These Highlights Do Not Include All The Information Needed To Use Rybrevant Safely And Effectively. See Full Prescribing Information For Rybrevant.

These Highlights Do Not Include All The Information Needed To Use Rybrevant Safely And Effectively. See Full Prescribing Information For Rybrevant.
SPL v15
SPL
SPL Set ID 1466c070-9f97-4fa4-a955-6a6b59981fb8
Route
INTRAVENOUS
Published
Effective Date 2025-11-11
Document Type 34391-3 HUMAN PRESCRIPTION DRUG LABEL

Drug Facts

Composition & Product

Active Ingredients
Amivantamab (350 mg)
Inactive Ingredients
Edetate Disodium Histidine Histidine Hydrochloride Monohydrate Methionine Polysorbate 20 Sucrose Water

Identifiers & Packaging

Pill Appearance
Color: yellow
Marketing Status
BLA Active Since 2021-05-21

Description

Dosage and Administration ( 2.5 ) 09/2025 Dosage and Administration ( 2.6 ) 11/2025 Dosage and Administration ( 2.8 ) 02/2025 Warnings and Precautions ( 5.1 ) 02/2025 Warnings and Precautions ( 5.4 ) 11/2025

Indications and Usage

RYBREVANT is a bispecific EGF receptor-directed and MET receptor-directed antibody indicated: in combination with lazertinib for the first-line treatment of adult patients with locally advanced or metastatic non-small cell lung cancer (NSCLC) with epidermal growth factor receptor (EGFR) exon 19 deletions or exon 21 L858R substitution mutations, as detected by an FDA-approved test. ( 1 , 2.2 ) in combination with carboplatin and pemetrexed for the treatment of adult patients with locally advanced or metastatic NSCLC with EGFR exon 19 deletions or exon 21 L858R substitution mutations, whose disease has progressed on or after treatment with an EGFR tyrosine kinase inhibitor. ( 1 , 2.2 ) in combination with carboplatin and pemetrexed for the first-line treatment of adult patients with locally advanced or metastatic NSCLC with EGFR exon 20 insertion mutations, as detected by an FDA-approved test. ( 1 , 2.2 ) as a single agent for the treatment of adult patients with locally advanced or metastatic NSCLC with EGFR exon 20 insertion mutations, as detected by an FDA-approved test, whose disease has progressed on or after platinum-based chemotherapy. ( 1 , 2.2 )

Dosage and Administration

The recommended dosage of RYBREVANT is based on baseline body weight and administered as an intravenous infusion after dilution. ( 2.3 , 2.4 ) Administer prophylactic and concomitant medications as recommended to reduce the risk of dermatologic adverse reactions. ( 2.6 ) Administer via a peripheral line on Week 1 and Week 2 to reduce the risk of infusion-related reactions. ( 2.10 ) Administer RYBREVANT in combination with lazertinib or RYBREVANT as a single agent weekly for 5 weeks, with the initial dose as a split infusion in Week 1 on Day 1 and Day 2, then administer every 2 weeks starting at Week 7. ( 2.3 ) Administer RYBREVANT in combination with chemotherapy weekly for 4 weeks, with the initial dose as a split infusion in Week 1 on Day 1 and Day 2, then administer every 3 weeks starting at Week 7. ( 2.4 ) When administering RYBREVANT in combination with lazertinib, administer anticoagulant prophylaxis to reduce the risk of venous thromboembolic (VTE) events for the first four months of treatment. ( 2.7 ) Administer diluted RYBREVANT intravenously according to the infusion rates in Tables 8 and 9. ( 2.9 , 2.10 ) Body Weight (at Baseline) Dosage Recommended Dose RYBREVANT in Combination with Lazertinib or RYBREVANT as a Single Agent Less than 80 kg Weeks 1–5 Week 7 onwards 1,050 mg Greater than or equal to 80 kg Weeks 1–5 Week 7 onwards 1,400 mg RYBREVANT in Combination with Carboplatin and Pemetrexed Less than 80 kg Weeks 1–4 1,400 mg Week 7 onwards 1,750 mg Greater than or equal to 80 kg Weeks 1–4 1,750 mg Week 7 onwards 2,100 mg

Warnings and Precautions

Infusion-Related Reactions (IRR) : Interrupt infusion at the first sign of IRRs. Reduce the infusion rate or permanently discontinue RYBREVANT based on severity. ( 2.5 , 2.8 , 5.1 ) Interstitial Lung Disease (ILD)/Pneumonitis : Monitor for new or worsening symptoms indicative of ILD. Immediately withhold RYBREVANT in patients with suspected ILD/pneumonitis and permanently discontinue if ILD/pneumonitis is confirmed. ( 2.8 , 5.2 ) Venous Thromboembolic (VTE) Events with Concomitant Use with Lazertinib: Prophylactic anticoagulation is recommended for the first four months of treatment. Monitor for signs and symptoms of VTE and treat as medically appropriate. Withhold RYBREVANT and lazertinib based on severity. Once anticoagulant treatment has been initiated, resume RYBREVANT and lazertinib at the same dose at the discretion of the healthcare provider. Permanently discontinue RYBREVANT and continue lazertinib for recurrent VTE despite therapeutic anticoagulation. ( 2.7 , 2.8 , 5.3 ) Dermatologic Adverse Reactions : Can cause severe rash including toxic epidermal necrolysis (TEN) and acneiform dermatitis. At treatment initiation, prophylactic and concomitant medications are recommended. Withhold, reduce the dose, or permanently discontinue RYBREVANT based on severity. ( 2.6 , 2.8 , 5.4 ) Ocular Toxicity : Promptly refer patients with worsening eye symptoms to an ophthalmologist. Withhold, reduce the dose, or permanently discontinue RYBREVANT based on severity. ( 2.8 , 5.5 ) Embryo-Fetal Toxicity : Can cause fetal harm. Advise females of reproductive potential of the potential risk to the fetus and to use effective contraception. ( 5.6 , 8.1 , 8.3 )

Contraindications

None.

Adverse Reactions

The recommended dose reductions for adverse reactions for RYBREVANT are listed in Table 6. Table 6: Dose Reductions for Adverse Reactions for RYBREVANT Dose at which the adverse reaction occurred 1 st Dose Reduction 2 nd Dose Reduction 3 rd Dose Reduction 1,050 mg 700 mg 350 mg Discontinue RYBREVANT 1,400 mg 1,050 mg 700 mg 1,750 mg 1,400 mg 1,050 mg 2,100 mg 1,750 mg 1,400 mg The recommended dosage modifications and management for adverse reactions for RYBREVANT are provided in Table 7. Table 7: Recommended Dosage Modifications and Management for Adverse Reactions for RYBREVANT Adverse Reaction Severity Dosage Modifications Infusion-related reactions (IRR) [see Warnings and Precautions (5.1) ] Grade 1 to 2 Interrupt RYBREVANT infusion if IRR is suspected and monitor patient until reaction symptoms resolve. Resume the infusion at 50% of the infusion rate at which the reaction occurred. If there are no additional symptoms after 30 minutes, the infusion rate may be escalated (see Tables 8 and 9 ). Include corticosteroid with premedications for subsequent dose (see Table 5 ). Grade 3 Interrupt RYBREVANT infusion and administer supportive care medications. Continuously monitor patient until reaction symptoms resolve. Resume the infusion at 50% of the infusion rate at which the reaction occurred. If there are no additional symptoms after 30 minutes, the infusion rate may be escalated (see Tables 8 and 9 ). Include corticosteroid with premedications for subsequent dose (see Table 5 ). For recurrent Grade 3, permanently discontinue RYBREVANT. Grade 4 or any Grade anaphylaxis / anaphylactic reactions Permanently discontinue RYBREVANT. Interstitial Lung Disease (ILD)/pneumonitis [see Warnings and Precautions (5.2) ] Any Grade Withhold RYBREVANT if ILD/pneumonitis is suspected. Permanently discontinue RYBREVANT if ILD/pneumonitis is confirmed. Venous Thromboembolic (VTE) Events [Applies to the combination with lazertinib, see Warnings and Precautions (5.3) ] Grade 2 or 3 Withhold RYBREVANT and lazertinib. Administer anticoagulant treatment as clinically indicated. Once anticoagulant treatment has been initiated, resume RYBREVANT and lazertinib at the same dose level, at the discretion of the healthcare provider. Grade 4 or recurrent Grade 2 or 3 despite therapeutic level anticoagulation Withhold lazertinib and permanently discontinue RYBREVANT. Administer anticoagulant treatment as clinically indicated. Once anticoagulant treatment has been initiated, treatment can continue with lazertinib at the same dose level at the discretion of the healthcare provider. Dermatologic Adverse Reactions (including dermatitis acneiform, pruritus, dry skin) [see Warnings and Precautions (5.4) ] Grade 1 or Grade 2 Initiate supportive care management as clinically indicated. Reassess after 2 weeks; if rash does not improve, consider dose reduction. Grade 3 Withhold RYBREVANT and initiate supportive care management as clinically indicated. Upon recovery to ≤ Grade 2, resume RYBREVANT at reduced dose. If no improvement within 2 weeks, permanently discontinue treatment. Grade 4 or Severe bullous, blistering or exfoliating skin conditions (including toxic epidermal necrolysis (TEN)) Permanently discontinue RYBREVANT. Other Adverse Reactions [see Adverse Reactions (6.1) ] Grade 3 Withhold RYBREVANT until recovery to ≤ Grade 1 or baseline. Resume at the same dose if recovery occurs within 1 week. Resume at reduced dose if recovery occurs after 1 week but within 4 weeks. Permanently discontinue if recovery does not occur within 4 weeks. Grade 4 Withhold RYBREVANT until recovery to ≤ Grade 1 or baseline. Resume at reduced dose if recovery occurs within 4 weeks. Permanently discontinue if recovery does not occur within 4 weeks. Permanently discontinue for recurrent Grade 4 reactions.


Medication Information

Warnings and Precautions

Infusion-Related Reactions (IRR) : Interrupt infusion at the first sign of IRRs. Reduce the infusion rate or permanently discontinue RYBREVANT based on severity. ( 2.5 , 2.8 , 5.1 ) Interstitial Lung Disease (ILD)/Pneumonitis : Monitor for new or worsening symptoms indicative of ILD. Immediately withhold RYBREVANT in patients with suspected ILD/pneumonitis and permanently discontinue if ILD/pneumonitis is confirmed. ( 2.8 , 5.2 ) Venous Thromboembolic (VTE) Events with Concomitant Use with Lazertinib: Prophylactic anticoagulation is recommended for the first four months of treatment. Monitor for signs and symptoms of VTE and treat as medically appropriate. Withhold RYBREVANT and lazertinib based on severity. Once anticoagulant treatment has been initiated, resume RYBREVANT and lazertinib at the same dose at the discretion of the healthcare provider. Permanently discontinue RYBREVANT and continue lazertinib for recurrent VTE despite therapeutic anticoagulation. ( 2.7 , 2.8 , 5.3 ) Dermatologic Adverse Reactions : Can cause severe rash including toxic epidermal necrolysis (TEN) and acneiform dermatitis. At treatment initiation, prophylactic and concomitant medications are recommended. Withhold, reduce the dose, or permanently discontinue RYBREVANT based on severity. ( 2.6 , 2.8 , 5.4 ) Ocular Toxicity : Promptly refer patients with worsening eye symptoms to an ophthalmologist. Withhold, reduce the dose, or permanently discontinue RYBREVANT based on severity. ( 2.8 , 5.5 ) Embryo-Fetal Toxicity : Can cause fetal harm. Advise females of reproductive potential of the potential risk to the fetus and to use effective contraception. ( 5.6 , 8.1 , 8.3 )

Indications and Usage

RYBREVANT is a bispecific EGF receptor-directed and MET receptor-directed antibody indicated: in combination with lazertinib for the first-line treatment of adult patients with locally advanced or metastatic non-small cell lung cancer (NSCLC) with epidermal growth factor receptor (EGFR) exon 19 deletions or exon 21 L858R substitution mutations, as detected by an FDA-approved test. ( 1 , 2.2 ) in combination with carboplatin and pemetrexed for the treatment of adult patients with locally advanced or metastatic NSCLC with EGFR exon 19 deletions or exon 21 L858R substitution mutations, whose disease has progressed on or after treatment with an EGFR tyrosine kinase inhibitor. ( 1 , 2.2 ) in combination with carboplatin and pemetrexed for the first-line treatment of adult patients with locally advanced or metastatic NSCLC with EGFR exon 20 insertion mutations, as detected by an FDA-approved test. ( 1 , 2.2 ) as a single agent for the treatment of adult patients with locally advanced or metastatic NSCLC with EGFR exon 20 insertion mutations, as detected by an FDA-approved test, whose disease has progressed on or after platinum-based chemotherapy. ( 1 , 2.2 )

Dosage and Administration

The recommended dosage of RYBREVANT is based on baseline body weight and administered as an intravenous infusion after dilution. ( 2.3 , 2.4 ) Administer prophylactic and concomitant medications as recommended to reduce the risk of dermatologic adverse reactions. ( 2.6 ) Administer via a peripheral line on Week 1 and Week 2 to reduce the risk of infusion-related reactions. ( 2.10 ) Administer RYBREVANT in combination with lazertinib or RYBREVANT as a single agent weekly for 5 weeks, with the initial dose as a split infusion in Week 1 on Day 1 and Day 2, then administer every 2 weeks starting at Week 7. ( 2.3 ) Administer RYBREVANT in combination with chemotherapy weekly for 4 weeks, with the initial dose as a split infusion in Week 1 on Day 1 and Day 2, then administer every 3 weeks starting at Week 7. ( 2.4 ) When administering RYBREVANT in combination with lazertinib, administer anticoagulant prophylaxis to reduce the risk of venous thromboembolic (VTE) events for the first four months of treatment. ( 2.7 ) Administer diluted RYBREVANT intravenously according to the infusion rates in Tables 8 and 9. ( 2.9 , 2.10 ) Body Weight (at Baseline) Dosage Recommended Dose RYBREVANT in Combination with Lazertinib or RYBREVANT as a Single Agent Less than 80 kg Weeks 1–5 Week 7 onwards 1,050 mg Greater than or equal to 80 kg Weeks 1–5 Week 7 onwards 1,400 mg RYBREVANT in Combination with Carboplatin and Pemetrexed Less than 80 kg Weeks 1–4 1,400 mg Week 7 onwards 1,750 mg Greater than or equal to 80 kg Weeks 1–4 1,750 mg Week 7 onwards 2,100 mg

Contraindications

None.

