Ketorolac Tromethamine Tablets Usp, 10 Mg

Ketorolac Tromethamine Tablets Usp, 10 Mg
SPL v1
SPL
SPL Set ID 155c9171-d394-9c28-e063-6394a90a8209
Route
ORAL
Published
Effective Date 2024-04-05
Document Type 34391-3 HUMAN PRESCRIPTION DRUG LABEL

Drug Facts

Composition & Product

Active Ingredients
Ketorolac (10 mg)
Inactive Ingredients
Lactose Monohydrate Microcrystalline Cellulose Croscarmellose Sodium Hydroxypropyl Cellulose, Unspecified Magnesium Stearate Hypromellose 2910 (6 Mpa.s) Titanium Dioxide Polyethylene Glycol 8000

Identifiers & Packaging

Pill Appearance
Imprint: 17;10 Shape: round Color: white Size: 8 mm Score: 1
Marketing Status
ANDA Active Since 2022-11-10

Description

Ketorolac tromethamine tablets, a nonsteroidal anti-inflammatory drug (NSAID), are indicated for the short-term (up to 5 days in adults), management of moderately severe acute pain that requires analgesia at the opioid level and only as continuation treatment following IV or IM dosing of ketorolac tromethamine, if necessary. The total combined duration of use of ketorolac tromethamine tablets and ketorolac tromethamine should not exceed 5 days. Ketorolac tromethamine tablets are not indicated for use in pediatric patients and they are NOT indicated for minor or chronic painful conditions. Increasing the dose of ketorolac tromethamine tablets beyond a daily maximum of 40 mg in adults will not provide better efficacy but will increase the risk of developing serious adverse events. GASTROINTESTINAL RISK Ketorolac tromethamine, including ketorolac tromethamine tablets can cause peptic ulcers, gastrointestinal bleeding and/or perforation of the stomach or intestines, which can be fatal. These events can occur at any time during use and without warning symptoms. Therefore, ketorolac tromethamine is CONTRAINDICATED in patients with active peptic ulcer disease, in patients with recent gastrointestinal bleeding or perforation, and in patients with a history of peptic ulcer disease or gastrointestinal bleeding. Elderly patients are at greater risk for serious gastrointestinal events (see WARNINGS ). CARDIOVASCULAR THROMBOTIC EVENTS Nonsteroidal anti-inflammatory drugs (NSAIDs) cause an increased risk of serious cardiovascular thrombotic events, including myocardial infarction and stroke, which can be fatal. This risk may occur early in treatment and may increase with duration of use (see WARNINGS and PRECAUTIONS ). Ketorolac tromethamine tablets are contraindicated in the setting of coronary artery bypass graft (CABG) surgery (see CONTRAINDICATIONS and WARNINGS ). RENAL RISK Ketorolac tromethamine is CONTRAINDICATED in patients with advanced renal impairment and in patients at risk for renal failure due to volume depletion (see WARNINGS ). RISK OF BLEEDING Ketorolac tromethamine inhibits platelet function and is, therefore, CONTRAINDICATED in patients with suspected or confirmed cerebrovascular bleeding, patients with hemorrhagic diathesis, incomplete hemostasis and those at high risk of bleeding (see WARNINGS and PRECAUTIONS ). Ketorolac tromethamine is CONTRAINDICATED as prophylactic analgesic before any major surgery. RISK DURING LABOR AND DELIVERY The use of ketorolac tromethamine in labor and delivery is contraindicated because it may adversely affect fetal circulation and inhibit uterine contractions. CONCOMITANT USE WITH NSAIDs Ketorolac tromethamine is CONTRAINDICATED in patients currently receiving aspirin or NSAIDs because of the cumulative risk of inducing serious NSAID-related side effects. SPECIAL POPULATIONS Dosage should be adjusted for patients 65 years or older, for patients under 50 kg (110 lbs) of body weight (see DOSAGE AND ADMINISTRATION ) and for patients with moderately elevated serum creatinine (see WARNINGS ).

Indications and Usage

Carefully consider the potential benefits and risks of ketorolac tromethamine tablets and other treatment options before deciding to use ketorolac tromethamine tablets. Use the lowest effective dose for the shortest duration consistent with individual patient treatment goals.

Dosage and Administration

Carefully consider the potential benefits and risks of ketorolac tromethamine tablets and other treatment options before deciding to use ketorolac tromethamine tablets. Use the lowest effective dose for the shortest duration consistent with individual patient treatment goals. In adults, the combined duration of use of IV or IM dosing of ketorolac tromethamine and ketorolac tromethamine tablets is not to exceed 5 days. In adults, the use of ketorolac tromethamine tablets is only indicated as continuation therapy to IV or IM dosing of ketorolac tromethamine. Transition from IV or IM dosing of ketorolac tromethamine (single- or multiple-dose) to multiple-dose ketorolac tromethamine tablets: Patients age 17 to 64: 20 mg PO once followed by 10 mg q4 to 6 hours prn not > 40 mg/day Patients age ≥ 65, renally impaired, and/or weight < 50 kg (110 lbs): 10 mg PO once followed by 10 mg q4 to 6 hours prn not > 40 mg/day Note: Oral formulation should not be given as an initial dose . Use minimum effective dose for the individual patient. Do not shorten dosing interval of 4 to 6 hours. Total duration of treatment in adult patients: the combined duration of use of IV or IM dosing of ketorolac tromethamine and ketorolac tromethamine tablets is not to exceed 5 days. The following table summarizes ketorolac tromethamine tablets dosing instructions in terms of age group: Table 4: Summary of Dosing Instructions Patient Population Ketorolac Tromethamine Tablets (following IV or IM dosing of ketorolac tromethamine) Age < 17 years Oral not approved Adult Age 17 to 64 years 20 mg once, then 10 mg q4 to 6 hours prn not > 40 mg/day Adult Age ≥ 65 years, renally impaired, and/or weight < 50 kg 10 mg once, then 10 mg q4 to 6 hours prn not > 40 mg/day

Contraindications

(see also Boxed WARNING ) Ketorolac tromethamine tablets are contraindicated in patients with previously demonstrated hypersensitivity to ketorolac tromethamine. Ketorolac tromethamine tablets are contraindicated in patients with active peptic ulcer disease, in patients with recent gastrointestinal bleeding or perforation and in patients with a history of peptic ulcer disease or gastrointestinal bleeding. Ketorolac tromethamine tablets should not be given to patients who have experienced asthma, urticaria, or allergic-type reactions after taking aspirin or other NSAIDs. Severe, rarely fatal, anaphylactic-like reactions to NSAIDs have been reported in such patients (see WARNINGS, Anaphylactoid Reactions and PRECAUTIONS, Preexisting Asthma ). Ketorolac tromethamine tablets are contraindicated as prophylactic analgesic before any major surgery. Ketorolac tromethamine tablets are contraindicated in the setting of coronary artery bypass graft (CABG) surgery (see WARNINGS ). Ketorolac tromethamine tablets are contraindicated in patients with advanced renal impairment or in patients at risk for renal failure due to volume depletion (see WARNINGS for correction of volume depletion). Ketorolac tromethamine tablets are contraindicated in labor and delivery because, through its prostaglandin synthesis inhibitory effect, it may adversely affect fetal circulation and inhibit uterine contractions, thus increasing the risk of uterine hemorrhage. Ketorolac tromethamine inhibits platelet function and is, therefore, contraindicated in patients with suspected or confirmed cerebrovascular bleeding, hemorrhagic diathesis, incomplete hemostasis and those at high risk of bleeding (see WARNINGS and PRECAUTIONS ). Ketorolac tromethamine tablets are contraindicated in patients currently receiving aspirin or NSAIDs because of the cumulative risks of inducing serious NSAID-related adverse events. The concomitant use of ketorolac tromethamine and probenecid is contraindicated. The concomitant use of ketorolac tromethamine and pentoxifylline is contraindicated.

Adverse Reactions

Adverse reaction rates increase with higher doses of ketorolac tromethamine. Practitioners should be alert for the severe complications of treatment with ketorolac tromethamine, such as GI ulceration, bleeding and perforation, postoperative bleeding, acute renal failure, anaphylactic and anaphylactoid reactions and liver failure (see Boxed WARNING , WARNINGS , PRECAUTIONS , and DOSAGE AND ADMINISTRATION ). These NSAID-related complications can be serious in certain patients for whom ketorolac tromethamine is indicated, especially when the drug is used inappropriately. In patients taking ketorolac tromethamine or other NSAIDs in clinical trials, the most frequently reported adverse experiences in approximately 1% to 10% of patients are: Gastrointestinal (GI) experiences including: abdominal pain Incidence greater than 10% constipation/diarrhea dyspepsia flatulence GI fullness GI ulcers (gastric/duodenal) gross bleeding/perforation heartburn nausea stomatitis vomiting Other experiences: abnormal renal function anemia dizziness drowsiness edema elevated liver enzymes headaches hypertension increased bleeding time injection site pain pruritus purpura Rashes tinnitus sweating Additional adverse experiences reported occasionally (<1% in patients taking ketorolac tromethamine or other NSAIDs in clinical trials) include: Body as a Whole: fever, infections, sepsis Cardiovascular: congestive heart failure, palpitation, pallor, tachycardia, syncope Dermatologic: alopecia, photosensitivity, urticaria Gastrointestinal: anorexia, dry mouth, eructation, esophagitis, excessive thirst, gastritis, glossitis, hematemesis, hepatitis, increased appetite, jaundice, melena, rectal bleeding Hemic and Lymphatic: ecchymosis, eosinophilia, epistaxis, leukopenia, thrombocytopenia Metabolic and Nutritional: weight change Nervous System: abnormal dreams, abnormal thinking, anxiety, asthenia, confusion, depression, euphoria, extrapyramidal symptoms, hallucinations, hyperkinesis, inability to concentrate, insomnia, nervousness, paresthesia, somnolence, stupor, tremors, vertigo, malaise Reproductive, female: infertility Respiratory: asthma, cough, dyspnea, pulmonary edema, rhinitis Special Senses: abnormal taste, abnormal vision, blurred vision, hearing loss Urogenital: cystitis, dysuria, hematuria, increased urinary frequency, interstitial nephritis, oliguria/polyuria, proteinuria, renal failure, urinary retention Other rarely observed reactions (reported from postmarketing experience in patients taking ketorolac tromethamine or other NSAIDs) are: Body as a Whole: angioedema, death, hypersensitivity reactions such as anaphylaxis, anaphylactoid reaction, laryngeal edema, tongue edema (see WARNINGS ), myalgia Cardiovascular: arrhythmia, bradycardia, chest pain, flushing, hypotension, myocardial infarction, vasculitis Dermatologic: exfoliative dermatitis, erythema multiforme, Lyell's syndrome, bullous reactions including Stevens-Johnson Syndrome and toxic epidermal necrolysis Gastrointestinal: acute pancreatitis, liver failure, ulcerative stomatitis, exacerbation of inflammatory bowel disease (ulcerative colitis, Crohn's disease) Hemic and Lymphatic: agranulocytosis, aplastic anemia, hemolytic anemia, lymphadenopathy, pancytopenia, postoperative wound hemorrhage (rarely requiring blood transfusion - see Boxed WARNING , WARNINGS , and PRECAUTIONS ) Metabolic and Nutritional: hyperglycemia, hyperkalemia, hyponatremia Nervous System: aseptic meningitis, convulsions, coma, psychosis Respiratory: bronchospasm, respiratory depression, pneumonia Special Senses: conjunctivitis Urogenital: flank pain with or without hematuria and/or azotemia, hemolytic uremic syndrome

Drug Interactions

Ketorolac is highly bound to human plasma protein (mean 99.2%). There is no evidence in animal or human studies that ketorolac tromethamine induces or inhibits hepatic enzymes capable of metabolizing itself or other drugs. Warfarin, Digoxin, Salicylate, and Heparin The in vitro binding of warfarin to plasma proteins is only slightly reduced by ketorolac tromethamine (99.5% control vs 99.3%) when ketorolac plasma concentrations reach 5 to 10 mcg/mL. Ketorolac does not alter digoxin protein binding. In vitro studies indicate that, at therapeutic concentrations of salicylate (300 mcg/mL), the binding of ketorolac was reduced from approximately 99.2% to 97.5%, representing a potential twofold increase in unbound ketorolac plasma levels. Therapeutic concentrations of digoxin , warfarin , ibuprofen , naproxen , piroxicam , acetaminophen , phenytoin and tolbutamide did not alter ketorolac tromethamine protein binding. In a study involving 12 adult volunteers, ketorolac tromethamine tablets were coadministered with a single dose of 25 mg warfarin , causing no significant changes in pharmacokinetics or pharmacodynamics of warfarin. In another study, ketorolac tromethamine dosed IV or IM was given with two doses of 5,000 U of heparin to 11 healthy volunteers, resulting in a mean template bleeding time of 6.4 minutes (3.2 to 11.4 min) compared to a mean of 6 minutes (3.4 to 7.5 min) for heparin alone and 5.1 minutes (3.5 to 8.5 min) for placebo. Although these results do not indicate a significant interaction between ketorolac tromethamine and warfarin or heparin, the administration of ketorolac tromethamine to patients taking anticoagulants should be done extremely cautiously, and patients should be closely monitored (see WARNINGS and PRECAUTIONS, Hematologic Effect ). The effects of warfarin and NSAIDs, in general, on GI bleeding are synergistic, such that the users of both drugs together have a risk of serious GI bleeding higher than the users of either drug alone. Aspirin When ketorolac tromethamine is administered with aspirin, its protein binding is reduced, although the clearance of free ketorolac tromethamine is not altered. The clinical significance of this interaction is not known; however, as with other NSAIDs, concomitant administration of ketorolac tromethamine and aspirin is not generally recommended because of the potential of increased adverse effects. Diuretics Clinical studies, as well as postmarketing observations, have shown that ketorolac tromethamine can reduce the natriuretic effect of furosemide and thiazides in some patients. This response has been attributed to inhibition of renal prostaglandin synthesis. During concomitant therapy with NSAIDs, the patient should be observed closely for signs of renal failure (see WARNINGS, Renal Effects ), as well as to assure diuretic efficacy. Probenecid Concomitant administration of ketorolac tromethamine tablets and probenecid resulted in decreased clearance and volume of distribution of ketorolac and significant increases in ketorolac plasma levels (total AUC increased approximately threefold from 5.4 to 17.8 mcg/h/mL) and terminal half-life increased approximately twofold from 6.6 to 15.1 hours. Therefore, concomitant use of ketorolac tromethamine and probenecid is contraindicated. Lithium NSAIDs have produced an elevation of plasma lithium levels and a reduction in renal lithium clearance. The mean minimum lithium concentration increased 15% and the renal clearance was decreased by approximately 20%. These effects have been attributed to inhibition of renal prostaglandin synthesis by the NSAID. Thus, when NSAIDs and lithium are administered concurrently, subjects should be observed carefully for signs of lithium toxicity. Methotrexate NSAIDs have been reported to competitively inhibit methotrexate accumulation in rabbit kidney slices. This may indicate that they could enhance the toxicity of methotrexate. Caution should be used when NSAIDs are administered concomitantly with methotrexate. ACE Inhibitors/Angiotensin II Receptor Antagonists Concomitant use of ACE inhibitors and/or angiotensin II receptor antagonists may increase the risk of renal impairment, particularly in volume-depleted patients. Reports suggest that NSAIDs may diminish the antihypertensive effect of ACE inhibitors and/or angiotensin II receptor antagonists. This interaction should be given consideration in patients taking NSAIDs concomitantly with ACE inhibitors and/or angiotensin II receptor antagonists. Antiepileptic Drugs Sporadic cases of seizures have been reported during concomitant use of ketorolac tromethamine and antiepileptic drugs (phenytoin, carbamazepine). Psychoactive Drugs Hallucinations have been reported when ketorolac tromethamine was used in patients taking psychoactive drugs (fluoxetine, thiothixene, alprazolam). Pentoxifylline When ketorolac tromethamine is administered concurrently with pentoxifylline, there is an increased tendency to bleeding. Nondepolarizing Muscle Relaxants In postmarketing experience there have been reports of a possible interaction between ketorolac tromethamine IV/IM and nondepolarizing muscle relaxants that resulted in apnea. The concurrent use of ketorolac tromethamine with muscle relaxants has not been formally studied. Selective Serotonin Reuptake Inhibitors (SSRIs) There is an increased risk of gastrointestinal bleeding when selective serotonin reuptake inhibitors (SSRIs) are combined with NSAIDs. Caution should be used when NSAIDs are administered concomitantly with SSRIs.

How Supplied

Ketorolac tromethamine tablets, USP 10 mg are white to off-white, round, biconvex, film-coated tablets, debossed "17" on one side and "10" on the other side. They are supplied as follow: NDC 68071-3591-4 in bottle of 4 tablets with child-resistant closure Store at 20° to 25°C (68° to 77°F) [See USP Controlled Room Temperature]. Dispense in a tight, light-resistant container as defined in the USP, with a child-resistant closure (as required). PROTECT FROM LIGHT AND EXCESSIVE HUMIDITY. Keep this and all drugs out of the reach of children. Dispense with Medication Guide available at www.zydususa.com/medguides or call 1-877-993-8779 Manufactured by: Zydus Lifesciences Ltd., Ahmedabad, India Distributed by: Zydus Pharmaceuticals (USA) Inc. Pennington, NJ 08534 Rev.: 06/2022


Medication Information

Indications and Usage

Carefully consider the potential benefits and risks of ketorolac tromethamine tablets and other treatment options before deciding to use ketorolac tromethamine tablets. Use the lowest effective dose for the shortest duration consistent with individual patient treatment goals.

Dosage and Administration

Carefully consider the potential benefits and risks of ketorolac tromethamine tablets and other treatment options before deciding to use ketorolac tromethamine tablets. Use the lowest effective dose for the shortest duration consistent with individual patient treatment goals. In adults, the combined duration of use of IV or IM dosing of ketorolac tromethamine and ketorolac tromethamine tablets is not to exceed 5 days. In adults, the use of ketorolac tromethamine tablets is only indicated as continuation therapy to IV or IM dosing of ketorolac tromethamine.

