These Highlights Do Not Include All The Information Needed To Use Clobetasol Propionate Cream Safely And Effectively. See Full Prescribing Information For Clobetasol Propionate Cream.clobetasol Propionate Cream, 0.025%, For Topical Use

These Highlights Do Not Include All The Information Needed To Use Clobetasol Propionate Cream Safely And Effectively. See Full Prescribing Information For Clobetasol Propionate Cream.clobetasol Propionate Cream, 0.025%, For Topical Use
SPL v1
SPL
SPL Set ID 1b0e9eb5-71eb-44b4-894a-094a9f325dc8
Route
TOPICAL
Published
Effective Date 2025-02-12
Document Type 34391-3 HUMAN PRESCRIPTION DRUG LABEL

Drug Facts

Composition & Product

Active Ingredients
Clobetasol (0.25 mg)
Inactive Ingredients
Butylated Hydroxytoluene Cetostearyl Alcohol Cyclomethicone Diethylene Glycol Monoethyl Ether Glyceryl Stearate Se Peg-100 Stearate Isopropyl Myristate Methylparaben Propylparaben Water White Wax

Identifiers & Packaging

Pill Appearance
Color: white
Marketing Status
NDA AUTHORIZED GENERIC Active Since 2025-02-10

Description

Clobetasol Propionate Cream is a corticosteroid indicated for the treatment of moderate to severe plaque psoriasis in patients 18 years of age and older. (1)

Indications and Usage

Clobetasol Propionate Cream is a corticosteroid indicated for the treatment of moderate to severe plaque psoriasis in patients 18 years of age and older. (1)

Dosage and Administration

Apply a thin layer of Clobetasol Propionate Cream to the affected skin areas twice daily and rub in gently and completely. Wash hands after each application. Use Clobetasol Propionate Cream for up to 2 consecutive weeks of treatment. (2) • Discontinue Clobetasol Propionate Cream when control is achieved. (2) • The total dosage should not exceed 50 g per week. (2) • Do not use if atrophy is present at the treatment site. (2) • Do not bandage, cover, or wrap the treated skin area unless directed by a physician. (2) • Avoid use on the face, scalp, axilla, groin, or other intertriginous areas. (2) • Clobetasol Propionate Cream is for topical use only. It is not for oral, ophthalmic, or intravaginal use. (2)

Warnings and Precautions

• Clobetasol propionate has been shown to suppress the HPA axis at the dose tested. (5.1) • Cushing’s syndrome, hyperglycemia, and glucosuria can also result from systemic absorption of topical corticosteroids. (5.1) • Systemic absorption may require periodic evaluation for HPA axis suppression. Modify use if HPA axis suppression develops. (5.1) • Children may be more susceptible to systemic toxicity from use of topical corticosteroids. (5.1, 8.4) • Local adverse reactions with topical corticosteroids may occur more frequently with the use of occlusive dressings, prolonged use, or use of higher potency corticosteroids, including clobetasol propionate. These reactions include: irritation, dryness, acneiform eruptions, hypertrichosis, hypopigmentation, perioral dermatitis, allergic contact dermatitis, secondary infection, striae and miliaria. (5.1, 6.2)

Contraindications

None.

Adverse Reactions

Local adverse reactions from topical corticosteroids may include atrophy, striae, telangiectasias, burning, itching, irritation, dryness, folliculitis, acneiform eruptions, hypopigmentation, perioral dermatitis, allergic contact dermatitis, secondary infection, and miliaria. These may be more likely to occur with occlusive use, prolonged use, or use of higher potency corticosteroids, including Clobetasol Propionate Cream. Some local adverse reactions may be irreversible.

How Supplied

Clobetasol Propionate Cream, 0.025% is a white to off-white cream, supplied as follows: 100g aluminum tube NDC 74157-710-10


Medication Information

Warnings and Precautions

• Clobetasol propionate has been shown to suppress the HPA axis at the dose tested. (5.1) • Cushing’s syndrome, hyperglycemia, and glucosuria can also result from systemic absorption of topical corticosteroids. (5.1) • Systemic absorption may require periodic evaluation for HPA axis suppression. Modify use if HPA axis suppression develops. (5.1) • Children may be more susceptible to systemic toxicity from use of topical corticosteroids. (5.1, 8.4) • Local adverse reactions with topical corticosteroids may occur more frequently with the use of occlusive dressings, prolonged use, or use of higher potency corticosteroids, including clobetasol propionate. These reactions include: irritation, dryness, acneiform eruptions, hypertrichosis, hypopigmentation, perioral dermatitis, allergic contact dermatitis, secondary infection, striae and miliaria. (5.1, 6.2)

Indications and Usage

Clobetasol Propionate Cream is a corticosteroid indicated for the treatment of moderate to severe plaque psoriasis in patients 18 years of age and older. (1)

Dosage and Administration

Apply a thin layer of Clobetasol Propionate Cream to the affected skin areas twice daily and rub in gently and completely. Wash hands after each application. Use Clobetasol Propionate Cream for up to 2 consecutive weeks of treatment. (2) • Discontinue Clobetasol Propionate Cream when control is achieved. (2) • The total dosage should not exceed 50 g per week. (2) • Do not use if atrophy is present at the treatment site. (2) • Do not bandage, cover, or wrap the treated skin area unless directed by a physician. (2) • Avoid use on the face, scalp, axilla, groin, or other intertriginous areas. (2) • Clobetasol Propionate Cream is for topical use only. It is not for oral, ophthalmic, or intravaginal use. (2)

Contraindications

None.

Adverse Reactions

Local adverse reactions from topical corticosteroids may include atrophy, striae, telangiectasias, burning, itching, irritation, dryness, folliculitis, acneiform eruptions, hypopigmentation, perioral dermatitis, allergic contact dermatitis, secondary infection, and miliaria. These may be more likely to occur with occlusive use, prolonged use, or use of higher potency corticosteroids, including Clobetasol Propionate Cream. Some local adverse reactions may be irreversible.