Adverse Reactions

The recommended dose reductions for adverse reactions for RYBREVANT are listed in Table 6. Table 6: Dose Reductions for Adverse Reactions for RYBREVANT Dose at which the adverse reaction occurred 1 st Dose Reduction 2 nd Dose Reduction 3 rd Dose Reduction 1,050 mg 700 mg 350 mg Discontinue RYBREVANT 1,400 mg 1,050 mg 700 mg 1,750 mg 1,400 mg 1,050 mg 2,100 mg 1,750 mg 1,400 mg The recommended dosage modifications and management for adverse reactions for RYBREVANT are provided in Table 7. Table 7: Recommended Dosage Modifications and Management for Adverse Reactions for RYBREVANT Adverse Reaction Severity Dosage Modifications Infusion-related reactions (IRR) [see Warnings and Precautions (5.1) ] Grade 1 to 2 Interrupt RYBREVANT infusion if IRR is suspected and monitor patient until reaction symptoms resolve. Resume the infusion at 50% of the infusion rate at which the reaction occurred. If there are no additional symptoms after 30 minutes, the infusion rate may be escalated (see Tables 8 and 9 ). Include corticosteroid with premedications for subsequent dose (see Table 5 ). Grade 3 Interrupt RYBREVANT infusion and administer supportive care medications. Continuously monitor patient until reaction symptoms resolve. Resume the infusion at 50% of the infusion rate at which the reaction occurred. If there are no additional symptoms after 30 minutes, the infusion rate may be escalated (see Tables 8 and 9 ). Include corticosteroid with premedications for subsequent dose (see Table 5 ). For recurrent Grade 3, permanently discontinue RYBREVANT. Grade 4 or any Grade anaphylaxis / anaphylactic reactions Permanently discontinue RYBREVANT. Interstitial Lung Disease (ILD)/pneumonitis [see Warnings and Precautions (5.2) ] Any Grade Withhold RYBREVANT if ILD/pneumonitis is suspected. Permanently discontinue RYBREVANT if ILD/pneumonitis is confirmed. Venous Thromboembolic (VTE) Events [Applies to the combination with lazertinib, see Warnings and Precautions (5.3) ] Grade 2 or 3 Withhold RYBREVANT and lazertinib. Administer anticoagulant treatment as clinically indicated. Once anticoagulant treatment has been initiated, resume RYBREVANT and lazertinib at the same dose level, at the discretion of the healthcare provider. Grade 4 or recurrent Grade 2 or 3 despite therapeutic level anticoagulation Withhold lazertinib and permanently discontinue RYBREVANT. Administer anticoagulant treatment as clinically indicated. Once anticoagulant treatment has been initiated, treatment can continue with lazertinib at the same dose level at the discretion of the healthcare provider. Dermatologic Adverse Reactions (including dermatitis acneiform, pruritus, dry skin) [see Warnings and Precautions (5.4) ] Grade 1 or Grade 2 Initiate supportive care management as clinically indicated. Reassess after 2 weeks; if rash does not improve, consider dose reduction. Grade 3 Withhold RYBREVANT and initiate supportive care management as clinically indicated. Upon recovery to ≤ Grade 2, resume RYBREVANT at reduced dose. If no improvement within 2 weeks, permanently discontinue treatment. Grade 4 or Severe bullous, blistering or exfoliating skin conditions (including toxic epidermal necrolysis (TEN)) Permanently discontinue RYBREVANT. Other Adverse Reactions [see Adverse Reactions (6.1) ] Grade 3 Withhold RYBREVANT until recovery to ≤ Grade 1 or baseline. Resume at the same dose if recovery occurs within 1 week. Resume at reduced dose if recovery occurs after 1 week but within 4 weeks. Permanently discontinue if recovery does not occur within 4 weeks. Grade 4 Withhold RYBREVANT until recovery to ≤ Grade 1 or baseline. Resume at reduced dose if recovery occurs within 4 weeks. Permanently discontinue if recovery does not occur within 4 weeks. Permanently discontinue for recurrent Grade 4 reactions.

Description

Dosage and Administration ( 2.5 ) 09/2025 Dosage and Administration ( 2.6 ) 11/2025 Dosage and Administration ( 2.8 ) 02/2025 Warnings and Precautions ( 5.1 ) 02/2025 Warnings and Precautions ( 5.4 ) 11/2025

Section 42229-5

RYBREVANT in Combination with Lazertinib

Section 42230-3
PATIENT INFORMATION

RYBREVANT® (RYE–breh–vant)

(amivantamab-vmjw)

injection, for intravenous use
This Patient Information has been approved by the U.S. Food and Drug Administration. Revised: 11/2025
What is RYBREVANT?

RYBREVANT is a prescription medicine used to treat adults with non-small cell lung cancer (NSCLC) that has spread to other parts of the body (metastatic) or cannot be removed by surgery, and has certain abnormal epidermal growth factor receptor (EGFR) gene(s):
  • in combination with lazertinib as a first-line treatment for non-small cell lung cancer (NSCLC)
  • in combination with carboplatin and pemetrexed as a second-line treatment for NSCLC in patients whose disease has worsened on or after treatment with an EGFR tyrosine kinase inhibitor (TKI)
  • in combination with carboplatin and pemetrexed as a first-line treatment for NSCLC
  • alone for the treatment of NSCLC whose disease has worsened on or after platinum-based chemotherapy.
Your healthcare provider will perform a test to make sure that RYBREVANT is right for you.

It is not known if RYBREVANT is safe and effective in children.
Before you receive RYBREVANT, tell your healthcare provider about all of your medical conditions, including if you:
  • have a history of lung or breathing problems
  • are pregnant or plan to become pregnant. RYBREVANT can harm your unborn baby.

    Females who are able to become pregnant:
    • Your healthcare provider should do a pregnancy test before you start treatment with RYBREVANT.
    • You should use effective birth control (contraception) during treatment and for 3 months after your last dose of RYBREVANT.
    • Tell your healthcare provider right away if you become pregnant or think you might be pregnant during treatment with RYBREVANT.
  • are breastfeeding or plan to breastfeed. It is not known if RYBREVANT passes into your breast milk. Do not breastfeed during treatment and for 3 months after your last dose of RYBREVANT.
Tell your healthcare provider about all the medicines you take,including prescription and over-the-counter medicines, vitamins, and herbal supplements.
How will I receive RYBREVANT?
  • RYBREVANT will be given to you by your healthcare provider by intravenous infusion into your vein.
  • Your healthcare provider will decide the time between doses as well as how many treatments you will receive.
  • Your healthcare provider will give you medicines before each dose of RYBREVANT to help reduce the risk of infusion-related reactions.
  • Your healthcare provider may give you medicines in addition to RYBREVANT to reduce the risk and severity of skin and nail reactions.
  • RYBREVANT may be given in combination with the medicines carboplatin and pemetrexed. If you have any questions about these medicines, ask your healthcare provider.
  • If your treatment with RYBREVANT is given in combination with the medicine lazertinib, you should take your dose of lazertinib by mouth anytime before your infusion with RYBREVANT.
  • If you miss any appointments, call your healthcare provider as soon as possible to reschedule your appointment.

What should I avoid while receiving RYBREVANT?

RYBREVANT can cause skin reactions. You should limit your time in the sun during and for 2 months after your treatment with RYBREVANT. Wear protective clothing and use broad-spectrum UVA/UVB sunscreen during treatment with RYBREVANT.
What are the possible side effects of RYBREVANT?

RYBREVANT may cause serious side effects, including:
  • infusion-related reactions. Infusion-related reactions are common but can be severe or serious and can include life-threatening (anaphylaxis) allergic reaction. Tell your healthcare provider right away if you get any of the following symptoms during your infusion of RYBREVANT:
  • shortness of breath, difficulty breathing, or wheezing
  • chest discomfort
  • swelling of your eyes, lips, or tongue
  • fever
  • chills
  • numbness of the tongue, lips, cheeks, or gums
  • flushing
  • skin rash, hives, or itching
  • nausea or vomiting
  • stomach cramps
  • lightheadedness, dizziness, or fainting
  • headache
  • lung problems. RYBREVANT may cause lung problems that may lead to death. Symptoms may be similar to those symptoms from lung cancer. Tell your healthcare provider right away if you get any new or worsening lung symptoms, including shortness of breath, cough, or fever.
  • blood clot problems. Blood clots are a serious, but common side effect of RYBREVANT, when given together with another drug called lazertinib, may cause blood clots in the veins of your legs (deep vein thrombosis) or lungs (pulmonary embolism) that may lead to death. Your healthcare provider will start you on medicine to reduce the risk of blood clots for the first 4 months of treatment. Tell your healthcare provider right away if you have any signs and symptoms of blood clots, including swelling, pain or tenderness in the leg, sudden unexplained chest pain, or shortness of breath.
  • skin problems. RYBREVANT can cause severe rash; including blisters, peeling, skin pain and sores, redness, raised acne-like bumps, itching, and dry skin. Tell your healthcare provider right away if you get any skin reactions. Your healthcare provider may start you on an antibiotic for the first 3 months of treatment followed by an antibiotic lotion for your scalp for the next 9 months. During treatment with RYBREVANT, you should apply a non-comedogenic (does not clog pores) skin moisturizer (ceramide-based or other types of moisturizers that provide long-lasting skin hydration and does not include drying ingredients) on your face and whole body (except scalp) and wash your hands and feet every day with 4% chlorhexidine solution. Your healthcare provider may treat you with a medicine(s) or send you to see a skin specialist (dermatologist) if you get skin reactions during treatment with RYBREVANT. See " What should I avoid while receiving RYBREVANT? "
  • eye problems. RYBREVANT may cause eye problems. Tell your healthcare provider right away if you get symptoms of eye problems which may include:
  • eye pain
  • inflammation of eye lids
  • dry eyes
  • eye redness
  • blurred vision
  • changes in vision
  • itchy eyes
  • excessive tearing
  • sensitivity to light
Your healthcare provider may send you to see an eye specialist (ophthalmologist) if you get new or worsening eye problems during treatment with RYBREVANT. You should not use contact lenses until your eye symptoms are checked by a healthcare provider.
The most common side effects of RYBREVANT when given in combination with lazertinib include:
  • rash
  • infected skin around the nail
  • muscle and joint pain
  • sores in the mouth
  • swelling of hands, ankles, feet, face, or all of your body
  • unusual feeling in the skin (such as tingling or a crawling feeling)
  • feeling very tired
  • diarrhea
  • constipation
  • COVID-19
  • dry skin
  • bleeding
  • decreased appetite
  • itchy skin
  • nausea
  • changes in certain blood tests
The most common side effects of RYBREVANT when given in combination with carboplatin and pemetrexed include:
  • rash
  • infected skin around the nail
  • feeling very tired
  • nausea
  • sores in the mouth
  • constipation
  • swelling of hands, ankles, feet, face, or all of your body
  • decreased appetite
  • muscle and joint pain
  • vomiting
  • COVID-19
  • changes in certain blood tests
The most common side effects of RYBREVANT when given alone:
  • rash
  • infected skin around the nail
  • muscle and joint pain
  • shortness of breath
  • nausea
  • feeling very tired
  • swelling of hands, ankles, feet, face, or all of your body
  • sores in the mouth
  • cough
  • constipation
  • vomiting
  • changes in certain blood tests
Your healthcare provider may temporarily stop, decrease your dose, or completely stop your treatment with RYBREVANT if you have serious side effects.

These are not all of the possible side effects of RYBREVANT.

Call your doctor for medical advice about side effects. You may report side effects to FDA at 1-800-FDA-1088.
General information about safe and effective use of RYBREVANT

Medicines are sometimes prescribed for purposes other than those listed in a Patient Information leaflet. You can ask your healthcare provider or pharmacist for information about RYBREVANT that is written for health professionals.
What are the ingredients of RYBREVANT?

Active ingredient: amivantamab-vmjw

Inactive ingredients: EDTA disodium salt dihydrate, L-histidine, L-histidine hydrochloride monohydrate, L-methionine, polysorbate 80, sucrose, and water for injection.

Product of Ireland

Manufactured by: Janssen Biotech, Inc., Horsham, PA 19044, USA. U.S. License Number 1864

For patent information: www.janssenpatents.com

© Johnson & Johnson and its affiliates 2021-2025

For more information, call 1-800-526-7736 or go to www.RYBREVANT.com.
Section 43683-2
Dosage and Administration (2.5) 09/2025
Dosage and Administration (2.6) 11/2025
Dosage and Administration (2.8) 02/2025
Warnings and Precautions (5.1) 02/2025
Warnings and Precautions (5.4) 11/2025
Section 44425-7

Storage and Handling

Store in a refrigerator at 2°C to 8°C (36°F to 46°F) in original carton to protect from light. Do not freeze.

11 Description

Amivantamab-vmjw is a low-fucose human immunoglobulin G1-based bispecific antibody directed against the EGF and MET receptors, produced by mammalian cell line (Chinese Hamster Ovary [CHO]) using recombinant DNA technology that has a molecular weight of approximately 148 kDa. RYBREVANT® (amivantamab-vmjw) injection for intravenous infusion is a sterile, preservative-free, colorless to pale yellow solution in single-dose vials. The pH is 5.7.

Each RYBREVANT vial contains 350 mg (50 mg/mL) amivantamab-vmjw, EDTA disodium salt dihydrate (0.14 mg), L-histidine (2.3 mg), L-histidine hydrochloride monohydrate (8.6 mg), L-methionine (7 mg), polysorbate 80 (4.2 mg), sucrose (595 mg), and water for injection, USP.

2.9 Preparation

Dilute and prepare RYBREVANT for intravenous infusion before administration.

  • Check that the RYBREVANT solution is colorless to pale yellow. Parenteral drug products should be inspected visually for particulate matter and discoloration prior to administration, whenever solution and container permit. Do not use if discoloration or visible particles are present.
  • Determine the dose required and number of RYBREVANT vials needed based on patient's baseline weight [see Dosage and Administration (2.3, 2.4)] . Each vial of RYBREVANT contains 350 mg of amivantamab-vmjw.
  • Withdraw and then discard a volume of either 5% Dextrose Injection or 0.9% Sodium Chloride Injection from the 250 mL infusion bag equal to the volume of RYBREVANT to be added (i.e., discard 7 mL diluent from the infusion bag for each RYBREVANT vial). Only use infusion bags made of polyvinylchloride (PVC), polypropylene (PP), polyethylene (PE), or polyolefin blend (PP+PE).
  • Withdraw 7 mL of RYBREVANT from each vial and add it to the infusion bag. The final volume in the infusion bag should be 250 mL. Discard any unused portion left in the vial.
  • Gently invert the bag to mix the solution. Do not shake.
  • Diluted solutions should be administered within 10 hours (including infusion time) at room temperature 15°C to 25°C (59°F to 77°F).
8.4 Pediatric Use

The safety and efficacy of RYBREVANT have not been established in pediatric patients.