Transition from IV or IM dosing of ketorolac tromethamine (single- or multiple-dose) to multiple-dose ketorolac tromethamine tablets:

Patients age 17 to 64: 20 mg PO once followed by 10 mg q4 to 6 hours prn not > 40 mg/day

Patients age ≥ 65, renally impaired, and/or weight < 50 kg (110 lbs): 10 mg PO once followed by 10 mg q4 to 6 hours prn not > 40 mg/day

Note:

Oral formulationshould notbe given as an initial dose.

Use minimum effective dosefor the individual patient.

Do not shorten dosing intervalof 4 to 6 hours.

Total duration of treatment in adult patients:the combined duration of use of IV or IM dosing of ketorolac tromethamine and ketorolac tromethamine tablets is not to exceed 5 days.

The following table summarizes ketorolac tromethamine tablets dosing instructions in terms of age group:

Table 4: Summary of Dosing Instructions
Patient Population

Ketorolac Tromethamine Tablets (following IV or IM dosing of ketorolac tromethamine)

Age < 17 years

Oral not approved

Adult Age 17 to 64 years

20 mg once, then 10 mg q4 to 6 hours prn not > 40 mg/day

Adult Age ≥ 65 years, renally impaired, and/or weight < 50 kg

10 mg once, then 10 mg q4 to 6 hours prn not > 40 mg/day

Contraindications

(see also Boxed WARNING)

Ketorolac tromethamine tablets are contraindicated in patients with previously demonstrated hypersensitivity to ketorolac tromethamine.

Ketorolac tromethamine tablets are contraindicated in patients with active peptic ulcer disease, in patients with recent gastrointestinal bleeding or perforation and in patients with a history of peptic ulcer disease or gastrointestinal bleeding.

Ketorolac tromethamine tablets should not be given to patients who have experienced asthma, urticaria, or allergic-type reactions after taking aspirin or other NSAIDs. Severe, rarely fatal, anaphylactic-like reactions to NSAIDs have been reported in such patients (see WARNINGS, Anaphylactoid Reactions and PRECAUTIONS, Preexisting Asthma ).

Ketorolac tromethamine tablets are contraindicated as prophylactic analgesic before any major surgery.

Ketorolac tromethamine tablets are contraindicated in the setting of coronary artery bypass graft (CABG) surgery (see WARNINGS ).

Ketorolac tromethamine tablets are contraindicated in patients with advanced renal impairment or in patients at risk for renal failure due to volume depletion (see WARNINGS for correction of volume depletion).

Ketorolac tromethamine tablets are contraindicated in labor and delivery because, through its prostaglandin synthesis inhibitory effect, it may adversely affect fetal circulation and inhibit uterine contractions, thus increasing the risk of uterine hemorrhage.

Ketorolac tromethamine inhibits platelet function and is, therefore, contraindicated in patients with suspected or confirmed cerebrovascular bleeding, hemorrhagic diathesis, incomplete hemostasis and those at high risk of bleeding (see WARNINGS and PRECAUTIONS ).

Ketorolac tromethamine tablets are contraindicated in patients currently receiving aspirin or NSAIDs because of the cumulative risks of inducing serious NSAID-related adverse events.

The concomitant use of ketorolac tromethamine and probenecid is contraindicated.

The concomitant use of ketorolac tromethamine and pentoxifylline is contraindicated.

Adverse Reactions

Adverse reaction rates increase with higher doses of ketorolac tromethamine. Practitioners should be alert for the severe complications of treatment with ketorolac tromethamine, such as GI ulceration, bleeding and perforation, postoperative bleeding, acute renal failure, anaphylactic and anaphylactoid reactions and liver failure (see Boxed WARNING , WARNINGS , PRECAUTIONS , and DOSAGE AND ADMINISTRATION ).

These NSAID-related complications can be serious in certain patients for whom ketorolac tromethamine is indicated, especially when the drug is used inappropriately.

In patients taking ketorolac tromethamine or other NSAIDs in clinical trials, the most frequently reported adverse experiences in approximately 1% to 10% of patients are:

Gastrointestinal (GI) experiences including:

abdominal pain
Incidence greater than 10%


constipation/diarrhea

dyspepsia


flatulence

GI fullness

GI ulcers (gastric/duodenal)

gross bleeding/perforation

heartburn

nausea


stomatitis

vomiting

Other experiences:

abnormal renal function

anemia

dizziness

drowsiness

edema

elevated liver enzymes

headaches


hypertension

increased bleeding time

injection site pain

pruritus

purpura

Rashes

tinnitus

sweating

Additional adverse experiences reported occasionally (<1% in patients taking ketorolac tromethamine or other NSAIDs in clinical trials) include:

Body as a Whole:fever, infections, sepsis

Cardiovascular:congestive heart failure, palpitation, pallor, tachycardia, syncope

Dermatologic:alopecia, photosensitivity, urticaria

Gastrointestinal:anorexia, dry mouth, eructation, esophagitis, excessive thirst, gastritis, glossitis, hematemesis, hepatitis, increased appetite, jaundice, melena, rectal bleeding

Hemic and Lymphatic:ecchymosis, eosinophilia, epistaxis, leukopenia, thrombocytopenia

Metabolic and Nutritional:weight change

Nervous System:abnormal dreams, abnormal thinking, anxiety, asthenia, confusion, depression, euphoria, extrapyramidal symptoms, hallucinations, hyperkinesis, inability to concentrate, insomnia, nervousness, paresthesia, somnolence, stupor, tremors, vertigo, malaise

Reproductive, female:infertility

Respiratory:asthma, cough, dyspnea, pulmonary edema, rhinitis

Special Senses:abnormal taste, abnormal vision, blurred vision, hearing loss

Urogenital:cystitis, dysuria, hematuria, increased urinary frequency, interstitial nephritis, oliguria/polyuria, proteinuria, renal failure, urinary retention

Other rarely observed reactions (reported from postmarketing experience in patients taking ketorolac tromethamine or other NSAIDs) are:

Body as a Whole:angioedema, death, hypersensitivity reactions such as anaphylaxis, anaphylactoid reaction, laryngeal edema, tongue edema (see WARNINGS ), myalgia

Cardiovascular:arrhythmia, bradycardia, chest pain, flushing, hypotension, myocardial infarction, vasculitis

Dermatologic:exfoliative dermatitis, erythema multiforme, Lyell's syndrome, bullous reactions including Stevens-Johnson Syndrome and toxic epidermal necrolysis

Gastrointestinal:acute pancreatitis, liver failure, ulcerative stomatitis, exacerbation of inflammatory bowel disease (ulcerative colitis, Crohn's disease)

Hemic and Lymphatic:agranulocytosis, aplastic anemia, hemolytic anemia, lymphadenopathy, pancytopenia, postoperative wound hemorrhage (rarely requiring blood transfusion - see Boxed WARNING , WARNINGS , and PRECAUTIONS )

Metabolic and Nutritional:hyperglycemia, hyperkalemia, hyponatremia

Nervous System:aseptic meningitis, convulsions, coma, psychosis

Respiratory:bronchospasm, respiratory depression, pneumonia

Special Senses:conjunctivitis

Urogenital:flank pain with or without hematuria and/or azotemia, hemolytic uremic syndrome

Drug Interactions

Ketorolac is highly bound to human plasma protein (mean 99.2%). There is no evidence in animal or human studies that ketorolac tromethamine induces or inhibits hepatic enzymes capable of metabolizing itself or other drugs.

Warfarin, Digoxin, Salicylate, and Heparin

The in vitrobinding of warfarin to plasma proteins is only slightly reduced by ketorolac tromethamine (99.5% control vs 99.3%) when ketorolac plasma concentrations reach 5 to 10 mcg/mL. Ketorolac does not alter digoxin protein binding. In vitrostudies indicate that, at therapeutic concentrations of salicylate (300 mcg/mL), the binding of ketorolac was reduced from approximately 99.2% to 97.5%, representing a potential twofold increase in unbound ketorolac plasma levels. Therapeutic concentrations of digoxin , warfarin , ibuprofen , naproxen , piroxicam , acetaminophen , phenytoin and tolbutamide did not alter ketorolac tromethamine protein binding.

In a study involving 12 adult volunteers, ketorolac tromethamine tablets were coadministered with a single dose of 25 mg warfarin , causing no significant changes in pharmacokinetics or pharmacodynamics of warfarin. In another study, ketorolac tromethamine dosed IV or IM was given with two doses of 5,000 U of heparin to 11 healthy volunteers, resulting in a mean template bleeding time of 6.4 minutes (3.2 to 11.4 min) compared to a mean of 6 minutes (3.4 to 7.5 min) for heparin alone and 5.1 minutes (3.5 to 8.5 min) for placebo. Although these results do not indicate a significant interaction between ketorolac tromethamine and warfarin or heparin, the administration of ketorolac tromethamine to patients taking anticoagulants should be done extremely cautiously, and patients should be closely monitored (see WARNINGS and PRECAUTIONS, Hematologic Effect ).

The effects of warfarin and NSAIDs, in general, on GI bleeding are synergistic, such that the users of both drugs together have a risk of serious GI bleeding higher than the users of either drug alone.

Aspirin

When ketorolac tromethamine is administered with aspirin, its protein binding is reduced, although the clearance of free ketorolac tromethamine is not altered. The clinical significance of this interaction is not known; however, as with other NSAIDs, concomitant administration of ketorolac tromethamine and aspirin is not generally recommended because of the potential of increased adverse effects.

Diuretics

Clinical studies, as well as postmarketing observations, have shown that ketorolac tromethamine can reduce the natriuretic effect of furosemide and thiazides in some patients. This response has been attributed to inhibition of renal prostaglandin synthesis. During concomitant therapy with NSAIDs, the patient should be observed closely for signs of renal failure (see WARNINGS, Renal Effects ), as well as to assure diuretic efficacy.

Probenecid

Concomitant administration of ketorolac tromethamine tablets and probenecid resulted in decreased clearance and volume of distribution of ketorolac and significant increases in ketorolac plasma levels (total AUC increased approximately threefold from 5.4 to 17.8 mcg/h/mL) and terminal half-life increased approximately twofold from 6.6 to 15.1 hours. Therefore, concomitant use of ketorolac tromethamine and probenecid is contraindicated.

Lithium

NSAIDs have produced an elevation of plasma lithium levels and a reduction in renal lithium clearance. The mean minimum lithium concentration increased 15% and the renal clearance was decreased by approximately 20%. These effects have been attributed to inhibition of renal prostaglandin synthesis by the NSAID. Thus, when NSAIDs and lithium are administered concurrently, subjects should be observed carefully for signs of lithium toxicity.

Methotrexate

NSAIDs have been reported to competitively inhibit methotrexate accumulation in rabbit kidney slices. This may indicate that they could enhance the toxicity of methotrexate. Caution should be used when NSAIDs are administered concomitantly with methotrexate.

ACE Inhibitors/Angiotensin II Receptor Antagonists

Concomitant use of ACE inhibitors and/or angiotensin II receptor antagonists may increase the risk of renal impairment, particularly in volume-depleted patients.

Reports suggest that NSAIDs may diminish the antihypertensive effect of ACE inhibitors and/or angiotensin II receptor antagonists. This interaction should be given consideration in patients taking NSAIDs concomitantly with ACE inhibitors and/or angiotensin II receptor antagonists.

Antiepileptic Drugs

Sporadic cases of seizures have been reported during concomitant use of ketorolac tromethamine and antiepileptic drugs (phenytoin, carbamazepine).

Psychoactive Drugs

Hallucinations have been reported when ketorolac tromethamine was used in patients taking psychoactive drugs (fluoxetine, thiothixene, alprazolam).

Pentoxifylline

When ketorolac tromethamine is administered concurrently with pentoxifylline, there is an increased tendency to bleeding.

Nondepolarizing Muscle Relaxants

In postmarketing experience there have been reports of a possible interaction between ketorolac tromethamine IV/IMand nondepolarizing muscle relaxants that resulted in apnea. The concurrent use of ketorolac tromethamine with muscle relaxants has not been formally studied.

Selective Serotonin Reuptake Inhibitors (SSRIs)

There is an increased risk of gastrointestinal bleeding when selective serotonin reuptake inhibitors (SSRIs) are combined with NSAIDs. Caution should be used when NSAIDs are administered concomitantly with SSRIs.

How Supplied

Ketorolac tromethamine tablets, USP 10 mg are white to off-white, round, biconvex, film-coated tablets, debossed "17" on one side and "10" on the other side. They are supplied as follow:

NDC 68071-3591-4 in bottle of 4 tablets with child-resistant closure

Store at 20° to 25°C (68° to 77°F) [See USP Controlled Room Temperature].

Dispense in a tight, light-resistant container as defined in the USP, with a child-resistant closure (as required).

PROTECT FROM LIGHT AND EXCESSIVE HUMIDITY.

Keep this and all drugs out of the reach of children.

Dispense with Medication Guide available at www.zydususa.com/medguides or call 1-877-993-8779

Manufactured by:

Zydus Lifesciences Ltd., Ahmedabad,

India

Distributed by:

Zydus Pharmaceuticals (USA) Inc.

Pennington, NJ 08534

Rev.: 06/2022

Description

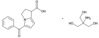
Ketorolac tromethamine tablets, USP are a member of the pyrrolo-pyrrole group of nonsteroidal anti-inflammatory drugs (NSAIDs). The chemical name for ketorolac tromethamine, USP is (±)-5-benzoyl-2,3-dihydro-1 H-pyrrolizine-1-carboxylic acid, compound with 2-amino-2-(hydroxymethyl)-1,3-propanediol (1:1). The structural formula is:

           C 15H 13NO 3 . C 4H 11NO 3         M.W. 376.40

Ketorolac tromethamine, USP is a racemic mixture of [-]S and [+]R ketorolac tromethamine, USP. Ketorolac tromethamine, USP may exist in three crystal forms. All forms are equally soluble in water. Ketorolac tromethamine, USP has a pKa of 3.5 and an n-octanol/water partition coefficient of 0.26.

Ketorolac tromethamine tablets, USP are white to off-white, round, biconvex, film-coated tablets. Each tablet, for oral administration, contains 10 mg ketorolac tromethamine, USP, the active ingredient. In addition, each tablet contains the following inactive ingredients: lactose monohydrate, microcrystalline cellulose, croscarmellose sodium, hydroxypropyl cellulose, magnesium stearate, hydroxypropyl methyl cellulose, titanium dioxide and macrogol.

General

Ketorolac tromethamine cannot be expected to substitute for corticosteroids or to treat corticosteroid insufficiency. Abrupt discontinuation of corticosteroids may lead to disease exacerbation. Patients on prolonged corticosteroid therapy should have their therapy tapered slowly if a decision is made to discontinue corticosteroids.

The pharmacological activity of ketorolac tromethamine in reducing inflammation may diminish the utility of this diagnostic sign in detecting complications of presumed noninfectious, painful conditions.

Hepatic Effect

Ketorolac tromethamine should be used with caution in patients with impaired hepatic function or a history of liver disease. Borderline elevations of one or more liver tests may occur in up to 15% of patients taking NSAIDs including ketorolac tromethamine. These laboratory abnormalities may progress, may remain unchanged, or may be transient with continuing therapy. Notable elevations of ALT or AST (approximately three or more times the upper limit of normal) have been reported in approximately 1% of patients in clinical trials with NSAIDs. In addition, rare cases of severe hepatic reactions, including jaundice and fatal fulminant hepatitis, liver necrosis and hepatic failure, some of them with fatal outcomes have been reported.

A patient with symptoms and/or signs suggesting liver dysfunction, or in whom an abnormal liver test has occurred, should be evaluated for evidence of the development of a more severe hepatic reaction while on therapy with ketorolac tromethamine. If clinical signs and symptoms consistent with liver disease develop, or if systemic manifestations occur (e.g., eosinophilia, rash, etc.), ketorolac tromethamine should be discontinued.

Hematologic Effect

Anemia is sometimes seen in patients receiving NSAIDs, including ketorolac tromethamine. This may be due to fluid retention, occult or gross GI blood loss, or an incompletely described effect upon erythropoiesis. Patients on long-term treatment with NSAIDs, including ketorolac tromethamine, should have their hemoglobin or hematocrit checked if they exhibit any signs or symptoms of anemia. NSAIDs inhibit platelet aggregation and have been shown to prolong bleeding time in some patients. Unlike aspirin, their effect on platelet function is quantitatively less, of shorter duration, and reversible. Patients receiving ketorolac tromethamine who may be adversely affected by alterations in platelet function, such as those with coagulation disorders or patients receiving anticoagulants, should be carefully monitored.

Warning


Ketorolac tromethamine tablets, a nonsteroidal anti-inflammatory drug (NSAID), are indicated for the short-term (up to 5 days in adults), management of moderately severe acute pain that requires analgesia at the opioid level and only as continuation treatment following IV or IM dosing of ketorolac tromethamine, if necessary. The total combined duration of use of ketorolac tromethamine tablets and ketorolac tromethamine should not exceed 5 days.

Ketorolac tromethamine tablets are not indicated for use in pediatric patients and they are NOT indicated for minor or chronic painful conditions. Increasing the dose of ketorolac tromethamine tablets beyond a daily maximum of 40 mg in adults will not provide better efficacy but will increase the risk of developing serious adverse events.

GASTROINTESTINAL RISK

  • Ketorolac tromethamine, including ketorolac tromethamine tablets can cause peptic ulcers, gastrointestinal bleeding and/or perforation of the stomach or intestines, which can be fatal. These events can occur at any time during use and without warning symptoms. Therefore, ketorolac tromethamine is CONTRAINDICATED in patients with active peptic ulcer disease, in patients with recent gastrointestinal bleeding or perforation, and in patients with a history of peptic ulcer disease or gastrointestinal bleeding. Elderly patients are at greater risk for serious gastrointestinal events (see WARNINGS ).
CARDIOVASCULAR THROMBOTIC EVENTS

  • Nonsteroidal anti-inflammatory drugs (NSAIDs) cause an increased risk of serious cardiovascular thrombotic events, including myocardial infarction and stroke, which can be fatal. This risk may occur early in treatment and may increase with duration of use (see WARNINGS and PRECAUTIONS ).
  • Ketorolac tromethamine tablets are contraindicated in the setting of coronary artery bypass graft (CABG) surgery (see CONTRAINDICATIONS and WARNINGS ).
RENAL RISK

  • Ketorolac tromethamine is CONTRAINDICATED in patients with advanced renal impairment and in patients at risk for renal failure due to volume depletion (see WARNINGS ).
RISK OF BLEEDING

  • Ketorolac tromethamine inhibits platelet function and is, therefore, CONTRAINDICATED in patients with suspected or confirmed cerebrovascular bleeding, patients with hemorrhagic diathesis, incomplete hemostasis and those at high risk of bleeding (see WARNINGS and PRECAUTIONS ).
Ketorolac tromethamine is CONTRAINDICATED as prophylactic analgesic before any major surgery.

