Carbinoxamine Maleate

Carbinoxamine Maleate
SPL v2
SPL
SPL Set ID 163db29b-f035-6696-e063-6294a90a7e06
Route
ORAL
Published
Effective Date 2024-04-16
Document Type 34391-3 HUMAN PRESCRIPTION DRUG LABEL

Drug Facts

Composition & Product

Active Ingredients
Carbinoxamine (6 mg)
Inactive Ingredients
Anhydrous Lactose Microcrystalline Cellulose Magnesium Stearate Sodium Starch Glycolate Type A Potato

Identifiers & Packaging

Pill Appearance
Imprint: 404;ADG Shape: round Color: white Size: 7 mm Score: 1
Marketing Status
ANDA Active Since 2024-04-16

Description

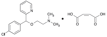
Carbinoxamine maleate is a histamine-H 1 receptor blocking agent. Each tablet contains 6 mg carbinoxamine maleate and the following inactive ingredients: anhydrous lactose, magnesium stearate, microcrystalline cellulose, and sodium starch glycolate. Carbinoxamine maleate is freely soluble in water. Its structure is: 2-[(4-chlorophenyl)-2-pyridinylmethoxy]-N, N-dimethylethanamine (Z)-2-butenedioate (1:1) C 16 H 19 ClN 2 O∙C 4 H 4 O 4 MW=406.86

Indications and Usage

Carbinoxamine maleate is effective for the symptomatic treatment of: Seasonal and perennial allergic rhinitis. Vasomotor rhinitis. Allergic conjunctivitis due to inhalant allergens and foods. Mild, uncomplicated allergic skin manifestations of urticaria and angioedema. Dermatographism. As therapy for anaphylactic reactions adjunctive to epinephrine and other standard measures after the acute manifestations have been controlled. Amelioration of the severity of allergic reactions to blood or plasma.

Dosage and Administration

Carbinoxamine maleate is contraindicated in children younger than 2 years of age (see CONTRAINDICATIONS ). Carbinoxamine maleate should be taken on an empty stomach with water. DOSAGE SHOULD BE INDIVIDUALIZED ACCORDING TO THE NEEDS AND THE RESPONSE OF THE PATIENT. Carbinoxamine maleate dosage should be based on the severity of the condition and the response of the patient. The drug is well tolerated in adults in doses as high as 24 mg daily, in divided doses, over prolonged periods. On the other hand, some patients respond to as little as 4 mg daily. Clinical experience suggests the following dosage schedule: Usual Adult Dosage: 1 tablet (6 mg) 3 to 4 times daily.

Contraindications

Carbinoxamine maleate is contraindicated in children younger than 2 years of age. Carbinoxamine maleate is contraindicated in nursing mothers. Carbinoxamine maleate is contraindicated in patients who are hypersensitive to the drug or on monoamine oxidase inhibitor therapy (see Drug Interactions ).

Adverse Reactions

The most frequent adverse reactions are underlined: Body as a whole: Urticaria, drug rash, anaphylactic shock, photosensitivity, excessive perspiration, chills, dryness of mouth, nose and throat Cardiovascular: Hypotension, headache, palpitations, tachycardia, extrasystoles Hematologic: Hemolytic anemia, thrombocytopenia, agranulocytosis Central nervous system: Sedation , sleepiness , dizziness , disturbed coordination , fatigue, confusion, restlessness, excitation, nervousness, tremor, irritability, insomnia, euphoria, paresthesia, blurred vision, diplopia, vertigo, tinnitus, acute labyrinthitis, hysteria, neuritis, convulsions Gastrointestinal: Epigastric distress , anorexia, nausea, vomiting, diarrhea, constipation Urogenital: Urinary frequency, difficult urination, urinary retention, early menses Respiratory: Thickening of bronchial secretions , tightness of chest and wheezing, nasal stuffiness. Call your doctor for medical advice about side effects. To report side effects, contact BluCrest Pharmaceuticals, LLC at 1-844-700-5011.

Drug Interactions

Monoamine oxidase inhibitors prolong and intensify the anticholinergic (drying) effects of antihistamines. Carbinoxamine maleate has additive effects with alcohol and other CNS depressants (hypnotics, sedatives, tranquilizers, etc.).

