Fluphenazine Decanoate Injection, Usp

Fluphenazine Decanoate Injection, Usp
SPL v7
SPL
SPL Set ID 1967dc24-f2a5-4095-baa9-a9d1c5410311
Routes
INTRAMUSCULAR SUBCUTANEOUS
Published
Effective Date 2025-01-29
Document Type 34391-3 HUMAN PRESCRIPTION DRUG LABEL

Drug Facts

Composition & Product

Active Ingredients
Fluphenazine (25 mg)
Inactive Ingredients
Benzyl Alcohol Sesame Oil

Identifiers & Packaging

Marketing Status
ANDA Active Since 1996-08-30

Description

Rx only

Indications and Usage

Fluphenazine Decanoate Injection, USP is a long-acting parenteral antipsychotic drug intended for use in the management of patients requiring prolonged parenteral neuroleptic therapy (e.g., chronic schizophrenics). Fluphenazine Decanoate Injection, USP has not been shown effective in the management of behavioral complications in patients with mental retardation.

Dosage and Administration

Parenteral drug products should be inspected visually for particulate matter and discoloration prior to administration, whenever solution and container permit. Fluphenazine decanoate injection may be given intramuscularly or subcutaneously. A dry syringe and needle of at least 21 gauge should be used. Use of a wet needle or syringe may cause the solution to become cloudy. To begin therapy with fluphenazine decanoate the following regimens are suggested: For most patients , a dose of 12.5 to 25 mg (0.5 to 1 mL) may be given to initiate therapy. The onset of action generally appears between 24 and 72 hours after injection and the effects of the drug on psychotic symptoms becomes significant within 48 to 96 hours. Subsequent injections and the dosage interval are determined in accordance with the patient’s response. When administered as maintenance therapy, a single injection may be effective in controlling schizophrenic symptoms up to four weeks or longer. The response to a single dose has been found to last as long as six weeks in a few patients on maintenance therapy. It may be advisable that patients who have no history of taking phenothiazines should be treated initially with a shorter-acting form of fluphenazine before administering the decanoate to determine the patient’s response to fluphenazine and to establish appropriate dosage. For psychotic patients who have been stabilized on a fixed daily dosage of fluphenazine hydrochloride tablets, fluphenazine hydrochloride elixir, or fluphenazine hydrochloride oral solution, conversion of therapy from these short-acting oral forms to the long-acting injectable fluphenazine decanoate may be indicated. Appropriate dosage of fluphenazine decanoate injection should be individualized for each patient and responses carefully monitored. No precise formula can be given to convert to use of fluphenazine decanoate; however, a controlled multicentered study 1 , in patients receiving oral doses from 5 to 60 mg fluphenazine hydrochloride daily, showed that 20 mg fluphenazine hydrochloride daily was equivalent to 25 mg (1 mL) fluphenazine decanoate every three weeks. This represents an approximate conversion ratio of 0.5 mL (12.5 mg) of decanoate every three weeks for every 10 mg of fluphenazine hydrochloride daily. Once conversion to fluphenazine decanoate is made, careful clinical monitoring of the patient and appropriate dosage adjustment should be made at the time of each injection. Severely agitated patients may be treated initially with a rapid-acting phenothiazine compound such as fluphenazine hydrochloride injection (see package insert accompanying that product for complete information). When acute symptoms have subsided, 25 mg (1 mL) of fluphenazine decanoate may be administered; subsequent dosage is adjusted as necessary. “Poor risk” patients (those with known hypersensitivity to phenothiazines, or with disorders that predispose to undue reactions): Therapy may be initiated cautiously with oral or parenteral fluphenazine hydrochloride (see package inserts accompanying these products for complete information). When the pharmacologic effects and an appropriate dosage are apparent, an equivalent dose of fluphenazine decanoate may be administered. Subsequent dosage adjustments are made in accordance with the response of the patient. The optimal amount of the drug and the frequency of administration must be determined for each patient, since dosage requirements have been found to vary with clinical circumstances as well as with individual response to the drug. Dosage should not exceed 100 mg. If doses greater than 50 mg are deemed necessary, the next dose and succeeding doses should be increased cautiously in increments of 12.5 mg.

Contraindications

Phenothiazines are contraindicated in patients with suspected or established subcortical brain damage. Phenothiazine compounds should not be used in patients receiving large doses of hypnotics. Fluphenazine decanoate injection is contraindicated in comatose or severely depressed states. The presence of blood dyscrasia or liver damage precludes the use of fluphenazine decanoate. Fluphenazine decanoate is not intended for use in children under 12 years of age. Fluphenazine decanoate injection is contraindicated in patients who have shown hypersensitivity to fluphenazine; cross-sensitivity to phenothiazine derivatives may occur.

How Supplied

Fluphenazine Decanoate Injection, USP, 25 mg/mL is available in 5 mL multiple dose vials, packaged in individual cartons. NDC 0143-9529-01. Protect from light.  Store at 20° to 25°C (68° to 77°F) [See USP Controlled Room Temperature]; avoid freezing and excessive heat. To report SUSPECTED ADVERSE REACTIONS, contact Hikma Pharmaceuticals USA Inc. at 1-877-845-0689, or the FDA at 1-800-FDA-1088 or www.fda.gov/medwatch . For Product Inquiry call 1-877-845-0689.


Medication Information

Recent Major Changes

WARNING 

Increased Mortality in Elderly Patients with Dementia-Related Psychosis: Elderly patients with dementia-related psychosis treated with antipsychotic drugs are at an increased risk of death. Analyses of seventeen placebo-controlled trials (modal duration of 10 weeks), largely in patients taking atypical antipsychotic drugs, revealed a risk of death in drug-treated patients of between 1.6 to 1.7 times the risk of death in placebo-treated patients. Over the course of a typical 10-week controlled trial, the rate of death in drug-treated patients was about 4.5%, compared to a rate of about 2.6% in the placebo group. Although the causes of death were varied, most of the deaths appeared to be either cardiovascular (e.g., heart failure, sudden death) or infectious (e.g., pneumonia) in nature. Observational studies suggest that, similar to atypical antipsychotic drugs, treatment with conventional antipsychotic drugs may increase mortality. The extent to which the findings of increased mortality in observational studies may be attributed to the antipsychotic drug as opposed to some characteristic(s) of the patient is not clear. Fluphenazine decanoate injection is not approved for the treatment of patients with dementia-related psychosis (see WARNINGS ).

