These Highlights Do Not Include All The Information Needed To Use Jantoven Safely And Effectively. See Full Prescribing Information For Jantoven.

These Highlights Do Not Include All The Information Needed To Use Jantoven Safely And Effectively. See Full Prescribing Information For Jantoven.
SPL v13
SPL
SPL Set ID 19a69a72-ac5d-45d5-a94d-a5aaecbe4730
Route
ORAL
Published
Effective Date 2017-06-01
Document Type 34391-3 HUMAN PRESCRIPTION DRUG LABEL

Drug Facts

Composition & Product

Active Ingredients
Warfarin (1 mg)
Inactive Ingredients
Lactose Monohydrate Magnesium Stearate Povidone, Unspecified Starch, Corn Fd&c Red No. 40 Fd&c Blue No. 2 D&c Yellow No. 10 Fd&c Blue No. 1 Brown Iron Oxide Fd&c Yellow No. 6 Ferric Oxide Yellow Ferrosoferric Oxide

Identifiers & Packaging

Pill Appearance
Imprint: WRF;10;832 Shape: round Color: pink Color: purple Color: green Color: brown Color: blue Color: orange Color: turquoise Color: yellow Color: white Size: 9 mm Score: 2
Marketing Status
ANDA Active Since 2010-02-23

Description

Warfarin Sodium can cause major or fatal bleeding [see Warnings and Precautions (5.1) ]. Perform regular monitoring of INR in all treated patients [see Dosage and Administration (2.1) ]. Drugs, dietary changes, and other factors affect INR levels achieved with Warfarin Sodium therapy [see Drug Interactions (7) ]. Instruct patients about prevention measures to minimize risk of bleeding and to report signs and symptoms of bleeding [see Patient Counseling Information (17) ].

Indications and Usage

JANTOVEN ® is indicated for: Prophylaxis and treatment of venous thrombosis and its extension, pulmonary embolism (PE). Prophylaxis and treatment of thromboembolic complications associated with atrial fibrillation (AF) and/or cardiac valve replacement. Reduction in the risk of death, recurrent myocardial infarction (MI), and thromboembolic events such as stroke or systemic embolization after myocardial infarction. Limitations of Use Warfarin Sodium has no direct effect on an established thrombus, nor does it reverse ischemic tissue damage. Once a thrombus has occurred, however, the goals of anticoagulant treatment are to prevent further extension of the formed clot and to prevent secondary thromboembolic complications that may result in serious and possibly fatal sequelae.

Dosage and Administration

Individualize dosing regimen for each patient, and adjust based on INR response. ( 2.1 , 2.2 ) Knowledge of genotype can inform initial dose selection. ( 2.3 ) Monitoring: Obtain daily INR determinations upon initiation until stable in the therapeutic range. Obtain subsequent INR determinations every 1 to 4 weeks. ( 2.4 ) Review conversion instructions from other anticoagulants. ( 2.8 )

Warnings and Precautions

Tissue necrosis: Necrosis or gangrene of skin or other tissues can occur, with severe cases requiring debridement or amputation. Discontinue JANTOVEN and consider alternative anticoagulants if necessary. ( 5.2 ) Calciphylaxis: Fatal and serious cases have occurred. Discontinue JANTOVEN and consider alternative anticoagulation therapy. ( 5.3 ) Acute kidney injury may occur during episodes of excessive anticoagulation and hematuria. ( 5.4 ) Systemic atheroemboli and cholesterol microemboli: Some cases have progressed to necrosis or death. Discontinue JANTOVEN if such emboli occur. ( 5.5 ) Heparin-induced thrombocytopenia (HIT): Initial therapy with Warfarin Sodium in HIT has resulted in cases of amputation and death. Warfarin Sodium may be considered after platelet count has normalized. ( 5.6 ) Pregnant women with mechanical heart valves: Warfarin Sodium may cause fetal harm; however, the benefits may outweigh the risks. ( 5.7 )

Contraindications

JANTOVEN is contraindicated in: Pregnancy JANTOVEN is contraindicated in women who are pregnant except in pregnant women with mechanical heart valves, who are at high risk of thromboembolism [see Warnings and Precautions (5.7) and Use in Specific Populations (8.1) ]. JANTOVEN can cause fetal harm when administered to a pregnant woman. JANTOVEN exposure during pregnancy causes a recognized pattern of major congenital malformations (warfarin embryopathy and fetotoxicity), fatal fetal hemorrhage, and an increased risk of spontaneous abortion and fetal mortality. If JANTOVEN is used during pregnancy or if the patient becomes pregnant while taking this drug, the patient should be apprised of the potential hazard to a fetus [see Use in Specific Populations (8.1) ]. JANTOVEN is contraindicated in patients with: Hemorrhagic tendencies or blood dyscrasias Recent or contemplated surgery of the central nervous system or eye, or traumatic surgery resulting in large open surfaces [see Warnings and Precautions (5.8) ] Bleeding tendencies associated with: Active ulceration or overt bleeding of the gastrointestinal, genitourinary, or respiratory tract Central nervous system hemorrhage Cerebral aneurysms, dissecting aorta Pericarditis and pericardial effusions Bacterial endocarditis Threatened abortion, eclampsia, and preeclampsia Unsupervised patients with conditions associated with potential high level of non-compliance Spinal puncture and other diagnostic or therapeutic procedures with potential for uncontrollable bleeding Hypersensitivity to warfarin or to any other components of this product (e.g., anaphylaxis) [see Adverse Reactions (6) ] Major regional or lumbar block anesthesia Malignant hypertension

Adverse Reactions

The following serious adverse reactions to JANTOVEN are discussed in greater detail in other sections of the labeling: Hemorrhage [see Boxed Warning , Warnings and Precautions (5.1) , and Overdosage (10) ] Tissue Necrosis [see Warnings and Precautions (5.2) ] Calciphylaxis [see Warnings and Precautions (5.3) ] Acute Kidney Injury [see Warnings and Precautions (5.4) ] Systemic Atheroemboli and Cholesterol Microemboli [see Warnings and Precautions (5.5) ] Limb Ischemia, Necrosis, and Gangrene in Patients with HIT and HITTS [see Warnings and Precautions (5.6) ] Other Clinical Settings with Increased Risks [see Warnings and Precautions (5.8) ] Other adverse reactions to JANTOVEN include: Immune system disorders: hypersensitivity/allergic reactions (including urticaria and anaphylactic reactions) Vascular disorders: vasculitis Hepatobiliary disorders: hepatitis, elevated liver enzymes. Cholestatic hepatitis has been associated with concomitant administration of warfarin sodium and ticlopidine. Gastrointestinal disorders: nausea, vomiting, diarrhea, taste perversion, abdominal pain, flatulence, bloating Skin disorders: rash, dermatitis (including bullous eruptions), pruritus, alopecia Respiratory disorders: tracheal or tracheobronchial calcification General disorders: chills

Drug Interactions

Concomitant use of drugs that increase bleeding risk, antibiotics, antifungals, botanical (herbal) products, and inhibitors and inducers of CYP2C9, 1A2, or 3A4. ( 7 ) Consult labeling of all concurrently used drugs for complete information about interactions with JANTOVEN or increased risks for bleeding. ( 7 )

Storage and Handling

Tablets JANTOVEN tablets are single scored, compressed tablets with one side scored and debossed with WRF above the score and 1, 2, 2½, 3, 4, 5, 6, 7½, or 10 below the score and with 832 debossed on the opposite side. JANTOVEN is available in bottles and unit dose blister packages with potencies and colors as follows: 1 mg – Compressed tablet, pink, round; in bottles of 100 (NDC 0832-1211-00) and 1000 (NDC 0832-1211-10) and in unit dose cartons of 100 tablets (10 cards containing 10 tablets each) (NDC 0832-1211-01). 2 mg – Compressed tablet, lavender, round; in bottles of 100 (NDC 0832-1212-00) and 1000 (NDC 0832-1212-10) and in unit dose cartons of 100 tablets (10 cards containing 10 tablets each) (NDC 0832-1212-01). 2½ mg – Compressed tablet, green, round; in bottles of 100 (NDC 0832-1213-00) and 1000 (NDC 0832-1213-10) and in unit dose cartons of 100 tablets (10 cards containing 10 tablets each) (NDC 0832-1213-01). 3 mg – Compressed tablet, tan, round; in bottles of 100 (NDC 0832-1214-00) and 1000 (NDC 0832-1214-10) and in unit dose cartons of 100 tablets (10 cards containing 10 tablets each) (NDC 0832-1214-01). 4 mg – Compressed tablet, blue, round; in bottles of 100 (NDC 0832-1215-00) and 1000 (NDC 0832-1215-10) and in unit dose cartons of 100 tablets (10 cards containing 10 tablets each) (NDC 0832-1215-01). 5 mg – Compressed tablet, peach, round; in bottles of 100 (NDC 0832-1216-00) and 1000 (NDC 0832-1216-10) and in unit dose cartons of 100 tablets (10 cards containing 10 tablets each) (NDC 0832-1216-01). 6 mg – Compressed tablet, teal, round; in bottles of 100 (NDC 0832-1217-00) and 1000 (NDC 0832-1217-10) and in unit dose cartons of 100 tablets (10 cards containing 10 tablets each) (NDC 0832-1217-01). 7½ mg – Compressed tablet, yellow, round; in bottles of 100 (NDC 0832-1218-00) and 500 (NDC 0832-1218-50) and in unit dose cartons of 100 tablets (10 cards containing 10 tablets each) (NDC 0832-1218-01). 10 mg – Compressed tablet, white (dye-free), round; in bottles of 100 (NDC 0832-1219-00) and 500 (NDC 0832-1219-50) and in unit dose cartons of 100 tablets (10 cards containing 10 tablets each) (NDC 0832-1219-01). Store at 20° to 25°C (68° to 77°F). Excursions permitted to 15° to 30°C (59° to 86°F). [See USP Controlled Room Temperature.] Protect from light and moisture. Dispense in a tight, light-resistant container with a child-resistant closure.

How Supplied

Tablets JANTOVEN tablets are single scored, compressed tablets with one side scored and debossed with WRF above the score and 1, 2, 2½, 3, 4, 5, 6, 7½, or 10 below the score and with 832 debossed on the opposite side. JANTOVEN is available in bottles and unit dose blister packages with potencies and colors as follows: 1 mg – Compressed tablet, pink, round; in bottles of 100 (NDC 0832-1211-00) and 1000 (NDC 0832-1211-10) and in unit dose cartons of 100 tablets (10 cards containing 10 tablets each) (NDC 0832-1211-01). 2 mg – Compressed tablet, lavender, round; in bottles of 100 (NDC 0832-1212-00) and 1000 (NDC 0832-1212-10) and in unit dose cartons of 100 tablets (10 cards containing 10 tablets each) (NDC 0832-1212-01). 2½ mg – Compressed tablet, green, round; in bottles of 100 (NDC 0832-1213-00) and 1000 (NDC 0832-1213-10) and in unit dose cartons of 100 tablets (10 cards containing 10 tablets each) (NDC 0832-1213-01). 3 mg – Compressed tablet, tan, round; in bottles of 100 (NDC 0832-1214-00) and 1000 (NDC 0832-1214-10) and in unit dose cartons of 100 tablets (10 cards containing 10 tablets each) (NDC 0832-1214-01). 4 mg – Compressed tablet, blue, round; in bottles of 100 (NDC 0832-1215-00) and 1000 (NDC 0832-1215-10) and in unit dose cartons of 100 tablets (10 cards containing 10 tablets each) (NDC 0832-1215-01). 5 mg – Compressed tablet, peach, round; in bottles of 100 (NDC 0832-1216-00) and 1000 (NDC 0832-1216-10) and in unit dose cartons of 100 tablets (10 cards containing 10 tablets each) (NDC 0832-1216-01). 6 mg – Compressed tablet, teal, round; in bottles of 100 (NDC 0832-1217-00) and 1000 (NDC 0832-1217-10) and in unit dose cartons of 100 tablets (10 cards containing 10 tablets each) (NDC 0832-1217-01). 7½ mg – Compressed tablet, yellow, round; in bottles of 100 (NDC 0832-1218-00) and 500 (NDC 0832-1218-50) and in unit dose cartons of 100 tablets (10 cards containing 10 tablets each) (NDC 0832-1218-01). 10 mg – Compressed tablet, white (dye-free), round; in bottles of 100 (NDC 0832-1219-00) and 500 (NDC 0832-1219-50) and in unit dose cartons of 100 tablets (10 cards containing 10 tablets each) (NDC 0832-1219-01). Store at 20° to 25°C (68° to 77°F). Excursions permitted to 15° to 30°C (59° to 86°F). [See USP Controlled Room Temperature.] Protect from light and moisture. Dispense in a tight, light-resistant container with a child-resistant closure.


Medication Information

Warnings and Precautions

Tissue necrosis: Necrosis or gangrene of skin or other tissues can occur, with severe cases requiring debridement or amputation. Discontinue JANTOVEN and consider alternative anticoagulants if necessary. ( 5.2 ) Calciphylaxis: Fatal and serious cases have occurred. Discontinue JANTOVEN and consider alternative anticoagulation therapy. ( 5.3 ) Acute kidney injury may occur during episodes of excessive anticoagulation and hematuria. ( 5.4 ) Systemic atheroemboli and cholesterol microemboli: Some cases have progressed to necrosis or death. Discontinue JANTOVEN if such emboli occur. ( 5.5 ) Heparin-induced thrombocytopenia (HIT): Initial therapy with Warfarin Sodium in HIT has resulted in cases of amputation and death. Warfarin Sodium may be considered after platelet count has normalized. ( 5.6 ) Pregnant women with mechanical heart valves: Warfarin Sodium may cause fetal harm; however, the benefits may outweigh the risks. ( 5.7 )

Indications and Usage

JANTOVEN ® is indicated for: Prophylaxis and treatment of venous thrombosis and its extension, pulmonary embolism (PE). Prophylaxis and treatment of thromboembolic complications associated with atrial fibrillation (AF) and/or cardiac valve replacement. Reduction in the risk of death, recurrent myocardial infarction (MI), and thromboembolic events such as stroke or systemic embolization after myocardial infarction. Limitations of Use Warfarin Sodium has no direct effect on an established thrombus, nor does it reverse ischemic tissue damage. Once a thrombus has occurred, however, the goals of anticoagulant treatment are to prevent further extension of the formed clot and to prevent secondary thromboembolic complications that may result in serious and possibly fatal sequelae.