How Supplied

Carbinoxamine maleate tablets, USP, 6 mg are supplied as a white, round tablet, debossed "404" on one side and "ADG" on the other side, in bottles of 60 tablets, NDC 73684-110-60.


Medication Information

Indications and Usage

Carbinoxamine maleate is effective for the symptomatic treatment of:

Seasonal and perennial allergic rhinitis.

Vasomotor rhinitis.

Allergic conjunctivitis due to inhalant allergens and foods.

Mild, uncomplicated allergic skin manifestations of urticaria and angioedema.

Dermatographism.

As therapy for anaphylactic reactions adjunctive to epinephrine and other standard measures after the acute manifestations have been controlled.

Amelioration of the severity of allergic reactions to blood or plasma.

Dosage and Administration

Carbinoxamine maleate is contraindicated in children younger than 2 years of age (see CONTRAINDICATIONS ).

Carbinoxamine maleate should be taken on an empty stomach with water.

DOSAGE SHOULD BE INDIVIDUALIZED ACCORDING TO THE NEEDS AND THE RESPONSE OF THE PATIENT.

Carbinoxamine maleate dosage should be based on the severity of the condition and the response of the patient. The drug is well tolerated in adults in doses as high as 24 mg daily, in divided doses, over prolonged periods. On the other hand, some patients respond to as little as 4 mg daily.

Clinical experience suggests the following dosage schedule:

Usual Adult Dosage: 1 tablet (6 mg) 3 to 4 times daily.

Contraindications

Carbinoxamine maleate is contraindicated in children younger than 2 years of age.

Carbinoxamine maleate is contraindicated in nursing mothers.

Carbinoxamine maleate is contraindicated in patients who are hypersensitive to the drug or on monoamine oxidase inhibitor therapy (see Drug Interactions ).

Adverse Reactions

The most frequent adverse reactions are underlined:

Body as a whole:Urticaria, drug rash, anaphylactic shock, photosensitivity, excessive perspiration, chills, dryness of mouth, nose and throat

Cardiovascular:Hypotension, headache, palpitations, tachycardia, extrasystoles

Hematologic:Hemolytic anemia, thrombocytopenia, agranulocytosis

Central nervous system: Sedation, sleepiness, dizziness, disturbed coordination, fatigue, confusion, restlessness, excitation, nervousness, tremor, irritability, insomnia, euphoria, paresthesia, blurred vision, diplopia, vertigo, tinnitus, acute labyrinthitis, hysteria, neuritis, convulsions

Gastrointestinal: Epigastric distress, anorexia, nausea, vomiting, diarrhea, constipation

Urogenital:Urinary frequency, difficult urination, urinary retention, early menses

Respiratory: Thickening of bronchial secretions, tightness of chest and wheezing, nasal stuffiness.

Call your doctor for medical advice about side effects. To report side effects, contact BluCrest Pharmaceuticals, LLC at 1-844-700-5011.

Drug Interactions

Monoamine oxidase inhibitors prolong and intensify the anticholinergic (drying) effects of antihistamines. Carbinoxamine maleate has additive effects with alcohol and other CNS depressants (hypnotics, sedatives, tranquilizers, etc.).

How Supplied

Carbinoxamine maleate tablets, USP, 6 mg are supplied as a white, round tablet, debossed "404" on one side and "ADG" on the other side, in bottles of 60 tablets, NDC 73684-110-60.

Description

Carbinoxamine maleate is a histamine-H 1receptor blocking agent.

Each tablet contains 6 mg carbinoxamine maleate and the following inactive ingredients: anhydrous lactose, magnesium stearate, microcrystalline cellulose, and sodium starch glycolate.

Carbinoxamine maleate is freely soluble in water. Its structure is:

2-[(4-chlorophenyl)-2-pyridinylmethoxy]-N, N-dimethylethanamine (Z)-2-butenedioate (1:1)

C 16H 19ClN 2O∙C 4H 4O 4 MW=406.86
Section 42229-5

Rx only

Manufactured for:

BluCrest Pharmaceuticals, LLC

Halet, NJ 07730

IN0110

Rev. 12/2023

Section 44425-7

Store at 20° to 25°C (68° to 77°F) [see USP Controlled Room Temperature].