Indications and Usage

Fluphenazine Decanoate Injection, USP is a long-acting parenteral antipsychotic drug intended for use in the management of patients requiring prolonged parenteral neuroleptic therapy (e.g., chronic schizophrenics).

Fluphenazine Decanoate Injection, USP has not been shown effective in the management of behavioral complications in patients with mental retardation.

Dosage and Administration

Parenteral drug products should be inspected visually for particulate matter and discoloration prior to administration, whenever solution and container permit.

Fluphenazine decanoate injection may be given intramuscularly or subcutaneously. A dry syringe and needle of at least 21 gauge should be used. Use of a wet needle or syringe may cause the solution to become cloudy.

To begin therapy with fluphenazine decanoate the following regimens are suggested:

For most patients, a dose of 12.5 to 25 mg (0.5 to 1 mL) may be given to initiate therapy. The onset of action generally appears between 24 and 72 hours after injection and the effects of the drug on psychotic symptoms becomes significant within 48 to 96 hours. Subsequent injections and the dosage interval are determined in accordance with the patient’s response. When administered as maintenance therapy, a single injection may be effective in controlling schizophrenic symptoms up to four weeks or longer. The response to a single dose has been found to last as long as six weeks in a few patients on maintenance therapy.

It may be advisable that patients who have no history of taking phenothiazines should be treated initially with a shorter-acting form of fluphenazine before administering the decanoate to determine the patient’s response to fluphenazine and to establish appropriate dosage. For psychotic patients who have been stabilized on a fixed daily dosage of fluphenazine hydrochloride tablets, fluphenazine hydrochloride elixir, or fluphenazine hydrochloride oral solution, conversion of therapy from these short-acting oral forms to the long-acting injectable fluphenazine decanoate may be indicated.

Appropriate dosage of fluphenazine decanoate injection should be individualized for each patient and responses carefully monitored. No precise formula can be given to convert to use of fluphenazine decanoate; however, a controlled multicentered study1, in patients receiving oral doses from 5 to 60 mg fluphenazine hydrochloride daily, showed that 20 mg fluphenazine hydrochloride daily was equivalent to 25 mg (1 mL) fluphenazine decanoate every three weeks. This represents an approximate conversion ratio of 0.5 mL (12.5 mg) of decanoate every three weeks for every 10 mg of fluphenazine hydrochloride daily.

Once conversion to fluphenazine decanoate is made, careful clinical monitoring of the patient and appropriate dosage adjustment should be made at the time of each injection.

Severely agitated patients may be treated initially with a rapid-acting phenothiazine compound such as fluphenazine hydrochloride injection (see package insert accompanying that product for complete information). When acute symptoms have subsided, 25 mg (1 mL) of fluphenazine decanoate may be administered; subsequent dosage is adjusted as necessary.

“Poor risk” patients (those with known hypersensitivity to phenothiazines, or with disorders that predispose to undue reactions): Therapy may be initiated cautiously with oral or parenteral fluphenazine hydrochloride (see package inserts accompanying these products for complete information). When the pharmacologic effects and an appropriate dosage are apparent, an equivalent dose of fluphenazine decanoate may be administered. Subsequent dosage adjustments are made in accordance with the response of the patient.

The optimal amount of the drug and the frequency of administration must be determined for each patient, since dosage requirements have been found to vary with clinical circumstances as well as with individual response to the drug.

Dosage should not exceed 100 mg. If doses greater than 50 mg are deemed necessary, the next dose and succeeding doses should be increased cautiously in increments of 12.5 mg.

Contraindications

Phenothiazines are contraindicated in patients with suspected or established subcortical brain damage. Phenothiazine compounds should not be used in patients receiving large doses of hypnotics. Fluphenazine decanoate injection is contraindicated in comatose or severely depressed states. The presence of blood dyscrasia or liver damage precludes the use of fluphenazine decanoate. Fluphenazine decanoate is not intended for use in children under 12 years of age. Fluphenazine decanoate injection is contraindicated in patients who have shown hypersensitivity to fluphenazine; cross-sensitivity to phenothiazine derivatives may occur.

How Supplied

Fluphenazine Decanoate Injection, USP, 25 mg/mL is available in 5 mL multiple dose vials, packaged in individual cartons. NDC 0143-9529-01.

Protect from light. 

Store at 20° to 25°C (68° to 77°F) [See USP Controlled Room Temperature]; avoid freezing and excessive heat.

To report SUSPECTED ADVERSE REACTIONS, contact Hikma Pharmaceuticals USA Inc. at 1-877-845-0689, or the FDA at 1-800-FDA-1088 or www.fda.gov/medwatch.

For Product Inquiry call 1-877-845-0689.

Description

Fluphenazine decanoate is the decanoate ester of a trifluoromethyl phenothiazine derivative. It is a highly potent behavior modifier with a markedly extended duration of effect. Fluphenazine Decanoate Injection, USP is a sterile injection, available for intramuscular or subcutaneous administration, providing 25 mg fluphenazine decanoate per mL in a sesame oil vehicle with 1.2% (w/v) benzyl alcohol as a preservative. At the time of manufacture, the air in the vials is replaced by nitrogen.

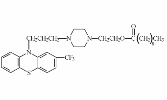
The chemical name of fluphenazine decanoate is 4-[3-[2-(Trifluoromethyl)-10H-phenothiazin-10-yl]propyl]-1-piperazineethanol decanoate. It has the following structural formula:

Molecular Formula = C32H44F3N3O2S                                         M.W.= 591.78

Falls:

Fluphenazine decanoate may cause somnolence, postural hypotension, motor and sensory instability, which may lead to falls and, consequently, fractures or other injuries. For patients with diseases, conditions, or medications that could exacerbate these effects, complete fall risk assessments when initiating antipsychotic treatment and recurrently for patients on long-term antipsychotic therapy.

Section 42229-5

Rx only

Others:

Sudden, unexpected and unexplained deaths have been reported in hospitalized psychotic patients receiving phenothiazines. Previous brain damage or seizures may be predisposing factors; high doses should be avoided in known seizure patients. Several patients have shown sudden flare-ups of psychotic behavior patterns shortly before death. Autopsy findings have usually revealed acute fulminating pneumonia or pneumonitis, aspiration of gastric contents, or intramyocardial lesions.

