Timolol Maleate Ophthalmic Solution, Usp

Timolol Maleate Ophthalmic Solution, Usp
SPL v5
SPL
SPL Set ID 16323b0e-78ae-40e5-be93-04f698dd672b
Route
OPHTHALMIC
Published
Effective Date 2024-12-06
Document Type 34391-3 HUMAN PRESCRIPTION DRUG LABEL

Drug Facts

Composition & Product

Active Ingredients
Timolol Anhydrous (5 mg)
Inactive Ingredients
Sodium Phosphate, Monobasic, Unspecified Form Sodium Phosphate, Dibasic, Unspecified Form Sodium Hydroxide Water

Identifiers & Packaging

Marketing Status
ANDA Active Since 2022-02-26

Description

PRESERVATIVE-FREE STERILE OPHTHALMIC SOLUTION in a Sterile Ophthalmic Single-Dose Vial

Indications and Usage

Preservative-free timolol maleate ophthalmic solution USP in the unit dose vial is indicated in the treatment of elevated intraocular pressure in patients with ocular hypertension or open-angle glaucoma. Preservative-free timolol maleate ophthalmic solution USP in the unit dose vial may be used when a patient is sensitive to the preservative in timolol maleate ophthalmic solution USP, benzalkonium chloride, or when use of a preservative-free topical medication is advisable.

Dosage and Administration

Preservative-free timolol maleate ophthalmic solution USP in the unit dose vial is a sterile solution that does not contain a preservative. The solution from one individual unit is to be used immediately after opening for administration to one or both eyes. Since sterility cannot be guaranteed after the individual unit is opened, the remaining contents should be discarded immediately after administration. Preservative-free timolol maleate ophthalmic solution in the unit dose vial is available in concentrations of 0.25% and 0.5%. The usual starting dose is one drop of 0.25% preservative-free timolol maleate ophthalmic solution in the unit dose vial in the affected eye(s) administered twice a day. Apply enough gentle pressure on the individual vial to obtain a single drop of solution. If the clinical response is not adequate, the dosage may be changed to one drop of 0.5% solution in the affected eye(s) administered twice a day. Since in some patients the pressure-lowering response to preservative-free timolol maleate ophthalmic solution in the unit dose vial may require a few weeks to stabilize, evaluation should include a determination of intraocular pressure after approximately 4 weeks of treatment with preservative-free timolol maleate ophthalmic solution in the unit dose vial. If the intraocular pressure is maintained at satisfactory levels, the dosage schedule may be changed to one drop once a day in the affected eye(s). Because of diurnal variations in intraocular pressure, satisfactory response to the once-a-day dose is best determined by measuring the intraocular pressure at different times during the day. Dosages above one drop of 0.5% timolol maleate ophthalmic solution twice a day generally have not been shown to produce further reduction in intraocular pressure. If the patient’s intraocular pressure is still not at a satisfactory level on this regimen, concomitant therapy with other agent(s) for lowering intraocular pressure can be instituted taking into consideration that the preparation(s) used concomitantly may contain one or more preservatives. The concomitant use of two topical beta-adrenergic blocking agents is not recommended. (See PRECAUTIONS , Drug Interactions, Beta-adrenergic blocking agents .)

Contraindications

Preservative-free timolol maleate ophthalmic solution USP in the unit dose vial is contraindicated in patients with (1) bronchial asthma; (2) a history of bronchial asthma; (3) severe chronic obstructive pulmonary disease (see WARNINGS ); (4) sinus bradycardia; (5) second or third degree atrioventricular block; (6) overt cardiac failure (see WARNINGS ); (7) cardiogenic shock; or (8) hypersensitivity to any component of this product.

Adverse Reactions

The most frequently reported adverse experiences have been burning and stinging upon instillation (approximately one in eight patients). The following additional adverse experiences have been reported less frequently with ocular administration of this or other timolol maleate USP formulations: BODY AS A WHOLE Headache, asthenia/fatigue, and chest pain. CARDIOVASCULAR Bradycardia, arrhythmia, hypotension, hypertension, syncope, heart block, cerebral vascular accident, cerebral ischemia, cardiac failure, worsening of angina pectoris, palpitation, cardiac arrest, pulmonary edema, edema, claudication, Raynaud’s phenomenon, and cold hands and feet. DIGESTIVE Nausea, diarrhea, dyspepsia, anorexia, and dry mouth. IMMUNOLOGIC Systemic lupus erythematosus. NERVOUS SYSTEM/PSYCHIATRIC Dizziness, increase in signs and symptoms of myasthenia gravis, paresthesia, somnolence, insomnia, nightmares, behavioral changes and psychic disturbances including depression, confusion, hallucinations, anxiety, disorientation, nervousness, and memory loss. SKIN Alopecia and psoriasiform rash or exacerbation of psoriasis. HYPERSENSITIVITY Signs and symptoms of systemic allergic reactions including anaphylaxis, angioedema, urticaria, and localized and generalized rash. RESPIRATORY Bronchospasm (predominantly in patients with pre-existing bronchospastic disease), respiratory failure, dyspnea, nasal congestion, cough and upper respiratory infections. ENDOCRINE Masked symptoms of hypoglycemia in diabetic patients (see WARNINGS ). SPECIAL SENSES Signs and symptoms of ocular irritation including conjunctivitis, blepharitis, keratitis, ocular pain, discharge (e.g., crusting), foreign body sensation, itching and tearing, and dry eyes; ptosis; decreased corneal sensitivity; cystoid macular edema; visual disturbances including refractive changes and diplopia; pseudopemphigoid; choroidal detachment following filtration surgery (see PRECAUTIONS, General ); and tinnitus. UROGENITAL Retroperitoneal fibrosis, decreased libido, impotence, and Peyronie’s disease. The following additional adverse effects have been reported in clinical experience with ORAL timolol maleate USP or other ORAL beta blocking agents, and may be considered potential effects of ophthalmic timolol maleate USP: Allergic : Erythematous rash, fever combined with aching and sore throat, laryngospasm with respiratory distress; Body as a Whole : Extremity pain, decreased exercise tolerance, weight loss; Cardiovascular : Worsening of arterial insufficiency, vasodilatation; Digestive : Gastrointestinal pain, hepatomegaly, vomiting, mesenteric arterial thrombosis, ischemic colitis; Hematologic : Nonthrombocytopenic purpura; thrombocytopenic purpura; agranulocytosis; Endocrine : Hyperglycemia, hypoglycemia; Skin : Pruritus, skin irritation, increased pigmentation, sweating; Musculoskeletal : Arthralgia; Nervous System/Psychiatric : Vertigo, local weakness, diminished concentration, reversible mental depression progressing to catatonia, an acute reversible syndrome characterized by disorientation for time and place, emotional lability, slightly clouded sensorium, and decreased performance on neuropsychometrics; Respiratory : Rales, bronchial obstruction; Urogenital : Urination difficulties. To report SUSPECTED ADVERSE REACTIONS, contact Nordic Pharma, Inc. at 1-844-267-4641 or FDA at 1-800-FDA-1088 or www.fda.gov/medwatch .

