage in increments of 0.1 mg/day at weekly intervals until the desired response is achieved. Take twice a day, with either an equal or higher split dosage being given at bedtime, as depicted below ( 2.2 ) Total Daily Dose Morning Dose Bedtime Dose 0.1 mg/day 0.1 mg 0.2 mg/day 0.1 mg 0.1 mg 0.3 mg/day 0.1 mg 0.2 mg 0.4 mg/day 0.2 mg 0.2 mg Do not crush, chew or break tablet before swallowing. ( 2.1 ) Do not substitute for other clonidine products on a mg-per-mg basis, because of differing pharmacokinetic profiles. ( 2.1 ) When discontinuing, taper the dose in decrements of no more than 0.1 mg every 3 to 7 days to avoid rebound hypertension. ( 2.3 )

Contraindications

Clonidine hydrochloride extended-release tablets are contraindicated in patients with a history of a hypersensitivity reaction to clonidine. Reactions have included generalized rash, urticaria, and angioedema [see Adverse Reactions (6) ].

Adverse Reactions

The following serious adverse reactions are described in greater detail elsewhere in labeling: Hypotension/bradycardia [see Warnings and Precautions (5.1) ] Sedation and somnolence [see Warnings and Precautions (5.2) ] Rebound hypertension [see Warnings and Precautions (5.3) ] Allergic reactions [see Warnings and Precautions (5.4) ] Cardiac Conduction Abnormalities [see Warnings and Precautions (5.5) ]

Drug Interactions

The following have been reported with other oral immediate release formulations of clonidine: Table 6 Clinically Important Drug Interactions Concomitant Drug Name or Drug Class Clinical Rationale Clinical Recommendation Tricyclic antidepressants Increase blood pressure and may counteract clonidine's hypotensive effects Monitor blood pressure and adjust as needed Antihypertensive drugs Potentiate clonidine's hypotensive effects Monitor blood pressure and adjust as needed CNS depressants Potentiate sedating effects Avoid use Drugs that affect sinus node function or AV node conduction (e.g., digitalis, calcium channel blockers, beta blockers) Potentiate bradycardia and risk of AV block Avoid use

Storage and Handling

Clonidine hydrochloride extended-release tablet 0.1 mg is a white to off-white round, biconvex tablets with debossing: "U" on one side and "77" on the other side and supplied as follows. Bottles of 60 tablets with child-resistant closure, NDC 70069-044-01 Store at 20° to 25°C (68° to 77°F); excursions permitted to 15° to 30°C (59° to 86°F) [See USP Controlled Room Temperature]. Dispense in a tight container as defined in the USP. Keep clonidine hydrochloride extended-release tablets and all medicines out of the reach of children.

How Supplied

Clonidine hydrochloride extended-release tablet 0.1 mg is a white to off-white round, biconvex tablets with debossing: "U" on one side and "77" on the other side and supplied as follows. Bottles of 60 tablets with child-resistant closure, NDC 70069-044-01 Store at 20° to 25°C (68° to 77°F); excursions permitted to 15° to 30°C (59° to 86°F) [See USP Controlled Room Temperature]. Dispense in a tight container as defined in the USP. Keep clonidine hydrochloride extended-release tablets and all medicines out of the reach of children.

Description

Clonidine hydrochloride extended-release tablets are indicated for the treatment of attention deficit hyperactivity disorder (ADHD) as monotherapy and as adjunctive therapy to stimulant medications [see Clinical Studies (14) ].

Section 42229-5

Study 1: Fixed-dose Clonidine Hydrochloride Extended-Release Tablets Monotherapy

Study 1 (CLON-301) was a short-term, multi-center, randomized, double-blind, placebo-controlled study of two fixed doses (0.2 mg/day or 0.4 mg/day) of clonidine hydrochloride in children and adolescents (6 to 17 years of age) who met DSM-IV criteria for ADHD hyperactive or combined inattentive/hyperactive subtypes.

Most Common Adverse Reactions (incidence of ≥ 5% and at least twice the rate of placebo): somnolence, fatigue, irritability, insomnia, nightmare, constipation, dry mouth.

Adverse Events Leading to Discontinuation of Clonidine Hydrochloride – Five patients (7%) in the low dose group (0.2 mg), 15 patients (20%) in the high dose group (0.4 mg), and 1 patient in the placebo group (1%) reported adverse reactions that led to discontinuation. The most common adverse reactions that led to discontinuation were somnolence and fatigue.

Commonly observed adverse reactions (incidence of ≥2% in either active treatment group and greater than the rate on placebo) during the treatment period are listed in Table 2.

Table 2 Common Adverse Reactions in the Fixed-Dose Monotherapy Trial – Treatment Period (Study 1)
Percentage of Patients Reporting Event

Preferred Term

Clonidine Hydrochloride

0.2 mg/day

N=76

Clonidine Hydrochloride

0.4 mg/day

N=78

Placebo

(N=76)

PSYCHIATRIC DISORDERS

Somnolence
Somnolence includes the terms "somnolence" and "sedation".


38%

31%

4%

Nightmare

4%

9%

0%

Emotional Disorder

4%

4%

1%

Aggression

3%

1%

0%

Tearfulness

1%

3%

0%

Enuresis

0%

4%

0%

Sleep Terror

3%

0%

0%

Poor Quality Sleep

0%

3%

1%

NERVOUS SYSTEM DISORDERS

Headache

20%

13%

16%

Insomnia

5%

6%

1%

Tremor

1%

4%

0%

Abnormal Sleep-Related Event

3%

1%

0%

GASTROINTESTINAL DISORDERS

Upper Abdominal Pain

15%

10%

12%

Nausea

4%

5%

3%

Constipation

1%

6%

0%

Dry Mouth

0%

5%

1%

GENERAL DISORDERS

Fatigue
Fatigue includes the terms "fatigue" and "lethargy".


16%

13%

1%

Irritability

9%

5%

4%

CARDIAC DISORDERS

Dizziness

7%

3%

5%

Bradycardia

0%

4%

0%

INVESTIGATIONS

Increased Heart Rate

0%

3%

0%

METABOLISM AND NUTRITION DISORDERS

Decreased Appetite

3%

4%

4%

Commonly observed adverse reactions (incidence of ≥ 2% in either active treatment group and greater than the rate on placebo) during the taper period are listed in Table 3.

Table 3 Common Adverse Reactions in the Fixed-Dose Monotherapy Trial – Taper Period
Taper Period: 0.2 mg dose, week 8; 0.4 mg dose, weeks 6 to 8; Placebo dose, weeks 6 to 8
(Study 1)
Percentage of Patients Reporting Event

Preferred Term

Clonidine Hydrochloride

0.2 mg/day

Clonidine Hydrochloride

0.4 mg/day

Placebo

(N=76)

N=76

N=78

Abdominal Pain Upper

0%

6%

3%

Headache

5%

2%

3%

Gastrointestinal Viral

0%

5%

0%

Somnolence

2%

3%

0%

Heart Rate Increased

0%

3%

0%

Otitis Media Acute

3%

0%

0%

Section 42230-3

Patient Information Clonidine Hydrochloride (kloe' ni deen hye'' droe klor' ide) Extended-Release Tablets

Read the Patient Information that comes with clonidine hydrochloride extended-release tablets before you start taking it and each time you get a refill. There may be new information. This Patient Information leaflet does not take the place of talking to your doctor about your medical condition or treatment.