Although this is not a general feature of fluphenazine, potentiation of central nervous system depressants (opiates, analgesics, antihistamines, barbiturates, alcohol) may occur.

The following adverse reactions have also occurred with phenothiazine derivatives; systemic lupus erythematosus-like syndrome, hypotension severe enough to cause fatal cardiac arrest, altered electrocardiographic and electroencephalographic tracings, altered cerebrospinal fluid proteins, cerebral edema, asthma, laryngeal edema, and angioneurotic edema; with long-term use — skin pigmentation, and lenticular and corneal opacities.

Injections of fluphenazine decanoate are extremely well tolerated, local tissue reactions occurring only rarely.

General:

Because of the possibility of cross-sensitivity, fluphenazine decanoate should be used cautiously in patients who have developed cholestatic jaundice, dermatoses, or other allergic reactions to phenothiazine derivatives.

Psychotic patients on large doses of a phenothiazine drug who are undergoing surgery should be watched carefully for possible hypotensive phenomena. Moreover, it should be remembered that reduced amounts of anesthetics or central nervous system depressants may be necessary.

The effects of atropine may be potentiated in some patients receiving fluphenazine because of added anticholinergic effects.

Fluphenazine decanoate should be used cautiously in patients exposed to extreme heat or phosphorous insecticides.

The preparation should be used with caution in patients with a history of convulsive disorders, since grand mal convulsions have been known to occur.

Use with caution in patients with special medical disorders such as mitral insufficiency or other cardiovascular diseases and pheochromocytoma.

The possibility of liver damage, pigmentary retinopathy, lenticular and corneal deposits, and development of irreversible dyskinesia should be remembered when patients are on prolonged therapy.

Outside state hospitals or other psychiatric institutions, fluphenazine decanoate should be administered under the direction of a physician experienced in the clinical use of psychotropic drugs, particularly phenothiazine derivatives. Furthermore, facilities should be available for periodic checking of hepatic function, renal function, and the blood picture. Renal function of patients on long-term therapy should be monitored; if BUN (blood urea nitrogen) becomes abnormal, treatment should be discontinued.

As with any phenothiazine, the physician should be alert to the possible development of “silent pneumonias” in patients under treatment with fluphenazine decanoate.

Neuroleptic drugs elevate prolactin levels; the elevation persists during chronic administration. Tissue culture experiments indicate that approximately one-third of human breast cancers are prolactin dependent in vitro, a factor of potential importance if the prescription of these drugs is contemplated in a patient with a previously detected breast cancer. Although disturbances such as galactorrhea, amenorrhea, gynecomastia, and impotence have been reported, the clinical significance of elevated serum prolactin levels is unknown for most patients. An increase in mammary neoplasms has been found in rodents after chronic administration of neuroleptic drugs. Published epidemiologic studies have shown inconsistent results when exploring the association between hyperprolactinemia and breast cancer.

Hepatic:

Liver damage as manifested by cholestatic jaundice may be encountered, particularly during the first months of therapy; treatment should be discontinued if this occurs. An increase in cephalin flocculation, sometimes accompanied by alterations in other liver function tests, has been reported in patients receiving the enanthate ester of fluphenazine (a closely related compound) who have had no clinical evidence of liver damage.

Dystonia:

Class effect: Symptoms of dystonia, prolonged abnormal contractions of muscle groups, may occur in susceptible individuals during the first few days of treatment. Dystonic symptoms include: spasm of the neck muscles, sometimes progressing to tightness of the throat, swallowing difficulty, difficulty breathing, and/or protrusion of the tongue. While these symptoms can occur at low doses, they occur more frequently and with greater severity with high potency and at higher doses of first generation antipsychotic drugs. An elevated risk of acute dystonia is observed in males and younger age groups.

References
  • The Initiation of Long-Term Pharmacotherapy in Schizophrenia: Dosage and Side Effect Comparisons Between Oral and Depot Fluphenazine; N.R. Schooler; Pharmakopsych. 9:159-169, 1976.

 

Manufactured by

HIKMA FARMACÊUTICA (PORTUGAL), S.A.

Estrada do Rio da Mó, 8, 8A e 8B – Fervença – 2705-906 Terrugem SNT, PORTUGAL

Distributed by

Hikma Pharmaceuticals USA Inc.

Berkeley Heights, NJ 07922

PIN409-WES/4

Revised January 2025

Hematologic:

Routine blood counts are advisable during therapy since blood dyscrasias including leukopenia, agranulocytosis, thrombocytopenic or nonthrombocytopenic purpura, eosinophilia, and pancytopenia have been observed with phenothiazine derivatives. Furthermore, if any soreness of the mouth, gums, or throat, or any symptoms of upper respiratory infection occur and confirmatory leukocyte count indicates cellular depression, therapy should be discontinued and other appropriate measures instituted immediately.

Other Cns Effects:

Occurrences of neuroleptic malignant syndrome (NMS) have been reported in patients on neuroleptic therapy (see WARNINGS , Neuroleptic Malignant Syndrome (NMS) ); leukocytosis, elevated CPK, liver function abnormalities, and acute renal failure may also occur with NMS.

Drowsiness or lethargy, if they occur, may necessitate a reduction in dosage; the induction of a catatonic-like state has been known to occur with dosages of fluphenazine far in excess of the recommended amounts. As with other phenothiazine compounds, reactivation or aggravation of psychotic processes may be encountered.

Phenothiazine derivatives have been known to cause, in some patients, restlessness, excitement, or bizarre dreams.

Allergic Reactions:

Skin disorders such as itching, erythema, urticaria, seborrhea, photosensitivity, eczema and even exfoliative dermatitis have been reported with phenothiazine derivatives. The possibility of anaphylactoid reactions occurring in some patients should be borne in mind.

Tardive Dyskinesia:

Tardive dyskinesia, a syndrome consisting of potentially irreversible, involuntary, dyskinetic movements may develop in patients treated with neuroleptic (antipsychotic) drugs. Although the prevalence of the syndrome appears to be highest among the elderly, especially elderly women, it is impossible to rely upon prevalence estimates to predict, at the inception of neuroleptic treatment, which patients are likely to develop the syndrome. Whether neuroleptic drug products differ in their potential to cause tardive dyskinesia is unknown.