8.5 Geriatric Use
  • Of the 421 patients with locally advanced or metastatic NSCLC treated with RYBREVANT in combination with lazertinib in the MARIPOSA study, 45% were ≥ 65 years of age and 12% were ≥ 75 years of age.
  • Of the 130 patients with locally advanced or metastatic NSCLC treated with RYBREVANT in combination with carboplatin and pemetrexed in the MARIPOSA-2 study, 40% were ≥ 65 years of age and 10% were ≥ 75 years of age.
  • Of the 151 patients with locally advanced or metastatic NSCLC treated with RYBREVANT in combination with carboplatin and pemetrexed in the PAPILLON study, 37% were ≥ 65 years of age and 8% were ≥ 75 years of age.
  • Of the 302 patients with locally advanced or metastatic NSCLC treated with RYBREVANT as a single agent in the CHRYSALIS study, 39% were ≥ 65 years of age and 11% were ≥ 75 years of age.

No clinically important differences in safety or efficacy were observed between patients who were ≥ 65 years of age and younger patients.

12.6 Immunogenicity

The observed incidence of anti-drug antibodies is highly dependent on the sensitivity and specificity of the assay. Differences in assay methods preclude meaningful comparisons of the incidence of anti-drug antibodies (ADA) in the studies described below with the incidence of anti-drug antibodies in other studies, including those of amivantamab-vmjw or amivantamab products.

During treatment in studies CHRYSALIS, CHRYSALIS-2, PAPILLON, MARIPOSA, and MARIPOSA-2 (up to 39 months), 4 of the 1,862 (0.2%) patients who received RYBREVANT as a single agent or in combination developed a treatment-emergent anti-amivantamab-vmjw antibodies. Given the low occurrence of anti-drug antibodies, the effect of these antibodies on the pharmacokinetics, safety or efficacy of RYBREVANT is unknown.

2.10 Administration
  • Administer the diluted RYBREVANT solution [see Dosage and Administration (2.9)] by intravenous infusion using an infusion set fitted with a flow regulator and with an in-line, sterile, non-pyrogenic, low protein-binding polyethersulfone (PES) filter (pore size 0.2 micrometer).
  • Administration sets must be made of either polyurethane (PU), polybutadiene (PBD), PVC, PP, or PE.
  • The administration set with filter, must be primed with either 5% Dextrose Injection or 0.9% Sodium Chloride Injection prior to the initiation of each RYBREVANT infusion.
  • Do not infuse RYBREVANT concomitantly in the same intravenous line with other agents.
4 Contraindications

None.

5.5 Ocular Toxicity

RYBREVANT can cause ocular toxicity including keratitis, blepharitis, dry eye symptoms, conjunctival redness, blurred vision, visual impairment, ocular itching, eye pruritus, and uveitis.

6 Adverse Reactions

The following adverse reactions are discussed elsewhere in the labeling:

12.2 Pharmacodynamics

The exposure-response relationship and time-course of pharmacodynamic response of amivantamab-vmjw have not been fully characterized in patients with NSCLC with EGFR mutations.

12.3 Pharmacokinetics

Amivantamab-vmjw exposures increased proportionally over a dosage range from 350 to 1,750 mg (0.33 to 1.7 times the lowest approved recommended dosage) when RYBREVANT was administered as a single agent. Steady-state concentrations of RYBREVANT were reached by week 13 for both the 3-week and 2-week dosing regimen and the systemic accumulation was 1.9-fold.

2.2 Patient Selection

Select patients for treatment with RYBREVANT based on the presence of a mutation as detected by an FDA-approved test.

Table 1: Patient Selection
Indication Treatment Regimen Source for Testing
Information on FDA approved tests is available at: http://www.fda.gov/CompanionDiagnostics.
First-Line Treatment of NSCLC with EGFR Exon 19 Deletions or Exon 21 L858R Substitution Mutations [see Indications and Usage (1.1)] RYBREVANT in combination with lazertinib
  • Tumor or plasma specimens.
  • Testing may be performed at any time from initial diagnosis.
  • Testing does not need to be repeated once EGFR mutation status has been established.
Previously treated locally advanced or metastatic NSCLC with EGFR Exon 19 deletions or Exon 21 L858R substitution mutations (progressive disease on an EGFR tyrosine kinase inhibitor) [see Indications and Usage (1.2)] RYBREVANT in combination with carboplatin and pemetrexed
First-Line Treatment of NSCLC with EGFR Exon 20 Insertion Mutations [see Indications and Usage (1.3)] RYBREVANT in combination with carboplatin and pemetrexed
Previously Treated NSCLC with EGFR Exon 20 Insertion Mutations [see Indications and Usage (1.4)] RYBREVANT as a single agent
1 Indications and Usage

RYBREVANT is a bispecific EGF receptor-directed and MET receptor-directed antibody indicated:

  • in combination with lazertinib for the first-line treatment of adult patients with locally advanced or metastatic non-small cell lung cancer (NSCLC) with epidermal growth factor receptor (EGFR) exon 19 deletions or exon 21 L858R substitution mutations, as detected by an FDA-approved test. ( 1, 2.2)
  • in combination with carboplatin and pemetrexed for the treatment of adult patients with locally advanced or metastatic NSCLC with EGFR exon 19 deletions or exon 21 L858R substitution mutations, whose disease has progressed on or after treatment with an EGFR tyrosine kinase inhibitor. ( 1, 2.2)
  • in combination with carboplatin and pemetrexed for the first-line treatment of adult patients with locally advanced or metastatic NSCLC with EGFR exon 20 insertion mutations, as detected by an FDA-approved test. ( 1, 2.2)
  • as a single agent for the treatment of adult patients with locally advanced or metastatic NSCLC with EGFR exon 20 insertion mutations, as detected by an FDA-approved test, whose disease has progressed on or after platinum-based chemotherapy. ( 1, 2.2)
12.1 Mechanism of Action

Amivantamab-vmjw is a bispecific antibody that binds to the extracellular domains of EGFR and MET.

In in vitro and in vivo studies amivantamab-vmjw was able to disrupt EGFR and MET signaling functions in mutation models of exon 19 deletions, exon 21 L858R substitutions, and exon 20 insertions through blocking ligand binding or degradation of EGFR and MET. The presence of EGFR and MET on the surface of tumor cells also allows for targeting of these cells for destruction by immune effector cells, such as natural killer cells and macrophages, through antibody-dependent cellular cytotoxicity (ADCC) and trogocytosis mechanisms, respectively. Treatment with amivantamab in combination with lazertinib increased in vivo anti-tumor activity compared to either agent alone in a mouse xenograft model of human NSCLC with an EGFR L858R mutation.

5.6 Embryo Fetal Toxicity

Based on its mechanism of action and findings from animal models, RYBREVANT can cause fetal harm when administered to a pregnant woman. Administration of other EGFR inhibitor molecules to pregnant animals has resulted in an increased incidence of impairment of embryo-fetal development, embryo lethality, and abortion. Advise females of reproductive potential of the potential risk to the fetus. Advise female patients of reproductive potential to use effective contraception during treatment and for 3 months after the last dose of RYBREVANT. [see Use in Specific Populations (8.1, 8.3)] .

5 Warnings and Precautions
  • Infusion-Related Reactions (IRR): Interrupt infusion at the first sign of IRRs. Reduce the infusion rate or permanently discontinue RYBREVANT based on severity. ( 2.5, 2.8, 5.1)
  • Interstitial Lung Disease (ILD)/Pneumonitis: Monitor for new or worsening symptoms indicative of ILD. Immediately withhold RYBREVANT in patients with suspected ILD/pneumonitis and permanently discontinue if ILD/pneumonitis is confirmed. ( 2.8, 5.2)
  • Venous Thromboembolic (VTE) Events with Concomitant Use with Lazertinib: Prophylactic anticoagulation is recommended for the first four months of treatment. Monitor for signs and symptoms of VTE and treat as medically appropriate. Withhold RYBREVANT and lazertinib based on severity. Once anticoagulant treatment has been initiated, resume RYBREVANT and lazertinib at the same dose at the discretion of the healthcare provider. Permanently discontinue RYBREVANT and continue lazertinib for recurrent VTE despite therapeutic anticoagulation. ( 2.7, 2.8, 5.3)
  • Dermatologic Adverse Reactions: Can cause severe rash including toxic epidermal necrolysis (TEN) and acneiform dermatitis. At treatment initiation, prophylactic and concomitant medications are recommended. Withhold, reduce the dose, or permanently discontinue RYBREVANT based on severity. ( 2.6, 2.8, 5.4)
  • Ocular Toxicity: Promptly refer patients with worsening eye symptoms to an ophthalmologist. Withhold, reduce the dose, or permanently discontinue RYBREVANT based on severity. ( 2.8, 5.5)
  • Embryo-Fetal Toxicity: Can cause fetal harm. Advise females of reproductive potential of the potential risk to the fetus and to use effective contraception. ( 5.6, 8.1, 8.3)
2 Dosage and Administration
  • The recommended dosage of RYBREVANT is based on baseline body weight and administered as an intravenous infusion after dilution. ( 2.3, 2.4)
  • Administer prophylactic and concomitant medications as recommended to reduce the risk of dermatologic adverse reactions. ( 2.6)
  • Administer via a peripheral line on Week 1 and Week 2 to reduce the risk of infusion-related reactions. ( 2.10)
  • Administer RYBREVANT in combination with lazertinib or RYBREVANT as a single agent weekly for 5 weeks, with the initial dose as a split infusion in Week 1 on Day 1 and Day 2, then administer every 2 weeks starting at Week 7. ( 2.3)
  • Administer RYBREVANT in combination with chemotherapy weekly for 4 weeks, with the initial dose as a split infusion in Week 1 on Day 1 and Day 2, then administer every 3 weeks starting at Week 7. (2.4)
  • When administering RYBREVANT in combination with lazertinib, administer anticoagulant prophylaxis to reduce the risk of venous thromboembolic (VTE) events for the first four months of treatment. ( 2.7)
  • Administer diluted RYBREVANT intravenously according to the infusion rates in Tables 8 and 9. ( 2.9, 2.10)
Body Weight (at Baseline) Dosage Recommended Dose
RYBREVANT in Combination with Lazertinib or RYBREVANT as a Single Agent
Less than 80 kg Weeks 1–5

Week 7 onwards
1,050 mg
Greater than or equal to 80 kg Weeks 1–5

Week 7 onwards
1,400 mg
RYBREVANT in Combination with Carboplatin and Pemetrexed
Less than 80 kg Weeks 1–4 1,400 mg
Week 7 onwards

1,750 mg

Greater than or equal to 80 kg Weeks 1–4 1,750 mg
Week 7 onwards

2,100 mg

3 Dosage Forms and Strengths

Injection: 350 mg/7 mL (50 mg/mL) colorless to pale yellow solution in a single-dose vial.

6.2 Postmarketing Experience

The following adverse reactions associated with the use of RYBREVANT were identified in clinical studies or postmarketing reports. Because some of these reactions were reported voluntarily from a population of uncertain size, it is not always possible to reliably estimate their frequency or establish a causal relationship to drug exposure.

Immune system disorders: Infusion-related reactions, including anaphylaxis/anaphylactic reactions

8 Use in Specific Populations

Lactation: Advise not to breastfeed. ( 8.2)

5.1 Infusion Related Reactions

RYBREVANT can cause infusion-related reactions (IRR) including anaphylaxis; signs and symptoms of IRR include dyspnea, flushing, fever, chills, nausea, chest discomfort, hypotension, and vomiting. The median time to IRR onset is approximately 1 hour.

6.1 Clinical Trials Experience

Because clinical trials are conducted under widely varying conditions, adverse reaction rates observed in the clinical trials of a drug cannot be directly compared to rates in the clinical trials of another drug and may not reflect the rates observed in practice.

2.1 Important Dosage Information
  • To reduce the risk of infusion-related reactions, administer premedications before each RYBREVANT infusion as recommended [see Dosage and Administration (2.5)].
  • To reduce the risk of infusion-related reactions, administer RYBREVANT via peripheral line for Week 1 Day 1 and 2 and Week 2 [see Dosage and Administration (2.10)].
  • To reduce the risk and severity of dermatologic adverse reactions with RYBREVANT, prophylactic and concomitant medications are recommended [see Dosage and Administration (2.6)].
  • To reduce the risk of venous thromboembolic (VTE) events when administering RYBREVANT in combination with lazertinib, administer anticoagulant prophylaxis for the first four months of treatment [see Dosage and Administration (2.7)].
  • Administer diluted RYBREVANT intravenously according to the infusion rates in Tables 8 and 9, with the initial dose as a split infusion on Week 1 on Day 1 and Day 2 [see Dosage and Administration (2.10)].
  • When administering RYBREVANT in combination with lazertinib, administer lazertinib orally any time before the RYBREVANT infusion [see Dosage and Administration (2.10)].
  • When administering RYBREVANT in combination with carboplatin and pemetrexed, infuse pemetrexed first, carboplatin second, and RYBREVANT last [see Dosage and Administration (2.10)].
17 Patient Counseling Information

Advise the patient to read the FDA-approved patient labeling (Patient Information).

5.4 Dermatologic Adverse Reactions

RYBREVANT can cause severe rash including toxic epidermal necrolysis (TEN), dermatitis acneiform, pruritus, and dry skin.

1.2 Previously Treated Nsclc With Egfr

RYBREVANT, in combination with carboplatin and pemetrexed, is indicated for the treatment of adult patients with locally advanced or metastatic NSCLC with EGFR exon 19 deletions or exon 21 L858R substitution mutations, whose disease has progressed on or after treatment with an EGFR tyrosine kinase inhibitor [see Dosage and Administration (2.2)] .

1.4 Previously Treated Nsclc With Egfr

RYBREVANT is indicated as a single agent for the treatment of adult patients with locally advanced or metastatic NSCLC with EGFR exon 20 insertion mutations, as detected by an FDA-approved test [see Dosage and Administration (2.2)] , whose disease has progressed on or after platinum-based chemotherapy.

5.2 Interstitial Lung Disease/pneumonitis

RYBREVANT can cause severe and fatal interstitial lung disease (ILD)/pneumonitis.

Principal Display Panel 7 Ml Vial Carton

NDC 57894-501-01

Rybrevant ®

(amivantamab-vmjw)

Injection

350 mg/7 mL

(50 mg/mL)

For Intravenous Infusion Only

Dilute Before Use

Rx only

7 mL Vial

janssen

Single-dose vial.

