These Highlights Do Not Include All The Information Needed To Use Pirfenidone Capsules, Safely And Effectively. See Full Prescribing Information For Pirfenidone Capsules.

These Highlights Do Not Include All The Information Needed To Use Pirfenidone Capsules, Safely And Effectively. See Full Prescribing Information For Pirfenidone Capsules.
SPL v1
SPL
SPL Set ID 16fca4fc-b641-4ee8-a2ee-a35189ce1f3b
Route
ORAL
Published
Effective Date 2022-04-03
Document Type 34391-3 HUMAN PRESCRIPTION DRUG LABEL

Drug Facts

Composition & Product

Active Ingredients
Pirfenidone (267 mg)
Inactive Ingredients
Croscarmellose Sodium Microcrystalline Cellulose Povidone, Unspecified Magnesium Stearate Titanium Dioxide Gelatin, Unspecified Shellac Ferrosoferric Oxide Ferric Oxide Red Ferric Oxide Yellow Ammonia

Identifiers & Packaging

Pill Appearance
Imprint: PFD;267;mg Shape: capsule Color: white Size: 19 mm Score: 1
Marketing Status
ANDA Active Since 2022-08-02

Description

Adverse Reactions ( 6.1 ) 2/2022

Indications and Usage

Pirfenidone is indicated for the treatment of idiopathic pulmonary fibrosis (IPF).

Dosage and Administration

Take with food. Recommended dosage: 801 mg three times daily (2403 mg/day). ( 2 ) Upon initiation of treatment, titrate to the full dosage of 2403 mg/day over a 14-day period as follows: Treatment days Dosage Days 1 through 7 267 mg three times daily (801 mg/day) Days 8 through 14 534 mg three times daily (1602 mg/day) Days 15 onward 801 mg three times daily (2403 mg/day) Consider temporary dosage reduction, treatment interruption, or discontinuation for management of adverse reactions. ( 2.3 , 5.1 , 5.2 , 5.3 ) Prior to treatment, conduct liver function tests. ( 2.1 )

Warnings and Precautions

Elevated liver enzymes and drug-induced liver injury: ALT, AST, and bilirubin elevations have occurred with pirfenidone including cases of drug-induced liver injury. In the postmarketing setting, non-serious and serious cases of drug-induced liver injury, including severe liver injury with fatal outcomes, have been reported. Monitor ALT, AST, and bilirubin before and during treatment. Temporary dosage reductions or discontinuations may be required. ( 2.1 , 5.1 ) Photosensitivity and rash: Photosensitivity and rash have been noted with pirfenidone. Avoid exposure to sunlight and sunlamps. Wear sunscreen and protective clothing daily. Temporary dosage reductions or discontinuations may be required. ( 5.2 ) Gastrointestinal disorders: Nausea, vomiting, diarrhea, dyspepsia, gastroesophageal reflux disease, and abdominal pain have occurred with pirfenidone. Temporary dosage reductions or discontinuations may be required. ( 5.3 )

Contraindications

None.

Adverse Reactions

Patients who miss 14 or more days of pirfenidone should re-initiate treatment by undergoing the initial 2-week titration regimen up to the full maintenance dosage [see Dosage and Administration (2.2) ] . For treatment interruption of less than 14 days, the dosage prior to the interruption can be resumed. If patients experience significant adverse reactions (i.e., gastrointestinal, photosensitivity reaction or rash), consider temporary dosage reductions or interruptions of pirfenidone to allow for resolution of symptoms [see Warnings and Precautions (5.1 , 5.2 , 5.3) ] .

Drug Interactions

Moderate (e.g., ciprofloxacin) and strong inhibitors of CYP1A2 (e.g., fluvoxamine) increase systemic exposure of pirfenidone and may alter the adverse reaction profile of pirfenidone. Discontinue fluvoxamine prior to administration of pirfenidone or reduce to 267 mg three times a day. Consider dosage reduction with use of ciprofloxacin. ( 7.1 )

Storage and Handling

Pirfenidone capsules are white opaque hard gelatin capsules contain 267 mg pirfenidone. The cap of the capsule imprinted “SG” and “441” on body with brown ink. The capsule is supplied in a bottle. NDC 69097-940-04, bottle containing 90 capsules and closed with a child-resistant closure NDC 69097-940-93, bottle containing 270 capsules and closed with a non child-resistant closure Store at 25°C (77°F); excursions permitted to 15° to 30°C (59° to 86°F) (see USP Controlled Room Temperature). Keep the bottle tightly closed. Do not use if the seal over the bottle opening is broken or missing. Safely throw away any pirfenidone that is out of date or no longer needed.

How Supplied

Pirfenidone capsules are white opaque hard gelatin capsules contain 267 mg pirfenidone. The cap of the capsule imprinted “SG” and “441” on body with brown ink. The capsule is supplied in a bottle. NDC 69097-940-04, bottle containing 90 capsules and closed with a child-resistant closure NDC 69097-940-93, bottle containing 270 capsules and closed with a non child-resistant closure Store at 25°C (77°F); excursions permitted to 15° to 30°C (59° to 86°F) (see USP Controlled Room Temperature). Keep the bottle tightly closed. Do not use if the seal over the bottle opening is broken or missing. Safely throw away any pirfenidone that is out of date or no longer needed.


Medication Information

Warnings and Precautions

Elevated liver enzymes and drug-induced liver injury: ALT, AST, and bilirubin elevations have occurred with pirfenidone including cases of drug-induced liver injury. In the postmarketing setting, non-serious and serious cases of drug-induced liver injury, including severe liver injury with fatal outcomes, have been reported. Monitor ALT, AST, and bilirubin before and during treatment. Temporary dosage reductions or discontinuations may be required. ( 2.1 , 5.1 ) Photosensitivity and rash: Photosensitivity and rash have been noted with pirfenidone. Avoid exposure to sunlight and sunlamps. Wear sunscreen and protective clothing daily. Temporary dosage reductions or discontinuations may be required. ( 5.2 ) Gastrointestinal disorders: Nausea, vomiting, diarrhea, dyspepsia, gastroesophageal reflux disease, and abdominal pain have occurred with pirfenidone. Temporary dosage reductions or discontinuations may be required. ( 5.3 )

Indications and Usage

Pirfenidone is indicated for the treatment of idiopathic pulmonary fibrosis (IPF).

Dosage and Administration

Take with food. Recommended dosage: 801 mg three times daily (2403 mg/day). ( 2 ) Upon initiation of treatment, titrate to the full dosage of 2403 mg/day over a 14-day period as follows: Treatment days Dosage Days 1 through 7 267 mg three times daily (801 mg/day) Days 8 through 14 534 mg three times daily (1602 mg/day) Days 15 onward 801 mg three times daily (2403 mg/day) Consider temporary dosage reduction, treatment interruption, or discontinuation for management of adverse reactions. ( 2.3 , 5.1 , 5.2 , 5.3 ) Prior to treatment, conduct liver function tests. ( 2.1 )

Contraindications

None.

Adverse Reactions

Patients who miss 14 or more days of pirfenidone should re-initiate treatment by undergoing the initial 2-week titration regimen up to the full maintenance dosage [see Dosage and Administration (2.2) ] . For treatment interruption of less than 14 days, the dosage prior to the interruption can be resumed. If patients experience significant adverse reactions (i.e., gastrointestinal, photosensitivity reaction or rash), consider temporary dosage reductions or interruptions of pirfenidone to allow for resolution of symptoms [see Warnings and Precautions (5.1 , 5.2 , 5.3) ] .