What are clonidine hydrochloride extended-release tablets?

Clonidine hydrochloride extended-release tablets are a prescription medicine used for the treatment of Attention-Deficit Hyperactivity Disorder (ADHD). Your doctor may prescribe clonidine hydrochloride extended-release tablets alone or together with certain other ADHD medicines.

  • Clonidine hydrochloride extended-release tablets are not a central nervous system (CNS) stimulant.
  • Clonidine hydrochloride extended-release tablets should be used as part of a total treatment program for ADHD that may include counseling or other therapies.

Who should not take clonidine hydrochloride extended-release tablets?

  • Do not take clonidine hydrochloride extended-release tablets if you are allergic to clonidine in clonidine hydrochloride extended-release tablets. See the end of this leaflet for a complete list of ingredients in clonidine hydrochloride extended-release tablets.

What should I tell my doctor before taking clonidine hydrochloride extended-release tablets?

Before you take clonidine hydrochloride extended-release tablets, tell your doctor if you:

  • have kidney problems
  • have low or high blood pressure
  • have a history of passing out (syncope)
  • have heart problems, including history of heart attack
  • have had a stroke or have stroke symptoms
  • had a skin reaction (such as a rash) after taking clonidine in a transdermal form (skin patch)
  • have any other medical conditions
  • are pregnant or plan to become pregnant. It is not known if clonidine hydrochloride extended-release tablets will harm your unborn baby. Talk to your doctor if you are pregnant or plan to become pregnant.
    • There is a pregnancy registry for females who are exposed to ADHD medications, including clonidine hydrochloride extended-release tablets, during pregnancy. The purpose of the registry is to collect information about the health of females exposed to clonidine hydrochloride extended-release tablets and their baby. If you or your child becomes pregnant during treatment with clonidine hydrochloride extended-release tablets, talk to your healthcare provider about registering with the National Pregnancy Registry of ADHD Medications at 1-866-961-2388 or visit online at https://womensmentalhealth.org/adhdmedications/.
  • are breastfeeding or plan to breastfeed. Clonidine hydrochloride extended-release tablets can pass into your breast milk. Talk to your doctor about the best way to feed your baby if you take clonidine hydrochloride extended-release tablets.

Tell your doctor about all of the medicines that you take, including prescription and non-prescription medicines, vitamins, and herbal supplements.

Clonidine hydrochloride extended-release tablets and certain other medicines may affect each other causing serious side effects. Sometimes the doses of other medicines may need to be changed while taking clonidine hydrochloride extended-release tablets.

Especially tell your doctor if you take:

  • anti-depression medicines
  • heart or blood pressure medicine
  • other medicines that contain clonidine
  • a medicine that makes you sleepy (sedation)

Ask your doctor or pharmacist for a list of these medicines, if you are not sure if your medicine is listed above.

Know the medicines that you take. Keep a list of your medicines with you to show your doctor and pharmacist when you get a new medicine.

How should I take clonidine hydrochloride extended-release tablets?

  • Take clonidine hydrochloride extended-release tablets exactly as your doctor tells you to take it.
  • Your doctor will tell you how many clonidine hydrochloride extended-release tablets to take and when to take them. Your doctor may change your dose of clonidine hydrochloride extended-release tablets. Do not change your dose of clonidine hydrochloride extended-release tablets without talking to your doctor.
  • Do not stop taking clonidine hydrochloride extended-release tablets without talking to your doctor.
  • Clonidine hydrochloride extended-release tablets can be taken with or without food.
  • Clonidine hydrochloride extended-release tablets should be taken 2 times a day (in the morning and at bedtime).
  • If you miss a dose of clonidine hydrochloride extended-release tablets, skip the missed dose. Just take the next dose at your regular time. Do not take two doses at the same time.
  • Take clonidine hydrochloride extended-release tablets whole. Do not chew, crush or break clonidine hydrochloride extended-release tablets. Tell your doctor if you cannot swallow clonidine hydrochloride extended-release tablets whole. You may need a different medicine.
  • If you take too much clonidine hydrochloride extended-release tablets, call your Poison Control Center or go to the nearest hospital emergency room right away.

What should I avoid while taking clonidine hydrochloride extended-release tablets?

  • Do not drink alcohol or take other medicines that make you sleepy or dizzy while taking clonidine hydrochloride extended-release tablets until you talk with your doctor. Clonidine hydrochloride extended-release tablets taken with alcohol or medicines that cause sleepiness or dizziness may make your sleepiness or dizziness worse.
  • Do not drive, operate heavy machinery or do other dangerous activities until you know how clonidine hydrochloride extended-release tablets will affect you.
  • Avoid becoming dehydrated or overheated.

What are possible side effects of clonidine hydrochloride extended-release tablets?

Clonidine hydrochloride extended-release tablets may cause serious side effects, including:

  • Low blood pressure and low heart rate. Your doctor should check your heart rate and blood pressure before starting treatment and regularly during treatment with clonidine hydrochloride extended-release tablets.
  • Sleepiness.
  • Withdrawal symptoms. Suddenly stopping clonidine hydrochloride extended-release tablets may cause withdrawal symptoms including: increased blood pressure, headache, increased heart rate, lightheadedness, tightness in your chest and nervousness.

The most common side effects of clonidine hydrochloride extended-release tablets include:

  • sleepiness
  • tiredness
  • irritability
  • trouble sleeping (insomnia)
  • nightmare
  • constipation
  • dry mouth
  • decreased appetite
  • dizziness

Tell your doctor if you have any side effects that bother you or that does not go away.

These are not all of the possible side effects of clonidine hydrochloride extended-release tablets. For more information, ask your doctor or pharmacist.

Call your doctor for medical advice about side effects. You may report side effects to FDA at 1-800-FDA-1088.

How should I store clonidine hydrochloride extended-release tablets?

  • Store clonidine hydrochloride extended-release tablets between 68° to 77°F (20° to 25°C).
  • Keep clonidine hydrochloride extended-release tablets in a tightly closed container.
  • Clonidine hydrochloride extended-release tablets come in a child-resistant package.

Keep clonidine hydrochloride extended-release tablets and all medicines out of the reach of children.

General information about the safe and effective use of clonidine hydrochloride extended-release tablets

Medicines are sometimes prescribed for purposes other than those listed in a Patient Information leaflet. Do not use clonidine hydrochloride extended-release tablets for a condition for which it was not prescribed.

Do not give clonidine hydrochloride extended-release tablets to other people, even if they have the same symptoms that you have. It may harm them.