How Supplied

Preservative-free Timolol Maleate Ophthalmic Solution USP is a clear, colorless to light yellow solution. Preservative-free Timolol Maleate Ophthalmic Solution USP, 0.25% timolol equivalent, is supplied in a clear low density polyethylene vial. Each individual unit contains 0.3 mL of solution, and is available in 2 blocks of 5 vials in a sealed aluminum pouch; six pouches per carton. NDC 69918-602-60; 0.3 mL Single-dose vials in a carton of 60. Preservative-free Timolol Maleate Ophthalmic Solution, 0.5% timolol equivalent, is supplied in a clear low density polyethylene vial. Each individual unit contains 0.3 mL of solution, and is available in 2 blocks of 5 vials in a sealed aluminum pouch; six pouches per carton. NDC 69918-601-60; 0.3 mL Single-dose vials in a carton of 60. Storage Store at room temperature, 15 to 30°C (59 to 86°F). Protect from freezing. Protect from light. Because evaporation can occur through the unprotected polyethylene unit dose vial and prolonged exposure to direct light can modify the product, the unit dose vial should be kept in the protective foil overwrap and used within one month after the foil package has been opened. Keep out of Reach of Children. Manufactured for: Nordic Pharma, Inc. Berwyn, PA 19312 www.nordicpharmausa.com The Nordic Pharma Logo is a trademark of Nordic Group B.V. Manufactured by: Holopack Verpackungstechnik GmbH, Bahnhofstrasse 18, 74429 Sulzbach-Laufen, Germany Origin Germany Rev. April 2024 006-00423


Medication Information

Indications and Usage

Preservative-free timolol maleate ophthalmic solution USP in the unit dose vial is indicated in the treatment of elevated intraocular pressure in patients with ocular hypertension or open-angle glaucoma.

Preservative-free timolol maleate ophthalmic solution USP in the unit dose vial may be used when a patient is sensitive to the preservative in timolol maleate ophthalmic solution USP, benzalkonium chloride, or when use of a preservative-free topical medication is advisable.

Dosage and Administration

Preservative-free timolol maleate ophthalmic solution USP in the unit dose vial is a sterile solution that does not contain a preservative. The solution from one individual unit is to be used immediately after opening for administration to one or both eyes. Since sterility cannot be guaranteed after the individual unit is opened, the remaining contents should be discarded immediately after administration.

Preservative-free timolol maleate ophthalmic solution in the unit dose vial is available in concentrations of 0.25% and 0.5%. The usual starting dose is one drop of 0.25% preservative-free timolol maleate ophthalmic solution in the unit dose vial in the affected eye(s) administered twice a day. Apply enough gentle pressure on the individual vial to obtain a single drop of solution. If the clinical response is not adequate, the dosage may be changed to one drop of 0.5% solution in the affected eye(s) administered twice a day.

Since in some patients the pressure-lowering response to preservative-free timolol maleate ophthalmic solution in the unit dose vial may require a few weeks to stabilize, evaluation should include a determination of intraocular pressure after approximately 4 weeks of treatment with preservative-free timolol maleate ophthalmic solution in the unit dose vial.

If the intraocular pressure is maintained at satisfactory levels, the dosage schedule may be changed to one drop once a day in the affected eye(s). Because of diurnal variations in intraocular pressure, satisfactory response to the once-a-day dose is best determined by measuring the intraocular pressure at different times during the day.

Dosages above one drop of 0.5% timolol maleate ophthalmic solution twice a day generally have not been shown to produce further reduction in intraocular pressure. If the patient’s intraocular pressure is still not at a satisfactory level on this regimen, concomitant therapy with other agent(s) for lowering intraocular pressure can be instituted taking into consideration that the preparation(s) used concomitantly may contain one or more preservatives.

The concomitant use of two topical beta-adrenergic blocking agents is not recommended. (See PRECAUTIONS, Drug Interactions, Beta-adrenergic blocking agents .)

Contraindications

Preservative-free timolol maleate ophthalmic solution USP in the unit dose vial is contraindicated in patients with (1) bronchial asthma; (2) a history of bronchial asthma; (3) severe chronic obstructive pulmonary disease (see WARNINGS); (4) sinus bradycardia; (5) second or third degree atrioventricular block; (6) overt cardiac failure (see WARNINGS); (7) cardiogenic shock; or (8) hypersensitivity to any component of this product.

Adverse Reactions

The most frequently reported adverse experiences have been burning and stinging upon instillation (approximately one in eight patients).

The following additional adverse experiences have been reported less frequently with ocular administration of this or other timolol maleate USP formulations:

BODY AS A WHOLE

Headache, asthenia/fatigue, and chest pain.

CARDIOVASCULAR

Bradycardia, arrhythmia, hypotension, hypertension, syncope, heart block, cerebral vascular accident, cerebral ischemia, cardiac failure, worsening of angina pectoris, palpitation, cardiac arrest, pulmonary edema, edema, claudication, Raynaud’s phenomenon, and cold hands and feet.

DIGESTIVE

Nausea, diarrhea, dyspepsia, anorexia, and dry mouth.

IMMUNOLOGIC

Systemic lupus erythematosus.

NERVOUS SYSTEM/PSYCHIATRIC

Dizziness, increase in signs and symptoms of myasthenia gravis, paresthesia, somnolence, insomnia, nightmares, behavioral changes and psychic disturbances including depression, confusion, hallucinations, anxiety, disorientation, nervousness, and memory loss.

SKIN

Alopecia and psoriasiform rash or exacerbation of psoriasis.

HYPERSENSITIVITY

Signs and symptoms of systemic allergic reactions including anaphylaxis, angioedema, urticaria, and localized and generalized rash.

RESPIRATORY

Bronchospasm (predominantly in patients with pre-existing bronchospastic disease), respiratory failure, dyspnea, nasal congestion, cough and upper respiratory infections.

ENDOCRINE

Masked symptoms of hypoglycemia in diabetic patients (see WARNINGS).

SPECIAL SENSES

Signs and symptoms of ocular irritation including conjunctivitis, blepharitis, keratitis, ocular pain, discharge (e.g., crusting), foreign body sensation, itching and tearing, and dry eyes; ptosis; decreased corneal sensitivity; cystoid macular edema; visual disturbances including refractive changes and diplopia; pseudopemphigoid; choroidal detachment following filtration surgery (see PRECAUTIONS, General); and tinnitus.

UROGENITAL

Retroperitoneal fibrosis, decreased libido, impotence, and Peyronie’s disease.

The following additional adverse effects have been reported in clinical experience with ORAL timolol maleate USP or other ORAL beta blocking agents, and may be considered potential effects of ophthalmic timolol maleate USP: Allergic: Erythematous rash, fever combined with aching and sore throat, laryngospasm with respiratory distress; Body as a Whole: Extremity pain, decreased exercise tolerance, weight loss; Cardiovascular: Worsening of arterial insufficiency, vasodilatation; Digestive: Gastrointestinal pain, hepatomegaly, vomiting, mesenteric arterial thrombosis, ischemic colitis; Hematologic: Nonthrombocytopenic purpura; thrombocytopenic purpura; agranulocytosis; Endocrine: Hyperglycemia, hypoglycemia; Skin: Pruritus, skin irritation, increased pigmentation, sweating; Musculoskeletal: Arthralgia; Nervous System/Psychiatric: Vertigo, local weakness, diminished concentration, reversible mental depression progressing to catatonia, an acute reversible syndrome characterized by disorientation for time and place, emotional lability, slightly clouded sensorium, and decreased performance on neuropsychometrics; Respiratory: Rales, bronchial obstruction; Urogenital: Urination difficulties.