Drug Interactions

Moderate (e.g., ciprofloxacin) and strong inhibitors of CYP1A2 (e.g., fluvoxamine) increase systemic exposure of pirfenidone and may alter the adverse reaction profile of pirfenidone. Discontinue fluvoxamine prior to administration of pirfenidone or reduce to 267 mg three times a day. Consider dosage reduction with use of ciprofloxacin. ( 7.1 )

Storage and Handling

Pirfenidone capsules are white opaque hard gelatin capsules contain 267 mg pirfenidone. The cap of the capsule imprinted “SG” and “441” on body with brown ink. The capsule is supplied in a bottle. NDC 69097-940-04, bottle containing 90 capsules and closed with a child-resistant closure NDC 69097-940-93, bottle containing 270 capsules and closed with a non child-resistant closure Store at 25°C (77°F); excursions permitted to 15° to 30°C (59° to 86°F) (see USP Controlled Room Temperature). Keep the bottle tightly closed. Do not use if the seal over the bottle opening is broken or missing. Safely throw away any pirfenidone that is out of date or no longer needed.

How Supplied

Pirfenidone capsules are white opaque hard gelatin capsules contain 267 mg pirfenidone. The cap of the capsule imprinted “SG” and “441” on body with brown ink. The capsule is supplied in a bottle. NDC 69097-940-04, bottle containing 90 capsules and closed with a child-resistant closure NDC 69097-940-93, bottle containing 270 capsules and closed with a non child-resistant closure Store at 25°C (77°F); excursions permitted to 15° to 30°C (59° to 86°F) (see USP Controlled Room Temperature). Keep the bottle tightly closed. Do not use if the seal over the bottle opening is broken or missing. Safely throw away any pirfenidone that is out of date or no longer needed.

Description

Adverse Reactions ( 6.1 ) 2/2022

Section 42229-5

Dosage Modification due to Elevated Liver Enzymes

Dosage modifications or interruptions may also be necessary when liver enzyme and bilirubin elevations are exhibited. For liver enzyme elevations, modify the dosage as follows:

If a patient exhibits >3 but ≤5 × the upper limit of normal (ULN) ALT and/or AST without symptoms or hyperbilirubinemia after starting pirfenidone therapy:

  • Discontinue confounding medications, exclude other causes, and monitor the patient closely.
  • Repeat liver chemistry tests as clinically indicated.
  • The full daily dosage may be maintained, if clinically appropriate, or reduced or interrupted (e.g., until liver chemistry tests are within normal limits) with subsequent re-titration to the full dosage as tolerated.

If a patient exhibits >3 but ≤5 × ULN ALT and/or AST accompanied by symptoms or hyperbilirubinemia:

  • Permanently discontinue pirfenidone.
  • Do not rechallenge patient with pirfenidone.

If a patient exhibits >5 × ULN ALT and/or AST:

  • Permanently discontinue pirfenidone.
  • Do not rechallenge patient with pirfenidone.
Section 42230-3
Patient Information

Pirfenidone (pir-FEN-i-done) capsules

What are pirfenidone capsules?

  • Pirfenidone capsules are a prescription medicine used to treat people with a lung disease called idiopathic pulmonary fibrosis (IPF).
  • It is not known if pirfenidone capsules is safe and effective in children.

Before you take pirfenidone, tell your doctor about all of your medical conditions, including if you:

  • have liver problems
  • have kidney problems
  • are a smoker
  • are pregnant or plan to become pregnant. It is not known if pirfenidone will harm your unborn baby.
  • are breastfeeding or plan to breastfeed. It is not known if pirfenidone passes into your breast milk. You and your doctor should decide if you will take pirfenidone.

Tell your doctor about all the medicines you take, including prescription and over-the-counter medicines, vitamins, and herbal supplements.

How should I take pirfenidone capsules?

  • Take pirfenidone capsules exactly as your doctor tells you to take it.
  • Your doctor may change your dose of pirfenidone capsules as needed.
  • Take pirfenidone capsules with food at the same time each day. This may help to decrease your nausea and dizziness.
    • Pirfenidone capsules 267 mg is supplied as a white opaque capsule. If you have been prescribed pirfenidone capsules 267 mg, take it as follows:
    • Take 1 pirfenidone 267 mg capsule 3 times each day for days 1 through 7.
    • Take 2 pirfenidone 267 mg capsule 3 times each day for days 8 through 14.
    • Take 3 pirfenidone 267 mg capsule 3 times each day on day 15 and each day after.
Pirfenidone Capsules 267 mg Dosing Schedule
Week Morning (Breakfast) Afternoon (Lunch) Evening (Dinner) Total Pills

Each Day
Days 1-7 1 1 1 3
Days 8-14 2 2 2 6
Days 15 onward 3 3 3 9
  • If you miss 14 days or more of pirfenidone call your doctor right away for further instructions about how to take your medicine.
  • Do not take 2 doses at the same time to make up for your missed dose.
  • Do not take more than 3 doses each day.
  • If you take too much pirfenidone, call your doctor or go to the nearest hospital emergency room right away.
  • Your doctor should do certain blood tests before you start taking pirfenidone.

What should I avoid while taking pirfenidone capsules?

  • Avoid sunlight. Pirfenidone can make your skin sensitive to the sun and the light from sunlamps and tanning beds. You could get a severe sunburn. Use sunscreen (SPF 50) and wear a hat and clothes that cover your skin if you have to be in sunlight. Talk to your doctor if you get sunburn or a rash.
  • Avoid taking pirfenidone with other medicines that can make your skin sensitive to the sun, the light from sunlamps and tanning beds.
  • Avoid smoking. Smoking may affect how well pirfenidone works.

What are the possible side effects of pirfenidone capsules?

Pirfenidone capsules may cause serious side effects, including:

  • liver problems. Call your doctor right away if you have unexplained symptoms such as yellowing of your skin or the white part of your eyes (jaundice), dark or brown (tea colored) urine, pain on the upper right side of your stomach area (abdomen), bleeding or bruising more easily than normal, feeling tired.

    Your doctor will do blood tests to check how your liver is working during your treatment with pirfenidone.
  • sensitivity to sunlight (photosensitivity) and rash. See What should I avoid while taking pirfenidone capsules?
  • stomach problems. Pirfenidone may cause stomach problems such as nausea, vomiting, diarrhea, indigestion, heartburn, and stomach pain. Tell your doctor right away if your stomach problems get worse or do not go away. Your doctor may need to change your dose of pirfenidone capsules.

The most common side effects of pirfenidone capsules include feeling tired, insomnia, upper respiratory tract infections, sinusitis, headache, dizziness, decreased weight and decreased or loss of appetite.

These are not all the possible side effects of pirfenidone capsules. Call your doctor for medical advice about side effects. You may report side effects to FDA at 1-800-FDA-1088.

How should I store pirfenidone capsules?

  • Store pirfenidone capsules at room temperature, 77°F (25°C).
  • Keep in a tightly closed container.

Safely throw away any pirfenidone capsules that is out of date or no longer needed. Keep pirfenidone capsules and all medicines out of reach of children.

General information about the safe and effective use of pirfenidone capsules.