This Patient Information leaflet summarizes the most important information about clonidine hydrochloride extended-release tablets. If you would like more information, talk with your doctor. You can also ask your doctor or pharmacist for information about clonidine hydrochloride extended-release tablets that is written for healthcare professionals.

For more information about clonidine hydrochloride extended-release tablets contact Somerset Therapeutics, LLC at 1-800-417-9175.

What are the ingredients in clonidine hydrochloride extended-release tablets?

  • Active Ingredient: clonidine hydrochloride
  • Inactive Ingredients: sodium lauryl sulfate, lactose monohydrate, hypromellose, pregelatinized starch, colloidal silicon dioxide, and magnesium stearate

Manufactured for:

Somerset Therapeutics, LLC

Somerset, NJ 08873

Made in Portugal

Revised: 10/2024

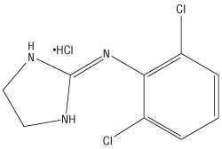
11 Description

Clonidine hydrochloride extended-release tablets are a centrally acting alpha2-adrenergic agonist available as 0.1 mg extended-release tablets for oral administration. Each 0.1 mg tablet is equivalent to 0.087 mg of the free base.

The inactive ingredients are sodium lauryl sulfate, lactose monohydrate, hypromellose, pregelatinized starch, colloidal silicon dioxide, and magnesium stearate. The formulation is designed to delay the absorption of active drug in order to decrease peak to trough plasma concentration differences. Clonidine hydrochloride is an imidazoline derivative and exists as a mesomeric compound. The chemical name is 2-(2,6 dichlorophenylamino)-2-imidazoline hydrochloride. The following is the structural formula:

C9H9Cl2N3∙HCl

Mol. Wt. 266.56

Clonidine hydrochloride, USP is an odorless, bitter, white, crystalline substance soluble in water and alcohol.

2.4 Missed Doses

If patients miss a dose of clonidine hydrochloride extended-release tablets, they should skip that dose and take the next dose as scheduled. Do not take more than the prescribed total daily amount of clonidine hydrochloride extended-release tablets in any 24-hour period.

8.4 Pediatric Use

The safety and efficacy of clonidine hydrochloride in the treatment of ADHD have been established in pediatric patients 6 to 17 years of age. Use of clonidine hydrochloride in pediatric patients 6 to 17 years of age is supported by three adequate and well-controlled studies; a short-term, placebo-controlled monotherapy trial, a short-term adjunctive therapy trial and a longer-term randomized monotherapy trial [see Clinical Studies (14)]. Safety and efficacy in pediatric patients below the age of 6 years has not been established.

2.2 Dose Selection

The dose of clonidine hydrochloride extended-release tablets, administered either as monotherapy or as adjunctive therapy to a psychostimulant, should be individualized according to the therapeutic needs and response of the patient. Dosing should be initiated with one 0.1 mg tablet at bedtime, and the daily dosage should be adjusted in increments of 0.1 mg/day at weekly intervals until the desired response is achieved. Doses should be taken twice a day, with either an equal or higher split dosage being given at bedtime (see Table 1).

Table 1 Clonidine Hydrochloride Extended-Release Tablets Dosing Guidance
Total Daily Dose

Morning Dose

Bedtime Dose

0.1 mg/day

0.1 mg

0.2 mg/day

0.1 mg

0.1 mg

0.3 mg/day

0.1 mg

0.2 mg

0.4 mg/day

0.2 mg

0.2 mg

Doses of clonidine hydrochloride higher than 0.4 mg/day (0.2 mg twice daily) were not evaluated in clinical trials for ADHD and are not recommended.

When clonidine hydrochloride extended-release tablets are being added-on to a psychostimulant, the dose of the psychostimulant can be adjusted depending on the patient's response to clonidine hydrochloride extended-release tablets.

14 Clinical Studies

Efficacy of clonidine hydrochloride in the treatment of ADHD was established in children and adolescents (6 to 17 years) in:

  • One short-term, placebo-controlled monotherapy trial (Study 1)
  • One short-term adjunctive therapy to psychostimulants trial (Study 2)
  • One randomized withdrawal trial as monotherapy (Study 3)
2.3 Discontinuation

When discontinuing clonidine hydrochloride extended-release tablets, the total daily dose should be tapered in decrements of no more than 0.1 mg every 3 to 7 days to avoid rebound hypertension [see Warnings and Precautions (5.3)].

4 Contraindications

Clonidine hydrochloride extended-release tablets are contraindicated in patients with a history of a hypersensitivity reaction to clonidine. Reactions have included generalized rash, urticaria, and angioedema [see Adverse Reactions (6)].

6 Adverse Reactions

The following serious adverse reactions are described in greater detail elsewhere in labeling:

7 Drug Interactions

The following have been reported with other oral immediate release formulations of clonidine:

Table 6 Clinically Important Drug Interactions
Concomitant Drug Name or Drug Class

Clinical Rationale

Clinical Recommendation

Tricyclic antidepressants

Increase blood pressure and may counteract clonidine's hypotensive effects

Monitor blood pressure and adjust as needed

Antihypertensive drugs

Potentiate clonidine's hypotensive effects

Monitor blood pressure and adjust as needed

CNS depressants

Potentiate sedating effects

Avoid use

Drugs that affect sinus node function or AV node conduction (e.g., digitalis, calcium channel blockers, beta blockers)

Potentiate bradycardia and risk of AV block

Avoid use

8.6 Renal Impairment

The impact of renal impairment on the pharmacokinetics of clonidine in children has not been assessed. The initial dosage of clonidine hydrochloride extended-release tablets should be based on degree of impairment. Monitor patients carefully for hypotension and bradycardia, and titrate to higher doses cautiously. Since only a minimal amount of clonidine is removed during routine hemodialysis, there is no need to give supplemental clonidine hydrochloride extended-release tablets following dialysis.

12.2 Pharmacodynamics

Clonidine is a known antihypertensive agent. By stimulating alpha2-adrenergic receptors in the brain stem, clonidine reduces sympathetic outflow from the central nervous system and decreases peripheral resistance, renal vascular resistance, heart rate, and blood pressure.

5.4 Allergic Reactions

In patients who have developed localized contact sensitization to clonidine transdermal system, continuation of clonidine transdermal system or substitution of oral clonidine hydrochloride extended-release tablets therapy may be associated with the development of a generalized skin rash.

In patients who develop an allergic reaction from clonidine transdermal system, substitution of oral clonidine hydrochloride extended-release tablets may also elicit an allergic reaction (including generalized rash, urticaria, or angioedema).

1 Indications and Usage

Clonidine hydrochloride extended-release tablets are indicated for the treatment of attention deficit hyperactivity disorder (ADHD) as monotherapy and as adjunctive therapy to stimulant medications [see Clinical Studies (14)].

12.1 Mechanism of Action

Clonidine stimulates alpha2-adrenergic receptors in the brain. Clonidine is not a central nervous system stimulant. The mechanism of action of clonidine in ADHD is not known.