To report SUSPECTED ADVERSE REACTIONS, contact Nordic Pharma, Inc. at 1-844-267-4641 or FDA at 1-800-FDA-1088 or www.fda.gov/medwatch.

How Supplied

Preservative-free Timolol Maleate Ophthalmic Solution USP is a clear, colorless to light yellow solution.

Preservative-free Timolol Maleate Ophthalmic Solution USP, 0.25% timolol equivalent, is supplied in a clear low density polyethylene vial. Each individual unit contains 0.3 mL of solution, and is available in 2 blocks of 5 vials in a sealed aluminum pouch; six pouches per carton.

NDC 69918-602-60; 0.3 mL Single-dose vials in a carton of 60.

Preservative-free Timolol Maleate Ophthalmic Solution, 0.5% timolol equivalent, is supplied in a clear low density polyethylene vial. Each individual unit contains 0.3 mL of solution, and is available in 2 blocks of 5 vials in a sealed aluminum pouch; six pouches per carton.

NDC 69918-601-60; 0.3 mL Single-dose vials in a carton of 60.

Storage

Store at room temperature, 15 to 30°C (59 to 86°F). Protect from freezing. Protect from light.

Because evaporation can occur through the unprotected polyethylene unit dose vial and prolonged exposure to direct light can modify the product, the unit dose vial should be kept in the protective foil overwrap and used within one month after the foil package has been opened.

Keep out of Reach of Children.

Manufactured for:

Nordic Pharma, Inc.

Berwyn, PA 19312

www.nordicpharmausa.com

The Nordic Pharma Logo is a trademark of Nordic Group B.V.

Manufactured by:

Holopack Verpackungstechnik GmbH,

Bahnhofstrasse 18, 74429 Sulzbach-Laufen, Germany

Origin Germany

Rev. April 2024

006-00423

Description

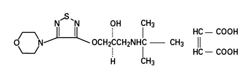
Timolol maleate USP is a non-selective beta-adrenergic receptor blocking agent. Its chemical name is (-)-1-(tert-butylamino)-3-[(4-morpholino-1,2,5-thiadiazol-3-yl)oxy]-2-propanol maleate (1:1) (salt). Timolol maleate possesses an asymmetric carbon atom in its structure and is provided as the levo-isomer. The optical rotation of timolol maleate is:



[α]

25°



405 nm



in 1.0N HCl (C = 5%) = -12.2° (-11.7° to -12.5°)

Its molecular formula is C13H24N4O3S•C4H4O4 and its structural formula is:

Timolol maleate has a molecular weight of 432.50. It is a white, odorless, crystalline powder which is soluble in water, methanol, and alcohol. Timolol maleate is stable at room temperature.

Timolol maleate ophthalmic solution is supplied in two formulations: timolol maleate ophthalmic solution, which contains the preservative benzalkonium chloride; and timolol maleate ophthalmic solution, the preservative-free formulation.

Preservative-free timolol maleate ophthalmic solution, USP is supplied in a single-dose vial, as a sterile, isotonic, buffered, aqueous solution of timolol maleate in two dosage strengths: Each mL of preservative-free timolol maleate ophthalmic solution USP 0.25% contains 2.5 mg of timolol (3.4 mg of timolol maleate). The pH of the solution is approximately 7.0, and the osmolarity is 252-328 mOsm. Each mL of Preservative-free timolol maleate ophthalmic solution USP 0.5% contains 5 mg of timolol (6.8 mg of timolol maleate). Inactive ingredients: monobasic and dibasic sodium phosphate, sodium hydroxide to adjust pH, and water for injection.

Section 34072-9

General

Because of potential effects of beta-adrenergic blocking agents on blood pressure and pulse, these agents should be used with caution in patients with cerebrovascular insufficiency. If signs or symptoms suggesting reduced cerebral blood flow develop following initiation of therapy with preservative-free timolol maleate ophthalmic solution USP in the unit dose vial, alternative therapy should be considered.

Choroidal detachment after filtration procedures has been reported with the administration of aqueous suppressant therapy (e.g. timolol).

Angle-closure glaucoma: In patients with angle-closure glaucoma, the immediate objective of treatment is to reopen the angle. This requires constricting the pupil. Timolol maleate USP has little or no effect on the pupil. Timolol maleate ophthalmic solution USP in the unit dose vial should not be used alone in the treatment of angle-closure glaucoma.

Anaphylaxis: While taking beta-blockers, patients with a history of atopy or a history of severe anaphylactic reactions to a variety of allergens may be more reactive to repeated accidental, diagnostic, or therapeutic challenge with such allergens. Such patients may be unresponsive to the usual doses of epinephrine used to treat anaphylactic reactions.

Muscle Weakness: Beta-adrenergic blockade has been reported to potentiate muscle weakness consistent with certain myasthenic symptoms (e.g., diplopia, ptosis, and generalized weakness). Timolol has been reported rarely to increase muscle weakness in some patients with myasthenia gravis or myasthenic symptoms.

Section 34073-7

Drug Interactions

Although timolol maleate ophthalmic solution USP used alone has little or no effect on pupil size, mydriasis resulting from concomitant therapy with timolol maleate ophthalmic solution USP and epinephrine has been reported occasionally.

Beta-adrenergic blocking agents: Patients who are receiving a beta-adrenergic blocking agent orally and preservative-free timolol maleate ophthalmic solution USP in the unit dose vial should be observed for potential additive effects of beta-blockade, both systemic and on intraocular pressure. The concomitant use of two topical beta-adrenergic blocking agents is not recommended.

Calcium antagonists: Caution should be used in the coadministration of beta-adrenergic blocking agents, such as preservative-free timolol maleate ophthalmic solution USP in the unit dose vial, and oral or intravenous calcium antagonists, because of possible atrioventricular conduction disturbances, left ventricular failure, and hypotension. In patients with impaired cardiac function, coadministration should be avoided.

Catecholamine-depleting drugs: Close observation of the patient is recommended when a beta blocker is administered to patients receiving catecholamine-depleting drugs such as reserpine, because of possible additive effects and the production of hypotension and/or marked bradycardia, which may result in vertigo, syncope, or postural hypotension.

Digitalis and calcium antagonists: The concomitant use of beta-adrenergic blocking agents with digitalis and calcium antagonists may have additive effects in prolonging atrioventricular conduction time.



CYP2D6 inhibitors: Potentiated systemic beta-blockade (e.g., decreased heart rate, depression) has been reported during combined treatment with CYP2D6 inhibitors (e.g., quinidine, SSRIs) and timolol.

Clonidine: Oral beta-adrenergic blocking agents may exacerbate the rebound hypertension which can follow the withdrawal of clonidine. There have been no reports of exacerbation of rebound hypertension with ophthalmic timolol maleate.

Injectable epinephrine: (See PRECAUTIONS, General, Anaphylaxis)

Section 34076-0

Information for Patients

Patients should be instructed about the use of preservative-free timolol maleate ophthalmic solution USP in the unit dose vial.

Since sterility cannot be maintained after the individual unit is opened, patients should be instructed to use the product immediately after opening, and to discard the individual unit and any remaining contents immediately after use.

Patients with bronchial asthma, a history of bronchial asthma, severe chronic obstructive pulmonary disease, sinus bradycardia, second or third degree atrioventricular block, or cardiac failure should be advised not to take this product.