Dosage and Administration

Individualize dosing regimen for each patient, and adjust based on INR response. ( 2.1 , 2.2 ) Knowledge of genotype can inform initial dose selection. ( 2.3 ) Monitoring: Obtain daily INR determinations upon initiation until stable in the therapeutic range. Obtain subsequent INR determinations every 1 to 4 weeks. ( 2.4 ) Review conversion instructions from other anticoagulants. ( 2.8 )

Contraindications

JANTOVEN is contraindicated in: Pregnancy JANTOVEN is contraindicated in women who are pregnant except in pregnant women with mechanical heart valves, who are at high risk of thromboembolism [see Warnings and Precautions (5.7) and Use in Specific Populations (8.1) ]. JANTOVEN can cause fetal harm when administered to a pregnant woman. JANTOVEN exposure during pregnancy causes a recognized pattern of major congenital malformations (warfarin embryopathy and fetotoxicity), fatal fetal hemorrhage, and an increased risk of spontaneous abortion and fetal mortality. If JANTOVEN is used during pregnancy or if the patient becomes pregnant while taking this drug, the patient should be apprised of the potential hazard to a fetus [see Use in Specific Populations (8.1) ]. JANTOVEN is contraindicated in patients with: Hemorrhagic tendencies or blood dyscrasias Recent or contemplated surgery of the central nervous system or eye, or traumatic surgery resulting in large open surfaces [see Warnings and Precautions (5.8) ] Bleeding tendencies associated with: Active ulceration or overt bleeding of the gastrointestinal, genitourinary, or respiratory tract Central nervous system hemorrhage Cerebral aneurysms, dissecting aorta Pericarditis and pericardial effusions Bacterial endocarditis Threatened abortion, eclampsia, and preeclampsia Unsupervised patients with conditions associated with potential high level of non-compliance Spinal puncture and other diagnostic or therapeutic procedures with potential for uncontrollable bleeding Hypersensitivity to warfarin or to any other components of this product (e.g., anaphylaxis) [see Adverse Reactions (6) ] Major regional or lumbar block anesthesia Malignant hypertension

Adverse Reactions

The following serious adverse reactions to JANTOVEN are discussed in greater detail in other sections of the labeling: Hemorrhage [see Boxed Warning , Warnings and Precautions (5.1) , and Overdosage (10) ] Tissue Necrosis [see Warnings and Precautions (5.2) ] Calciphylaxis [see Warnings and Precautions (5.3) ] Acute Kidney Injury [see Warnings and Precautions (5.4) ] Systemic Atheroemboli and Cholesterol Microemboli [see Warnings and Precautions (5.5) ] Limb Ischemia, Necrosis, and Gangrene in Patients with HIT and HITTS [see Warnings and Precautions (5.6) ] Other Clinical Settings with Increased Risks [see Warnings and Precautions (5.8) ] Other adverse reactions to JANTOVEN include: Immune system disorders: hypersensitivity/allergic reactions (including urticaria and anaphylactic reactions) Vascular disorders: vasculitis Hepatobiliary disorders: hepatitis, elevated liver enzymes. Cholestatic hepatitis has been associated with concomitant administration of warfarin sodium and ticlopidine. Gastrointestinal disorders: nausea, vomiting, diarrhea, taste perversion, abdominal pain, flatulence, bloating Skin disorders: rash, dermatitis (including bullous eruptions), pruritus, alopecia Respiratory disorders: tracheal or tracheobronchial calcification General disorders: chills

Drug Interactions

Concomitant use of drugs that increase bleeding risk, antibiotics, antifungals, botanical (herbal) products, and inhibitors and inducers of CYP2C9, 1A2, or 3A4. ( 7 ) Consult labeling of all concurrently used drugs for complete information about interactions with JANTOVEN or increased risks for bleeding. ( 7 )

Storage and Handling

Tablets JANTOVEN tablets are single scored, compressed tablets with one side scored and debossed with WRF above the score and 1, 2, 2½, 3, 4, 5, 6, 7½, or 10 below the score and with 832 debossed on the opposite side. JANTOVEN is available in bottles and unit dose blister packages with potencies and colors as follows: 1 mg – Compressed tablet, pink, round; in bottles of 100 (NDC 0832-1211-00) and 1000 (NDC 0832-1211-10) and in unit dose cartons of 100 tablets (10 cards containing 10 tablets each) (NDC 0832-1211-01). 2 mg – Compressed tablet, lavender, round; in bottles of 100 (NDC 0832-1212-00) and 1000 (NDC 0832-1212-10) and in unit dose cartons of 100 tablets (10 cards containing 10 tablets each) (NDC 0832-1212-01). 2½ mg – Compressed tablet, green, round; in bottles of 100 (NDC 0832-1213-00) and 1000 (NDC 0832-1213-10) and in unit dose cartons of 100 tablets (10 cards containing 10 tablets each) (NDC 0832-1213-01). 3 mg – Compressed tablet, tan, round; in bottles of 100 (NDC 0832-1214-00) and 1000 (NDC 0832-1214-10) and in unit dose cartons of 100 tablets (10 cards containing 10 tablets each) (NDC 0832-1214-01). 4 mg – Compressed tablet, blue, round; in bottles of 100 (NDC 0832-1215-00) and 1000 (NDC 0832-1215-10) and in unit dose cartons of 100 tablets (10 cards containing 10 tablets each) (NDC 0832-1215-01). 5 mg – Compressed tablet, peach, round; in bottles of 100 (NDC 0832-1216-00) and 1000 (NDC 0832-1216-10) and in unit dose cartons of 100 tablets (10 cards containing 10 tablets each) (NDC 0832-1216-01). 6 mg – Compressed tablet, teal, round; in bottles of 100 (NDC 0832-1217-00) and 1000 (NDC 0832-1217-10) and in unit dose cartons of 100 tablets (10 cards containing 10 tablets each) (NDC 0832-1217-01). 7½ mg – Compressed tablet, yellow, round; in bottles of 100 (NDC 0832-1218-00) and 500 (NDC 0832-1218-50) and in unit dose cartons of 100 tablets (10 cards containing 10 tablets each) (NDC 0832-1218-01). 10 mg – Compressed tablet, white (dye-free), round; in bottles of 100 (NDC 0832-1219-00) and 500 (NDC 0832-1219-50) and in unit dose cartons of 100 tablets (10 cards containing 10 tablets each) (NDC 0832-1219-01). Store at 20° to 25°C (68° to 77°F). Excursions permitted to 15° to 30°C (59° to 86°F). [See USP Controlled Room Temperature.] Protect from light and moisture. Dispense in a tight, light-resistant container with a child-resistant closure.

How Supplied

Tablets JANTOVEN tablets are single scored, compressed tablets with one side scored and debossed with WRF above the score and 1, 2, 2½, 3, 4, 5, 6, 7½, or 10 below the score and with 832 debossed on the opposite side. JANTOVEN is available in bottles and unit dose blister packages with potencies and colors as follows: 1 mg – Compressed tablet, pink, round; in bottles of 100 (NDC 0832-1211-00) and 1000 (NDC 0832-1211-10) and in unit dose cartons of 100 tablets (10 cards containing 10 tablets each) (NDC 0832-1211-01). 2 mg – Compressed tablet, lavender, round; in bottles of 100 (NDC 0832-1212-00) and 1000 (NDC 0832-1212-10) and in unit dose cartons of 100 tablets (10 cards containing 10 tablets each) (NDC 0832-1212-01). 2½ mg – Compressed tablet, green, round; in bottles of 100 (NDC 0832-1213-00) and 1000 (NDC 0832-1213-10) and in unit dose cartons of 100 tablets (10 cards containing 10 tablets each) (NDC 0832-1213-01). 3 mg – Compressed tablet, tan, round; in bottles of 100 (NDC 0832-1214-00) and 1000 (NDC 0832-1214-10) and in unit dose cartons of 100 tablets (10 cards containing 10 tablets each) (NDC 0832-1214-01). 4 mg – Compressed tablet, blue, round; in bottles of 100 (NDC 0832-1215-00) and 1000 (NDC 0832-1215-10) and in unit dose cartons of 100 tablets (10 cards containing 10 tablets each) (NDC 0832-1215-01). 5 mg – Compressed tablet, peach, round; in bottles of 100 (NDC 0832-1216-00) and 1000 (NDC 0832-1216-10) and in unit dose cartons of 100 tablets (10 cards containing 10 tablets each) (NDC 0832-1216-01). 6 mg – Compressed tablet, teal, round; in bottles of 100 (NDC 0832-1217-00) and 1000 (NDC 0832-1217-10) and in unit dose cartons of 100 tablets (10 cards containing 10 tablets each) (NDC 0832-1217-01). 7½ mg – Compressed tablet, yellow, round; in bottles of 100 (NDC 0832-1218-00) and 500 (NDC 0832-1218-50) and in unit dose cartons of 100 tablets (10 cards containing 10 tablets each) (NDC 0832-1218-01). 10 mg – Compressed tablet, white (dye-free), round; in bottles of 100 (NDC 0832-1219-00) and 500 (NDC 0832-1219-50) and in unit dose cartons of 100 tablets (10 cards containing 10 tablets each) (NDC 0832-1219-01). Store at 20° to 25°C (68° to 77°F). Excursions permitted to 15° to 30°C (59° to 86°F). [See USP Controlled Room Temperature.] Protect from light and moisture. Dispense in a tight, light-resistant container with a child-resistant closure.

Description

Warfarin Sodium can cause major or fatal bleeding [see Warnings and Precautions (5.1) ]. Perform regular monitoring of INR in all treated patients [see Dosage and Administration (2.1) ]. Drugs, dietary changes, and other factors affect INR levels achieved with Warfarin Sodium therapy [see Drug Interactions (7) ]. Instruct patients about prevention measures to minimize risk of bleeding and to report signs and symptoms of bleeding [see Patient Counseling Information (17) ].

Section 42229-5

Venous Thromboembolism (including deep venous thrombosis [DVT] and PE)

Adjust the warfarin dose to maintain a target INR of 2.5 (INR range, 2.0 to 3.0) for all treatment durations. The duration of treatment is based on the indication as follows:

  • For patients with a DVT or PE secondary to a transient (reversible) risk factor, treatment with warfarin for 3 months is recommended.
  • For patients with an unprovoked DVT or PE, treatment with warfarin is recommended for at least 3 months. After 3 months of therapy, evaluate the risk-benefit ratio of long-term treatment for the individual patient.
  • For patients with two episodes of unprovoked DVT or PE, long-term treatment with warfarin is recommended. For a patient receiving long-term anticoagulant treatment, periodically reassess the risk-benefit ratio of continuing such treatment in the individual patient.
Section 42231-1
MEDICATION GUIDE

JANTOVEN ®(JAN-to-ven) Tablets

(Warfarin Sodium Tablets, USP)
This Medication Guide has been approved by the U.S. Food and Drug Administration.
Revised 0917

What is the most important information I should know about JANTOVEN?

JANTOVEN can cause bleeding which can be serious and sometimes lead to death. This is because JANTOVEN is a blood thinner medicine that lowers the chance of blood clots forming in your body.
  • You may have a higher risk of bleeding if you take JANTOVEN and:
    • are 65 years of age or older
    • have a history of stomach or intestinal bleeding
    • have high blood pressure (hypertension)
    • have a history of stroke, or "mini-stroke" (transient ischemic attack or TIA)
    • have serious heart disease
    • have a low blood count or cancer
    • have had trauma, such as an accident or surgery
    • have kidney problems
    • take other medicines that increase your risk of bleeding, including:
      • a medicine that contains heparin
      • other medicines to prevent or treat blood clots
      • nonsteroidal anti-inflammatory drugs (NSAIDs)
    • take warfarin sodium for a long time. Warfarin sodium is the active ingredient in JANTOVEN.
Tell your healthcare provider if you take any of these medicines. Ask your healthcare provider if you are not sure if your medicine is one listed above.
Many other medicines can interact with JANTOVEN and affect the dose you need or increase JANTOVEN side effects. Do not change or stop any of your medicines or start any new medicines before you talk to your healthcare provider.
Do not take other medicines that contain warfarin sodium while taking JANTOVEN.
  • Get your regular blood test to check for your response to JANTOVEN.This blood test is called an INR test. The INR test checks to see how fast your blood clots. Your healthcare provider will decide what INR numbers are best for you. Your dose of JANTOVEN will be adjusted to keep your INR in a target range for you.
  • Call your healthcare provider right away if you get any of the following signs or symptoms of bleeding problems:
    • pain, swelling, or discomfort
    • headaches, dizziness, or weakness
    • unusual bruising (bruises that develop without known cause or grow in size)
    • nosebleeds
    • bleeding gums
    • bleeding from cuts takes a long time to stop
    • menstrual bleeding or vaginal bleeding that is heavier than normal
    • pink or brown urine
    • red or black stools
    • coughing up blood
    • vomiting blood or material that looks like coffee grounds
  • Some foods and beverages can interact with JANTOVEN and affect your treatment and dose.
    • Eat a normal, balanced diet. Talk to your healthcare provider before you make any diet changes. Do not eat large amounts of leafy, green vegetables. Leafy, green vegetables contain vitamin K. Certain vegetable oils also contain large amounts of vitamin K. Too much vitamin K can lower the effect of JANTOVEN.
  • Always tell all of your healthcare providers that you take JANTOVEN.
  • Wear or carry information that you take JANTOVEN.
See " What are the possible side effects of JANTOVEN?" for more information about side effects.
What is JANTOVEN?
JANTOVEN is prescription medicine used to treat blood clots and to lower the chance of blood clots forming in your body. Blood clots can cause a stroke, heart attack, or other serious conditions if they form in the legs or lungs.

Who should not take JANTOVEN?

Do not take JANTOVEN if:
  • your risk of having bleeding problems is higher than the possible benefit of treatment.Your healthcare provider will decide if JANTOVEN is right for you.
  • you are pregnant unless you have a mechanical heart valve.JANTOVEN may cause birth defects, miscarriage, or death of your unborn baby.
  • you are allergic to warfarin or any of the other ingredients in JANTOVEN. See the end of this leaflet for a complete list of ingredients in JANTOVEN.
Before taking JANTOVEN, tell your healthcare provider about all of your medical conditions, including if you:
  • have bleeding problems
  • fall often
  • have liver problems
  • have kidney problems or are undergoing dialysis
  • have high blood pressure
  • have a heart problem called congestive heart failure
  • have diabetes
  • plan to have any surgery or a dental procedure
  • are pregnant or plan to become pregnant. See " Who should not take JANTOVEN?"
    • Your healthcare provider will do a pregnancy test before you start treatment with JANTOVEN. Females who can become pregnant should use effective birth control during treatment, and for at least 1 month after the last dose of JANTOVEN.
  • are breastfeeding. You and your healthcare provider should decide if you will take JANTOVEN and breastfeed. Check your baby for bruising or bleeding if you take JANTOVEN and breastfeed.
Tell all of your healthcare providers and dentists that you are taking JANTOVEN. They should talk to the healthcare provider who prescribed JANTOVEN for you before you have anysurgery or dental procedure. Your JANTOVEN may need to be stopped for a short time or you may need your dose adjusted.
Tell your healthcare provider about all the medicines you take,including prescription and over-the-counter medicines, vitamins, and herbal supplements. Some of your other medicines may affect the way JANTOVEN works. Certain medicines may increase your risk of bleeding.
See " What is the most important information I should know about JANTOVEN?"
How should I take JANTOVEN?
  • Take JANTOVEN exactly as prescribed.Your healthcare provider will adjust your dose from time to time depending on your response to JANTOVEN.
  • You must have regular blood tests and visits with your healthcare provider to monitor your condition.
  • If you miss a dose of JANTOVEN, call your healthcare provider.Take the dose as soon as possible on the same day. Do nottake a double dose of JANTOVEN the next day to make up for a missed dose.
  • Call your healthcare provider right away if you:
    • take too much JANTOVEN
    • are sick with diarrhea, an infection, or have a fever
    • fall or injure yourself, especially if you hit your head. Your healthcare provider may need to check you.
What should I avoid while taking JANTOVEN?
  • Do not do any activity or sport that may cause a serious injury.

What are the possible side effects of JANTOVEN?

JANTOVEN may cause serious side effects, including:
  • See " What is the most important information I should know about JANTOVEN?"
    • Death of skin tissue (skin necrosis or gangrene).This can happen soon after starting JANTOVEN. It happens because blood clots form and block blood flow to an area of your body. Call your healthcare provider right away if you have pain, color, or temperature change to any area of your body. You may need medical care right away to prevent death or loss (amputation) of your affected body part.
    • Kidney problems.Kidney injury may happen in people who take JANTOVEN. Tell your healthcare provider right away if you develop blood in your urine. Your healthcare provider may do tests more often during treatment with JANTOVEN to check for bleeding if you already have kidney problems.
    • "Purple toes syndrome."Call your healthcare provider right away if you have pain in your toes and they look purple in color or dark in color.
These are not all of the side effects of JANTOVEN. For more information, ask your healthcare provider or pharmacist.
Call your doctor for medical advice about side effects. You may report side effects to FDA at 1-800-FDA-1088.
How should I store JANTOVEN?
  • Store JANTOVEN at 20° to 25°C (68° to 77°F). Excursions permitted to 15° to 30°C (59° to 86°F). [See USP Controlled Room Temperature.]
  • Keep JANTOVEN in a tightly closed container, and keep JANTOVEN out of the light and moisture.
  • Follow your healthcare provider or pharmacist instructions about the right way to throw away outdated or unused JANTOVEN.
  • Females who are pregnant should not handle crushed or broken JANTOVEN tablets.
Keep JANTOVEN and all medicines out of the reach of children.
General information about the safe and effective use of JANTOVEN.
Medicines are sometimes prescribed for purposes other than those listed in a Medication Guide. Do not use JANTOVEN for a condition for which it was not prescribed. Do not give JANTOVEN to other people, even if they have the same symptoms that you have. It may harm them. You can ask your healthcare provider or pharmacist for information about JANTOVEN that is written for health professionals.
What are the ingredients in JANTOVEN Tablets?
Active ingredient: Warfarin Sodium, USP
Inactive ingredients: Lactose monohydrate, magnesium stearate, povidone, and pregelatinized starch (corn). The following tablets contain:
1 mg: FD&C Red #40 Aluminum Lake
2 mg: FD&C Blue #2 Aluminum Lake and FD&C Red #40 Aluminum Lake
2½ mg: D&C Yellow #10 Aluminum Lake and FD&C Blue #1 Aluminum Lake
3 mg: Brown #75 Synthetic Brown Iron Oxide
4 mg: FD&C Blue #1 Aluminum Lake
5 mg: FD&C Yellow #6 Aluminum Lake
6 mg: Yellow #10 Synthetic Yellow Iron Oxide, Black #85 Synthetic Black Iron Oxide and FD&C Blue #1 Aluminum Lake
7½ mg: D&C Yellow #10 Aluminum Lake and FD&C Yellow #6 Aluminum Lake
10 mg: Dye Free
For Medication Guides, please visit www.upsher-smith.com or call 1-888-650-3789.
The brands listed (other than JANTOVEN ®) are registered trademarks of their respective owners and are not trademarks of Upsher-Smith Laboratories, LLC.
JANTOVEN is a registered trademark of Upsher-Smith Laboratories, LLC.
Manufactured by

UPSHER-SMITH LABORATORIES, LLC

Maple Grove, MN 55369
Section 43683-2
Dosage and Administration, Renal Impairment ( 2.5) 5/2017
Warnings and Precautions, Calciphylaxis ( 5.3) 9/2016
Warnings and Precautions, Acute kidney injury ( 5.4) 5/2017
15 References

OSHA Hazardous Drugs. OSHA. http://www.osha.gov/SLTC/hazardousdrugs/index.html.