5.3 Rebound Hypertension

Abrupt discontinuation of clonidine hydrochloride extended-release tablets can cause rebound hypertension. In adults with hypertension, sudden cessation of clonidine hydrochloride extended-release formulation treatment in the 0.2 to 0.6 mg/day range resulted in reports of headache, tachycardia, nausea, flushing, warm feeling, brief lightheadedness, tightness in chest, and anxiety. In adults with hypertension, sudden cessation of treatment with immediate-release clonidine has, in some cases, resulted in symptoms such as nervousness, agitation, headache, and tremor accompanied or followed by a rapid rise in blood pressure and elevated catecholamine concentrations in the plasma.

No studies evaluating abrupt discontinuation of clonidine hydrochloride in children with ADHD have been conducted; however, to minimize the risk of rebound hypertension, gradually reduce the dose of clonidine hydrochloride extended-release tablets in decrements of no more than 0.1 mg every 3 to 7 days. Patients should be instructed not to discontinue clonidine hydrochloride extended-release tablets therapy without consulting their physician due to the potential risk of withdrawal effects.

9.1 Controlled Substance

Clonidine hydrochloride is not a controlled substance and has no known potential for abuse or dependence.

5 Warnings and Precautions
  • Hypotension/bradycardia/syncope: Titrate slowly and monitor vital signs frequently in patients at risk for hypotension, heart block, bradycardia, syncope, cardiovascular disease, vascular disease, cerebrovascular disease or chronic renal failure. Measure heart rate and blood pressure prior to initiation of therapy, following dose increases, and periodically while on therapy. Avoid concomitant use of drugs with additive effects unless clinically indicated. Advise patients to avoid becoming dehydrated or overheated. (5.1)
  • Somnolence/Sedation: Has been observed with clonidine hydrochloride extended-release tablets. Consider the potential for additive sedative effects with CNS depressant drugs. Caution patients against operating heavy equipment or driving until they know how they respond to clonidine hydrochloride extended-release tablets. (5.2)
  • Cardiac Conduction Abnormalities: May worsen sinus node dysfunction and atrioventricular (AV) block, especially in patients taking other sympatholytic drugs. Titrate slowly and monitor vital signs frequently. (5.5)
2 Dosage and Administration
  • Start with one 0.1 mg tablet at bedtime for one week. Increase daily dosage in increments of 0.1 mg/day at weekly intervals until the desired response is achieved. Take twice a day, with either an equal or higher split dosage being given at bedtime, as depicted below (2.2)
Total Daily Dose

Morning Dose

Bedtime Dose

0.1 mg/day

0.1 mg

0.2 mg/day

0.1 mg

0.1 mg

0.3 mg/day

0.1 mg

0.2 mg

0.4 mg/day

0.2 mg

0.2 mg

  • Do not crush, chew or break tablet before swallowing. (2.1)
  • Do not substitute for other clonidine products on a mg-per-mg basis, because of differing pharmacokinetic profiles. (2.1)
  • When discontinuing, taper the dose in decrements of no more than 0.1 mg every 3 to 7 days to avoid rebound hypertension. (2.3)
5.1 Hypotension/bradycardia

Treatment with clonidine hydrochloride extended-release tablets can cause dose-related decreases in blood pressure and heart rate [see Adverse Reactions (6.1)]. Measure heart rate and blood pressure prior to initiation of therapy, following dose increases, and periodically while on therapy. Titrate clonidine hydrochloride extended-release tablets slowly in patients with a history of hypotension, and those with underlying conditions that may be worsened by hypotension and bradycardia; e.g., heart block, bradycardia, cardiovascular disease, vascular disease, cerebrovascular disease, or chronic renal failure. In patients who have a history of syncope or may have a condition that predisposes them to syncope, such as hypotension, orthostatic hypotension, bradycardia, or dehydration, advise patients to avoid becoming dehydrated or overheated. Monitor blood pressure and heart rate, and adjust dosages accordingly in patients treated concomitantly with antihypertensives or other drugs that can reduce blood pressure or heart rate or increase the risk of syncope.

5.2 Sedation and Somnolence

Somnolence and sedation were commonly reported adverse reactions in clinical studies. In patients that completed 5 weeks of therapy in a controlled, fixed dose pediatric monotherapy study, 31% of patients treated with 0.4 mg/day and 38% treated with 0.2 mg/day versus 4% of placebo treated patients reported somnolence as an adverse event. In patients that completed 5 weeks of therapy in a controlled flexible dose pediatric adjunctive to stimulants study, 19% of patients treated with clonidine hydrochloride+stimulant versus 7% treated with placebo+stimulant reported somnolence. Before using clonidine hydrochloride extended-release tablets with other centrally active depressants (such as phenothiazines, barbiturates, or benzodiazepines), consider the potential for additive sedative effects. Caution patients against operating heavy equipment or driving until they know how they respond to treatment with clonidine hydrochloride extended-release tablets. Advise patients to avoid use with alcohol.

3 Dosage Forms and Strengths

Clonidine hydrochloride extended-release tablets are available in a 0.1 mg strength formulation. The 0.1 mg tablets are white to off-white round, biconvex tablets with debossing: "U" on one side and "77" on the other side. Clonidine hydrochloride extended-release tablets must be swallowed whole and never crushed, cut or chewed.

6.1 Clinical Trial Experience

Because clinical trials are conducted under widely varying conditions, adverse reaction rates observed in the clinical trials of a drug cannot be directly compared to rates in the clinical trials of another drug and may not reflect the rates observed in practice.

Two clonidine hydrochloride ADHD clinical studies (Study 1, CLON-301 and Study 2, CLON-302) evaluated 256 patients in two 8-week placebo-controlled studies.

A third clonidine hydrochloride ADHD clinical study (Study 3, SHN-KAP-401) evaluated 135 children and adolescents in a 40-week placebo-controlled randomized-withdrawal study.

6.2 Post Marketing Experience

The following adverse reactions have been identified during post-approval use of clonidine hydrochloride. Because these reactions are reported voluntarily from a population of uncertain size, it is not always possible to reliably estimate their frequency or establish a causal relationship to drug exposure. These events exclude those already mentioned in 6.1:

Psychiatric: hallucinations

Cardiovascular: Q-T prolongation

8 Use in Specific Populations
  • Renal Impairment: The dosage of clonidine hydrochloride extended-release tablets must be adjusted according to the degree of impairment, and patients should be carefully monitored. (8.6, 12.3)
2.1 General Dosing Information

Clonidine hydrochloride is an extended-release tablet to be taken orally with or without food. Swallow tablets whole. Do not crush, chew, or break tablets because this will increase the rate of clonidine release.

Due to the lack of controlled clinical trial data and differing pharmacokinetic profiles, substitution of clonidine hydrochloride extended-release tablets for other clonidine products on a mg-per-mg basis is not recommended [see Clinical Pharmacology (12.3)].