Medicines are sometimes prescribed for purposes other than those listed in a Patient Information leaflet. Do not use pirfenidone capsules for a condition for which it was not prescribed. Do not give pirfenidone capsules to other people, even if they have the same symptoms that you have. It may harm them. You can ask your pharmacist or doctor for information about pirfenidone capsules that is written for health professionals.

What are the ingredients in pirfenidone capsules?

Active ingredient: pirfenidone

Inactive ingredients: silicified microcrystalline cellulose, croscarmellose sodium, colloidal silicon dioxide, and magnesium stearate.

Capsule Shell: gelatin, titanium dioxide and sodium lauryl sulfate.

Capsule Brown Printing Ink: shellac glaze, n-butyl alcohol, isopropyl alcohol, ferroso ferric oxide/black iron oxide, iron oxide red, propylene glycol, iron oxide yellow and ammonium hydroxide.

For more information, call ScieGen at (855) 724-3436.

This Patient Information has been approved by the U.S. Food and Drug Administration

Manufactured by:

ScieGen Pharmaceuticals Inc

Hauppauge, NY 11788 USA



Rev. 4/2022

Section 43683-2
Adverse Reactions (6.1) 2/2022
8.8 Smokers

Smoking causes decreased exposure to pirfenidone [see Clinical Pharmacology (12.3)], which may alter the efficacy profile of pirfenidone. Instruct patients to stop smoking prior to treatment with pirfenidone and to avoid smoking when using pirfenidone.

10 Overdosage

There is limited clinical experience with overdosage. Multiple dosages of pirfenidone up to a maximum tolerated dose of 4005 mg per day were administered as five 267 mg capsules three times daily to healthy adult volunteers over a 12-day dose escalation.

In the event of a suspected overdosage, appropriate supportive medical care should be provided, including monitoring of vital signs and observation of the clinical status of the patient.

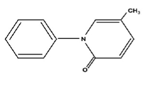
11 Description

Pirfenidone belongs to the chemical class of pyridone. Pirfenidone capsules is available as white opaque hard gelatin capsules containing 267 mg of pirfenidone for oral administration.

Pirfenidone has a molecular formula of C12H11NO and a molecular weight of 185.23. Pirfenidone has the following structural formula, which has been referred to as 5-methyl-1phenyl-2-1(H)-pyridone or 5-methyl-1-phenyl-2-(1H)-pyridone.

Pirfenidone is a white or pale yellow, crystalline powder. It is sparingly soluble in water, freely soluble in ethanol (96%), very slightly soluble in heptane. The melting point is approximately 109°C.

Pirfenidone capsules contain pirfenidone and the following inactive ingredients: silicified microcrystalline cellulose, croscarmellose sodium, colloidal silicon dioxide, and magnesium stearate.

In addition, the capsule shell contains gelatin, titanium dioxide and sodium lauryl sulfate. The capsule brown printing ink includes shellac glaze, n-butyl alcohol, isopropyl alcohol, ferroso ferric oxide/black iron oxide, iron oxide red, propylene glycol, iron oxide yellow and ammonium hydroxide.

8.4 Pediatric Use

Safety and effectiveness of pirfenidone in pediatric patients have not been established.

8.5 Geriatric Use

Of the total number of subjects in the clinical studies receiving pirfenidone, 714 (67%) were 65 years old and over, while 231 (22%) were 75 years old and over. No overall differences in safety or effectiveness were observed between older and younger patients. No dosage adjustment is required based upon age.

14 Clinical Studies

The efficacy of pirfenidone was evaluated in patients with IPF in three phase 3, randomized, double-blind, placebo-controlled, multicenter trials (Studies 1, 2, and 3).

Study 1 was a 52-week trial comparing pirfenidone 2403 mg/day (n=278) versus placebo (n=277) in patients with IPF. Study 2 and Study 3 were nearly identical to each other in design, with few exceptions, including an intermediate dose treatment arm in Study 2. Study 2 compared treatment with either pirfenidone 2403 mg/day (n=174) or pirfenidone 1197 mg/day (n=87) to placebo (n=174), while Study 3 compared pirfenidone 2403 mg/day (n=171) to placebo (n=173). Study drug was administered three times daily with food for a minimum of 72 weeks. Patients continued on treatment until the last patient completed 72 weeks of treatment, which included observations to approximately 120 weeks of study treatment. The primary endpoint was the change in percent predicted forced vital capacity (%FVC) from baseline to study end, measured at 52 weeks in Study 1, and at 72 weeks in Studies 2 and 3.

Studies 1, 2 and 3 enrolled adult patients who had a clinical and radiographic diagnosis of IPF (with or without accompanying surgical lung biopsy), without evidence or suspicion of an alternative diagnosis for interstitial lung disease. Eligible patients were to have %FVC greater than or equal to 50% at baseline and a percent predicted diffusing capacity of the lungs for carbon monoxide (%DLCO) greater than or equal to 30% (Study 1) or 35% (Studies 2 and 3) at baseline. In all three trials, over 80% of patients completed study treatment.

A total of 1247 patients with IPF were randomized to receive pirfenidone 2403 mg/day (n=623) or placebo (n=624) in these three trials. Baseline characteristics were generally balanced across treatment groups. The study population ranged from 40 to 80 years of age (mean age 67 years). Most patients were male (74%), white (95%), and current or former smokers (65%). Approximately 93% of patients met criteria for definite IPF on high resolution computed tomography (HRCT). Baseline mean %FVC and %DLCO were 72% and 46%, respectively. Approximately 15% subjects discontinued from each treatment group.

4 Contraindications

None.

6 Adverse Reactions

The following adverse reactions are discussed in greater detail in other sections of the labeling:

7 Drug Interactions

Moderate (e.g., ciprofloxacin) and strong inhibitors of CYP1A2 (e.g., fluvoxamine) increase systemic exposure of pirfenidone and may alter the adverse reaction profile of pirfenidone. Discontinue fluvoxamine prior to administration of pirfenidone or reduce to 267 mg three times a day. Consider dosage reduction with use of ciprofloxacin. (7.1)

7.2 Cyp1a2 Inducers

The concomitant use of pirfenidone and a CYP1A2 inducer may decrease the exposure of pirfenidone and this may lead to loss of efficacy. Therefore, discontinue use of strong CYP1A2 inducers prior to pirfenidone treatment and avoid the concomitant use of pirfenidone and a strong CYP1A2 inducer [see Clinical Pharmacology (12.3)].

8.7 Renal Impairment

Pirfenidone should be used with caution in patients with mild (CLcr 50–80 mL/min), moderate (CLcr 30–50 mL/min), or severe (CLcr less than 30 mL/min) renal impairment [see Clinical Pharmacology (12.3)]. Monitor for adverse reactions and consider dosage modification or discontinuation of pirfenidone as needed [see Dosage and Administration (2.3)]. The safety, efficacy, and pharmacokinetics of pirfenidone have not been studied in patients with end-stage renal disease requiring dialysis. Use of pirfenidone in patients with end-stage renal diseases requiring dialysis is not recommended.

7.1 Cyp1a2 Inhibitors

Pirfenidone is metabolized primarily (70 to 80%) via CYP1A2 with minor contributions from other CYP isoenzymes including CYP2C9, 2C19, 2D6 and 2E1.

2.2 Recommended Dosage

The recommended daily maintenance dosage of pirfenidone is 801 mg three times daily for a total of 2403 mg/day. Doses should be taken with food at the same time each day.