How Supplied

Clobetasol Propionate Cream, 0.025% is a white to off-white cream, supplied as follows: 100g aluminum tube NDC 74157-710-10

Description

Clobetasol Propionate Cream is a corticosteroid indicated for the treatment of moderate to severe plaque psoriasis in patients 18 years of age and older. (1)

16.2 Storage

Store at 20°C-25°C (68°F-77°F); excursions permitted to 15°C-30°C (59°F-86°F) [see USP Controlled Room Temperature] Do not freeze.

8.1 Pregnancy

Risk Summary

There are no available data on Clobetasol Propionate Cream in pregnant women to inform a drug-associated risk for adverse development outcomes. Published data report a significantly increased risk of low birthweight with the use of greater than 300 grams of potent or very potent topical corticosteroids during a pregnancy. Advise pregnant women of the potential risk to a fetus and to use Clobetasol Propionate Cream on the smallest area of skin and for the shortest duration possible (see Data ). In animal reproduction studies, increased malformations, such as cleft palate and skeletal abnormalities, were observed after subcutaneous administration of clobetasol propionate to pregnant mice and rabbits. No comparisons of animal exposure with human exposure are provided due to minimal systemic exposure noted after topical administration of Clobetasol Propionate Cream [see Clinical Pharmacology (12.3) ].

The estimated background risk of major birth defects and miscarriage for the indicated population is unknown. All pregnancies have a background risk or birth defect loss, or other adverse outcomes. In the U.S. general population, the estimated background risk of major birth defects and miscarriage in clinically recognized pregnancies is 2% to 4% and 15% to 20%, respectively.

Data

Human Data

Multiple observational studies found no significant associations between maternal use of topical corticosteroids of any potency and congenital malformations, preterm delivery, or fetal mortality. However, when the dispensed amount of potent or very potent topical corticosteroid exceeded 300 g during the entire pregnancy, use was associated with an increase in low birth weight infants [adjusted RR, 7.74 (95% CI, 1.49-40.11)]. In addition, a small cohort study, in which 28 sub-Saharan women using potent topical corticosteroids (27/28 used clobetasol propionate 0.05%) for skin lightening during pregnancy, noted a higher incidence of low birth weight infants in the exposed group. The majority of exposed subjects treated large areas of the body [a mean quantity of 60 g/month (range, 12-170g)] over long periods of time.

Animal Data

In an embryofetal development study in mice, subcutaneous administration of clobetasol propionate resulted in fetotoxicity at the highest dose tested ( 1mg/kg) and malformations at the lowest dose tested (0.03 mg/kg). Malformations seen included cleft palate and skeletal abnormalities. In an embryofetal development study in rabbits, subcutaneous administration of clobetasol propionate resulted in malformations at doses of 0.003 and 0.01 mg/kg. Malformations seen included cleft palate, cranioschisis, and other skeletal abnormalities.

8.2 Lactation

Risk Summary

There is no information regarding the presence of clobetasol propionate in breast milk or its effects on the breastfed infant or on milk production. Systemically administered corticosteroids appear in human milk and could suppress growth, interfere with endogenous corticosteroid production, or cause other untoward effects. It is not known whether topical administration of clobetasol propionate could result in sufficient systemic absorption to produce detectable quantities in human milk. The developmental and health benefits of breastfeeding should be considered along with the other’s clinical need for Clobetasol Propionate Cream and any potential adverse effects on the breastfed infant from Clobetasol Propionate Cream or from the underlying maternal condition.

Clinical Considerations

To minimize potential exposure to the breastfed infant via breast milk, use Clobetasol Propionate Cream on the smallest area of skin and for the shortest duration possible while breastfeeding. Advise breastfeeding women not to applyClobetasol Propionate Cream directly to the nipple and areola to avoid direct infant exposure.

Product Label

11 Description

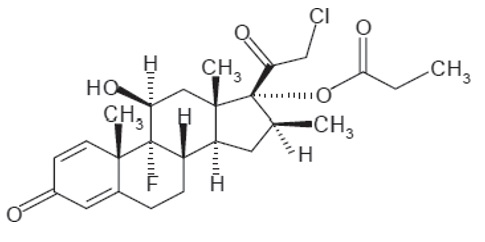
Clobetasol propionate Cream, 0.025% for topical use contains clobetasol propionate, a synthetic and fluorinated corticosteroid. Chemically, clobetasol propionate is 21-chloro-9-fluoro-11β-hydroxy-16 β-methyl-3,20-dioxopregna-1,4-dien-17-yl propanoate, and it has the following structural formula.

Clobetasol propionate has a molecular formula of C 25H 32CIFO 5and a molecular weight of 467. It is a white to cream-colored crystalline powder practically insoluble in water.

Each gram of Clobetasol propionate Cream contains 0.25 mg clobetasol propionate. It is an oil-in-water emulsion intended for topical application and contains the following inactive ingredients: butylated hydroxytoluene, cetostearyl alcohol, cyclomethicone, diethylene glycol monoethyl ether, glyceryl stearate and PEG 100 stearate, isopropyl myristate, methyl paraben, propyl paraben. purified water and white wax.

16.1 How Supplied

Clobetasol Propionate Cream, 0.025% is a white to off-white cream, supplied as follows:

100g aluminum tube NDC 74157-710-10

8.4 Pediatric Use

The safety and effectiveness of Clobetasol Propionate Cream in patients younger than 18 years of age have not been established; therefore, use in children younger than 18 years is not recommended. Because of a higher ratio of skin surface area to body mass, pediatric patients are at a greater risk than adults of systemic toxicity, including HPA axis suppression when treated with topical drugs [see Warnings and Precautions (5.1) ].

Rare systemic toxicities such as Cushing’s syndrome, linear growth retardation, delayed weight gain, and intracranial hypertension have been reported in pediatric patients, especially those with prolonged exposure to large doses of high potency topical corticosteroids.