Dispense in a tight, light-resistant container with a child-resistant closure as defined in the official compendium.

General

As many other antihistamines, carbinoxamine maleate has an atropine-like action and, therefore, should be used with caution in patients with: increased intraocular pressure, hyperthyroidism, cardiovascular disease, hypertension.

Antihistamines such as carbinoxamine maleate should not be used to treat lower respiratory tract symptoms, including asthma.

Warnings

Deaths have been reported in children less than 2 years of age who were taking antihistamines, including carbinoxamine-containing drug products, therefore, carbinoxamine maleate is contraindicated in children younger than 2 years of age (see CONTRAINDICATIONS ).

Antihistamines should be used with considerable caution in patients with: narrow angle glaucoma, stenosing peptic ulcer, symptomatic prostatic hypertrophy, bladder neck obstruction, pyloroduodenal obstruction.

Treatment

The treatment of overdosage with carbinoxamine maleate is essentially symptomatic and supportive. Vital signs (including respiration, pulse, blood pressure, and temperature) and EKG should be monitored. Induction of vomiting is not recommended. Activated charcoal should be given and gastric lavage should be considered after ingestion of a potentially life-threatening amount of drug. In the presence of severe anticholinergic effects, physostigmine may be useful. Vasopressors may be used to treat hypotension.

Geriatric Use

Carbinoxamine maleate is more likely to cause dizziness, sedation, and hypotension in elderly patients (approximately 60 years or older). Sedating drugs may also cause confusion and over sedation in the elderly. Therefore, dose selection for an elderly patient should be cautious, usually starting at the low end of the dosing range, reflecting the greater frequency of decreased hepatic, renal, or cardiac function, and of concomitant disease or other drug therapy.

Pediatric Use

Carbinoxamine maleate is contraindicated in children younger than 2 years of age (see CONTRAINDICATIONS ).

Neonates have an increased susceptibility to anticholinergic side effects, such as CNS excitation, which may lead to convulsions.

Carbinoxamine maleate may diminish mental alertness in children. In the young child, particularly, they may produce excitation.

Manifestations

Antihistamine overdosage reactions may vary from central nervous system depression to stimulation. Stimulation is particularly likely in children. Atropine-like signs and symptoms - dry mouth; fixed, dilated pupils; flushing; and gastrointestinal symptoms may also occur.

Especially in infants and children, antihistamine overdosage may cause hallucinations, convulsions, or death.

The oral LD 50of carbinoxamine maleate in guinea pigs is 411 mg/kg.

Nursing Mothers

Because of the higher risk of antihistamines for infants generally and for newborns and prematures in particular, use of carbinoxamine maleate is contraindicated in nursing mothers (see CONTRAINDICATIONS ).

Geriatric Patients

Carbinoxamine is more likely to cause dizziness, sedation, and hypotension in elderly patients. The incidence of adverse reactions is higher in the elderly; therefore, a dosing adjustment may be necessary in this subpopulation.

Pediatric Patients

Carbinoxamine should not be used in newborn or premature infants. Neonates have an increased susceptibility to anticholinergic side effects, such as CNS excitation, which may lead to convulsions.

Mechanism of Actions

Carbinoxamine maleate, an ethanolamine derivative, is an antihistamine with anticholinergic (drying) and sedative properties. Carbinoxamine appears to compete with histamine (type H1) for receptor sites on effector cells in the gastrointestinal tract, blood vessels and respiratory tract.

Pregnancy Category C

Animal reproductive studies have not been conducted with carbinoxamine maleate. It is also not known whether carbinoxamine maleate can cause fetal harm when administered to a pregnant woman or can affect reproductive capacity. Carbinoxamine maleate should be given to a pregnant woman only if clearly needed.

Cardiovascular Effects

Cardiac effects, including prolongation of QT interval have not been adequately studied. Unlike other newer antihistamines, severe adverse cardiovascular effects are uncommon, and usually limited to over dosage situations.