(See CONTRAINDICATIONS.)

Section 34080-2

Nursing Mothers

Timolol maleate USP has been detected in human milk following oral and ophthalmic drug administration. Because of the potential for serious adverse reactions from timolol in nursing infants, a decision should be made whether to discontinue nursing or to discontinue the drug, taking into account the importance of the drug to the mother.

Section 34081-0

Pediatric Use

Safety and effectiveness of timolol maleate ophthalmic solution USP have been established when administered in pediatric patients aged 2 years and older. Use of timolol maleate ophthalmic solution USP in these children is supported by evidence from adequate and well- controlled studies in children and adults. Safety and efficacy in pediatric patients below the age of 2 years have not been established.

Section 34082-8

Geriatric Use

No overall differences in safety or effectiveness have been observed between elderly and younger patients.

Section 34083-6

Carcinogenesis, Mutagenesis, Impairment of Fertility

In a two-year study of timolol maleate USP administered orally to rats, there was a statistically significant increase in the incidence of adrenal pheochromocytomas in male rats administered 300 mg/kg/day (approximately 42,000 times the systemic exposure following the maximum recommended human ophthalmic dose). Similar differences were not observed in rats administered oral doses equivalent to approximately 14,000 times the maximum recommended human ophthalmic dose.

In a lifetime oral study in mice, there were statistically significant increases in the incidence of benign and malignant pulmonary tumors, benign uterine polyps and mammary adenocarcinomas in female mice at 500 mg/kg/day (approximately 71,000 times the systemic exposure following the maximum recommended human ophthalmic dose), but not at 5 or 50 mg/kg/day (approximately 700 or 7,000 times, respectively, the systemic exposure following the maximum recommended human ophthalmic dose). In a subsequent study in female mice, in which post-mortem examinations were limited to the uterus and the lungs, a statistically significant increase in the incidence of pulmonary tumors was again observed at 500 mg/kg/day.

The increased occurrence of mammary adenocarcinomas was associated with elevations in serum prolactin which occurred in female mice administered oral timolol at 500 mg/kg/day, but not at doses of 5 or 50 mg/kg/day. An increased incidence of mammary adenocarcinomas in rodents has been associated with administration of several other therapeutic agents that elevate serum prolactin, but no correlation between serum prolactin levels and mammary tumors has been established in humans.

Furthermore, in adult human female subjects who received oral dosages of up to 60 mg of timolol maleate USP (the maximum recommended human oral dosage), there were no clinically meaningful changes in serum prolactin.

Timolol maleate USP was devoid of mutagenic potential when tested in vivo (mouse) in the micronucleus test and cytogenetic assay (doses up to 800 mg/kg) and in vitro in a neoplastic cell transformation assay (up to 100 mcg/mL). In Ames tests the highest concentrations of timolol employed, 5,000 or 10,000 mcg/plate, were associated with statistically significant elevations of revertants observed with tester strain TA100 (in seven replicate assays), but not in the remaining three strains. In the assays with tester strain TA100, no consistent dose response relationship was observed, and the ratio of test to control revertants did not reach 2. A ratio of 2 is usually considered the criterion for a positive Ames test.

Reproduction and fertility studies in rats demonstrated no adverse effect on male or female fertility at doses up to 21,000 times the systemic exposure following the maximum recommended human ophthalmic dose.

Section 42228-7

Pregnancy:

Teratogenic Effects: Teratogenicity studies with timolol in mice, rats and rabbits at oral doses up to 50 mg/kg/day (7,000 times the systemic exposure following the maximum recommended human ophthalmic dose) demonstrated no evidence of fetal malformations. Although delayed fetal ossification was observed at this dose in rats, there were no adverse effects on postnatal development of offspring. Doses of 1,000 mg/kg/day (142,000 times the systemic exposure following the maximum recommended human ophthalmic dose) were maternotoxic in mice and resulted in an increased number of fetal resorptions. Increased fetal resorptions were also seen in rabbits at doses of 14,000 times the systemic exposure following the maximum recommended human ophthalmic dose, in this case without apparent maternotoxicity.

There are no adequate and well-controlled studies in pregnant women. Preservative-free timolol maleate ophthalmic solution USP should be used during pregnancy only if the potential benefit justifies the potential risk to the fetus.

Section 42229-5

PRESERVATIVE-FREE STERILE OPHTHALMIC SOLUTION in a Sterile Ophthalmic

Single-Dose Vial

Warnings

As with many topically applied ophthalmic drugs, this drug is absorbed systemically.

The same adverse reactions found with systemic administration of beta-adrenergic blocking agents may occur with topical administration. For example, severe respiratory reactions and cardiac reactions, including death due to bronchospasm in patients with asthma, and rarely death in association with cardiac failure, have been reported following systemic or ophthalmic administration of timolol maleate USP (see CONTRAINDICATIONS ).

Cardiac Failure

Sympathetic stimulation may be essential for support of the circulation in individuals with diminished myocardial contractility, and its inhibition by beta-adrenergic receptor blockade may precipitate more severe failure.

In Patients without a History of Cardiac Failure continued depression of the myocardium with beta-blocking agents over a period of time can, in some cases, lead to cardiac failure. At the first sign or symptom of cardiac failure, preservative-free timolol maleate ophthalmic solution USP in unit dose vial should be discontinued.

Obstructive Pulmonary Disease

Patients with chronic obstructive pulmonary disease (e.g., chronic bronchitis, emphysema) of mild or moderate severity, bronchospastic disease, or a history of bronchospastic disease (other than bronchial asthma or a history of bronchial asthma, in which timolol maleate ophthalmic solution USP is contraindicated [see CONTRAINDICATIONS]) should, in general, not receive beta-blockers, including preservative-free timolol maleate ophthalmic solution USP in the unit dose vial.

Major Surgery

The necessity or desirability of withdrawal of beta-adrenergic blocking agents prior to major surgery is controversial. Beta-adrenergic receptor blockade impairs the ability of the heart to respond to beta-adrenergically mediated reflex stimuli. This may augment the risk of general anesthesia in surgical procedures. Some patients receiving beta-adrenergic receptor blocking agents have experienced protracted severe hypotension during anesthesia. Difficulty in restarting and maintaining the heartbeat has also been reported. For these reasons, in patients undergoing elective surgery, some authorities recommend gradual withdrawal of beta-adrenergic receptor blocking agents.

If necessary during surgery, the effects of beta-adrenergic blocking agents may be reversed by sufficient doses of adrenergic agonists.

Diabetes Mellitus

Beta-adrenergic blocking agents should be administered with caution in patients subject to spontaneous hypoglycemia or to diabetic patients (especially those with labile diabetes) who are receiving insulin or oral hypoglycemic agents. Beta-adrenergic receptor blocking agents may mask the signs and symptoms of acute hypoglycemia.

Thyrotoxicosis

Beta-adrenergic blocking agents may mask certain clinical signs (e.g., tachycardia) of hyperthyroidism. Patients suspected of developing thyrotoxicosis should be managed carefully to avoid abrupt withdrawal of beta-adrenergic blocking agents that might precipitate a thyroid storm.

Overdosage

There have been reports of inadvertent overdosage with timolol maleate ophthalmic solution USP resulting in systemic effects similar to those seen with systemic beta-adrenergic blocking agents such as dizziness, headache, shortness of breath, bradycardia, bronchospasm, and cardiac arrest (see also ADVERSE REACTIONS).