RISK DURING LABOR AND DELIVERY

  • The use of ketorolac tromethamine in labor and delivery is contraindicated because it may adversely affect fetal circulation and inhibit uterine contractions.
CONCOMITANT USE WITH NSAIDs

  • Ketorolac tromethamine is CONTRAINDICATED in patients currently receiving aspirin or NSAIDs because of the cumulative risk of inducing serious NSAID-related side effects.
SPECIAL POPULATIONS

Dosage should be adjusted for patients 65 years or older, for patients under 50 kg (110 lbs) of body weight (see DOSAGE AND ADMINISTRATION ) and for patients with moderately elevated serum creatinine (see WARNINGS ).

Warnings

(see also Boxed WARNING )

The total combined duration of use of ketorolac tromethamine tablets and IV or IM dosing of ketorolac tromethamine is not to exceed 5 days in adults. Ketorolac tromethamine tablets are not indicated for use in pediatric patients.

The most serious risks associated with ketorolac tromethamine are:

Pregnancy

Risk Summary

Use of NSAIDs, including ketorolac tromethamine tablets, can cause premature closure of the fetal ductus arteriosus and fetal renal dysfunction leading to oligohydramnios and, in some cases, neonatal renal impairment. Because of these risks, limit dose and duration of ketorolac tromethamine tablets use between about 20 and 30 weeks of gestation, and avoid ketorolac tromethamine tablets use at about 30 weeks of gestation and later in pregnancy (see WARNINGS; Fetal Toxicity ).

Premature Closure of Fetal Ductus Arteriosus

Use of NSAIDs, including ketorolac tromethamine tablets, at about 30 weeks gestation or later in pregnancy increases the risk of premature closure of the fetal ductus arteriosus.

Oligohydramnios/Neonatal Renal Impairment

Use of NSAIDs at about 20 weeks gestation or later in pregnancy has been associated with cases of fetal renal dysfunction leading to oligohydramnios, and in some cases, neonatal renal impairment.

Data from observational studies regarding other potential embryofetal risks of NSAID use in women in the first or second trimesters of pregnancy are inconclusive. Animal reproduction studies have been performed during organogenesis using daily oral doses of ketorolac tromethamine at 3.6 mg/kg (0.37 times the human AUC) in rabbits and at 10 mg/kg (1 times the human AUC) in rats. Results of these studies did not reveal evidence of teratogenicity to the fetus. However, animal reproduction studies are not always predictive of human response. Based on animal data, prostaglandins have been shown to have an important role in endometrial vascular permeability, blastocyst implantation, and decidualization. In animal studies, administration of prostaglandin synthesis inhibitors such as ketorolac tromethamine, resulted in increased pre- and post-implantation loss. Prostaglandins also have been shown to have an important role in fetal kidney development. In published animal studies, prostaglandin synthesis inhibitors have been reported to impair kidney development when administered at clinically relevant doses. The estimated background risk of major birth defects and miscarriage for the indicated population(s) is unknown. All pregnancies have a background risk of birth defect, loss, or other adverse outcomes. In the U.S. general population, the estimated background risk of major birth defects and miscarriage in clinically recognized pregnancies is 2 to 4% and 15 to 20%, respectively.

Clinical Considerations

Fetal/Neonatal Adverse Reactions

Premature Closure of Fetal Ductus Arteriosus:

Avoid use of NSAIDs in women at about 30 weeks gestation and later in pregnancy, because NSAIDs, including ketorolac tromethamine tablets, can cause premature closure of the fetal ductus arteriosus (see WARNINGS; Fetal Toxicity ).

Oligohydramnios/Neonatal Renal Impairment

If an NSAID is necessary at about 20 weeks gestation or later in pregnancy, limit the use to the lowest effective dose and shortest duration possible. If ketorolac tromethamine tablets treatment extends beyond 48 hours, consider monitoring with ultrasound for oligohydramnios. If oligohydramnios occurs, discontinue ketorolac tromethamine tablets and follow up according to clinical practice (see WARNINGS; Fetal Toxicity ).

Data

Human Data

Premature Closure of Fetal Ductus Arteriosus:

Published literature reports that the use of NSAIDs at about 30 weeks of gestation and later in pregnancy may cause premature closure of the fetal ductus arteriosus.

Oligohydramnios/Neonatal Renal Impairment:

Published studies and postmarketing reports describe maternal NSAID use at about 20 weeks gestation or later in pregnancy associated with fetal renal dysfunction leading to oligohydramnios, and in some cases, neonatal renal impairment. These adverse outcomes are seen, on average, after days to weeks of treatment, although oligohydramnios has been infrequently reported as soon as 48 hours after NSAID initiation. In many cases, but not all, the decrease in amniotic fluid was transient and reversible with cessation of the drug. There have been a limited number of case reports of maternal NSAID use and neonatal renal dysfunction without oligohydramnios, some of which were irreversible. Some cases of neonatal renal dysfunction required treatment with invasive procedures, such as exchange transfusion or dialysis.

Methodological limitations of these postmarketing studies and reports include lack of a control group; limited information regarding dose, duration, and timing of drug exposure; and concomitant use of other medications. These limitations preclude establishing a reliable estimate of the risk of adverse fetal and neonatal outcomes with maternal NSAID use. Because the published safety data on neonatal outcomes involved mostly preterm infants, the generalizability of certain reported risks to the full-term infant exposed to NSAIDs through maternal use is uncertain.

Animal Data

Because of the known effects of nonsteroidal anti-inflammatory drugs on the fetal cardiovascular system (closure of ductus arteriosus), use during pregnancy (particularly late pregnancy) should be avoided. Oral doses of ketorolac tromethamine at 1.5 mg/kg (0.14 times the human AUC), administered after gestation Day 17, caused dystocia and higher pup mortality in rats.

Treatment

Patients should be managed by symptomatic and supportive care following a NSAIDs overdose. There are no specific antidotes. Emesis and/or activated charcoal (60 g to 100 g in adults, 1 g/kg to 2 g/kg in children) and/or osmotic cathartic may be indicated in patients seen within 4 hours of ingestion with symptoms or following a large oral overdose (5 to 10 times the usual dose). Forced diuresis, alkalization of urine, hemodialysis or hemoperfusion may not be useful due to high protein binding.

Single overdoses of ketorolac tromethamine have been variously associated with abdominal pain, nausea, vomiting, hyperventilation, peptic ulcers and/or erosive gastritis and renal dysfunction which have resolved after discontinuation of dosing.

Hemorrhage

Because prostaglandins play an important role in hemostasis and NSAIDs affect platelet aggregation as well, use of ketorolac tromethamine in patients who have coagulation disorders should be undertaken very cautiously, and those patients should be carefully monitored. Patients on therapeutic doses of anticoagulants (e.g., heparin or dicumarol derivatives) have an increased risk of bleeding complications if given ketorolac tromethamine concurrently; therefore, physicians should administer such concomitant therapy only extremely cautiously. The concurrent use of ketorolac tromethamine and therapy that affects hemostasis, including prophylactic low-dose heparin (2,500 to 5,000 units q12h), warfarin and dextrans have not been studied extensively, but may also be associated with an increased risk of bleeding. Until data from such studies are available, physicians should carefully weigh the benefits against the risks and use such concomitant therapy in these patients only extremely cautiously. Patients receiving therapy that affects hemostasis should be monitored closely.

In postmarketing experience, postoperative hematomas and other signs of wound bleeding have been reported in association with the peri-operative use of IV or IM dosing of ketorolac tromethamine. Therefore, peri-operative use of ketorolac tromethamine should be avoided and postoperative use be undertaken with caution when hemostasis is critical (see PRECAUTIONS ).

Pediatric Use

Ketorolac tromethamine tablets are not indicated for use in pediatric patients. The safety and effectiveness of ketorolac tromethamine tablets in pediatric patients below the age of 17 have not been established.

Renal Effects

Long-term administration of NSAIDs has resulted in renal papillary necrosis and other renal injury. Renal toxicity has also been seen in patients in whom renal prostaglandins have a compensatory role in the maintenance of renal perfusion. In these patients, administration of a NSAID may cause a dose-dependent reduction in prostaglandin formation and, secondarily, in renal blood flow, which may precipitate overt renal decompensation. Patients at greatest risk of this reaction are those with impaired renal function, heart failure, liver dysfunction, those taking diuretics and ACE inhibitors, and the elderly. Discontinuation of NSAID therapy is usually followed by recovery to the pretreatment state.

Ketorolac tromethamine and its metabolites are eliminated primarily by the kidneys, which, in patients with reduced creatinine clearance, will result in diminished clearance of the drug (see CLINICAL PHARMACOLOGY ). Therefore, ketorolac tromethamine should be used with caution in patients with impaired renal function (see DOSAGE AND ADMINISTRATION ) and such patients should be followed closely. With the use of ketorolac tromethamine, there have been reports of acute renal failure, interstitial nephritis and nephrotic syndrome.

Adult Patients

In a postoperative study, where all patients received morphine by a PCA device, patients treated with ketorolac tromethamine IVas fixed intermittent boluses (e.g., 30 mg initial dose followed by 15 mg q3h), required significantly less morphine (26%) than the placebo group. Analgesia was significantly superior, at various postdosing pain assessment times, in the patients receiving ketorolac tromethamine IVplus PCA morphine as compared to patients receiving PCA-administered morphine alone.

Fetal Toxicity

Premature Closure of Fetal Ductus Arteriosus:

Avoid use of NSAIDs, including ketorolac tromethamine tablets, in pregnant women at about 30 weeks gestation and later. NSAIDs including ketorolac tromethamine tablets, increase the risk of premature closure of the fetal ductus arteriosus at approximately this gestational age.

Oligohydramnios/Neonatal Renal Impairment:

Use of NSAIDs, including ketorolac tromethamine tablets, at about 20 weeks gestation or later in pregnancy may cause fetal renal dysfunction leading to oligohydramnios and, in some cases, neonatal renal impairment. These adverse outcomes are seen, on average, after days to weeks of treatment, although oligohydramnios has been infrequently reported as soon as 48 hours after NSAID initiation. Oligohydramnios is often, but not always, reversible with treatment discontinuation. Complications of prolonged oligohydramnios may, for example, include limb contractures and delayed lung maturation. In some postmarketing cases of impaired neonatal renal function, invasive procedures such as exchange transfusion or dialysis were required.

If NSAID treatment is necessary between about 20 weeks and 30 weeks gestation, limit ketorolac tromethamine tablets use to the lowest effective dose and shortest duration possible. Consider ultrasound monitoring of amniotic fluid if ketorolac tromethamine tablets treatment extends beyond 48 hours. Discontinue ketorolac tromethamine tablets if oligohydramnios occurs and follow up according to clinical practice (see PRECAUTIONS; Pregnancy).

Skin Reactions

NSAIDs, including ketorolac tromethamine, can cause serious skin adverse events such as exfoliative dermatitis, Stevens-Johnson Syndrome (SJS), and toxic epidermal necrolysis (TEN), which can be fatal. These serious events may occur without warning. Patients should be informed about the signs and symptoms of serious skin manifestations and use of the drug should be discontinued at the first appearance of skin rash, mucosal lesions, or any other sign of hypersensitivity.

Nursing Mothers

Limited data from one published study involving 10 breastfeeding women 2 to 6 days postpartum showed low levels of ketorolac in breast milk. Levels were undetectable (less than 5 ng/mL) in 4 of the patients. After a single administration of 10 mg of ketorolac tromethamine tablets, the maximum milk concentration observed was 7.3 ng/mL, and the maximum milk-to-plasma ratio was 0.037. After 1 day of dosing (10 mg every 6 hours), the maximum milk concentration was 7.9 ng/mL, and the maximum milk-to-plasma ratio was 0.025. Assuming a daily intake of 400 to 1,000 mL of human milk per day and a maternal body weight of 60 kg, the calculated maximum daily infant exposure was 0.00263 mg/kg/day, which is 0.4% of the maternal weight-adjusted dose.

Exercise caution when ketorolac is administered to a nursing woman. Available information has not shown any specific adverse events in nursing infants; however, instruct patients to contact their infant's health care provider if they note any adverse events.

Laboratory Tests

Because serious GI tract ulcerations and bleeding can occur without warning symptoms, physicians should monitor for signs or symptoms of GI bleeding. Patients on long-term treatment with NSAIDs, should have their CBC and a chemistry profile checked periodically. If clinical signs and symptoms consistent with liver or renal disease develop, systemic manifestations occur (e.g., eosinophilia, rash, etc.) or if abnormal liver tests persist or worsen, ketorolac tromethamine should be discontinued.

Pharmacodynamics

Ketorolac tromethamine is a nonsteroidal anti-inflammatory drug (NSAID) that exhibits analgesic activity in animal models. The mechanism of action of ketorolac, like that of other NSAIDs, is not completely understood but may be related to prostaglandin synthetase inhibition. The biological activity of ketorolac tromethamine is associated with the S-form. Ketorolac tromethamine possesses no sedative or anxiolytic properties.

The peak analgesic effect of ketorolac tromethamine occurs within 2 to 3 hours and is not statistically significantly different over the recommended dosage range of ketorolac tromethamine. The greatest difference between large and small doses of ketorolac tromethamine is in the duration of analgesia.

Pharmacokinetics

Ketorolac tromethamine is a racemic mixture of [-]S- and [+]R-enantiomeric forms, with the S-form having analgesic activity.

Comparison of IV, IM and Oral Pharmacokinetics

The pharmacokinetics of ketorolac tromethamine, following IV and IM doses of ketorolac tromethamine and oral doses of ketorolac tromethamine, are compared in Table 1. In adults, the extent of bioavailability following administration of the ORAL form of ketorolac tromethamine and the IM form of ketorolac tromethamine was equal to that following an IV bolus.

Linear Kinetics

In adults, following administration of single ORAL doses of ketorolac tromethamine or IM or IV doses of ketorolac tromethamine in the recommended dosage ranges, the clearance of the racemate does not change. This implies that the pharmacokinetics of ketorolac tromethamine in adults, following single or multiple IM or IV doses of ketorolac tromethamine or recommended oral doses of ketorolac tromethamine, are linear. At the higher recommended doses, there is a proportional increase in the concentrations of free and bound racemate.

Absorption

Ketorolac tromethamine is 100% absorbed after oral administration (see Table 1). Oral administration of ketorolac tromethamine after a high-fat meal resulted in decreased peak and delayed time-to-peak concentrations of ketorolac tromethamine by about 1 hour. Antacids did not affect the extent of absorption.

Distribution

The mean apparent volume (V ß) of ketorolac tromethamine following complete distribution was approximately 13 liters. This parameter was determined from single-dose data. The ketorolac tromethamine racemate has been shown to be highly protein bound (99%). Nevertheless, plasma concentrations as high as 10 mcg/mL will only occupy approximately 5% of the albumin binding sites. Thus, the unbound fraction for each enantiomer will be constant over the therapeutic range. A decrease in serum albumin, however, will result in increased free drug concentrations.

Ketorolac tromethamine is excreted in human milk (see PRECAUTIONS, Nursing Mothers ).

Metabolism

Ketorolac tromethamine is largely metabolized in the liver. The metabolic products are hydroxylated and conjugated forms of the parent drug. The products of metabolism, and some unchanged drug, are excreted in the urine.

Excretion

The principal route of elimination of ketorolac and its metabolites is renal. About 92% of a given dose is found in the urine, approximately 40% as metabolites and 60% as unchanged ketorolac. Approximately 6% of a dose is excreted in the feces. A single-dose study with 10 mg ketorolac tromethamine (n = 9) demonstrated that the S-enantiomer is cleared approximately two times faster than the R-enantiomer and that the clearance was independent of the route of administration. This means that the ratio of S/R plasma concentrations decreases with time after each dose. There is little or no inversion of the R- to S- form in humans. The clearance of the racemate in normal subjects, elderly individuals and in hepatically and renally impaired patients is outlined in Table 2 (see CLINICAL PHARMACOLOGY, Kinetics in Special Populations ).

The half-life of the ketorolac tromethamine S-enantiomer was approximately 2.5 hours (SD ± 0.4) compared with 5 hours (SD ± 1.7) for the R-enantiomer. In other studies, the half-life for the racemate has been reported to lie within the range of 5 to 6 hours.

Accumulation

Ketorolac tromethamine administered as an IV bolus every 6 hours for 5 days to healthy subjects (n = 13), showed no significant difference in C maxon Day 1 and Day 5. Trough levels averaged 0.29 mcg/mL (SD ± 0.13) on Day 1 and 0.55 mcg/mL (SD ± 0.23) on Day 6. Steady state was approached after the fourth dose.

Accumulation of ketorolac tromethamine has not been studied in special populations (geriatric, pediatric, renal failure or hepatic disease patients).

Iv Administration

In normal adult subjects (n = 37), the total clearance of 30 mg IV-administered ketorolac tromethamine was 0.030 (0.017 to 0.051) L/h/kg. The terminal half-life was 5.6 (4 to 7.9) hours (see Kinetics in Special Populations for use of IV dosing of ketorolac tromethamine in pediatric patients).

Labor and Delivery

The use of ketorolac tromethamine is contraindicated in labor and delivery because, through its prostaglandin synthesis inhibitory effect, it may adversely affect fetal circulation and inhibit uterine contractions, thus increasing the risk of uterine hemorrhage (see CONTRAINDICATIONS ).

Effects on Fertility

The use of ketorolac tromethamine, as with any drug known to inhibit cyclooxygenase/prostaglandin synthesis, may impair fertility and is not recommended in women attempting to conceive. In women who have difficulty conceiving or are undergoing investigation of infertility, withdrawal of ketorolac tromethamine should be considered.

Pediatric Patients

There are no data available to support the use of ketorolac tromethamine tablets in pediatric patients.

Preexisting Asthma

Patients with asthma may have aspirin-sensitive asthma. The use of aspirin in patients with aspirin-sensitive asthma has been associated with severe bronchospasm which can be fatal. Since cross reactivity, including bronchospasm, between aspirin and other nonsteroidal anti-inflammatory drugs has been reported in such aspirin-sensitive patients, ketorolac tromethamine should not be administered to patients with this form of aspirin sensitivity and should be used with caution in patients with preexisting asthma.