Discard unused portion.

1.1 First Line Treatment of Nsclc With Egfr

RYBREVANT, in combination with lazertinib, is indicated for the first-line treatment of adult patients with locally advanced or metastatic non-small cell lung cancer (NSCLC) with epidermal growth factor receptor (EGFR) exon 19 deletions or exon 21 L858R substitution mutations, as detected by an FDA-approved test [see Dosage and Administration (2.2)] .

1.3 First Line Treatment of Nsclc With Egfr

RYBREVANT, in combination with carboplatin and pemetrexed, is indicated for the first-line treatment of adult patients with locally advanced or metastatic NSCLC with EGFR exon 20 insertion mutations, as detected by an FDA-approved test [see Dosage and Administration (2.2)] .

2.8 Dosage Modifications for Adverse Reactions

The recommended dose reductions for adverse reactions for RYBREVANT are listed in Table 6.

Table 6: Dose Reductions for Adverse Reactions for RYBREVANT
Dose at which the adverse reaction occurred 1st Dose Reduction 2nd Dose Reduction 3rd Dose Reduction
1,050 mg 700 mg 350 mg Discontinue RYBREVANT
1,400 mg 1,050 mg 700 mg
1,750 mg 1,400 mg 1,050 mg
2,100 mg 1,750 mg 1,400 mg

The recommended dosage modifications and management for adverse reactions for RYBREVANT are provided in Table 7.

Table 7: Recommended Dosage Modifications and Management for Adverse Reactions for RYBREVANT
Adverse Reaction Severity Dosage Modifications
Infusion-related reactions (IRR) [see Warnings and Precautions (5.1)] Grade 1 to 2
  • Interrupt RYBREVANT infusion if IRR is suspected and monitor patient until reaction symptoms resolve.
  • Resume the infusion at 50% of the infusion rate at which the reaction occurred.
  • If there are no additional symptoms after 30 minutes, the infusion rate may be escalated (see Tables 8 and 9).
  • Include corticosteroid with premedications for subsequent dose (see Table 5).
Grade 3
  • Interrupt RYBREVANT infusion and administer supportive care medications. Continuously monitor patient until reaction symptoms resolve.
  • Resume the infusion at 50% of the infusion rate at which the reaction occurred.
  • If there are no additional symptoms after 30 minutes, the infusion rate may be escalated (see Tables 8 and 9).
  • Include corticosteroid with premedications for subsequent dose (see Table 5). For recurrent Grade 3, permanently discontinue RYBREVANT.
Grade 4 or any Grade anaphylaxis / anaphylactic reactions
  • Permanently discontinue RYBREVANT.
Interstitial Lung Disease (ILD)/pneumonitis [see Warnings and Precautions (5.2)] Any Grade
  • Withhold RYBREVANT if ILD/pneumonitis is suspected.
  • Permanently discontinue RYBREVANT if ILD/pneumonitis is confirmed.
Venous Thromboembolic (VTE) Events [Applies to the combination with lazertinib, see Warnings and Precautions (5.3)] Grade 2 or 3
  • Withhold RYBREVANT and lazertinib.
  • Administer anticoagulant treatment as clinically indicated.
  • Once anticoagulant treatment has been initiated, resume RYBREVANT and lazertinib at the same dose level, at the discretion of the healthcare provider.
Grade 4 or recurrent Grade 2 or 3 despite therapeutic level anticoagulation
  • Withhold lazertinib and permanently discontinue RYBREVANT.
  • Administer anticoagulant treatment as clinically indicated.
  • Once anticoagulant treatment has been initiated, treatment can continue with lazertinib at the same dose level at the discretion of the healthcare provider.
Dermatologic Adverse Reactions (including dermatitis acneiform, pruritus, dry skin) [see Warnings and Precautions (5.4)] Grade 1 or Grade 2
  • Initiate supportive care management as clinically indicated.
  • Reassess after 2 weeks; if rash does not improve, consider dose reduction.
Grade 3
  • Withhold RYBREVANT and initiate supportive care management as clinically indicated.
  • Upon recovery to ≤ Grade 2, resume RYBREVANT at reduced dose.
  • If no improvement within 2 weeks, permanently discontinue treatment.
Grade 4

or

Severe bullous, blistering or exfoliating skin conditions (including toxic epidermal necrolysis (TEN))
  • Permanently discontinue RYBREVANT.
Other Adverse Reactions [see Adverse Reactions (6.1)] Grade 3
  • Withhold RYBREVANT until recovery to ≤ Grade 1 or baseline.
  • Resume at the same dose if recovery occurs within 1 week.
  • Resume at reduced dose if recovery occurs after 1 week but within 4 weeks.
  • Permanently discontinue if recovery does not occur within 4 weeks.
Grade 4
  • Withhold RYBREVANT until recovery to ≤ Grade 1 or baseline.
  • Resume at reduced dose if recovery occurs within 4 weeks.
  • Permanently discontinue if recovery does not occur within 4 weeks.
  • Permanently discontinue for recurrent Grade 4 reactions.
8.3 Females and Males of Reproductive Potential

RYBREVANT can cause fetal harm when administered to a pregnant woman [see Use in Specific Populations (8.1)].

13.1 Carcinogenesis, Mutagenesis, Impairment of Fertility

No studies have been performed to assess the potential of amivantamab-vmjw for carcinogenicity or genotoxicity. Fertility studies have not been performed to evaluate the potential effects of amivantamab-vmjw. In 6-week and 3-month repeat-dose toxicology studies in monkeys, there were no notable effects in the male and female reproductive organs.

14.4 Previously Treated Nsclc With Exon 20 Insertion Mutations Chrysalis

The efficacy of RYBREVANT was evaluated in patients with locally advanced or metastatic NSCLC with EGFR exon 20 insertion mutations in a multicenter, open-label, multi-cohort clinical trial (CHRYSALIS, NCT02609776). The study included patients with locally advanced or metastatic NSCLC with EGFR exon 20 insertion mutations whose disease had progressed on or after platinum-based chemotherapy. Patients with untreated brain metastases and patients with a history of ILD requiring treatment with prolonged steroids or other immunosuppressive agents within the last 2 years were not eligible for the study.

In the efficacy population, EGFR exon 20 insertion mutation status was determined by prospective local testing using tissue (94%) and/or plasma (6%) samples. Of the 81 patients with EGFR exon 20 insertion mutations identified by local testing, plasma samples from 78/81 (96%) patients were tested retrospectively using Guardant360 ®CDx, identifying 62/78 (79%) samples with an EGFR exon 20 insertion mutation; 16/78 (21%) samples did not have an EGFR exon 20 insertion mutation identified.

Patients received RYBREVANT at 1,050 mg (for patient baseline body weight < 80 kg) or 1,400 mg (for patient baseline body weight ≥ 80 kg) once weekly for 4 weeks, then every 2 weeks thereafter until disease progression or unacceptable toxicity. The major efficacy outcome measure was overall response rate (ORR) according to Response Evaluation Criteria in Solid Tumors (RECIST v1.1) as evaluated by Blinded Independent Central Review (BICR). An additional efficacy outcome measure was duration of response (DOR) by BICR.

The efficacy population included 81 patients with NSCLC with EGFR exon 20 insertion mutation with measurable disease who were previously treated with platinum-based chemotherapy. The median age was 62 (range: 42 to 84) years, 59% were female; 49% were Asian, 37% were White, 2.5% were Black; 74% had baseline body weight < 80 kg; 95% had adenocarcinoma; and 46% had received prior immunotherapy. The median number of prior therapies was 2 (range: 1 to 7). At baseline, 67% had Eastern Cooperative Oncology Group (ECOG) performance status of 1; 53% never smoked; all patients had metastatic disease; and 22% had previously treated brain metastases.

Efficacy results are summarized in Table 22.

Table 22: Efficacy Results for CHRYSALIS
Prior Platinum-based Chemotherapy Treated

(N=81)
Based on Kaplan-Meier estimates.

NE=Not Estimable; CI=confidence interval.
Overall response rate(95% CI) 40% (29%, 51%)
  Complete response (CR) 3.7%
  Partial response (PR) 36%
Duration of response (DOR)
  Median, months (95% CI), months 11.1 (6.9, NE)
  Patients with DOR ≥ 6 months 63%
14.3 First Line Treatment of Nsclc With Exon 20 Insertion Mutations Papillon

The efficacy of RYBREVANT was evaluated in PAPILLON (NCT04538664), in a randomized, open-label, multicenter study. Eligible patients were required to have previously untreated locally advanced or metastatic NSCLC with EGFR Exon 20 insertion mutations measurable disease per RECIST v1.1, Eastern Cooperative Oncology Group (ECOG) performance status (PS) ≤ 1, and adequate organ and bone marrow function. Patients with brain metastases at screening were eligible for participation once they were definitively treated, clinically stable, asymptomatic, and off corticosteroid treatment for at least 2 weeks prior to randomization. Patients with a medical history of interstitial lung disease or active ILD were excluded from the clinical study.

A total of 308 patients were randomized 1:1 to receive RYBREVANT in combination with carboplatin and pemetrexed (n=153) or carboplatin and pemetrexed (n=155). Patients received RYBREVANT intravenously at 1,400 mg (for patients < 80 kg) or 1,750 mg (for patients ≥ 80 kg) once weekly through 4 weeks, then every 3 weeks with a dose of 1,750 mg (for patients < 80 kg) or 2,100 mg (for patients ≥ 80 kg) starting at Week 7 until disease progression or unacceptable toxicity. Carboplatin was administered intravenously at area under the concentration-time curve 5 mg/mL per minute (AUC 5) once every 3 weeks, for up to 12 weeks. Pemetrexed was administered intravenously at 500 mg/m2 on once every 3 weeks until disease progression or unacceptable toxicity. Patients were stratified by Eastern Cooperative Oncology Group (ECOG) performance status (0 or 1) and prior brain metastases (yes or no).

The primary efficacy outcome measure was progression-free survival (PFS) as assessed by blinded independent central review (BICR). Additional efficacy outcome measures included overall response rate (ORR), duration of response (DOR) and overall survival (OS). Cross-over to single agent RYBREVANT was permitted for patients who had confirmed disease progression on carboplatin and pemetrexed.

The median age was 62 (range: 27 to 92) years, with 40% of the patients ≥ 65 years of age; 58% were female; 61% were Asian and 36% were White, 0.7% were Black or African American and race was not reported in 2.3% of patients; 93% were not Hispanic or Latino. Baseline ECOG performance status was 0 (35%) or 1 (65%); 58% were never smokers; 23% had history of brain metastasis and 84% had Stage IV cancer at initial diagnosis.

PAPILLON demonstrated a statistically significant improvement in progression free survival for patients randomized to RYBREVANT in combination with carboplatin and pemetrexed compared with carboplatin and pemetrexed.

Efficacy results are summarized in Table 21 and Figure 4.

Table 21: Efficacy Results in PAPILLON
RYBREVANT+ carboplatin+ pemetrexed

(N=153)
carboplatin+ pemetrexed

(N=155)
CI = confidence interval
Progression-free survival (PFS)
  Number of events (%) 84 (55) 132 (85)
  Median, months (95% CI) 11.4 (9.8, 13.7) 6.7 (5.6, 7.3)
  HR (95% CI) 0.40 (0.30, 0.53)
  p-value p<0.0001
Overall response rate (ORR)
Confirmed responses.
  ORR, % (95% CI) 67 (59, 75) 36 (29, 44)
  Complete response, % 4 1
  Partial response, % 63 36
Duration of response (DOR)
In confirmed responders.
  Median (95% CI), months 10.1 (8.5, 13.9) 5.6 (4.4, 6.9)

Figure 4: Kaplan-Meier Curve of PFS in Previously Untreated NSCLC Patients by BICR Assessment – PAPILLON Study

While OS results were immature at the current analysis, with 44% of pre-specified deaths for the final analysis reported, no trend towards a detriment was observed. Seventy-five (48%) of the treated patients crossed over from the carboplatin and pemetrexed arm after confirmation of disease progression to receive RYBREVANT as a single agent.

2.5 Recommended Premedications to Reduce the Risk of Infusion Related Reactions

Administer premedications as described in Table 5 .

After prolonged dose interruptions, restart the following Week 1 Day 1 premedications upon re-initiation: intravenous dexamethasone, diphenhydramine, and acetaminophen.

Table 5: Premedications
Premedication Schedule Medication and Frequency Route of Administration Dosing Window Prior to RYBREVANT Administration
Initial dose as a split infusion Dexamethasone

8 mg

(or equivalent)
Oral 48 hours
Week 1 Day -2 twice daily
Initial dose as a split infusion Dexamethasone

8 mg

(or equivalent)
Oral 24 hours
Week 1 Day -1 twice daily
Initial dose as a split infusion Dexamethasone

8 mg

(or equivalent)
Oral One hour
Week 1 Day 1 one dose
Dexamethasone

20 mg

(or equivalent)

one dose
Intravenous 45 to 60 minutes
Diphenhydramine

25 mg to 50 mg

(or equivalent)

one dose
Oral 30 to 60 minutes
Intravenous 15 to 30 minutes
Acetaminophen

650 mg to 1,000 mg

one dose
Oral 30 to 60 minutes
Intravenous 15 to 30 minutes
Initial dose as a split infusion Dexamethasone

10 mg

(or equivalent)
Intravenous 45 to 60 minutes
Week 1 Day 2 one dose
Diphenhydramine

25 mg to 50 mg

(or equivalent)

one dose
Oral 30 to 60 minutes
Intravenous 15 to 30 minutes
Acetaminophen

650 mg to 1,000 mg

one dose
Oral 30 to 60 minutes
Intravenous 15 to 30 minutes
All subsequent infusions Diphenhydramine

25 mg to 50 mg

(or equivalent)

one dose
Oral 30 to 60 minutes
Intravenous 15 to 30 minutes
Acetaminophen

650 mg to 1,000 mg

one dose
Oral 30 to 60 minutes
Intravenous 15 to 30 minutes
Optional:

Dexamethasone

10 mg

(or equivalent)

one dose
Intravenous 45 to 60 minutes
5.3 Venous Thromboembolic (vte) Events With Concomitant Use of Rybrevant and Lazertinib

RYBREVANT in combination with lazertinib can cause serious and fatal venous thromboembolic (VTE) events, including deep vein thrombosis and pulmonary embolism. The majority of these events occurred during the first four months of treatment [see Adverse Reactions (6.1)] .