Overdosage has been reported with timolol maleate USP tablets. A 30 year old female ingested 650 mg of timolol maleate USP tablets (maximum recommended oral daily dose is 60 mg) and experienced second and third degree heart block. She recovered without treatment but approximately two months later developed irregular heartbeat, hypertension, dizziness, tinnitus, faintness, increased pulse rate, and borderline first degree heart block.

An in vitro hemodialysis study, using 14C timolol added to human plasma or whole blood, showed that timolol was readily dialyzed from these fluids; however, a study of patients with renal failure showed that timolol did not dialyze readily.

Clinical Pharmacology

Mechanism of Action

Timolol maleate USP is a beta1 and beta2 (non-selective) adrenergic receptor blocking agent that does not have significant intrinsic sympathomimetic, direct myocardial depressant, or local anesthetic (membrane-stabilizing) activity.

Beta-adrenergic receptor blockade reduces cardiac output in both healthy subjects and patients with heart disease. In patients with severe impairment of myocardial function, beta-adrenergic receptor blockade may inhibit the stimulatory effect of the sympathetic nervous system necessary to maintain adequate cardiac function.

Beta-adrenergic receptor blockade in the bronchi and bronchioles results in increased airway resistance from unopposed parasympathetic activity. Such an effect in patients with asthma or other bronchospastic conditions is potentially dangerous.

Timolol maleate ophthalmic solution USP, when applied topically on the eye, has the action of reducing elevated as well as normal intraocular pressure, whether or not accompanied by glaucoma. Elevated intraocular pressure is a major risk factor in the pathogenesis of glaucomatous visual field loss. The higher the level of intraocular pressure, the greater the likelihood of glaucomatous visual field loss and optic nerve damage.

The onset of reduction in intraocular pressure following administration of timolol maleate ophthalmic solution USP can usually be detected within one-half hour after a single dose. The maximum effect usually occurs in one to two hours and significant lowering of intraocular pressure can be maintained for periods as long as 24 hours with a single dose. Repeated observations over a period of one year indicate that the intraocular pressure-lowering effect of timolol maleate ophthalmic solution USP is well maintained.

The precise mechanism of the ocular hypotensive action of timolol maleate ophthalmic solution USP is not clearly established at this time. Tonography and fluorophotometry studies in man suggest that its predominant action may be related to reduced aqueous formation. However, in some studies a slight increase in outflow facility was also observed.

Pharmacokinetics

In a study of plasma drug concentration in six subjects, the systemic exposure to timolol was determined following twice daily administration of timolol maleate ophthalmic solution USP 0.5%. The mean peak plasma concentration following morning dosing was 0.46 ng/mL and following afternoon dosing was 0.35 ng/mL.

Clinical Studies

In controlled multiclinic studies in patients with untreated intraocular pressures of 22 mmHg or greater, timolol maleate ophthalmic solution USP 0.25% or 0.5% administered twice a day produced a greater reduction in intraocular pressure than 1, 2, 3, or 4% pilocarpine solution administered four times a day or 0.5, 1, or 2% epinephrine hydrochloride solution administered twice a day.

In these studies, timolol maleate ophthalmic solution USP was generally well tolerated and produced fewer and less severe side effects than either pilocarpine or epinephrine. A slight reduction of resting heart rate in some patients receiving timolol maleate ophthalmic solution USP (mean reduction 2.9 beats/minute standard deviation 10.2) was observed.

Package/label Principal Display Panel

NDC 69918-601-60

Rx only

Timolol Maleate

Ophthalmic Solution, USP

0.5%*

For Topical Application In The Eye

Preservative-Free Sterile Ophthalmic Solution

Keep out of reach of children.

60 x 0.3 mL Single-dose Vials

PACKAGE/LABEL PRINCIPAL DISPLAY PANEL

NDC 69918-601-60

Rx only

Timolol Maleate

Ophthalmic Solution, USP

0.5%*

For Topical Application In The Eye

Preservative-Free Sterile Ophthalmic Solution

Keep out of reach of children.

10 x 0.3 mL Single-dose Vials


Structured Label Content

Section 34072-9 (34072-9)

General

Because of potential effects of beta-adrenergic blocking agents on blood pressure and pulse, these agents should be used with caution in patients with cerebrovascular insufficiency. If signs or symptoms suggesting reduced cerebral blood flow develop following initiation of therapy with preservative-free timolol maleate ophthalmic solution USP in the unit dose vial, alternative therapy should be considered.

Choroidal detachment after filtration procedures has been reported with the administration of aqueous suppressant therapy (e.g. timolol).

Angle-closure glaucoma: In patients with angle-closure glaucoma, the immediate objective of treatment is to reopen the angle. This requires constricting the pupil. Timolol maleate USP has little or no effect on the pupil. Timolol maleate ophthalmic solution USP in the unit dose vial should not be used alone in the treatment of angle-closure glaucoma.

Anaphylaxis: While taking beta-blockers, patients with a history of atopy or a history of severe anaphylactic reactions to a variety of allergens may be more reactive to repeated accidental, diagnostic, or therapeutic challenge with such allergens. Such patients may be unresponsive to the usual doses of epinephrine used to treat anaphylactic reactions.

Muscle Weakness: Beta-adrenergic blockade has been reported to potentiate muscle weakness consistent with certain myasthenic symptoms (e.g., diplopia, ptosis, and generalized weakness). Timolol has been reported rarely to increase muscle weakness in some patients with myasthenia gravis or myasthenic symptoms.

Section 34073-7 (34073-7)

Drug Interactions

Although timolol maleate ophthalmic solution USP used alone has little or no effect on pupil size, mydriasis resulting from concomitant therapy with timolol maleate ophthalmic solution USP and epinephrine has been reported occasionally.

Beta-adrenergic blocking agents: Patients who are receiving a beta-adrenergic blocking agent orally and preservative-free timolol maleate ophthalmic solution USP in the unit dose vial should be observed for potential additive effects of beta-blockade, both systemic and on intraocular pressure. The concomitant use of two topical beta-adrenergic blocking agents is not recommended.

Calcium antagonists: Caution should be used in the coadministration of beta-adrenergic blocking agents, such as preservative-free timolol maleate ophthalmic solution USP in the unit dose vial, and oral or intravenous calcium antagonists, because of possible atrioventricular conduction disturbances, left ventricular failure, and hypotension. In patients with impaired cardiac function, coadministration should be avoided.

Catecholamine-depleting drugs: Close observation of the patient is recommended when a beta blocker is administered to patients receiving catecholamine-depleting drugs such as reserpine, because of possible additive effects and the production of hypotension and/or marked bradycardia, which may result in vertigo, syncope, or postural hypotension.

Digitalis and calcium antagonists: The concomitant use of beta-adrenergic blocking agents with digitalis and calcium antagonists may have additive effects in prolonging atrioventricular conduction time.



CYP2D6 inhibitors: Potentiated systemic beta-blockade (e.g., decreased heart rate, depression) has been reported during combined treatment with CYP2D6 inhibitors (e.g., quinidine, SSRIs) and timolol.

Clonidine: Oral beta-adrenergic blocking agents may exacerbate the rebound hypertension which can follow the withdrawal of clonidine. There have been no reports of exacerbation of rebound hypertension with ophthalmic timolol maleate.