17 Patient Counseling Information

Advise the patient to read the FDA-approved Patient Labeling (Patient Information)

16 How Supplied/storage and Handling

Clonidine hydrochloride extended-release tablet 0.1 mg is a white to off-white round, biconvex tablets with debossing: "U" on one side and "77" on the other side and supplied as follows.

Bottles of 60 tablets with child-resistant closure, NDC 70069-044-01

Store at 20° to 25°C (68° to 77°F); excursions permitted to 15° to 30°C (59° to 86°F) [See USP Controlled Room Temperature].

Dispense in a tight container as defined in the USP.

Keep clonidine hydrochloride extended-release tablets and all medicines out of the reach of children.

5.5 Cardiac Conduction Abnormalities

The sympatholytic action of clonidine may worsen sinus node dysfunction and atrioventricular (AV) block, especially in patients taking other sympatholytic drugs. There have been post-marketing reports of patients with conduction abnormalities and/or taking other sympatholytic drugs who developed severe bradycardia requiring IV atropine, IV isoproterenol, and temporary cardiac pacing while taking clonidine. Titrate clonidine hydrochloride extended-release tablets slowly and monitor vital signs frequently in patients with cardiac conduction abnormalities or patients concomitantly treated with other sympatholytic drugs.

Principal Display Panel 0.1 Mg Tablet Bottle Label

Rx only

NDC 70069-044-01

Clonidine Hydrochloride

Extended-Release

Tablets

0.1 mg

60 Tablets


Structured Label Content

Section 42229-5 (42229-5)

Study 1: Fixed-dose Clonidine Hydrochloride Extended-Release Tablets Monotherapy

Study 1 (CLON-301) was a short-term, multi-center, randomized, double-blind, placebo-controlled study of two fixed doses (0.2 mg/day or 0.4 mg/day) of clonidine hydrochloride in children and adolescents (6 to 17 years of age) who met DSM-IV criteria for ADHD hyperactive or combined inattentive/hyperactive subtypes.

Most Common Adverse Reactions (incidence of ≥ 5% and at least twice the rate of placebo): somnolence, fatigue, irritability, insomnia, nightmare, constipation, dry mouth.

Adverse Events Leading to Discontinuation of Clonidine Hydrochloride – Five patients (7%) in the low dose group (0.2 mg), 15 patients (20%) in the high dose group (0.4 mg), and 1 patient in the placebo group (1%) reported adverse reactions that led to discontinuation. The most common adverse reactions that led to discontinuation were somnolence and fatigue.

Commonly observed adverse reactions (incidence of ≥2% in either active treatment group and greater than the rate on placebo) during the treatment period are listed in Table 2.

Table 2 Common Adverse Reactions in the Fixed-Dose Monotherapy Trial – Treatment Period (Study 1)
Percentage of Patients Reporting Event

Preferred Term

Clonidine Hydrochloride

0.2 mg/day

N=76

Clonidine Hydrochloride

0.4 mg/day

N=78

Placebo

(N=76)

PSYCHIATRIC DISORDERS

Somnolence
Somnolence includes the terms "somnolence" and "sedation".


38%

31%

4%

Nightmare

4%

9%

0%

Emotional Disorder

4%

4%

1%

Aggression

3%

1%

0%

Tearfulness

1%

3%

0%

Enuresis

0%

4%

0%

Sleep Terror

3%

0%

0%

Poor Quality Sleep

0%

3%

1%

NERVOUS SYSTEM DISORDERS

Headache

20%

13%

16%

Insomnia

5%

6%

1%

Tremor

1%

4%

0%

Abnormal Sleep-Related Event

3%

1%

0%

GASTROINTESTINAL DISORDERS

Upper Abdominal Pain

15%

10%

12%

Nausea

4%

5%

3%

Constipation

1%

6%

0%

Dry Mouth

0%

5%

1%

GENERAL DISORDERS

Fatigue
Fatigue includes the terms "fatigue" and "lethargy".


16%

13%

1%

Irritability

9%

5%

4%

CARDIAC DISORDERS

Dizziness

7%

3%

5%

Bradycardia

0%

4%

0%

INVESTIGATIONS

Increased Heart Rate

0%

3%

0%

METABOLISM AND NUTRITION DISORDERS

Decreased Appetite

3%

4%

4%

Commonly observed adverse reactions (incidence of ≥ 2% in either active treatment group and greater than the rate on placebo) during the taper period are listed in Table 3.

Table 3 Common Adverse Reactions in the Fixed-Dose Monotherapy Trial – Taper Period
Taper Period: 0.2 mg dose, week 8; 0.4 mg dose, weeks 6 to 8; Placebo dose, weeks 6 to 8
(Study 1)
Percentage of Patients Reporting Event

Preferred Term

Clonidine Hydrochloride

0.2 mg/day

Clonidine Hydrochloride

0.4 mg/day

Placebo

(N=76)

N=76

N=78

Abdominal Pain Upper

0%

6%

3%

Headache

5%

2%

3%

Gastrointestinal Viral

0%

5%

0%

Somnolence

2%

3%

0%

Heart Rate Increased

0%

3%

0%

Otitis Media Acute

3%

0%

0%

Section 42230-3 (42230-3)

Patient Information Clonidine Hydrochloride (kloe' ni deen hye'' droe klor' ide) Extended-Release Tablets

Read the Patient Information that comes with clonidine hydrochloride extended-release tablets before you start taking it and each time you get a refill. There may be new information. This Patient Information leaflet does not take the place of talking to your doctor about your medical condition or treatment.

What are clonidine hydrochloride extended-release tablets?

Clonidine hydrochloride extended-release tablets are a prescription medicine used for the treatment of Attention-Deficit Hyperactivity Disorder (ADHD). Your doctor may prescribe clonidine hydrochloride extended-release tablets alone or together with certain other ADHD medicines.

  • Clonidine hydrochloride extended-release tablets are not a central nervous system (CNS) stimulant.
  • Clonidine hydrochloride extended-release tablets should be used as part of a total treatment program for ADHD that may include counseling or other therapies.

Who should not take clonidine hydrochloride extended-release tablets?

  • Do not take clonidine hydrochloride extended-release tablets if you are allergic to clonidine in clonidine hydrochloride extended-release tablets. See the end of this leaflet for a complete list of ingredients in clonidine hydrochloride extended-release tablets.

What should I tell my doctor before taking clonidine hydrochloride extended-release tablets?

Before you take clonidine hydrochloride extended-release tablets, tell your doctor if you:

  • have kidney problems
  • have low or high blood pressure
  • have a history of passing out (syncope)
  • have heart problems, including history of heart attack
  • have had a stroke or have stroke symptoms
  • had a skin reaction (such as a rash) after taking clonidine in a transdermal form (skin patch)
  • have any other medical conditions
  • are pregnant or plan to become pregnant. It is not known if clonidine hydrochloride extended-release tablets will harm your unborn baby. Talk to your doctor if you are pregnant or plan to become pregnant.
    • There is a pregnancy registry for females who are exposed to ADHD medications, including clonidine hydrochloride extended-release tablets, during pregnancy. The purpose of the registry is to collect information about the health of females exposed to clonidine hydrochloride extended-release tablets and their baby. If you or your child becomes pregnant during treatment with clonidine hydrochloride extended-release tablets, talk to your healthcare provider about registering with the National Pregnancy Registry of ADHD Medications at 1-866-961-2388 or visit online at https://womensmentalhealth.org/adhdmedications/.
  • are breastfeeding or plan to breastfeed. Clonidine hydrochloride extended-release tablets can pass into your breast milk. Talk to your doctor about the best way to feed your baby if you take clonidine hydrochloride extended-release tablets.