Drug/food Interactions

Carbinoxamine should not be used in patients with hypersensitivity to carbinoxamine. Carbinoxamine may increase the effects of other drugs such as barbiturates, TCAs, MAO inhibitors such as Phenelzine (Nardil), Tranylcypromine (Parnate), or Selegiline (Eldepryl), alcohol, other antihistamines, and CNS depressants. Carbinoxamine can be taken with or without food.

Pregnancy and Lactation

Safe use of carbinoxamine during pregnancy has not been established. Therefore, carbinoxamine should not be used in women who are, or may become pregnant. Carbinoxamine is in the FDA pregnancy Category C. Women who are breast-feeding should avoid use of carbinoxamine, since small amounts appear to be distributed into breast milk.

Information for Patients

Carbinoxamine maleate may cause drowsiness; alcohol, sedatives, and tranquilizers may increase the drowsiness effect. Avoid alcoholic beverages while taking this product. Do not take this product if you are taking sedatives or tranquilizers, without first consulting your doctor. Use caution when driving a motor vehicle or operating machinery.

Pharmacokinetics and Metabolism

Carbinoxamine is well absorbed from the GI tract and appears to be extensively metabolized by the liver, and excreted in the urine as inactive metabolites within 24 hours. Virtually no intact drug is extended in the urine.

In a study comparing a controlled release suspension and a solution of carbinoxamine, healthy volunteers were administered a single dose of 8 mg carbinoxamine. A time to maximum concentration (Tmax) was between 1.5 hours to 5 hours, a peak plasma concentration (Cmax) of about 24 ng/mL was observed, and extent of exposure (AUC) was about 286 ng hr/mL. The serum half-life is reported to be 10 to 20 hours.

Principal Display Panel 6 Mg Tablet Bottle Label

NDC 73684-110-60

Carbinoxamine Maleate Tablets USP, 6 mg

Rx Only

60 Tablets

BluCrest Pharmaceuticals, LLC

Carcinogenesis, Mutagenesis, Impairment of Fertility

No long-term studies in animals have been performed to determine the possible effects of carbinoxamine maleate on carcinogenesis, mutagenesis, and fertility.


Structured Label Content

Section 42229-5 (42229-5)

Rx only

Manufactured for:

BluCrest Pharmaceuticals, LLC

Halet, NJ 07730

IN0110

Rev. 12/2023

Section 44425-7 (44425-7)

Store at 20° to 25°C (68° to 77°F) [see USP Controlled Room Temperature].

Dispense in a tight, light-resistant container with a child-resistant closure as defined in the official compendium.

General

As many other antihistamines, carbinoxamine maleate has an atropine-like action and, therefore, should be used with caution in patients with: increased intraocular pressure, hyperthyroidism, cardiovascular disease, hypertension.

Antihistamines such as carbinoxamine maleate should not be used to treat lower respiratory tract symptoms, including asthma.

Warnings (WARNINGS)

Deaths have been reported in children less than 2 years of age who were taking antihistamines, including carbinoxamine-containing drug products, therefore, carbinoxamine maleate is contraindicated in children younger than 2 years of age (see CONTRAINDICATIONS ).

Antihistamines should be used with considerable caution in patients with: narrow angle glaucoma, stenosing peptic ulcer, symptomatic prostatic hypertrophy, bladder neck obstruction, pyloroduodenal obstruction.

Treatment

The treatment of overdosage with carbinoxamine maleate is essentially symptomatic and supportive. Vital signs (including respiration, pulse, blood pressure, and temperature) and EKG should be monitored. Induction of vomiting is not recommended. Activated charcoal should be given and gastric lavage should be considered after ingestion of a potentially life-threatening amount of drug. In the presence of severe anticholinergic effects, physostigmine may be useful. Vasopressors may be used to treat hypotension.

Description (DESCRIPTION)

Carbinoxamine maleate is a histamine-H 1receptor blocking agent.

Each tablet contains 6 mg carbinoxamine maleate and the following inactive ingredients: anhydrous lactose, magnesium stearate, microcrystalline cellulose, and sodium starch glycolate.

