Oxacillin For Injection, Usp

Oxacillin For Injection, Usp
SPL v12
SPL
SPL Set ID 152758c0-d225-4761-abeb-3f1cb0190806
Route
INTRAVENOUS
Published
Effective Date 2025-08-13
Document Type 34391-3 Human Prescription Drug Label

Drug Facts

Composition & Product

Active Ingredients
Oxacillin (10 g)
Inactive Ingredients
Sodium Phosphate, Dibasic

Identifiers & Packaging

Pill Appearance
Color: white
Marketing Status
ANDA Active Since 2013-01-18

Description

Rx only To reduce the development of drug-resistant bacteria and maintain the effectiveness of Oxacillin for Injection, USP and other antibacterial drugs, Oxacillin for Injection, USP should be used only to treat or prevent infections that are proven or strongly suspected to be caused by bacteria.

Indications and Usage

Oxacillin is indicated in the treatment of infections caused by penicillinase producing staphylococci which have demonstrated susceptibility to the drug. Cultures and susceptibility tests should be performed initially to determine the causative organism and its susceptibility to the drug (See CLINICAL PHARMACOLOGY - Susceptibility Test Methods ). Oxacillin may be used to initiate therapy in suspected cases of resistant staphylococcal infections prior to the availability of susceptibility test results. Oxacillin should not be used in infections caused by organisms susceptible to penicillin G. If the susceptibility tests indicate that the infection is due to an organism other than a resistant Staphylococcus , therapy should not be continued with oxacillin. To reduce the development of drug-resistant bacteria and maintain the effectiveness of Oxacillin for Injection, USP and other antibacterial drugs, Oxacillin for Injection, USP should be used only to treat or prevent infections that are proven or strongly suspected to be caused by susceptible bacteria. When culture and susceptibility information are available, they should be considered in selecting or modifying antibacterial therapy. In the absence of such data, local epidemiology and susceptibility patterns may contribute to the empiric selection of therapy.

Dosage and Administration

The intent of the pharmacy bulk package for this product is for preparation of solutions for IV infusion only. Bacteriologic studies to determine the causative organisms and their susceptibility to oxacillin should always be performed. Duration of therapy varies with the type of severity of infection as well as the overall condition of the patient; therefore, it should be determined by the clinical and bacteriological response of the patient. In severe staphylococcal infections, therapy with oxacillin should be continued for at least 14 days. Therapy should be continued for at least 48 hours after the patient has become afebrile, asymptomatic, and cultures are negative. Treatment of endocarditis and osteomyelitis may require a longer duration of therapy. With intravenous administration, particularly in elderly patients, care should be taken because of the possibility of thrombophlebitis. RECOMMENDED DOSAGES FOR OXACILLIN FOR INJECTION, USP  Drug Adults Infants and Children <40 kg (88 lbs) Other Recommendations    Oxacillin    250 to 500 mg IV    every 4 to 6 hours (mild    to moderate infections)    50 mg/kg/day IV in    equally divided doses every 6    hours (mild to moderate infections)      1 gram IV every 4    to 6 hours (severe infections)    100 mg/kg/day IV in    equally divided doses every 4 to    6 hours (severe infections)    Premature and Neonates 25 mg/kg/day IV

Contraindications

A history of a hypersensitivity (anaphylactic) reaction to any penicillin is a contraindication.

Adverse Reactions

Body as a Whole The reported incidence of allergic reactions to penicillin ranges from 0.7 to 10 percent (see WARNINGS ). Sensitization is usually the result of treatment but some individuals have had immediate reactions when first treated. In such cases, it is thought that the patients may have had prior exposure to the drug via trace amounts present in milk and vaccines. Two types of allergic reactions to penicillins are noted clinically, immediate and delayed. Immediate reactions usually occur within 20 minutes of administration and range in severity from urticaria and pruritus to angioneurotic edema, laryngospasm, bronchospasm, hypotension, vascular collapse and death. Such immediate anaphylactic reactions are very rare (see WARNINGS ) and usually occur after parenteral therapy but have occurred in patients receiving oral therapy. Another type of immediate reaction, an accelerated reaction, may occur between 20 minutes and 48 hours after administration and may include urticaria, pruritus, and fever. Although laryngeal edema, laryngospasm, and hypotension occasionally occur, fatality is uncommon. Delayed allergic reactions to penicillin therapy usually occur after 48 hours and sometimes as late as 2 to 4 weeks after initiation of therapy. Manifestations of this type of reaction include serum sickness-like symptoms (i.e ., fever, malaise, urticaria, myalgia, arthralgia, abdominal pain) and various skin rashes. Nausea, vomiting, diarrhea, stomatitis, black or hairy tongue, and other symptoms of gastrointestinal irritation may occur, especially during oral penicillin therapy. Nervous System Reactions Neurotoxic reactions similar to those observed with penicillin G may occur with large intravenous doses of oxacillin, especially with patients with renal insufficiency. Urogenital Reactions Renal tubular damage and interstitial nephritis have been associated with the administration of oxacillin. Manifestations of this reaction may include rash, fever, eosinophilia, hematuria, proteinuria, and renal insufficiency. Nephropathy induced by penicillins does not appear to be dose-related and is generally reversible upon prompt discontinuation of therapy. Gastrointestinal Reactions Pseudomembranous colitis has been reported with the use of oxacillin. The onset of pseudomembranous colitis symptoms may occur during or after antibiotic treatment (see WARNINGS ). Metabolic Reactions Agranulocytosis, neutropenia, and bone marrow depression have been associated with the use of oxacillin. Hepatotoxicity, characterized by fever, nausea, and vomiting associated with abnormal liver function tests, mainly elevated SGOT levels, has been associated with the use of oxacillin. To report SUSPECTED ADVERSE REACTIONS, contact FDA at 1-800-FDA-1088 or www.fda.gov/medwatch.

Drug Interactions

Tetracycline, a bacteriostatic antibiotic, may antagonize the bactericidal effect of penicillin and concurrent use of these drugs should be avoided. Oxacillin blood levels may be increased and prolonged by concurrent administration of probenecid which blocks the renal tubular secretion of penicillins. Probenecid decreases the apparent volume of distribution and slows the rate of excretion by competitively inhibiting renal tubular secretion of penicillins. Oxacillin-probenecid therapy should be limited to those infections where very high serum levels of oxacillin are necessary.