Both the risk of developing the syndrome and the likelihood that it will become irreversible are believed to increase as the duration of treatment and the total cumulative dose of neuroleptic drugs administered to the patient increase. However, the syndrome can develop, although much less commonly, after relatively brief treatment periods at low doses.

There is no known treatment for established cases of tardive dyskinesia, although the syndrome may remit, partially or completely, if neuroleptic treatment is withdrawn. Neuroleptic treatment, itself, however, may suppress (or partially suppress) the signs and symptoms of the syndrome and thereby may possibly mask the underlying disease process. The effect that symptomatic suppression has upon the long-term course of the syndrome is unknown.

Given these considerations, neuroleptics should be prescribed in a manner that is most likely to minimize the occurrence of tardive dyskinesia. Chronic neuroleptic treatment should generally be reserved for patients who suffer from a chronic illness that, 1) is known to respond to neuroleptic drugs, and 2) for whom alternative, equally effective, but potentially less harmful treatments are not available or appropriate. In patients who do require chronic treatment, the smallest dose and the shortest duration of treatment producing a satisfactory clinical response should be sought. The need for continued treatment should be reassessed periodically.

If signs and symptoms of tardive dyskinesia appear in a patient on neuroleptics, drug discontinuation should be considered. However, some patients may require treatment despite the presence of the syndrome.

(For further information about the description of tardive dyskinesia and its clinical detection, please refer to the sections on  PRECAUTIONS, Information for Patients and ADVERSE REACTIONS , Tardive Dyskinesia .)

Clinical Pharmacology

The basic effects of fluphenazine decanoate appear to be no different from those of fluphenazine hydrochloride, with the exception of duration of action. The esterification of fluphenazine markedly prolongs the drug’s duration of effect without unduly attenuating its beneficial action.

Fluphenazine decanoate has activity at all levels of the central nervous system as well as on multiple organ systems. The mechanism whereby its therapeutic action is exerted is unknown.

Fluphenazine differs from other phenothiazine derivatives in several respects: it is more potent on a milligram basis, it has less potentiating effect on central nervous system depressants and anesthetics than do some of the phenothiazines and appears to be less sedating, and it is less likely than some of the older phenothiazines to produce hypotension (nevertheless, appropriate cautions should be observed - See Sections on PRECAUTIONS and ADVERSE REACTIONS ).

Central Nervous System:

The side effects most frequently reported with phenothiazine compounds are extrapyramidal symptoms including pseudoparkinsonism, dystonia, dyskinesia, akathisia, oculogyric crises, opisthotonos, and hyperreflexia. Muscle rigidity sometimes accompanied by hyperthermia has been reported following use of fluphenazine decanoate. Most often these extrapyramidal symptoms are reversible, however, they may be persistent (see below). The frequency of such reactions is related in part to chemical structure: one can expect a higher incidence with fluphenazine decanoate than with less potent piperazine derivatives or with straight-chain phenothiazines such as chlorpromazine. With any given phenothiazine derivative, the incidence and severity of such reactions depend more on individual patient sensitivity than on other factors, but dosage level and patient age are also determinants.

Extrapyramidal reactions may be alarming, and the patient should be forewarned and reassured. These reactions can usually be controlled by administration of antiparkinsonian drugs such as Benztropine Mesylate or intravenous Caffeine and Sodium Benzoate Injection, and by subsequent reduction in dosage.

Metabolic and Endocrine:

Weight change, peripheral edema, abnormal lactation, gynecomastia, menstrual irregularities, false results on pregnancy tests, impotency in men and increased libido in women have all been known to occur in some patients on phenothiazine therapy.

Autonomic Nervous System:

Hypertension and fluctuations in blood pressure have been reported with fluphenazine.

Hypotension has rarely presented a problem with fluphenazine. However, patients with pheochromocytoma, cerebral vascular or renal insufficiency, or a severe cardiac reserve deficiency such as mitral insufficiency appear to be particularly prone to hypotensive reactions with phenothiazine compounds, and should therefore be observed closely when the drug is administered. If severe hypotension should occur, supportive measures including the use of intravenous vasopressor drugs should be instituted immediately. Norepinephrine Bitartrate Injection is the most suitable drug for this purpose; epinephrine should not be used since phenothiazine derivatives have been found to reverse its action, resulting in a further lowering of blood pressure.

Autonomic reactions including nausea and loss of appetite, salivation, polyuria, perspiration, dry mouth, headache, and constipation may occur. Autonomic effects can usually be controlled by reducing or temporarily discontinuing dosage.

In some patients, phenothiazine derivatives have caused blurred vision, glaucoma, bladder paralysis, fecal impaction, paralytic ileus, tachycardia, or nasal congestion.

Information for Patients:

Given the likelihood that some patients exposed chronically to neuroleptics will develop tardive dyskinesia, it is advised that all patients in whom chronic use is contemplated be given, if possible, full information about this risk. The decision to inform patients and/or their guardians must obviously take into account the clinical circumstances and the competency of the patient to understand the information provided.

Principal Display Panel Vial

NDC 0143-9529-01   Rx only

FLUPHENAZINE

DECANOATE INJECTION, USP

125 mg per 5 mL

(25 mg/mL)

For Intramuscular or

or Subcutaneous use


5 mL Multiple Dose Vial

Principal Display Panel Carton

NDC 0143-9529-01  Rx only

FLUPHENAZINE

DECANOATE INJECTION, USP

125 mg per 5 mL

(25 mg/mL)

For Intramuscular

or Subcutaneous use

5 mL Multiple Dose Vial

Pregnancy: Non Teratogenic Effects:

Neonates exposed to antipsychotic drugs, during the third trimester of pregnancy are at risk for extrapyramidal and/or withdrawal symptoms following delivery. There have been reports of agitation, hypertonia, hypotonia, tremor, somnolence, respiratory distress and feeding disorder in these neonates. These complications have varied in severity; while in some cases symptoms have been self-limited, in other cases neonates have required intesive care unit support and prolonged hospitalization.

Fluphenazine decanoate should be used during pregnancy only if the potential benefit justifies the potential risk to the fetus.