Carbinoxamine maleate is freely soluble in water. Its structure is:

2-[(4-chlorophenyl)-2-pyridinylmethoxy]-N, N-dimethylethanamine (Z)-2-butenedioate (1:1)

C 16H 19ClN 2O∙C 4H 4O 4 MW=406.86
How Supplied (HOW SUPPLIED)

Carbinoxamine maleate tablets, USP, 6 mg are supplied as a white, round tablet, debossed "404" on one side and "ADG" on the other side, in bottles of 60 tablets, NDC 73684-110-60.

Geriatric Use

Carbinoxamine maleate is more likely to cause dizziness, sedation, and hypotension in elderly patients (approximately 60 years or older). Sedating drugs may also cause confusion and over sedation in the elderly. Therefore, dose selection for an elderly patient should be cautious, usually starting at the low end of the dosing range, reflecting the greater frequency of decreased hepatic, renal, or cardiac function, and of concomitant disease or other drug therapy.

Pediatric Use

Carbinoxamine maleate is contraindicated in children younger than 2 years of age (see CONTRAINDICATIONS ).

Neonates have an increased susceptibility to anticholinergic side effects, such as CNS excitation, which may lead to convulsions.

Carbinoxamine maleate may diminish mental alertness in children. In the young child, particularly, they may produce excitation.

Manifestations

Antihistamine overdosage reactions may vary from central nervous system depression to stimulation. Stimulation is particularly likely in children. Atropine-like signs and symptoms - dry mouth; fixed, dilated pupils; flushing; and gastrointestinal symptoms may also occur.

Especially in infants and children, antihistamine overdosage may cause hallucinations, convulsions, or death.

The oral LD 50of carbinoxamine maleate in guinea pigs is 411 mg/kg.

Nursing Mothers

Because of the higher risk of antihistamines for infants generally and for newborns and prematures in particular, use of carbinoxamine maleate is contraindicated in nursing mothers (see CONTRAINDICATIONS ).

Adverse Reactions (ADVERSE REACTIONS)

The most frequent adverse reactions are underlined:

Body as a whole:Urticaria, drug rash, anaphylactic shock, photosensitivity, excessive perspiration, chills, dryness of mouth, nose and throat

Cardiovascular:Hypotension, headache, palpitations, tachycardia, extrasystoles

Hematologic:Hemolytic anemia, thrombocytopenia, agranulocytosis

Central nervous system: Sedation, sleepiness, dizziness, disturbed coordination, fatigue, confusion, restlessness, excitation, nervousness, tremor, irritability, insomnia, euphoria, paresthesia, blurred vision, diplopia, vertigo, tinnitus, acute labyrinthitis, hysteria, neuritis, convulsions

Gastrointestinal: Epigastric distress, anorexia, nausea, vomiting, diarrhea, constipation

Urogenital:Urinary frequency, difficult urination, urinary retention, early menses

Respiratory: Thickening of bronchial secretions, tightness of chest and wheezing, nasal stuffiness.

Call your doctor for medical advice about side effects. To report side effects, contact BluCrest Pharmaceuticals, LLC at 1-844-700-5011.

Contraindications (CONTRAINDICATIONS)

Carbinoxamine maleate is contraindicated in children younger than 2 years of age.

Carbinoxamine maleate is contraindicated in nursing mothers.

Carbinoxamine maleate is contraindicated in patients who are hypersensitive to the drug or on monoamine oxidase inhibitor therapy (see Drug Interactions ).

Drug Interactions

Monoamine oxidase inhibitors prolong and intensify the anticholinergic (drying) effects of antihistamines. Carbinoxamine maleate has additive effects with alcohol and other CNS depressants (hypnotics, sedatives, tranquilizers, etc.).

Geriatric Patients

Carbinoxamine is more likely to cause dizziness, sedation, and hypotension in elderly patients. The incidence of adverse reactions is higher in the elderly; therefore, a dosing adjustment may be necessary in this subpopulation.

Pediatric Patients

Carbinoxamine should not be used in newborn or premature infants. Neonates have an increased susceptibility to anticholinergic side effects, such as CNS excitation, which may lead to convulsions.

Mechanism of Actions

Carbinoxamine maleate, an ethanolamine derivative, is an antihistamine with anticholinergic (drying) and sedative properties. Carbinoxamine appears to compete with histamine (type H1) for receptor sites on effector cells in the gastrointestinal tract, blood vessels and respiratory tract.