Local adverse reactions including striae and skin atrophy have also been reported with use of topical corticosteroids in pediatric patients.

Avoid use of Clobetasol Propionate Cream in the treatment of diaper dermatitis.

8.5 Geriatric Use

Clinical studies of Clobetasol Propionate Cream did not include sufficient numbers of subjects aged 65 and over to determine whether they respond differently from younger subjects. Other reported clinical experience with topical corticosteroids has not identified differences in responses between the elderly and younger patients.

14 Clinical Studies

Clobetasol PropionateTwo double-blind, randomized, vehicle-controlled trials evaluated 532 subjects aged 18 years and older with moderate to severe plaque psoriasis (IGA 3 or 4 and BSA > 3%). Subjects were treated twice daily with Clobetasol Propionate Cream or vehicle cream for 14 days. The primary endpoint was the proportion of subjects who achieved treatment success at Day 15, where treatment success was defined as an IGA score of 0 (clear) or 1 (almost clear) with at least a 2-grade reduction from baseline. The proportion of subjects who achieved treatment success was also assessed at Day 8

Table 1 presents the efficacy results at Day 8 and Day 15

Table 1. Treatment Success *Results

*Treatment success is defined as an IGA score of 0 (clear) or 1 (almost clear) with at least a 2-grade reduction from baseline.
Trial 1 Trial 2
Clobetasol Propionate

(N=178)
Vehicle

(N=89)
Clobetasol Propionate

(N=176)
Vehicle

(N=89)
Day 15 (primary endpoint) 30.2% 9.0% 30.1% 9.7%
Day 8 (secondary endpoint) 15.7% 5.6% 14.2% 1.6%

4 Contraindications

None.

6 Adverse Reactions

The most common adverse reaction (incidence ≥ 1%) is application site discoloration. (6.1)

To report SUSPECTED ADVERSE REACTIONS, contact INA Pharmaceutics, Inc. at 1-866-835-0469 or FDA at 1-800-FDA-1088 or

www.fda.gov/medwatch.

12.2 Pharmacodynamics

Vasoconstrictor Assay

Clobetasol Propionate Cream, 0.025% is in the high range of potency as demonstrated in vasoconstrictor studies in healthy subjects when compared with other topical corticosteroids. However, similar blanching scores do not necessarily imply therapeutic equivalence.

Hypothalamic-Pituitary-Adrenal (HPA) Axis Suppression:

HPA axis suppression was evaluated in a clinical trial in adult subjects (N=24) with moderate to severe plaque psoriasis involving a mean BSA of 26.5 +8.6%. Treatment consisted of twice daily application of Clobetasol Propionate Cream, 0.025% for 15 days. Adrenal suppression, as indicated by a 30-minute post-stimulation cortisol level ≤18 mcg/dL, was observed in 3 out of 24 subjects (12.5%) after 15 days.

12.3 Pharmacokinetics

Topical corticosteroids can be absorbed from intact healthy skin. The extent of percutaneous absorption of topical corticosteroids is determined by many factors, including the product formulation and the integrity of the epidermal barrier. Occlusion, inflammation, and/or other disease processes in the skin may also increase percutaneous absorption. Once absorbed through the skin, topical corticosteroids are metabolized, primarily in the liver, and are then excreted by the kidneys. Some corticosteroids and their metabolites are also excreted in the bile.

In a pharmacokinetic study in 24 adult male and female subjects with moderate to severe psoriasis were treated twice daily for 15 days with a mean dose of approximately 3.7 g of Clobetasol Propionate Cream, 0.025% per application to a mean BSA of 26.5 ± 8.6%. On day 15, the mean + SD pre-treatment and post-treatment systemic concentrations of clobetasol propionate were 50.7 ± 96.0 pg/mL and 56.3 ± 104.7 pg/mL, respectively.

12.1 Mechanism of Action

Corticosteroids play a role in cellular signaling, immune function, inflammation, and protein regulation; however, the precise mechanism of action in corticosteroid responsive dermatoses is unknown. The contribution to efficacy by individual components of the vehicle has not been established.

5 Warnings and Precautions

• Clobetasol propionate has been shown to suppress the HPA axis at the dose tested. (5.1)

• Cushing’s syndrome, hyperglycemia, and glucosuria can also result from systemic absorption of topical corticosteroids. (5.1)

• Systemic absorption may require periodic evaluation for HPA axis suppression. Modify use if HPA axis suppression develops. (5.1)

• Children may be more susceptible to systemic toxicity from use of topical corticosteroids. (5.1, 8.4)

• Local adverse reactions with topical corticosteroids may occur more frequently with the use of occlusive dressings, prolonged use, or use

of higher potency corticosteroids, including clobetasol propionate.

These reactions include: irritation, dryness, acneiform eruptions, hypertrichosis, hypopigmentation, perioral dermatitis, allergic contact

dermatitis, secondary infection, striae and miliaria. (5.1, 6.2)

2 Dosage and Administration

Apply a thin layer of Clobetasol Propionate Cream to the affected skin areas twice daily and rub in gently and completely. Wash hands after

each application. Use Clobetasol Propionate Cream for up to 2 consecutive weeks of treatment. (2)

• Discontinue Clobetasol Propionate Cream when control is achieved. (2)

• The total dosage should not exceed 50 g per week. (2)

• Do not use if atrophy is present at the treatment site. (2)

• Do not bandage, cover, or wrap the treated skin area unless directed by a physician. (2)

• Avoid use on the face, scalp, axilla, groin, or other intertriginous areas. (2)

• Clobetasol Propionate Cream is for topical use only. It is not for

oral, ophthalmic, or intravaginal use. (2)

3 Dosage Forms and Strengths

Cream, 0.025% each gram contains 0.25 mg of clobetasol propionate in a white to off-white cream base.