10.2 Treatment

The treatment of excessive anticoagulation is based on the level of the INR, the presence or absence of bleeding, and clinical circumstances. Reversal of JANTOVEN anticoagulation may be obtained by discontinuing JANTOVEN therapy and, if necessary, by administration of oral or parenteral vitamin K 1.

The use of vitamin K 1reduces response to subsequent JANTOVEN therapy and patients may return to a pretreatment thrombotic status following the rapid reversal of a prolonged INR. Resumption of JANTOVEN administration reverses the effect of vitamin K, and a therapeutic INR can again be obtained by careful dosage adjustment. If rapid re-anticoagulation is indicated, heparin may be preferable for initial therapy.

Prothrombin complex concentrate (PCC), fresh frozen plasma, or activated Factor VII treatment may be considered if the requirement to reverse the effects of JANTOVEN is urgent. A risk of hepatitis and other viral diseases is associated with the use of blood products; PCC and activated Factor VII are also associated with an increased risk of thrombosis. Therefore, these preparations should be used only in exceptional or life-threatening bleeding episodes secondary to JANTOVEN overdosage.

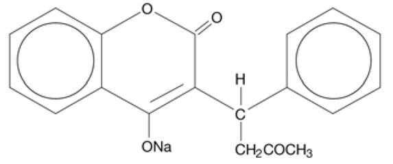
11 Description

JANTOVEN (Warfarin Sodium Tablets, USP) is an anticoagulant that acts by inhibiting vitamin K-dependent coagulation factors. The chemical name of warfarin sodium is 3-(α-acetonylbenzyl)-4-hydroxycoumarin sodium salt, which is a racemic mixture of the R- and S-enantiomers. Crystalline warfarin sodium is an isopropanol clathrate. Its empirical formula is C 19H 15NaO 4, and its structural formula is represented by the following:

Crystalline warfarin sodium occurs as a white, odorless, crystalline powder that is discolored by light. It is very soluble in water, freely soluble in alcohol, and very slightly soluble in chloroform and ether.

JANTOVEN tablets for oral use contain: 1 mg, 2 mg, 2½ mg, 3 mg, 4 mg, 5 mg, 6 mg, 7½ mg or 10 mg of warfarin sodium, USP. They also contain:

All strengths: Lactose monohydrate, magnesium stearate, povidone, and pregelatinized starch (corn).
1 mg: FD&C Red #40 Aluminum Lake
2 mg: FD&C Blue #2 Aluminum Lake and FD&C Red #40 Aluminum Lake
2½ mg: D&C Yellow #10 Aluminum Lake and FD&C Blue #1 Aluminum Lake
3 mg: Brown #75 Synthetic Brown Iron Oxide
4 mg: FD&C Blue #1 Aluminum Lake
5 mg: FD&C Yellow #6 Aluminum Lake
6 mg: Yellow #10 Synthetic Yellow Iron Oxide, Black #85 Synthetic Black Iron Oxide and FD&C Blue #1 Aluminum Lake
7½ mg: D&C Yellow #10 Aluminum Lake and FD&C Yellow #6 Aluminum Lake
10 mg: Dye Free
5.1 Hemorrhage

JANTOVEN can cause major or fatal bleeding. Bleeding is more likely to occur within the first month. Risk factors for bleeding include high intensity of anticoagulation (INR >4.0), age greater than or equal to 65, history of highly variable INRs, history of gastrointestinal bleeding, hypertension, cerebrovascular disease, anemia, malignancy, trauma, renal impairment, certain genetic factors [see Clinical Pharmacology (12.5) ], certain concomitant drugs [see Drug Interactions (7) ], and long duration of warfarin therapy.

Perform regular monitoring of INR in all treated patients. Those at high risk of bleeding may benefit from more frequent INR monitoring, careful dose adjustment to desired INR, and a shortest duration of therapy appropriate for the clinical condition. However, maintenance of INR in the therapeutic range does not eliminate the risk of bleeding.

Drugs, dietary changes, and other factors affect INR levels achieved with JANTOVEN therapy. Perform more frequent INR monitoring when starting or stopping other drugs, including botanicals, or when changing dosages of other drugs [see Drug Interactions (7) ].

Instruct patients about prevention measures to minimize risk of bleeding and to report signs and symptoms of bleeding [see Patient Counseling Information (17) ].

2.6 Missed Dose

The anticoagulant effect of JANTOVEN persists beyond 24 hours. If a patient misses a dose of JANTOVEN at the intended time of day, the patient should take the dose as soon as possible on the same day. The patient should not double the dose the next day to make up for a missed dose.

5.3 Calciphylaxis

JANTOVEN can cause fatal and serious calciphylaxis or calcium uremic arteriolopathy, which has been reported in patients with and without end-stage renal disease. When calciphylaxis is diagnosed in these patients, discontinue JANTOVEN and treat calciphylaxis as appropriate. Consider alternative anticoagulation therapy.

8.4 Pediatric Use

Adequate and well-controlled studies with warfarin sodium have not been conducted in any pediatric population, and the optimum dosing, safety, and efficacy in pediatric patients is unknown. Pediatric use of warfarin sodium is based on adult data and recommendations, and available limited pediatric data from observational studies and patient registries. Pediatric patients administered JANTOVEN should avoid any activity or sport that may result in traumatic injury.

The developing hemostatic system in infants and children results in a changing physiology of thrombosis and response to anticoagulants. Dosing of warfarin in the pediatric population varies by patient age, with infants generally having the highest, and adolescents having the lowest milligram per kilogram dose requirements to maintain target INRs. Because of changing warfarin requirements due to age, concomitant medications, diet, and existing medical condition, target INR ranges may be difficult to achieve and maintain in pediatric patients, and more frequent INR determinations are recommended. Bleeding rates varied by patient population and clinical care center in pediatric observational studies and patient registries.

Infants and children receiving vitamin K-supplemented nutrition, including infant formulas, may be resistant to warfarin therapy, while human milk-fed infants may be sensitive to warfarin therapy.

8.5 Geriatric Use

Of the total number of patients receiving warfarin sodium in controlled clinical trials for which data were available for analysis, 1885 patients (24.4%) were 65 years and older, while 185 patients (2.4%) were 75 years and older. No overall differences in effectiveness or safety were observed between these patients and younger patients, but greater sensitivity of some older individuals cannot be ruled out.

Patients 60 years or older appear to exhibit greater than expected INR response to the anticoagulant effects of warfarin [see Clinical Pharmacology (12.3) ]. JANTOVEN is contraindicated in any unsupervised patient with senility. Conduct more frequent monitoring for bleeding with administration of JANTOVEN to elderly patients in any situation or with any physical condition where added risk of hemorrhage is present. Consider lower initiation and maintenance doses of JANTOVEN in elderly patients [see Dosage and Administration (2.2, 2.3) ].

4 Contraindications

JANTOVEN is contraindicated in:

  • Pregnancy

JANTOVEN is contraindicated in women who are pregnant except in pregnant women with mechanical heart valves, who are at high risk of thromboembolism [see Warnings and Precautions (5.7) and Use in Specific Populations (8.1) ]. JANTOVEN can cause fetal harm when administered to a pregnant woman. JANTOVEN exposure during pregnancy causes a recognized pattern of major congenital malformations (warfarin embryopathy and fetotoxicity), fatal fetal hemorrhage, and an increased risk of spontaneous abortion and fetal mortality. If JANTOVEN is used during pregnancy or if the patient becomes pregnant while taking this drug, the patient should be apprised of the potential hazard to a fetus [see Use in Specific Populations (8.1) ].

JANTOVEN is contraindicated in patients with:

  • Hemorrhagic tendencies or blood dyscrasias
  • Recent or contemplated surgery of the central nervous system or eye, or traumatic surgery resulting in large open surfaces [see Warnings and Precautions (5.8) ]
  • Bleeding tendencies associated with:
    • Active ulceration or overt bleeding of the gastrointestinal, genitourinary, or respiratory tract
    • Central nervous system hemorrhage
    • Cerebral aneurysms, dissecting aorta
    • Pericarditis and pericardial effusions
    • Bacterial endocarditis
  • Threatened abortion, eclampsia, and preeclampsia
  • Unsupervised patients with conditions associated with potential high level of non-compliance
  • Spinal puncture and other diagnostic or therapeutic procedures with potential for uncontrollable bleeding
  • Hypersensitivity to warfarin or to any other components of this product (e.g., anaphylaxis) [see Adverse Reactions (6) ]
  • Major regional or lumbar block anesthesia
  • Malignant hypertension
5.2 Tissue Necrosis

JANTOVEN can cause necrosis and/or gangrene of skin and other tissues, which is an uncommon but serious risk (<0.1%). Necrosis may be associated with local thrombosis and usually appears within a few days of the start of JANTOVEN therapy. In severe cases of necrosis, treatment through debridement or amputation of the affected tissue, limb, breast, or penis has been reported.

Careful clinical evaluation is required to determine whether necrosis is caused by an underlying disease. Although various treatments have been attempted, no treatment for necrosis has been considered uniformly effective. Discontinue JANTOVEN therapy if necrosis occurs. Consider alternative drugs if continued anticoagulation therapy is necessary.

6 Adverse Reactions

The following serious adverse reactions to JANTOVEN are discussed in greater detail in other sections of the labeling:

Other adverse reactions to JANTOVEN include:

  • Immune system disorders: hypersensitivity/allergic reactions (including urticaria and anaphylactic reactions)
  • Vascular disorders: vasculitis
  • Hepatobiliary disorders: hepatitis, elevated liver enzymes. Cholestatic hepatitis has been associated with concomitant administration of warfarin sodium and ticlopidine.
  • Gastrointestinal disorders: nausea, vomiting, diarrhea, taste perversion, abdominal pain, flatulence, bloating
  • Skin disorders: rash, dermatitis (including bullous eruptions), pruritus, alopecia
  • Respiratory disorders: tracheal or tracheobronchial calcification
  • General disorders: chills
7 Drug Interactions
  • Concomitant use of drugs that increase bleeding risk, antibiotics, antifungals, botanical (herbal) products, and inhibitors and inducers of CYP2C9, 1A2, or 3A4. ( 7)
  • Consult labeling of all concurrently used drugs for complete information about interactions with JANTOVEN or increased risks for bleeding. ( 7)
2.5 Renal Impairment

No dosage adjustment is necessary for patients with renal failure. Monitor INR more frequently in patients with compromised renal function to maintain INR within the therapeutic range [see Warnings and Precautions (5.4)and Use in Specific Populations (8.6)].

8.6 Renal Impairment

Renal clearance is considered to be a minor determinant of anticoagulant response to warfarin. No dosage adjustment is necessary for patients with renal impairment. Instruct patients with renal impairment taking warfarin to monitor their INR more frequently [see Warnings and Precautions (5.4) ]

12.2 Pharmacodynamics

An anticoagulation effect generally occurs within 24 hours after warfarin administration. However, peak anticoagulant effect may be delayed 72 to 96 hours. The duration of action of a single dose of racemic warfarin is 2 to 5 days. The effects of JANTOVEN may become more pronounced as effects of daily maintenance doses overlap. This is consistent with the half-lives of the affected vitamin K-dependent clotting factors and anticoagulation proteins: Factor II – 60 hours, VII – 4 to 6 hours, IX – 24 hours, X – 48 to 72 hours, and proteins C and S are approximately 8 hours and 30 hours, respectively.

12.3 Pharmacokinetics

JANTOVEN is a racemic mixture of the R- and S-enantiomers of warfarin. The S-enantiomer exhibits 2 to 5 times more anticoagulant activity than the R-enantiomer in humans, but generally has a more rapid clearance.

8.7 Hepatic Impairment

Hepatic impairment can potentiate the response to warfarin through impaired synthesis of clotting factors and decreased metabolism of warfarin. Conduct more frequent monitoring for bleeding when using JANTOVEN in these patients.

Warning: Bleeding Risk
1 Indications and Usage

JANTOVEN ®is indicated for:

  • Prophylaxis and treatment of venous thrombosis and its extension, pulmonary embolism (PE).
  • Prophylaxis and treatment of thromboembolic complications associated with atrial fibrillation (AF) and/or cardiac valve replacement.
  • Reduction in the risk of death, recurrent myocardial infarction (MI), and thromboembolic events such as stroke or systemic embolization after myocardial infarction.

Limitations of Use

Warfarin Sodium has no direct effect on an established thrombus, nor does it reverse ischemic tissue damage. Once a thrombus has occurred, however, the goals of anticoagulant treatment are to prevent further extension of the formed clot and to prevent secondary thromboembolic complications that may result in serious and possibly fatal sequelae.

10.1 Signs and Symptoms

Bleeding (e.g., appearance of blood in stools or urine, hematuria, excessive menstrual bleeding, melena, petechiae, excessive bruising or persistent oozing from superficial injuries, unexplained fall in hemoglobin) is a manifestation of excessive anticoagulation.

5.4 Acute Kidney Injury

In patients with altered glomerular integrity or with a history of kidney disease, acute kidney injury may occur with JANTOVEN, possibly in relation to episodes of excessive anticoagulation and hematuria [ see Use in Specific Populations (8.6) ]. More frequent monitoring of anticoagulation is advised in patients with compromised renal function.

7.1 General Information

Drugs may interact with JANTOVEN through pharmacodynamic or pharmacokinetic mechanisms. Pharmacodynamic mechanisms for drug interactions with JANTOVEN are synergism (impaired hemostasis, reduced clotting factor synthesis), competitive antagonism (vitamin K), and alteration of the physiologic control loop for vitamin K metabolism (hereditary resistance). Pharmacokinetic mechanisms for drug interactions with JANTOVEN are mainly enzyme induction, enzyme inhibition, and reduced plasma protein binding. It is important to note that some drugs may interact by more than one mechanism.

More frequent INR monitoring should be performed when starting or stopping other drugs, including botanicals, or when changing dosages of other drugs, including drugs intended for short-term use (e.g., antibiotics, antifungals, corticosteroids) [see Boxed Warning ].

Consult the labeling of all concurrently used drugs to obtain further information about interactions with JANTOVEN or adverse reactions pertaining to bleeding.

7.2 Cyp450 Interactions

CYP450 isozymes involved in the metabolism of warfarin include CYP2C9, 2C19, 2C8, 2C18, 1A2, and 3A4. The more potent warfarin S-enantiomer is metabolized by CYP2C9 while the R-enantiomer is metabolized by CYP1A2 and 3A4.

  • Inhibitors of CYP2C9, 1A2, and/or 3A4 have the potential to increase the effect (increase INR) of warfarin by increasing the exposure of warfarin.
  • Inducers of CYP2C9, 1A2, and/or 3A4 have the potential to decrease the effect (decrease INR) of warfarin by decreasing the exposure of warfarin.

Examples of inhibitors and inducers of CYP2C9, 1A2, and 3A4 are below in Table 2; however, this list should not be considered all-inclusive. Consult the labeling of all concurrently used drugs to obtain further information about CYP450 interaction potential. The CYP450 inhibition and induction potential should be considered when starting, stopping, or changing dose of concomitant medications. Closely monitor INR if a concomitant drug is a CYP2C9, 1A2, and/or 3A4 inhibitor or inducer.