In MARIPOSA [see Adverse Reactions (6.1)], VTEs occurred in 36% of patients receiving RYBREVANT in combination with lazertinib, including Grade 3 in 10% and Grade 4 in 0.5% of patients. On-study VTEs occurred in 1.2% of patients (n=5) while receiving anticoagulation therapy. There were two fatal cases of VTE (0.5%), 9% of patients had VTE leading to dose interruptions of RYBREVANT, 1% of patients had VTE leading to dose reductions of RYBREVANT, and 3.1% of patients had VTE leading to permanent discontinuation of RYBREVANT. The median time to onset of VTEs was 84 days (range: 6 to 777). Administer prophylactic anticoagulation for the first four months of treatment [see Dosage and Administration (2.7)]. The use of Vitamin K antagonists is not recommended. Monitor for signs and symptoms of VTE events and treat as medically appropriate.

Withhold RYBREVANT and lazertinib based on severity [see Dosage and Administration (2.8)] . Once anticoagulant treatment has been initiated, resume RYBREVANT and lazertinib at the same dose level at the discretion of the healthcare provider. In the event of VTE recurrence despite therapeutic anticoagulation, permanently discontinue RYBREVANT. Treatment can continue with lazertinib at the same dose level at the discretion of the healthcare provider [see Dosage and Administration (2.8)]. Refer to the lazertinib prescribing information for recommended lazertinib dosage modification.

2.6 Prophylactic and Concomitant Medications to Reduce the Risk of Dermatologic Adverse Reactions

When initiating treatment with RYBREVANT, prophylactic and concomitant medications are recommended to reduce the risk and severity of dermatologic adverse reactions [see Warnings and Precautions (5.4)].

  • Administer an oral antibiotic (doxycycline or minocycline, 100 mg orally twice daily) starting on Day 1 for the first 12 weeks of treatment.
  • After completion of oral antibiotic treatment, administer antibiotic lotion to the scalp (clindamycin 1% topical once daily) for the next 9 months of treatment.
  • Administer non-comedogenic skin moisturizer (ceramide-based or other formulations that provide long-lasting skin hydration and exclude drying agents) on the face and whole body (except scalp).
  • Wash hands and feet with 4% chlorhexidine solution once daily.
  • Limit sun exposure during and for 2 months after treatment. Advise patients to wear protective clothing and use broad-spectrum UVA/UVB sunscreen to reduce the risk of dermatologic adverse reactions.
14.1 First Line Treatment of Nsclc With Exon 19 Deletion Or Exon 21 L858r Substitution Mutation Mariposa

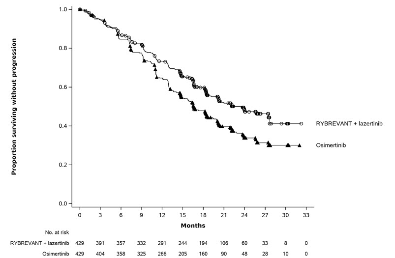
The efficacy of RYBREVANT, in combination with lazertinib, was evaluated in MARIPOSA [NCT04487080], a randomized, active-controlled, multicenter trial. Eligible patients were required to have untreated locally advanced or metastatic NSCLC with either exon 19 deletions or exon 21 L858R substitution EGFR mutations identified by local testing, not amenable to curative therapy. Patients with asymptomatic or previously treated and stable intracranial metastases were eligible to enroll.

Patients were randomized (2:2:1) to receive RYBREVANT in combination with lazertinib (N=429), osimertinib monotherapy (N=429), or lazertinib monotherapy (an unapproved regimen for NSCLC) until disease progression or unacceptable toxicity. The evaluation of efficacy for the treatment of untreated metastatic NSCLC relied upon comparison between:

  • RYBREVANT administered intravenously at 1,050 mg (for patients < 80 kg) or 1,400 mg (for patients ≥ 80 kg) once weekly for 4 weeks, then every 2 weeks thereafter starting at week 5 in combination with lazertinib administered at 240 mg orally once daily.
  • Osimertinib administered at a dose of 80 mg orally once daily.

Randomization was stratified by EGFR mutation type (exon 19 deletion or exon 21 L858R substitution mutation), Asian race (yes or no), and history of brain metastasis (yes or no). Tumor assessments were performed every 8 weeks for 30 months, and then every 12 weeks until disease progression.

The major efficacy outcome measure was progression-free survival (PFS) as assessed by blinded independent central review (BICR). Additional efficacy outcome measures included overall survival (OS), overall response rate (ORR), and duration of response (DOR).

A total of 858 patients were randomized between the two study arms, 429 to the RYBREVANT in combination with lazertinib arm and 429 to the osimertinib arm. The median age was 63 (range: 25–88) years; 61% were female; 58% were Asian, 38% were White, 1.6% were American Indian or Alaska Native, 0.8% were Black or African American, 0.2% were Native Hawaiian or other Pacific Islander, 0.6% were unknown race or multiple races; and 12% were Hispanic or Latino. Eastern Cooperative Oncology Group (ECOG) performance status was 0 (34%) or 1 (66%); 69% never smoked; 41% had prior brain metastases; and 89% had Stage IV cancer at initial diagnosis. Sixty percent of patients had tumors harboring exon 19 deletions and the remaining 40% had exon 21 L858R substitution mutations.

Among the 858 patients with EGFR exon 19 deletion or L858R substitution mutations that were randomized between the RYBREVANT plus lazertinib arm versus the osimertinib arm, available tissue samples from 544 (63%) patients had evaluable results when tested retrospectively using the cobas EGFR Mutation Test v2. Of the 544 patients with evaluable results, 527 (97%) patients were positive for EGFR exon 19 deletion or L858R substitution mutations, while 17 (3%) patients were negative. Available plasma samples from patients were retrospectively tested using an FDA-approved test to confirm the biomarker status.

The trial demonstrated a statistically significant improvement in PFS by BICR assessment and OS for RYBREVANT in combination with lazertinib compared to osimertinib (see Table 18 and Figures 1 and 2).

Efficacy results for RYBREVANT in combination with lazertinib are provided in Table 18.

Table 18: Efficacy Results in MARIPOSA by BICR Assessment
RYBREVANT in combination with lazertinib

(N=429)
Osimertinib

(N=429)
CI = confidence interval; NR = not reached; NE = not estimable
Progression-free survival (PFS)
  Number of events (%) 192 (45) 252 (59)
  Median, months (95% CI) 23.7 (19.1, 27.7) 16.6 (14.8, 18.5)
  HR
Stratified by mutation type (Exon 19del or Exon 21 L858R), prior brain metastases (yes or no), and Asian race (yes or no).
,
Stratified Cox proportional hazards regression.
(95% CI); p-value
,
Stratified log-rank test.
0.70 (0.58, 0.85); p=0.0002
Overall survival (OS)
  Number of events (%) 173 (40) 217 (51)
  Median, months (95% CI) NR (42.9, NE) 36.7 (33.4, 41.0)
  HR
,
(95% CI); p-value
,
0.75 (0.61, 0.92); p=0.0048
Overall response rate (ORR)
Confirmed responses based on the ITT population.
  ORR, % (95% CI) 78 (74, 82) 73 (69, 78)
  Complete response, % 5.4 3.5
  Partial response, % 73 70
Duration of response (DOR)
In confirmed responders.
  Median (95% CI), months 25.8 (20.1, NE) 16.7 (14.8, 18.5)
  Patients with DOR ≥ 6 months
Based on observed rates.
, %
86 85
  Patients with DOR ≥ 12 months
, %
68 57

Figure 1: Kaplan-Meier Curves of PFS by BICR Assessment in Patients with Previously Untreated NSCLC

Figure 2: Kaplan-Meier Curves of OS in Patients with Previously Untreated NSCLC

Out of all randomized patients (n=858), 367 (43%) had baseline intracranial lesions assessed by BICR using modified RECIST. Results of pre-specified analyses of intracranial ORR and DOR by BICR in the subset of patients with intracranial lesions at baseline for the RYBREVANT in combination with lazertinib arm and the osimertinib arm are summarized in Table 19.

Table 19: Exploratory Analysis of Intracranial ORR and DOR by BICR Assessment in Subjects with Intracranial Lesions at Baseline
RYBREVANT in combination with lazertinib

(N=180)
Osimertinib

(N=187)
CI = confidence interval
Intracranial tumor response assessment
  Intracranial ORR
Confirmed responses
, % (95% CI)
68 (60, 75) 69 (62, 76)
  Complete response % 55 52
Intracranial DOR
In confirmed responders
  Number of responders 122 129
  Patients with DOR ≥ 12 months
Based on observed rates
, %
66 59
  Patients with DOR ≥ 18 months
, %
35 23
14.2 Previously Treated Nsclc Patients With Egfr Exon 19 Deletions Or Exon 21 L858r Substitution Mutations Mariposa 2

The efficacy of RYBREVANT in combination with carboplatin and pemetrexed was evaluated in MARIPOSA-2 (NCT04988295), a randomized, open-label, multicenter trial. Eligible patients were required to have locally advanced or metastatic NSCLC with EGFR exon 19 deletions or exon 21 L858R substitution mutations and progressive disease on or after receiving osimertinib. Patients with asymptomatic or previously treated and stable intracranial metastases were eligible to enroll. Patients were randomized (1:2:2) to receive RYBREVANT in combination with carboplatin and pemetrexed (RYBREVANT-CP, N=131), carboplatin and pemetrexed (CP, N=263), or RYBREVANT as part of another combination regimen. The evaluation of efficacy for metastatic NSCLC relied upon comparison between:

  • RYBREVANT in combination with carboplatin and pemetrexed. RYBREVANT was administered intravenously at 1,400 mg (for patients < 80 kg) or 1,750 mg (for patients ≥ 80 kg) once weekly through 4 weeks, then every 3 weeks with a dose of 1,750 mg (for patients < 80 kg) or 2,100 mg (for patients ≥ 80 kg) starting at Week 7 until disease progression or unacceptable toxicity.
  • Platinum-based chemotherapy with carboplatin and pemetrexed.

For both arms, carboplatin was administered intravenously at area under the concentration-time curve 5 mg/mL per minute (AUC 5) once every 3 weeks, for up to 12 weeks and pemetrexed was administered intravenously at 500 mg/m2 once every 3 weeks until disease progression or unacceptable toxicity.

Randomization was stratified by osimertinib line of therapy (first-line or second-line), prior brain metastases (yes or no), and Asian race (yes or no). Tumor assessments were performed every 6 weeks for the first 12 months and every 12 weeks thereafter.

The major efficacy outcome measure was progression-free survival (PFS) as assessed by blinded independent central review (BICR). Overall survival (OS) and overall response rate (ORR) as assessed by BICR were key secondary outcome measures.

A total of 394 patients were randomized between the two arms, 131 to the RYBREVANT-CP arm and 263 to the CP arm. The median age was 62 (range: 31 to 85) years, with 38% of patients ≥ 65 years of age; 60% were female; and 48% were Asian and 46% were White, 1% were American Indian or Alaska Native, 1% were Black or African American, 0.5% were multiple races and 2.8% were race not reported or race unknown; 8% were Hispanic or Latino. Baseline Eastern Cooperative Oncology Group (ECOG) performance status was 0 (40%) or 1 (60%); 65% never smoked; 45% had history of brain metastasis, and 99.7% had Stage IV cancer at study enrollment.

The trial demonstrated a statistically significant improvement in PFS by BICR for RYBREVANT in combination with carboplatin and pemetrexed compared to carboplatin and pemetrexed.

Efficacy results are summarized in Table 20.

Table 20: Efficacy results in MARIPOSA-2
RYBREVANT + carboplatin+ pemetrexed

(N=131)
carboplatin+ pemetrexed

(N=263)
CI = confidence interval; NE = not estimable
Progression-free survival (PFS)
Blinded Independent Central Review by RECIST v1.1
  Number of events 74 (56%) 171 (65%)
  Median, months (95% CI) 6.3 (5.6, 8.4) 4.2 (4.0, 4.4)
  HR (95% CI)
Stratified by osimertinib line of therapy (first-line or second-line), prior brain metastases (yes or no), and Asian race (yes or no).
,
Stratified Cox proportional hazards regression.
; p-value
,
Stratified log-rank test.
0.48 (0.36, 0.64); p<0.0001
Overall response rate
,
Confirmed responses.
  ORR, % (95% CI) 53% (44, 62) 29% (23, 35)
  p-value
,
Stratified logistic regression analysis.
p<0.0001
  Complete response 0.8% 0%
  Partial response 52% 29%
Duration of response
,
(DOR)
  Median (95% CI), months 6.9 (5.5, NE) 5.6 (4.2, 9.6)

Figure 3: Kaplan-Meier curve of PFS in Previously Treated NSCLC Patients by BICR assessment- MARIPOSA-2

At the prespecified second interim analysis of OS, with 85% of the deaths needed for the final analysis, there was no statistically significant difference in OS. The median OS was 17.7 months (95% CI: 16.0, 22.4) in the ACP arm and 15.3 months (95% CI: 13.7, 16.8) in the CP arm, with a hazard ratio of 0.73 (95% CI: 0.54, 0.99).

Patients with asymptomatic or previously treated and stable intracranial metastases were eligible to be randomized in MARIPOSA-2. Baseline disease assessment, including brain magnetic resonance imaging (MRI) was performed at treatment initiation. All patients underwent serial brain MRI during the trial.

Pre-specified secondary analyses of intracranial ORR by BICR in the subset of 91 (23%) patients with baseline intracranial disease were performed. Data were only available for intracranial complete responses and not available for intracranial partial responses. Intracranial ORR was 20% (95% CI: 8, 39) in the 30 patients with baseline intracranial disease in the ACP arm and 7% (95% CI: 1.8, 16) in the 61 patients with baseline intracranial disease in the CP arm.

2.3 Recommended Dosage of Rybrevant in Combination With Lazertinib Or Rybrevant As A Single Agent Every 2 Week Dosing

The recommended dosage of RYBREVANT in combination with lazertinib or RYBREVANT as a single agent, based on baseline body weight, are provided in Table 2. Administer RYBREVANT until disease progression or unacceptable toxicity.