Tell your doctor about all of the medicines that you take, including prescription and non-prescription medicines, vitamins, and herbal supplements.

Clonidine hydrochloride extended-release tablets and certain other medicines may affect each other causing serious side effects. Sometimes the doses of other medicines may need to be changed while taking clonidine hydrochloride extended-release tablets.

Especially tell your doctor if you take:

  • anti-depression medicines
  • heart or blood pressure medicine
  • other medicines that contain clonidine
  • a medicine that makes you sleepy (sedation)

Ask your doctor or pharmacist for a list of these medicines, if you are not sure if your medicine is listed above.

Know the medicines that you take. Keep a list of your medicines with you to show your doctor and pharmacist when you get a new medicine.

How should I take clonidine hydrochloride extended-release tablets?

  • Take clonidine hydrochloride extended-release tablets exactly as your doctor tells you to take it.
  • Your doctor will tell you how many clonidine hydrochloride extended-release tablets to take and when to take them. Your doctor may change your dose of clonidine hydrochloride extended-release tablets. Do not change your dose of clonidine hydrochloride extended-release tablets without talking to your doctor.
  • Do not stop taking clonidine hydrochloride extended-release tablets without talking to your doctor.
  • Clonidine hydrochloride extended-release tablets can be taken with or without food.
  • Clonidine hydrochloride extended-release tablets should be taken 2 times a day (in the morning and at bedtime).
  • If you miss a dose of clonidine hydrochloride extended-release tablets, skip the missed dose. Just take the next dose at your regular time. Do not take two doses at the same time.
  • Take clonidine hydrochloride extended-release tablets whole. Do not chew, crush or break clonidine hydrochloride extended-release tablets. Tell your doctor if you cannot swallow clonidine hydrochloride extended-release tablets whole. You may need a different medicine.
  • If you take too much clonidine hydrochloride extended-release tablets, call your Poison Control Center or go to the nearest hospital emergency room right away.

What should I avoid while taking clonidine hydrochloride extended-release tablets?

  • Do not drink alcohol or take other medicines that make you sleepy or dizzy while taking clonidine hydrochloride extended-release tablets until you talk with your doctor. Clonidine hydrochloride extended-release tablets taken with alcohol or medicines that cause sleepiness or dizziness may make your sleepiness or dizziness worse.
  • Do not drive, operate heavy machinery or do other dangerous activities until you know how clonidine hydrochloride extended-release tablets will affect you.
  • Avoid becoming dehydrated or overheated.

What are possible side effects of clonidine hydrochloride extended-release tablets?

Clonidine hydrochloride extended-release tablets may cause serious side effects, including:

  • Low blood pressure and low heart rate. Your doctor should check your heart rate and blood pressure before starting treatment and regularly during treatment with clonidine hydrochloride extended-release tablets.
  • Sleepiness.
  • Withdrawal symptoms. Suddenly stopping clonidine hydrochloride extended-release tablets may cause withdrawal symptoms including: increased blood pressure, headache, increased heart rate, lightheadedness, tightness in your chest and nervousness.

The most common side effects of clonidine hydrochloride extended-release tablets include:

  • sleepiness
  • tiredness
  • irritability
  • trouble sleeping (insomnia)
  • nightmare
  • constipation
  • dry mouth
  • decreased appetite
  • dizziness

Tell your doctor if you have any side effects that bother you or that does not go away.

These are not all of the possible side effects of clonidine hydrochloride extended-release tablets. For more information, ask your doctor or pharmacist.

Call your doctor for medical advice about side effects. You may report side effects to FDA at 1-800-FDA-1088.

How should I store clonidine hydrochloride extended-release tablets?

  • Store clonidine hydrochloride extended-release tablets between 68° to 77°F (20° to 25°C).
  • Keep clonidine hydrochloride extended-release tablets in a tightly closed container.
  • Clonidine hydrochloride extended-release tablets come in a child-resistant package.

Keep clonidine hydrochloride extended-release tablets and all medicines out of the reach of children.

General information about the safe and effective use of clonidine hydrochloride extended-release tablets

Medicines are sometimes prescribed for purposes other than those listed in a Patient Information leaflet. Do not use clonidine hydrochloride extended-release tablets for a condition for which it was not prescribed.

Do not give clonidine hydrochloride extended-release tablets to other people, even if they have the same symptoms that you have. It may harm them.

This Patient Information leaflet summarizes the most important information about clonidine hydrochloride extended-release tablets. If you would like more information, talk with your doctor. You can also ask your doctor or pharmacist for information about clonidine hydrochloride extended-release tablets that is written for healthcare professionals.

For more information about clonidine hydrochloride extended-release tablets contact Somerset Therapeutics, LLC at 1-800-417-9175.

What are the ingredients in clonidine hydrochloride extended-release tablets?

  • Active Ingredient: clonidine hydrochloride
  • Inactive Ingredients: sodium lauryl sulfate, lactose monohydrate, hypromellose, pregelatinized starch, colloidal silicon dioxide, and magnesium stearate

Manufactured for:

Somerset Therapeutics, LLC

Somerset, NJ 08873

Made in Portugal

Revised: 10/2024

11 Description (11 DESCRIPTION)

Clonidine hydrochloride extended-release tablets are a centrally acting alpha2-adrenergic agonist available as 0.1 mg extended-release tablets for oral administration. Each 0.1 mg tablet is equivalent to 0.087 mg of the free base.

The inactive ingredients are sodium lauryl sulfate, lactose monohydrate, hypromellose, pregelatinized starch, colloidal silicon dioxide, and magnesium stearate. The formulation is designed to delay the absorption of active drug in order to decrease peak to trough plasma concentration differences. Clonidine hydrochloride is an imidazoline derivative and exists as a mesomeric compound. The chemical name is 2-(2,6 dichlorophenylamino)-2-imidazoline hydrochloride. The following is the structural formula:

C9H9Cl2N3∙HCl

Mol. Wt. 266.56

Clonidine hydrochloride, USP is an odorless, bitter, white, crystalline substance soluble in water and alcohol.

2.4 Missed Doses

If patients miss a dose of clonidine hydrochloride extended-release tablets, they should skip that dose and take the next dose as scheduled. Do not take more than the prescribed total daily amount of clonidine hydrochloride extended-release tablets in any 24-hour period.