Symptoms and Signs

Symptoms following acute NSAID overdoses are usually limited to lethargy, drowsiness, nausea, vomiting, and epigastric pain, which are generally reversible with supportive care. Gastrointestinal bleeding can occur. Hypertension, acute renal failure, respiratory depression and coma may occur, but are rare. Anaphylactoid reactions have been reported with therapeutic ingestion of NSAIDs, and may occur following an overdose.

Cardiovascular Effects

Cardiovascular Thrombotic Events

Clinical trials of several COX-2 selective and nonselective NSAIDs of up to three years duration have shown an increased risk of serious cardiovascular (CV) thrombotic events, including myocardial infarction (MI) and stroke, which can be fatal. Based on available data, it is unclear that the risk for CV thrombotic events is similar for all NSAIDs. The relative increase in serious CV thrombotic events over baseline conferred by NSAID use appears to be similar in those with and without known CV disease or risk factors for CV disease. However, patients with known CV disease or risk factors had a higher absolute incidence of excess serious CV thrombotic events, due to their increased baseline rate. Some observational studies found that this increased risk of serious CV thrombotic events began as early as the first weeks of treatment. The increase in CV thrombotic risk has been observed most consistently at higher doses.

To minimize the potential risk for an adverse CV event in NSAID-treated patients, use the lowest effective dose for the shortest duration possible. Physicians and patients should remain alert for the development of such events, throughout the entire treatment course, even in the absence of previous CV symptoms. Patients should be informed about the symptoms of serious CV events and the steps to take if they occur.

There is no consistent evidence that concurrent use of aspirin mitigates the increased risk of serious CV thrombotic events associated with NSAID use. The concurrent use of aspirin and an NSAID, such as ketorolac tromethamine, increases the risk of serious gastrointestinal (GI) events (see WARNINGS ).

Status Post Coronary Artery Bypass Graft (CABG) Surgery

Two large, controlled clinical trials of a COX-2 selective NSAID for the treatment of pain in the first 10 to 14 days following CABG surgery found an increased incidence of myocardial infarction and stroke. NSAIDs are contraindicated in the setting of CABG (see CONTRAINDICATIONS ).

Post-MI Patients

Observational studies conducted in the Danish National Registry have demonstrated that patients treated with NSAIDs in the post-MI period were at increased risk of reinfarction, CV-related death, and all-cause mortality beginning in the first week of treatment. In this same cohort, the incidence of death in the first year post MI was 20 per 100 person years in NSAID-treated patients compared to 12 per 100 person years in non-NSAID exposed patients. Although the absolute rate of death declined somewhat after the first year post-MI, the increased relative risk of death in NSAID users persisted over at least the next four years of follow-up.

Avoid the use of ketorolac tromethamine tablets in patients with a recent MI unless the benefits are expected to outweigh the risk of recurrent CV thrombotic events. If ketorolac tromethamine tablets are used in patients with a recent MI, monitor patients for signs of cardiac ischemia.

Hypertension

NSAIDs, including ketorolac tromethamine, can lead to onset of new hypertension or worsening of preexisting hypertension, either of which may contribute to the increased incidence of CV events. Patients taking thiazides or loop diuretics may have impaired response to these therapies when taking NSAIDs. NSAIDs, including ketorolac tromethamine, should be used with caution in patients with hypertension. Blood pressure (BP) should be monitored closely during the initiation of NSAID treatment and throughout the course of therapy.

Anaphylactoid Reactions

As with other NSAIDs, anaphylactoid reactions may occur in patients without a known previous exposure or hypersensitivity to ketorolac tromethamine. Ketorolac tromethamine should not be given to patients with the aspirin triad. This symptom complex typically occurs in asthmatic patients who experience rhinitis with or without nasal polyps, or who exhibit severe, potentially fatal bronchospasm after taking aspirin or other NSAIDs (see CONTRAINDICATIONS and PRECAUTIONS, Preexisting Asthma ). Anaphylactoid reactions, like anaphylaxis, may have a fatal outcome. Emergency help should be sought in cases where an anaphylactoid reaction occurs.

Heart Failure and Edema

The Coxib and traditional NSAID Trialists' Collaboration meta-analysis of randomized controlled trials demonstrated an approximately two-fold increase in hospitalizations for heart failure in COX-2 selective-treated patients and nonselective NSAID-treated patients compared to placebo-treated patients. In a Danish National Registry study of patients with heart failure, NSAID use increased the risk of MI, hospitalization for heart failure, and death.

Additionally, fluid retention and edema have been observed in some patients treated with NSAIDs. Use of ketorolac tromethamine may blunt the CV effects of several therapeutic agents used to treat these medical conditions [e.g., diuretics, ACE inhibitors, or angiotensin receptor blockers (ARBs)] (see DRUG INTERACTIONS ).

Avoid the use of ketorolac tromethamine tablets in patients with severe heart failure unless the benefits are expected to outweigh the risk of worsening heart failure. If ketorolac tromethamine tablets are used in patients with severe heart failure, monitor patients for signs of worsening heart failure.

Impaired Renal Function

Ketorolac tromethamine is contraindicated in patients with serum creatinine concentrations indicating advanced renal impairment (see CONTRAINDICATIONS ). Ketorolac tromethamine should be used with caution in patients with impaired renal function or a history of kidney disease because it is a potent inhibitor of prostaglandin synthesis. Because patients with underlying renal insufficiency are at increased risk of developing acute renal decompensation or failure, the risks and benefits should be assessed prior to giving ketorolac tromethamine to these patients.

Information for Patients

Ketorolac tromethamine is a potent NSAID and may cause serious side effects such as gastrointestinal bleeding or kidney failure, which may result in hospitalization and even fatal outcome.

Physicians, when prescribing ketorolac tromethamine, should inform their patients or their guardians of the potential risks of ketorolac tromethamine treatment (see Boxed WARNING , WARNINGS , PRECAUTIONS , and ADVERSE REACTIONS sections), instruct patients to seek medical advice if they develop treatment-related adverse events, and advise patients not to give ketorolac tromethamine tablets to other family members and to discard any unused drug.

Remember that the total combined duration of use of ketorolac tromethamine tablets and IV or IM dosing of ketorolac tromethamine is not to exceed 5 days in adults. Ketorolac tromethamine tablets are not indicated for use in pediatric patients.

Patients should be informed of the following information before initiating therapy with an NSAID and periodically during the course of ongoing therapy. Patients should also be encouraged to read the NSAID Medication Guide that accompanies each prescription dispensed.

1.    Cardiovascular Thrombotic Events

Advise patients to be alert for the symptoms of cardiovascular thrombotic events, including chest pain, shortness of breath, weakness, or slurring of speech, and to report any of these symptoms to their health care provider immediately (see WARNINGS).

2.    Ketorolac tromethamine, like other NSAIDs, can cause GI discomfort and rarely, serious GI side effects, such as ulcers and bleeding, which may result in hospitalization and even death. Although serious GI tract ulcerations and bleeding can occur without warning symptoms, patients should be alert for the signs and symptoms of ulcerations and bleeding, and should ask for medical advice when observing any indicative sign or symptoms including epigastric pain, dyspepsia, melena, and hematemesis. Patients should be apprised of the importance of this follow-up (see WARNINGS, Gastrointestinal Effects – Risk of Ulceration, Bleeding, and Perforation ).

3.    Serious Skin Reactions, including DRESS

Advise patients to stop taking ketorolac tromethamine tablets immediately if they develop any type of rash or fever and to contact their healthcare provider as soon as possible (see WARNINGS ).

4.    Heart Failure and Edema

Advise patients to be alert for the symptoms of congestive heart failure including shortness of breath, unexplained weight gain, or edema and to contact their healthcare provider if such symptoms occur (see WARNINGS ).

5.    Patients should promptly report signs or symptoms of unexplained weight gain or edema to their physicians.

6.    Patients should be informed of the warning signs and symptoms of hepatotoxicity (e.g., nausea, fatigue, lethargy, pruritus, jaundice, right upper quadrant tenderness, and "flu-like" symptoms). If these occur, patients should be instructed to stop therapy and seek immediate medical therapy.

7.    Patients should be informed of the signs of an anaphylactoid reaction (e.g., difficulty breathing, swelling of the face or throat). If these occur, patients should be instructed to seek immediate emergency help (see WARNINGS ).

8.    Fetal Toxicity

Inform pregnant women to avoid use of ketorolac tromethamine tablets and other NSAIDs starting at 30 weeks gestation because of the risk of the premature closing of the fetal ductus arteriosus. If treatment with ketorolac tromethamine tablets is needed for a pregnant woman between about 20 to 30 weeks gestation, advise her that she may need to be monitored for oligohydramnios, if treatment continues for longer than 48 hours (see WARNINGS; Fetal Toxicity , PRECAUTIONS; Pregnancy ).

Acute Pain in Adult Patients

Ketorolac tromethamine tablets are indicated for the short-term (≤ 5 days) management of moderately severe acute pain that requires analgesia at the opioid level, usually in a postoperative setting. Therapy should always be initiated with IV or IM dosing of ketorolac tromethamine and ketorolac tromethamine tablets are to be used only as continuation treatment, if necessary.

The total combined duration of use of ketorolac tromethamine tablets and ketorolac tromethamine is not to exceed 5 days of use because of the potential of increasing the frequency and severity of adverse reactions associated with the recommended doses (see WARNINGS , PRECAUTIONS , DOSAGE AND ADMINISTRATION , and ADVERSE REACTIONS ). Patients should be switched to alternative analgesics as soon as possible, but ketorolac tromethamine tablet therapy is not to exceed 5 days.

Kinetics in Special Populations

Geriatric Patients

Based on single-dose data only, the half-life of the ketorolac tromethamine racemate increased from 5 to 7 hours in the elderly (65 to 78 years) compared with young healthy volunteers (24 to 35 years) (see Table 2). There was little difference in the C maxfor the two groups (elderly, 2.52 mcg/mL ± 0.77; young, 2.99 mcg/mL ± 1.03) (see PRECAUTIONS, Geriatric Use (≥ 65 Years of Age) ).

Pediatric Patients

Limited information is available regarding the pharmacokinetics of dosing of ketorolac tromethamine in the pediatric population. Following a single intravenous bolus dose of 0.5 mg/kg in 10 children 4 to 8 years old, the half-life was 5.8 ± 1.6 hours, the average clearance was 0.042 ± 0.01 L/hr/kg, the volume of distribution during the terminal phase (V β) was 0.34 ± 0.12 L/kg and the volume of distribution at steady state (Vss) was 0.26 ± 0.08 L/kg. The volume of distribution and clearance of ketorolac in pediatric patients was higher than those observed in adult subjects (see Table 1). There are no pharmacokinetic data available for administration of ketorolac tromethamine by the IM route in pediatric patients.

Renal Insufficiency

Based on single-dose data only, the mean half-life of ketorolac tromethamine in renally impaired patients is between 6 and 19 hours and is dependent on the extent of the impairment. There is poor correlation between creatinine clearance and total ketorolac tromethamine clearance in the elderly and populations with renal impairment (r = 0.5).

In patients with renal disease, the AUC of each enantiomer increased by approximately 100% compared with healthy volunteers. The volume of distribution doubles for the S-enantiomer and increases by 1/5th for the R-enantiomer. The increase in volume of distribution of ketorolac tromethamine implies an increase in unbound fraction.

The AUC -ratio of the ketorolac tromethamine enantiomers in healthy subjects and patients remained similar, indicating there was no selective excretion of either enantiomer in patients compared to healthy subjects (see WARNINGS, Renal Effects ).

Hepatic Insufficiency

There was no significant difference in estimates of half-life, AUC and C maxin 7 patients with liver disease compared to healthy volunteers (see PRECAUTIONS, Hepatic Effect  and Table 2).

Race

Pharmacokinetic differences due to race have not been identified.

Table 1: Table of Approximate Average Pharmacokinetic Parameters (Mean ± SD) Following Oral, Intramuscular and Intravenous Doses of Ketorolac Tromethamine
Pharmacokinetic Parameters (units)

Oral
Derived from PO pharmacokinetic studies in 77 normal fasted volunteers


Intramuscular
Derived from IM pharmacokinetic studies in 54 normal volunteers


Intravenous Bolus
Derived from IV pharmacokinetic studies in 24 normal volunteers


10 mg

15 mg

30 mg

60 mg

15 mg

30 mg

Bioavailability (extent)

100%

T max
Time-to-peak plasma concentration
(min)

44 ± 34

33 ± 21
Mean value was simulated from observed plasma concentration data and standard deviation was simulated from percent coefficient of variation for observed C max and T max data


44 ± 29

33 ± 21


1.1 ± 0.7


2.9 ± 1.8

C max
Peak plasma concentration
(mcg/mL) [single-dose]

0.87 ± 0.22

1.14 ± 0.32


2.42 ± 0.68

4.55 ± 1.27


2.47 ± 0.51


4.65 ± 0.96

C max(mcg/mL) [steady state qid]

1.05 ± 0.26


1.56 ± 0.44


3.11 ± 0.87


N/A
Not applicable because 60 mg is only recommended as a single dose


3.09 ± 1.17


6.85 ± 2.61

C min 8(mcg/mL) [steady state qid]

0.29 ± 0.07


0.47 ± 0.13


0.93 ± 0.26


N/A

0.61 ± 0.21


1.04 ± 0.35

C avg
Average plasma concentration
(mcg/mL) [steady state qid]

0.59 ± 0.20


0.94 ± 0.29


1.88 ± 0.59


N/A

1.09 ± 0.30


2.17 ± 0.59

Volume of distribution
(L/kg)

0.175 ± 0.039

0.210 ±0.044

% Dose metabolized ≤ 50

% Dose excreted in feces = 6

% Dose excreted in urine = 91

% Plasma protein binding = 99

Table 2: The Influence of Age, Liver, and Kidney Function on the Clearance and Terminal Half-Life of Ketorolac Tromethamine (IM
Estimated from 30 mg single IM doses of ketorolac tromethamine
and ORAL
Estimated from 10 mg single oral doses of ketorolac tromethamine
) in Adult Populations


Total Clearance [in L/h/kg]
Liters/hour/kilogram


Terminal Half-Life [in hours]

Type of Subjects

IM

ORAL

IM

ORAL



Mean

(range)

Mean

(range)

Mean

(range)

Mean

(range)

Normal Subjects IM (n = 54)

mean age = 32, range = 18 to 60

Oral (n = 77)

mean age = 32, range = 20 to 60

0.023

0.025

5.3

5.3

(0.010 to

0.046)

(0.013 to 0.050)

(3.5 to 9.2)

(2.4 to 9)

Healthy Elderly Subjects IM

(n = 13),

Oral (n = 12)

mean age  = 72, range  = 65 to 78

0.019

0.024

7

6.1

(0.013 to 0.034)

(0.018 to 0.034)

(4.7 to 8.6)

(4.3 to 7.6)

Patients with Hepatic Dysfunction

IM and Oral

(n = 7)

mean age = 51, range = 43 to 64

0.029

0.033

5.4

4.5

(0.013 to 0.066)

(0.019 to 0.051)

(2.2 to 6.9)

(1.6 to 7.6)

Patients with Renal Impairment IM (n = 25),

Oral (n = 9)

serum creatinine = 1.9 to 5 mg/dL,

mean age (IM) = 54, range = 35 to 71

mean age (Oral) = 57, range = 39 to 70

0.015

0.016

10.3

10.8

(0.005 to 0.043)

(0.007 to 0.052)

(5.9 to 19.2)

(3.4 to 18.9)

Renal Dialysis Patients IM and Oral (n = 9)

mean age = 40, range = 27 to 63

0.016

--

13.6

--

(0.003 to 0.036)

(8 to 39.1)

Postmarketing Surveillance Study

A large postmarketing observational, nonrandomized study, involving approximately 10,000 patients receiving ketorolac tromethamine IV/IM, demonstrated that the risk of clinically serious gastrointestinal (GI) bleeding was dose-dependent (see Tables 3A and 3B). This was particularly true in elderly patients who received an average daily dose greater than 60 mg/day of ketorolac tromethamine IV/IM(see Table 3A).

Table 3: Incidence of Clinically Serious GI Bleeding as Related to Age, Total Daily Dose, and History of GI Perforation, Ulcer, Bleeding (PUB) after up to 5 Days of Treatment with Ketorolac Tromethamine IV/IM

A. Adult Patients without History of PUB

Age of Patients

Total Daily Dose of Ketorolac Tromethamine IV/IM

≤ 60 mg

> 60 to 90 mg

> 90 to 120 mg

> 120 mg

< 65 years of age

0.4%

0.4%

0.9%

4.6%

≥ 65 years of age

1.2%

2.8%

2.2%

7.7%

B. Adult Patients with History of PUB

Age of Patients

Total Daily Dose of Ketorolac Tromethamine IV/IM

≤ 60 mg

> 60 to 90 mg

> 90 to 120 mg

> 120 mg

< 65 years of age

2.1%

4.6%

7.8%

15.4%

≥ 65 years of age

4.7%

3.7%

2.8%

25%

To report SUSPECTED ADVERSE REACTIONS, contact Zydus Pharmaceuticals (USA) Inc. at 1-877-993-8779 or FDA at 1-800-FDA-1088 or http://www.fda.gov/medwatch.

Geriatric Use (= 65 Years of Age)

Because ketorolac tromethamine may be cleared more slowly by the elderly (see CLINICAL PHARMACOLOGY ) who are also more sensitive to the dose-related adverse effects of NSAIDs (see WARNINGS, Gastrointestinal Effects – Risk of Ulceration, Bleeding, and Perforation ), extreme caution, reduced dosages (see DOSAGE AND ADMINISTRATION ), and careful clinical monitoring must be used when treating the elderly with ketorolac tromethamine.

Package Label.principal Display Panel

Carcinogenesis, Mutagenesis, Impairment of Fertility

An 18 month study in mice with oral doses of ketorolac tromethamine at 2 mg/kg/day (0.9 times the human systemic exposure at the recommended IM or IV dose of 30 mg qid, based on area-under-the-plasma-concentration curve [AUC]), and a 24 month study in rats at 5 mg/kg/day (0.5 times the human AUC) showed no evidence of tumorigenicity.