Table 2: Recommended Dosage Schedule for RYBREVANT in Combination with Lazertinib or RYBREVANT as a Single Agent
Body weight at Baseline
Dose adjustment is not required for subsequent body weight changes.
Recommended Dose Dosing Schedule
Less than 80 kg 1,050 mg Weekly (total of 5 doses) from Weeks 1 to 5
  • Week 1 - split infusion on Day 1 and Day 2
  • Weeks 2 to 5 - infusion on Day 1
  • Week 6 – no dose
Every 2 weeks starting at Week 7 onwards
Greater than or equal to 80 kg 1,400 mg Weekly (total of 5 doses) from Weeks 1 to 5
  • Week 1 - split infusion on Day 1 and Day 2
  • Weeks 2 to 5 - infusion on Day 1
  • Week 6 – no dose
Every 2 weeks starting at Week 7 onwards
2.7 Rybrevant in Combination With Lazertinib: Concomitant Medications to Reduce the Risk of Venous Thromboembolic Events

When initiating treatment with RYBREVANT in combination with lazertinib, administer anticoagulant prophylaxis to reduce the risk of venous thromboembolic (VTE) events for the first four months of treatment [see Warnings and Precautions (5.3)]. If there are no signs or symptoms of VTE during the first four months of treatment, consider discontinuation of anticoagulant prophylaxis at the discretion of the healthcare provider. Refer to the lazertinib prescribing information for information about concomitant medications.

2.4 Recommended Dosage of Rybrevant in Combination With Carboplatin and Pemetrexed for the Treatment of Nsclc – Every 3 Week Dosing

The recommended dosage of RYBREVANT, administered in combination with carboplatin and pemetrexed is based on baseline body weight is provided in Table 3.

Table 3: Recommended Dosage for RYBREVANT in Combination with Carboplatin and Pemetrexed
Body weight at Baseline
Dose adjustment is not required for subsequent body weight changes.
Recommended Dose Dosing Schedule
Less than 80 kg 1,400 mg Weekly (total of 4 doses) from Weeks 1 to 4
  • Week 1 - split infusion on Day 1 and Day 2
  • Weeks 2 to 4 - infusion on Day 1
  • Weeks 5 and 6 – no dose

1,750 mg

Every 3 weeks starting at Week 7 onwards
Greater than or equal to 80 kg 1,750 mg Weekly (total of 4 doses) from Weeks 1 to 4
  • Week 1 - split infusion on Day 1 and Day 2
  • Weeks 2 to 4 - infusion on Day 1
  • Weeks 5 and 6 – no dose

2,100 mg

Every 3 weeks starting at Week 7 onwards

The recommended order of administration and regimen for RYBREVANT in combination with carboplatin and pemetrexed are provided in Table 4.

Table 4: Order of Administration and Regimen for RYBREVANT in Combination with Carboplatin and Pemetrexed
RYBREVANT in Combination with Carboplatin and Pemetrexed
Administer the regimen in the following order: pemetrexed first, carboplatin second, and RYBREVANT last.
Drug Dose Duration/Timing of Treatment
Pemetrexed Pemetrexed 500 mg/m2 intravenously

Refer to the pemetrexed Full Prescribing Information for complete information.
Every 3 weeks, continue until disease progression or unacceptable toxicity.
Carboplatin Carboplatin AUC 5 intravenously

Refer to the carboplatin Full Prescribing Information for complete information.
Every 3 weeks for up to 12 weeks.
RYBREVANT RYBREVANT intravenously

See Table 3.
Every 3 weeks, continue until disease progression or unacceptable toxicity.

Structured Label Content

Section 42229-5 (42229-5)

RYBREVANT in Combination with Lazertinib

Section 42230-3 (42230-3)
PATIENT INFORMATION

RYBREVANT® (RYE–breh–vant)

(amivantamab-vmjw)

injection, for intravenous use
This Patient Information has been approved by the U.S. Food and Drug Administration. Revised: 11/2025
What is RYBREVANT?

RYBREVANT is a prescription medicine used to treat adults with non-small cell lung cancer (NSCLC) that has spread to other parts of the body (metastatic) or cannot be removed by surgery, and has certain abnormal epidermal growth factor receptor (EGFR) gene(s):
  • in combination with lazertinib as a first-line treatment for non-small cell lung cancer (NSCLC)
  • in combination with carboplatin and pemetrexed as a second-line treatment for NSCLC in patients whose disease has worsened on or after treatment with an EGFR tyrosine kinase inhibitor (TKI)
  • in combination with carboplatin and pemetrexed as a first-line treatment for NSCLC
  • alone for the treatment of NSCLC whose disease has worsened on or after platinum-based chemotherapy.
Your healthcare provider will perform a test to make sure that RYBREVANT is right for you.

It is not known if RYBREVANT is safe and effective in children.
Before you receive RYBREVANT, tell your healthcare provider about all of your medical conditions, including if you:
  • have a history of lung or breathing problems
  • are pregnant or plan to become pregnant. RYBREVANT can harm your unborn baby.

    Females who are able to become pregnant:
    • Your healthcare provider should do a pregnancy test before you start treatment with RYBREVANT.
    • You should use effective birth control (contraception) during treatment and for 3 months after your last dose of RYBREVANT.
    • Tell your healthcare provider right away if you become pregnant or think you might be pregnant during treatment with RYBREVANT.
  • are breastfeeding or plan to breastfeed. It is not known if RYBREVANT passes into your breast milk. Do not breastfeed during treatment and for 3 months after your last dose of RYBREVANT.
Tell your healthcare provider about all the medicines you take,including prescription and over-the-counter medicines, vitamins, and herbal supplements.
How will I receive RYBREVANT?
  • RYBREVANT will be given to you by your healthcare provider by intravenous infusion into your vein.
  • Your healthcare provider will decide the time between doses as well as how many treatments you will receive.
  • Your healthcare provider will give you medicines before each dose of RYBREVANT to help reduce the risk of infusion-related reactions.
  • Your healthcare provider may give you medicines in addition to RYBREVANT to reduce the risk and severity of skin and nail reactions.
  • RYBREVANT may be given in combination with the medicines carboplatin and pemetrexed. If you have any questions about these medicines, ask your healthcare provider.
  • If your treatment with RYBREVANT is given in combination with the medicine lazertinib, you should take your dose of lazertinib by mouth anytime before your infusion with RYBREVANT.
  • If you miss any appointments, call your healthcare provider as soon as possible to reschedule your appointment.

What should I avoid while receiving RYBREVANT?

RYBREVANT can cause skin reactions. You should limit your time in the sun during and for 2 months after your treatment with RYBREVANT. Wear protective clothing and use broad-spectrum UVA/UVB sunscreen during treatment with RYBREVANT.
What are the possible side effects of RYBREVANT?

RYBREVANT may cause serious side effects, including:
  • infusion-related reactions. Infusion-related reactions are common but can be severe or serious and can include life-threatening (anaphylaxis) allergic reaction. Tell your healthcare provider right away if you get any of the following symptoms during your infusion of RYBREVANT:
  • shortness of breath, difficulty breathing, or wheezing
  • chest discomfort
  • swelling of your eyes, lips, or tongue
  • fever
  • chills
  • numbness of the tongue, lips, cheeks, or gums
  • flushing
  • skin rash, hives, or itching
  • nausea or vomiting
  • stomach cramps
  • lightheadedness, dizziness, or fainting
  • headache
  • lung problems. RYBREVANT may cause lung problems that may lead to death. Symptoms may be similar to those symptoms from lung cancer. Tell your healthcare provider right away if you get any new or worsening lung symptoms, including shortness of breath, cough, or fever.
  • blood clot problems. Blood clots are a serious, but common side effect of RYBREVANT, when given together with another drug called lazertinib, may cause blood clots in the veins of your legs (deep vein thrombosis) or lungs (pulmonary embolism) that may lead to death. Your healthcare provider will start you on medicine to reduce the risk of blood clots for the first 4 months of treatment. Tell your healthcare provider right away if you have any signs and symptoms of blood clots, including swelling, pain or tenderness in the leg, sudden unexplained chest pain, or shortness of breath.
  • skin problems. RYBREVANT can cause severe rash; including blisters, peeling, skin pain and sores, redness, raised acne-like bumps, itching, and dry skin. Tell your healthcare provider right away if you get any skin reactions. Your healthcare provider may start you on an antibiotic for the first 3 months of treatment followed by an antibiotic lotion for your scalp for the next 9 months. During treatment with RYBREVANT, you should apply a non-comedogenic (does not clog pores) skin moisturizer (ceramide-based or other types of moisturizers that provide long-lasting skin hydration and does not include drying ingredients) on your face and whole body (except scalp) and wash your hands and feet every day with 4% chlorhexidine solution. Your healthcare provider may treat you with a medicine(s) or send you to see a skin specialist (dermatologist) if you get skin reactions during treatment with RYBREVANT. See " What should I avoid while receiving RYBREVANT? "
  • eye problems. RYBREVANT may cause eye problems. Tell your healthcare provider right away if you get symptoms of eye problems which may include:
  • eye pain
  • inflammation of eye lids
  • dry eyes
  • eye redness
  • blurred vision
  • changes in vision
  • itchy eyes
  • excessive tearing
  • sensitivity to light
Your healthcare provider may send you to see an eye specialist (ophthalmologist) if you get new or worsening eye problems during treatment with RYBREVANT. You should not use contact lenses until your eye symptoms are checked by a healthcare provider.
The most common side effects of RYBREVANT when given in combination with lazertinib include:
  • rash
  • infected skin around the nail
  • muscle and joint pain
  • sores in the mouth
  • swelling of hands, ankles, feet, face, or all of your body
  • unusual feeling in the skin (such as tingling or a crawling feeling)
  • feeling very tired
  • diarrhea
  • constipation
  • COVID-19
  • dry skin
  • bleeding
  • decreased appetite
  • itchy skin
  • nausea
  • changes in certain blood tests
The most common side effects of RYBREVANT when given in combination with carboplatin and pemetrexed include:
  • rash
  • infected skin around the nail
  • feeling very tired
  • nausea
  • sores in the mouth
  • constipation
  • swelling of hands, ankles, feet, face, or all of your body
  • decreased appetite
  • muscle and joint pain
  • vomiting
  • COVID-19
  • changes in certain blood tests
The most common side effects of RYBREVANT when given alone:
  • rash
  • infected skin around the nail
  • muscle and joint pain
  • shortness of breath
  • nausea
  • feeling very tired
  • swelling of hands, ankles, feet, face, or all of your body
  • sores in the mouth
  • cough
  • constipation
  • vomiting
  • changes in certain blood tests
Your healthcare provider may temporarily stop, decrease your dose, or completely stop your treatment with RYBREVANT if you have serious side effects.

These are not all of the possible side effects of RYBREVANT.

Call your doctor for medical advice about side effects. You may report side effects to FDA at 1-800-FDA-1088.
General information about safe and effective use of RYBREVANT

Medicines are sometimes prescribed for purposes other than those listed in a Patient Information leaflet. You can ask your healthcare provider or pharmacist for information about RYBREVANT that is written for health professionals.
What are the ingredients of RYBREVANT?

Active ingredient: amivantamab-vmjw

Inactive ingredients: EDTA disodium salt dihydrate, L-histidine, L-histidine hydrochloride monohydrate, L-methionine, polysorbate 80, sucrose, and water for injection.

Product of Ireland

Manufactured by: Janssen Biotech, Inc., Horsham, PA 19044, USA. U.S. License Number 1864

For patent information: www.janssenpatents.com

© Johnson & Johnson and its affiliates 2021-2025

For more information, call 1-800-526-7736 or go to www.RYBREVANT.com.
Section 43683-2 (43683-2)
Dosage and Administration (2.5) 09/2025
Dosage and Administration (2.6) 11/2025
Dosage and Administration (2.8) 02/2025
Warnings and Precautions (5.1) 02/2025
Warnings and Precautions (5.4) 11/2025
Section 44425-7 (44425-7)

Storage and Handling

Store in a refrigerator at 2°C to 8°C (36°F to 46°F) in original carton to protect from light. Do not freeze.

11 Description (11 DESCRIPTION)

Amivantamab-vmjw is a low-fucose human immunoglobulin G1-based bispecific antibody directed against the EGF and MET receptors, produced by mammalian cell line (Chinese Hamster Ovary [CHO]) using recombinant DNA technology that has a molecular weight of approximately 148 kDa. RYBREVANT® (amivantamab-vmjw) injection for intravenous infusion is a sterile, preservative-free, colorless to pale yellow solution in single-dose vials. The pH is 5.7.

Each RYBREVANT vial contains 350 mg (50 mg/mL) amivantamab-vmjw, EDTA disodium salt dihydrate (0.14 mg), L-histidine (2.3 mg), L-histidine hydrochloride monohydrate (8.6 mg), L-methionine (7 mg), polysorbate 80 (4.2 mg), sucrose (595 mg), and water for injection, USP.

2.9 Preparation

Dilute and prepare RYBREVANT for intravenous infusion before administration.

  • Check that the RYBREVANT solution is colorless to pale yellow. Parenteral drug products should be inspected visually for particulate matter and discoloration prior to administration, whenever solution and container permit. Do not use if discoloration or visible particles are present.
  • Determine the dose required and number of RYBREVANT vials needed based on patient's baseline weight [see Dosage and Administration (2.3, 2.4)] . Each vial of RYBREVANT contains 350 mg of amivantamab-vmjw.
  • Withdraw and then discard a volume of either 5% Dextrose Injection or 0.9% Sodium Chloride Injection from the 250 mL infusion bag equal to the volume of RYBREVANT to be added (i.e., discard 7 mL diluent from the infusion bag for each RYBREVANT vial). Only use infusion bags made of polyvinylchloride (PVC), polypropylene (PP), polyethylene (PE), or polyolefin blend (PP+PE).
  • Withdraw 7 mL of RYBREVANT from each vial and add it to the infusion bag. The final volume in the infusion bag should be 250 mL. Discard any unused portion left in the vial.
  • Gently invert the bag to mix the solution. Do not shake.
  • Diluted solutions should be administered within 10 hours (including infusion time) at room temperature 15°C to 25°C (59°F to 77°F).
8.4 Pediatric Use

The safety and efficacy of RYBREVANT have not been established in pediatric patients.

8.5 Geriatric Use
  • Of the 421 patients with locally advanced or metastatic NSCLC treated with RYBREVANT in combination with lazertinib in the MARIPOSA study, 45% were ≥ 65 years of age and 12% were ≥ 75 years of age.
  • Of the 130 patients with locally advanced or metastatic NSCLC treated with RYBREVANT in combination with carboplatin and pemetrexed in the MARIPOSA-2 study, 40% were ≥ 65 years of age and 10% were ≥ 75 years of age.
  • Of the 151 patients with locally advanced or metastatic NSCLC treated with RYBREVANT in combination with carboplatin and pemetrexed in the PAPILLON study, 37% were ≥ 65 years of age and 8% were ≥ 75 years of age.
  • Of the 302 patients with locally advanced or metastatic NSCLC treated with RYBREVANT as a single agent in the CHRYSALIS study, 39% were ≥ 65 years of age and 11% were ≥ 75 years of age.