Pregnancy Category C

Animal reproductive studies have not been conducted with carbinoxamine maleate. It is also not known whether carbinoxamine maleate can cause fetal harm when administered to a pregnant woman or can affect reproductive capacity. Carbinoxamine maleate should be given to a pregnant woman only if clearly needed.

Indications and Usage (INDICATIONS AND USAGE)

Carbinoxamine maleate is effective for the symptomatic treatment of:

Seasonal and perennial allergic rhinitis.

Vasomotor rhinitis.

Allergic conjunctivitis due to inhalant allergens and foods.

Mild, uncomplicated allergic skin manifestations of urticaria and angioedema.

Dermatographism.

As therapy for anaphylactic reactions adjunctive to epinephrine and other standard measures after the acute manifestations have been controlled.

Amelioration of the severity of allergic reactions to blood or plasma.

Cardiovascular Effects

Cardiac effects, including prolongation of QT interval have not been adequately studied. Unlike other newer antihistamines, severe adverse cardiovascular effects are uncommon, and usually limited to over dosage situations.

Drug/food Interactions (Drug/Food Interactions)

Carbinoxamine should not be used in patients with hypersensitivity to carbinoxamine. Carbinoxamine may increase the effects of other drugs such as barbiturates, TCAs, MAO inhibitors such as Phenelzine (Nardil), Tranylcypromine (Parnate), or Selegiline (Eldepryl), alcohol, other antihistamines, and CNS depressants. Carbinoxamine can be taken with or without food.

Pregnancy and Lactation

Safe use of carbinoxamine during pregnancy has not been established. Therefore, carbinoxamine should not be used in women who are, or may become pregnant. Carbinoxamine is in the FDA pregnancy Category C. Women who are breast-feeding should avoid use of carbinoxamine, since small amounts appear to be distributed into breast milk.

Information for Patients

Carbinoxamine maleate may cause drowsiness; alcohol, sedatives, and tranquilizers may increase the drowsiness effect. Avoid alcoholic beverages while taking this product. Do not take this product if you are taking sedatives or tranquilizers, without first consulting your doctor. Use caution when driving a motor vehicle or operating machinery.

Dosage and Administration (DOSAGE AND ADMINISTRATION)

Carbinoxamine maleate is contraindicated in children younger than 2 years of age (see CONTRAINDICATIONS ).

Carbinoxamine maleate should be taken on an empty stomach with water.

DOSAGE SHOULD BE INDIVIDUALIZED ACCORDING TO THE NEEDS AND THE RESPONSE OF THE PATIENT.

Carbinoxamine maleate dosage should be based on the severity of the condition and the response of the patient. The drug is well tolerated in adults in doses as high as 24 mg daily, in divided doses, over prolonged periods. On the other hand, some patients respond to as little as 4 mg daily.

Clinical experience suggests the following dosage schedule:

Usual Adult Dosage: 1 tablet (6 mg) 3 to 4 times daily.

Pharmacokinetics and Metabolism

Carbinoxamine is well absorbed from the GI tract and appears to be extensively metabolized by the liver, and excreted in the urine as inactive metabolites within 24 hours. Virtually no intact drug is extended in the urine.

In a study comparing a controlled release suspension and a solution of carbinoxamine, healthy volunteers were administered a single dose of 8 mg carbinoxamine. A time to maximum concentration (Tmax) was between 1.5 hours to 5 hours, a peak plasma concentration (Cmax) of about 24 ng/mL was observed, and extent of exposure (AUC) was about 286 ng hr/mL. The serum half-life is reported to be 10 to 20 hours.

Principal Display Panel 6 Mg Tablet Bottle Label (PRINCIPAL DISPLAY PANEL - 6 mg Tablet Bottle Label)

NDC 73684-110-60

Carbinoxamine Maleate Tablets USP, 6 mg

Rx Only

60 Tablets

BluCrest Pharmaceuticals, LLC

Carcinogenesis, Mutagenesis, Impairment of Fertility

No long-term studies in animals have been performed to determine the possible effects of carbinoxamine maleate on carcinogenesis, mutagenesis, and fertility.


Advanced Ingredient Data


Raw Label Data

All Sections (JSON)