Upon initiation of treatment, titrate to the full dosage of 2403 mg/day over a 14-day period as follows:

Table 1. Dosage Titration for Pirfenidone in Patients with IPF
Treatment days Dosage
Days 1 through 7 267 mg three times daily (801 mg/day)
Days 8 through 14 534 mg three times daily (1602 mg/day)
Days 15 onward 801 mg three times daily (2403 mg/day)

Dosages above 2403 mg/day are not recommended for any patient. Patients should not take 2 doses at the same time to make up for a missed dose. Patients should not take more than 3 doses per day.

8.6 Hepatic Impairment

Pirfenidone should be used with caution in patients with mild (Child Pugh Class A) to moderate (Child Pugh Class B) hepatic impairment. Monitor for adverse reactions and consider dosage modification or discontinuation of pirfenidone as needed [see Dosage and Administration (2.3)].

The safety, efficacy, and pharmacokinetics of pirfenidone have not been studied in patients with severe hepatic impairment. Pirfenidone is not recommended for use in patients with severe (Child Pugh Class C) hepatic impairment [see Clinical Pharmacology (12.3)].

1 Indications and Usage

Pirfenidone is indicated for the treatment of idiopathic pulmonary fibrosis (IPF).

12.1 Mechanism of Action

The mechanism of action of pirfenidone in the treatment of IPF has not been established.

5 Warnings and Precautions
  • Elevated liver enzymes and drug-induced liver injury: ALT, AST, and bilirubin elevations have occurred with pirfenidone including cases of drug-induced liver injury. In the postmarketing setting, non-serious and serious cases of drug-induced liver injury, including severe liver injury with fatal outcomes, have been reported. Monitor ALT, AST, and bilirubin before and during treatment. Temporary dosage reductions or discontinuations may be required. (2.1, 5.1)
  • Photosensitivity and rash: Photosensitivity and rash have been noted with pirfenidone. Avoid exposure to sunlight and sunlamps. Wear sunscreen and protective clothing daily. Temporary dosage reductions or discontinuations may be required. (5.2)
  • Gastrointestinal disorders: Nausea, vomiting, diarrhea, dyspepsia, gastroesophageal reflux disease, and abdominal pain have occurred with pirfenidone. Temporary dosage reductions or discontinuations may be required. (5.3)
2 Dosage and Administration
  • Take with food.
  • Recommended dosage: 801 mg three times daily (2403 mg/day). (2)
  • Upon initiation of treatment, titrate to the full dosage of 2403 mg/day over a 14-day period as follows:
Treatment days Dosage
Days 1 through 7 267 mg three times daily (801 mg/day)
Days 8 through 14 534 mg three times daily (1602 mg/day)
Days 15 onward 801 mg three times daily (2403 mg/day)
  • Consider temporary dosage reduction, treatment interruption, or discontinuation for management of adverse reactions. (2.3, 5.1, 5.2, 5.3)
  • Prior to treatment, conduct liver function tests. (2.1)
3 Dosage Forms and Strengths

Capsules: 267 mg, off white to pale yellow powder filled in size “ l ” hard gelatin capsules with white opaque colored cap and white opaque colored body imprinted "SG" on cap and “441” on body with brown ink.

6.2 Postmarketing Experience

In addition to adverse reactions identified from clinical trials the following adverse reactions have been identified during post-approval use of pirfenidone. Because these reactions are reported voluntarily from a population of uncertain size, it is not always possible to reliably estimate their frequency.

Blood and Lymphatic System Disorders

Agranulocytosis

Immune System Disorders

Angioedema

Hepatobiliary Disorders

Drug-induced liver injury [see Warnings and Precautions (5.1)]

8 Use in Specific Populations
  • Hepatic Impairment: Monitor for adverse reactions and consider dosage modification or discontinuation of pirfenidone as needed. Pirfenidone is not recommended for use in patients with severe hepatic impairment. (8.6, 12.3)
  • Renal Impairment: Monitor for adverse reactions and consider dosage modification or discontinuation of pirfenidone as needed. Pirfenidone is not recommended for use in patients with end stage renal disease on dialysis. (8.7, 12.3)
  • Smokers: Decreased exposure has been noted in smokers which may alter the efficacy profile of pirfenidone. (8.8)
5.3 Gastrointestinal Disorders

In the clinical studies, gastrointestinal events of nausea, diarrhea, dyspepsia, vomiting, gastro-esophageal reflux disease, and abdominal pain were more frequently reported by patients in the pirfenidone treatment groups than in those taking placebo. Dosage reduction or interruption for gastrointestinal events was required in 18.5% of patients in the 2403 mg/day group, as compared to 5.8% of patients in the placebo group; 2.2% of patients in the pirfenidone 2403 mg/day group discontinued treatment due to a gastrointestinal event, as compared to 1.0% in the placebo group. The most common (>2%) gastrointestinal events that led to dosage reduction or interruption were nausea, diarrhea, vomiting, and dyspepsia. The incidence of gastrointestinal events was highest early in the course of treatment (with highest incidence occurring during the initial 3 months) and decreased over time. Dosage modifications may be necessary in some cases of gastrointestinal adverse reactions [see Dosage and Administration (2.3)].

6.1 Clinical Trials Experience

Because clinical trials are conducted under widely varying conditions, adverse reaction rates observed in the clinical trials of a drug cannot be directly compared to rates in the clinical trials of another drug and may not reflect the rates observed in practice.

The safety of pirfenidone has been evaluated in more than 1400 subjects with over 170 subjects exposed to pirfenidone for more than 5 years in clinical trials.

Pirfenidone was studied in 3 randomized, double-blind, placebo-controlled trials (Studies 1, 2, and 3) in which a total of 623 patients received 2403 mg/day of pirfenidone and 624 patients received placebo. Subjects ages ranged from 40 to 80 years (mean age of 67 years). Most patients were male (74%) and Caucasian (95%). The mean duration of exposure to pirfenidone was 62 weeks (range: 2 to 118 weeks) in these 3 trials.

At the recommended dosage of 2403 mg/day, 14.6% of patients on pirfenidone compared to 9.6% on placebo permanently discontinued treatment because of an adverse event. The most common (>1%) adverse reactions leading to discontinuation were rash and nausea. The most common (>3%) adverse reactions leading to dosage reduction or interruption were rash, nausea, diarrhea, and photosensitivity reaction.

The most common adverse reactions with an incidence of ≥10% and more frequent in the pirfenidone than placebo treatment group are listed in Table 2.

Table 2. Adverse Reactions Occurring in ≥10% of Pirfenidone -Treated Patients and More Commonly Than Placebo in Studies 1, 2, and 3
Adverse Reaction % of Patients (0 to 118 Weeks)
Pirfenidone

2403 mg/day

(N = 623)
Placebo (N = 624)
Nausea 36% 16%
Rash 30% 10%
Abdominal Pain
Includes abdominal pain, upper abdominal pain, abdominal distension, and stomach discomfort.
24% 15%
Upper Respiratory Tract Infection 27% 25%
Diarrhea 26% 20%
Fatigue 26% 19%
Headache 22% 19%
Decreased Appetite 21% 8%
Dyspepsia 19% 7%
Dizziness 18% 11%
Vomiting 13% 6%
Gastro-esophageal Reflux Disease 11% 7%
Sinusitis 11% 10%
Insomnia 10% 7%
Weight Decreased 10% 5%
Arthralgia 10% 7%

Adverse reactions occurring in ≥5 to <10% of pirfenidone-treated patients and more commonly than placebo are photosensitivity reaction (9% vs. 1%), pruritus (8% vs. 5%), asthenia (6% vs. 4%), dysgeusia (6% vs. 2%), and non-cardiac chest pain (5% vs. 4%).