How Supplied

Each Pharmacy Bulk Package of Oxacillin for Injection, USP contains oxacillin sodium monohydrate equivalent to 10 grams of oxacillin.              Oxacillin for Injection USP, 10 g              Pharmacy Bulk Package bottles in a Box of 1                    NDC 55150-129-99 Oxacillin for Injection, USP is a sterile, white to off-white powder and after reconstitution it becomes colorless to light yellow colored clear liquid. Store dry powder at 20° to 25°C (68° to 77°F) [see USP Controlled Room Temperature]. The vial stopper is not made with natural rubber latex. Distributed by: Eugia US LLC 279 Princeton-Hightstown Rd. E. Windsor, NJ 08520 Manufactured by: Eugia Pharma Specialities Limited Hyderabad - 500032 India Revised: November 2022


Medication Information

Indications and Usage


Oxacillin is indicated in the treatment of infections caused by penicillinase producing staphylococci which have demonstrated susceptibility to the drug. Cultures and susceptibility tests should be performed initially to determine the causative organism and its susceptibility to the drug (See CLINICAL PHARMACOLOGY - Susceptibility Test Methods).



Oxacillin may be used to initiate therapy in suspected cases of resistant staphylococcal infections prior to the availability of susceptibility test results. Oxacillin should not be used in infections caused by organisms susceptible to penicillin G. If the susceptibility tests indicate that the infection is due to an organism other than a resistant Staphylococcus, therapy should not be continued with oxacillin.



To reduce the development of drug-resistant bacteria and maintain the effectiveness of Oxacillin for Injection, USP and other antibacterial drugs, Oxacillin for Injection, USP should be used only to treat or prevent infections that are proven or strongly suspected to be caused by susceptible bacteria. When culture and susceptibility information are available, they should be considered in selecting or modifying antibacterial therapy. In the absence of such data, local epidemiology and susceptibility patterns may contribute to the empiric selection of therapy.

Dosage and Administration


The intent of the pharmacy bulk package for this product is for preparation of solutions for IV infusion only.





Bacteriologic studies to determine the causative organisms and their susceptibility to oxacillin should always be performed. Duration of therapy varies with the type of severity of infection as well as the overall condition of the patient; therefore, it should be determined by the clinical and bacteriological response of the patient. In severe staphylococcal infections, therapy with oxacillin should be continued for at least 14 days. Therapy should be continued for at least 48 hours after the patient has become afebrile, asymptomatic, and cultures are negative. Treatment of endocarditis and osteomyelitis may require a longer duration of therapy.



With intravenous administration, particularly in elderly patients, care should be taken because of the possibility of thrombophlebitis.



RECOMMENDED DOSAGES FOR OXACILLIN FOR INJECTION, USP 
Drug Adults Infants and Children

<40 kg (88 lbs)
Other

Recommendations
   Oxacillin

   250 to 500 mg IV

   every 4 to 6 hours (mild

   to moderate infections)

   50 mg/kg/day IV in

   equally divided doses every 6

   hours (mild to moderate infections)

 

   1 gram IV every 4

   to 6 hours (severe infections)

   100 mg/kg/day IV in

   equally divided doses every 4 to

   6 hours (severe infections)

   Premature and Neonates 25 mg/kg/day IV

Contraindications

A history of a hypersensitivity (anaphylactic) reaction to any penicillin is a contraindication.

Adverse Reactions

Body as a Whole

The reported incidence of allergic reactions to penicillin ranges from 0.7 to 10 percent (see WARNINGS ). Sensitization is usually the result of treatment but some individuals have had immediate reactions when first treated. In such cases, it is thought that the patients may have had prior exposure to the drug via trace amounts present in milk and vaccines.



Two types of allergic reactions to penicillins are noted clinically, immediate and delayed.



Immediate reactions usually occur within 20 minutes of administration and range in severity from urticaria and pruritus to angioneurotic edema, laryngospasm, bronchospasm, hypotension, vascular collapse and death. Such immediate anaphylactic reactions are very rare (see WARNINGS ) and usually occur after parenteral therapy but have occurred in patients receiving oral therapy. Another type of immediate reaction, an accelerated reaction, may occur between 20 minutes and 48 hours after administration and may include urticaria, pruritus, and fever. Although laryngeal edema, laryngospasm, and hypotension occasionally occur, fatality is uncommon.



Delayed allergic reactions to penicillin therapy usually occur after 48 hours and sometimes as late as 2 to 4 weeks after initiation of therapy.



Manifestations of this type of reaction include serum sickness-like symptoms (i.e., fever, malaise, urticaria, myalgia, arthralgia, abdominal pain) and various skin rashes. Nausea, vomiting, diarrhea, stomatitis, black or hairy tongue, and other symptoms of gastrointestinal irritation may occur, especially during oral penicillin therapy.



Nervous System Reactions



Neurotoxic reactions similar to those observed with penicillin G may occur with large intravenous doses of oxacillin, especially with patients with renal insufficiency.



Urogenital Reactions



Renal tubular damage and interstitial nephritis have been associated with the administration of oxacillin. Manifestations of this reaction may include rash, fever, eosinophilia, hematuria, proteinuria, and renal insufficiency. Nephropathy induced by penicillins does not appear to be dose-related and is generally reversible upon prompt discontinuation of therapy.



Gastrointestinal Reactions



Pseudomembranous colitis has been reported with the use of oxacillin. The onset of pseudomembranous colitis symptoms may occur during or after antibiotic treatment (see WARNINGS ).



Metabolic Reactions



Agranulocytosis, neutropenia, and bone marrow depression have been associated with the use of oxacillin. Hepatotoxicity, characterized by fever, nausea, and vomiting associated with abnormal liver function tests, mainly elevated SGOT levels, has been associated with the use of oxacillin.



To report SUSPECTED ADVERSE REACTIONS, contact FDA at 1-800-FDA-1088 or www.fda.gov/medwatch.

Drug Interactions

Tetracycline, a bacteriostatic antibiotic, may antagonize the bactericidal effect of penicillin and concurrent use of these drugs should be avoided.