Table 2: Examples of CYP450 Interactions with Warfarin
Enzyme Inhibitors Inducers
CYP2C9 amiodarone, capecitabine, cotrimoxazole, etravirine, fluconazole, fluvastatin, fluvoxamine, metronidazole, miconazole, oxandrolone, sulfinpyrazone, tigecycline, voriconazole, zafirlukast aprepitant, bosentan, carbamazepine, phenobarbital, rifampin
CYP1A2 acyclovir, allopurinol, caffeine, cimetidine, ciprofloxacin, disulfiram, enoxacin, famotidine, fluvoxamine, methoxsalen, mexiletine, norfloxacin, oral contraceptives, phenylpropanolamine, propafenone, propranolol, terbinafine, thiabendazole, ticlopidine, verapamil, zileuton montelukast, moricizine, omeprazole, phenobarbital, phenytoin, cigarette smoking
CYP3A4 alprazolam, amiodarone, amlodipine, amprenavir, aprepitant, atorvastatin, atazanavir, bicalutamide, cilostazol, cimetidine, ciprofloxacin, clarithromycin, conivaptan, cyclosporine, darunavir/ritonavir, diltiazem, erythromycin, fluconazole, fluoxetine, fluvoxamine, fosamprenavir, imatinib, indinavir, isoniazid, itraconazole, ketoconazole, lopinavir/ritonavir, nefazodone, nelfinavir, nilotinib, oral contraceptives, posaconazole, ranitidine, ranolazine, ritonavir, saquinavir, telithromycin, tipranavir, voriconazole, zileuton armodafinil, amprenavir, aprepitant, bosentan, carbamazepine, efavirenz, etravirine, modafinil, nafcillin, phenytoin, pioglitazone, prednisone, rifampin, rufinamide
12.1 Mechanism of Action

Warfarin acts by inhibiting the synthesis of vitamin K-dependent clotting factors, which include Factors II, VII, IX, and X, and the anticoagulant proteins C and S. Vitamin K is an essential cofactor for the post ribosomal synthesis of the vitamin K-dependent clotting factors. Vitamin K promotes the biosynthesis of γ-carboxyglutamic acid residues in the proteins that are essential for biological activity. Warfarin is thought to interfere with clotting factor synthesis by inhibition of the C1 subunit of vitamin K epoxide reductase (VKORC1) enzyme complex, thereby reducing the regeneration of vitamin K 1epoxide [see Clinical Pharmacology (12.5) ].

14.1 Atrial Fibrillation

In five prospective, randomized, controlled clinical trials involving 3711 patients with non-rheumatic AF, warfarin significantly reduced the risk of systemic thromboembolism including stroke (see Table 4). The risk reduction ranged from 60% to 86% in all except one trial (CAFA: 45%), which was stopped early due to published positive results from two of these trials. The incidence of major bleeding in these trials ranged from 0.6% to 2.7% (see Table 4).

Table 4: Clinical Studies of Warfarin in Non-Rheumatic AF Patients
All study results of warfarin vs. control are based on intention-to-treat analysis and include ischemic stroke and systemic thromboembolism, excluding hemorrhagic stroke and transient ischemic attacks.
N Thromboembolism % Major Bleeding
Study Warfarin-Treated Patients Control Patients PT Ratio INR % Risk Reduction p-value Warfarin-Treated Patients Control Patients
AFASAK 335 336 1.5–2.0 2.8–4.2 60 0.027 0.6 0.0
SPAF 210 211 1.3–1.8 2.0–4.5 67 0.01 1.9 1.9
BAATAF 212 208 1.2–1.5 1.5–2.7 86 <0.05 0.9 0.5
CAFA 187 191 1.3–1.6 2.0–3.0 45 0.25 2.7 0.5
SPINAF 260 265 1.2–1.5 1.4–2.8 79 0.001 2.3 1.5

Trials in patients with both AF and mitral stenosis suggest a benefit from anticoagulation with warfarin sodium [see Dosage and Administration (2.2) ].

2.1 Individualized Dosing

The dosage and administration of JANTOVEN must be individualized for each patient according to the patient's International Normalized Ratio (INR) response to the drug. Adjust the dose based on the patient's INR and the condition being treated. Consult the latest evidence-based clinical practice guidelines regarding the duration and intensity of anticoagulation for the indicated conditions.

14.3 Myocardial Infarction

WARIS (The Warfarin Re-Infarction Study) was a double-blind, randomized study of 1214 patients 2 to 4 weeks post-infarction treated with warfarin to a target INR of 2.8 to 4.8. The primary endpoint was a composite of total mortality and recurrent infarction. A secondary endpoint of cerebrovascular events was assessed. Mean follow-up of the patients was 37 months. The results for each endpoint separately, including an analysis of vascular death, are provided in Table 7.

Table 7: WARIS – Endpoint Analysis of Separate Events
Event Warfarin

(N=607)
Placebo

(N=607)
RR (95% CI) % Risk Reduction

( p-value)
RR=Relative risk; Risk reduction=(1 – RR); CI=Confidence interval; MI=Myocardial infarction; py=patient years
Total Patient Years of Follow-up 2018 1944
Total Mortality 94 (4.7/100 py) 123 (6.3/100 py) 0.76 (0.60, 0.97) 24 (p=0.030)
  Vascular Death 82 (4.1/100 py) 105 (5.4/100 py) 0.78 (0.60, 1.02) 22 (p=0.068)
Recurrent MI 82 (4.1/100 py) 124 (6.4/100 py) 0.66 (0.51, 0.85) 34 (p=0.001)
Cerebrovascular Event 20 (1.0/100 py) 44 (2.3/100 py) 0.46 (0.28, 0.75) 54 (p=0.002)

WARIS II (The Warfarin, Aspirin, Re-Infarction Study) was an open-label, randomized study of 3630 patients hospitalized for acute myocardial infarction treated with warfarin to a target INR 2.8 to 4.2, aspirin 160 mg per day, or warfarin to a target INR 2.0 to 2.5 plus aspirin 75 mg per day prior to hospital discharge. The primary endpoint was a composite of death, nonfatal reinfarction, or thromboembolic stroke. The mean duration of observation was approximately 4 years. The results for WARIS II are provided in Table 8.

Table 8: WARIS II – Distribution of Events According to Treatment Group
Event Aspirin

(N=1206)
Warfarin

(N=1216)
Aspirin plus Warfarin

(N=1208)
Rate Ratio

(95% CI)
p-value
CI=confidence interval

ND=not determined
No. of Events
Major Bleeding
Major bleeding episodes were defined as nonfatal cerebral hemorrhage or bleeding necessitating surgical intervention or blood transfusion.
8 33 28 3.35
The rate ratio is for aspirin plus warfarin as compared with aspirin.
(ND)

4.00
The rate ratio is for warfarin as compared with aspirin.
(ND)
ND

ND
Minor Bleeding
Minor bleeding episodes were defined as non-cerebral hemorrhage not necessitating surgical intervention or blood transfusion.
39 103 133 3.21
(ND)

2.55
(ND)
ND

ND
Composite Endpoints
Includes death, nonfatal reinfarction, and thromboembolic cerebral stroke.
241 203 181 0.81 (0.69–0.95)


0.71 (0.60–0.83)
0.03

0.001
  Reinfarction 117 90 69 0.56 (0.41–0.78)


0.74 (0.55–0.98)
<0.001

0.03
  Thromboembolic Stroke 32 17 17 0.52 (0.28–0.98)


0.52 (0.28–0.97)
0.03

0.03
  Death 92 96 95 0.82

There were approximately four times as many major bleeding episodes in the two groups receiving warfarin than in the group receiving aspirin alone. Major bleeding episodes were not more frequent among patients receiving aspirin plus warfarin than among those receiving warfarin alone, but the incidence of minor bleeding episodes was higher in the combined therapy group.

5 Warnings and Precautions
  • Tissue necrosis: Necrosis or gangrene of skin or other tissues can occur, with severe cases requiring debridement or amputation. Discontinue JANTOVEN and consider alternative anticoagulants if necessary. ( 5.2)
  • Calciphylaxis: Fatal and serious cases have occurred. Discontinue JANTOVEN and consider alternative anticoagulation therapy. ( 5.3)
  • Acute kidney injury may occur during episodes of excessive anticoagulation and hematuria. ( 5.4)
  • Systemic atheroemboli and cholesterol microemboli: Some cases have progressed to necrosis or death. Discontinue JANTOVEN if such emboli occur. ( 5.5)
  • Heparin-induced thrombocytopenia (HIT): Initial therapy with Warfarin Sodium in HIT has resulted in cases of amputation and death. Warfarin Sodium may be considered after platelet count has normalized. ( 5.6)
  • Pregnant women with mechanical heart valves: Warfarin Sodium may cause fetal harm; however, the benefits may outweigh the risks. ( 5.7)
2 Dosage and Administration
  • Individualize dosing regimen for each patient, and adjust based on INR response. ( 2.1, 2.2)
  • Knowledge of genotype can inform initial dose selection. ( 2.3)
  • Monitoring: Obtain daily INR determinations upon initiation until stable in the therapeutic range. Obtain subsequent INR determinations every 1 to 4 weeks. ( 2.4)
  • Review conversion instructions from other anticoagulants. ( 2.8)
3 Dosage Forms and Strengths

JANTOVEN tablets are single scored, compressed tablets with one side scored and debossed with WRF above the score and 1, 2, 2½, 3, 4, 5, 6, 7½, or 10 below the score and with 832 debossed on the opposite side.

JANTOVEN tablets are supplied in the following strengths:

JANTOVEN Tablets
Strength Color
1 mg pink
2 mg lavender
2½ mg green
3 mg tan
4 mg blue
5 mg peach
6 mg teal
7½ mg yellow
10 mg white (dye free)
8 Use in Specific Populations
  • Pregnant women with mechanical heart valves: JANTOVEN may cause fetal harm; however, the benefits may outweigh the risks. ( 8.1)
  • Lactation: Monitor breastfeeding infants for bruising or bleeding. ( 8.2)
  • Renal Impairment: Instruct patients with renal impairment to frequently monitor their INR. ( 8.6)
7.4 Antibiotics and Antifungals

There have been reports of changes in INR in patients taking warfarin and antibiotics or antifungals, but clinical pharmacokinetic studies have not shown consistent effects of these agents on plasma concentrations of warfarin.

Closely monitor INR when starting or stopping any antibiotic or antifungal in patients taking warfarin.

17 Patient Counseling Information

Advise the patient to read the FDA-approved patient labeling (Medication Guide).

2.3 Initial and Maintenance Dosing

The appropriate initial dosing of JANTOVEN varies widely for different patients. Not all factors responsible for warfarin dose variability are known, and the initial dose is influenced by:

  • Clinical factors including age, race, body weight, sex, concomitant medications, and comorbidities
  • Genetic factors (CYP2C9 and VKORC1 genotypes) [see Clinical Pharmacology (12.5) ]

Select the initial dose based on the expected maintenance dose, taking into account the above factors. Modify this dose based on consideration of patient-specific clinical factors. Consider lower initial and maintenance doses for elderly and/or debilitated patients and in Asian patients [see Use in Specific Populations (8.5) and Clinical Pharmacology (12.3) ]. Routine use of loading doses is not recommended as this practice may increase hemorrhagic and other complications and does not offer more rapid protection against clot formation.

Individualize the duration of therapy for each patient. In general, anticoagulant therapy should be continued until the danger of thrombosis and embolism has passed [see Dosage and Administration (2.2) ].

16 How Supplied/storage and Handling

Tablets

JANTOVEN tablets are single scored, compressed tablets with one side scored and debossed with WRF above the score and 1, 2, 2½, 3, 4, 5, 6, 7½, or 10 below the score and with 832 debossed on the opposite side. JANTOVEN is available in bottles and unit dose blister packages with potencies and colors as follows:

1 mg – Compressed tablet, pink, round; in bottles of 100 (NDC 0832-1211-00) and 1000 (NDC 0832-1211-10) and in unit dose cartons of 100 tablets (10 cards containing 10 tablets each) (NDC 0832-1211-01).

2 mg – Compressed tablet, lavender, round; in bottles of 100 (NDC 0832-1212-00) and 1000 (NDC 0832-1212-10) and in unit dose cartons of 100 tablets (10 cards containing 10 tablets each) (NDC 0832-1212-01).

2½ mg – Compressed tablet, green, round; in bottles of 100 (NDC 0832-1213-00) and 1000 (NDC 0832-1213-10) and in unit dose cartons of 100 tablets (10 cards containing 10 tablets each) (NDC 0832-1213-01).

3 mg – Compressed tablet, tan, round; in bottles of 100 (NDC 0832-1214-00) and 1000 (NDC 0832-1214-10) and in unit dose cartons of 100 tablets (10 cards containing 10 tablets each) (NDC 0832-1214-01).

4 mg – Compressed tablet, blue, round; in bottles of 100 (NDC 0832-1215-00) and 1000 (NDC 0832-1215-10) and in unit dose cartons of 100 tablets (10 cards containing 10 tablets each) (NDC 0832-1215-01).

5 mg – Compressed tablet, peach, round; in bottles of 100 (NDC 0832-1216-00) and 1000 (NDC 0832-1216-10) and in unit dose cartons of 100 tablets (10 cards containing 10 tablets each) (NDC 0832-1216-01).

6 mg – Compressed tablet, teal, round; in bottles of 100 (NDC 0832-1217-00) and 1000 (NDC 0832-1217-10) and in unit dose cartons of 100 tablets (10 cards containing 10 tablets each) (NDC 0832-1217-01).

7½ mg – Compressed tablet, yellow, round; in bottles of 100 (NDC 0832-1218-00) and 500 (NDC 0832-1218-50) and in unit dose cartons of 100 tablets (10 cards containing 10 tablets each) (NDC 0832-1218-01).

10 mg – Compressed tablet, white (dye-free), round; in bottles of 100 (NDC 0832-1219-00) and 500 (NDC 0832-1219-50) and in unit dose cartons of 100 tablets (10 cards containing 10 tablets each) (NDC 0832-1219-01).

Store at 20° to 25°C (68° to 77°F). Excursions permitted to 15° to 30°C (59° to 86°F). [See USP Controlled Room Temperature.] Protect from light and moisture. Dispense in a tight, light-resistant container with a child-resistant closure.

5.9 Endogenous Factors Affecting Inr

The following factors may be responsible for increasedINR response: diarrhea, hepatic disorders, poor nutritional state, steatorrhea, or vitamin K deficiency.

The following factors may be responsible for decreasedINR response: increased vitamin K intake or hereditary warfarin resistance.

7.3 Drugs That Increase Bleeding Risk

Examples of drugs known to increase the risk of bleeding are presented in Table 3. Because bleeding risk is increased when these drugs are used concomitantly with warfarin, closely monitor patients receiving any such drug with warfarin.

Table 3: Drugs that Can Increase the Risk of Bleeding
Drug Class Specific Drugs
Anticoagulants argatroban, dabigatran, bivalirudin, desirudin, heparin, lepirudin
Antiplatelet Agents aspirin, cilostazol, clopidogrel, dipyridamole, prasugrel, ticlopidine
Nonsteroidal Anti-Inflammatory Agents celecoxib, diclofenac, diflunisal, fenoprofen, ibuprofen, indomethacin, ketoprofen, ketorolac, mefenamic acid, naproxen, oxaprozin, piroxicam, sulindac
Serotonin Reuptake Inhibitors citalopram, desvenlafaxine, duloxetine, escitalopram, fluoxetine, fluvoxamine, milnacipran, paroxetine, sertraline, venlafaxine, vilazodone
7.5 Botanical (herbal) Products and Foods

More frequent INR monitoring should be performed when starting or stopping botanicals.

Few adequate, well-controlled studies evaluating the potential for metabolic and/or pharmacologic interactions between botanicals and JANTOVEN exist. Due to a lack of manufacturing standardization with botanical medicinal preparations, the amount of active ingredients may vary. This could further confound the ability to assess potential interactions and effects on anticoagulation.

Some botanicals may cause bleeding events when taken alone (e.g., garlic and Ginkgo biloba) and may have anticoagulant, antiplatelet, and/or fibrinolytic properties. These effects would be expected to be additive to the anticoagulant effects of JANTOVEN. Conversely, some botanicals may decrease the effects of JANTOVEN (e.g., co-enzyme Q 10, St. John's wort, ginseng). Some botanicals and foods can interact with JANTOVEN through CYP450 interactions (e.g., echinacea, grapefruit juice, ginkgo, goldenseal, St. John's wort).

The amount of vitamin K in food may affect therapy with JANTOVEN. Advise patients taking JANTOVEN to eat a normal, balanced diet maintaining a consistent amount of vitamin K. Patients taking JANTOVEN should avoid drastic changes in dietary habits, such as eating large amounts of green leafy vegetables.