17 Patient Counseling Information

Advise the patient to read the FDA-approved patient labeling (Patient Information).

16 How Supplied/storage and Handling

Pirfenidone capsules are white opaque hard gelatin capsules contain 267 mg pirfenidone. The cap of the capsule imprinted “SG” and “441” on body with brown ink. The capsule is supplied in a bottle.

  • NDC 69097-940-04, bottle containing 90 capsules and closed with a child-resistant closure
  • NDC 69097-940-93, bottle containing 270 capsules and closed with a non child-resistant closure

Store at 25°C (77°F); excursions permitted to 15° to 30°C (59° to 86°F) (see USP Controlled Room Temperature).

Keep the bottle tightly closed. Do not use if the seal over the bottle opening is broken or missing. Safely throw away any pirfenidone that is out of date or no longer needed.

5.2 Photosensitivity Reaction Or Rash

Patients treated with pirfenidone 2403 mg/day in the three Phase 3 studies had a higher incidence of photosensitivity reactions (9%) compared with patients treated with placebo (1%). The majority of the photosensitivity reactions occurred during the initial 6 months. Instruct patients to avoid or minimize exposure to sunlight (including sunlamps), to use a sunblock (SPF 50 or higher), and to wear clothing that protects against sun exposure. Additionally, instruct patients to avoid concomitant medications known to cause photosensitivity. Dosage reduction or discontinuation may be necessary in some cases of photosensitivity reaction or rash [see Dosage and Administration (2.3)].

Principal Display Panel 90 Capsules

NDC 69097-940-04

Rx Only

Pirfenidone

Capsules

267 mg

90 Capsules

Cipla

Principal Display Panel 270 Capsules

NDC 69097-940-93

Rx Only

Pirfenidone

Capsules

267 mg

270 Capsules

Cipla

2.1 Testing Prior to Pirfenidone Administration

Conduct liver function tests prior to initiating treatment with pirfenidone [see Warnings and Precautions (5.1)].

2.3 Dosage Modifications Due to Adverse Reactions

Patients who miss 14 or more days of pirfenidone should re-initiate treatment by undergoing the initial 2-week titration regimen up to the full maintenance dosage [see Dosage and Administration (2.2)]. For treatment interruption of less than 14 days, the dosage prior to the interruption can be resumed.

If patients experience significant adverse reactions (i.e., gastrointestinal, photosensitivity reaction or rash), consider temporary dosage reductions or interruptions of pirfenidone to allow for resolution of symptoms [see Warnings and Precautions (5.1, 5.2, 5.3)].

5.1 Elevated Liver Enzymes and Drug Induced Liver Injury

Cases of drug-induced liver injury (DILI) have been observed with pirfenidone. In the postmarketing period, non-serious and serious cases of DILI, including severe liver injury with fatal outcome, have been reported. Patients treated with pirfenidone 2403 mg/day in three Phase 3 trials had a higher incidence of elevations in ALT or AST ≥3 × ULN than placebo patients (3.7% vs. 0.8%, respectively). Elevations ≥10 × ULN in ALT or AST occurred in 0.3% of patients in the pirfenidone 2403 mg/day group and in 0.2% of patients in the placebo group. Increases in ALT and AST ≥3 × ULN were reversible with dose modification or treatment discontinuation.

Conduct liver function tests (ALT, AST, and bilirubin) prior to the initiation of therapy with pirfenidone, monthly for the first 6 months, every 3 months thereafter, and as clinically indicated. Measure liver function tests promptly in patients who report symptoms that may indicate liver injury, including fatigue, anorexia, right upper abdominal discomfort, dark urine, or jaundice. Dosage modification or interruption may be necessary for liver enzyme elevations [see Dosage and Administration (2.1, 2.3)].


Structured Label Content

Section 42229-5 (42229-5)

Dosage Modification due to Elevated Liver Enzymes

Dosage modifications or interruptions may also be necessary when liver enzyme and bilirubin elevations are exhibited. For liver enzyme elevations, modify the dosage as follows:

If a patient exhibits >3 but ≤5 × the upper limit of normal (ULN) ALT and/or AST without symptoms or hyperbilirubinemia after starting pirfenidone therapy:

  • Discontinue confounding medications, exclude other causes, and monitor the patient closely.
  • Repeat liver chemistry tests as clinically indicated.
  • The full daily dosage may be maintained, if clinically appropriate, or reduced or interrupted (e.g., until liver chemistry tests are within normal limits) with subsequent re-titration to the full dosage as tolerated.

If a patient exhibits >3 but ≤5 × ULN ALT and/or AST accompanied by symptoms or hyperbilirubinemia:

  • Permanently discontinue pirfenidone.
  • Do not rechallenge patient with pirfenidone.

If a patient exhibits >5 × ULN ALT and/or AST:

  • Permanently discontinue pirfenidone.
  • Do not rechallenge patient with pirfenidone.
Section 42230-3 (42230-3)
Patient Information

Pirfenidone (pir-FEN-i-done) capsules

What are pirfenidone capsules?

  • Pirfenidone capsules are a prescription medicine used to treat people with a lung disease called idiopathic pulmonary fibrosis (IPF).
  • It is not known if pirfenidone capsules is safe and effective in children.

Before you take pirfenidone, tell your doctor about all of your medical conditions, including if you:

  • have liver problems
  • have kidney problems
  • are a smoker
  • are pregnant or plan to become pregnant. It is not known if pirfenidone will harm your unborn baby.
  • are breastfeeding or plan to breastfeed. It is not known if pirfenidone passes into your breast milk. You and your doctor should decide if you will take pirfenidone.

Tell your doctor about all the medicines you take, including prescription and over-the-counter medicines, vitamins, and herbal supplements.

How should I take pirfenidone capsules?

  • Take pirfenidone capsules exactly as your doctor tells you to take it.
  • Your doctor may change your dose of pirfenidone capsules as needed.
  • Take pirfenidone capsules with food at the same time each day. This may help to decrease your nausea and dizziness.
    • Pirfenidone capsules 267 mg is supplied as a white opaque capsule. If you have been prescribed pirfenidone capsules 267 mg, take it as follows:
    • Take 1 pirfenidone 267 mg capsule 3 times each day for days 1 through 7.
    • Take 2 pirfenidone 267 mg capsule 3 times each day for days 8 through 14.
    • Take 3 pirfenidone 267 mg capsule 3 times each day on day 15 and each day after.
Pirfenidone Capsules 267 mg Dosing Schedule
Week Morning (Breakfast) Afternoon (Lunch) Evening (Dinner) Total Pills

Each Day
Days 1-7 1 1 1 3
Days 8-14 2 2 2 6
Days 15 onward 3 3 3 9
  • If you miss 14 days or more of pirfenidone call your doctor right away for further instructions about how to take your medicine.
  • Do not take 2 doses at the same time to make up for your missed dose.
  • Do not take more than 3 doses each day.
  • If you take too much pirfenidone, call your doctor or go to the nearest hospital emergency room right away.
  • Your doctor should do certain blood tests before you start taking pirfenidone.