6.2 Postmarketing Experience

The following adverse reactions have been identified during post-approval use of clobetasol propionate: striae, irritation, dryness, acneiform eruptions, hypopigmentation, perioral dermatitis, allergic contact dermatitis, secondary infection, hypertrichosis and miliaria. Because these reactions are reported voluntarily from a population of uncertain size, it is not always possible to reliably estimate their frequency or establish a causal relationship to drug exposure.

6.1 Clinical Trials Experience

Because clinical trials are conducted under widely varying conditions, adverse reaction rates observed in the clinical trials of a drug cannot be directly compared to rates in the clinical trials of another drug and may not reflect the rates observed in practice.



Clobetasol Propionate Cream was evaluated in two randomized, multicenter, prospective, vehicle-controlled clinical trials in subjects with moderate to severe plaque psoriasis. Subjects applied Clobetasol Propionate Cream or vehicle cream twice daily for 14 days. A total of 354 subjects applied Clobetasol Propionate Cream and 178 subjects applied vehicle.



The adverse reaction that occurred in at least 1% of subjects treated with Clobetasol Propionate Cream and at a higher incidence than in subjects treated with vehicle cream was application site discoloration (2% versus 1%).



Less common local adverse events occurring in < 1% of subjects treated with Clobetasol Propionate Cream were application site atrophy, telangiectasia and rash.

5.3 Concomitant Skin Infections

Use an appropriate antimicrobial agent if a skin infection is present or develops. If a favorable response does not occur promptly, discontinue use of Clobetasol Propionate Cream until the infection has been adequately treated.

5.4 Allergic Contact Dermatitis

Allergic contact dermatitis with corticosteroids is usually diagnosed by observing failure to heal rather than noting a clinical exacerbation. Such an observation should be corroborated with appropriate diagnostic patch testing. If irritation develops, discontinue the topical corticosteroid and institute appropriate therapy.

17 Patient Counseling Information

Advise the patient to read the FDA-approved patient labeling ( Patient Information)

Pregnancy

Advise pregnant women of the potential risk to a fetus and to use Clobetasol Propionate Cream on the smallest area of skin and for the shortest duration possible [see Use in Specific Populations (8.1)] .

Lactation

Advise a woman to use Clobetasol Propionate cream on the smallest area of skin and for the shortest duration possible while breastfeeding. Advise breastfeeding women not to apply Clobetasol Propionate Cream directly to the nipple and areola to avoid direct infant exposure [see Use in Specific Populations (8.2)] .

Important Administration Instructions

Instruct patients to discontinue Clobetasol Propionate Cream when psoriasis is controlled. Clobetasol Propionate Cream should not be used for longer than 2 weeks. Advise patients to contact the physician if no improvement is seen within 2 weeks. Inform patients that total dosage should not exceed 50 grams per week [see Dosage and Administration (2) ].

Instruct patients to avoid bandaging, wrapping or otherwise occluding the treatment area(s) unless directed by physician. Advise patients to avoid use on the face, scalp, groin, or axillae [see Dosage and Administration (2) ].

Inform patients that Clobetasol Propionate Cream is for external use only. Advise patients that Clobetasol Propionate Cream is not for ophthalmic, oral or intravaginal use. Patients should wash their hands after applying the medication [see Dosage and Administration (2)] .

Do not use other corticosteroid-containing products while using Clobetasol Propionate Cream.

Effects on Endocrine System

Clobetasol Propionate Cream may cause HPA axis suppression. Advise patients that use of topical corticosteroids, including Clobetasol Propionate Cream, may require periodic evaluation for HPA axis suppression. Topical corticosteroids may have other endocrine effects. Concomitant use of multiple corticosteroid-containing products may increase the total systemic exposure to topical corticosteroids. Patients should inform their physician(s) that they are using Clobetasol Propionate Cream if surgery is contemplated [see Warnings and Precautions (5.1)] .

Local Adverse Reactions

Informed patients that topical corticosteroids may cause local adverse reactions, some of which may be irreversible. These reactions may be more likely to occur with occlusive use, prolonged use or use of higher potency corticosteroids, including Clobetasol Propionate Cream [see Warnings and Precautions (5.2)] . Patients should report any sign of local or systemic adverse reactions to their physician.

Manufactured for:

INA Pharmaceutics, Inc.,

Fairmont, WV 26554

Revised: 01/2025

22542-01

5.1 Effects On the Endocrine System

Clobetasol Propionate Cream can cause reversible hypothalamic-pituitary-adrenal (HPA) axis suppression with the potential for glucocorticosteroid insufficiency. This may occur during treatment or after withdrawal of treatment. Because of the potential for systemic absorption, use of topical corticosteroids, including Clobetasol Propionate Cream, may require that patients be evaluated periodically for evidence of HPA axis suppression.

Factors that predispose a patient to HPA axis suppression include the use of high-potency steroids, large treatment surface areas, prolonged use, use of occlusive dressings, altered skin barrier, liver failure, and young age.



Evaluation for HPA axis suppression may be done by using the adrenocorticotropic hormone (ACTH) stimulation test. In a trial evaluating the effects of Clobetasol Propionate Cream on the HPA axis, subjects with plaque psoriasis applied Clobetasol Propionate Cream twice daily to at least 20% of involved Body Surface Area (BSA) for 15 days. Abnormal ACTH stimulation tests suggestive of HPA axis suppression were seen in 3

of 24 (12.5%) subjects on Clobetasol Propionate Cream [see Clinical Pharmacology (12.2)]. In another trial to evaluate the effects of Clobetasol Propionate Cream on the HPA axis, subjects with moderate to severe plaque psoriasis applied Clobetasol Propionate Cream twice daily to at least 25% of involved BSA for 28 consecutive days. Abnormal ACTH stimulation test suggestive of HPA axis suppression was seen in 8 of 26 (30.8%) of

subjects on Clobetasol Propionate Cream.