2.7 Treatment During Dentistry and Surgery

Some dental or surgical procedures may necessitate the interruption or change in the dose of JANTOVEN therapy. Consider the benefits and risks when discontinuing JANTOVEN even for a short period of time. Determine the INR immediately prior to any dental or surgical procedure. In patients undergoing minimally invasive procedures who must be anticoagulated prior to, during, or immediately following these procedures, adjusting the dosage of JANTOVEN to maintain the INR at the low end of the therapeutic range may safely allow for continued anticoagulation.

14.2 Mechanical and Bioprosthetic Heart Valves

In a prospective, randomized, open-label, positive-controlled study in 254 patients with mechanical prosthetic heart valves, the thromboembolic-free interval was found to be significantly greater in patients treated with warfarin alone compared with dipyridamole/aspirin-treated patients (p<0.005) and pentoxifylline/aspirin-treated patients (p<0.05). The results of this study are presented in Table 5.

Table 5: Prospective, Randomized, Open-Label, Positive-Controlled Clinical Study of Warfarin in Patients with Mechanical Prosthetic Heart Valves
Patients Treated With
Event Warfarin Dipyridamole/Aspirin Pentoxifylline/Aspirin
py=patient years
Thromboembolism 2.2/100 py 8.6/100 py 7.9/100 py
Major Bleeding 2.5/100 py 0.0/100 py 0.9/100 py

In a prospective, open-label, clinical study comparing moderate (INR 2.65) versus high intensity (INR 9.0) warfarin therapies in 258 patients with mechanical prosthetic heart valves, thromboembolism occurred with similar frequency in the two groups (4.0 and 3.7 events per 100 patient years, respectively). Major bleeding was more common in the high intensity group. The results of this study are presented in Table 6.

Table 6: Prospective, Open-Label Clinical Study of Warfarin in Patients with Mechanical Prosthetic Heart Valves
Event Moderate Warfarin Therapy

INR 2.65
High Intensity Warfarin Therapy

INR 9.0
py=patient years
Thromboembolism 4.0/100 py 3.7/100 py
Major Bleeding 0.95/100 py 2.1/100 py

In a randomized trial in 210 patients comparing two intensities of warfarin therapy (INR 2.0 to 2.25 vs. INR 2.5 to 4.0) for a three-month period following tissue heart valve replacement, thromboembolism occurred with similar frequency in the two groups (major embolic events 2.0% vs. 1.9%, respectively, and minor embolic events 10.8% vs. 10.2%, respectively). Major hemorrhages occurred in 4.6% of patients in the higher intensity INR group compared to zero in the lower intensity INR group.

5.8 Other Clinical Settings With Increased Risks

In the following clinical settings, the risks of JANTOVEN therapy may be increased:

  • Moderate to severe hepatic impairment
  • Infectious diseases or disturbances of intestinal flora (e.g., sprue, antibiotic therapy)
  • Use of an indwelling catheter
  • Severe to moderate hypertension
  • Deficiency in protein C-mediated anticoagulant response: JANTOVEN reduces the synthesis of the naturally occurring anticoagulants, protein C and protein S. Hereditary or acquired deficiencies of protein C or its cofactor, protein S, have been associated with tissue necrosis following warfarin administration. Concomitant anticoagulation therapy with heparin for 5 to 7 days during initiation of therapy with JANTOVEN may minimize the incidence of tissue necrosis in these patients.
  • Eye surgery: In cataract surgery, JANTOVEN use was associated with a significant increase in minor complications of sharp needle and local anesthesia block but not associated with potentially sight-threatening operative hemorrhagic complications. As JANTOVEN cessation or reduction may lead to serious thromboembolic complications, the decision to discontinue JANTOVEN before a relatively less invasive and complex eye surgery, such as lens surgery, should be based upon the risks of anticoagulant therapy weighed against the benefits.
  • Polycythemia vera
  • Vasculitis
  • Diabetes mellitus
2.4 Monitoring to Achieve Optimal Anticoagulation

JANTOVEN has a narrow therapeutic range (index), and its action may be affected by factors such as other drugs and dietary vitamin K. Therefore, anticoagulation must be carefully monitored during JANTOVEN therapy. Determine the INR daily after the administration of the initial dose until INR results stabilize in the therapeutic range. After stabilization, maintain dosing within the therapeutic range by performing periodic INRs. The frequency of performing INR should be based on the clinical situation but generally acceptable intervals for INR determinations are 1 to 4 weeks. Perform additional INR tests when other warfarin products are interchanged with JANTOVEN, as well as whenever other medications are initiated, discontinued, or taken irregularly. Heparin, a common concomitant drug, increases the INR [see Dosage and Administration (2.8) and Drug Interactions (7) ].

Determinations of whole blood clotting and bleeding times are not effective measures for monitoring of JANTOVEN therapy.

Principal Display Panel 1 Mg Tablet Bottle Label

NDC 0832-1211-00

JANTOVEN ®

Warfarin Sodium

Tablets, USP

1 mg

PHARMACIST: Dispense the Medication

Guide provided separately to each patient.

HIGHLY POTENT ANTICOAGULANT WARNING:

Serious bleeding results from overdosage. Do not

use or dispense before reading directions and

warnings in accompanying product information.

100 Tablets

Rx only

UPSHER-SMITH

Principal Display Panel 2 Mg Tablet Bottle Label

NDC 0832-1212-00

JANTOVEN ®

Warfarin Sodium

Tablets, USP

2 mg

PHARMACIST: Dispense the Medication

Guide provided separately to each patient.

HIGHLY POTENT ANTICOAGULANT WARNING:

Serious bleeding results from overdosage. Do not

use or dispense before reading directions and

warnings in accompanying product information.

100 Tablets

Rx only

UPSHER-SMITH

Principal Display Panel 3 Mg Tablet Bottle Label

NDC 0832-1214-00

JANTOVEN ®

Warfarin Sodium

Tablets, USP

3 mg

PHARMACIST: Dispense the Medication

Guide provided separately to each patient.

HIGHLY POTENT ANTICOAGULANT WARNING:

Serious bleeding results from overdosage. Do not

use or dispense before reading directions and

warnings in accompanying product information.

100 Tablets

Rx only

UPSHER-SMITH

Principal Display Panel 4 Mg Tablet Bottle Label

NDC 0832-1215-00

JANTOVEN ®

Warfarin Sodium

Tablets, USP

4 mg

PHARMACIST: Dispense the Medication

Guide provided separately to each patient.

HIGHLY POTENT ANTICOAGULANT WARNING:

Serious bleeding results from overdosage. Do not

use or dispense before reading directions and

warnings in accompanying product information.

100 Tablets

Rx only

UPSHER-SMITH

Principal Display Panel 5 Mg Tablet Bottle Label

NDC 0832-1216-00

JANTOVEN ®

Warfarin Sodium

Tablets, USP

5 mg

PHARMACIST: Dispense the Medication

Guide provided separately to each patient.

HIGHLY POTENT ANTICOAGULANT WARNING:

Serious bleeding results from overdosage. Do not

use or dispense before reading directions and

warnings in accompanying product information.

100 Tablets

Rx only

UPSHER-SMITH

Principal Display Panel 6 Mg Tablet Bottle Label

NDC 0832-1217-00

JANTOVEN ®

Warfarin Sodium

Tablets, USP

6 mg

PHARMACIST: Dispense the Medication

Guide provided separately to each patient.

HIGHLY POTENT ANTICOAGULANT WARNING:

Serious bleeding results from overdosage. Do not

use or dispense before reading directions and

warnings in accompanying product information.

100 Tablets

Rx only

UPSHER-SMITH

Principal Display Panel 10 Mg Tablet Bottle Label

NDC 0832-1219-50

JANTOVEN ®

Warfarin Sodium

Tablets, USP

10 mg

PHARMACIST: Dispense the Medication Guide

provided separately to each patient.

HIGHLY POTENT ANTICOAGULANT WARNING:

Serious bleeding results from overdosage. Do not use

or dispense before reading directions and warnings in

accompanying product information.

500 Tablets

Rx only

UPSHER-SMITH

Principal Display Panel 2½ Mg Tablet Bottle Label

NDC 0832-1213-00

JANTOVEN ®

Warfarin Sodium

Tablets, USP

2½ mg

PHARMACIST: Dispense the Medication

Guide provided separately to each patient.

HIGHLY POTENT ANTICOAGULANT WARNING:

Serious bleeding results from overdosage. Do not

use or dispense before reading directions and

warnings in accompanying product information.

100 Tablets

Rx only

UPSHER-SMITH

Principal Display Panel 7½ Mg Tablet Bottle Label

NDC 0832-1218-00

JANTOVEN ®

Warfarin Sodium

Tablets, USP

7½ mg

PHARMACIST: Dispense the Medication

Guide provided separately to each patient.

HIGHLY POTENT ANTICOAGULANT WARNING:

Serious bleeding results from overdosage. Do not

use or dispense before reading directions and

warnings in accompanying product information.

100 Tablets

Rx only

UPSHER-SMITH

5.5 Systemic Atheroemboli and Cholesterol Microemboli

Anticoagulation therapy with JANTOVEN may enhance the release of atheromatous plaque emboli. Systemic atheroemboli and cholesterol microemboli can present with a variety of signs and symptoms depending on the site of embolization. The most commonly involved visceral organs are the kidneys followed by the pancreas, spleen, and liver. Some cases have progressed to necrosis or death. A distinct syndrome resulting from microemboli to the feet is known as "purple toes syndrome." Discontinue JANTOVEN therapy if such phenomena are observed. Consider alternative drugs if continued anticoagulation therapy is necessary.

5.7 Use in Pregnant Women With Mechanical Heart Valves

JANTOVEN can cause fetal harm when administered to a pregnant woman. While JANTOVEN is contraindicated during pregnancy, the potential benefits of using JANTOVEN may outweigh the risks for pregnant women with mechanical heart valves at high risk of thromboembolism. In those individual situations, the decision to initiate or continue JANTOVEN should be reviewed with the patient, taking into consideration the specific risks and benefits pertaining to the individual patient's medical situation, as well as the most current medical guidelines. JANTOVEN exposure during pregnancy causes a recognized pattern of major congenital malformations (warfarin embryopathy and fetotoxicity), fatal fetal hemorrhage, and an increased risk of spontaneous abortion and fetal mortality. If this drug is used during pregnancy, or if the patient becomes pregnant while taking this drug, the patient should be apprised of the potential hazard to a fetus [see Use in Specific Populations (8.1) ].

13.1 Carcinogenesis, Mutagenesis, Impairment of Fertility

Carcinogenicity, mutagenicity, or fertility studies have not been performed with warfarin.

5.6 Limb Ischemia, Necrosis, and Gangrene in Patients With Hit and Hitts

Do not use JANTOVEN as initial therapy in patients with heparin-induced thrombocytopenia (HIT) and with heparin-induced thrombocytopenia with thrombosis syndrome (HITTS). Cases of limb ischemia, necrosis, and gangrene have occurred in patients with HIT and HITTS when heparin treatment was discontinued and warfarin therapy was started or continued. In some patients, sequelae have included amputation of the involved area and/or death. Treatment with JANTOVEN may be considered after the platelet count has normalized.

2.2 Recommended Target Inr Ranges and Durations for Individual Indications

An INR of greater than 4.0 appears to provide no additional therapeutic benefit in most patients and is associated with a higher risk of bleeding.


Structured Label Content

Section 42229-5 (42229-5)

Venous Thromboembolism (including deep venous thrombosis [DVT] and PE)

Adjust the warfarin dose to maintain a target INR of 2.5 (INR range, 2.0 to 3.0) for all treatment durations. The duration of treatment is based on the indication as follows:

  • For patients with a DVT or PE secondary to a transient (reversible) risk factor, treatment with warfarin for 3 months is recommended.
  • For patients with an unprovoked DVT or PE, treatment with warfarin is recommended for at least 3 months. After 3 months of therapy, evaluate the risk-benefit ratio of long-term treatment for the individual patient.
  • For patients with two episodes of unprovoked DVT or PE, long-term treatment with warfarin is recommended. For a patient receiving long-term anticoagulant treatment, periodically reassess the risk-benefit ratio of continuing such treatment in the individual patient.
Section 42231-1 (42231-1)
MEDICATION GUIDE

JANTOVEN ®(JAN-to-ven) Tablets

(Warfarin Sodium Tablets, USP)
This Medication Guide has been approved by the U.S. Food and Drug Administration.
Revised 0917

What is the most important information I should know about JANTOVEN?

JANTOVEN can cause bleeding which can be serious and sometimes lead to death. This is because JANTOVEN is a blood thinner medicine that lowers the chance of blood clots forming in your body.
  • You may have a higher risk of bleeding if you take JANTOVEN and:
    • are 65 years of age or older
    • have a history of stomach or intestinal bleeding
    • have high blood pressure (hypertension)
    • have a history of stroke, or "mini-stroke" (transient ischemic attack or TIA)
    • have serious heart disease
    • have a low blood count or cancer
    • have had trauma, such as an accident or surgery
    • have kidney problems
    • take other medicines that increase your risk of bleeding, including:
      • a medicine that contains heparin
      • other medicines to prevent or treat blood clots
      • nonsteroidal anti-inflammatory drugs (NSAIDs)
    • take warfarin sodium for a long time. Warfarin sodium is the active ingredient in JANTOVEN.
Tell your healthcare provider if you take any of these medicines. Ask your healthcare provider if you are not sure if your medicine is one listed above.
Many other medicines can interact with JANTOVEN and affect the dose you need or increase JANTOVEN side effects. Do not change or stop any of your medicines or start any new medicines before you talk to your healthcare provider.
Do not take other medicines that contain warfarin sodium while taking JANTOVEN.
  • Get your regular blood test to check for your response to JANTOVEN.This blood test is called an INR test. The INR test checks to see how fast your blood clots. Your healthcare provider will decide what INR numbers are best for you. Your dose of JANTOVEN will be adjusted to keep your INR in a target range for you.
  • Call your healthcare provider right away if you get any of the following signs or symptoms of bleeding problems:
    • pain, swelling, or discomfort
    • headaches, dizziness, or weakness
    • unusual bruising (bruises that develop without known cause or grow in size)
    • nosebleeds
    • bleeding gums
    • bleeding from cuts takes a long time to stop
    • menstrual bleeding or vaginal bleeding that is heavier than normal
    • pink or brown urine
    • red or black stools
    • coughing up blood
    • vomiting blood or material that looks like coffee grounds
  • Some foods and beverages can interact with JANTOVEN and affect your treatment and dose.
    • Eat a normal, balanced diet. Talk to your healthcare provider before you make any diet changes. Do not eat large amounts of leafy, green vegetables. Leafy, green vegetables contain vitamin K. Certain vegetable oils also contain large amounts of vitamin K. Too much vitamin K can lower the effect of JANTOVEN.
  • Always tell all of your healthcare providers that you take JANTOVEN.
  • Wear or carry information that you take JANTOVEN.
See " What are the possible side effects of JANTOVEN?" for more information about side effects.
What is JANTOVEN?
JANTOVEN is prescription medicine used to treat blood clots and to lower the chance of blood clots forming in your body. Blood clots can cause a stroke, heart attack, or other serious conditions if they form in the legs or lungs.

Who should not take JANTOVEN?

Do not take JANTOVEN if:
  • your risk of having bleeding problems is higher than the possible benefit of treatment.Your healthcare provider will decide if JANTOVEN is right for you.
  • you are pregnant unless you have a mechanical heart valve.JANTOVEN may cause birth defects, miscarriage, or death of your unborn baby.
  • you are allergic to warfarin or any of the other ingredients in JANTOVEN. See the end of this leaflet for a complete list of ingredients in JANTOVEN.
Before taking JANTOVEN, tell your healthcare provider about all of your medical conditions, including if you:
  • have bleeding problems
  • fall often
  • have liver problems
  • have kidney problems or are undergoing dialysis
  • have high blood pressure
  • have a heart problem called congestive heart failure
  • have diabetes
  • plan to have any surgery or a dental procedure
  • are pregnant or plan to become pregnant. See " Who should not take JANTOVEN?"
    • Your healthcare provider will do a pregnancy test before you start treatment with JANTOVEN. Females who can become pregnant should use effective birth control during treatment, and for at least 1 month after the last dose of JANTOVEN.
  • are breastfeeding. You and your healthcare provider should decide if you will take JANTOVEN and breastfeed. Check your baby for bruising or bleeding if you take JANTOVEN and breastfeed.
Tell all of your healthcare providers and dentists that you are taking JANTOVEN. They should talk to the healthcare provider who prescribed JANTOVEN for you before you have anysurgery or dental procedure. Your JANTOVEN may need to be stopped for a short time or you may need your dose adjusted.
Tell your healthcare provider about all the medicines you take,including prescription and over-the-counter medicines, vitamins, and herbal supplements. Some of your other medicines may affect the way JANTOVEN works. Certain medicines may increase your risk of bleeding.
See " What is the most important information I should know about JANTOVEN?"
How should I take JANTOVEN?
  • Take JANTOVEN exactly as prescribed.Your healthcare provider will adjust your dose from time to time depending on your response to JANTOVEN.
  • You must have regular blood tests and visits with your healthcare provider to monitor your condition.
  • If you miss a dose of JANTOVEN, call your healthcare provider.Take the dose as soon as possible on the same day. Do nottake a double dose of JANTOVEN the next day to make up for a missed dose.
  • Call your healthcare provider right away if you:
    • take too much JANTOVEN
    • are sick with diarrhea, an infection, or have a fever
    • fall or injure yourself, especially if you hit your head. Your healthcare provider may need to check you.
What should I avoid while taking JANTOVEN?
  • Do not do any activity or sport that may cause a serious injury.