Injectable epinephrine: (See PRECAUTIONS, General, Anaphylaxis)

Section 34076-0 (34076-0)

Information for Patients

Patients should be instructed about the use of preservative-free timolol maleate ophthalmic solution USP in the unit dose vial.

Since sterility cannot be maintained after the individual unit is opened, patients should be instructed to use the product immediately after opening, and to discard the individual unit and any remaining contents immediately after use.

Patients with bronchial asthma, a history of bronchial asthma, severe chronic obstructive pulmonary disease, sinus bradycardia, second or third degree atrioventricular block, or cardiac failure should be advised not to take this product.

(See CONTRAINDICATIONS.)

Section 34080-2 (34080-2)

Nursing Mothers

Timolol maleate USP has been detected in human milk following oral and ophthalmic drug administration. Because of the potential for serious adverse reactions from timolol in nursing infants, a decision should be made whether to discontinue nursing or to discontinue the drug, taking into account the importance of the drug to the mother.

Section 34081-0 (34081-0)

Pediatric Use

Safety and effectiveness of timolol maleate ophthalmic solution USP have been established when administered in pediatric patients aged 2 years and older. Use of timolol maleate ophthalmic solution USP in these children is supported by evidence from adequate and well- controlled studies in children and adults. Safety and efficacy in pediatric patients below the age of 2 years have not been established.

Section 34082-8 (34082-8)

Geriatric Use

No overall differences in safety or effectiveness have been observed between elderly and younger patients.

Section 34083-6 (34083-6)

Carcinogenesis, Mutagenesis, Impairment of Fertility

In a two-year study of timolol maleate USP administered orally to rats, there was a statistically significant increase in the incidence of adrenal pheochromocytomas in male rats administered 300 mg/kg/day (approximately 42,000 times the systemic exposure following the maximum recommended human ophthalmic dose). Similar differences were not observed in rats administered oral doses equivalent to approximately 14,000 times the maximum recommended human ophthalmic dose.

In a lifetime oral study in mice, there were statistically significant increases in the incidence of benign and malignant pulmonary tumors, benign uterine polyps and mammary adenocarcinomas in female mice at 500 mg/kg/day (approximately 71,000 times the systemic exposure following the maximum recommended human ophthalmic dose), but not at 5 or 50 mg/kg/day (approximately 700 or 7,000 times, respectively, the systemic exposure following the maximum recommended human ophthalmic dose). In a subsequent study in female mice, in which post-mortem examinations were limited to the uterus and the lungs, a statistically significant increase in the incidence of pulmonary tumors was again observed at 500 mg/kg/day.

The increased occurrence of mammary adenocarcinomas was associated with elevations in serum prolactin which occurred in female mice administered oral timolol at 500 mg/kg/day, but not at doses of 5 or 50 mg/kg/day. An increased incidence of mammary adenocarcinomas in rodents has been associated with administration of several other therapeutic agents that elevate serum prolactin, but no correlation between serum prolactin levels and mammary tumors has been established in humans.

Furthermore, in adult human female subjects who received oral dosages of up to 60 mg of timolol maleate USP (the maximum recommended human oral dosage), there were no clinically meaningful changes in serum prolactin.

Timolol maleate USP was devoid of mutagenic potential when tested in vivo (mouse) in the micronucleus test and cytogenetic assay (doses up to 800 mg/kg) and in vitro in a neoplastic cell transformation assay (up to 100 mcg/mL). In Ames tests the highest concentrations of timolol employed, 5,000 or 10,000 mcg/plate, were associated with statistically significant elevations of revertants observed with tester strain TA100 (in seven replicate assays), but not in the remaining three strains. In the assays with tester strain TA100, no consistent dose response relationship was observed, and the ratio of test to control revertants did not reach 2. A ratio of 2 is usually considered the criterion for a positive Ames test.

Reproduction and fertility studies in rats demonstrated no adverse effect on male or female fertility at doses up to 21,000 times the systemic exposure following the maximum recommended human ophthalmic dose.

Section 42228-7 (42228-7)

Pregnancy:

Teratogenic Effects: Teratogenicity studies with timolol in mice, rats and rabbits at oral doses up to 50 mg/kg/day (7,000 times the systemic exposure following the maximum recommended human ophthalmic dose) demonstrated no evidence of fetal malformations. Although delayed fetal ossification was observed at this dose in rats, there were no adverse effects on postnatal development of offspring. Doses of 1,000 mg/kg/day (142,000 times the systemic exposure following the maximum recommended human ophthalmic dose) were maternotoxic in mice and resulted in an increased number of fetal resorptions. Increased fetal resorptions were also seen in rabbits at doses of 14,000 times the systemic exposure following the maximum recommended human ophthalmic dose, in this case without apparent maternotoxicity.

There are no adequate and well-controlled studies in pregnant women. Preservative-free timolol maleate ophthalmic solution USP should be used during pregnancy only if the potential benefit justifies the potential risk to the fetus.

Section 42229-5 (42229-5)

PRESERVATIVE-FREE STERILE OPHTHALMIC SOLUTION in a Sterile Ophthalmic

Single-Dose Vial

Warnings (WARNINGS)

As with many topically applied ophthalmic drugs, this drug is absorbed systemically.

The same adverse reactions found with systemic administration of beta-adrenergic blocking agents may occur with topical administration. For example, severe respiratory reactions and cardiac reactions, including death due to bronchospasm in patients with asthma, and rarely death in association with cardiac failure, have been reported following systemic or ophthalmic administration of timolol maleate USP (see CONTRAINDICATIONS ).

Cardiac Failure

Sympathetic stimulation may be essential for support of the circulation in individuals with diminished myocardial contractility, and its inhibition by beta-adrenergic receptor blockade may precipitate more severe failure.

In Patients without a History of Cardiac Failure continued depression of the myocardium with beta-blocking agents over a period of time can, in some cases, lead to cardiac failure. At the first sign or symptom of cardiac failure, preservative-free timolol maleate ophthalmic solution USP in unit dose vial should be discontinued.

Obstructive Pulmonary Disease

Patients with chronic obstructive pulmonary disease (e.g., chronic bronchitis, emphysema) of mild or moderate severity, bronchospastic disease, or a history of bronchospastic disease (other than bronchial asthma or a history of bronchial asthma, in which timolol maleate ophthalmic solution USP is contraindicated [see CONTRAINDICATIONS]) should, in general, not receive beta-blockers, including preservative-free timolol maleate ophthalmic solution USP in the unit dose vial.

Major Surgery

The necessity or desirability of withdrawal of beta-adrenergic blocking agents prior to major surgery is controversial. Beta-adrenergic receptor blockade impairs the ability of the heart to respond to beta-adrenergically mediated reflex stimuli. This may augment the risk of general anesthesia in surgical procedures. Some patients receiving beta-adrenergic receptor blocking agents have experienced protracted severe hypotension during anesthesia. Difficulty in restarting and maintaining the heartbeat has also been reported. For these reasons, in patients undergoing elective surgery, some authorities recommend gradual withdrawal of beta-adrenergic receptor blocking agents.

If necessary during surgery, the effects of beta-adrenergic blocking agents may be reversed by sufficient doses of adrenergic agonists.

Diabetes Mellitus

Beta-adrenergic blocking agents should be administered with caution in patients subject to spontaneous hypoglycemia or to diabetic patients (especially those with labile diabetes) who are receiving insulin or oral hypoglycemic agents. Beta-adrenergic receptor blocking agents may mask the signs and symptoms of acute hypoglycemia.