Ketorolac tromethamine was not mutagenic in the Ames test, unscheduled DNA synthesis and repair, and in forward mutation assays. Ketorolac tromethamine did not cause chromosome breakage in the in vivomouse micronucleus assay. At 1,590 mcg/mL and at higher concentrations, ketorolac tromethamine increased the incidence of chromosomal aberrations in Chinese hamster ovarian cells.

Impairment of fertility did not occur in male or female rats at oral doses of 9 mg/kg (0.9 times the human AUC) and 16 mg/kg (1.6 times the human AUC) of ketorolac tromethamine, respectively.

Drug Reaction With Eosinophilia and Systemic Symptoms (dress)

Drug Reaction with Eosinophilia and Systemic Symptoms (DRESS) has been reported in patients taking NSAIDs such as ketorolac tromethamine tablets. Some of these events have been fatal or life-threatening. DRESS typically, although not exclusively, presents with fever, rash, lymphadenopathy, and/or facial swelling. Other clinical manifestations may include hepatitis, nephritis, hematological abnormalities, myocarditis, or myositis. Sometimes symptoms of DRESS may resemble an acute viral infection. Eosinophilia is often present. Because this disorder is variable in its presentation, other organ systems not noted here may be involved. It is important to note that early manifestations of hypersensitivity, such as fever or lymphadenopathy, may be present even though rash is not evident. If such signs or symptoms are present, discontinue ketorolac tromethamine tablets and evaluate the patient immediately.

Medication Guide for Nonsteroidal Anti Inflammatory Drugs (nsaids)
Dispense with Medication Guide available at: www.zydususa.com/medguides or call 1-877-993-8779

What is the most important information I should know about medicines called Nonsteroidal Anti-inflammatory Drugs (NSAIDs)?

NSAIDs can cause serious side effects, including:      

  • Increased risk of a heart attack or stroke that can lead to death. This risk may happen early in treatment and may increase:
  • with increasing doses of NSAIDs
  • with longer use of NSAIDs
Do not take NSAIDs right before or after a heart surgery called a "coronary artery bypass graft (CABG)."

Avoid taking NSAIDs after a recent heart attack, unless your healthcare provider tells you to. You may have an increased risk of another heart attack if you take NSAIDs after a recent heart attack.

  • Increased risk of bleeding, ulcers, and tears (perforation) of the esophagus (tube leading from the mouth to the stomach), stomach and intestines:
o   anytime during use

o   without warning symptoms

o   that may cause death

The risk of getting an ulcer or bleeding increases with:

○          past history of stomach ulcers, or stomach or intestinal bleeding with use of NSAIDs

○          taking medicines called "corticosteroids", "anticoagulants", "SSRIs", or "SNRIs"

○          increasing doses of NSAIDs

○          longer use of NSAIDs

○          smoking

○          drinking alcohol

○          older age

○          poor health

○          advanced liver disease

○          bleeding problems

NSAIDs should only be used:

○          exactly as prescribed

○          at the lowest dose possible for your treatment

○          for the shortest time needed

What are NSAIDs?

NSAIDs are used to treat pain and redness, swelling, and heat (inflammation) from medical conditions such as different types of arthritis, menstrual cramps, and other types of short-term pain.

Who should not take NSAIDs?

Do not take NSAIDs:

  • if you have had an asthma attack, hives, or other allergic reaction with aspirin or any other NSAIDs.
  • right before or after heart bypass surgery.
Before taking NSAIDs, tell your healthcare provider about all of your medical conditions, including if you:

  • have liver or kidney problems
  • have high blood pressure
  • have asthma
  • are pregnant or plan to become pregnant. Taking NSAIDs at about 20 weeks of pregnancy or later may harm your unborn baby. If you need to take NSAIDs for more than 2 days when you are between 20 and 30 weeks of pregnancy, your healthcare provider may need to monitor the amount of fluid in your womb around your baby. You should not take NSAIDs after about 30 weeks of pregnancy.
  • are breastfeeding or plan to breast feed.
Tell your healthcare provider about all of the medicines you take, including prescription or over-the-counter medicines, vitamins or herbal supplements.

NSAIDs and some other medicines can interact with each other and cause serious side effects. Do not start taking any new medicine without talking to your healthcare provider first.

What are the possible side effects of NSAIDs?

NSAIDs can cause serious side effects, including:

See "What is the most important information I should know about medicines called Nonsteroidal Anti-inflammatory Drugs (NSAIDs)?"

  • new or worse high blood pressure
  • liver problems including liver failure
  • low red blood cells (anemia)
  • life-threatening allergic reactions
  • heart failure
  • kidney problems including kidney failure
  • life-threatening skin reactions
  • Other side effects of NSAIDs include:stomach pain, constipation, diarrhea, gas, heartburn, nausea, vomiting, and dizziness.
Get emergency help right away if you get any of the following symptoms:

  • shortness of breath or trouble breathing 
  • chest pain       
  • weakness in one part or side of your body
  • slurred speech
  • swelling of the face or throat
Stop taking your NSAID and call your healthcare provider right away if you get any of the following symptoms:

  • nausea
  • more tired or weaker than usual
  • diarrhea
  • itching
  • your skin or eyes look yellow
  • indigestion or stomach pain
  • flu-like symptoms
  • vomit blood
  • there is blood in your bowel movement or it is black and sticky like tar
  • unusual weight gain
  • skin rash or blisters with fever
  • swelling of the arms, legs, hands and feet
If you take too much of your NSAID, call your healthcare provider or get medical help right away.

These are not all the possible side effects of NSAIDs. For more information, ask your healthcare provider or pharmacist about NSAIDs.

Call your doctor for medical advice about side effects. You may report side effects to FDA at 1-800-FDA-1088.

Other information about NSAIDs

  • Aspirin is an NSAID but it does not increase the chance of a heart attack. Aspirin can cause bleeding in the brain, stomach, and intestines. Aspirin can also cause ulcers in the stomach and intestines.
  • Some NSAIDs are sold in lower doses without a prescription (over-the-counter). Talk to your healthcare provider before using over-the-counter NSAIDs for more than 10 days.
General information about the safe and effective use of NSAIDs

Medicines are sometimes prescribed for purposes other than those listed in a Medication Guide. Do not use NSAIDs for a condition for which it was not prescribed. Do not give NSAIDs to other people, even if they have the same symptoms that you have. It may harm them.

If you would like more information about NSAIDs, talk with your healthcare provider. You can ask your pharmacist or healthcare provider for information about NSAIDs that is written for health professionals.

Manufactured by:

Zydus Lifesciences Ltd.,

Ahmedabad, India

Distributed by:

Zydus Pharmaceuticals (USA) Inc.

Pennington, NJ 08534

This Medication Guide has been approved by the U.S. Food and Drug Administration.

Rev. 06/2022

Gastrointestinal Effects – Risk of Ulceration, Bleeding, and Perforation

Ketorolac tromethamine is contraindicated in patients with previously documented peptic ulcers and/or GI bleeding. Ketorolac tromethamine can cause serious gastrointestinal (GI) adverse events including bleeding, ulceration and perforation, of the stomach, small intestine, or large intestine, which can be fatal. These serious adverse events can occur at any time, with or without warning symptoms, in patients treated with ketorolac tromethamine.

Only one in five patients who develop a serious upper GI adverse event on NSAID therapy is symptomatic. Minor upper gastrointestinal problems, such as dyspepsia, are common and may also occur at any time during NSAID therapy. The incidence and severity of gastrointestinal complications increases with increasing dose of, and duration of treatment with, ketorolac tromethamine. Do not use ketorolac tromethamine for more than five days. However, even short-term therapy is not without risk. In addition to past history of ulcer disease, other factors that increase the risk for GI bleeding in patients treated with NSAIDs include concomitant use of oral corticosteroids, or anticoagulants, longer duration of NSAID therapy, smoking, use of alcohol, older age, and poor general health status. Most spontaneous reports of fatal GI events are in elderly or debilitated patients and therefore, special care should be taken in treating this population.

To minimize the potential risk for an adverse GI event, the lowest effective dose should be used for the shortest possible duration.Patients and physicians should remain alert for signs and symptoms of GI ulceration and bleeding during NSAID therapy and promptly initiate additional evaluation and treatment if a serious GI adverse event is suspected. This should include discontinuation of ketorolac tromethamine until a serious GI adverse event is ruled out. For high risk patients, alternate therapies that do not involve NSAIDs should be considered.

NSAIDs should be given with care to patients with a history of inflammatory bowel disease (ulcerative colitis, Crohn's disease) as their condition may be exacerbated.


Structured Label Content

General

Ketorolac tromethamine cannot be expected to substitute for corticosteroids or to treat corticosteroid insufficiency. Abrupt discontinuation of corticosteroids may lead to disease exacerbation. Patients on prolonged corticosteroid therapy should have their therapy tapered slowly if a decision is made to discontinue corticosteroids.

The pharmacological activity of ketorolac tromethamine in reducing inflammation may diminish the utility of this diagnostic sign in detecting complications of presumed noninfectious, painful conditions.

Hepatic Effect

Ketorolac tromethamine should be used with caution in patients with impaired hepatic function or a history of liver disease. Borderline elevations of one or more liver tests may occur in up to 15% of patients taking NSAIDs including ketorolac tromethamine. These laboratory abnormalities may progress, may remain unchanged, or may be transient with continuing therapy. Notable elevations of ALT or AST (approximately three or more times the upper limit of normal) have been reported in approximately 1% of patients in clinical trials with NSAIDs. In addition, rare cases of severe hepatic reactions, including jaundice and fatal fulminant hepatitis, liver necrosis and hepatic failure, some of them with fatal outcomes have been reported.

A patient with symptoms and/or signs suggesting liver dysfunction, or in whom an abnormal liver test has occurred, should be evaluated for evidence of the development of a more severe hepatic reaction while on therapy with ketorolac tromethamine. If clinical signs and symptoms consistent with liver disease develop, or if systemic manifestations occur (e.g., eosinophilia, rash, etc.), ketorolac tromethamine should be discontinued.

Hematologic Effect

Anemia is sometimes seen in patients receiving NSAIDs, including ketorolac tromethamine. This may be due to fluid retention, occult or gross GI blood loss, or an incompletely described effect upon erythropoiesis. Patients on long-term treatment with NSAIDs, including ketorolac tromethamine, should have their hemoglobin or hematocrit checked if they exhibit any signs or symptoms of anemia. NSAIDs inhibit platelet aggregation and have been shown to prolong bleeding time in some patients. Unlike aspirin, their effect on platelet function is quantitatively less, of shorter duration, and reversible. Patients receiving ketorolac tromethamine who may be adversely affected by alterations in platelet function, such as those with coagulation disorders or patients receiving anticoagulants, should be carefully monitored.

Warning (WARNING)


Ketorolac tromethamine tablets, a nonsteroidal anti-inflammatory drug (NSAID), are indicated for the short-term (up to 5 days in adults), management of moderately severe acute pain that requires analgesia at the opioid level and only as continuation treatment following IV or IM dosing of ketorolac tromethamine, if necessary. The total combined duration of use of ketorolac tromethamine tablets and ketorolac tromethamine should not exceed 5 days.

Ketorolac tromethamine tablets are not indicated for use in pediatric patients and they are NOT indicated for minor or chronic painful conditions. Increasing the dose of ketorolac tromethamine tablets beyond a daily maximum of 40 mg in adults will not provide better efficacy but will increase the risk of developing serious adverse events.

GASTROINTESTINAL RISK

  • Ketorolac tromethamine, including ketorolac tromethamine tablets can cause peptic ulcers, gastrointestinal bleeding and/or perforation of the stomach or intestines, which can be fatal. These events can occur at any time during use and without warning symptoms. Therefore, ketorolac tromethamine is CONTRAINDICATED in patients with active peptic ulcer disease, in patients with recent gastrointestinal bleeding or perforation, and in patients with a history of peptic ulcer disease or gastrointestinal bleeding. Elderly patients are at greater risk for serious gastrointestinal events (see WARNINGS ).
CARDIOVASCULAR THROMBOTIC EVENTS

  • Nonsteroidal anti-inflammatory drugs (NSAIDs) cause an increased risk of serious cardiovascular thrombotic events, including myocardial infarction and stroke, which can be fatal. This risk may occur early in treatment and may increase with duration of use (see WARNINGS and PRECAUTIONS ).
  • Ketorolac tromethamine tablets are contraindicated in the setting of coronary artery bypass graft (CABG) surgery (see CONTRAINDICATIONS and WARNINGS ).
RENAL RISK

  • Ketorolac tromethamine is CONTRAINDICATED in patients with advanced renal impairment and in patients at risk for renal failure due to volume depletion (see WARNINGS ).
RISK OF BLEEDING

  • Ketorolac tromethamine inhibits platelet function and is, therefore, CONTRAINDICATED in patients with suspected or confirmed cerebrovascular bleeding, patients with hemorrhagic diathesis, incomplete hemostasis and those at high risk of bleeding (see WARNINGS and PRECAUTIONS ).
Ketorolac tromethamine is CONTRAINDICATED as prophylactic analgesic before any major surgery.

RISK DURING LABOR AND DELIVERY

  • The use of ketorolac tromethamine in labor and delivery is contraindicated because it may adversely affect fetal circulation and inhibit uterine contractions.
CONCOMITANT USE WITH NSAIDs

  • Ketorolac tromethamine is CONTRAINDICATED in patients currently receiving aspirin or NSAIDs because of the cumulative risk of inducing serious NSAID-related side effects.
SPECIAL POPULATIONS

Dosage should be adjusted for patients 65 years or older, for patients under 50 kg (110 lbs) of body weight (see DOSAGE AND ADMINISTRATION ) and for patients with moderately elevated serum creatinine (see WARNINGS ).

Warnings (WARNINGS)

(see also Boxed WARNING )

The total combined duration of use of ketorolac tromethamine tablets and IV or IM dosing of ketorolac tromethamine is not to exceed 5 days in adults. Ketorolac tromethamine tablets are not indicated for use in pediatric patients.

The most serious risks associated with ketorolac tromethamine are:

Pregnancy

Risk Summary

Use of NSAIDs, including ketorolac tromethamine tablets, can cause premature closure of the fetal ductus arteriosus and fetal renal dysfunction leading to oligohydramnios and, in some cases, neonatal renal impairment. Because of these risks, limit dose and duration of ketorolac tromethamine tablets use between about 20 and 30 weeks of gestation, and avoid ketorolac tromethamine tablets use at about 30 weeks of gestation and later in pregnancy (see WARNINGS; Fetal Toxicity ).

Premature Closure of Fetal Ductus Arteriosus

Use of NSAIDs, including ketorolac tromethamine tablets, at about 30 weeks gestation or later in pregnancy increases the risk of premature closure of the fetal ductus arteriosus.

Oligohydramnios/Neonatal Renal Impairment

Use of NSAIDs at about 20 weeks gestation or later in pregnancy has been associated with cases of fetal renal dysfunction leading to oligohydramnios, and in some cases, neonatal renal impairment.

Data from observational studies regarding other potential embryofetal risks of NSAID use in women in the first or second trimesters of pregnancy are inconclusive. Animal reproduction studies have been performed during organogenesis using daily oral doses of ketorolac tromethamine at 3.6 mg/kg (0.37 times the human AUC) in rabbits and at 10 mg/kg (1 times the human AUC) in rats. Results of these studies did not reveal evidence of teratogenicity to the fetus. However, animal reproduction studies are not always predictive of human response. Based on animal data, prostaglandins have been shown to have an important role in endometrial vascular permeability, blastocyst implantation, and decidualization. In animal studies, administration of prostaglandin synthesis inhibitors such as ketorolac tromethamine, resulted in increased pre- and post-implantation loss. Prostaglandins also have been shown to have an important role in fetal kidney development. In published animal studies, prostaglandin synthesis inhibitors have been reported to impair kidney development when administered at clinically relevant doses. The estimated background risk of major birth defects and miscarriage for the indicated population(s) is unknown. All pregnancies have a background risk of birth defect, loss, or other adverse outcomes. In the U.S. general population, the estimated background risk of major birth defects and miscarriage in clinically recognized pregnancies is 2 to 4% and 15 to 20%, respectively.

Clinical Considerations

Fetal/Neonatal Adverse Reactions

Premature Closure of Fetal Ductus Arteriosus:

Avoid use of NSAIDs in women at about 30 weeks gestation and later in pregnancy, because NSAIDs, including ketorolac tromethamine tablets, can cause premature closure of the fetal ductus arteriosus (see WARNINGS; Fetal Toxicity ).

Oligohydramnios/Neonatal Renal Impairment

If an NSAID is necessary at about 20 weeks gestation or later in pregnancy, limit the use to the lowest effective dose and shortest duration possible. If ketorolac tromethamine tablets treatment extends beyond 48 hours, consider monitoring with ultrasound for oligohydramnios. If oligohydramnios occurs, discontinue ketorolac tromethamine tablets and follow up according to clinical practice (see WARNINGS; Fetal Toxicity ).

Data

Human Data

Premature Closure of Fetal Ductus Arteriosus:

Published literature reports that the use of NSAIDs at about 30 weeks of gestation and later in pregnancy may cause premature closure of the fetal ductus arteriosus.

Oligohydramnios/Neonatal Renal Impairment:

Published studies and postmarketing reports describe maternal NSAID use at about 20 weeks gestation or later in pregnancy associated with fetal renal dysfunction leading to oligohydramnios, and in some cases, neonatal renal impairment. These adverse outcomes are seen, on average, after days to weeks of treatment, although oligohydramnios has been infrequently reported as soon as 48 hours after NSAID initiation. In many cases, but not all, the decrease in amniotic fluid was transient and reversible with cessation of the drug. There have been a limited number of case reports of maternal NSAID use and neonatal renal dysfunction without oligohydramnios, some of which were irreversible. Some cases of neonatal renal dysfunction required treatment with invasive procedures, such as exchange transfusion or dialysis.

Methodological limitations of these postmarketing studies and reports include lack of a control group; limited information regarding dose, duration, and timing of drug exposure; and concomitant use of other medications. These limitations preclude establishing a reliable estimate of the risk of adverse fetal and neonatal outcomes with maternal NSAID use. Because the published safety data on neonatal outcomes involved mostly preterm infants, the generalizability of certain reported risks to the full-term infant exposed to NSAIDs through maternal use is uncertain.