What are the possible side effects of JANTOVEN?

JANTOVEN may cause serious side effects, including:
  • See " What is the most important information I should know about JANTOVEN?"
    • Death of skin tissue (skin necrosis or gangrene).This can happen soon after starting JANTOVEN. It happens because blood clots form and block blood flow to an area of your body. Call your healthcare provider right away if you have pain, color, or temperature change to any area of your body. You may need medical care right away to prevent death or loss (amputation) of your affected body part.
    • Kidney problems.Kidney injury may happen in people who take JANTOVEN. Tell your healthcare provider right away if you develop blood in your urine. Your healthcare provider may do tests more often during treatment with JANTOVEN to check for bleeding if you already have kidney problems.
    • "Purple toes syndrome."Call your healthcare provider right away if you have pain in your toes and they look purple in color or dark in color.
These are not all of the side effects of JANTOVEN. For more information, ask your healthcare provider or pharmacist.
Call your doctor for medical advice about side effects. You may report side effects to FDA at 1-800-FDA-1088.
How should I store JANTOVEN?
  • Store JANTOVEN at 20° to 25°C (68° to 77°F). Excursions permitted to 15° to 30°C (59° to 86°F). [See USP Controlled Room Temperature.]
  • Keep JANTOVEN in a tightly closed container, and keep JANTOVEN out of the light and moisture.
  • Follow your healthcare provider or pharmacist instructions about the right way to throw away outdated or unused JANTOVEN.
  • Females who are pregnant should not handle crushed or broken JANTOVEN tablets.
Keep JANTOVEN and all medicines out of the reach of children.
General information about the safe and effective use of JANTOVEN.
Medicines are sometimes prescribed for purposes other than those listed in a Medication Guide. Do not use JANTOVEN for a condition for which it was not prescribed. Do not give JANTOVEN to other people, even if they have the same symptoms that you have. It may harm them. You can ask your healthcare provider or pharmacist for information about JANTOVEN that is written for health professionals.
What are the ingredients in JANTOVEN Tablets?
Active ingredient: Warfarin Sodium, USP
Inactive ingredients: Lactose monohydrate, magnesium stearate, povidone, and pregelatinized starch (corn). The following tablets contain:
1 mg: FD&C Red #40 Aluminum Lake
2 mg: FD&C Blue #2 Aluminum Lake and FD&C Red #40 Aluminum Lake
2½ mg: D&C Yellow #10 Aluminum Lake and FD&C Blue #1 Aluminum Lake
3 mg: Brown #75 Synthetic Brown Iron Oxide
4 mg: FD&C Blue #1 Aluminum Lake
5 mg: FD&C Yellow #6 Aluminum Lake
6 mg: Yellow #10 Synthetic Yellow Iron Oxide, Black #85 Synthetic Black Iron Oxide and FD&C Blue #1 Aluminum Lake
7½ mg: D&C Yellow #10 Aluminum Lake and FD&C Yellow #6 Aluminum Lake
10 mg: Dye Free
For Medication Guides, please visit www.upsher-smith.com or call 1-888-650-3789.
The brands listed (other than JANTOVEN ®) are registered trademarks of their respective owners and are not trademarks of Upsher-Smith Laboratories, LLC.
JANTOVEN is a registered trademark of Upsher-Smith Laboratories, LLC.
Manufactured by

UPSHER-SMITH LABORATORIES, LLC

Maple Grove, MN 55369
Section 43683-2 (43683-2)
Dosage and Administration, Renal Impairment ( 2.5) 5/2017
Warnings and Precautions, Calciphylaxis ( 5.3) 9/2016
Warnings and Precautions, Acute kidney injury ( 5.4) 5/2017
15 References (15 REFERENCES)

OSHA Hazardous Drugs. OSHA. http://www.osha.gov/SLTC/hazardousdrugs/index.html.

10.2 Treatment

The treatment of excessive anticoagulation is based on the level of the INR, the presence or absence of bleeding, and clinical circumstances. Reversal of JANTOVEN anticoagulation may be obtained by discontinuing JANTOVEN therapy and, if necessary, by administration of oral or parenteral vitamin K 1.

The use of vitamin K 1reduces response to subsequent JANTOVEN therapy and patients may return to a pretreatment thrombotic status following the rapid reversal of a prolonged INR. Resumption of JANTOVEN administration reverses the effect of vitamin K, and a therapeutic INR can again be obtained by careful dosage adjustment. If rapid re-anticoagulation is indicated, heparin may be preferable for initial therapy.

Prothrombin complex concentrate (PCC), fresh frozen plasma, or activated Factor VII treatment may be considered if the requirement to reverse the effects of JANTOVEN is urgent. A risk of hepatitis and other viral diseases is associated with the use of blood products; PCC and activated Factor VII are also associated with an increased risk of thrombosis. Therefore, these preparations should be used only in exceptional or life-threatening bleeding episodes secondary to JANTOVEN overdosage.

11 Description (11 DESCRIPTION)

JANTOVEN (Warfarin Sodium Tablets, USP) is an anticoagulant that acts by inhibiting vitamin K-dependent coagulation factors. The chemical name of warfarin sodium is 3-(α-acetonylbenzyl)-4-hydroxycoumarin sodium salt, which is a racemic mixture of the R- and S-enantiomers. Crystalline warfarin sodium is an isopropanol clathrate. Its empirical formula is C 19H 15NaO 4, and its structural formula is represented by the following:

Crystalline warfarin sodium occurs as a white, odorless, crystalline powder that is discolored by light. It is very soluble in water, freely soluble in alcohol, and very slightly soluble in chloroform and ether.

JANTOVEN tablets for oral use contain: 1 mg, 2 mg, 2½ mg, 3 mg, 4 mg, 5 mg, 6 mg, 7½ mg or 10 mg of warfarin sodium, USP. They also contain:

All strengths: Lactose monohydrate, magnesium stearate, povidone, and pregelatinized starch (corn).
1 mg: FD&C Red #40 Aluminum Lake
2 mg: FD&C Blue #2 Aluminum Lake and FD&C Red #40 Aluminum Lake
2½ mg: D&C Yellow #10 Aluminum Lake and FD&C Blue #1 Aluminum Lake
3 mg: Brown #75 Synthetic Brown Iron Oxide
4 mg: FD&C Blue #1 Aluminum Lake
5 mg: FD&C Yellow #6 Aluminum Lake
6 mg: Yellow #10 Synthetic Yellow Iron Oxide, Black #85 Synthetic Black Iron Oxide and FD&C Blue #1 Aluminum Lake
7½ mg: D&C Yellow #10 Aluminum Lake and FD&C Yellow #6 Aluminum Lake
10 mg: Dye Free
5.1 Hemorrhage

JANTOVEN can cause major or fatal bleeding. Bleeding is more likely to occur within the first month. Risk factors for bleeding include high intensity of anticoagulation (INR >4.0), age greater than or equal to 65, history of highly variable INRs, history of gastrointestinal bleeding, hypertension, cerebrovascular disease, anemia, malignancy, trauma, renal impairment, certain genetic factors [see Clinical Pharmacology (12.5) ], certain concomitant drugs [see Drug Interactions (7) ], and long duration of warfarin therapy.

Perform regular monitoring of INR in all treated patients. Those at high risk of bleeding may benefit from more frequent INR monitoring, careful dose adjustment to desired INR, and a shortest duration of therapy appropriate for the clinical condition. However, maintenance of INR in the therapeutic range does not eliminate the risk of bleeding.

Drugs, dietary changes, and other factors affect INR levels achieved with JANTOVEN therapy. Perform more frequent INR monitoring when starting or stopping other drugs, including botanicals, or when changing dosages of other drugs [see Drug Interactions (7) ].

Instruct patients about prevention measures to minimize risk of bleeding and to report signs and symptoms of bleeding [see Patient Counseling Information (17) ].

2.6 Missed Dose

The anticoagulant effect of JANTOVEN persists beyond 24 hours. If a patient misses a dose of JANTOVEN at the intended time of day, the patient should take the dose as soon as possible on the same day. The patient should not double the dose the next day to make up for a missed dose.

5.3 Calciphylaxis

JANTOVEN can cause fatal and serious calciphylaxis or calcium uremic arteriolopathy, which has been reported in patients with and without end-stage renal disease. When calciphylaxis is diagnosed in these patients, discontinue JANTOVEN and treat calciphylaxis as appropriate. Consider alternative anticoagulation therapy.

8.4 Pediatric Use

Adequate and well-controlled studies with warfarin sodium have not been conducted in any pediatric population, and the optimum dosing, safety, and efficacy in pediatric patients is unknown. Pediatric use of warfarin sodium is based on adult data and recommendations, and available limited pediatric data from observational studies and patient registries. Pediatric patients administered JANTOVEN should avoid any activity or sport that may result in traumatic injury.

The developing hemostatic system in infants and children results in a changing physiology of thrombosis and response to anticoagulants. Dosing of warfarin in the pediatric population varies by patient age, with infants generally having the highest, and adolescents having the lowest milligram per kilogram dose requirements to maintain target INRs. Because of changing warfarin requirements due to age, concomitant medications, diet, and existing medical condition, target INR ranges may be difficult to achieve and maintain in pediatric patients, and more frequent INR determinations are recommended. Bleeding rates varied by patient population and clinical care center in pediatric observational studies and patient registries.

Infants and children receiving vitamin K-supplemented nutrition, including infant formulas, may be resistant to warfarin therapy, while human milk-fed infants may be sensitive to warfarin therapy.

8.5 Geriatric Use

Of the total number of patients receiving warfarin sodium in controlled clinical trials for which data were available for analysis, 1885 patients (24.4%) were 65 years and older, while 185 patients (2.4%) were 75 years and older. No overall differences in effectiveness or safety were observed between these patients and younger patients, but greater sensitivity of some older individuals cannot be ruled out.

Patients 60 years or older appear to exhibit greater than expected INR response to the anticoagulant effects of warfarin [see Clinical Pharmacology (12.3) ]. JANTOVEN is contraindicated in any unsupervised patient with senility. Conduct more frequent monitoring for bleeding with administration of JANTOVEN to elderly patients in any situation or with any physical condition where added risk of hemorrhage is present. Consider lower initiation and maintenance doses of JANTOVEN in elderly patients [see Dosage and Administration (2.2, 2.3) ].

4 Contraindications (4 CONTRAINDICATIONS)

JANTOVEN is contraindicated in:

  • Pregnancy

JANTOVEN is contraindicated in women who are pregnant except in pregnant women with mechanical heart valves, who are at high risk of thromboembolism [see Warnings and Precautions (5.7) and Use in Specific Populations (8.1) ]. JANTOVEN can cause fetal harm when administered to a pregnant woman. JANTOVEN exposure during pregnancy causes a recognized pattern of major congenital malformations (warfarin embryopathy and fetotoxicity), fatal fetal hemorrhage, and an increased risk of spontaneous abortion and fetal mortality. If JANTOVEN is used during pregnancy or if the patient becomes pregnant while taking this drug, the patient should be apprised of the potential hazard to a fetus [see Use in Specific Populations (8.1) ].

JANTOVEN is contraindicated in patients with:

  • Hemorrhagic tendencies or blood dyscrasias
  • Recent or contemplated surgery of the central nervous system or eye, or traumatic surgery resulting in large open surfaces [see Warnings and Precautions (5.8) ]
  • Bleeding tendencies associated with:
    • Active ulceration or overt bleeding of the gastrointestinal, genitourinary, or respiratory tract
    • Central nervous system hemorrhage
    • Cerebral aneurysms, dissecting aorta
    • Pericarditis and pericardial effusions
    • Bacterial endocarditis
  • Threatened abortion, eclampsia, and preeclampsia
  • Unsupervised patients with conditions associated with potential high level of non-compliance
  • Spinal puncture and other diagnostic or therapeutic procedures with potential for uncontrollable bleeding
  • Hypersensitivity to warfarin or to any other components of this product (e.g., anaphylaxis) [see Adverse Reactions (6) ]
  • Major regional or lumbar block anesthesia
  • Malignant hypertension
5.2 Tissue Necrosis

JANTOVEN can cause necrosis and/or gangrene of skin and other tissues, which is an uncommon but serious risk (<0.1%). Necrosis may be associated with local thrombosis and usually appears within a few days of the start of JANTOVEN therapy. In severe cases of necrosis, treatment through debridement or amputation of the affected tissue, limb, breast, or penis has been reported.

Careful clinical evaluation is required to determine whether necrosis is caused by an underlying disease. Although various treatments have been attempted, no treatment for necrosis has been considered uniformly effective. Discontinue JANTOVEN therapy if necrosis occurs. Consider alternative drugs if continued anticoagulation therapy is necessary.

6 Adverse Reactions (6 ADVERSE REACTIONS)

The following serious adverse reactions to JANTOVEN are discussed in greater detail in other sections of the labeling:

Other adverse reactions to JANTOVEN include:

  • Immune system disorders: hypersensitivity/allergic reactions (including urticaria and anaphylactic reactions)
  • Vascular disorders: vasculitis
  • Hepatobiliary disorders: hepatitis, elevated liver enzymes. Cholestatic hepatitis has been associated with concomitant administration of warfarin sodium and ticlopidine.
  • Gastrointestinal disorders: nausea, vomiting, diarrhea, taste perversion, abdominal pain, flatulence, bloating
  • Skin disorders: rash, dermatitis (including bullous eruptions), pruritus, alopecia
  • Respiratory disorders: tracheal or tracheobronchial calcification
  • General disorders: chills
7 Drug Interactions (7 DRUG INTERACTIONS)
  • Concomitant use of drugs that increase bleeding risk, antibiotics, antifungals, botanical (herbal) products, and inhibitors and inducers of CYP2C9, 1A2, or 3A4. ( 7)
  • Consult labeling of all concurrently used drugs for complete information about interactions with JANTOVEN or increased risks for bleeding. ( 7)
2.5 Renal Impairment

No dosage adjustment is necessary for patients with renal failure. Monitor INR more frequently in patients with compromised renal function to maintain INR within the therapeutic range [see Warnings and Precautions (5.4)and Use in Specific Populations (8.6)].

8.6 Renal Impairment

Renal clearance is considered to be a minor determinant of anticoagulant response to warfarin. No dosage adjustment is necessary for patients with renal impairment. Instruct patients with renal impairment taking warfarin to monitor their INR more frequently [see Warnings and Precautions (5.4) ]

12.2 Pharmacodynamics

An anticoagulation effect generally occurs within 24 hours after warfarin administration. However, peak anticoagulant effect may be delayed 72 to 96 hours. The duration of action of a single dose of racemic warfarin is 2 to 5 days. The effects of JANTOVEN may become more pronounced as effects of daily maintenance doses overlap. This is consistent with the half-lives of the affected vitamin K-dependent clotting factors and anticoagulation proteins: Factor II – 60 hours, VII – 4 to 6 hours, IX – 24 hours, X – 48 to 72 hours, and proteins C and S are approximately 8 hours and 30 hours, respectively.

12.3 Pharmacokinetics

JANTOVEN is a racemic mixture of the R- and S-enantiomers of warfarin. The S-enantiomer exhibits 2 to 5 times more anticoagulant activity than the R-enantiomer in humans, but generally has a more rapid clearance.

8.7 Hepatic Impairment

Hepatic impairment can potentiate the response to warfarin through impaired synthesis of clotting factors and decreased metabolism of warfarin. Conduct more frequent monitoring for bleeding when using JANTOVEN in these patients.