What should I avoid while taking pirfenidone capsules?

  • Avoid sunlight. Pirfenidone can make your skin sensitive to the sun and the light from sunlamps and tanning beds. You could get a severe sunburn. Use sunscreen (SPF 50) and wear a hat and clothes that cover your skin if you have to be in sunlight. Talk to your doctor if you get sunburn or a rash.
  • Avoid taking pirfenidone with other medicines that can make your skin sensitive to the sun, the light from sunlamps and tanning beds.
  • Avoid smoking. Smoking may affect how well pirfenidone works.

What are the possible side effects of pirfenidone capsules?

Pirfenidone capsules may cause serious side effects, including:

  • liver problems. Call your doctor right away if you have unexplained symptoms such as yellowing of your skin or the white part of your eyes (jaundice), dark or brown (tea colored) urine, pain on the upper right side of your stomach area (abdomen), bleeding or bruising more easily than normal, feeling tired.

    Your doctor will do blood tests to check how your liver is working during your treatment with pirfenidone.
  • sensitivity to sunlight (photosensitivity) and rash. See What should I avoid while taking pirfenidone capsules?
  • stomach problems. Pirfenidone may cause stomach problems such as nausea, vomiting, diarrhea, indigestion, heartburn, and stomach pain. Tell your doctor right away if your stomach problems get worse or do not go away. Your doctor may need to change your dose of pirfenidone capsules.

The most common side effects of pirfenidone capsules include feeling tired, insomnia, upper respiratory tract infections, sinusitis, headache, dizziness, decreased weight and decreased or loss of appetite.

These are not all the possible side effects of pirfenidone capsules. Call your doctor for medical advice about side effects. You may report side effects to FDA at 1-800-FDA-1088.

How should I store pirfenidone capsules?

  • Store pirfenidone capsules at room temperature, 77°F (25°C).
  • Keep in a tightly closed container.

Safely throw away any pirfenidone capsules that is out of date or no longer needed. Keep pirfenidone capsules and all medicines out of reach of children.

General information about the safe and effective use of pirfenidone capsules.

Medicines are sometimes prescribed for purposes other than those listed in a Patient Information leaflet. Do not use pirfenidone capsules for a condition for which it was not prescribed. Do not give pirfenidone capsules to other people, even if they have the same symptoms that you have. It may harm them. You can ask your pharmacist or doctor for information about pirfenidone capsules that is written for health professionals.

What are the ingredients in pirfenidone capsules?

Active ingredient: pirfenidone

Inactive ingredients: silicified microcrystalline cellulose, croscarmellose sodium, colloidal silicon dioxide, and magnesium stearate.

Capsule Shell: gelatin, titanium dioxide and sodium lauryl sulfate.

Capsule Brown Printing Ink: shellac glaze, n-butyl alcohol, isopropyl alcohol, ferroso ferric oxide/black iron oxide, iron oxide red, propylene glycol, iron oxide yellow and ammonium hydroxide.

For more information, call ScieGen at (855) 724-3436.

This Patient Information has been approved by the U.S. Food and Drug Administration

Manufactured by:

ScieGen Pharmaceuticals Inc

Hauppauge, NY 11788 USA



Rev. 4/2022

Section 43683-2 (43683-2)
Adverse Reactions (6.1) 2/2022
8.8 Smokers

Smoking causes decreased exposure to pirfenidone [see Clinical Pharmacology (12.3)], which may alter the efficacy profile of pirfenidone. Instruct patients to stop smoking prior to treatment with pirfenidone and to avoid smoking when using pirfenidone.

10 Overdosage (10 OVERDOSAGE)

There is limited clinical experience with overdosage. Multiple dosages of pirfenidone up to a maximum tolerated dose of 4005 mg per day were administered as five 267 mg capsules three times daily to healthy adult volunteers over a 12-day dose escalation.

In the event of a suspected overdosage, appropriate supportive medical care should be provided, including monitoring of vital signs and observation of the clinical status of the patient.

11 Description (11 DESCRIPTION)

Pirfenidone belongs to the chemical class of pyridone. Pirfenidone capsules is available as white opaque hard gelatin capsules containing 267 mg of pirfenidone for oral administration.

Pirfenidone has a molecular formula of C12H11NO and a molecular weight of 185.23. Pirfenidone has the following structural formula, which has been referred to as 5-methyl-1phenyl-2-1(H)-pyridone or 5-methyl-1-phenyl-2-(1H)-pyridone.

Pirfenidone is a white or pale yellow, crystalline powder. It is sparingly soluble in water, freely soluble in ethanol (96%), very slightly soluble in heptane. The melting point is approximately 109°C.

Pirfenidone capsules contain pirfenidone and the following inactive ingredients: silicified microcrystalline cellulose, croscarmellose sodium, colloidal silicon dioxide, and magnesium stearate.

In addition, the capsule shell contains gelatin, titanium dioxide and sodium lauryl sulfate. The capsule brown printing ink includes shellac glaze, n-butyl alcohol, isopropyl alcohol, ferroso ferric oxide/black iron oxide, iron oxide red, propylene glycol, iron oxide yellow and ammonium hydroxide.

8.4 Pediatric Use

Safety and effectiveness of pirfenidone in pediatric patients have not been established.

8.5 Geriatric Use

Of the total number of subjects in the clinical studies receiving pirfenidone, 714 (67%) were 65 years old and over, while 231 (22%) were 75 years old and over. No overall differences in safety or effectiveness were observed between older and younger patients. No dosage adjustment is required based upon age.

14 Clinical Studies (14 CLINICAL STUDIES)

The efficacy of pirfenidone was evaluated in patients with IPF in three phase 3, randomized, double-blind, placebo-controlled, multicenter trials (Studies 1, 2, and 3).

Study 1 was a 52-week trial comparing pirfenidone 2403 mg/day (n=278) versus placebo (n=277) in patients with IPF. Study 2 and Study 3 were nearly identical to each other in design, with few exceptions, including an intermediate dose treatment arm in Study 2. Study 2 compared treatment with either pirfenidone 2403 mg/day (n=174) or pirfenidone 1197 mg/day (n=87) to placebo (n=174), while Study 3 compared pirfenidone 2403 mg/day (n=171) to placebo (n=173). Study drug was administered three times daily with food for a minimum of 72 weeks. Patients continued on treatment until the last patient completed 72 weeks of treatment, which included observations to approximately 120 weeks of study treatment. The primary endpoint was the change in percent predicted forced vital capacity (%FVC) from baseline to study end, measured at 52 weeks in Study 1, and at 72 weeks in Studies 2 and 3.

Studies 1, 2 and 3 enrolled adult patients who had a clinical and radiographic diagnosis of IPF (with or without accompanying surgical lung biopsy), without evidence or suspicion of an alternative diagnosis for interstitial lung disease. Eligible patients were to have %FVC greater than or equal to 50% at baseline and a percent predicted diffusing capacity of the lungs for carbon monoxide (%DLCO) greater than or equal to 30% (Study 1) or 35% (Studies 2 and 3) at baseline. In all three trials, over 80% of patients completed study treatment.