Animal Data

Because of the known effects of nonsteroidal anti-inflammatory drugs on the fetal cardiovascular system (closure of ductus arteriosus), use during pregnancy (particularly late pregnancy) should be avoided. Oral doses of ketorolac tromethamine at 1.5 mg/kg (0.14 times the human AUC), administered after gestation Day 17, caused dystocia and higher pup mortality in rats.

Treatment

Patients should be managed by symptomatic and supportive care following a NSAIDs overdose. There are no specific antidotes. Emesis and/or activated charcoal (60 g to 100 g in adults, 1 g/kg to 2 g/kg in children) and/or osmotic cathartic may be indicated in patients seen within 4 hours of ingestion with symptoms or following a large oral overdose (5 to 10 times the usual dose). Forced diuresis, alkalization of urine, hemodialysis or hemoperfusion may not be useful due to high protein binding.

Single overdoses of ketorolac tromethamine have been variously associated with abdominal pain, nausea, vomiting, hyperventilation, peptic ulcers and/or erosive gastritis and renal dysfunction which have resolved after discontinuation of dosing.

Hemorrhage

Because prostaglandins play an important role in hemostasis and NSAIDs affect platelet aggregation as well, use of ketorolac tromethamine in patients who have coagulation disorders should be undertaken very cautiously, and those patients should be carefully monitored. Patients on therapeutic doses of anticoagulants (e.g., heparin or dicumarol derivatives) have an increased risk of bleeding complications if given ketorolac tromethamine concurrently; therefore, physicians should administer such concomitant therapy only extremely cautiously. The concurrent use of ketorolac tromethamine and therapy that affects hemostasis, including prophylactic low-dose heparin (2,500 to 5,000 units q12h), warfarin and dextrans have not been studied extensively, but may also be associated with an increased risk of bleeding. Until data from such studies are available, physicians should carefully weigh the benefits against the risks and use such concomitant therapy in these patients only extremely cautiously. Patients receiving therapy that affects hemostasis should be monitored closely.

In postmarketing experience, postoperative hematomas and other signs of wound bleeding have been reported in association with the peri-operative use of IV or IM dosing of ketorolac tromethamine. Therefore, peri-operative use of ketorolac tromethamine should be avoided and postoperative use be undertaken with caution when hemostasis is critical (see PRECAUTIONS ).

Description (DESCRIPTION)

Ketorolac tromethamine tablets, USP are a member of the pyrrolo-pyrrole group of nonsteroidal anti-inflammatory drugs (NSAIDs). The chemical name for ketorolac tromethamine, USP is (±)-5-benzoyl-2,3-dihydro-1 H-pyrrolizine-1-carboxylic acid, compound with 2-amino-2-(hydroxymethyl)-1,3-propanediol (1:1). The structural formula is:

           C 15H 13NO 3 . C 4H 11NO 3         M.W. 376.40

Ketorolac tromethamine, USP is a racemic mixture of [-]S and [+]R ketorolac tromethamine, USP. Ketorolac tromethamine, USP may exist in three crystal forms. All forms are equally soluble in water. Ketorolac tromethamine, USP has a pKa of 3.5 and an n-octanol/water partition coefficient of 0.26.

Ketorolac tromethamine tablets, USP are white to off-white, round, biconvex, film-coated tablets. Each tablet, for oral administration, contains 10 mg ketorolac tromethamine, USP, the active ingredient. In addition, each tablet contains the following inactive ingredients: lactose monohydrate, microcrystalline cellulose, croscarmellose sodium, hydroxypropyl cellulose, magnesium stearate, hydroxypropyl methyl cellulose, titanium dioxide and macrogol.

How Supplied (HOW SUPPLIED)

Ketorolac tromethamine tablets, USP 10 mg are white to off-white, round, biconvex, film-coated tablets, debossed "17" on one side and "10" on the other side. They are supplied as follow:

NDC 68071-3591-4 in bottle of 4 tablets with child-resistant closure

Store at 20° to 25°C (68° to 77°F) [See USP Controlled Room Temperature].

Dispense in a tight, light-resistant container as defined in the USP, with a child-resistant closure (as required).

PROTECT FROM LIGHT AND EXCESSIVE HUMIDITY.

Keep this and all drugs out of the reach of children.

Dispense with Medication Guide available at www.zydususa.com/medguides or call 1-877-993-8779

Manufactured by:

Zydus Lifesciences Ltd., Ahmedabad,

India

Distributed by:

Zydus Pharmaceuticals (USA) Inc.

Pennington, NJ 08534

Rev.: 06/2022

Pediatric Use

Ketorolac tromethamine tablets are not indicated for use in pediatric patients. The safety and effectiveness of ketorolac tromethamine tablets in pediatric patients below the age of 17 have not been established.

Renal Effects

Long-term administration of NSAIDs has resulted in renal papillary necrosis and other renal injury. Renal toxicity has also been seen in patients in whom renal prostaglandins have a compensatory role in the maintenance of renal perfusion. In these patients, administration of a NSAID may cause a dose-dependent reduction in prostaglandin formation and, secondarily, in renal blood flow, which may precipitate overt renal decompensation. Patients at greatest risk of this reaction are those with impaired renal function, heart failure, liver dysfunction, those taking diuretics and ACE inhibitors, and the elderly. Discontinuation of NSAID therapy is usually followed by recovery to the pretreatment state.

Ketorolac tromethamine and its metabolites are eliminated primarily by the kidneys, which, in patients with reduced creatinine clearance, will result in diminished clearance of the drug (see CLINICAL PHARMACOLOGY ). Therefore, ketorolac tromethamine should be used with caution in patients with impaired renal function (see DOSAGE AND ADMINISTRATION ) and such patients should be followed closely. With the use of ketorolac tromethamine, there have been reports of acute renal failure, interstitial nephritis and nephrotic syndrome.

Adult Patients

In a postoperative study, where all patients received morphine by a PCA device, patients treated with ketorolac tromethamine IVas fixed intermittent boluses (e.g., 30 mg initial dose followed by 15 mg q3h), required significantly less morphine (26%) than the placebo group. Analgesia was significantly superior, at various postdosing pain assessment times, in the patients receiving ketorolac tromethamine IVplus PCA morphine as compared to patients receiving PCA-administered morphine alone.

Fetal Toxicity

Premature Closure of Fetal Ductus Arteriosus:

Avoid use of NSAIDs, including ketorolac tromethamine tablets, in pregnant women at about 30 weeks gestation and later. NSAIDs including ketorolac tromethamine tablets, increase the risk of premature closure of the fetal ductus arteriosus at approximately this gestational age.

Oligohydramnios/Neonatal Renal Impairment:

Use of NSAIDs, including ketorolac tromethamine tablets, at about 20 weeks gestation or later in pregnancy may cause fetal renal dysfunction leading to oligohydramnios and, in some cases, neonatal renal impairment. These adverse outcomes are seen, on average, after days to weeks of treatment, although oligohydramnios has been infrequently reported as soon as 48 hours after NSAID initiation. Oligohydramnios is often, but not always, reversible with treatment discontinuation. Complications of prolonged oligohydramnios may, for example, include limb contractures and delayed lung maturation. In some postmarketing cases of impaired neonatal renal function, invasive procedures such as exchange transfusion or dialysis were required.

If NSAID treatment is necessary between about 20 weeks and 30 weeks gestation, limit ketorolac tromethamine tablets use to the lowest effective dose and shortest duration possible. Consider ultrasound monitoring of amniotic fluid if ketorolac tromethamine tablets treatment extends beyond 48 hours. Discontinue ketorolac tromethamine tablets if oligohydramnios occurs and follow up according to clinical practice (see PRECAUTIONS; Pregnancy).

Skin Reactions

NSAIDs, including ketorolac tromethamine, can cause serious skin adverse events such as exfoliative dermatitis, Stevens-Johnson Syndrome (SJS), and toxic epidermal necrolysis (TEN), which can be fatal. These serious events may occur without warning. Patients should be informed about the signs and symptoms of serious skin manifestations and use of the drug should be discontinued at the first appearance of skin rash, mucosal lesions, or any other sign of hypersensitivity.

Nursing Mothers

Limited data from one published study involving 10 breastfeeding women 2 to 6 days postpartum showed low levels of ketorolac in breast milk. Levels were undetectable (less than 5 ng/mL) in 4 of the patients. After a single administration of 10 mg of ketorolac tromethamine tablets, the maximum milk concentration observed was 7.3 ng/mL, and the maximum milk-to-plasma ratio was 0.037. After 1 day of dosing (10 mg every 6 hours), the maximum milk concentration was 7.9 ng/mL, and the maximum milk-to-plasma ratio was 0.025. Assuming a daily intake of 400 to 1,000 mL of human milk per day and a maternal body weight of 60 kg, the calculated maximum daily infant exposure was 0.00263 mg/kg/day, which is 0.4% of the maternal weight-adjusted dose.

Exercise caution when ketorolac is administered to a nursing woman. Available information has not shown any specific adverse events in nursing infants; however, instruct patients to contact their infant's health care provider if they note any adverse events.

Laboratory Tests

Because serious GI tract ulcerations and bleeding can occur without warning symptoms, physicians should monitor for signs or symptoms of GI bleeding. Patients on long-term treatment with NSAIDs, should have their CBC and a chemistry profile checked periodically. If clinical signs and symptoms consistent with liver or renal disease develop, systemic manifestations occur (e.g., eosinophilia, rash, etc.) or if abnormal liver tests persist or worsen, ketorolac tromethamine should be discontinued.

Pharmacodynamics

Ketorolac tromethamine is a nonsteroidal anti-inflammatory drug (NSAID) that exhibits analgesic activity in animal models. The mechanism of action of ketorolac, like that of other NSAIDs, is not completely understood but may be related to prostaglandin synthetase inhibition. The biological activity of ketorolac tromethamine is associated with the S-form. Ketorolac tromethamine possesses no sedative or anxiolytic properties.

The peak analgesic effect of ketorolac tromethamine occurs within 2 to 3 hours and is not statistically significantly different over the recommended dosage range of ketorolac tromethamine. The greatest difference between large and small doses of ketorolac tromethamine is in the duration of analgesia.

Pharmacokinetics

Ketorolac tromethamine is a racemic mixture of [-]S- and [+]R-enantiomeric forms, with the S-form having analgesic activity.

Comparison of IV, IM and Oral Pharmacokinetics

The pharmacokinetics of ketorolac tromethamine, following IV and IM doses of ketorolac tromethamine and oral doses of ketorolac tromethamine, are compared in Table 1. In adults, the extent of bioavailability following administration of the ORAL form of ketorolac tromethamine and the IM form of ketorolac tromethamine was equal to that following an IV bolus.

Linear Kinetics

In adults, following administration of single ORAL doses of ketorolac tromethamine or IM or IV doses of ketorolac tromethamine in the recommended dosage ranges, the clearance of the racemate does not change. This implies that the pharmacokinetics of ketorolac tromethamine in adults, following single or multiple IM or IV doses of ketorolac tromethamine or recommended oral doses of ketorolac tromethamine, are linear. At the higher recommended doses, there is a proportional increase in the concentrations of free and bound racemate.

Absorption

Ketorolac tromethamine is 100% absorbed after oral administration (see Table 1). Oral administration of ketorolac tromethamine after a high-fat meal resulted in decreased peak and delayed time-to-peak concentrations of ketorolac tromethamine by about 1 hour. Antacids did not affect the extent of absorption.

Distribution

The mean apparent volume (V ß) of ketorolac tromethamine following complete distribution was approximately 13 liters. This parameter was determined from single-dose data. The ketorolac tromethamine racemate has been shown to be highly protein bound (99%). Nevertheless, plasma concentrations as high as 10 mcg/mL will only occupy approximately 5% of the albumin binding sites. Thus, the unbound fraction for each enantiomer will be constant over the therapeutic range. A decrease in serum albumin, however, will result in increased free drug concentrations.

Ketorolac tromethamine is excreted in human milk (see PRECAUTIONS, Nursing Mothers ).

Metabolism

Ketorolac tromethamine is largely metabolized in the liver. The metabolic products are hydroxylated and conjugated forms of the parent drug. The products of metabolism, and some unchanged drug, are excreted in the urine.

Excretion

The principal route of elimination of ketorolac and its metabolites is renal. About 92% of a given dose is found in the urine, approximately 40% as metabolites and 60% as unchanged ketorolac. Approximately 6% of a dose is excreted in the feces. A single-dose study with 10 mg ketorolac tromethamine (n = 9) demonstrated that the S-enantiomer is cleared approximately two times faster than the R-enantiomer and that the clearance was independent of the route of administration. This means that the ratio of S/R plasma concentrations decreases with time after each dose. There is little or no inversion of the R- to S- form in humans. The clearance of the racemate in normal subjects, elderly individuals and in hepatically and renally impaired patients is outlined in Table 2 (see CLINICAL PHARMACOLOGY, Kinetics in Special Populations ).

The half-life of the ketorolac tromethamine S-enantiomer was approximately 2.5 hours (SD ± 0.4) compared with 5 hours (SD ± 1.7) for the R-enantiomer. In other studies, the half-life for the racemate has been reported to lie within the range of 5 to 6 hours.

Accumulation

Ketorolac tromethamine administered as an IV bolus every 6 hours for 5 days to healthy subjects (n = 13), showed no significant difference in C maxon Day 1 and Day 5. Trough levels averaged 0.29 mcg/mL (SD ± 0.13) on Day 1 and 0.55 mcg/mL (SD ± 0.23) on Day 6. Steady state was approached after the fourth dose.

Accumulation of ketorolac tromethamine has not been studied in special populations (geriatric, pediatric, renal failure or hepatic disease patients).

Adverse Reactions (ADVERSE REACTIONS)

Adverse reaction rates increase with higher doses of ketorolac tromethamine. Practitioners should be alert for the severe complications of treatment with ketorolac tromethamine, such as GI ulceration, bleeding and perforation, postoperative bleeding, acute renal failure, anaphylactic and anaphylactoid reactions and liver failure (see Boxed WARNING , WARNINGS , PRECAUTIONS , and DOSAGE AND ADMINISTRATION ).

These NSAID-related complications can be serious in certain patients for whom ketorolac tromethamine is indicated, especially when the drug is used inappropriately.

In patients taking ketorolac tromethamine or other NSAIDs in clinical trials, the most frequently reported adverse experiences in approximately 1% to 10% of patients are:

Gastrointestinal (GI) experiences including:

abdominal pain
Incidence greater than 10%


constipation/diarrhea

dyspepsia


flatulence

GI fullness

GI ulcers (gastric/duodenal)

gross bleeding/perforation

heartburn

nausea


stomatitis

vomiting

Other experiences:

abnormal renal function

anemia

dizziness

drowsiness

edema

elevated liver enzymes

headaches


hypertension

increased bleeding time

injection site pain

pruritus

purpura

Rashes

tinnitus

sweating

Additional adverse experiences reported occasionally (<1% in patients taking ketorolac tromethamine or other NSAIDs in clinical trials) include:

Body as a Whole:fever, infections, sepsis

Cardiovascular:congestive heart failure, palpitation, pallor, tachycardia, syncope

Dermatologic:alopecia, photosensitivity, urticaria

Gastrointestinal:anorexia, dry mouth, eructation, esophagitis, excessive thirst, gastritis, glossitis, hematemesis, hepatitis, increased appetite, jaundice, melena, rectal bleeding

Hemic and Lymphatic:ecchymosis, eosinophilia, epistaxis, leukopenia, thrombocytopenia

Metabolic and Nutritional:weight change

Nervous System:abnormal dreams, abnormal thinking, anxiety, asthenia, confusion, depression, euphoria, extrapyramidal symptoms, hallucinations, hyperkinesis, inability to concentrate, insomnia, nervousness, paresthesia, somnolence, stupor, tremors, vertigo, malaise

Reproductive, female:infertility

Respiratory:asthma, cough, dyspnea, pulmonary edema, rhinitis

Special Senses:abnormal taste, abnormal vision, blurred vision, hearing loss

Urogenital:cystitis, dysuria, hematuria, increased urinary frequency, interstitial nephritis, oliguria/polyuria, proteinuria, renal failure, urinary retention

Other rarely observed reactions (reported from postmarketing experience in patients taking ketorolac tromethamine or other NSAIDs) are:

Body as a Whole:angioedema, death, hypersensitivity reactions such as anaphylaxis, anaphylactoid reaction, laryngeal edema, tongue edema (see WARNINGS ), myalgia

Cardiovascular:arrhythmia, bradycardia, chest pain, flushing, hypotension, myocardial infarction, vasculitis

Dermatologic:exfoliative dermatitis, erythema multiforme, Lyell's syndrome, bullous reactions including Stevens-Johnson Syndrome and toxic epidermal necrolysis

Gastrointestinal:acute pancreatitis, liver failure, ulcerative stomatitis, exacerbation of inflammatory bowel disease (ulcerative colitis, Crohn's disease)

Hemic and Lymphatic:agranulocytosis, aplastic anemia, hemolytic anemia, lymphadenopathy, pancytopenia, postoperative wound hemorrhage (rarely requiring blood transfusion - see Boxed WARNING , WARNINGS , and PRECAUTIONS )

Metabolic and Nutritional:hyperglycemia, hyperkalemia, hyponatremia

Nervous System:aseptic meningitis, convulsions, coma, psychosis

Respiratory:bronchospasm, respiratory depression, pneumonia

Special Senses:conjunctivitis

Urogenital:flank pain with or without hematuria and/or azotemia, hemolytic uremic syndrome

Contraindications (CONTRAINDICATIONS)

(see also Boxed WARNING)

Ketorolac tromethamine tablets are contraindicated in patients with previously demonstrated hypersensitivity to ketorolac tromethamine.

Ketorolac tromethamine tablets are contraindicated in patients with active peptic ulcer disease, in patients with recent gastrointestinal bleeding or perforation and in patients with a history of peptic ulcer disease or gastrointestinal bleeding.

Ketorolac tromethamine tablets should not be given to patients who have experienced asthma, urticaria, or allergic-type reactions after taking aspirin or other NSAIDs. Severe, rarely fatal, anaphylactic-like reactions to NSAIDs have been reported in such patients (see WARNINGS, Anaphylactoid Reactions and PRECAUTIONS, Preexisting Asthma ).

Ketorolac tromethamine tablets are contraindicated as prophylactic analgesic before any major surgery.

Ketorolac tromethamine tablets are contraindicated in the setting of coronary artery bypass graft (CABG) surgery (see WARNINGS ).