8.4 Pediatric Use

The safety and efficacy of clonidine hydrochloride in the treatment of ADHD have been established in pediatric patients 6 to 17 years of age. Use of clonidine hydrochloride in pediatric patients 6 to 17 years of age is supported by three adequate and well-controlled studies; a short-term, placebo-controlled monotherapy trial, a short-term adjunctive therapy trial and a longer-term randomized monotherapy trial [see Clinical Studies (14)]. Safety and efficacy in pediatric patients below the age of 6 years has not been established.

2.2 Dose Selection

The dose of clonidine hydrochloride extended-release tablets, administered either as monotherapy or as adjunctive therapy to a psychostimulant, should be individualized according to the therapeutic needs and response of the patient. Dosing should be initiated with one 0.1 mg tablet at bedtime, and the daily dosage should be adjusted in increments of 0.1 mg/day at weekly intervals until the desired response is achieved. Doses should be taken twice a day, with either an equal or higher split dosage being given at bedtime (see Table 1).

Table 1 Clonidine Hydrochloride Extended-Release Tablets Dosing Guidance
Total Daily Dose

Morning Dose

Bedtime Dose

0.1 mg/day

0.1 mg

0.2 mg/day

0.1 mg

0.1 mg

0.3 mg/day

0.1 mg

0.2 mg

0.4 mg/day

0.2 mg

0.2 mg

Doses of clonidine hydrochloride higher than 0.4 mg/day (0.2 mg twice daily) were not evaluated in clinical trials for ADHD and are not recommended.

When clonidine hydrochloride extended-release tablets are being added-on to a psychostimulant, the dose of the psychostimulant can be adjusted depending on the patient's response to clonidine hydrochloride extended-release tablets.

14 Clinical Studies (14 CLINICAL STUDIES)

Efficacy of clonidine hydrochloride in the treatment of ADHD was established in children and adolescents (6 to 17 years) in:

  • One short-term, placebo-controlled monotherapy trial (Study 1)
  • One short-term adjunctive therapy to psychostimulants trial (Study 2)
  • One randomized withdrawal trial as monotherapy (Study 3)
2.3 Discontinuation

When discontinuing clonidine hydrochloride extended-release tablets, the total daily dose should be tapered in decrements of no more than 0.1 mg every 3 to 7 days to avoid rebound hypertension [see Warnings and Precautions (5.3)].

4 Contraindications (4 CONTRAINDICATIONS)

Clonidine hydrochloride extended-release tablets are contraindicated in patients with a history of a hypersensitivity reaction to clonidine. Reactions have included generalized rash, urticaria, and angioedema [see Adverse Reactions (6)].

6 Adverse Reactions (6 ADVERSE REACTIONS)

The following serious adverse reactions are described in greater detail elsewhere in labeling:

7 Drug Interactions (7 DRUG INTERACTIONS)

The following have been reported with other oral immediate release formulations of clonidine:

Table 6 Clinically Important Drug Interactions
Concomitant Drug Name or Drug Class

Clinical Rationale

Clinical Recommendation

Tricyclic antidepressants

Increase blood pressure and may counteract clonidine's hypotensive effects

Monitor blood pressure and adjust as needed

Antihypertensive drugs

Potentiate clonidine's hypotensive effects

Monitor blood pressure and adjust as needed

CNS depressants

Potentiate sedating effects

Avoid use

Drugs that affect sinus node function or AV node conduction (e.g., digitalis, calcium channel blockers, beta blockers)

Potentiate bradycardia and risk of AV block

Avoid use

8.6 Renal Impairment

The impact of renal impairment on the pharmacokinetics of clonidine in children has not been assessed. The initial dosage of clonidine hydrochloride extended-release tablets should be based on degree of impairment. Monitor patients carefully for hypotension and bradycardia, and titrate to higher doses cautiously. Since only a minimal amount of clonidine is removed during routine hemodialysis, there is no need to give supplemental clonidine hydrochloride extended-release tablets following dialysis.

12.2 Pharmacodynamics

Clonidine is a known antihypertensive agent. By stimulating alpha2-adrenergic receptors in the brain stem, clonidine reduces sympathetic outflow from the central nervous system and decreases peripheral resistance, renal vascular resistance, heart rate, and blood pressure.

5.4 Allergic Reactions

In patients who have developed localized contact sensitization to clonidine transdermal system, continuation of clonidine transdermal system or substitution of oral clonidine hydrochloride extended-release tablets therapy may be associated with the development of a generalized skin rash.

In patients who develop an allergic reaction from clonidine transdermal system, substitution of oral clonidine hydrochloride extended-release tablets may also elicit an allergic reaction (including generalized rash, urticaria, or angioedema).

1 Indications and Usage (1 INDICATIONS AND USAGE)

Clonidine hydrochloride extended-release tablets are indicated for the treatment of attention deficit hyperactivity disorder (ADHD) as monotherapy and as adjunctive therapy to stimulant medications [see Clinical Studies (14)].

12.1 Mechanism of Action

Clonidine stimulates alpha2-adrenergic receptors in the brain. Clonidine is not a central nervous system stimulant. The mechanism of action of clonidine in ADHD is not known.

5.3 Rebound Hypertension

Abrupt discontinuation of clonidine hydrochloride extended-release tablets can cause rebound hypertension. In adults with hypertension, sudden cessation of clonidine hydrochloride extended-release formulation treatment in the 0.2 to 0.6 mg/day range resulted in reports of headache, tachycardia, nausea, flushing, warm feeling, brief lightheadedness, tightness in chest, and anxiety. In adults with hypertension, sudden cessation of treatment with immediate-release clonidine has, in some cases, resulted in symptoms such as nervousness, agitation, headache, and tremor accompanied or followed by a rapid rise in blood pressure and elevated catecholamine concentrations in the plasma.

No studies evaluating abrupt discontinuation of clonidine hydrochloride in children with ADHD have been conducted; however, to minimize the risk of rebound hypertension, gradually reduce the dose of clonidine hydrochloride extended-release tablets in decrements of no more than 0.1 mg every 3 to 7 days. Patients should be instructed not to discontinue clonidine hydrochloride extended-release tablets therapy without consulting their physician due to the potential risk of withdrawal effects.

9.1 Controlled Substance

Clonidine hydrochloride is not a controlled substance and has no known potential for abuse or dependence.