Neuroleptic Malignant Syndrome (nms):

A potentially fatal symptom complex sometimes referred to as Neuroleptic Malignant Syndrome (NMS) has been reported in association with antipsychotic drugs. Clinical manifestations of NMS are hyperpyrexia, muscle rigidity, altered mental status and evidence of autonomic instability (irregular pulse or blood pressure, tachycardia, diaphoresis, and cardiac dysrhythmias).

The diagnostic evaluation of patients with this syndrome is complicated. In arriving at a diagnosis, it is important to identify cases where the clinical presentation includes both serious medical illness (e.g., pneumonia, systemic infection, etc.) and untreated or inadequately treated extrapyramidal signs and symptoms (EPS). Other important considerations in the different diagnosis include central anticholinergic toxicity, heat stroke, drug fever and primary central nervous system (CNS) pathology.

The management of NMS should include 1) immediate discontinuation of antipsychotic drugs and other drugs not essential to concurrent therapy, 2) intensive symptomatic treatment and medical monitoring, and 3) treatment of any concomitant serious medical problems for which specific treatments are available. There is no general agreement about specific pharmacological treatment regimens for uncomplicated NMS.

If a patient requires antipsychotic drug treatment after recovery from NMS, the potential reintroduction of drug therapy should be carefully considered. The patient should be carefully monitored, since recurrences of NMS have been reported.

Leukopenia, Neutropenia and Agranulocytosis:

In clinical trial and postmarketing experience, events of leukopenia/neutropenia and agranulocytosis have been reported temporally related to antipsychotic agents.

Possible risk factors for leukopenia/neutropenia include preexisting low white blood cell count (WBC) and history of drug induced leukopenia/neutropenia. Patients with preexisting low WBC or a history of drug induced leukopenia/neutropenia should have their complete blood count (CBC) monitored frequently during the first few months of therapy and should discontinue Fluphenazine Decanoate Injection, USP at the first sign of a decline in WBC in the absence of other causative factors.

Patients with neutropenia should be carefully monitored for fever or other symptoms or signs of infection and treated promptly if such symptoms or signs occur. Patients with severe neutropenia (absolute neutrophil count < 1000/mm3) should discontinue Fluphenazine Decanoate Injection, USP and have their WBC followed until recovery.

Increased Mortality in Elderly Patients With Dementia Related Psychosis:

Elderly patients with dementia-related psychosis treated with antipsychotic drugs are at an increased risk of death. Fluphenazine decanoate injection is not approved for the treatment of patients with dementia-related psychosis (see BOXED WARNING ).


Structured Label Content

Falls:

Fluphenazine decanoate may cause somnolence, postural hypotension, motor and sensory instability, which may lead to falls and, consequently, fractures or other injuries. For patients with diseases, conditions, or medications that could exacerbate these effects, complete fall risk assessments when initiating antipsychotic treatment and recurrently for patients on long-term antipsychotic therapy.

Recent Major Changes (34066-1)

WARNING 

Increased Mortality in Elderly Patients with Dementia-Related Psychosis: Elderly patients with dementia-related psychosis treated with antipsychotic drugs are at an increased risk of death. Analyses of seventeen placebo-controlled trials (modal duration of 10 weeks), largely in patients taking atypical antipsychotic drugs, revealed a risk of death in drug-treated patients of between 1.6 to 1.7 times the risk of death in placebo-treated patients. Over the course of a typical 10-week controlled trial, the rate of death in drug-treated patients was about 4.5%, compared to a rate of about 2.6% in the placebo group. Although the causes of death were varied, most of the deaths appeared to be either cardiovascular (e.g., heart failure, sudden death) or infectious (e.g., pneumonia) in nature. Observational studies suggest that, similar to atypical antipsychotic drugs, treatment with conventional antipsychotic drugs may increase mortality. The extent to which the findings of increased mortality in observational studies may be attributed to the antipsychotic drug as opposed to some characteristic(s) of the patient is not clear. Fluphenazine decanoate injection is not approved for the treatment of patients with dementia-related psychosis (see WARNINGS ).

Section 42229-5 (42229-5)

Rx only

Others:

Sudden, unexpected and unexplained deaths have been reported in hospitalized psychotic patients receiving phenothiazines. Previous brain damage or seizures may be predisposing factors; high doses should be avoided in known seizure patients. Several patients have shown sudden flare-ups of psychotic behavior patterns shortly before death. Autopsy findings have usually revealed acute fulminating pneumonia or pneumonitis, aspiration of gastric contents, or intramyocardial lesions.

Although this is not a general feature of fluphenazine, potentiation of central nervous system depressants (opiates, analgesics, antihistamines, barbiturates, alcohol) may occur.

The following adverse reactions have also occurred with phenothiazine derivatives; systemic lupus erythematosus-like syndrome, hypotension severe enough to cause fatal cardiac arrest, altered electrocardiographic and electroencephalographic tracings, altered cerebrospinal fluid proteins, cerebral edema, asthma, laryngeal edema, and angioneurotic edema; with long-term use — skin pigmentation, and lenticular and corneal opacities.

Injections of fluphenazine decanoate are extremely well tolerated, local tissue reactions occurring only rarely.

General:

Because of the possibility of cross-sensitivity, fluphenazine decanoate should be used cautiously in patients who have developed cholestatic jaundice, dermatoses, or other allergic reactions to phenothiazine derivatives.

Psychotic patients on large doses of a phenothiazine drug who are undergoing surgery should be watched carefully for possible hypotensive phenomena. Moreover, it should be remembered that reduced amounts of anesthetics or central nervous system depressants may be necessary.

The effects of atropine may be potentiated in some patients receiving fluphenazine because of added anticholinergic effects.

Fluphenazine decanoate should be used cautiously in patients exposed to extreme heat or phosphorous insecticides.

The preparation should be used with caution in patients with a history of convulsive disorders, since grand mal convulsions have been known to occur.

Use with caution in patients with special medical disorders such as mitral insufficiency or other cardiovascular diseases and pheochromocytoma.

The possibility of liver damage, pigmentary retinopathy, lenticular and corneal deposits, and development of irreversible dyskinesia should be remembered when patients are on prolonged therapy.

Outside state hospitals or other psychiatric institutions, fluphenazine decanoate should be administered under the direction of a physician experienced in the clinical use of psychotropic drugs, particularly phenothiazine derivatives. Furthermore, facilities should be available for periodic checking of hepatic function, renal function, and the blood picture. Renal function of patients on long-term therapy should be monitored; if BUN (blood urea nitrogen) becomes abnormal, treatment should be discontinued.