If HPA axis suppression is documented, gradually withdraw the drug, reduce the frequency of application, or substitute with a less potent corticosteroid. If signs and symptoms of steroid withdrawal occur, supplemental systemic corticosteroids may be required. Recovery of HPA axis function is generally prompt and complete upon discontinuation of topical corticosteroids.

Systemic effects of topical corticosteroids may also manifest as Cushing’s syndrome, hyperglycemia, and glucosuria. These complications are rare and generally occur after prolonged exposure to larger than recommended doses, particularly with high-potency topical corticosteroids.

Use of more than one corticosteroid-containing product at the same time may increase the total systemic exposure to topical corticosteroids.

Minimize the unwanted risks from endocrine effects by mitigating risk factors favoring increased systemic bioavailability and by using the product as recommended [see Dosage and Administration (2)].



Pediatric patients may be more susceptible to systemic toxicity because of their larger skin surface to body mass ratios [see Use in Specific Populations (8.4)].

5.2 Local Adverse Reactions With Topical Corticosteroids

Local adverse reactions from topical corticosteroids may include atrophy, striae, telangiectasias, burning, itching, irritation, dryness, folliculitis, acneiform eruptions, hypopigmentation, perioral dermatitis, allergic contact dermatitis, secondary infection, and miliaria. These may be more likely to occur with occlusive use, prolonged use, or use of higher potency corticosteroids, including Clobetasol Propionate Cream. Some local

adverse reactions may be irreversible.

13.1 Carcinogenesis, Mutagenesis, Impairment of Fertility

Long term animal studies have not been performed to evaluate the carcinogenic potential of clobetasol propionate cream.

In a 13-week repeat dose toxicity study in rats, topical administration of clobetasol propionate cream, 0.001, 0.005 and 0.025% at corresponding doses of 0.004, 0.02 and 0.1 mg/kg/day resulted in corticosteroid class-related systemic effects such as reductions in body weight gain, reductions in total leukocytes and individual white cells, decrease in weight of adrenals, thymus, spleen, liver and lung. Histologically, there were decreased hematopoiesis in the bone marrow, thymic atrophy and mast cell infiltration of the mesenteric lymph nodes. All these effects were indicative of severe immune suppression consistent with long-term exposure to corticosteroids. A no observable adverse effect level (NOAEL) was determined to be clobetasol propionate cream, 0.001% (0.004 mg/kg/day) in male rats while a NOAEL could not be determined in females. The clinical relevance of the findings in animals to humans is not clear, but sustained glucocorticoid-related immune suppression may increase the risk of infection and possibly the risk of carcinogenesis.

Clobetasol propionate was not mutagenic in three different test systems: the Ames test, the Saccharomyces cerevisiae gene conversion assay, and the E. coli B WP2 fluctuation test.

Fertility studies conducted in the rat following subcutaneous administration of clobetasol propionate at dosage levels up to 0.05 mg/kg/day revealed that females exhibited an increase in the number of resorbed embryos and a decrease in the number of living fetuses at the highest dose.


Structured Label Content

16.2 Storage

Store at 20°C-25°C (68°F-77°F); excursions permitted to 15°C-30°C (59°F-86°F) [see USP Controlled Room Temperature] Do not freeze.

8.1 Pregnancy

Risk Summary

There are no available data on Clobetasol Propionate Cream in pregnant women to inform a drug-associated risk for adverse development outcomes. Published data report a significantly increased risk of low birthweight with the use of greater than 300 grams of potent or very potent topical corticosteroids during a pregnancy. Advise pregnant women of the potential risk to a fetus and to use Clobetasol Propionate Cream on the smallest area of skin and for the shortest duration possible (see Data ). In animal reproduction studies, increased malformations, such as cleft palate and skeletal abnormalities, were observed after subcutaneous administration of clobetasol propionate to pregnant mice and rabbits. No comparisons of animal exposure with human exposure are provided due to minimal systemic exposure noted after topical administration of Clobetasol Propionate Cream [see Clinical Pharmacology (12.3) ].

The estimated background risk of major birth defects and miscarriage for the indicated population is unknown. All pregnancies have a background risk or birth defect loss, or other adverse outcomes. In the U.S. general population, the estimated background risk of major birth defects and miscarriage in clinically recognized pregnancies is 2% to 4% and 15% to 20%, respectively.

Data

Human Data

Multiple observational studies found no significant associations between maternal use of topical corticosteroids of any potency and congenital malformations, preterm delivery, or fetal mortality. However, when the dispensed amount of potent or very potent topical corticosteroid exceeded 300 g during the entire pregnancy, use was associated with an increase in low birth weight infants [adjusted RR, 7.74 (95% CI, 1.49-40.11)]. In addition, a small cohort study, in which 28 sub-Saharan women using potent topical corticosteroids (27/28 used clobetasol propionate 0.05%) for skin lightening during pregnancy, noted a higher incidence of low birth weight infants in the exposed group. The majority of exposed subjects treated large areas of the body [a mean quantity of 60 g/month (range, 12-170g)] over long periods of time.

Animal Data

In an embryofetal development study in mice, subcutaneous administration of clobetasol propionate resulted in fetotoxicity at the highest dose tested ( 1mg/kg) and malformations at the lowest dose tested (0.03 mg/kg). Malformations seen included cleft palate and skeletal abnormalities. In an embryofetal development study in rabbits, subcutaneous administration of clobetasol propionate resulted in malformations at doses of 0.003 and 0.01 mg/kg. Malformations seen included cleft palate, cranioschisis, and other skeletal abnormalities.

8.2 Lactation

Risk Summary

There is no information regarding the presence of clobetasol propionate in breast milk or its effects on the breastfed infant or on milk production. Systemically administered corticosteroids appear in human milk and could suppress growth, interfere with endogenous corticosteroid production, or cause other untoward effects. It is not known whether topical administration of clobetasol propionate could result in sufficient systemic absorption to produce detectable quantities in human milk. The developmental and health benefits of breastfeeding should be considered along with the other’s clinical need for Clobetasol Propionate Cream and any potential adverse effects on the breastfed infant from Clobetasol Propionate Cream or from the underlying maternal condition.