Oxacillin blood levels may be increased and prolonged by concurrent administration of probenecid which blocks the renal tubular secretion of penicillins. Probenecid decreases the apparent volume of distribution and slows the rate of excretion by competitively inhibiting renal tubular secretion of penicillins.



Oxacillin-probenecid therapy should be limited to those infections where very high serum levels of oxacillin are necessary.

How Supplied


Each Pharmacy Bulk Package of Oxacillin for Injection, USP contains oxacillin sodium monohydrate equivalent to 10 grams of oxacillin.



             Oxacillin for Injection USP, 10 g

             Pharmacy Bulk Package bottles in a Box of 1                    NDC 55150-129-99



Oxacillin for Injection, USP is a sterile, white to off-white powder and after reconstitution it becomes colorless to light yellow colored clear liquid.



Store dry powder at
20° to 25°C (68° to 77°F) [see USP Controlled Room Temperature].



The vial stopper is not made with natural rubber latex.



Distributed by:

Eugia US LLC

279 Princeton-Hightstown Rd.

E. Windsor, NJ 08520



Manufactured by:

Eugia Pharma Specialities Limited

Hyderabad - 500032

India



Revised: November 2022

Description


Oxacillin for Injection, USP is a semisynthetic penicillin antibiotic derived from 6-amino-penicillanic acid. It is the sodium salt in a parenteral dosage form. Each Pharmacy Bulk Package of Oxacillin for Injection, USP contains oxacillin sodium monohydrate equivalent to 10 grams of oxacillin. The sodium content is 57.30 mg [2.5 mEq] per gram oxacillin. The product is buffered with 20 mg sterile disodium hydrogen phosphate per gram oxacillin.



Oxacillin for Injection, USP is a sterile, white to off-white powder supplied in Pharmacy Bulk Package bottles.



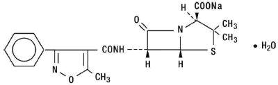
Oxacillin sodium, C19H18N3NaO5S • H2O molecular weight 441.43, is designated as 4-Thia-1-azabicyclo [3.2.0]heptane-2-carboxylic acid, 3,3-dimethyl-6-[[(5-methyl-3-phenyl-4-isoxazolyl) carbonyl] amino]-7-oxo-, monosodium salt, monohydrate,  [2S(2α,5α,6β)] and has the following structural formula:









A Pharmacy Bulk Package bottle is a container of a sterile preparation for parenteral use that contains many single doses. The contents of this pharmacy bulk package are intended for use by a pharmacy admixture service for addition to suitable parenteral fluids in the preparation of admixtures for intravenous infusion. (See DOSAGE AND ADMINISTRATION , Directions for Proper Use of Pharmacy Bulk Package .) FURTHER DILUTION IS REQUIRED.

Section 42229-5


Stability studies on oxacillin sodium at concentrations of 0.5 mg/mL and 2 mg/mL in various intravenous solutions listed below indicate the drug will lose less than 10% activity at room temperature (70°F) during a 6-hour period. 



IV Solution



5% Dextrose in Normal Saline

10% D-Fructose in Water

10% D-Fructose in Normal Saline

Lactated Potassic Saline Injection

10% Invert Sugar in Normal Saline

10% Invert Sugar Plus 0.3% Potassium Chloride in Water 

Travert 10% Electrolyte #1 

Travert 10% Electrolyte #2 

Travert 10% Electrolyte #3 



Only those solutions listed above should be used for the intravenous infusion of oxacillin sodium. The concentration of the antibiotic should fall within the range specified. The drug concentration and the rate and volume of the infusion should be adjusted so that the total dose of oxacillin is administered before the drug loses its stability in the solution in use. 



If another agent is used in conjunction with oxacillin therapy, it should not be physically mixed with oxacillin but should be administered separately.

General


Oxacillin should generally not be administered to patients with a history of sensitivity to any penicillin. Penicillin should be used with caution in individuals with histories of significant allergies and/or asthma. Whenever allergic reactions occur, penicillin should be withdrawn unless, in the opinion of the physician, the condition being treated is life-threatening and amenable only to penicillin therapy. The use of antibiotics may result in overgrowth of nonsusceptible organisms. If new infections due to bacteria or fungi occur, the drug should be discontinued and appropriate measures taken.



Prescribing Oxacillin for Injection, USP in the absence of a proven or strongly suspected bacterial infection or a prophylactic indication is unlikely to provide benefit to the patient and increases the risk of the development of drug-resistant bacteria.

Warnings

Serious and occasionally fatal hypersensitivity (anaphylactic shock with collapse) reactions have occurred in patients receiving penicillin. The incidence of anaphylactic shock in all penicillin-treated patients is between 0.015 and 0.04 percent. Anaphylactic shock resulting in death has occurred in approximately 0.002 percent of the patients treated.



When oxacillin therapy is indicated, it should be initiated only after a comprehensive patient drug and allergy history has been obtained. If an allergic reaction occurs, oxacillin should be discontinued and appropriate therapy instituted.



Clostridium difficile associated diarrhea (CDAD) has been reported with use of nearly all antibacterial agents, including Oxacillin for Injection, USP, and may range in severity from mild diarrhea to fatal colitis. Treatment with antibacterial agents alters the normal flora of the colon leading to overgrowth of C. difficile.



C. difficile produces toxins A and B which contribute to the development of CDAD. Hypertoxin producing strains of C. difficile cause increased morbidity and mortality, as these infections can be refractory to antimicrobial therapy and may require colectomy. CDAD must be considered in all patients who present with diarrhea following antibiotic use. Careful medical history is necessary since CDAD has been reported to occur over two months after the administration of antibacterial agents.



If CDAD is suspected or confirmed, ongoing antibiotic use not directed against C. difficile may need to be discontinued. Appropriate fluid and electrolyte management, protein supplementation, antibiotic treatment of C. difficile, and surgical evaluation should be instituted as clinically indicated.

Overdosage


The signs and symptoms of oxacillin overdosage are those described in the ADVERSE REACTIONS  section.  If signs or symptoms occur, discontinue use of the medication, treat symptomatically, and institute appropriate supportive measures.

Microbiology

Mode of Action



Penicillinase-resistant penicillins exert a bactericidal action against penicillin susceptible microorganisms during the state of active multiplication. All penicillins inhibit the biosynthesis of the bacterial cell wall.