As with any phenothiazine, the physician should be alert to the possible development of “silent pneumonias” in patients under treatment with fluphenazine decanoate.

Neuroleptic drugs elevate prolactin levels; the elevation persists during chronic administration. Tissue culture experiments indicate that approximately one-third of human breast cancers are prolactin dependent in vitro, a factor of potential importance if the prescription of these drugs is contemplated in a patient with a previously detected breast cancer. Although disturbances such as galactorrhea, amenorrhea, gynecomastia, and impotence have been reported, the clinical significance of elevated serum prolactin levels is unknown for most patients. An increase in mammary neoplasms has been found in rodents after chronic administration of neuroleptic drugs. Published epidemiologic studies have shown inconsistent results when exploring the association between hyperprolactinemia and breast cancer.

Hepatic:

Liver damage as manifested by cholestatic jaundice may be encountered, particularly during the first months of therapy; treatment should be discontinued if this occurs. An increase in cephalin flocculation, sometimes accompanied by alterations in other liver function tests, has been reported in patients receiving the enanthate ester of fluphenazine (a closely related compound) who have had no clinical evidence of liver damage.

Dystonia:

Class effect: Symptoms of dystonia, prolonged abnormal contractions of muscle groups, may occur in susceptible individuals during the first few days of treatment. Dystonic symptoms include: spasm of the neck muscles, sometimes progressing to tightness of the throat, swallowing difficulty, difficulty breathing, and/or protrusion of the tongue. While these symptoms can occur at low doses, they occur more frequently and with greater severity with high potency and at higher doses of first generation antipsychotic drugs. An elevated risk of acute dystonia is observed in males and younger age groups.

References (REFERENCES)
  • The Initiation of Long-Term Pharmacotherapy in Schizophrenia: Dosage and Side Effect Comparisons Between Oral and Depot Fluphenazine; N.R. Schooler; Pharmakopsych. 9:159-169, 1976.

 

Manufactured by

HIKMA FARMACÊUTICA (PORTUGAL), S.A.

Estrada do Rio da Mó, 8, 8A e 8B – Fervença – 2705-906 Terrugem SNT, PORTUGAL

Distributed by

Hikma Pharmaceuticals USA Inc.

Berkeley Heights, NJ 07922

PIN409-WES/4

Revised January 2025

Description (DESCRIPTION)

Fluphenazine decanoate is the decanoate ester of a trifluoromethyl phenothiazine derivative. It is a highly potent behavior modifier with a markedly extended duration of effect. Fluphenazine Decanoate Injection, USP is a sterile injection, available for intramuscular or subcutaneous administration, providing 25 mg fluphenazine decanoate per mL in a sesame oil vehicle with 1.2% (w/v) benzyl alcohol as a preservative. At the time of manufacture, the air in the vials is replaced by nitrogen.

The chemical name of fluphenazine decanoate is 4-[3-[2-(Trifluoromethyl)-10H-phenothiazin-10-yl]propyl]-1-piperazineethanol decanoate. It has the following structural formula:

Molecular Formula = C32H44F3N3O2S                                         M.W.= 591.78

How Supplied (HOW SUPPLIED)

Fluphenazine Decanoate Injection, USP, 25 mg/mL is available in 5 mL multiple dose vials, packaged in individual cartons. NDC 0143-9529-01.

Protect from light. 

Store at 20° to 25°C (68° to 77°F) [See USP Controlled Room Temperature]; avoid freezing and excessive heat.

To report SUSPECTED ADVERSE REACTIONS, contact Hikma Pharmaceuticals USA Inc. at 1-877-845-0689, or the FDA at 1-800-FDA-1088 or www.fda.gov/medwatch.

For Product Inquiry call 1-877-845-0689.

Hematologic:

Routine blood counts are advisable during therapy since blood dyscrasias including leukopenia, agranulocytosis, thrombocytopenic or nonthrombocytopenic purpura, eosinophilia, and pancytopenia have been observed with phenothiazine derivatives. Furthermore, if any soreness of the mouth, gums, or throat, or any symptoms of upper respiratory infection occur and confirmatory leukocyte count indicates cellular depression, therapy should be discontinued and other appropriate measures instituted immediately.

Contraindications (CONTRAINDICATIONS)

Phenothiazines are contraindicated in patients with suspected or established subcortical brain damage. Phenothiazine compounds should not be used in patients receiving large doses of hypnotics. Fluphenazine decanoate injection is contraindicated in comatose or severely depressed states. The presence of blood dyscrasia or liver damage precludes the use of fluphenazine decanoate. Fluphenazine decanoate is not intended for use in children under 12 years of age. Fluphenazine decanoate injection is contraindicated in patients who have shown hypersensitivity to fluphenazine; cross-sensitivity to phenothiazine derivatives may occur.

Other Cns Effects: (Other CNS Effects:)

Occurrences of neuroleptic malignant syndrome (NMS) have been reported in patients on neuroleptic therapy (see WARNINGS , Neuroleptic Malignant Syndrome (NMS) ); leukocytosis, elevated CPK, liver function abnormalities, and acute renal failure may also occur with NMS.

Drowsiness or lethargy, if they occur, may necessitate a reduction in dosage; the induction of a catatonic-like state has been known to occur with dosages of fluphenazine far in excess of the recommended amounts. As with other phenothiazine compounds, reactivation or aggravation of psychotic processes may be encountered.

Phenothiazine derivatives have been known to cause, in some patients, restlessness, excitement, or bizarre dreams.

Allergic Reactions:

Skin disorders such as itching, erythema, urticaria, seborrhea, photosensitivity, eczema and even exfoliative dermatitis have been reported with phenothiazine derivatives. The possibility of anaphylactoid reactions occurring in some patients should be borne in mind.

Tardive Dyskinesia:

Tardive dyskinesia, a syndrome consisting of potentially irreversible, involuntary, dyskinetic movements may develop in patients treated with neuroleptic (antipsychotic) drugs. Although the prevalence of the syndrome appears to be highest among the elderly, especially elderly women, it is impossible to rely upon prevalence estimates to predict, at the inception of neuroleptic treatment, which patients are likely to develop the syndrome. Whether neuroleptic drug products differ in their potential to cause tardive dyskinesia is unknown.