Warning: Bleeding Risk (WARNING: BLEEDING RISK)
1 Indications and Usage (1 INDICATIONS AND USAGE)

JANTOVEN ®is indicated for:

  • Prophylaxis and treatment of venous thrombosis and its extension, pulmonary embolism (PE).
  • Prophylaxis and treatment of thromboembolic complications associated with atrial fibrillation (AF) and/or cardiac valve replacement.
  • Reduction in the risk of death, recurrent myocardial infarction (MI), and thromboembolic events such as stroke or systemic embolization after myocardial infarction.

Limitations of Use

Warfarin Sodium has no direct effect on an established thrombus, nor does it reverse ischemic tissue damage. Once a thrombus has occurred, however, the goals of anticoagulant treatment are to prevent further extension of the formed clot and to prevent secondary thromboembolic complications that may result in serious and possibly fatal sequelae.

10.1 Signs and Symptoms

Bleeding (e.g., appearance of blood in stools or urine, hematuria, excessive menstrual bleeding, melena, petechiae, excessive bruising or persistent oozing from superficial injuries, unexplained fall in hemoglobin) is a manifestation of excessive anticoagulation.

5.4 Acute Kidney Injury

In patients with altered glomerular integrity or with a history of kidney disease, acute kidney injury may occur with JANTOVEN, possibly in relation to episodes of excessive anticoagulation and hematuria [ see Use in Specific Populations (8.6) ]. More frequent monitoring of anticoagulation is advised in patients with compromised renal function.

7.1 General Information

Drugs may interact with JANTOVEN through pharmacodynamic or pharmacokinetic mechanisms. Pharmacodynamic mechanisms for drug interactions with JANTOVEN are synergism (impaired hemostasis, reduced clotting factor synthesis), competitive antagonism (vitamin K), and alteration of the physiologic control loop for vitamin K metabolism (hereditary resistance). Pharmacokinetic mechanisms for drug interactions with JANTOVEN are mainly enzyme induction, enzyme inhibition, and reduced plasma protein binding. It is important to note that some drugs may interact by more than one mechanism.

More frequent INR monitoring should be performed when starting or stopping other drugs, including botanicals, or when changing dosages of other drugs, including drugs intended for short-term use (e.g., antibiotics, antifungals, corticosteroids) [see Boxed Warning ].

Consult the labeling of all concurrently used drugs to obtain further information about interactions with JANTOVEN or adverse reactions pertaining to bleeding.

7.2 Cyp450 Interactions (7.2 CYP450 Interactions)

CYP450 isozymes involved in the metabolism of warfarin include CYP2C9, 2C19, 2C8, 2C18, 1A2, and 3A4. The more potent warfarin S-enantiomer is metabolized by CYP2C9 while the R-enantiomer is metabolized by CYP1A2 and 3A4.

  • Inhibitors of CYP2C9, 1A2, and/or 3A4 have the potential to increase the effect (increase INR) of warfarin by increasing the exposure of warfarin.
  • Inducers of CYP2C9, 1A2, and/or 3A4 have the potential to decrease the effect (decrease INR) of warfarin by decreasing the exposure of warfarin.

Examples of inhibitors and inducers of CYP2C9, 1A2, and 3A4 are below in Table 2; however, this list should not be considered all-inclusive. Consult the labeling of all concurrently used drugs to obtain further information about CYP450 interaction potential. The CYP450 inhibition and induction potential should be considered when starting, stopping, or changing dose of concomitant medications. Closely monitor INR if a concomitant drug is a CYP2C9, 1A2, and/or 3A4 inhibitor or inducer.

Table 2: Examples of CYP450 Interactions with Warfarin
Enzyme Inhibitors Inducers
CYP2C9 amiodarone, capecitabine, cotrimoxazole, etravirine, fluconazole, fluvastatin, fluvoxamine, metronidazole, miconazole, oxandrolone, sulfinpyrazone, tigecycline, voriconazole, zafirlukast aprepitant, bosentan, carbamazepine, phenobarbital, rifampin
CYP1A2 acyclovir, allopurinol, caffeine, cimetidine, ciprofloxacin, disulfiram, enoxacin, famotidine, fluvoxamine, methoxsalen, mexiletine, norfloxacin, oral contraceptives, phenylpropanolamine, propafenone, propranolol, terbinafine, thiabendazole, ticlopidine, verapamil, zileuton montelukast, moricizine, omeprazole, phenobarbital, phenytoin, cigarette smoking
CYP3A4 alprazolam, amiodarone, amlodipine, amprenavir, aprepitant, atorvastatin, atazanavir, bicalutamide, cilostazol, cimetidine, ciprofloxacin, clarithromycin, conivaptan, cyclosporine, darunavir/ritonavir, diltiazem, erythromycin, fluconazole, fluoxetine, fluvoxamine, fosamprenavir, imatinib, indinavir, isoniazid, itraconazole, ketoconazole, lopinavir/ritonavir, nefazodone, nelfinavir, nilotinib, oral contraceptives, posaconazole, ranitidine, ranolazine, ritonavir, saquinavir, telithromycin, tipranavir, voriconazole, zileuton armodafinil, amprenavir, aprepitant, bosentan, carbamazepine, efavirenz, etravirine, modafinil, nafcillin, phenytoin, pioglitazone, prednisone, rifampin, rufinamide
12.1 Mechanism of Action

Warfarin acts by inhibiting the synthesis of vitamin K-dependent clotting factors, which include Factors II, VII, IX, and X, and the anticoagulant proteins C and S. Vitamin K is an essential cofactor for the post ribosomal synthesis of the vitamin K-dependent clotting factors. Vitamin K promotes the biosynthesis of γ-carboxyglutamic acid residues in the proteins that are essential for biological activity. Warfarin is thought to interfere with clotting factor synthesis by inhibition of the C1 subunit of vitamin K epoxide reductase (VKORC1) enzyme complex, thereby reducing the regeneration of vitamin K 1epoxide [see Clinical Pharmacology (12.5) ].

14.1 Atrial Fibrillation

In five prospective, randomized, controlled clinical trials involving 3711 patients with non-rheumatic AF, warfarin significantly reduced the risk of systemic thromboembolism including stroke (see Table 4). The risk reduction ranged from 60% to 86% in all except one trial (CAFA: 45%), which was stopped early due to published positive results from two of these trials. The incidence of major bleeding in these trials ranged from 0.6% to 2.7% (see Table 4).

Table 4: Clinical Studies of Warfarin in Non-Rheumatic AF Patients
All study results of warfarin vs. control are based on intention-to-treat analysis and include ischemic stroke and systemic thromboembolism, excluding hemorrhagic stroke and transient ischemic attacks.
N Thromboembolism % Major Bleeding
Study Warfarin-Treated Patients Control Patients PT Ratio INR % Risk Reduction p-value Warfarin-Treated Patients Control Patients
AFASAK 335 336 1.5–2.0 2.8–4.2 60 0.027 0.6 0.0
SPAF 210 211 1.3–1.8 2.0–4.5 67 0.01 1.9 1.9
BAATAF 212 208 1.2–1.5 1.5–2.7 86 <0.05 0.9 0.5
CAFA 187 191 1.3–1.6 2.0–3.0 45 0.25 2.7 0.5
SPINAF 260 265 1.2–1.5 1.4–2.8 79 0.001 2.3 1.5

Trials in patients with both AF and mitral stenosis suggest a benefit from anticoagulation with warfarin sodium [see Dosage and Administration (2.2) ].

2.1 Individualized Dosing

The dosage and administration of JANTOVEN must be individualized for each patient according to the patient's International Normalized Ratio (INR) response to the drug. Adjust the dose based on the patient's INR and the condition being treated. Consult the latest evidence-based clinical practice guidelines regarding the duration and intensity of anticoagulation for the indicated conditions.

14.3 Myocardial Infarction

WARIS (The Warfarin Re-Infarction Study) was a double-blind, randomized study of 1214 patients 2 to 4 weeks post-infarction treated with warfarin to a target INR of 2.8 to 4.8. The primary endpoint was a composite of total mortality and recurrent infarction. A secondary endpoint of cerebrovascular events was assessed. Mean follow-up of the patients was 37 months. The results for each endpoint separately, including an analysis of vascular death, are provided in Table 7.

Table 7: WARIS – Endpoint Analysis of Separate Events
Event Warfarin

(N=607)
Placebo

(N=607)
RR (95% CI) % Risk Reduction

( p-value)
RR=Relative risk; Risk reduction=(1 – RR); CI=Confidence interval; MI=Myocardial infarction; py=patient years
Total Patient Years of Follow-up 2018 1944
Total Mortality 94 (4.7/100 py) 123 (6.3/100 py) 0.76 (0.60, 0.97) 24 (p=0.030)
  Vascular Death 82 (4.1/100 py) 105 (5.4/100 py) 0.78 (0.60, 1.02) 22 (p=0.068)
Recurrent MI 82 (4.1/100 py) 124 (6.4/100 py) 0.66 (0.51, 0.85) 34 (p=0.001)
Cerebrovascular Event 20 (1.0/100 py) 44 (2.3/100 py) 0.46 (0.28, 0.75) 54 (p=0.002)

WARIS II (The Warfarin, Aspirin, Re-Infarction Study) was an open-label, randomized study of 3630 patients hospitalized for acute myocardial infarction treated with warfarin to a target INR 2.8 to 4.2, aspirin 160 mg per day, or warfarin to a target INR 2.0 to 2.5 plus aspirin 75 mg per day prior to hospital discharge. The primary endpoint was a composite of death, nonfatal reinfarction, or thromboembolic stroke. The mean duration of observation was approximately 4 years. The results for WARIS II are provided in Table 8.

Table 8: WARIS II – Distribution of Events According to Treatment Group
Event Aspirin

(N=1206)
Warfarin

(N=1216)
Aspirin plus Warfarin

(N=1208)
Rate Ratio

(95% CI)
p-value
CI=confidence interval

ND=not determined
No. of Events
Major Bleeding
Major bleeding episodes were defined as nonfatal cerebral hemorrhage or bleeding necessitating surgical intervention or blood transfusion.
8 33 28 3.35
The rate ratio is for aspirin plus warfarin as compared with aspirin.
(ND)

4.00
The rate ratio is for warfarin as compared with aspirin.
(ND)
ND

ND
Minor Bleeding
Minor bleeding episodes were defined as non-cerebral hemorrhage not necessitating surgical intervention or blood transfusion.
39 103 133 3.21
(ND)

2.55
(ND)
ND

ND
Composite Endpoints
Includes death, nonfatal reinfarction, and thromboembolic cerebral stroke.
241 203 181 0.81 (0.69–0.95)


0.71 (0.60–0.83)
0.03

0.001
  Reinfarction 117 90 69 0.56 (0.41–0.78)


0.74 (0.55–0.98)
<0.001

0.03
  Thromboembolic Stroke 32 17 17 0.52 (0.28–0.98)


0.52 (0.28–0.97)
0.03

0.03
  Death 92 96 95 0.82

There were approximately four times as many major bleeding episodes in the two groups receiving warfarin than in the group receiving aspirin alone. Major bleeding episodes were not more frequent among patients receiving aspirin plus warfarin than among those receiving warfarin alone, but the incidence of minor bleeding episodes was higher in the combined therapy group.

5 Warnings and Precautions (5 WARNINGS AND PRECAUTIONS)
  • Tissue necrosis: Necrosis or gangrene of skin or other tissues can occur, with severe cases requiring debridement or amputation. Discontinue JANTOVEN and consider alternative anticoagulants if necessary. ( 5.2)
  • Calciphylaxis: Fatal and serious cases have occurred. Discontinue JANTOVEN and consider alternative anticoagulation therapy. ( 5.3)
  • Acute kidney injury may occur during episodes of excessive anticoagulation and hematuria. ( 5.4)
  • Systemic atheroemboli and cholesterol microemboli: Some cases have progressed to necrosis or death. Discontinue JANTOVEN if such emboli occur. ( 5.5)
  • Heparin-induced thrombocytopenia (HIT): Initial therapy with Warfarin Sodium in HIT has resulted in cases of amputation and death. Warfarin Sodium may be considered after platelet count has normalized. ( 5.6)
  • Pregnant women with mechanical heart valves: Warfarin Sodium may cause fetal harm; however, the benefits may outweigh the risks. ( 5.7)
2 Dosage and Administration (2 DOSAGE AND ADMINISTRATION)
  • Individualize dosing regimen for each patient, and adjust based on INR response. ( 2.1, 2.2)
  • Knowledge of genotype can inform initial dose selection. ( 2.3)
  • Monitoring: Obtain daily INR determinations upon initiation until stable in the therapeutic range. Obtain subsequent INR determinations every 1 to 4 weeks. ( 2.4)
  • Review conversion instructions from other anticoagulants. ( 2.8)
3 Dosage Forms and Strengths (3 DOSAGE FORMS AND STRENGTHS)

JANTOVEN tablets are single scored, compressed tablets with one side scored and debossed with WRF above the score and 1, 2, 2½, 3, 4, 5, 6, 7½, or 10 below the score and with 832 debossed on the opposite side.

JANTOVEN tablets are supplied in the following strengths:

JANTOVEN Tablets
Strength Color
1 mg pink
2 mg lavender
2½ mg green
3 mg tan
4 mg blue
5 mg peach
6 mg teal
7½ mg yellow
10 mg white (dye free)
8 Use in Specific Populations (8 USE IN SPECIFIC POPULATIONS)
  • Pregnant women with mechanical heart valves: JANTOVEN may cause fetal harm; however, the benefits may outweigh the risks. ( 8.1)
  • Lactation: Monitor breastfeeding infants for bruising or bleeding. ( 8.2)
  • Renal Impairment: Instruct patients with renal impairment to frequently monitor their INR. ( 8.6)
7.4 Antibiotics and Antifungals

There have been reports of changes in INR in patients taking warfarin and antibiotics or antifungals, but clinical pharmacokinetic studies have not shown consistent effects of these agents on plasma concentrations of warfarin.

Closely monitor INR when starting or stopping any antibiotic or antifungal in patients taking warfarin.

17 Patient Counseling Information (17 PATIENT COUNSELING INFORMATION)

Advise the patient to read the FDA-approved patient labeling (Medication Guide).

2.3 Initial and Maintenance Dosing

The appropriate initial dosing of JANTOVEN varies widely for different patients. Not all factors responsible for warfarin dose variability are known, and the initial dose is influenced by:

  • Clinical factors including age, race, body weight, sex, concomitant medications, and comorbidities
  • Genetic factors (CYP2C9 and VKORC1 genotypes) [see Clinical Pharmacology (12.5) ]

Select the initial dose based on the expected maintenance dose, taking into account the above factors. Modify this dose based on consideration of patient-specific clinical factors. Consider lower initial and maintenance doses for elderly and/or debilitated patients and in Asian patients [see Use in Specific Populations (8.5) and Clinical Pharmacology (12.3) ]. Routine use of loading doses is not recommended as this practice may increase hemorrhagic and other complications and does not offer more rapid protection against clot formation.

Individualize the duration of therapy for each patient. In general, anticoagulant therapy should be continued until the danger of thrombosis and embolism has passed [see Dosage and Administration (2.2) ].

16 How Supplied/storage and Handling (16 HOW SUPPLIED/STORAGE AND HANDLING)

Tablets

JANTOVEN tablets are single scored, compressed tablets with one side scored and debossed with WRF above the score and 1, 2, 2½, 3, 4, 5, 6, 7½, or 10 below the score and with 832 debossed on the opposite side. JANTOVEN is available in bottles and unit dose blister packages with potencies and colors as follows:

1 mg – Compressed tablet, pink, round; in bottles of 100 (NDC 0832-1211-00) and 1000 (NDC 0832-1211-10) and in unit dose cartons of 100 tablets (10 cards containing 10 tablets each) (NDC 0832-1211-01).

2 mg – Compressed tablet, lavender, round; in bottles of 100 (NDC 0832-1212-00) and 1000 (NDC 0832-1212-10) and in unit dose cartons of 100 tablets (10 cards containing 10 tablets each) (NDC 0832-1212-01).

2½ mg – Compressed tablet, green, round; in bottles of 100 (NDC 0832-1213-00) and 1000 (NDC 0832-1213-10) and in unit dose cartons of 100 tablets (10 cards containing 10 tablets each) (NDC 0832-1213-01).

3 mg – Compressed tablet, tan, round; in bottles of 100 (NDC 0832-1214-00) and 1000 (NDC 0832-1214-10) and in unit dose cartons of 100 tablets (10 cards containing 10 tablets each) (NDC 0832-1214-01).

4 mg – Compressed tablet, blue, round; in bottles of 100 (NDC 0832-1215-00) and 1000 (NDC 0832-1215-10) and in unit dose cartons of 100 tablets (10 cards containing 10 tablets each) (NDC 0832-1215-01).