Thyrotoxicosis

Beta-adrenergic blocking agents may mask certain clinical signs (e.g., tachycardia) of hyperthyroidism. Patients suspected of developing thyrotoxicosis should be managed carefully to avoid abrupt withdrawal of beta-adrenergic blocking agents that might precipitate a thyroid storm.

Overdosage (OVERDOSAGE)

There have been reports of inadvertent overdosage with timolol maleate ophthalmic solution USP resulting in systemic effects similar to those seen with systemic beta-adrenergic blocking agents such as dizziness, headache, shortness of breath, bradycardia, bronchospasm, and cardiac arrest (see also ADVERSE REACTIONS).

Overdosage has been reported with timolol maleate USP tablets. A 30 year old female ingested 650 mg of timolol maleate USP tablets (maximum recommended oral daily dose is 60 mg) and experienced second and third degree heart block. She recovered without treatment but approximately two months later developed irregular heartbeat, hypertension, dizziness, tinnitus, faintness, increased pulse rate, and borderline first degree heart block.

An in vitro hemodialysis study, using 14C timolol added to human plasma or whole blood, showed that timolol was readily dialyzed from these fluids; however, a study of patients with renal failure showed that timolol did not dialyze readily.

Description (DESCRIPTION)

Timolol maleate USP is a non-selective beta-adrenergic receptor blocking agent. Its chemical name is (-)-1-(tert-butylamino)-3-[(4-morpholino-1,2,5-thiadiazol-3-yl)oxy]-2-propanol maleate (1:1) (salt). Timolol maleate possesses an asymmetric carbon atom in its structure and is provided as the levo-isomer. The optical rotation of timolol maleate is:



[α]

25°



405 nm



in 1.0N HCl (C = 5%) = -12.2° (-11.7° to -12.5°)

Its molecular formula is C13H24N4O3S•C4H4O4 and its structural formula is:

Timolol maleate has a molecular weight of 432.50. It is a white, odorless, crystalline powder which is soluble in water, methanol, and alcohol. Timolol maleate is stable at room temperature.

Timolol maleate ophthalmic solution is supplied in two formulations: timolol maleate ophthalmic solution, which contains the preservative benzalkonium chloride; and timolol maleate ophthalmic solution, the preservative-free formulation.

Preservative-free timolol maleate ophthalmic solution, USP is supplied in a single-dose vial, as a sterile, isotonic, buffered, aqueous solution of timolol maleate in two dosage strengths: Each mL of preservative-free timolol maleate ophthalmic solution USP 0.25% contains 2.5 mg of timolol (3.4 mg of timolol maleate). The pH of the solution is approximately 7.0, and the osmolarity is 252-328 mOsm. Each mL of Preservative-free timolol maleate ophthalmic solution USP 0.5% contains 5 mg of timolol (6.8 mg of timolol maleate). Inactive ingredients: monobasic and dibasic sodium phosphate, sodium hydroxide to adjust pH, and water for injection.

How Supplied (HOW SUPPLIED)

Preservative-free Timolol Maleate Ophthalmic Solution USP is a clear, colorless to light yellow solution.

Preservative-free Timolol Maleate Ophthalmic Solution USP, 0.25% timolol equivalent, is supplied in a clear low density polyethylene vial. Each individual unit contains 0.3 mL of solution, and is available in 2 blocks of 5 vials in a sealed aluminum pouch; six pouches per carton.

NDC 69918-602-60; 0.3 mL Single-dose vials in a carton of 60.

Preservative-free Timolol Maleate Ophthalmic Solution, 0.5% timolol equivalent, is supplied in a clear low density polyethylene vial. Each individual unit contains 0.3 mL of solution, and is available in 2 blocks of 5 vials in a sealed aluminum pouch; six pouches per carton.

NDC 69918-601-60; 0.3 mL Single-dose vials in a carton of 60.

Storage

Store at room temperature, 15 to 30°C (59 to 86°F). Protect from freezing. Protect from light.

Because evaporation can occur through the unprotected polyethylene unit dose vial and prolonged exposure to direct light can modify the product, the unit dose vial should be kept in the protective foil overwrap and used within one month after the foil package has been opened.

Keep out of Reach of Children.

Manufactured for:

Nordic Pharma, Inc.

Berwyn, PA 19312

www.nordicpharmausa.com

The Nordic Pharma Logo is a trademark of Nordic Group B.V.

Manufactured by:

Holopack Verpackungstechnik GmbH,

Bahnhofstrasse 18, 74429 Sulzbach-Laufen, Germany

Origin Germany

Rev. April 2024

006-00423

Adverse Reactions (ADVERSE REACTIONS)

The most frequently reported adverse experiences have been burning and stinging upon instillation (approximately one in eight patients).

The following additional adverse experiences have been reported less frequently with ocular administration of this or other timolol maleate USP formulations:

BODY AS A WHOLE

Headache, asthenia/fatigue, and chest pain.

CARDIOVASCULAR

Bradycardia, arrhythmia, hypotension, hypertension, syncope, heart block, cerebral vascular accident, cerebral ischemia, cardiac failure, worsening of angina pectoris, palpitation, cardiac arrest, pulmonary edema, edema, claudication, Raynaud’s phenomenon, and cold hands and feet.

DIGESTIVE

Nausea, diarrhea, dyspepsia, anorexia, and dry mouth.

IMMUNOLOGIC

Systemic lupus erythematosus.

NERVOUS SYSTEM/PSYCHIATRIC

Dizziness, increase in signs and symptoms of myasthenia gravis, paresthesia, somnolence, insomnia, nightmares, behavioral changes and psychic disturbances including depression, confusion, hallucinations, anxiety, disorientation, nervousness, and memory loss.

SKIN

Alopecia and psoriasiform rash or exacerbation of psoriasis.

HYPERSENSITIVITY

Signs and symptoms of systemic allergic reactions including anaphylaxis, angioedema, urticaria, and localized and generalized rash.

RESPIRATORY

Bronchospasm (predominantly in patients with pre-existing bronchospastic disease), respiratory failure, dyspnea, nasal congestion, cough and upper respiratory infections.

ENDOCRINE

Masked symptoms of hypoglycemia in diabetic patients (see WARNINGS).

SPECIAL SENSES

Signs and symptoms of ocular irritation including conjunctivitis, blepharitis, keratitis, ocular pain, discharge (e.g., crusting), foreign body sensation, itching and tearing, and dry eyes; ptosis; decreased corneal sensitivity; cystoid macular edema; visual disturbances including refractive changes and diplopia; pseudopemphigoid; choroidal detachment following filtration surgery (see PRECAUTIONS, General); and tinnitus.

UROGENITAL

Retroperitoneal fibrosis, decreased libido, impotence, and Peyronie’s disease.