Ketorolac tromethamine tablets are contraindicated in patients with advanced renal impairment or in patients at risk for renal failure due to volume depletion (see WARNINGS for correction of volume depletion).

Ketorolac tromethamine tablets are contraindicated in labor and delivery because, through its prostaglandin synthesis inhibitory effect, it may adversely affect fetal circulation and inhibit uterine contractions, thus increasing the risk of uterine hemorrhage.

Ketorolac tromethamine inhibits platelet function and is, therefore, contraindicated in patients with suspected or confirmed cerebrovascular bleeding, hemorrhagic diathesis, incomplete hemostasis and those at high risk of bleeding (see WARNINGS and PRECAUTIONS ).

Ketorolac tromethamine tablets are contraindicated in patients currently receiving aspirin or NSAIDs because of the cumulative risks of inducing serious NSAID-related adverse events.

The concomitant use of ketorolac tromethamine and probenecid is contraindicated.

The concomitant use of ketorolac tromethamine and pentoxifylline is contraindicated.

Drug Interactions

Ketorolac is highly bound to human plasma protein (mean 99.2%). There is no evidence in animal or human studies that ketorolac tromethamine induces or inhibits hepatic enzymes capable of metabolizing itself or other drugs.

Warfarin, Digoxin, Salicylate, and Heparin

The in vitrobinding of warfarin to plasma proteins is only slightly reduced by ketorolac tromethamine (99.5% control vs 99.3%) when ketorolac plasma concentrations reach 5 to 10 mcg/mL. Ketorolac does not alter digoxin protein binding. In vitrostudies indicate that, at therapeutic concentrations of salicylate (300 mcg/mL), the binding of ketorolac was reduced from approximately 99.2% to 97.5%, representing a potential twofold increase in unbound ketorolac plasma levels. Therapeutic concentrations of digoxin , warfarin , ibuprofen , naproxen , piroxicam , acetaminophen , phenytoin and tolbutamide did not alter ketorolac tromethamine protein binding.

In a study involving 12 adult volunteers, ketorolac tromethamine tablets were coadministered with a single dose of 25 mg warfarin , causing no significant changes in pharmacokinetics or pharmacodynamics of warfarin. In another study, ketorolac tromethamine dosed IV or IM was given with two doses of 5,000 U of heparin to 11 healthy volunteers, resulting in a mean template bleeding time of 6.4 minutes (3.2 to 11.4 min) compared to a mean of 6 minutes (3.4 to 7.5 min) for heparin alone and 5.1 minutes (3.5 to 8.5 min) for placebo. Although these results do not indicate a significant interaction between ketorolac tromethamine and warfarin or heparin, the administration of ketorolac tromethamine to patients taking anticoagulants should be done extremely cautiously, and patients should be closely monitored (see WARNINGS and PRECAUTIONS, Hematologic Effect ).

The effects of warfarin and NSAIDs, in general, on GI bleeding are synergistic, such that the users of both drugs together have a risk of serious GI bleeding higher than the users of either drug alone.

Aspirin

When ketorolac tromethamine is administered with aspirin, its protein binding is reduced, although the clearance of free ketorolac tromethamine is not altered. The clinical significance of this interaction is not known; however, as with other NSAIDs, concomitant administration of ketorolac tromethamine and aspirin is not generally recommended because of the potential of increased adverse effects.

Diuretics

Clinical studies, as well as postmarketing observations, have shown that ketorolac tromethamine can reduce the natriuretic effect of furosemide and thiazides in some patients. This response has been attributed to inhibition of renal prostaglandin synthesis. During concomitant therapy with NSAIDs, the patient should be observed closely for signs of renal failure (see WARNINGS, Renal Effects ), as well as to assure diuretic efficacy.

Probenecid

Concomitant administration of ketorolac tromethamine tablets and probenecid resulted in decreased clearance and volume of distribution of ketorolac and significant increases in ketorolac plasma levels (total AUC increased approximately threefold from 5.4 to 17.8 mcg/h/mL) and terminal half-life increased approximately twofold from 6.6 to 15.1 hours. Therefore, concomitant use of ketorolac tromethamine and probenecid is contraindicated.

Lithium

NSAIDs have produced an elevation of plasma lithium levels and a reduction in renal lithium clearance. The mean minimum lithium concentration increased 15% and the renal clearance was decreased by approximately 20%. These effects have been attributed to inhibition of renal prostaglandin synthesis by the NSAID. Thus, when NSAIDs and lithium are administered concurrently, subjects should be observed carefully for signs of lithium toxicity.

Methotrexate

NSAIDs have been reported to competitively inhibit methotrexate accumulation in rabbit kidney slices. This may indicate that they could enhance the toxicity of methotrexate. Caution should be used when NSAIDs are administered concomitantly with methotrexate.

ACE Inhibitors/Angiotensin II Receptor Antagonists

Concomitant use of ACE inhibitors and/or angiotensin II receptor antagonists may increase the risk of renal impairment, particularly in volume-depleted patients.

Reports suggest that NSAIDs may diminish the antihypertensive effect of ACE inhibitors and/or angiotensin II receptor antagonists. This interaction should be given consideration in patients taking NSAIDs concomitantly with ACE inhibitors and/or angiotensin II receptor antagonists.

Antiepileptic Drugs

Sporadic cases of seizures have been reported during concomitant use of ketorolac tromethamine and antiepileptic drugs (phenytoin, carbamazepine).

Psychoactive Drugs

Hallucinations have been reported when ketorolac tromethamine was used in patients taking psychoactive drugs (fluoxetine, thiothixene, alprazolam).

Pentoxifylline

When ketorolac tromethamine is administered concurrently with pentoxifylline, there is an increased tendency to bleeding.

Nondepolarizing Muscle Relaxants

In postmarketing experience there have been reports of a possible interaction between ketorolac tromethamine IV/IMand nondepolarizing muscle relaxants that resulted in apnea. The concurrent use of ketorolac tromethamine with muscle relaxants has not been formally studied.

Selective Serotonin Reuptake Inhibitors (SSRIs)

There is an increased risk of gastrointestinal bleeding when selective serotonin reuptake inhibitors (SSRIs) are combined with NSAIDs. Caution should be used when NSAIDs are administered concomitantly with SSRIs.

Iv Administration (IV Administration)

In normal adult subjects (n = 37), the total clearance of 30 mg IV-administered ketorolac tromethamine was 0.030 (0.017 to 0.051) L/h/kg. The terminal half-life was 5.6 (4 to 7.9) hours (see Kinetics in Special Populations for use of IV dosing of ketorolac tromethamine in pediatric patients).

Labor and Delivery

The use of ketorolac tromethamine is contraindicated in labor and delivery because, through its prostaglandin synthesis inhibitory effect, it may adversely affect fetal circulation and inhibit uterine contractions, thus increasing the risk of uterine hemorrhage (see CONTRAINDICATIONS ).

Effects on Fertility

The use of ketorolac tromethamine, as with any drug known to inhibit cyclooxygenase/prostaglandin synthesis, may impair fertility and is not recommended in women attempting to conceive. In women who have difficulty conceiving or are undergoing investigation of infertility, withdrawal of ketorolac tromethamine should be considered.

Pediatric Patients

There are no data available to support the use of ketorolac tromethamine tablets in pediatric patients.

Preexisting Asthma

Patients with asthma may have aspirin-sensitive asthma. The use of aspirin in patients with aspirin-sensitive asthma has been associated with severe bronchospasm which can be fatal. Since cross reactivity, including bronchospasm, between aspirin and other nonsteroidal anti-inflammatory drugs has been reported in such aspirin-sensitive patients, ketorolac tromethamine should not be administered to patients with this form of aspirin sensitivity and should be used with caution in patients with preexisting asthma.

Symptoms and Signs

Symptoms following acute NSAID overdoses are usually limited to lethargy, drowsiness, nausea, vomiting, and epigastric pain, which are generally reversible with supportive care. Gastrointestinal bleeding can occur. Hypertension, acute renal failure, respiratory depression and coma may occur, but are rare. Anaphylactoid reactions have been reported with therapeutic ingestion of NSAIDs, and may occur following an overdose.

Indications and Usage (INDICATIONS AND USAGE)

Carefully consider the potential benefits and risks of ketorolac tromethamine tablets and other treatment options before deciding to use ketorolac tromethamine tablets. Use the lowest effective dose for the shortest duration consistent with individual patient treatment goals.

Cardiovascular Effects

Cardiovascular Thrombotic Events

Clinical trials of several COX-2 selective and nonselective NSAIDs of up to three years duration have shown an increased risk of serious cardiovascular (CV) thrombotic events, including myocardial infarction (MI) and stroke, which can be fatal. Based on available data, it is unclear that the risk for CV thrombotic events is similar for all NSAIDs. The relative increase in serious CV thrombotic events over baseline conferred by NSAID use appears to be similar in those with and without known CV disease or risk factors for CV disease. However, patients with known CV disease or risk factors had a higher absolute incidence of excess serious CV thrombotic events, due to their increased baseline rate. Some observational studies found that this increased risk of serious CV thrombotic events began as early as the first weeks of treatment. The increase in CV thrombotic risk has been observed most consistently at higher doses.

To minimize the potential risk for an adverse CV event in NSAID-treated patients, use the lowest effective dose for the shortest duration possible. Physicians and patients should remain alert for the development of such events, throughout the entire treatment course, even in the absence of previous CV symptoms. Patients should be informed about the symptoms of serious CV events and the steps to take if they occur.

There is no consistent evidence that concurrent use of aspirin mitigates the increased risk of serious CV thrombotic events associated with NSAID use. The concurrent use of aspirin and an NSAID, such as ketorolac tromethamine, increases the risk of serious gastrointestinal (GI) events (see WARNINGS ).

Status Post Coronary Artery Bypass Graft (CABG) Surgery

Two large, controlled clinical trials of a COX-2 selective NSAID for the treatment of pain in the first 10 to 14 days following CABG surgery found an increased incidence of myocardial infarction and stroke. NSAIDs are contraindicated in the setting of CABG (see CONTRAINDICATIONS ).

Post-MI Patients

Observational studies conducted in the Danish National Registry have demonstrated that patients treated with NSAIDs in the post-MI period were at increased risk of reinfarction, CV-related death, and all-cause mortality beginning in the first week of treatment. In this same cohort, the incidence of death in the first year post MI was 20 per 100 person years in NSAID-treated patients compared to 12 per 100 person years in non-NSAID exposed patients. Although the absolute rate of death declined somewhat after the first year post-MI, the increased relative risk of death in NSAID users persisted over at least the next four years of follow-up.

Avoid the use of ketorolac tromethamine tablets in patients with a recent MI unless the benefits are expected to outweigh the risk of recurrent CV thrombotic events. If ketorolac tromethamine tablets are used in patients with a recent MI, monitor patients for signs of cardiac ischemia.

Hypertension

NSAIDs, including ketorolac tromethamine, can lead to onset of new hypertension or worsening of preexisting hypertension, either of which may contribute to the increased incidence of CV events. Patients taking thiazides or loop diuretics may have impaired response to these therapies when taking NSAIDs. NSAIDs, including ketorolac tromethamine, should be used with caution in patients with hypertension. Blood pressure (BP) should be monitored closely during the initiation of NSAID treatment and throughout the course of therapy.

Anaphylactoid Reactions

As with other NSAIDs, anaphylactoid reactions may occur in patients without a known previous exposure or hypersensitivity to ketorolac tromethamine. Ketorolac tromethamine should not be given to patients with the aspirin triad. This symptom complex typically occurs in asthmatic patients who experience rhinitis with or without nasal polyps, or who exhibit severe, potentially fatal bronchospasm after taking aspirin or other NSAIDs (see CONTRAINDICATIONS and PRECAUTIONS, Preexisting Asthma ). Anaphylactoid reactions, like anaphylaxis, may have a fatal outcome. Emergency help should be sought in cases where an anaphylactoid reaction occurs.

Heart Failure and Edema

The Coxib and traditional NSAID Trialists' Collaboration meta-analysis of randomized controlled trials demonstrated an approximately two-fold increase in hospitalizations for heart failure in COX-2 selective-treated patients and nonselective NSAID-treated patients compared to placebo-treated patients. In a Danish National Registry study of patients with heart failure, NSAID use increased the risk of MI, hospitalization for heart failure, and death.

Additionally, fluid retention and edema have been observed in some patients treated with NSAIDs. Use of ketorolac tromethamine may blunt the CV effects of several therapeutic agents used to treat these medical conditions [e.g., diuretics, ACE inhibitors, or angiotensin receptor blockers (ARBs)] (see DRUG INTERACTIONS ).

Avoid the use of ketorolac tromethamine tablets in patients with severe heart failure unless the benefits are expected to outweigh the risk of worsening heart failure. If ketorolac tromethamine tablets are used in patients with severe heart failure, monitor patients for signs of worsening heart failure.

Impaired Renal Function

Ketorolac tromethamine is contraindicated in patients with serum creatinine concentrations indicating advanced renal impairment (see CONTRAINDICATIONS ). Ketorolac tromethamine should be used with caution in patients with impaired renal function or a history of kidney disease because it is a potent inhibitor of prostaglandin synthesis. Because patients with underlying renal insufficiency are at increased risk of developing acute renal decompensation or failure, the risks and benefits should be assessed prior to giving ketorolac tromethamine to these patients.

Information for Patients

Ketorolac tromethamine is a potent NSAID and may cause serious side effects such as gastrointestinal bleeding or kidney failure, which may result in hospitalization and even fatal outcome.

Physicians, when prescribing ketorolac tromethamine, should inform their patients or their guardians of the potential risks of ketorolac tromethamine treatment (see Boxed WARNING , WARNINGS , PRECAUTIONS , and ADVERSE REACTIONS sections), instruct patients to seek medical advice if they develop treatment-related adverse events, and advise patients not to give ketorolac tromethamine tablets to other family members and to discard any unused drug.

Remember that the total combined duration of use of ketorolac tromethamine tablets and IV or IM dosing of ketorolac tromethamine is not to exceed 5 days in adults. Ketorolac tromethamine tablets are not indicated for use in pediatric patients.

Patients should be informed of the following information before initiating therapy with an NSAID and periodically during the course of ongoing therapy. Patients should also be encouraged to read the NSAID Medication Guide that accompanies each prescription dispensed.

1.    Cardiovascular Thrombotic Events

Advise patients to be alert for the symptoms of cardiovascular thrombotic events, including chest pain, shortness of breath, weakness, or slurring of speech, and to report any of these symptoms to their health care provider immediately (see WARNINGS).

2.    Ketorolac tromethamine, like other NSAIDs, can cause GI discomfort and rarely, serious GI side effects, such as ulcers and bleeding, which may result in hospitalization and even death. Although serious GI tract ulcerations and bleeding can occur without warning symptoms, patients should be alert for the signs and symptoms of ulcerations and bleeding, and should ask for medical advice when observing any indicative sign or symptoms including epigastric pain, dyspepsia, melena, and hematemesis. Patients should be apprised of the importance of this follow-up (see WARNINGS, Gastrointestinal Effects – Risk of Ulceration, Bleeding, and Perforation ).

3.    Serious Skin Reactions, including DRESS

Advise patients to stop taking ketorolac tromethamine tablets immediately if they develop any type of rash or fever and to contact their healthcare provider as soon as possible (see WARNINGS ).

4.    Heart Failure and Edema

Advise patients to be alert for the symptoms of congestive heart failure including shortness of breath, unexplained weight gain, or edema and to contact their healthcare provider if such symptoms occur (see WARNINGS ).

5.    Patients should promptly report signs or symptoms of unexplained weight gain or edema to their physicians.

6.    Patients should be informed of the warning signs and symptoms of hepatotoxicity (e.g., nausea, fatigue, lethargy, pruritus, jaundice, right upper quadrant tenderness, and "flu-like" symptoms). If these occur, patients should be instructed to stop therapy and seek immediate medical therapy.

7.    Patients should be informed of the signs of an anaphylactoid reaction (e.g., difficulty breathing, swelling of the face or throat). If these occur, patients should be instructed to seek immediate emergency help (see WARNINGS ).

8.    Fetal Toxicity

Inform pregnant women to avoid use of ketorolac tromethamine tablets and other NSAIDs starting at 30 weeks gestation because of the risk of the premature closing of the fetal ductus arteriosus. If treatment with ketorolac tromethamine tablets is needed for a pregnant woman between about 20 to 30 weeks gestation, advise her that she may need to be monitored for oligohydramnios, if treatment continues for longer than 48 hours (see WARNINGS; Fetal Toxicity , PRECAUTIONS; Pregnancy ).

Dosage and Administration (DOSAGE AND ADMINISTRATION)

Carefully consider the potential benefits and risks of ketorolac tromethamine tablets and other treatment options before deciding to use ketorolac tromethamine tablets. Use the lowest effective dose for the shortest duration consistent with individual patient treatment goals. In adults, the combined duration of use of IV or IM dosing of ketorolac tromethamine and ketorolac tromethamine tablets is not to exceed 5 days. In adults, the use of ketorolac tromethamine tablets is only indicated as continuation therapy to IV or IM dosing of ketorolac tromethamine.

Transition from IV or IM dosing of ketorolac tromethamine (single- or multiple-dose) to multiple-dose ketorolac tromethamine tablets:

Patients age 17 to 64: 20 mg PO once followed by 10 mg q4 to 6 hours prn not > 40 mg/day

Patients age ≥ 65, renally impaired, and/or weight < 50 kg (110 lbs): 10 mg PO once followed by 10 mg q4 to 6 hours prn not > 40 mg/day

Note:

Oral formulationshould notbe given as an initial dose.

Use minimum effective dosefor the individual patient.

Do not shorten dosing intervalof 4 to 6 hours.

Total duration of treatment in adult patients:the combined duration of use of IV or IM dosing of ketorolac tromethamine and ketorolac tromethamine tablets is not to exceed 5 days.