A total of 1247 patients with IPF were randomized to receive pirfenidone 2403 mg/day (n=623) or placebo (n=624) in these three trials. Baseline characteristics were generally balanced across treatment groups. The study population ranged from 40 to 80 years of age (mean age 67 years). Most patients were male (74%), white (95%), and current or former smokers (65%). Approximately 93% of patients met criteria for definite IPF on high resolution computed tomography (HRCT). Baseline mean %FVC and %DLCO were 72% and 46%, respectively. Approximately 15% subjects discontinued from each treatment group.

4 Contraindications (4 CONTRAINDICATIONS)

None.

6 Adverse Reactions (6 ADVERSE REACTIONS)

The following adverse reactions are discussed in greater detail in other sections of the labeling:

7 Drug Interactions (7 DRUG INTERACTIONS)

Moderate (e.g., ciprofloxacin) and strong inhibitors of CYP1A2 (e.g., fluvoxamine) increase systemic exposure of pirfenidone and may alter the adverse reaction profile of pirfenidone. Discontinue fluvoxamine prior to administration of pirfenidone or reduce to 267 mg three times a day. Consider dosage reduction with use of ciprofloxacin. (7.1)

7.2 Cyp1a2 Inducers (7.2 CYP1A2 Inducers)

The concomitant use of pirfenidone and a CYP1A2 inducer may decrease the exposure of pirfenidone and this may lead to loss of efficacy. Therefore, discontinue use of strong CYP1A2 inducers prior to pirfenidone treatment and avoid the concomitant use of pirfenidone and a strong CYP1A2 inducer [see Clinical Pharmacology (12.3)].

8.7 Renal Impairment

Pirfenidone should be used with caution in patients with mild (CLcr 50–80 mL/min), moderate (CLcr 30–50 mL/min), or severe (CLcr less than 30 mL/min) renal impairment [see Clinical Pharmacology (12.3)]. Monitor for adverse reactions and consider dosage modification or discontinuation of pirfenidone as needed [see Dosage and Administration (2.3)]. The safety, efficacy, and pharmacokinetics of pirfenidone have not been studied in patients with end-stage renal disease requiring dialysis. Use of pirfenidone in patients with end-stage renal diseases requiring dialysis is not recommended.

7.1 Cyp1a2 Inhibitors (7.1 CYP1A2 Inhibitors)

Pirfenidone is metabolized primarily (70 to 80%) via CYP1A2 with minor contributions from other CYP isoenzymes including CYP2C9, 2C19, 2D6 and 2E1.

2.2 Recommended Dosage

The recommended daily maintenance dosage of pirfenidone is 801 mg three times daily for a total of 2403 mg/day. Doses should be taken with food at the same time each day.

Upon initiation of treatment, titrate to the full dosage of 2403 mg/day over a 14-day period as follows:

Table 1. Dosage Titration for Pirfenidone in Patients with IPF
Treatment days Dosage
Days 1 through 7 267 mg three times daily (801 mg/day)
Days 8 through 14 534 mg three times daily (1602 mg/day)
Days 15 onward 801 mg three times daily (2403 mg/day)

Dosages above 2403 mg/day are not recommended for any patient. Patients should not take 2 doses at the same time to make up for a missed dose. Patients should not take more than 3 doses per day.

8.6 Hepatic Impairment

Pirfenidone should be used with caution in patients with mild (Child Pugh Class A) to moderate (Child Pugh Class B) hepatic impairment. Monitor for adverse reactions and consider dosage modification or discontinuation of pirfenidone as needed [see Dosage and Administration (2.3)].

The safety, efficacy, and pharmacokinetics of pirfenidone have not been studied in patients with severe hepatic impairment. Pirfenidone is not recommended for use in patients with severe (Child Pugh Class C) hepatic impairment [see Clinical Pharmacology (12.3)].

1 Indications and Usage (1 INDICATIONS AND USAGE)

Pirfenidone is indicated for the treatment of idiopathic pulmonary fibrosis (IPF).

12.1 Mechanism of Action

The mechanism of action of pirfenidone in the treatment of IPF has not been established.

5 Warnings and Precautions (5 WARNINGS AND PRECAUTIONS)
  • Elevated liver enzymes and drug-induced liver injury: ALT, AST, and bilirubin elevations have occurred with pirfenidone including cases of drug-induced liver injury. In the postmarketing setting, non-serious and serious cases of drug-induced liver injury, including severe liver injury with fatal outcomes, have been reported. Monitor ALT, AST, and bilirubin before and during treatment. Temporary dosage reductions or discontinuations may be required. (2.1, 5.1)
  • Photosensitivity and rash: Photosensitivity and rash have been noted with pirfenidone. Avoid exposure to sunlight and sunlamps. Wear sunscreen and protective clothing daily. Temporary dosage reductions or discontinuations may be required. (5.2)
  • Gastrointestinal disorders: Nausea, vomiting, diarrhea, dyspepsia, gastroesophageal reflux disease, and abdominal pain have occurred with pirfenidone. Temporary dosage reductions or discontinuations may be required. (5.3)
2 Dosage and Administration (2 DOSAGE AND ADMINISTRATION)
  • Take with food.
  • Recommended dosage: 801 mg three times daily (2403 mg/day). (2)
  • Upon initiation of treatment, titrate to the full dosage of 2403 mg/day over a 14-day period as follows:
Treatment days Dosage
Days 1 through 7 267 mg three times daily (801 mg/day)
Days 8 through 14 534 mg three times daily (1602 mg/day)
Days 15 onward 801 mg three times daily (2403 mg/day)
  • Consider temporary dosage reduction, treatment interruption, or discontinuation for management of adverse reactions. (2.3, 5.1, 5.2, 5.3)
  • Prior to treatment, conduct liver function tests. (2.1)
3 Dosage Forms and Strengths (3 DOSAGE FORMS AND STRENGTHS)

Capsules: 267 mg, off white to pale yellow powder filled in size “ l ” hard gelatin capsules with white opaque colored cap and white opaque colored body imprinted "SG" on cap and “441” on body with brown ink.

6.2 Postmarketing Experience

In addition to adverse reactions identified from clinical trials the following adverse reactions have been identified during post-approval use of pirfenidone. Because these reactions are reported voluntarily from a population of uncertain size, it is not always possible to reliably estimate their frequency.

Blood and Lymphatic System Disorders

Agranulocytosis

Immune System Disorders

Angioedema

Hepatobiliary Disorders

Drug-induced liver injury [see Warnings and Precautions (5.1)]

8 Use in Specific Populations (8 USE IN SPECIFIC POPULATIONS)
  • Hepatic Impairment: Monitor for adverse reactions and consider dosage modification or discontinuation of pirfenidone as needed. Pirfenidone is not recommended for use in patients with severe hepatic impairment. (8.6, 12.3)
  • Renal Impairment: Monitor for adverse reactions and consider dosage modification or discontinuation of pirfenidone as needed. Pirfenidone is not recommended for use in patients with end stage renal disease on dialysis. (8.7, 12.3)
  • Smokers: Decreased exposure has been noted in smokers which may alter the efficacy profile of pirfenidone. (8.8)
5.3 Gastrointestinal Disorders

In the clinical studies, gastrointestinal events of nausea, diarrhea, dyspepsia, vomiting, gastro-esophageal reflux disease, and abdominal pain were more frequently reported by patients in the pirfenidone treatment groups than in those taking placebo. Dosage reduction or interruption for gastrointestinal events was required in 18.5% of patients in the 2403 mg/day group, as compared to 5.8% of patients in the placebo group; 2.2% of patients in the pirfenidone 2403 mg/day group discontinued treatment due to a gastrointestinal event, as compared to 1.0% in the placebo group. The most common (>2%) gastrointestinal events that led to dosage reduction or interruption were nausea, diarrhea, vomiting, and dyspepsia. The incidence of gastrointestinal events was highest early in the course of treatment (with highest incidence occurring during the initial 3 months) and decreased over time. Dosage modifications may be necessary in some cases of gastrointestinal adverse reactions [see Dosage and Administration (2.3)].