Mechanism of Resistance



Resistance to penicillins may be mediated by destruction of the beta-lactam ring by a beta-lactamase, altered affinity of penicillin for target, or decreased penetration of the antibiotic to reach the target site.



Cross Resistance



Resistance to oxacillin (or cefoxitin) implies resistance to all other beta-lactam agents, except newer agents with activity against methicillin-resistant Staphylococcus aureus.



Susceptibility Testing



For specific information regarding susceptibility test interpretive criteria and associated test methods and quality control standards recognized by FDA for this drug, please see: https://www.fda.gov/STIC.

Geriatric Use


Clinical studies of Oxacillin for Injection did not include sufficient number of subjects aged 65 and over to determine whether they respond differently from younger subjects. Other reported clinical experience has not identified differences in responses between the elderly and younger patients. In general, dose selection for an elderly patient should be cautious, usually starting at the low end of the dosing range, reflecting the greater frequency of decreased hepatic, renal, or cardiac function, and of concomitant disease or other drug therapy.



This drug is known to be substantially excreted by the kidney, and the risk of toxic reactions to this drug may be greater in patients with impaired renal function. Because elderly patients are more likely to have decreased renal function, care should be taken in dose selection, and it may be useful to monitor renal function.



Oxacillin for Injection contains 57.30 mg (2.5 mEq) of sodium per gram. At the usual recommended doses, patients would receive between 57.30 and 343.8 mg/day (2.5 and 15 mEq) of sodium. The geriatric population may respond with a blunted natriuresis to salt loading. This may be clinically important with regard to such diseases as congestive heart failure.

Pediatric Use


Because of incompletely developed renal function in pediatric patients, oxacillin may not be completely excreted, with abnormally high blood levels resulting. Frequent blood levels are advisable in this group with dosage adjustments when necessary. All pediatric patients treated with penicillins should be monitored closely for clinical and laboratory evidence of toxic or adverse effects. Safety and effectiveness in pediatric patients have not been established.

Nursing Mothers


Penicillins are excreted in human milk. Caution should be exercised when penicillins are administered to a nursing woman.

Laboratory Tests


Bacteriologic studies to determine the causative organisms and their susceptibility to oxacillin should be performed (See CLINICAL PHARMACOLOGY-Microbiology). In the treatment of suspected staphylococcal infections, therapy should be changed to another active agent if culture tests fail to demonstrate the presence of staphylococci.



Periodic assessment of organ system function including renal, hepatic, and hematopoietic should be made during prolonged therapy with oxacillin.



Blood cultures, white blood cell, and differential cell counts should be obtained prior to initiation of therapy and at least weekly during therapy with oxacillin.



Periodic urinalysis, blood urea nitrogen, and creatinine determinations should be performed during therapy with oxacillin and dosage alterations should be considered if these values become elevated. If any impairment of renal function is suspected or known to exist, a reduction in the total dosage should be considered and blood levels monitored to avoid possible neurotoxic reactions.



AST (SGOT) and ALT (SGPT) values should be obtained periodically during therapy to monitor for possible liver function abnormalities.

Directions for Use


For Administration by Intravenous Drip



Reconstitute as directed below ( Pharmacy Bulk Package ) prior to further dilution.



STABILITY PERIODS FOR OXACILLIN FOR INJECTION, USP
Concentration

mg/mL
Sterile

Water for

Injection
0.9% Sodium

chloride Injection, USP
M/6 Molar Sodium

Lactate Solution
5% Dextrose in water 5% Dextrose

in 0.45% sodium chloride
10% Invert

Sugar Injection, USP
Lactated

Ringer’s Solution
ROOM TEMPERATURE (25°C)

   10-100

4 Days

4 Days

 

 

 

 

 

   10-30

 

 

24 Hrs

 

24 Hrs

 

 

   0.5-2

 

 

 

6 Hrs

 

6 Hrs

6 Hrs

REFRIGERATION (4°C)

   10-100

7 Days

7 Days

 

 

 

 

 

   10-30

 

 

4 Days

4 Days

4 Days

4 Days

4 Days

FROZEN (-15°C)

   50-100

30 Days

 

 

 

 

 

 

   250/1.5 mL

30 Days

 

 

 

 

 

 

   100

 

30 Days

 

 

 

 

 

   10-100

 

 

30 Days

30 Days

30 Days

30 Days

30 Days

Teratogenic Effects

Reproduction studies performed in the mouse, rat, and rabbit have revealed no evidence of impaired fertility or harm to the fetus due to the penicillinase-resistant penicillins. Human experience with the penicillins during pregnancy has not shown any positive evidence of adverse effects on the fetus. There are, however, no adequate or well-controlled studies in pregnant women showing conclusively that harmful effects of these drugs on the fetus can be excluded. Because animal reproduction studies are not always predictive of human response, this drug should be used during pregnancy only if clearly needed.

Clinical Pharmacology

Intravenous administration provides peak serum levels approximately 5 minutes after the injection is completed. Slow I.V. administration of 500 mg gives a peak serum level of 43 mcg/mL after 5 minutes with a half-life of 20 to 30 minutes.



Oxacillin sodium, with normal doses, has insignificant concentrations in the cerebrospinal and ascitic fluids. It is found in therapeutic concentrations in the pleural, bile, and amniotic fluids.



Oxacillin Sodium is rapidly excreted as unchanged drug in the urine by glomerular filtration and active tubular secretion. The elimination half-life for oxacillin is about 0.5 hours. Nonrenal elimination includes hepatic inactivation and excretion in bile.



Oxacillin sodium binds to serum protein, mainly albumin. The degree of protein binding reported varies with the method of study and the investigator, but generally has been found to be 94.2 ± 2.1%.



Probenecid blocks the renal tubular secretion of penicillins. Therefore, the concurrent administration of probenecid prolongs the elimination of oxacillin and, consequently, increases the serum concentration.



Intravenous injection gives a peak about 5 minutes after the injection is completed. Slow I.V. dosing with 500 mg gives a 5 minute peak of 43 mcg/mL with a half-life of 20 to 30 minutes.