Clinical Considerations

To minimize potential exposure to the breastfed infant via breast milk, use Clobetasol Propionate Cream on the smallest area of skin and for the shortest duration possible while breastfeeding. Advise breastfeeding women not to applyClobetasol Propionate Cream directly to the nipple and areola to avoid direct infant exposure.

Product Label (Product label)

11 Description (11 DESCRIPTION)

Clobetasol propionate Cream, 0.025% for topical use contains clobetasol propionate, a synthetic and fluorinated corticosteroid. Chemically, clobetasol propionate is 21-chloro-9-fluoro-11β-hydroxy-16 β-methyl-3,20-dioxopregna-1,4-dien-17-yl propanoate, and it has the following structural formula.

Clobetasol propionate has a molecular formula of C 25H 32CIFO 5and a molecular weight of 467. It is a white to cream-colored crystalline powder practically insoluble in water.

Each gram of Clobetasol propionate Cream contains 0.25 mg clobetasol propionate. It is an oil-in-water emulsion intended for topical application and contains the following inactive ingredients: butylated hydroxytoluene, cetostearyl alcohol, cyclomethicone, diethylene glycol monoethyl ether, glyceryl stearate and PEG 100 stearate, isopropyl myristate, methyl paraben, propyl paraben. purified water and white wax.

16.1 How Supplied

Clobetasol Propionate Cream, 0.025% is a white to off-white cream, supplied as follows:

100g aluminum tube NDC 74157-710-10

8.4 Pediatric Use

The safety and effectiveness of Clobetasol Propionate Cream in patients younger than 18 years of age have not been established; therefore, use in children younger than 18 years is not recommended. Because of a higher ratio of skin surface area to body mass, pediatric patients are at a greater risk than adults of systemic toxicity, including HPA axis suppression when treated with topical drugs [see Warnings and Precautions (5.1) ].

Rare systemic toxicities such as Cushing’s syndrome, linear growth retardation, delayed weight gain, and intracranial hypertension have been reported in pediatric patients, especially those with prolonged exposure to large doses of high potency topical corticosteroids.

Local adverse reactions including striae and skin atrophy have also been reported with use of topical corticosteroids in pediatric patients.

Avoid use of Clobetasol Propionate Cream in the treatment of diaper dermatitis.

8.5 Geriatric Use

Clinical studies of Clobetasol Propionate Cream did not include sufficient numbers of subjects aged 65 and over to determine whether they respond differently from younger subjects. Other reported clinical experience with topical corticosteroids has not identified differences in responses between the elderly and younger patients.

14 Clinical Studies (14 CLINICAL STUDIES)

Clobetasol PropionateTwo double-blind, randomized, vehicle-controlled trials evaluated 532 subjects aged 18 years and older with moderate to severe plaque psoriasis (IGA 3 or 4 and BSA > 3%). Subjects were treated twice daily with Clobetasol Propionate Cream or vehicle cream for 14 days. The primary endpoint was the proportion of subjects who achieved treatment success at Day 15, where treatment success was defined as an IGA score of 0 (clear) or 1 (almost clear) with at least a 2-grade reduction from baseline. The proportion of subjects who achieved treatment success was also assessed at Day 8

Table 1 presents the efficacy results at Day 8 and Day 15

Table 1. Treatment Success *Results

*Treatment success is defined as an IGA score of 0 (clear) or 1 (almost clear) with at least a 2-grade reduction from baseline.
Trial 1 Trial 2
Clobetasol Propionate

(N=178)
Vehicle

(N=89)
Clobetasol Propionate

(N=176)
Vehicle

(N=89)
Day 15 (primary endpoint) 30.2% 9.0% 30.1% 9.7%
Day 8 (secondary endpoint) 15.7% 5.6% 14.2% 1.6%

4 Contraindications (4 CONTRAINDICATIONS)

None.

6 Adverse Reactions (6 ADVERSE REACTIONS)

The most common adverse reaction (incidence ≥ 1%) is application site discoloration. (6.1)

To report SUSPECTED ADVERSE REACTIONS, contact INA Pharmaceutics, Inc. at 1-866-835-0469 or FDA at 1-800-FDA-1088 or

www.fda.gov/medwatch.

12.2 Pharmacodynamics

Vasoconstrictor Assay

Clobetasol Propionate Cream, 0.025% is in the high range of potency as demonstrated in vasoconstrictor studies in healthy subjects when compared with other topical corticosteroids. However, similar blanching scores do not necessarily imply therapeutic equivalence.

Hypothalamic-Pituitary-Adrenal (HPA) Axis Suppression:

HPA axis suppression was evaluated in a clinical trial in adult subjects (N=24) with moderate to severe plaque psoriasis involving a mean BSA of 26.5 +8.6%. Treatment consisted of twice daily application of Clobetasol Propionate Cream, 0.025% for 15 days. Adrenal suppression, as indicated by a 30-minute post-stimulation cortisol level ≤18 mcg/dL, was observed in 3 out of 24 subjects (12.5%) after 15 days.

12.3 Pharmacokinetics

Topical corticosteroids can be absorbed from intact healthy skin. The extent of percutaneous absorption of topical corticosteroids is determined by many factors, including the product formulation and the integrity of the epidermal barrier. Occlusion, inflammation, and/or other disease processes in the skin may also increase percutaneous absorption. Once absorbed through the skin, topical corticosteroids are metabolized, primarily in the liver, and are then excreted by the kidneys. Some corticosteroids and their metabolites are also excreted in the bile.