6.1 Clinical Trials Experience

Because clinical trials are conducted under widely varying conditions, adverse reaction rates observed in the clinical trials of a drug cannot be directly compared to rates in the clinical trials of another drug and may not reflect the rates observed in practice.

The safety of pirfenidone has been evaluated in more than 1400 subjects with over 170 subjects exposed to pirfenidone for more than 5 years in clinical trials.

Pirfenidone was studied in 3 randomized, double-blind, placebo-controlled trials (Studies 1, 2, and 3) in which a total of 623 patients received 2403 mg/day of pirfenidone and 624 patients received placebo. Subjects ages ranged from 40 to 80 years (mean age of 67 years). Most patients were male (74%) and Caucasian (95%). The mean duration of exposure to pirfenidone was 62 weeks (range: 2 to 118 weeks) in these 3 trials.

At the recommended dosage of 2403 mg/day, 14.6% of patients on pirfenidone compared to 9.6% on placebo permanently discontinued treatment because of an adverse event. The most common (>1%) adverse reactions leading to discontinuation were rash and nausea. The most common (>3%) adverse reactions leading to dosage reduction or interruption were rash, nausea, diarrhea, and photosensitivity reaction.

The most common adverse reactions with an incidence of ≥10% and more frequent in the pirfenidone than placebo treatment group are listed in Table 2.

Table 2. Adverse Reactions Occurring in ≥10% of Pirfenidone -Treated Patients and More Commonly Than Placebo in Studies 1, 2, and 3
Adverse Reaction % of Patients (0 to 118 Weeks)
Pirfenidone

2403 mg/day

(N = 623)
Placebo (N = 624)
Nausea 36% 16%
Rash 30% 10%
Abdominal Pain
Includes abdominal pain, upper abdominal pain, abdominal distension, and stomach discomfort.
24% 15%
Upper Respiratory Tract Infection 27% 25%
Diarrhea 26% 20%
Fatigue 26% 19%
Headache 22% 19%
Decreased Appetite 21% 8%
Dyspepsia 19% 7%
Dizziness 18% 11%
Vomiting 13% 6%
Gastro-esophageal Reflux Disease 11% 7%
Sinusitis 11% 10%
Insomnia 10% 7%
Weight Decreased 10% 5%
Arthralgia 10% 7%

Adverse reactions occurring in ≥5 to <10% of pirfenidone-treated patients and more commonly than placebo are photosensitivity reaction (9% vs. 1%), pruritus (8% vs. 5%), asthenia (6% vs. 4%), dysgeusia (6% vs. 2%), and non-cardiac chest pain (5% vs. 4%).

17 Patient Counseling Information (17 PATIENT COUNSELING INFORMATION)

Advise the patient to read the FDA-approved patient labeling (Patient Information).

16 How Supplied/storage and Handling (16 HOW SUPPLIED/STORAGE AND HANDLING)

Pirfenidone capsules are white opaque hard gelatin capsules contain 267 mg pirfenidone. The cap of the capsule imprinted “SG” and “441” on body with brown ink. The capsule is supplied in a bottle.

  • NDC 69097-940-04, bottle containing 90 capsules and closed with a child-resistant closure
  • NDC 69097-940-93, bottle containing 270 capsules and closed with a non child-resistant closure

Store at 25°C (77°F); excursions permitted to 15° to 30°C (59° to 86°F) (see USP Controlled Room Temperature).

Keep the bottle tightly closed. Do not use if the seal over the bottle opening is broken or missing. Safely throw away any pirfenidone that is out of date or no longer needed.

5.2 Photosensitivity Reaction Or Rash (5.2 Photosensitivity Reaction or Rash)

Patients treated with pirfenidone 2403 mg/day in the three Phase 3 studies had a higher incidence of photosensitivity reactions (9%) compared with patients treated with placebo (1%). The majority of the photosensitivity reactions occurred during the initial 6 months. Instruct patients to avoid or minimize exposure to sunlight (including sunlamps), to use a sunblock (SPF 50 or higher), and to wear clothing that protects against sun exposure. Additionally, instruct patients to avoid concomitant medications known to cause photosensitivity. Dosage reduction or discontinuation may be necessary in some cases of photosensitivity reaction or rash [see Dosage and Administration (2.3)].

Principal Display Panel 90 Capsules (PRINCIPAL DISPLAY PANEL - 90 Capsules)

NDC 69097-940-04

Rx Only

Pirfenidone

Capsules

267 mg

90 Capsules

Cipla

Principal Display Panel 270 Capsules (PRINCIPAL DISPLAY PANEL - 270 Capsules)

NDC 69097-940-93

Rx Only

Pirfenidone

Capsules

267 mg

270 Capsules

Cipla

2.1 Testing Prior to Pirfenidone Administration

Conduct liver function tests prior to initiating treatment with pirfenidone [see Warnings and Precautions (5.1)].

2.3 Dosage Modifications Due to Adverse Reactions (2.3 Dosage Modifications due to Adverse Reactions)

Patients who miss 14 or more days of pirfenidone should re-initiate treatment by undergoing the initial 2-week titration regimen up to the full maintenance dosage [see Dosage and Administration (2.2)]. For treatment interruption of less than 14 days, the dosage prior to the interruption can be resumed.

If patients experience significant adverse reactions (i.e., gastrointestinal, photosensitivity reaction or rash), consider temporary dosage reductions or interruptions of pirfenidone to allow for resolution of symptoms [see Warnings and Precautions (5.1, 5.2, 5.3)].

5.1 Elevated Liver Enzymes and Drug Induced Liver Injury (5.1 Elevated Liver Enzymes and Drug-Induced Liver Injury)

Cases of drug-induced liver injury (DILI) have been observed with pirfenidone. In the postmarketing period, non-serious and serious cases of DILI, including severe liver injury with fatal outcome, have been reported. Patients treated with pirfenidone 2403 mg/day in three Phase 3 trials had a higher incidence of elevations in ALT or AST ≥3 × ULN than placebo patients (3.7% vs. 0.8%, respectively). Elevations ≥10 × ULN in ALT or AST occurred in 0.3% of patients in the pirfenidone 2403 mg/day group and in 0.2% of patients in the placebo group. Increases in ALT and AST ≥3 × ULN were reversible with dose modification or treatment discontinuation.

Conduct liver function tests (ALT, AST, and bilirubin) prior to the initiation of therapy with pirfenidone, monthly for the first 6 months, every 3 months thereafter, and as clinically indicated. Measure liver function tests promptly in patients who report symptoms that may indicate liver injury, including fatigue, anorexia, right upper abdominal discomfort, dark urine, or jaundice. Dosage modification or interruption may be necessary for liver enzyme elevations [see Dosage and Administration (2.1, 2.3)].


Advanced Ingredient Data


Raw Label Data

All Sections (JSON)