Pharmacy Bulk Package


This glass Pharmacy Bulk Package bottle contains 10 grams oxacillin sodium and is designed for use in the pharmacy in preparing IV admixtures. Add 93 mL Sterile Water for Injection, USP or Sodium Chloride Injection, USP 0.9%. The resulting solution will contain 100 mg oxacillin per mL and will require further dilution.



CAUTION: NOT TO BE DISPENSED AS A UNIT.

Information for Patients


Patients should be counseled that antibacterial drugs including Oxacillin for Injection, USP should only be used to treat bacterial infections. They do not treat viral infections (e.g., the common cold). When Oxacillin for Injection, USP is prescribed to treat a bacterial infection, patients should be told that although it is common to feel better early in the course of therapy, the medication should be taken exactly as directed. Skipping doses or not completing the full course of therapy may: (1) decrease the effectiveness of the immediate treatment, and (2) increase the likelihood that bacteria will develop resistance and will not be treatable by Oxacillin for Injection, USP or other antibacterial drugs in the future.



Diarrhea is a common problem caused by antibiotics which usually ends when the antibiotic is discontinued. Sometimes after starting treatment with antibiotics, patients can develop watery and bloody stools (with or without stomach cramps and fever) even as late as two or more months after having taken the last dose of the antibiotic. If this occurs, patients should contact their physician as soon as possible.

Pharmacy Bulk Package Not for Direct Infusion




Rx only



To reduce the development of drug-resistant bacteria and maintain the effectiveness of Oxacillin for Injection, USP and other antibacterial drugs, Oxacillin for Injection, USP should be used only to treat or prevent infections that are proven or strongly suspected to be caused by bacteria.

Directions for Proper Use of Pharmacy Bulk Package

a.   The container closure may be penetrated only one time after reconstitution, utilizing a suitable sterile dispensing set which allows measured distribution of the contents.



b.   Use of this product is restricted to a suitable work area, such as a laminar flow hood.



c.   Once this container closure has been punctured, withdrawal of the contents should be completed without delay. If prompt fluid transfer cannot be accomplished, discard the contents no later than 4 hours after initial closure puncture. This time limit should begin with the introduction of solvent for diluent into the Pharmacy Bulk Package bottle.



Parenteral drug products should be inspected visually for particulate matter and discoloration prior to administration, whenever solution and container permit.



Do not add supplementary medication to Oxacillin for Injection, USP.

Carcinogenesis, Mutagenesis, Impairment of Fertility


No long-term animal studies have been conducted with these drugs. Studies on reproduction (nafcillin) in rats and rabbits reveal no fetal or maternal abnormalities before conception and continuously through weaning (one generation).

Package Label Principal Display Panel 10 Grams Pharmacy Bulk Package Label


Rx only                                                   NDC 55150-129-99

Oxacillin,

 for Injection, USP

10 grams per

Pharmacy


Bulk Package 

PHARMACY BULK PACKAGE - 

NOT FOR DIRECT INFUSION

Sterile

Buffered - For Intravenous use*

eugia



Package Label Principal Display Panel 10 Grams Pharmacy Bulk Package Carton Label

Rx only                 NDC 55150-129-99

Oxacillin

for Injection, USP

10 grams per

Pharmacy

Bulk Package

PHARMACY BULK PACKAGE –

NOT FOR DIRECT INFUSION

Sterile

Buffered – For

Intravenous use*

One Pharmacy Bulk Package Bottle

eugia


Structured Label Content

Section 42229-5 (42229-5)


Stability studies on oxacillin sodium at concentrations of 0.5 mg/mL and 2 mg/mL in various intravenous solutions listed below indicate the drug will lose less than 10% activity at room temperature (70°F) during a 6-hour period. 



IV Solution



5% Dextrose in Normal Saline

10% D-Fructose in Water

10% D-Fructose in Normal Saline

Lactated Potassic Saline Injection

10% Invert Sugar in Normal Saline

10% Invert Sugar Plus 0.3% Potassium Chloride in Water 

Travert 10% Electrolyte #1 

Travert 10% Electrolyte #2 

Travert 10% Electrolyte #3 



Only those solutions listed above should be used for the intravenous infusion of oxacillin sodium. The concentration of the antibiotic should fall within the range specified. The drug concentration and the rate and volume of the infusion should be adjusted so that the total dose of oxacillin is administered before the drug loses its stability in the solution in use. 



If another agent is used in conjunction with oxacillin therapy, it should not be physically mixed with oxacillin but should be administered separately.

General


Oxacillin should generally not be administered to patients with a history of sensitivity to any penicillin. Penicillin should be used with caution in individuals with histories of significant allergies and/or asthma. Whenever allergic reactions occur, penicillin should be withdrawn unless, in the opinion of the physician, the condition being treated is life-threatening and amenable only to penicillin therapy. The use of antibiotics may result in overgrowth of nonsusceptible organisms. If new infections due to bacteria or fungi occur, the drug should be discontinued and appropriate measures taken.



Prescribing Oxacillin for Injection, USP in the absence of a proven or strongly suspected bacterial infection or a prophylactic indication is unlikely to provide benefit to the patient and increases the risk of the development of drug-resistant bacteria.

Warnings (WARNINGS)

Serious and occasionally fatal hypersensitivity (anaphylactic shock with collapse) reactions have occurred in patients receiving penicillin. The incidence of anaphylactic shock in all penicillin-treated patients is between 0.015 and 0.04 percent. Anaphylactic shock resulting in death has occurred in approximately 0.002 percent of the patients treated.



When oxacillin therapy is indicated, it should be initiated only after a comprehensive patient drug and allergy history has been obtained. If an allergic reaction occurs, oxacillin should be discontinued and appropriate therapy instituted.



Clostridium difficile associated diarrhea (CDAD) has been reported with use of nearly all antibacterial agents, including Oxacillin for Injection, USP, and may range in severity from mild diarrhea to fatal colitis. Treatment with antibacterial agents alters the normal flora of the colon leading to overgrowth of C. difficile.



C. difficile produces toxins A and B which contribute to the development of CDAD. Hypertoxin producing strains of C. difficile cause increased morbidity and mortality, as these infections can be refractory to antimicrobial therapy and may require colectomy. CDAD must be considered in all patients who present with diarrhea following antibiotic use. Careful medical history is necessary since CDAD has been reported to occur over two months after the administration of antibacterial agents.