No clinically important differences in safety or efficacy were observed between patients who were ≥ 65 years of age and younger patients.

12.6 Immunogenicity

The observed incidence of anti-drug antibodies is highly dependent on the sensitivity and specificity of the assay. Differences in assay methods preclude meaningful comparisons of the incidence of anti-drug antibodies (ADA) in the studies described below with the incidence of anti-drug antibodies in other studies, including those of amivantamab-vmjw or amivantamab products.

During treatment in studies CHRYSALIS, CHRYSALIS-2, PAPILLON, MARIPOSA, and MARIPOSA-2 (up to 39 months), 4 of the 1,862 (0.2%) patients who received RYBREVANT as a single agent or in combination developed a treatment-emergent anti-amivantamab-vmjw antibodies. Given the low occurrence of anti-drug antibodies, the effect of these antibodies on the pharmacokinetics, safety or efficacy of RYBREVANT is unknown.

2.10 Administration
  • Administer the diluted RYBREVANT solution [see Dosage and Administration (2.9)] by intravenous infusion using an infusion set fitted with a flow regulator and with an in-line, sterile, non-pyrogenic, low protein-binding polyethersulfone (PES) filter (pore size 0.2 micrometer).
  • Administration sets must be made of either polyurethane (PU), polybutadiene (PBD), PVC, PP, or PE.
  • The administration set with filter, must be primed with either 5% Dextrose Injection or 0.9% Sodium Chloride Injection prior to the initiation of each RYBREVANT infusion.
  • Do not infuse RYBREVANT concomitantly in the same intravenous line with other agents.
4 Contraindications (4 CONTRAINDICATIONS)

None.

5.5 Ocular Toxicity

RYBREVANT can cause ocular toxicity including keratitis, blepharitis, dry eye symptoms, conjunctival redness, blurred vision, visual impairment, ocular itching, eye pruritus, and uveitis.

6 Adverse Reactions (6 ADVERSE REACTIONS)

The following adverse reactions are discussed elsewhere in the labeling:

12.2 Pharmacodynamics

The exposure-response relationship and time-course of pharmacodynamic response of amivantamab-vmjw have not been fully characterized in patients with NSCLC with EGFR mutations.

12.3 Pharmacokinetics

Amivantamab-vmjw exposures increased proportionally over a dosage range from 350 to 1,750 mg (0.33 to 1.7 times the lowest approved recommended dosage) when RYBREVANT was administered as a single agent. Steady-state concentrations of RYBREVANT were reached by week 13 for both the 3-week and 2-week dosing regimen and the systemic accumulation was 1.9-fold.

2.2 Patient Selection

Select patients for treatment with RYBREVANT based on the presence of a mutation as detected by an FDA-approved test.

Table 1: Patient Selection
Indication Treatment Regimen Source for Testing
Information on FDA approved tests is available at: http://www.fda.gov/CompanionDiagnostics.
First-Line Treatment of NSCLC with EGFR Exon 19 Deletions or Exon 21 L858R Substitution Mutations [see Indications and Usage (1.1)] RYBREVANT in combination with lazertinib
  • Tumor or plasma specimens.
  • Testing may be performed at any time from initial diagnosis.
  • Testing does not need to be repeated once EGFR mutation status has been established.
Previously treated locally advanced or metastatic NSCLC with EGFR Exon 19 deletions or Exon 21 L858R substitution mutations (progressive disease on an EGFR tyrosine kinase inhibitor) [see Indications and Usage (1.2)] RYBREVANT in combination with carboplatin and pemetrexed
First-Line Treatment of NSCLC with EGFR Exon 20 Insertion Mutations [see Indications and Usage (1.3)] RYBREVANT in combination with carboplatin and pemetrexed
Previously Treated NSCLC with EGFR Exon 20 Insertion Mutations [see Indications and Usage (1.4)] RYBREVANT as a single agent
1 Indications and Usage (1 INDICATIONS AND USAGE)

RYBREVANT is a bispecific EGF receptor-directed and MET receptor-directed antibody indicated:

  • in combination with lazertinib for the first-line treatment of adult patients with locally advanced or metastatic non-small cell lung cancer (NSCLC) with epidermal growth factor receptor (EGFR) exon 19 deletions or exon 21 L858R substitution mutations, as detected by an FDA-approved test. ( 1, 2.2)
  • in combination with carboplatin and pemetrexed for the treatment of adult patients with locally advanced or metastatic NSCLC with EGFR exon 19 deletions or exon 21 L858R substitution mutations, whose disease has progressed on or after treatment with an EGFR tyrosine kinase inhibitor. ( 1, 2.2)
  • in combination with carboplatin and pemetrexed for the first-line treatment of adult patients with locally advanced or metastatic NSCLC with EGFR exon 20 insertion mutations, as detected by an FDA-approved test. ( 1, 2.2)
  • as a single agent for the treatment of adult patients with locally advanced or metastatic NSCLC with EGFR exon 20 insertion mutations, as detected by an FDA-approved test, whose disease has progressed on or after platinum-based chemotherapy. ( 1, 2.2)
12.1 Mechanism of Action

Amivantamab-vmjw is a bispecific antibody that binds to the extracellular domains of EGFR and MET.

In in vitro and in vivo studies amivantamab-vmjw was able to disrupt EGFR and MET signaling functions in mutation models of exon 19 deletions, exon 21 L858R substitutions, and exon 20 insertions through blocking ligand binding or degradation of EGFR and MET. The presence of EGFR and MET on the surface of tumor cells also allows for targeting of these cells for destruction by immune effector cells, such as natural killer cells and macrophages, through antibody-dependent cellular cytotoxicity (ADCC) and trogocytosis mechanisms, respectively. Treatment with amivantamab in combination with lazertinib increased in vivo anti-tumor activity compared to either agent alone in a mouse xenograft model of human NSCLC with an EGFR L858R mutation.

5.6 Embryo Fetal Toxicity (5.6 Embryo-Fetal Toxicity)

Based on its mechanism of action and findings from animal models, RYBREVANT can cause fetal harm when administered to a pregnant woman. Administration of other EGFR inhibitor molecules to pregnant animals has resulted in an increased incidence of impairment of embryo-fetal development, embryo lethality, and abortion. Advise females of reproductive potential of the potential risk to the fetus. Advise female patients of reproductive potential to use effective contraception during treatment and for 3 months after the last dose of RYBREVANT. [see Use in Specific Populations (8.1, 8.3)] .

5 Warnings and Precautions (5 WARNINGS AND PRECAUTIONS)
  • Infusion-Related Reactions (IRR): Interrupt infusion at the first sign of IRRs. Reduce the infusion rate or permanently discontinue RYBREVANT based on severity. ( 2.5, 2.8, 5.1)
  • Interstitial Lung Disease (ILD)/Pneumonitis: Monitor for new or worsening symptoms indicative of ILD. Immediately withhold RYBREVANT in patients with suspected ILD/pneumonitis and permanently discontinue if ILD/pneumonitis is confirmed. ( 2.8, 5.2)
  • Venous Thromboembolic (VTE) Events with Concomitant Use with Lazertinib: Prophylactic anticoagulation is recommended for the first four months of treatment. Monitor for signs and symptoms of VTE and treat as medically appropriate. Withhold RYBREVANT and lazertinib based on severity. Once anticoagulant treatment has been initiated, resume RYBREVANT and lazertinib at the same dose at the discretion of the healthcare provider. Permanently discontinue RYBREVANT and continue lazertinib for recurrent VTE despite therapeutic anticoagulation. ( 2.7, 2.8, 5.3)
  • Dermatologic Adverse Reactions: Can cause severe rash including toxic epidermal necrolysis (TEN) and acneiform dermatitis. At treatment initiation, prophylactic and concomitant medications are recommended. Withhold, reduce the dose, or permanently discontinue RYBREVANT based on severity. ( 2.6, 2.8, 5.4)
  • Ocular Toxicity: Promptly refer patients with worsening eye symptoms to an ophthalmologist. Withhold, reduce the dose, or permanently discontinue RYBREVANT based on severity. ( 2.8, 5.5)
  • Embryo-Fetal Toxicity: Can cause fetal harm. Advise females of reproductive potential of the potential risk to the fetus and to use effective contraception. ( 5.6, 8.1, 8.3)
2 Dosage and Administration (2 DOSAGE AND ADMINISTRATION)
  • The recommended dosage of RYBREVANT is based on baseline body weight and administered as an intravenous infusion after dilution. ( 2.3, 2.4)
  • Administer prophylactic and concomitant medications as recommended to reduce the risk of dermatologic adverse reactions. ( 2.6)
  • Administer via a peripheral line on Week 1 and Week 2 to reduce the risk of infusion-related reactions. ( 2.10)
  • Administer RYBREVANT in combination with lazertinib or RYBREVANT as a single agent weekly for 5 weeks, with the initial dose as a split infusion in Week 1 on Day 1 and Day 2, then administer every 2 weeks starting at Week 7. ( 2.3)
  • Administer RYBREVANT in combination with chemotherapy weekly for 4 weeks, with the initial dose as a split infusion in Week 1 on Day 1 and Day 2, then administer every 3 weeks starting at Week 7. (2.4)
  • When administering RYBREVANT in combination with lazertinib, administer anticoagulant prophylaxis to reduce the risk of venous thromboembolic (VTE) events for the first four months of treatment. ( 2.7)
  • Administer diluted RYBREVANT intravenously according to the infusion rates in Tables 8 and 9. ( 2.9, 2.10)
Body Weight (at Baseline) Dosage Recommended Dose
RYBREVANT in Combination with Lazertinib or RYBREVANT as a Single Agent
Less than 80 kg Weeks 1–5

Week 7 onwards
1,050 mg
Greater than or equal to 80 kg Weeks 1–5

Week 7 onwards
1,400 mg
RYBREVANT in Combination with Carboplatin and Pemetrexed
Less than 80 kg Weeks 1–4 1,400 mg
Week 7 onwards

1,750 mg

Greater than or equal to 80 kg Weeks 1–4 1,750 mg
Week 7 onwards

2,100 mg

3 Dosage Forms and Strengths (3 DOSAGE FORMS AND STRENGTHS)

Injection: 350 mg/7 mL (50 mg/mL) colorless to pale yellow solution in a single-dose vial.

6.2 Postmarketing Experience

The following adverse reactions associated with the use of RYBREVANT were identified in clinical studies or postmarketing reports. Because some of these reactions were reported voluntarily from a population of uncertain size, it is not always possible to reliably estimate their frequency or establish a causal relationship to drug exposure.

Immune system disorders: Infusion-related reactions, including anaphylaxis/anaphylactic reactions

8 Use in Specific Populations (8 USE IN SPECIFIC POPULATIONS)

Lactation: Advise not to breastfeed. ( 8.2)

5.1 Infusion Related Reactions (5.1 Infusion-Related Reactions)

RYBREVANT can cause infusion-related reactions (IRR) including anaphylaxis; signs and symptoms of IRR include dyspnea, flushing, fever, chills, nausea, chest discomfort, hypotension, and vomiting. The median time to IRR onset is approximately 1 hour.

6.1 Clinical Trials Experience

Because clinical trials are conducted under widely varying conditions, adverse reaction rates observed in the clinical trials of a drug cannot be directly compared to rates in the clinical trials of another drug and may not reflect the rates observed in practice.

2.1 Important Dosage Information
  • To reduce the risk of infusion-related reactions, administer premedications before each RYBREVANT infusion as recommended [see Dosage and Administration (2.5)].
  • To reduce the risk of infusion-related reactions, administer RYBREVANT via peripheral line for Week 1 Day 1 and 2 and Week 2 [see Dosage and Administration (2.10)].
  • To reduce the risk and severity of dermatologic adverse reactions with RYBREVANT, prophylactic and concomitant medications are recommended [see Dosage and Administration (2.6)].
  • To reduce the risk of venous thromboembolic (VTE) events when administering RYBREVANT in combination with lazertinib, administer anticoagulant prophylaxis for the first four months of treatment [see Dosage and Administration (2.7)].
  • Administer diluted RYBREVANT intravenously according to the infusion rates in Tables 8 and 9, with the initial dose as a split infusion on Week 1 on Day 1 and Day 2 [see Dosage and Administration (2.10)].
  • When administering RYBREVANT in combination with lazertinib, administer lazertinib orally any time before the RYBREVANT infusion [see Dosage and Administration (2.10)].
  • When administering RYBREVANT in combination with carboplatin and pemetrexed, infuse pemetrexed first, carboplatin second, and RYBREVANT last [see Dosage and Administration (2.10)].
17 Patient Counseling Information (17 PATIENT COUNSELING INFORMATION)

Advise the patient to read the FDA-approved patient labeling (Patient Information).

5.4 Dermatologic Adverse Reactions

RYBREVANT can cause severe rash including toxic epidermal necrolysis (TEN), dermatitis acneiform, pruritus, and dry skin.

1.2 Previously Treated Nsclc With Egfr (1.2 Previously Treated NSCLC with EGFR)

RYBREVANT, in combination with carboplatin and pemetrexed, is indicated for the treatment of adult patients with locally advanced or metastatic NSCLC with EGFR exon 19 deletions or exon 21 L858R substitution mutations, whose disease has progressed on or after treatment with an EGFR tyrosine kinase inhibitor [see Dosage and Administration (2.2)] .

1.4 Previously Treated Nsclc With Egfr (1.4 Previously Treated NSCLC with EGFR)

RYBREVANT is indicated as a single agent for the treatment of adult patients with locally advanced or metastatic NSCLC with EGFR exon 20 insertion mutations, as detected by an FDA-approved test [see Dosage and Administration (2.2)] , whose disease has progressed on or after platinum-based chemotherapy.

5.2 Interstitial Lung Disease/pneumonitis (5.2 Interstitial Lung Disease/Pneumonitis)

RYBREVANT can cause severe and fatal interstitial lung disease (ILD)/pneumonitis.

Principal Display Panel 7 Ml Vial Carton (PRINCIPAL DISPLAY PANEL - 7 mL Vial Carton)

NDC 57894-501-01

Rybrevant ®

(amivantamab-vmjw)

Injection

350 mg/7 mL

(50 mg/mL)

For Intravenous Infusion Only

Dilute Before Use

Rx only

7 mL Vial

janssen

Single-dose vial.

Discard unused portion.

1.1 First Line Treatment of Nsclc With Egfr (1.1 First-Line Treatment of NSCLC with EGFR)

RYBREVANT, in combination with lazertinib, is indicated for the first-line treatment of adult patients with locally advanced or metastatic non-small cell lung cancer (NSCLC) with epidermal growth factor receptor (EGFR) exon 19 deletions or exon 21 L858R substitution mutations, as detected by an FDA-approved test [see Dosage and Administration (2.2)] .