Both the risk of developing the syndrome and the likelihood that it will become irreversible are believed to increase as the duration of treatment and the total cumulative dose of neuroleptic drugs administered to the patient increase. However, the syndrome can develop, although much less commonly, after relatively brief treatment periods at low doses.

There is no known treatment for established cases of tardive dyskinesia, although the syndrome may remit, partially or completely, if neuroleptic treatment is withdrawn. Neuroleptic treatment, itself, however, may suppress (or partially suppress) the signs and symptoms of the syndrome and thereby may possibly mask the underlying disease process. The effect that symptomatic suppression has upon the long-term course of the syndrome is unknown.

Given these considerations, neuroleptics should be prescribed in a manner that is most likely to minimize the occurrence of tardive dyskinesia. Chronic neuroleptic treatment should generally be reserved for patients who suffer from a chronic illness that, 1) is known to respond to neuroleptic drugs, and 2) for whom alternative, equally effective, but potentially less harmful treatments are not available or appropriate. In patients who do require chronic treatment, the smallest dose and the shortest duration of treatment producing a satisfactory clinical response should be sought. The need for continued treatment should be reassessed periodically.

If signs and symptoms of tardive dyskinesia appear in a patient on neuroleptics, drug discontinuation should be considered. However, some patients may require treatment despite the presence of the syndrome.

(For further information about the description of tardive dyskinesia and its clinical detection, please refer to the sections on  PRECAUTIONS, Information for Patients and ADVERSE REACTIONS , Tardive Dyskinesia .)

Clinical Pharmacology (CLINICAL PHARMACOLOGY)

The basic effects of fluphenazine decanoate appear to be no different from those of fluphenazine hydrochloride, with the exception of duration of action. The esterification of fluphenazine markedly prolongs the drug’s duration of effect without unduly attenuating its beneficial action.

Fluphenazine decanoate has activity at all levels of the central nervous system as well as on multiple organ systems. The mechanism whereby its therapeutic action is exerted is unknown.

Fluphenazine differs from other phenothiazine derivatives in several respects: it is more potent on a milligram basis, it has less potentiating effect on central nervous system depressants and anesthetics than do some of the phenothiazines and appears to be less sedating, and it is less likely than some of the older phenothiazines to produce hypotension (nevertheless, appropriate cautions should be observed - See Sections on PRECAUTIONS and ADVERSE REACTIONS ).

Indications and Usage (INDICATIONS AND USAGE)

Fluphenazine Decanoate Injection, USP is a long-acting parenteral antipsychotic drug intended for use in the management of patients requiring prolonged parenteral neuroleptic therapy (e.g., chronic schizophrenics).

Fluphenazine Decanoate Injection, USP has not been shown effective in the management of behavioral complications in patients with mental retardation.

Central Nervous System:

The side effects most frequently reported with phenothiazine compounds are extrapyramidal symptoms including pseudoparkinsonism, dystonia, dyskinesia, akathisia, oculogyric crises, opisthotonos, and hyperreflexia. Muscle rigidity sometimes accompanied by hyperthermia has been reported following use of fluphenazine decanoate. Most often these extrapyramidal symptoms are reversible, however, they may be persistent (see below). The frequency of such reactions is related in part to chemical structure: one can expect a higher incidence with fluphenazine decanoate than with less potent piperazine derivatives or with straight-chain phenothiazines such as chlorpromazine. With any given phenothiazine derivative, the incidence and severity of such reactions depend more on individual patient sensitivity than on other factors, but dosage level and patient age are also determinants.

Extrapyramidal reactions may be alarming, and the patient should be forewarned and reassured. These reactions can usually be controlled by administration of antiparkinsonian drugs such as Benztropine Mesylate or intravenous Caffeine and Sodium Benzoate Injection, and by subsequent reduction in dosage.

Metabolic and Endocrine:

Weight change, peripheral edema, abnormal lactation, gynecomastia, menstrual irregularities, false results on pregnancy tests, impotency in men and increased libido in women have all been known to occur in some patients on phenothiazine therapy.

Autonomic Nervous System:

Hypertension and fluctuations in blood pressure have been reported with fluphenazine.

Hypotension has rarely presented a problem with fluphenazine. However, patients with pheochromocytoma, cerebral vascular or renal insufficiency, or a severe cardiac reserve deficiency such as mitral insufficiency appear to be particularly prone to hypotensive reactions with phenothiazine compounds, and should therefore be observed closely when the drug is administered. If severe hypotension should occur, supportive measures including the use of intravenous vasopressor drugs should be instituted immediately. Norepinephrine Bitartrate Injection is the most suitable drug for this purpose; epinephrine should not be used since phenothiazine derivatives have been found to reverse its action, resulting in a further lowering of blood pressure.

Autonomic reactions including nausea and loss of appetite, salivation, polyuria, perspiration, dry mouth, headache, and constipation may occur. Autonomic effects can usually be controlled by reducing or temporarily discontinuing dosage.

In some patients, phenothiazine derivatives have caused blurred vision, glaucoma, bladder paralysis, fecal impaction, paralytic ileus, tachycardia, or nasal congestion.

Dosage and Administration (DOSAGE AND ADMINISTRATION)

Parenteral drug products should be inspected visually for particulate matter and discoloration prior to administration, whenever solution and container permit.

Fluphenazine decanoate injection may be given intramuscularly or subcutaneously. A dry syringe and needle of at least 21 gauge should be used. Use of a wet needle or syringe may cause the solution to become cloudy.

To begin therapy with fluphenazine decanoate the following regimens are suggested:

For most patients, a dose of 12.5 to 25 mg (0.5 to 1 mL) may be given to initiate therapy. The onset of action generally appears between 24 and 72 hours after injection and the effects of the drug on psychotic symptoms becomes significant within 48 to 96 hours. Subsequent injections and the dosage interval are determined in accordance with the patient’s response. When administered as maintenance therapy, a single injection may be effective in controlling schizophrenic symptoms up to four weeks or longer. The response to a single dose has been found to last as long as six weeks in a few patients on maintenance therapy.

It may be advisable that patients who have no history of taking phenothiazines should be treated initially with a shorter-acting form of fluphenazine before administering the decanoate to determine the patient’s response to fluphenazine and to establish appropriate dosage. For psychotic patients who have been stabilized on a fixed daily dosage of fluphenazine hydrochloride tablets, fluphenazine hydrochloride elixir, or fluphenazine hydrochloride oral solution, conversion of therapy from these short-acting oral forms to the long-acting injectable fluphenazine decanoate may be indicated.