If CDAD is suspected or confirmed, ongoing antibiotic use not directed against C. difficile may need to be discontinued. Appropriate fluid and electrolyte management, protein supplementation, antibiotic treatment of C. difficile, and surgical evaluation should be instituted as clinically indicated.

Overdosage (OVERDOSAGE)


The signs and symptoms of oxacillin overdosage are those described in the ADVERSE REACTIONS  section.  If signs or symptoms occur, discontinue use of the medication, treat symptomatically, and institute appropriate supportive measures.

Description (DESCRIPTION)


Oxacillin for Injection, USP is a semisynthetic penicillin antibiotic derived from 6-amino-penicillanic acid. It is the sodium salt in a parenteral dosage form. Each Pharmacy Bulk Package of Oxacillin for Injection, USP contains oxacillin sodium monohydrate equivalent to 10 grams of oxacillin. The sodium content is 57.30 mg [2.5 mEq] per gram oxacillin. The product is buffered with 20 mg sterile disodium hydrogen phosphate per gram oxacillin.



Oxacillin for Injection, USP is a sterile, white to off-white powder supplied in Pharmacy Bulk Package bottles.



Oxacillin sodium, C19H18N3NaO5S • H2O molecular weight 441.43, is designated as 4-Thia-1-azabicyclo [3.2.0]heptane-2-carboxylic acid, 3,3-dimethyl-6-[[(5-methyl-3-phenyl-4-isoxazolyl) carbonyl] amino]-7-oxo-, monosodium salt, monohydrate,  [2S(2α,5α,6β)] and has the following structural formula:









A Pharmacy Bulk Package bottle is a container of a sterile preparation for parenteral use that contains many single doses. The contents of this pharmacy bulk package are intended for use by a pharmacy admixture service for addition to suitable parenteral fluids in the preparation of admixtures for intravenous infusion. (See DOSAGE AND ADMINISTRATION , Directions for Proper Use of Pharmacy Bulk Package .) FURTHER DILUTION IS REQUIRED.

How Supplied (HOW SUPPLIED)


Each Pharmacy Bulk Package of Oxacillin for Injection, USP contains oxacillin sodium monohydrate equivalent to 10 grams of oxacillin.



             Oxacillin for Injection USP, 10 g

             Pharmacy Bulk Package bottles in a Box of 1                    NDC 55150-129-99



Oxacillin for Injection, USP is a sterile, white to off-white powder and after reconstitution it becomes colorless to light yellow colored clear liquid.



Store dry powder at
20° to 25°C (68° to 77°F) [see USP Controlled Room Temperature].



The vial stopper is not made with natural rubber latex.



Distributed by:

Eugia US LLC

279 Princeton-Hightstown Rd.

E. Windsor, NJ 08520



Manufactured by:

Eugia Pharma Specialities Limited

Hyderabad - 500032

India



Revised: November 2022

Microbiology

Mode of Action



Penicillinase-resistant penicillins exert a bactericidal action against penicillin susceptible microorganisms during the state of active multiplication. All penicillins inhibit the biosynthesis of the bacterial cell wall.



Mechanism of Resistance



Resistance to penicillins may be mediated by destruction of the beta-lactam ring by a beta-lactamase, altered affinity of penicillin for target, or decreased penetration of the antibiotic to reach the target site.



Cross Resistance



Resistance to oxacillin (or cefoxitin) implies resistance to all other beta-lactam agents, except newer agents with activity against methicillin-resistant Staphylococcus aureus.



Susceptibility Testing



For specific information regarding susceptibility test interpretive criteria and associated test methods and quality control standards recognized by FDA for this drug, please see: https://www.fda.gov/STIC.

Geriatric Use


Clinical studies of Oxacillin for Injection did not include sufficient number of subjects aged 65 and over to determine whether they respond differently from younger subjects. Other reported clinical experience has not identified differences in responses between the elderly and younger patients. In general, dose selection for an elderly patient should be cautious, usually starting at the low end of the dosing range, reflecting the greater frequency of decreased hepatic, renal, or cardiac function, and of concomitant disease or other drug therapy.



This drug is known to be substantially excreted by the kidney, and the risk of toxic reactions to this drug may be greater in patients with impaired renal function. Because elderly patients are more likely to have decreased renal function, care should be taken in dose selection, and it may be useful to monitor renal function.



Oxacillin for Injection contains 57.30 mg (2.5 mEq) of sodium per gram. At the usual recommended doses, patients would receive between 57.30 and 343.8 mg/day (2.5 and 15 mEq) of sodium. The geriatric population may respond with a blunted natriuresis to salt loading. This may be clinically important with regard to such diseases as congestive heart failure.

Pediatric Use


Because of incompletely developed renal function in pediatric patients, oxacillin may not be completely excreted, with abnormally high blood levels resulting. Frequent blood levels are advisable in this group with dosage adjustments when necessary. All pediatric patients treated with penicillins should be monitored closely for clinical and laboratory evidence of toxic or adverse effects. Safety and effectiveness in pediatric patients have not been established.

Nursing Mothers


Penicillins are excreted in human milk. Caution should be exercised when penicillins are administered to a nursing woman.

Laboratory Tests


Bacteriologic studies to determine the causative organisms and their susceptibility to oxacillin should be performed (See CLINICAL PHARMACOLOGY-Microbiology). In the treatment of suspected staphylococcal infections, therapy should be changed to another active agent if culture tests fail to demonstrate the presence of staphylococci.



Periodic assessment of organ system function including renal, hepatic, and hematopoietic should be made during prolonged therapy with oxacillin.



Blood cultures, white blood cell, and differential cell counts should be obtained prior to initiation of therapy and at least weekly during therapy with oxacillin.



Periodic urinalysis, blood urea nitrogen, and creatinine determinations should be performed during therapy with oxacillin and dosage alterations should be considered if these values become elevated. If any impairment of renal function is suspected or known to exist, a reduction in the total dosage should be considered and blood levels monitored to avoid possible neurotoxic reactions.



AST (SGOT) and ALT (SGPT) values should be obtained periodically during therapy to monitor for possible liver function abnormalities.