The following table summarizes ketorolac tromethamine tablets dosing instructions in terms of age group:

Table 4: Summary of Dosing Instructions
Patient Population

Ketorolac Tromethamine Tablets (following IV or IM dosing of ketorolac tromethamine)

Age < 17 years

Oral not approved

Adult Age 17 to 64 years

20 mg once, then 10 mg q4 to 6 hours prn not > 40 mg/day

Adult Age ≥ 65 years, renally impaired, and/or weight < 50 kg

10 mg once, then 10 mg q4 to 6 hours prn not > 40 mg/day

Acute Pain in Adult Patients

Ketorolac tromethamine tablets are indicated for the short-term (≤ 5 days) management of moderately severe acute pain that requires analgesia at the opioid level, usually in a postoperative setting. Therapy should always be initiated with IV or IM dosing of ketorolac tromethamine and ketorolac tromethamine tablets are to be used only as continuation treatment, if necessary.

The total combined duration of use of ketorolac tromethamine tablets and ketorolac tromethamine is not to exceed 5 days of use because of the potential of increasing the frequency and severity of adverse reactions associated with the recommended doses (see WARNINGS , PRECAUTIONS , DOSAGE AND ADMINISTRATION , and ADVERSE REACTIONS ). Patients should be switched to alternative analgesics as soon as possible, but ketorolac tromethamine tablet therapy is not to exceed 5 days.

Kinetics in Special Populations

Geriatric Patients

Based on single-dose data only, the half-life of the ketorolac tromethamine racemate increased from 5 to 7 hours in the elderly (65 to 78 years) compared with young healthy volunteers (24 to 35 years) (see Table 2). There was little difference in the C maxfor the two groups (elderly, 2.52 mcg/mL ± 0.77; young, 2.99 mcg/mL ± 1.03) (see PRECAUTIONS, Geriatric Use (≥ 65 Years of Age) ).

Pediatric Patients

Limited information is available regarding the pharmacokinetics of dosing of ketorolac tromethamine in the pediatric population. Following a single intravenous bolus dose of 0.5 mg/kg in 10 children 4 to 8 years old, the half-life was 5.8 ± 1.6 hours, the average clearance was 0.042 ± 0.01 L/hr/kg, the volume of distribution during the terminal phase (V β) was 0.34 ± 0.12 L/kg and the volume of distribution at steady state (Vss) was 0.26 ± 0.08 L/kg. The volume of distribution and clearance of ketorolac in pediatric patients was higher than those observed in adult subjects (see Table 1). There are no pharmacokinetic data available for administration of ketorolac tromethamine by the IM route in pediatric patients.

Renal Insufficiency

Based on single-dose data only, the mean half-life of ketorolac tromethamine in renally impaired patients is between 6 and 19 hours and is dependent on the extent of the impairment. There is poor correlation between creatinine clearance and total ketorolac tromethamine clearance in the elderly and populations with renal impairment (r = 0.5).

In patients with renal disease, the AUC of each enantiomer increased by approximately 100% compared with healthy volunteers. The volume of distribution doubles for the S-enantiomer and increases by 1/5th for the R-enantiomer. The increase in volume of distribution of ketorolac tromethamine implies an increase in unbound fraction.

The AUC -ratio of the ketorolac tromethamine enantiomers in healthy subjects and patients remained similar, indicating there was no selective excretion of either enantiomer in patients compared to healthy subjects (see WARNINGS, Renal Effects ).

Hepatic Insufficiency

There was no significant difference in estimates of half-life, AUC and C maxin 7 patients with liver disease compared to healthy volunteers (see PRECAUTIONS, Hepatic Effect  and Table 2).

Race

Pharmacokinetic differences due to race have not been identified.

Table 1: Table of Approximate Average Pharmacokinetic Parameters (Mean ± SD) Following Oral, Intramuscular and Intravenous Doses of Ketorolac Tromethamine
Pharmacokinetic Parameters (units)

Oral
Derived from PO pharmacokinetic studies in 77 normal fasted volunteers


Intramuscular
Derived from IM pharmacokinetic studies in 54 normal volunteers


Intravenous Bolus
Derived from IV pharmacokinetic studies in 24 normal volunteers


10 mg

15 mg

30 mg

60 mg

15 mg

30 mg

Bioavailability (extent)

100%

T max
Time-to-peak plasma concentration
(min)

44 ± 34

33 ± 21
Mean value was simulated from observed plasma concentration data and standard deviation was simulated from percent coefficient of variation for observed C max and T max data


44 ± 29

33 ± 21


1.1 ± 0.7


2.9 ± 1.8

C max
Peak plasma concentration
(mcg/mL) [single-dose]

0.87 ± 0.22

1.14 ± 0.32


2.42 ± 0.68

4.55 ± 1.27


2.47 ± 0.51


4.65 ± 0.96

C max(mcg/mL) [steady state qid]

1.05 ± 0.26


1.56 ± 0.44


3.11 ± 0.87


N/A
Not applicable because 60 mg is only recommended as a single dose


3.09 ± 1.17


6.85 ± 2.61

C min 8(mcg/mL) [steady state qid]

0.29 ± 0.07


0.47 ± 0.13


0.93 ± 0.26


N/A

0.61 ± 0.21


1.04 ± 0.35

C avg
Average plasma concentration
(mcg/mL) [steady state qid]

0.59 ± 0.20


0.94 ± 0.29


1.88 ± 0.59


N/A

1.09 ± 0.30


2.17 ± 0.59

Volume of distribution
(L/kg)

0.175 ± 0.039

0.210 ±0.044

% Dose metabolized ≤ 50

% Dose excreted in feces = 6

% Dose excreted in urine = 91

% Plasma protein binding = 99

Table 2: The Influence of Age, Liver, and Kidney Function on the Clearance and Terminal Half-Life of Ketorolac Tromethamine (IM
Estimated from 30 mg single IM doses of ketorolac tromethamine
and ORAL
Estimated from 10 mg single oral doses of ketorolac tromethamine
) in Adult Populations


Total Clearance [in L/h/kg]
Liters/hour/kilogram


Terminal Half-Life [in hours]

Type of Subjects

IM

ORAL

IM

ORAL



Mean

(range)

Mean

(range)

Mean

(range)

Mean

(range)

Normal Subjects IM (n = 54)

mean age = 32, range = 18 to 60

Oral (n = 77)

mean age = 32, range = 20 to 60

0.023

0.025

5.3

5.3

(0.010 to

0.046)

(0.013 to 0.050)

(3.5 to 9.2)

(2.4 to 9)

Healthy Elderly Subjects IM

(n = 13),

Oral (n = 12)

mean age  = 72, range  = 65 to 78

0.019

0.024

7

6.1

(0.013 to 0.034)

(0.018 to 0.034)

(4.7 to 8.6)

(4.3 to 7.6)

Patients with Hepatic Dysfunction

IM and Oral

(n = 7)

mean age = 51, range = 43 to 64

0.029

0.033

5.4

4.5

(0.013 to 0.066)

(0.019 to 0.051)

(2.2 to 6.9)

(1.6 to 7.6)

Patients with Renal Impairment IM (n = 25),

Oral (n = 9)

serum creatinine = 1.9 to 5 mg/dL,

mean age (IM) = 54, range = 35 to 71

mean age (Oral) = 57, range = 39 to 70

0.015

0.016

10.3

10.8

(0.005 to 0.043)

(0.007 to 0.052)

(5.9 to 19.2)

(3.4 to 18.9)

Renal Dialysis Patients IM and Oral (n = 9)

mean age = 40, range = 27 to 63

0.016

--

13.6

--

(0.003 to 0.036)

(8 to 39.1)

Postmarketing Surveillance Study

A large postmarketing observational, nonrandomized study, involving approximately 10,000 patients receiving ketorolac tromethamine IV/IM, demonstrated that the risk of clinically serious gastrointestinal (GI) bleeding was dose-dependent (see Tables 3A and 3B). This was particularly true in elderly patients who received an average daily dose greater than 60 mg/day of ketorolac tromethamine IV/IM(see Table 3A).

Table 3: Incidence of Clinically Serious GI Bleeding as Related to Age, Total Daily Dose, and History of GI Perforation, Ulcer, Bleeding (PUB) after up to 5 Days of Treatment with Ketorolac Tromethamine IV/IM

A. Adult Patients without History of PUB

Age of Patients

Total Daily Dose of Ketorolac Tromethamine IV/IM

≤ 60 mg

> 60 to 90 mg

> 90 to 120 mg

> 120 mg

< 65 years of age

0.4%

0.4%

0.9%

4.6%

≥ 65 years of age

1.2%

2.8%

2.2%

7.7%

B. Adult Patients with History of PUB

Age of Patients

Total Daily Dose of Ketorolac Tromethamine IV/IM

≤ 60 mg

> 60 to 90 mg

> 90 to 120 mg

> 120 mg

< 65 years of age

2.1%

4.6%

7.8%

15.4%

≥ 65 years of age

4.7%

3.7%

2.8%

25%

To report SUSPECTED ADVERSE REACTIONS, contact Zydus Pharmaceuticals (USA) Inc. at 1-877-993-8779 or FDA at 1-800-FDA-1088 or http://www.fda.gov/medwatch.

Geriatric Use (= 65 Years of Age)

Because ketorolac tromethamine may be cleared more slowly by the elderly (see CLINICAL PHARMACOLOGY ) who are also more sensitive to the dose-related adverse effects of NSAIDs (see WARNINGS, Gastrointestinal Effects – Risk of Ulceration, Bleeding, and Perforation ), extreme caution, reduced dosages (see DOSAGE AND ADMINISTRATION ), and careful clinical monitoring must be used when treating the elderly with ketorolac tromethamine.

Package Label.principal Display Panel (PACKAGE LABEL.PRINCIPAL DISPLAY PANEL)

Carcinogenesis, Mutagenesis, Impairment of Fertility

An 18 month study in mice with oral doses of ketorolac tromethamine at 2 mg/kg/day (0.9 times the human systemic exposure at the recommended IM or IV dose of 30 mg qid, based on area-under-the-plasma-concentration curve [AUC]), and a 24 month study in rats at 5 mg/kg/day (0.5 times the human AUC) showed no evidence of tumorigenicity.

Ketorolac tromethamine was not mutagenic in the Ames test, unscheduled DNA synthesis and repair, and in forward mutation assays. Ketorolac tromethamine did not cause chromosome breakage in the in vivomouse micronucleus assay. At 1,590 mcg/mL and at higher concentrations, ketorolac tromethamine increased the incidence of chromosomal aberrations in Chinese hamster ovarian cells.

Impairment of fertility did not occur in male or female rats at oral doses of 9 mg/kg (0.9 times the human AUC) and 16 mg/kg (1.6 times the human AUC) of ketorolac tromethamine, respectively.

Drug Reaction With Eosinophilia and Systemic Symptoms (dress) (Drug Reaction with Eosinophilia and Systemic Symptoms (DRESS))

Drug Reaction with Eosinophilia and Systemic Symptoms (DRESS) has been reported in patients taking NSAIDs such as ketorolac tromethamine tablets. Some of these events have been fatal or life-threatening. DRESS typically, although not exclusively, presents with fever, rash, lymphadenopathy, and/or facial swelling. Other clinical manifestations may include hepatitis, nephritis, hematological abnormalities, myocarditis, or myositis. Sometimes symptoms of DRESS may resemble an acute viral infection. Eosinophilia is often present. Because this disorder is variable in its presentation, other organ systems not noted here may be involved. It is important to note that early manifestations of hypersensitivity, such as fever or lymphadenopathy, may be present even though rash is not evident. If such signs or symptoms are present, discontinue ketorolac tromethamine tablets and evaluate the patient immediately.

Medication Guide for Nonsteroidal Anti Inflammatory Drugs (nsaids) (Medication Guide for Nonsteroidal Anti-inflammatory Drugs (NSAIDs))
Dispense with Medication Guide available at: www.zydususa.com/medguides or call 1-877-993-8779

What is the most important information I should know about medicines called Nonsteroidal Anti-inflammatory Drugs (NSAIDs)?

NSAIDs can cause serious side effects, including:      

  • Increased risk of a heart attack or stroke that can lead to death. This risk may happen early in treatment and may increase:
  • with increasing doses of NSAIDs
  • with longer use of NSAIDs
Do not take NSAIDs right before or after a heart surgery called a "coronary artery bypass graft (CABG)."

Avoid taking NSAIDs after a recent heart attack, unless your healthcare provider tells you to. You may have an increased risk of another heart attack if you take NSAIDs after a recent heart attack.

  • Increased risk of bleeding, ulcers, and tears (perforation) of the esophagus (tube leading from the mouth to the stomach), stomach and intestines:
o   anytime during use

o   without warning symptoms

o   that may cause death

The risk of getting an ulcer or bleeding increases with:

○          past history of stomach ulcers, or stomach or intestinal bleeding with use of NSAIDs

○          taking medicines called "corticosteroids", "anticoagulants", "SSRIs", or "SNRIs"

○          increasing doses of NSAIDs

○          longer use of NSAIDs

○          smoking

○          drinking alcohol

○          older age

○          poor health

○          advanced liver disease

○          bleeding problems

NSAIDs should only be used:

○          exactly as prescribed

○          at the lowest dose possible for your treatment

○          for the shortest time needed

What are NSAIDs?

NSAIDs are used to treat pain and redness, swelling, and heat (inflammation) from medical conditions such as different types of arthritis, menstrual cramps, and other types of short-term pain.

Who should not take NSAIDs?

Do not take NSAIDs:

  • if you have had an asthma attack, hives, or other allergic reaction with aspirin or any other NSAIDs.
  • right before or after heart bypass surgery.
Before taking NSAIDs, tell your healthcare provider about all of your medical conditions, including if you:

  • have liver or kidney problems
  • have high blood pressure
  • have asthma
  • are pregnant or plan to become pregnant. Taking NSAIDs at about 20 weeks of pregnancy or later may harm your unborn baby. If you need to take NSAIDs for more than 2 days when you are between 20 and 30 weeks of pregnancy, your healthcare provider may need to monitor the amount of fluid in your womb around your baby. You should not take NSAIDs after about 30 weeks of pregnancy.
  • are breastfeeding or plan to breast feed.
Tell your healthcare provider about all of the medicines you take, including prescription or over-the-counter medicines, vitamins or herbal supplements.

NSAIDs and some other medicines can interact with each other and cause serious side effects. Do not start taking any new medicine without talking to your healthcare provider first.

What are the possible side effects of NSAIDs?

NSAIDs can cause serious side effects, including:

See "What is the most important information I should know about medicines called Nonsteroidal Anti-inflammatory Drugs (NSAIDs)?"

  • new or worse high blood pressure
  • liver problems including liver failure
  • low red blood cells (anemia)
  • life-threatening allergic reactions
  • heart failure
  • kidney problems including kidney failure
  • life-threatening skin reactions
  • Other side effects of NSAIDs include:stomach pain, constipation, diarrhea, gas, heartburn, nausea, vomiting, and dizziness.
Get emergency help right away if you get any of the following symptoms:

  • shortness of breath or trouble breathing 
  • chest pain       
  • weakness in one part or side of your body
  • slurred speech
  • swelling of the face or throat
Stop taking your NSAID and call your healthcare provider right away if you get any of the following symptoms:

  • nausea
  • more tired or weaker than usual
  • diarrhea
  • itching
  • your skin or eyes look yellow
  • indigestion or stomach pain
  • flu-like symptoms
  • vomit blood
  • there is blood in your bowel movement or it is black and sticky like tar
  • unusual weight gain
  • skin rash or blisters with fever
  • swelling of the arms, legs, hands and feet
If you take too much of your NSAID, call your healthcare provider or get medical help right away.

These are not all the possible side effects of NSAIDs. For more information, ask your healthcare provider or pharmacist about NSAIDs.

Call your doctor for medical advice about side effects. You may report side effects to FDA at 1-800-FDA-1088.

Other information about NSAIDs

  • Aspirin is an NSAID but it does not increase the chance of a heart attack. Aspirin can cause bleeding in the brain, stomach, and intestines. Aspirin can also cause ulcers in the stomach and intestines.
  • Some NSAIDs are sold in lower doses without a prescription (over-the-counter). Talk to your healthcare provider before using over-the-counter NSAIDs for more than 10 days.
General information about the safe and effective use of NSAIDs

Medicines are sometimes prescribed for purposes other than those listed in a Medication Guide. Do not use NSAIDs for a condition for which it was not prescribed. Do not give NSAIDs to other people, even if they have the same symptoms that you have. It may harm them.

If you would like more information about NSAIDs, talk with your healthcare provider. You can ask your pharmacist or healthcare provider for information about NSAIDs that is written for health professionals.

Manufactured by:

Zydus Lifesciences Ltd.,

Ahmedabad, India

Distributed by:

Zydus Pharmaceuticals (USA) Inc.

Pennington, NJ 08534

This Medication Guide has been approved by the U.S. Food and Drug Administration.

Rev. 06/2022

Gastrointestinal Effects – Risk of Ulceration, Bleeding, and Perforation

Ketorolac tromethamine is contraindicated in patients with previously documented peptic ulcers and/or GI bleeding. Ketorolac tromethamine can cause serious gastrointestinal (GI) adverse events including bleeding, ulceration and perforation, of the stomach, small intestine, or large intestine, which can be fatal. These serious adverse events can occur at any time, with or without warning symptoms, in patients treated with ketorolac tromethamine.

Only one in five patients who develop a serious upper GI adverse event on NSAID therapy is symptomatic. Minor upper gastrointestinal problems, such as dyspepsia, are common and may also occur at any time during NSAID therapy. The incidence and severity of gastrointestinal complications increases with increasing dose of, and duration of treatment with, ketorolac tromethamine. Do not use ketorolac tromethamine for more than five days. However, even short-term therapy is not without risk. In addition to past history of ulcer disease, other factors that increase the risk for GI bleeding in patients treated with NSAIDs include concomitant use of oral corticosteroids, or anticoagulants, longer duration of NSAID therapy, smoking, use of alcohol, older age, and poor general health status. Most spontaneous reports of fatal GI events are in elderly or debilitated patients and therefore, special care should be taken in treating this population.

To minimize the potential risk for an adverse GI event, the lowest effective dose should be used for the shortest possible duration.Patients and physicians should remain alert for signs and symptoms of GI ulceration and bleeding during NSAID therapy and promptly initiate additional evaluation and treatment if a serious GI adverse event is suspected. This should include discontinuation of ketorolac tromethamine until a serious GI adverse event is ruled out. For high risk patients, alternate therapies that do not involve NSAIDs should be considered.

NSAIDs should be given with care to patients with a history of inflammatory bowel disease (ulcerative colitis, Crohn's disease) as their condition may be exacerbated.


Advanced Ingredient Data


Raw Label Data

All Sections (JSON)