Appropriate dosage of fluphenazine decanoate injection should be individualized for each patient and responses carefully monitored. No precise formula can be given to convert to use of fluphenazine decanoate; however, a controlled multicentered study1, in patients receiving oral doses from 5 to 60 mg fluphenazine hydrochloride daily, showed that 20 mg fluphenazine hydrochloride daily was equivalent to 25 mg (1 mL) fluphenazine decanoate every three weeks. This represents an approximate conversion ratio of 0.5 mL (12.5 mg) of decanoate every three weeks for every 10 mg of fluphenazine hydrochloride daily.

Once conversion to fluphenazine decanoate is made, careful clinical monitoring of the patient and appropriate dosage adjustment should be made at the time of each injection.

Severely agitated patients may be treated initially with a rapid-acting phenothiazine compound such as fluphenazine hydrochloride injection (see package insert accompanying that product for complete information). When acute symptoms have subsided, 25 mg (1 mL) of fluphenazine decanoate may be administered; subsequent dosage is adjusted as necessary.

“Poor risk” patients (those with known hypersensitivity to phenothiazines, or with disorders that predispose to undue reactions): Therapy may be initiated cautiously with oral or parenteral fluphenazine hydrochloride (see package inserts accompanying these products for complete information). When the pharmacologic effects and an appropriate dosage are apparent, an equivalent dose of fluphenazine decanoate may be administered. Subsequent dosage adjustments are made in accordance with the response of the patient.

The optimal amount of the drug and the frequency of administration must be determined for each patient, since dosage requirements have been found to vary with clinical circumstances as well as with individual response to the drug.

Dosage should not exceed 100 mg. If doses greater than 50 mg are deemed necessary, the next dose and succeeding doses should be increased cautiously in increments of 12.5 mg.

Information for Patients:

Given the likelihood that some patients exposed chronically to neuroleptics will develop tardive dyskinesia, it is advised that all patients in whom chronic use is contemplated be given, if possible, full information about this risk. The decision to inform patients and/or their guardians must obviously take into account the clinical circumstances and the competency of the patient to understand the information provided.

Principal Display Panel Vial (PRINCIPAL DISPLAY PANEL - Vial)

NDC 0143-9529-01   Rx only

FLUPHENAZINE

DECANOATE INJECTION, USP

125 mg per 5 mL

(25 mg/mL)

For Intramuscular or

or Subcutaneous use


5 mL Multiple Dose Vial

Principal Display Panel Carton (PRINCIPAL DISPLAY PANEL - CARTON)

NDC 0143-9529-01  Rx only

FLUPHENAZINE

DECANOATE INJECTION, USP

125 mg per 5 mL

(25 mg/mL)

For Intramuscular

or Subcutaneous use

5 mL Multiple Dose Vial

Pregnancy: Non Teratogenic Effects: (Pregnancy: Non-teratogenic Effects:)

Neonates exposed to antipsychotic drugs, during the third trimester of pregnancy are at risk for extrapyramidal and/or withdrawal symptoms following delivery. There have been reports of agitation, hypertonia, hypotonia, tremor, somnolence, respiratory distress and feeding disorder in these neonates. These complications have varied in severity; while in some cases symptoms have been self-limited, in other cases neonates have required intesive care unit support and prolonged hospitalization.

Fluphenazine decanoate should be used during pregnancy only if the potential benefit justifies the potential risk to the fetus.

Neuroleptic Malignant Syndrome (nms): (Neuroleptic Malignant Syndrome (NMS):)

A potentially fatal symptom complex sometimes referred to as Neuroleptic Malignant Syndrome (NMS) has been reported in association with antipsychotic drugs. Clinical manifestations of NMS are hyperpyrexia, muscle rigidity, altered mental status and evidence of autonomic instability (irregular pulse or blood pressure, tachycardia, diaphoresis, and cardiac dysrhythmias).

The diagnostic evaluation of patients with this syndrome is complicated. In arriving at a diagnosis, it is important to identify cases where the clinical presentation includes both serious medical illness (e.g., pneumonia, systemic infection, etc.) and untreated or inadequately treated extrapyramidal signs and symptoms (EPS). Other important considerations in the different diagnosis include central anticholinergic toxicity, heat stroke, drug fever and primary central nervous system (CNS) pathology.

The management of NMS should include 1) immediate discontinuation of antipsychotic drugs and other drugs not essential to concurrent therapy, 2) intensive symptomatic treatment and medical monitoring, and 3) treatment of any concomitant serious medical problems for which specific treatments are available. There is no general agreement about specific pharmacological treatment regimens for uncomplicated NMS.

If a patient requires antipsychotic drug treatment after recovery from NMS, the potential reintroduction of drug therapy should be carefully considered. The patient should be carefully monitored, since recurrences of NMS have been reported.

Leukopenia, Neutropenia and Agranulocytosis:

In clinical trial and postmarketing experience, events of leukopenia/neutropenia and agranulocytosis have been reported temporally related to antipsychotic agents.

Possible risk factors for leukopenia/neutropenia include preexisting low white blood cell count (WBC) and history of drug induced leukopenia/neutropenia. Patients with preexisting low WBC or a history of drug induced leukopenia/neutropenia should have their complete blood count (CBC) monitored frequently during the first few months of therapy and should discontinue Fluphenazine Decanoate Injection, USP at the first sign of a decline in WBC in the absence of other causative factors.

Patients with neutropenia should be carefully monitored for fever or other symptoms or signs of infection and treated promptly if such symptoms or signs occur. Patients with severe neutropenia (absolute neutrophil count < 1000/mm3) should discontinue Fluphenazine Decanoate Injection, USP and have their WBC followed until recovery.

Increased Mortality in Elderly Patients With Dementia Related Psychosis: (Increased Mortality in Elderly Patients with Dementia-Related Psychosis:)

Elderly patients with dementia-related psychosis treated with antipsychotic drugs are at an increased risk of death. Fluphenazine decanoate injection is not approved for the treatment of patients with dementia-related psychosis (see BOXED WARNING ).


Advanced Ingredient Data


Raw Label Data

All Sections (JSON)