5 Warnings and Precautions (5 WARNINGS AND PRECAUTIONS)
  • Hypotension/bradycardia/syncope: Titrate slowly and monitor vital signs frequently in patients at risk for hypotension, heart block, bradycardia, syncope, cardiovascular disease, vascular disease, cerebrovascular disease or chronic renal failure. Measure heart rate and blood pressure prior to initiation of therapy, following dose increases, and periodically while on therapy. Avoid concomitant use of drugs with additive effects unless clinically indicated. Advise patients to avoid becoming dehydrated or overheated. (5.1)
  • Somnolence/Sedation: Has been observed with clonidine hydrochloride extended-release tablets. Consider the potential for additive sedative effects with CNS depressant drugs. Caution patients against operating heavy equipment or driving until they know how they respond to clonidine hydrochloride extended-release tablets. (5.2)
  • Cardiac Conduction Abnormalities: May worsen sinus node dysfunction and atrioventricular (AV) block, especially in patients taking other sympatholytic drugs. Titrate slowly and monitor vital signs frequently. (5.5)
2 Dosage and Administration (2 DOSAGE AND ADMINISTRATION)
  • Start with one 0.1 mg tablet at bedtime for one week. Increase daily dosage in increments of 0.1 mg/day at weekly intervals until the desired response is achieved. Take twice a day, with either an equal or higher split dosage being given at bedtime, as depicted below (2.2)
Total Daily Dose

Morning Dose

Bedtime Dose

0.1 mg/day

0.1 mg

0.2 mg/day

0.1 mg

0.1 mg

0.3 mg/day

0.1 mg

0.2 mg

0.4 mg/day

0.2 mg

0.2 mg

  • Do not crush, chew or break tablet before swallowing. (2.1)
  • Do not substitute for other clonidine products on a mg-per-mg basis, because of differing pharmacokinetic profiles. (2.1)
  • When discontinuing, taper the dose in decrements of no more than 0.1 mg every 3 to 7 days to avoid rebound hypertension. (2.3)
5.1 Hypotension/bradycardia (5.1 Hypotension/Bradycardia)

Treatment with clonidine hydrochloride extended-release tablets can cause dose-related decreases in blood pressure and heart rate [see Adverse Reactions (6.1)]. Measure heart rate and blood pressure prior to initiation of therapy, following dose increases, and periodically while on therapy. Titrate clonidine hydrochloride extended-release tablets slowly in patients with a history of hypotension, and those with underlying conditions that may be worsened by hypotension and bradycardia; e.g., heart block, bradycardia, cardiovascular disease, vascular disease, cerebrovascular disease, or chronic renal failure. In patients who have a history of syncope or may have a condition that predisposes them to syncope, such as hypotension, orthostatic hypotension, bradycardia, or dehydration, advise patients to avoid becoming dehydrated or overheated. Monitor blood pressure and heart rate, and adjust dosages accordingly in patients treated concomitantly with antihypertensives or other drugs that can reduce blood pressure or heart rate or increase the risk of syncope.

5.2 Sedation and Somnolence

Somnolence and sedation were commonly reported adverse reactions in clinical studies. In patients that completed 5 weeks of therapy in a controlled, fixed dose pediatric monotherapy study, 31% of patients treated with 0.4 mg/day and 38% treated with 0.2 mg/day versus 4% of placebo treated patients reported somnolence as an adverse event. In patients that completed 5 weeks of therapy in a controlled flexible dose pediatric adjunctive to stimulants study, 19% of patients treated with clonidine hydrochloride+stimulant versus 7% treated with placebo+stimulant reported somnolence. Before using clonidine hydrochloride extended-release tablets with other centrally active depressants (such as phenothiazines, barbiturates, or benzodiazepines), consider the potential for additive sedative effects. Caution patients against operating heavy equipment or driving until they know how they respond to treatment with clonidine hydrochloride extended-release tablets. Advise patients to avoid use with alcohol.

3 Dosage Forms and Strengths (3 DOSAGE FORMS AND STRENGTHS)

Clonidine hydrochloride extended-release tablets are available in a 0.1 mg strength formulation. The 0.1 mg tablets are white to off-white round, biconvex tablets with debossing: "U" on one side and "77" on the other side. Clonidine hydrochloride extended-release tablets must be swallowed whole and never crushed, cut or chewed.

6.1 Clinical Trial Experience

Because clinical trials are conducted under widely varying conditions, adverse reaction rates observed in the clinical trials of a drug cannot be directly compared to rates in the clinical trials of another drug and may not reflect the rates observed in practice.

Two clonidine hydrochloride ADHD clinical studies (Study 1, CLON-301 and Study 2, CLON-302) evaluated 256 patients in two 8-week placebo-controlled studies.

A third clonidine hydrochloride ADHD clinical study (Study 3, SHN-KAP-401) evaluated 135 children and adolescents in a 40-week placebo-controlled randomized-withdrawal study.

6.2 Post Marketing Experience (6.2 Post-marketing Experience)

The following adverse reactions have been identified during post-approval use of clonidine hydrochloride. Because these reactions are reported voluntarily from a population of uncertain size, it is not always possible to reliably estimate their frequency or establish a causal relationship to drug exposure. These events exclude those already mentioned in 6.1:

Psychiatric: hallucinations

Cardiovascular: Q-T prolongation

8 Use in Specific Populations (8 USE IN SPECIFIC POPULATIONS)
  • Renal Impairment: The dosage of clonidine hydrochloride extended-release tablets must be adjusted according to the degree of impairment, and patients should be carefully monitored. (8.6, 12.3)
2.1 General Dosing Information

Clonidine hydrochloride is an extended-release tablet to be taken orally with or without food. Swallow tablets whole. Do not crush, chew, or break tablets because this will increase the rate of clonidine release.

Due to the lack of controlled clinical trial data and differing pharmacokinetic profiles, substitution of clonidine hydrochloride extended-release tablets for other clonidine products on a mg-per-mg basis is not recommended [see Clinical Pharmacology (12.3)].

17 Patient Counseling Information (17 PATIENT COUNSELING INFORMATION)

Advise the patient to read the FDA-approved Patient Labeling (Patient Information)

16 How Supplied/storage and Handling (16 HOW SUPPLIED/STORAGE AND HANDLING)

Clonidine hydrochloride extended-release tablet 0.1 mg is a white to off-white round, biconvex tablets with debossing: "U" on one side and "77" on the other side and supplied as follows.

Bottles of 60 tablets with child-resistant closure, NDC 70069-044-01

Store at 20° to 25°C (68° to 77°F); excursions permitted to 15° to 30°C (59° to 86°F) [See USP Controlled Room Temperature].

Dispense in a tight container as defined in the USP.

Keep clonidine hydrochloride extended-release tablets and all medicines out of the reach of children.

5.5 Cardiac Conduction Abnormalities

The sympatholytic action of clonidine may worsen sinus node dysfunction and atrioventricular (AV) block, especially in patients taking other sympatholytic drugs. There have been post-marketing reports of patients with conduction abnormalities and/or taking other sympatholytic drugs who developed severe bradycardia requiring IV atropine, IV isoproterenol, and temporary cardiac pacing while taking clonidine. Titrate clonidine hydrochloride extended-release tablets slowly and monitor vital signs frequently in patients with cardiac conduction abnormalities or patients concomitantly treated with other sympatholytic drugs.

Principal Display Panel 0.1 Mg Tablet Bottle Label (PRINCIPAL DISPLAY PANEL - 0.1 mg Tablet Bottle Label)

Rx only

NDC 70069-044-01

Clonidine Hydrochloride

Extended-Release

Tablets

0.1 mg

60 Tablets


Advanced Ingredient Data


Raw Label Data

All Sections (JSON)