In a pharmacokinetic study in 24 adult male and female subjects with moderate to severe psoriasis were treated twice daily for 15 days with a mean dose of approximately 3.7 g of Clobetasol Propionate Cream, 0.025% per application to a mean BSA of 26.5 ± 8.6%. On day 15, the mean + SD pre-treatment and post-treatment systemic concentrations of clobetasol propionate were 50.7 ± 96.0 pg/mL and 56.3 ± 104.7 pg/mL, respectively.

Indications and Usage (INDICATIONS AND USAGE)

Clobetasol Propionate Cream is a corticosteroid indicated for the treatment of moderate to severe plaque psoriasis in patients 18 years of age and older. (1)

12.1 Mechanism of Action

Corticosteroids play a role in cellular signaling, immune function, inflammation, and protein regulation; however, the precise mechanism of action in corticosteroid responsive dermatoses is unknown. The contribution to efficacy by individual components of the vehicle has not been established.

5 Warnings and Precautions (5 WARNINGS AND PRECAUTIONS)

• Clobetasol propionate has been shown to suppress the HPA axis at the dose tested. (5.1)

• Cushing’s syndrome, hyperglycemia, and glucosuria can also result from systemic absorption of topical corticosteroids. (5.1)

• Systemic absorption may require periodic evaluation for HPA axis suppression. Modify use if HPA axis suppression develops. (5.1)

• Children may be more susceptible to systemic toxicity from use of topical corticosteroids. (5.1, 8.4)

• Local adverse reactions with topical corticosteroids may occur more frequently with the use of occlusive dressings, prolonged use, or use

of higher potency corticosteroids, including clobetasol propionate.

These reactions include: irritation, dryness, acneiform eruptions, hypertrichosis, hypopigmentation, perioral dermatitis, allergic contact

dermatitis, secondary infection, striae and miliaria. (5.1, 6.2)

2 Dosage and Administration (2 DOSAGE AND ADMINISTRATION)

Apply a thin layer of Clobetasol Propionate Cream to the affected skin areas twice daily and rub in gently and completely. Wash hands after

each application. Use Clobetasol Propionate Cream for up to 2 consecutive weeks of treatment. (2)

• Discontinue Clobetasol Propionate Cream when control is achieved. (2)

• The total dosage should not exceed 50 g per week. (2)

• Do not use if atrophy is present at the treatment site. (2)

• Do not bandage, cover, or wrap the treated skin area unless directed by a physician. (2)

• Avoid use on the face, scalp, axilla, groin, or other intertriginous areas. (2)

• Clobetasol Propionate Cream is for topical use only. It is not for

oral, ophthalmic, or intravaginal use. (2)

3 Dosage Forms and Strengths (3 DOSAGE FORMS AND STRENGTHS)

Cream, 0.025% each gram contains 0.25 mg of clobetasol propionate in a white to off-white cream base.

6.2 Postmarketing Experience

The following adverse reactions have been identified during post-approval use of clobetasol propionate: striae, irritation, dryness, acneiform eruptions, hypopigmentation, perioral dermatitis, allergic contact dermatitis, secondary infection, hypertrichosis and miliaria. Because these reactions are reported voluntarily from a population of uncertain size, it is not always possible to reliably estimate their frequency or establish a causal relationship to drug exposure.

6.1 Clinical Trials Experience

Because clinical trials are conducted under widely varying conditions, adverse reaction rates observed in the clinical trials of a drug cannot be directly compared to rates in the clinical trials of another drug and may not reflect the rates observed in practice.



Clobetasol Propionate Cream was evaluated in two randomized, multicenter, prospective, vehicle-controlled clinical trials in subjects with moderate to severe plaque psoriasis. Subjects applied Clobetasol Propionate Cream or vehicle cream twice daily for 14 days. A total of 354 subjects applied Clobetasol Propionate Cream and 178 subjects applied vehicle.



The adverse reaction that occurred in at least 1% of subjects treated with Clobetasol Propionate Cream and at a higher incidence than in subjects treated with vehicle cream was application site discoloration (2% versus 1%).



Less common local adverse events occurring in < 1% of subjects treated with Clobetasol Propionate Cream were application site atrophy, telangiectasia and rash.

5.3 Concomitant Skin Infections

Use an appropriate antimicrobial agent if a skin infection is present or develops. If a favorable response does not occur promptly, discontinue use of Clobetasol Propionate Cream until the infection has been adequately treated.

5.4 Allergic Contact Dermatitis

Allergic contact dermatitis with corticosteroids is usually diagnosed by observing failure to heal rather than noting a clinical exacerbation. Such an observation should be corroborated with appropriate diagnostic patch testing. If irritation develops, discontinue the topical corticosteroid and institute appropriate therapy.

17 Patient Counseling Information (17 PATIENT COUNSELING INFORMATION)

Advise the patient to read the FDA-approved patient labeling ( Patient Information)

Pregnancy

Advise pregnant women of the potential risk to a fetus and to use Clobetasol Propionate Cream on the smallest area of skin and for the shortest duration possible [see Use in Specific Populations (8.1)] .

Lactation

Advise a woman to use Clobetasol Propionate cream on the smallest area of skin and for the shortest duration possible while breastfeeding. Advise breastfeeding women not to apply Clobetasol Propionate Cream directly to the nipple and areola to avoid direct infant exposure [see Use in Specific Populations (8.2)] .

Important Administration Instructions

Instruct patients to discontinue Clobetasol Propionate Cream when psoriasis is controlled. Clobetasol Propionate Cream should not be used for longer than 2 weeks. Advise patients to contact the physician if no improvement is seen within 2 weeks. Inform patients that total dosage should not exceed 50 grams per week [see Dosage and Administration (2) ].

Instruct patients to avoid bandaging, wrapping or otherwise occluding the treatment area(s) unless directed by physician. Advise patients to avoid use on the face, scalp, groin, or axillae [see Dosage and Administration (2) ].

Inform patients that Clobetasol Propionate Cream is for external use only. Advise patients that Clobetasol Propionate Cream is not for ophthalmic, oral or intravaginal use. Patients should wash their hands after applying the medication [see Dosage and Administration (2)] .