The following additional adverse effects have been reported in clinical experience with ORAL timolol maleate USP or other ORAL beta blocking agents, and may be considered potential effects of ophthalmic timolol maleate USP: Allergic: Erythematous rash, fever combined with aching and sore throat, laryngospasm with respiratory distress; Body as a Whole: Extremity pain, decreased exercise tolerance, weight loss; Cardiovascular: Worsening of arterial insufficiency, vasodilatation; Digestive: Gastrointestinal pain, hepatomegaly, vomiting, mesenteric arterial thrombosis, ischemic colitis; Hematologic: Nonthrombocytopenic purpura; thrombocytopenic purpura; agranulocytosis; Endocrine: Hyperglycemia, hypoglycemia; Skin: Pruritus, skin irritation, increased pigmentation, sweating; Musculoskeletal: Arthralgia; Nervous System/Psychiatric: Vertigo, local weakness, diminished concentration, reversible mental depression progressing to catatonia, an acute reversible syndrome characterized by disorientation for time and place, emotional lability, slightly clouded sensorium, and decreased performance on neuropsychometrics; Respiratory: Rales, bronchial obstruction; Urogenital: Urination difficulties.

To report SUSPECTED ADVERSE REACTIONS, contact Nordic Pharma, Inc. at 1-844-267-4641 or FDA at 1-800-FDA-1088 or www.fda.gov/medwatch.

Contraindications (CONTRAINDICATIONS)

Preservative-free timolol maleate ophthalmic solution USP in the unit dose vial is contraindicated in patients with (1) bronchial asthma; (2) a history of bronchial asthma; (3) severe chronic obstructive pulmonary disease (see WARNINGS); (4) sinus bradycardia; (5) second or third degree atrioventricular block; (6) overt cardiac failure (see WARNINGS); (7) cardiogenic shock; or (8) hypersensitivity to any component of this product.

Clinical Pharmacology (CLINICAL PHARMACOLOGY)

Mechanism of Action

Timolol maleate USP is a beta1 and beta2 (non-selective) adrenergic receptor blocking agent that does not have significant intrinsic sympathomimetic, direct myocardial depressant, or local anesthetic (membrane-stabilizing) activity.

Beta-adrenergic receptor blockade reduces cardiac output in both healthy subjects and patients with heart disease. In patients with severe impairment of myocardial function, beta-adrenergic receptor blockade may inhibit the stimulatory effect of the sympathetic nervous system necessary to maintain adequate cardiac function.

Beta-adrenergic receptor blockade in the bronchi and bronchioles results in increased airway resistance from unopposed parasympathetic activity. Such an effect in patients with asthma or other bronchospastic conditions is potentially dangerous.

Timolol maleate ophthalmic solution USP, when applied topically on the eye, has the action of reducing elevated as well as normal intraocular pressure, whether or not accompanied by glaucoma. Elevated intraocular pressure is a major risk factor in the pathogenesis of glaucomatous visual field loss. The higher the level of intraocular pressure, the greater the likelihood of glaucomatous visual field loss and optic nerve damage.

The onset of reduction in intraocular pressure following administration of timolol maleate ophthalmic solution USP can usually be detected within one-half hour after a single dose. The maximum effect usually occurs in one to two hours and significant lowering of intraocular pressure can be maintained for periods as long as 24 hours with a single dose. Repeated observations over a period of one year indicate that the intraocular pressure-lowering effect of timolol maleate ophthalmic solution USP is well maintained.

The precise mechanism of the ocular hypotensive action of timolol maleate ophthalmic solution USP is not clearly established at this time. Tonography and fluorophotometry studies in man suggest that its predominant action may be related to reduced aqueous formation. However, in some studies a slight increase in outflow facility was also observed.

Pharmacokinetics

In a study of plasma drug concentration in six subjects, the systemic exposure to timolol was determined following twice daily administration of timolol maleate ophthalmic solution USP 0.5%. The mean peak plasma concentration following morning dosing was 0.46 ng/mL and following afternoon dosing was 0.35 ng/mL.

Clinical Studies

In controlled multiclinic studies in patients with untreated intraocular pressures of 22 mmHg or greater, timolol maleate ophthalmic solution USP 0.25% or 0.5% administered twice a day produced a greater reduction in intraocular pressure than 1, 2, 3, or 4% pilocarpine solution administered four times a day or 0.5, 1, or 2% epinephrine hydrochloride solution administered twice a day.

In these studies, timolol maleate ophthalmic solution USP was generally well tolerated and produced fewer and less severe side effects than either pilocarpine or epinephrine. A slight reduction of resting heart rate in some patients receiving timolol maleate ophthalmic solution USP (mean reduction 2.9 beats/minute standard deviation 10.2) was observed.

Indications and Usage (INDICATIONS AND USAGE)

Preservative-free timolol maleate ophthalmic solution USP in the unit dose vial is indicated in the treatment of elevated intraocular pressure in patients with ocular hypertension or open-angle glaucoma.

Preservative-free timolol maleate ophthalmic solution USP in the unit dose vial may be used when a patient is sensitive to the preservative in timolol maleate ophthalmic solution USP, benzalkonium chloride, or when use of a preservative-free topical medication is advisable.

Dosage and Administration (DOSAGE AND ADMINISTRATION)

Preservative-free timolol maleate ophthalmic solution USP in the unit dose vial is a sterile solution that does not contain a preservative. The solution from one individual unit is to be used immediately after opening for administration to one or both eyes. Since sterility cannot be guaranteed after the individual unit is opened, the remaining contents should be discarded immediately after administration.

Preservative-free timolol maleate ophthalmic solution in the unit dose vial is available in concentrations of 0.25% and 0.5%. The usual starting dose is one drop of 0.25% preservative-free timolol maleate ophthalmic solution in the unit dose vial in the affected eye(s) administered twice a day. Apply enough gentle pressure on the individual vial to obtain a single drop of solution. If the clinical response is not adequate, the dosage may be changed to one drop of 0.5% solution in the affected eye(s) administered twice a day.

Since in some patients the pressure-lowering response to preservative-free timolol maleate ophthalmic solution in the unit dose vial may require a few weeks to stabilize, evaluation should include a determination of intraocular pressure after approximately 4 weeks of treatment with preservative-free timolol maleate ophthalmic solution in the unit dose vial.

If the intraocular pressure is maintained at satisfactory levels, the dosage schedule may be changed to one drop once a day in the affected eye(s). Because of diurnal variations in intraocular pressure, satisfactory response to the once-a-day dose is best determined by measuring the intraocular pressure at different times during the day.

Dosages above one drop of 0.5% timolol maleate ophthalmic solution twice a day generally have not been shown to produce further reduction in intraocular pressure. If the patient’s intraocular pressure is still not at a satisfactory level on this regimen, concomitant therapy with other agent(s) for lowering intraocular pressure can be instituted taking into consideration that the preparation(s) used concomitantly may contain one or more preservatives.

The concomitant use of two topical beta-adrenergic blocking agents is not recommended. (See PRECAUTIONS, Drug Interactions, Beta-adrenergic blocking agents .)

Package/label Principal Display Panel (PACKAGE/LABEL PRINCIPAL DISPLAY PANEL)

NDC 69918-601-60

Rx only

Timolol Maleate

Ophthalmic Solution, USP

0.5%*

For Topical Application In The Eye

Preservative-Free Sterile Ophthalmic Solution

Keep out of reach of children.

60 x 0.3 mL Single-dose Vials

PACKAGE/LABEL PRINCIPAL DISPLAY PANEL

NDC 69918-601-60

Rx only

Timolol Maleate

Ophthalmic Solution, USP

0.5%*

For Topical Application In The Eye

Preservative-Free Sterile Ophthalmic Solution

Keep out of reach of children.

10 x 0.3 mL Single-dose Vials


Advanced Ingredient Data


Raw Label Data

All Sections (JSON)