Adverse Reactions (ADVERSE REACTIONS)

Body as a Whole

The reported incidence of allergic reactions to penicillin ranges from 0.7 to 10 percent (see WARNINGS ). Sensitization is usually the result of treatment but some individuals have had immediate reactions when first treated. In such cases, it is thought that the patients may have had prior exposure to the drug via trace amounts present in milk and vaccines.



Two types of allergic reactions to penicillins are noted clinically, immediate and delayed.



Immediate reactions usually occur within 20 minutes of administration and range in severity from urticaria and pruritus to angioneurotic edema, laryngospasm, bronchospasm, hypotension, vascular collapse and death. Such immediate anaphylactic reactions are very rare (see WARNINGS ) and usually occur after parenteral therapy but have occurred in patients receiving oral therapy. Another type of immediate reaction, an accelerated reaction, may occur between 20 minutes and 48 hours after administration and may include urticaria, pruritus, and fever. Although laryngeal edema, laryngospasm, and hypotension occasionally occur, fatality is uncommon.



Delayed allergic reactions to penicillin therapy usually occur after 48 hours and sometimes as late as 2 to 4 weeks after initiation of therapy.



Manifestations of this type of reaction include serum sickness-like symptoms (i.e., fever, malaise, urticaria, myalgia, arthralgia, abdominal pain) and various skin rashes. Nausea, vomiting, diarrhea, stomatitis, black or hairy tongue, and other symptoms of gastrointestinal irritation may occur, especially during oral penicillin therapy.



Nervous System Reactions



Neurotoxic reactions similar to those observed with penicillin G may occur with large intravenous doses of oxacillin, especially with patients with renal insufficiency.



Urogenital Reactions



Renal tubular damage and interstitial nephritis have been associated with the administration of oxacillin. Manifestations of this reaction may include rash, fever, eosinophilia, hematuria, proteinuria, and renal insufficiency. Nephropathy induced by penicillins does not appear to be dose-related and is generally reversible upon prompt discontinuation of therapy.



Gastrointestinal Reactions



Pseudomembranous colitis has been reported with the use of oxacillin. The onset of pseudomembranous colitis symptoms may occur during or after antibiotic treatment (see WARNINGS ).



Metabolic Reactions



Agranulocytosis, neutropenia, and bone marrow depression have been associated with the use of oxacillin. Hepatotoxicity, characterized by fever, nausea, and vomiting associated with abnormal liver function tests, mainly elevated SGOT levels, has been associated with the use of oxacillin.



To report SUSPECTED ADVERSE REACTIONS, contact FDA at 1-800-FDA-1088 or www.fda.gov/medwatch.

Contraindications (CONTRAINDICATIONS)

A history of a hypersensitivity (anaphylactic) reaction to any penicillin is a contraindication.

Drug Interactions

Tetracycline, a bacteriostatic antibiotic, may antagonize the bactericidal effect of penicillin and concurrent use of these drugs should be avoided.



Oxacillin blood levels may be increased and prolonged by concurrent administration of probenecid which blocks the renal tubular secretion of penicillins. Probenecid decreases the apparent volume of distribution and slows the rate of excretion by competitively inhibiting renal tubular secretion of penicillins.



Oxacillin-probenecid therapy should be limited to those infections where very high serum levels of oxacillin are necessary.

Directions for Use


For Administration by Intravenous Drip



Reconstitute as directed below ( Pharmacy Bulk Package ) prior to further dilution.



STABILITY PERIODS FOR OXACILLIN FOR INJECTION, USP
Concentration

mg/mL
Sterile

Water for

Injection
0.9% Sodium

chloride Injection, USP
M/6 Molar Sodium

Lactate Solution
5% Dextrose in water 5% Dextrose

in 0.45% sodium chloride
10% Invert

Sugar Injection, USP
Lactated

Ringer’s Solution
ROOM TEMPERATURE (25°C)

   10-100

4 Days

4 Days

 

 

 

 

 

   10-30

 

 

24 Hrs

 

24 Hrs

 

 

   0.5-2

 

 

 

6 Hrs

 

6 Hrs

6 Hrs

REFRIGERATION (4°C)

   10-100

7 Days

7 Days

 

 

 

 

 

   10-30

 

 

4 Days

4 Days

4 Days

4 Days

4 Days

FROZEN (-15°C)

   50-100

30 Days

 

 

 

 

 

 

   250/1.5 mL

30 Days

 

 

 

 

 

 

   100

 

30 Days

 

 

 

 

 

   10-100

 

 

30 Days

30 Days

30 Days

30 Days

30 Days

Teratogenic Effects

Reproduction studies performed in the mouse, rat, and rabbit have revealed no evidence of impaired fertility or harm to the fetus due to the penicillinase-resistant penicillins. Human experience with the penicillins during pregnancy has not shown any positive evidence of adverse effects on the fetus. There are, however, no adequate or well-controlled studies in pregnant women showing conclusively that harmful effects of these drugs on the fetus can be excluded. Because animal reproduction studies are not always predictive of human response, this drug should be used during pregnancy only if clearly needed.

Clinical Pharmacology (CLINICAL PHARMACOLOGY)

Intravenous administration provides peak serum levels approximately 5 minutes after the injection is completed. Slow I.V. administration of 500 mg gives a peak serum level of 43 mcg/mL after 5 minutes with a half-life of 20 to 30 minutes.



Oxacillin sodium, with normal doses, has insignificant concentrations in the cerebrospinal and ascitic fluids. It is found in therapeutic concentrations in the pleural, bile, and amniotic fluids.



Oxacillin Sodium is rapidly excreted as unchanged drug in the urine by glomerular filtration and active tubular secretion. The elimination half-life for oxacillin is about 0.5 hours. Nonrenal elimination includes hepatic inactivation and excretion in bile.



Oxacillin sodium binds to serum protein, mainly albumin. The degree of protein binding reported varies with the method of study and the investigator, but generally has been found to be 94.2 ± 2.1%.



Probenecid blocks the renal tubular secretion of penicillins. Therefore, the concurrent administration of probenecid prolongs the elimination of oxacillin and, consequently, increases the serum concentration.



Intravenous injection gives a peak about 5 minutes after the injection is completed. Slow I.V. dosing with 500 mg gives a 5 minute peak of 43 mcg/mL with a half-life of 20 to 30 minutes.