Do not use other corticosteroid-containing products while using Clobetasol Propionate Cream.

Effects on Endocrine System

Clobetasol Propionate Cream may cause HPA axis suppression. Advise patients that use of topical corticosteroids, including Clobetasol Propionate Cream, may require periodic evaluation for HPA axis suppression. Topical corticosteroids may have other endocrine effects. Concomitant use of multiple corticosteroid-containing products may increase the total systemic exposure to topical corticosteroids. Patients should inform their physician(s) that they are using Clobetasol Propionate Cream if surgery is contemplated [see Warnings and Precautions (5.1)] .

Local Adverse Reactions

Informed patients that topical corticosteroids may cause local adverse reactions, some of which may be irreversible. These reactions may be more likely to occur with occlusive use, prolonged use or use of higher potency corticosteroids, including Clobetasol Propionate Cream [see Warnings and Precautions (5.2)] . Patients should report any sign of local or systemic adverse reactions to their physician.

Manufactured for:

INA Pharmaceutics, Inc.,

Fairmont, WV 26554

Revised: 01/2025

22542-01

5.1 Effects On the Endocrine System (5.1 Effects on the Endocrine System)

Clobetasol Propionate Cream can cause reversible hypothalamic-pituitary-adrenal (HPA) axis suppression with the potential for glucocorticosteroid insufficiency. This may occur during treatment or after withdrawal of treatment. Because of the potential for systemic absorption, use of topical corticosteroids, including Clobetasol Propionate Cream, may require that patients be evaluated periodically for evidence of HPA axis suppression.

Factors that predispose a patient to HPA axis suppression include the use of high-potency steroids, large treatment surface areas, prolonged use, use of occlusive dressings, altered skin barrier, liver failure, and young age.



Evaluation for HPA axis suppression may be done by using the adrenocorticotropic hormone (ACTH) stimulation test. In a trial evaluating the effects of Clobetasol Propionate Cream on the HPA axis, subjects with plaque psoriasis applied Clobetasol Propionate Cream twice daily to at least 20% of involved Body Surface Area (BSA) for 15 days. Abnormal ACTH stimulation tests suggestive of HPA axis suppression were seen in 3

of 24 (12.5%) subjects on Clobetasol Propionate Cream [see Clinical Pharmacology (12.2)]. In another trial to evaluate the effects of Clobetasol Propionate Cream on the HPA axis, subjects with moderate to severe plaque psoriasis applied Clobetasol Propionate Cream twice daily to at least 25% of involved BSA for 28 consecutive days. Abnormal ACTH stimulation test suggestive of HPA axis suppression was seen in 8 of 26 (30.8%) of

subjects on Clobetasol Propionate Cream.



If HPA axis suppression is documented, gradually withdraw the drug, reduce the frequency of application, or substitute with a less potent corticosteroid. If signs and symptoms of steroid withdrawal occur, supplemental systemic corticosteroids may be required. Recovery of HPA axis function is generally prompt and complete upon discontinuation of topical corticosteroids.

Systemic effects of topical corticosteroids may also manifest as Cushing’s syndrome, hyperglycemia, and glucosuria. These complications are rare and generally occur after prolonged exposure to larger than recommended doses, particularly with high-potency topical corticosteroids.

Use of more than one corticosteroid-containing product at the same time may increase the total systemic exposure to topical corticosteroids.

Minimize the unwanted risks from endocrine effects by mitigating risk factors favoring increased systemic bioavailability and by using the product as recommended [see Dosage and Administration (2)].



Pediatric patients may be more susceptible to systemic toxicity because of their larger skin surface to body mass ratios [see Use in Specific Populations (8.4)].

5.2 Local Adverse Reactions With Topical Corticosteroids (5.2 Local Adverse Reactions with Topical Corticosteroids)

Local adverse reactions from topical corticosteroids may include atrophy, striae, telangiectasias, burning, itching, irritation, dryness, folliculitis, acneiform eruptions, hypopigmentation, perioral dermatitis, allergic contact dermatitis, secondary infection, and miliaria. These may be more likely to occur with occlusive use, prolonged use, or use of higher potency corticosteroids, including Clobetasol Propionate Cream. Some local

adverse reactions may be irreversible.

13.1 Carcinogenesis, Mutagenesis, Impairment of Fertility

Long term animal studies have not been performed to evaluate the carcinogenic potential of clobetasol propionate cream.

In a 13-week repeat dose toxicity study in rats, topical administration of clobetasol propionate cream, 0.001, 0.005 and 0.025% at corresponding doses of 0.004, 0.02 and 0.1 mg/kg/day resulted in corticosteroid class-related systemic effects such as reductions in body weight gain, reductions in total leukocytes and individual white cells, decrease in weight of adrenals, thymus, spleen, liver and lung. Histologically, there were decreased hematopoiesis in the bone marrow, thymic atrophy and mast cell infiltration of the mesenteric lymph nodes. All these effects were indicative of severe immune suppression consistent with long-term exposure to corticosteroids. A no observable adverse effect level (NOAEL) was determined to be clobetasol propionate cream, 0.001% (0.004 mg/kg/day) in male rats while a NOAEL could not be determined in females. The clinical relevance of the findings in animals to humans is not clear, but sustained glucocorticoid-related immune suppression may increase the risk of infection and possibly the risk of carcinogenesis.

Clobetasol propionate was not mutagenic in three different test systems: the Ames test, the Saccharomyces cerevisiae gene conversion assay, and the E. coli B WP2 fluctuation test.

Fertility studies conducted in the rat following subcutaneous administration of clobetasol propionate at dosage levels up to 0.05 mg/kg/day revealed that females exhibited an increase in the number of resorbed embryos and a decrease in the number of living fetuses at the highest dose.


Advanced Ingredient Data


Raw Label Data

All Sections (JSON)