5 mg – Compressed tablet, peach, round; in bottles of 100 (NDC 0832-1216-00) and 1000 (NDC 0832-1216-10) and in unit dose cartons of 100 tablets (10 cards containing 10 tablets each) (NDC 0832-1216-01).

6 mg – Compressed tablet, teal, round; in bottles of 100 (NDC 0832-1217-00) and 1000 (NDC 0832-1217-10) and in unit dose cartons of 100 tablets (10 cards containing 10 tablets each) (NDC 0832-1217-01).

7½ mg – Compressed tablet, yellow, round; in bottles of 100 (NDC 0832-1218-00) and 500 (NDC 0832-1218-50) and in unit dose cartons of 100 tablets (10 cards containing 10 tablets each) (NDC 0832-1218-01).

10 mg – Compressed tablet, white (dye-free), round; in bottles of 100 (NDC 0832-1219-00) and 500 (NDC 0832-1219-50) and in unit dose cartons of 100 tablets (10 cards containing 10 tablets each) (NDC 0832-1219-01).

Store at 20° to 25°C (68° to 77°F). Excursions permitted to 15° to 30°C (59° to 86°F). [See USP Controlled Room Temperature.] Protect from light and moisture. Dispense in a tight, light-resistant container with a child-resistant closure.

5.9 Endogenous Factors Affecting Inr (5.9 Endogenous Factors Affecting INR)

The following factors may be responsible for increasedINR response: diarrhea, hepatic disorders, poor nutritional state, steatorrhea, or vitamin K deficiency.

The following factors may be responsible for decreasedINR response: increased vitamin K intake or hereditary warfarin resistance.

7.3 Drugs That Increase Bleeding Risk (7.3 Drugs that Increase Bleeding Risk)

Examples of drugs known to increase the risk of bleeding are presented in Table 3. Because bleeding risk is increased when these drugs are used concomitantly with warfarin, closely monitor patients receiving any such drug with warfarin.

Table 3: Drugs that Can Increase the Risk of Bleeding
Drug Class Specific Drugs
Anticoagulants argatroban, dabigatran, bivalirudin, desirudin, heparin, lepirudin
Antiplatelet Agents aspirin, cilostazol, clopidogrel, dipyridamole, prasugrel, ticlopidine
Nonsteroidal Anti-Inflammatory Agents celecoxib, diclofenac, diflunisal, fenoprofen, ibuprofen, indomethacin, ketoprofen, ketorolac, mefenamic acid, naproxen, oxaprozin, piroxicam, sulindac
Serotonin Reuptake Inhibitors citalopram, desvenlafaxine, duloxetine, escitalopram, fluoxetine, fluvoxamine, milnacipran, paroxetine, sertraline, venlafaxine, vilazodone
7.5 Botanical (herbal) Products and Foods (7.5 Botanical (Herbal) Products and Foods)

More frequent INR monitoring should be performed when starting or stopping botanicals.

Few adequate, well-controlled studies evaluating the potential for metabolic and/or pharmacologic interactions between botanicals and JANTOVEN exist. Due to a lack of manufacturing standardization with botanical medicinal preparations, the amount of active ingredients may vary. This could further confound the ability to assess potential interactions and effects on anticoagulation.

Some botanicals may cause bleeding events when taken alone (e.g., garlic and Ginkgo biloba) and may have anticoagulant, antiplatelet, and/or fibrinolytic properties. These effects would be expected to be additive to the anticoagulant effects of JANTOVEN. Conversely, some botanicals may decrease the effects of JANTOVEN (e.g., co-enzyme Q 10, St. John's wort, ginseng). Some botanicals and foods can interact with JANTOVEN through CYP450 interactions (e.g., echinacea, grapefruit juice, ginkgo, goldenseal, St. John's wort).

The amount of vitamin K in food may affect therapy with JANTOVEN. Advise patients taking JANTOVEN to eat a normal, balanced diet maintaining a consistent amount of vitamin K. Patients taking JANTOVEN should avoid drastic changes in dietary habits, such as eating large amounts of green leafy vegetables.

2.7 Treatment During Dentistry and Surgery (2.7 Treatment during Dentistry and Surgery)

Some dental or surgical procedures may necessitate the interruption or change in the dose of JANTOVEN therapy. Consider the benefits and risks when discontinuing JANTOVEN even for a short period of time. Determine the INR immediately prior to any dental or surgical procedure. In patients undergoing minimally invasive procedures who must be anticoagulated prior to, during, or immediately following these procedures, adjusting the dosage of JANTOVEN to maintain the INR at the low end of the therapeutic range may safely allow for continued anticoagulation.

14.2 Mechanical and Bioprosthetic Heart Valves

In a prospective, randomized, open-label, positive-controlled study in 254 patients with mechanical prosthetic heart valves, the thromboembolic-free interval was found to be significantly greater in patients treated with warfarin alone compared with dipyridamole/aspirin-treated patients (p<0.005) and pentoxifylline/aspirin-treated patients (p<0.05). The results of this study are presented in Table 5.

Table 5: Prospective, Randomized, Open-Label, Positive-Controlled Clinical Study of Warfarin in Patients with Mechanical Prosthetic Heart Valves
Patients Treated With
Event Warfarin Dipyridamole/Aspirin Pentoxifylline/Aspirin
py=patient years
Thromboembolism 2.2/100 py 8.6/100 py 7.9/100 py
Major Bleeding 2.5/100 py 0.0/100 py 0.9/100 py

In a prospective, open-label, clinical study comparing moderate (INR 2.65) versus high intensity (INR 9.0) warfarin therapies in 258 patients with mechanical prosthetic heart valves, thromboembolism occurred with similar frequency in the two groups (4.0 and 3.7 events per 100 patient years, respectively). Major bleeding was more common in the high intensity group. The results of this study are presented in Table 6.

Table 6: Prospective, Open-Label Clinical Study of Warfarin in Patients with Mechanical Prosthetic Heart Valves
Event Moderate Warfarin Therapy

INR 2.65
High Intensity Warfarin Therapy

INR 9.0
py=patient years
Thromboembolism 4.0/100 py 3.7/100 py
Major Bleeding 0.95/100 py 2.1/100 py

In a randomized trial in 210 patients comparing two intensities of warfarin therapy (INR 2.0 to 2.25 vs. INR 2.5 to 4.0) for a three-month period following tissue heart valve replacement, thromboembolism occurred with similar frequency in the two groups (major embolic events 2.0% vs. 1.9%, respectively, and minor embolic events 10.8% vs. 10.2%, respectively). Major hemorrhages occurred in 4.6% of patients in the higher intensity INR group compared to zero in the lower intensity INR group.

5.8 Other Clinical Settings With Increased Risks (5.8 Other Clinical Settings with Increased Risks)

In the following clinical settings, the risks of JANTOVEN therapy may be increased:

  • Moderate to severe hepatic impairment
  • Infectious diseases or disturbances of intestinal flora (e.g., sprue, antibiotic therapy)
  • Use of an indwelling catheter
  • Severe to moderate hypertension
  • Deficiency in protein C-mediated anticoagulant response: JANTOVEN reduces the synthesis of the naturally occurring anticoagulants, protein C and protein S. Hereditary or acquired deficiencies of protein C or its cofactor, protein S, have been associated with tissue necrosis following warfarin administration. Concomitant anticoagulation therapy with heparin for 5 to 7 days during initiation of therapy with JANTOVEN may minimize the incidence of tissue necrosis in these patients.
  • Eye surgery: In cataract surgery, JANTOVEN use was associated with a significant increase in minor complications of sharp needle and local anesthesia block but not associated with potentially sight-threatening operative hemorrhagic complications. As JANTOVEN cessation or reduction may lead to serious thromboembolic complications, the decision to discontinue JANTOVEN before a relatively less invasive and complex eye surgery, such as lens surgery, should be based upon the risks of anticoagulant therapy weighed against the benefits.
  • Polycythemia vera
  • Vasculitis
  • Diabetes mellitus
2.4 Monitoring to Achieve Optimal Anticoagulation

JANTOVEN has a narrow therapeutic range (index), and its action may be affected by factors such as other drugs and dietary vitamin K. Therefore, anticoagulation must be carefully monitored during JANTOVEN therapy. Determine the INR daily after the administration of the initial dose until INR results stabilize in the therapeutic range. After stabilization, maintain dosing within the therapeutic range by performing periodic INRs. The frequency of performing INR should be based on the clinical situation but generally acceptable intervals for INR determinations are 1 to 4 weeks. Perform additional INR tests when other warfarin products are interchanged with JANTOVEN, as well as whenever other medications are initiated, discontinued, or taken irregularly. Heparin, a common concomitant drug, increases the INR [see Dosage and Administration (2.8) and Drug Interactions (7) ].

Determinations of whole blood clotting and bleeding times are not effective measures for monitoring of JANTOVEN therapy.

Principal Display Panel 1 Mg Tablet Bottle Label (PRINCIPAL DISPLAY PANEL - 1 mg Tablet Bottle Label)

NDC 0832-1211-00

JANTOVEN ®

Warfarin Sodium

Tablets, USP

1 mg

PHARMACIST: Dispense the Medication

Guide provided separately to each patient.

HIGHLY POTENT ANTICOAGULANT WARNING:

Serious bleeding results from overdosage. Do not

use or dispense before reading directions and

warnings in accompanying product information.

100 Tablets

Rx only

UPSHER-SMITH

Principal Display Panel 2 Mg Tablet Bottle Label (PRINCIPAL DISPLAY PANEL - 2 mg Tablet Bottle Label)

NDC 0832-1212-00

JANTOVEN ®

Warfarin Sodium

Tablets, USP

2 mg

PHARMACIST: Dispense the Medication

Guide provided separately to each patient.

HIGHLY POTENT ANTICOAGULANT WARNING:

Serious bleeding results from overdosage. Do not

use or dispense before reading directions and

warnings in accompanying product information.

100 Tablets

Rx only

UPSHER-SMITH

Principal Display Panel 3 Mg Tablet Bottle Label (PRINCIPAL DISPLAY PANEL - 3 mg Tablet Bottle Label)

NDC 0832-1214-00

JANTOVEN ®

Warfarin Sodium

Tablets, USP

3 mg

PHARMACIST: Dispense the Medication

Guide provided separately to each patient.

HIGHLY POTENT ANTICOAGULANT WARNING:

Serious bleeding results from overdosage. Do not

use or dispense before reading directions and

warnings in accompanying product information.

100 Tablets

Rx only

UPSHER-SMITH

Principal Display Panel 4 Mg Tablet Bottle Label (PRINCIPAL DISPLAY PANEL - 4 mg Tablet Bottle Label)

NDC 0832-1215-00

JANTOVEN ®

Warfarin Sodium

Tablets, USP

4 mg

PHARMACIST: Dispense the Medication

Guide provided separately to each patient.

HIGHLY POTENT ANTICOAGULANT WARNING:

Serious bleeding results from overdosage. Do not

use or dispense before reading directions and

warnings in accompanying product information.

100 Tablets

Rx only

UPSHER-SMITH

Principal Display Panel 5 Mg Tablet Bottle Label (PRINCIPAL DISPLAY PANEL - 5 mg Tablet Bottle Label)

NDC 0832-1216-00

JANTOVEN ®

Warfarin Sodium

Tablets, USP

5 mg

PHARMACIST: Dispense the Medication

Guide provided separately to each patient.

HIGHLY POTENT ANTICOAGULANT WARNING:

Serious bleeding results from overdosage. Do not

use or dispense before reading directions and

warnings in accompanying product information.

100 Tablets

Rx only

UPSHER-SMITH

Principal Display Panel 6 Mg Tablet Bottle Label (PRINCIPAL DISPLAY PANEL - 6 mg Tablet Bottle Label)

NDC 0832-1217-00

JANTOVEN ®

Warfarin Sodium

Tablets, USP

6 mg

PHARMACIST: Dispense the Medication

Guide provided separately to each patient.

HIGHLY POTENT ANTICOAGULANT WARNING:

Serious bleeding results from overdosage. Do not

use or dispense before reading directions and

warnings in accompanying product information.

100 Tablets

Rx only

UPSHER-SMITH

Principal Display Panel 10 Mg Tablet Bottle Label (PRINCIPAL DISPLAY PANEL - 10 mg Tablet Bottle Label)

NDC 0832-1219-50

JANTOVEN ®

Warfarin Sodium

Tablets, USP

10 mg

PHARMACIST: Dispense the Medication Guide

provided separately to each patient.

HIGHLY POTENT ANTICOAGULANT WARNING:

Serious bleeding results from overdosage. Do not use

or dispense before reading directions and warnings in

accompanying product information.

500 Tablets

Rx only

UPSHER-SMITH

Principal Display Panel 2½ Mg Tablet Bottle Label (PRINCIPAL DISPLAY PANEL - 2½ mg Tablet Bottle Label)

NDC 0832-1213-00

JANTOVEN ®

Warfarin Sodium

Tablets, USP

2½ mg

PHARMACIST: Dispense the Medication

Guide provided separately to each patient.

HIGHLY POTENT ANTICOAGULANT WARNING:

Serious bleeding results from overdosage. Do not

use or dispense before reading directions and

warnings in accompanying product information.

100 Tablets

Rx only

UPSHER-SMITH

Principal Display Panel 7½ Mg Tablet Bottle Label (PRINCIPAL DISPLAY PANEL - 7½ mg Tablet Bottle Label)

NDC 0832-1218-00

JANTOVEN ®

Warfarin Sodium

Tablets, USP

7½ mg

PHARMACIST: Dispense the Medication

Guide provided separately to each patient.

HIGHLY POTENT ANTICOAGULANT WARNING:

Serious bleeding results from overdosage. Do not

use or dispense before reading directions and

warnings in accompanying product information.

100 Tablets

Rx only

UPSHER-SMITH

5.5 Systemic Atheroemboli and Cholesterol Microemboli

Anticoagulation therapy with JANTOVEN may enhance the release of atheromatous plaque emboli. Systemic atheroemboli and cholesterol microemboli can present with a variety of signs and symptoms depending on the site of embolization. The most commonly involved visceral organs are the kidneys followed by the pancreas, spleen, and liver. Some cases have progressed to necrosis or death. A distinct syndrome resulting from microemboli to the feet is known as "purple toes syndrome." Discontinue JANTOVEN therapy if such phenomena are observed. Consider alternative drugs if continued anticoagulation therapy is necessary.

5.7 Use in Pregnant Women With Mechanical Heart Valves (5.7 Use in Pregnant Women with Mechanical Heart Valves)

JANTOVEN can cause fetal harm when administered to a pregnant woman. While JANTOVEN is contraindicated during pregnancy, the potential benefits of using JANTOVEN may outweigh the risks for pregnant women with mechanical heart valves at high risk of thromboembolism. In those individual situations, the decision to initiate or continue JANTOVEN should be reviewed with the patient, taking into consideration the specific risks and benefits pertaining to the individual patient's medical situation, as well as the most current medical guidelines. JANTOVEN exposure during pregnancy causes a recognized pattern of major congenital malformations (warfarin embryopathy and fetotoxicity), fatal fetal hemorrhage, and an increased risk of spontaneous abortion and fetal mortality. If this drug is used during pregnancy, or if the patient becomes pregnant while taking this drug, the patient should be apprised of the potential hazard to a fetus [see Use in Specific Populations (8.1) ].

13.1 Carcinogenesis, Mutagenesis, Impairment of Fertility

Carcinogenicity, mutagenicity, or fertility studies have not been performed with warfarin.

5.6 Limb Ischemia, Necrosis, and Gangrene in Patients With Hit and Hitts (5.6 Limb Ischemia, Necrosis, and Gangrene in Patients with HIT and HITTS)

Do not use JANTOVEN as initial therapy in patients with heparin-induced thrombocytopenia (HIT) and with heparin-induced thrombocytopenia with thrombosis syndrome (HITTS). Cases of limb ischemia, necrosis, and gangrene have occurred in patients with HIT and HITTS when heparin treatment was discontinued and warfarin therapy was started or continued. In some patients, sequelae have included amputation of the involved area and/or death. Treatment with JANTOVEN may be considered after the platelet count has normalized.

2.2 Recommended Target Inr Ranges and Durations for Individual Indications (2.2 Recommended Target INR Ranges and Durations for Individual Indications)

An INR of greater than 4.0 appears to provide no additional therapeutic benefit in most patients and is associated with a higher risk of bleeding.


Advanced Ingredient Data


Raw Label Data

All Sections (JSON)