Indications and Usage (INDICATIONS AND USAGE)


Oxacillin is indicated in the treatment of infections caused by penicillinase producing staphylococci which have demonstrated susceptibility to the drug. Cultures and susceptibility tests should be performed initially to determine the causative organism and its susceptibility to the drug (See CLINICAL PHARMACOLOGY - Susceptibility Test Methods).



Oxacillin may be used to initiate therapy in suspected cases of resistant staphylococcal infections prior to the availability of susceptibility test results. Oxacillin should not be used in infections caused by organisms susceptible to penicillin G. If the susceptibility tests indicate that the infection is due to an organism other than a resistant Staphylococcus, therapy should not be continued with oxacillin.



To reduce the development of drug-resistant bacteria and maintain the effectiveness of Oxacillin for Injection, USP and other antibacterial drugs, Oxacillin for Injection, USP should be used only to treat or prevent infections that are proven or strongly suspected to be caused by susceptible bacteria. When culture and susceptibility information are available, they should be considered in selecting or modifying antibacterial therapy. In the absence of such data, local epidemiology and susceptibility patterns may contribute to the empiric selection of therapy.

Pharmacy Bulk Package


This glass Pharmacy Bulk Package bottle contains 10 grams oxacillin sodium and is designed for use in the pharmacy in preparing IV admixtures. Add 93 mL Sterile Water for Injection, USP or Sodium Chloride Injection, USP 0.9%. The resulting solution will contain 100 mg oxacillin per mL and will require further dilution.



CAUTION: NOT TO BE DISPENSED AS A UNIT.

Information for Patients


Patients should be counseled that antibacterial drugs including Oxacillin for Injection, USP should only be used to treat bacterial infections. They do not treat viral infections (e.g., the common cold). When Oxacillin for Injection, USP is prescribed to treat a bacterial infection, patients should be told that although it is common to feel better early in the course of therapy, the medication should be taken exactly as directed. Skipping doses or not completing the full course of therapy may: (1) decrease the effectiveness of the immediate treatment, and (2) increase the likelihood that bacteria will develop resistance and will not be treatable by Oxacillin for Injection, USP or other antibacterial drugs in the future.



Diarrhea is a common problem caused by antibiotics which usually ends when the antibiotic is discontinued. Sometimes after starting treatment with antibiotics, patients can develop watery and bloody stools (with or without stomach cramps and fever) even as late as two or more months after having taken the last dose of the antibiotic. If this occurs, patients should contact their physician as soon as possible.

Dosage and Administration (DOSAGE AND ADMINISTRATION)


The intent of the pharmacy bulk package for this product is for preparation of solutions for IV infusion only.





Bacteriologic studies to determine the causative organisms and their susceptibility to oxacillin should always be performed. Duration of therapy varies with the type of severity of infection as well as the overall condition of the patient; therefore, it should be determined by the clinical and bacteriological response of the patient. In severe staphylococcal infections, therapy with oxacillin should be continued for at least 14 days. Therapy should be continued for at least 48 hours after the patient has become afebrile, asymptomatic, and cultures are negative. Treatment of endocarditis and osteomyelitis may require a longer duration of therapy.



With intravenous administration, particularly in elderly patients, care should be taken because of the possibility of thrombophlebitis.



RECOMMENDED DOSAGES FOR OXACILLIN FOR INJECTION, USP 
Drug Adults Infants and Children

<40 kg (88 lbs)
Other

Recommendations
   Oxacillin

   250 to 500 mg IV

   every 4 to 6 hours (mild

   to moderate infections)

   50 mg/kg/day IV in

   equally divided doses every 6

   hours (mild to moderate infections)

 

   1 gram IV every 4

   to 6 hours (severe infections)

   100 mg/kg/day IV in

   equally divided doses every 4 to

   6 hours (severe infections)

   Premature and Neonates 25 mg/kg/day IV

Pharmacy Bulk Package Not for Direct Infusion (PHARMACY BULK PACKAGE - NOT FOR DIRECT INFUSION)




Rx only



To reduce the development of drug-resistant bacteria and maintain the effectiveness of Oxacillin for Injection, USP and other antibacterial drugs, Oxacillin for Injection, USP should be used only to treat or prevent infections that are proven or strongly suspected to be caused by bacteria.

Directions for Proper Use of Pharmacy Bulk Package

a.   The container closure may be penetrated only one time after reconstitution, utilizing a suitable sterile dispensing set which allows measured distribution of the contents.



b.   Use of this product is restricted to a suitable work area, such as a laminar flow hood.



c.   Once this container closure has been punctured, withdrawal of the contents should be completed without delay. If prompt fluid transfer cannot be accomplished, discard the contents no later than 4 hours after initial closure puncture. This time limit should begin with the introduction of solvent for diluent into the Pharmacy Bulk Package bottle.



Parenteral drug products should be inspected visually for particulate matter and discoloration prior to administration, whenever solution and container permit.



Do not add supplementary medication to Oxacillin for Injection, USP.

Carcinogenesis, Mutagenesis, Impairment of Fertility


No long-term animal studies have been conducted with these drugs. Studies on reproduction (nafcillin) in rats and rabbits reveal no fetal or maternal abnormalities before conception and continuously through weaning (one generation).

Package Label Principal Display Panel 10 Grams Pharmacy Bulk Package Label (PACKAGE LABEL-PRINCIPAL DISPLAY PANEL - 10 grams Pharmacy Bulk Package Label)


Rx only                                                   NDC 55150-129-99

Oxacillin,

 for Injection, USP

10 grams per

Pharmacy


Bulk Package 

PHARMACY BULK PACKAGE - 

NOT FOR DIRECT INFUSION

Sterile

Buffered - For Intravenous use*

eugia



Package Label Principal Display Panel 10 Grams Pharmacy Bulk Package Carton Label (PACKAGE LABEL-PRINCIPAL DISPLAY PANEL - 10 grams Pharmacy Bulk Package Carton Label)

Rx only                 NDC 55150-129-99

Oxacillin

for Injection, USP

10 grams per

Pharmacy

Bulk Package

PHARMACY BULK PACKAGE –

NOT FOR DIRECT INFUSION

Sterile

Buffered – For

Intravenous use*

One Pharmacy Bulk Package Bottle

eugia


Advanced Ingredient Data


Raw Label Data

All Sections (JSON)