1.3 First Line Treatment of Nsclc With Egfr (1.3 First-Line Treatment of NSCLC with EGFR)

RYBREVANT, in combination with carboplatin and pemetrexed, is indicated for the first-line treatment of adult patients with locally advanced or metastatic NSCLC with EGFR exon 20 insertion mutations, as detected by an FDA-approved test [see Dosage and Administration (2.2)] .

2.8 Dosage Modifications for Adverse Reactions

The recommended dose reductions for adverse reactions for RYBREVANT are listed in Table 6.

Table 6: Dose Reductions for Adverse Reactions for RYBREVANT
Dose at which the adverse reaction occurred 1st Dose Reduction 2nd Dose Reduction 3rd Dose Reduction
1,050 mg 700 mg 350 mg Discontinue RYBREVANT
1,400 mg 1,050 mg 700 mg
1,750 mg 1,400 mg 1,050 mg
2,100 mg 1,750 mg 1,400 mg

The recommended dosage modifications and management for adverse reactions for RYBREVANT are provided in Table 7.

Table 7: Recommended Dosage Modifications and Management for Adverse Reactions for RYBREVANT
Adverse Reaction Severity Dosage Modifications
Infusion-related reactions (IRR) [see Warnings and Precautions (5.1)] Grade 1 to 2
  • Interrupt RYBREVANT infusion if IRR is suspected and monitor patient until reaction symptoms resolve.
  • Resume the infusion at 50% of the infusion rate at which the reaction occurred.
  • If there are no additional symptoms after 30 minutes, the infusion rate may be escalated (see Tables 8 and 9).
  • Include corticosteroid with premedications for subsequent dose (see Table 5).
Grade 3
  • Interrupt RYBREVANT infusion and administer supportive care medications. Continuously monitor patient until reaction symptoms resolve.
  • Resume the infusion at 50% of the infusion rate at which the reaction occurred.
  • If there are no additional symptoms after 30 minutes, the infusion rate may be escalated (see Tables 8 and 9).
  • Include corticosteroid with premedications for subsequent dose (see Table 5). For recurrent Grade 3, permanently discontinue RYBREVANT.
Grade 4 or any Grade anaphylaxis / anaphylactic reactions
  • Permanently discontinue RYBREVANT.
Interstitial Lung Disease (ILD)/pneumonitis [see Warnings and Precautions (5.2)] Any Grade
  • Withhold RYBREVANT if ILD/pneumonitis is suspected.
  • Permanently discontinue RYBREVANT if ILD/pneumonitis is confirmed.
Venous Thromboembolic (VTE) Events [Applies to the combination with lazertinib, see Warnings and Precautions (5.3)] Grade 2 or 3
  • Withhold RYBREVANT and lazertinib.
  • Administer anticoagulant treatment as clinically indicated.
  • Once anticoagulant treatment has been initiated, resume RYBREVANT and lazertinib at the same dose level, at the discretion of the healthcare provider.
Grade 4 or recurrent Grade 2 or 3 despite therapeutic level anticoagulation
  • Withhold lazertinib and permanently discontinue RYBREVANT.
  • Administer anticoagulant treatment as clinically indicated.
  • Once anticoagulant treatment has been initiated, treatment can continue with lazertinib at the same dose level at the discretion of the healthcare provider.
Dermatologic Adverse Reactions (including dermatitis acneiform, pruritus, dry skin) [see Warnings and Precautions (5.4)] Grade 1 or Grade 2
  • Initiate supportive care management as clinically indicated.
  • Reassess after 2 weeks; if rash does not improve, consider dose reduction.
Grade 3
  • Withhold RYBREVANT and initiate supportive care management as clinically indicated.
  • Upon recovery to ≤ Grade 2, resume RYBREVANT at reduced dose.
  • If no improvement within 2 weeks, permanently discontinue treatment.
Grade 4

or

Severe bullous, blistering or exfoliating skin conditions (including toxic epidermal necrolysis (TEN))
  • Permanently discontinue RYBREVANT.
Other Adverse Reactions [see Adverse Reactions (6.1)] Grade 3
  • Withhold RYBREVANT until recovery to ≤ Grade 1 or baseline.
  • Resume at the same dose if recovery occurs within 1 week.
  • Resume at reduced dose if recovery occurs after 1 week but within 4 weeks.
  • Permanently discontinue if recovery does not occur within 4 weeks.
Grade 4
  • Withhold RYBREVANT until recovery to ≤ Grade 1 or baseline.
  • Resume at reduced dose if recovery occurs within 4 weeks.
  • Permanently discontinue if recovery does not occur within 4 weeks.
  • Permanently discontinue for recurrent Grade 4 reactions.
8.3 Females and Males of Reproductive Potential

RYBREVANT can cause fetal harm when administered to a pregnant woman [see Use in Specific Populations (8.1)].

13.1 Carcinogenesis, Mutagenesis, Impairment of Fertility

No studies have been performed to assess the potential of amivantamab-vmjw for carcinogenicity or genotoxicity. Fertility studies have not been performed to evaluate the potential effects of amivantamab-vmjw. In 6-week and 3-month repeat-dose toxicology studies in monkeys, there were no notable effects in the male and female reproductive organs.

14.4 Previously Treated Nsclc With Exon 20 Insertion Mutations Chrysalis (14.4 Previously Treated NSCLC with Exon 20 Insertion Mutations - CHRYSALIS)

The efficacy of RYBREVANT was evaluated in patients with locally advanced or metastatic NSCLC with EGFR exon 20 insertion mutations in a multicenter, open-label, multi-cohort clinical trial (CHRYSALIS, NCT02609776). The study included patients with locally advanced or metastatic NSCLC with EGFR exon 20 insertion mutations whose disease had progressed on or after platinum-based chemotherapy. Patients with untreated brain metastases and patients with a history of ILD requiring treatment with prolonged steroids or other immunosuppressive agents within the last 2 years were not eligible for the study.

In the efficacy population, EGFR exon 20 insertion mutation status was determined by prospective local testing using tissue (94%) and/or plasma (6%) samples. Of the 81 patients with EGFR exon 20 insertion mutations identified by local testing, plasma samples from 78/81 (96%) patients were tested retrospectively using Guardant360 ®CDx, identifying 62/78 (79%) samples with an EGFR exon 20 insertion mutation; 16/78 (21%) samples did not have an EGFR exon 20 insertion mutation identified.

Patients received RYBREVANT at 1,050 mg (for patient baseline body weight < 80 kg) or 1,400 mg (for patient baseline body weight ≥ 80 kg) once weekly for 4 weeks, then every 2 weeks thereafter until disease progression or unacceptable toxicity. The major efficacy outcome measure was overall response rate (ORR) according to Response Evaluation Criteria in Solid Tumors (RECIST v1.1) as evaluated by Blinded Independent Central Review (BICR). An additional efficacy outcome measure was duration of response (DOR) by BICR.

The efficacy population included 81 patients with NSCLC with EGFR exon 20 insertion mutation with measurable disease who were previously treated with platinum-based chemotherapy. The median age was 62 (range: 42 to 84) years, 59% were female; 49% were Asian, 37% were White, 2.5% were Black; 74% had baseline body weight < 80 kg; 95% had adenocarcinoma; and 46% had received prior immunotherapy. The median number of prior therapies was 2 (range: 1 to 7). At baseline, 67% had Eastern Cooperative Oncology Group (ECOG) performance status of 1; 53% never smoked; all patients had metastatic disease; and 22% had previously treated brain metastases.

Efficacy results are summarized in Table 22.

Table 22: Efficacy Results for CHRYSALIS
Prior Platinum-based Chemotherapy Treated

(N=81)
Based on Kaplan-Meier estimates.

NE=Not Estimable; CI=confidence interval.
Overall response rate(95% CI) 40% (29%, 51%)
  Complete response (CR) 3.7%
  Partial response (PR) 36%
Duration of response (DOR)
  Median, months (95% CI), months 11.1 (6.9, NE)
  Patients with DOR ≥ 6 months 63%
14.3 First Line Treatment of Nsclc With Exon 20 Insertion Mutations Papillon (14.3 First Line Treatment of NSCLC with Exon 20 Insertion Mutations - PAPILLON)

The efficacy of RYBREVANT was evaluated in PAPILLON (NCT04538664), in a randomized, open-label, multicenter study. Eligible patients were required to have previously untreated locally advanced or metastatic NSCLC with EGFR Exon 20 insertion mutations measurable disease per RECIST v1.1, Eastern Cooperative Oncology Group (ECOG) performance status (PS) ≤ 1, and adequate organ and bone marrow function. Patients with brain metastases at screening were eligible for participation once they were definitively treated, clinically stable, asymptomatic, and off corticosteroid treatment for at least 2 weeks prior to randomization. Patients with a medical history of interstitial lung disease or active ILD were excluded from the clinical study.

A total of 308 patients were randomized 1:1 to receive RYBREVANT in combination with carboplatin and pemetrexed (n=153) or carboplatin and pemetrexed (n=155). Patients received RYBREVANT intravenously at 1,400 mg (for patients < 80 kg) or 1,750 mg (for patients ≥ 80 kg) once weekly through 4 weeks, then every 3 weeks with a dose of 1,750 mg (for patients < 80 kg) or 2,100 mg (for patients ≥ 80 kg) starting at Week 7 until disease progression or unacceptable toxicity. Carboplatin was administered intravenously at area under the concentration-time curve 5 mg/mL per minute (AUC 5) once every 3 weeks, for up to 12 weeks. Pemetrexed was administered intravenously at 500 mg/m2 on once every 3 weeks until disease progression or unacceptable toxicity. Patients were stratified by Eastern Cooperative Oncology Group (ECOG) performance status (0 or 1) and prior brain metastases (yes or no).

The primary efficacy outcome measure was progression-free survival (PFS) as assessed by blinded independent central review (BICR). Additional efficacy outcome measures included overall response rate (ORR), duration of response (DOR) and overall survival (OS). Cross-over to single agent RYBREVANT was permitted for patients who had confirmed disease progression on carboplatin and pemetrexed.

The median age was 62 (range: 27 to 92) years, with 40% of the patients ≥ 65 years of age; 58% were female; 61% were Asian and 36% were White, 0.7% were Black or African American and race was not reported in 2.3% of patients; 93% were not Hispanic or Latino. Baseline ECOG performance status was 0 (35%) or 1 (65%); 58% were never smokers; 23% had history of brain metastasis and 84% had Stage IV cancer at initial diagnosis.

PAPILLON demonstrated a statistically significant improvement in progression free survival for patients randomized to RYBREVANT in combination with carboplatin and pemetrexed compared with carboplatin and pemetrexed.

Efficacy results are summarized in Table 21 and Figure 4.

Table 21: Efficacy Results in PAPILLON
RYBREVANT+ carboplatin+ pemetrexed

(N=153)
carboplatin+ pemetrexed

(N=155)
CI = confidence interval
Progression-free survival (PFS)
  Number of events (%) 84 (55) 132 (85)
  Median, months (95% CI) 11.4 (9.8, 13.7) 6.7 (5.6, 7.3)
  HR (95% CI) 0.40 (0.30, 0.53)
  p-value p<0.0001
Overall response rate (ORR)
Confirmed responses.
  ORR, % (95% CI) 67 (59, 75) 36 (29, 44)
  Complete response, % 4 1
  Partial response, % 63 36
Duration of response (DOR)
In confirmed responders.
  Median (95% CI), months 10.1 (8.5, 13.9) 5.6 (4.4, 6.9)

Figure 4: Kaplan-Meier Curve of PFS in Previously Untreated NSCLC Patients by BICR Assessment – PAPILLON Study

While OS results were immature at the current analysis, with 44% of pre-specified deaths for the final analysis reported, no trend towards a detriment was observed. Seventy-five (48%) of the treated patients crossed over from the carboplatin and pemetrexed arm after confirmation of disease progression to receive RYBREVANT as a single agent.

2.5 Recommended Premedications to Reduce the Risk of Infusion Related Reactions (2.5 Recommended Premedications to Reduce the Risk of Infusion-Related Reactions)

Administer premedications as described in Table 5 .

After prolonged dose interruptions, restart the following Week 1 Day 1 premedications upon re-initiation: intravenous dexamethasone, diphenhydramine, and acetaminophen.

Table 5: Premedications
Premedication Schedule Medication and Frequency Route of Administration Dosing Window Prior to RYBREVANT Administration
Initial dose as a split infusion Dexamethasone

8 mg

(or equivalent)
Oral 48 hours
Week 1 Day -2 twice daily
Initial dose as a split infusion Dexamethasone

8 mg

(or equivalent)
Oral 24 hours
Week 1 Day -1 twice daily
Initial dose as a split infusion Dexamethasone

8 mg

(or equivalent)
Oral One hour
Week 1 Day 1 one dose
Dexamethasone

20 mg

(or equivalent)

one dose
Intravenous 45 to 60 minutes
Diphenhydramine

25 mg to 50 mg

(or equivalent)

one dose
Oral 30 to 60 minutes
Intravenous 15 to 30 minutes
Acetaminophen

650 mg to 1,000 mg

one dose
Oral 30 to 60 minutes
Intravenous 15 to 30 minutes
Initial dose as a split infusion Dexamethasone

10 mg

(or equivalent)
Intravenous 45 to 60 minutes
Week 1 Day 2 one dose
Diphenhydramine

25 mg to 50 mg

(or equivalent)

one dose
Oral 30 to 60 minutes
Intravenous 15 to 30 minutes
Acetaminophen

650 mg to 1,000 mg

one dose
Oral 30 to 60 minutes
Intravenous 15 to 30 minutes
All subsequent infusions Diphenhydramine

25 mg to 50 mg

(or equivalent)

one dose
Oral 30 to 60 minutes
Intravenous 15 to 30 minutes
Acetaminophen

650 mg to 1,000 mg

one dose
Oral 30 to 60 minutes
Intravenous 15 to 30 minutes
Optional:

Dexamethasone

10 mg

(or equivalent)

one dose
Intravenous 45 to 60 minutes
5.3 Venous Thromboembolic (vte) Events With Concomitant Use of Rybrevant and Lazertinib (5.3 Venous Thromboembolic (VTE) Events with Concomitant Use of RYBREVANT and Lazertinib)

RYBREVANT in combination with lazertinib can cause serious and fatal venous thromboembolic (VTE) events, including deep vein thrombosis and pulmonary embolism. The majority of these events occurred during the first four months of treatment [see Adverse Reactions (6.1)] .

In MARIPOSA [see Adverse Reactions (6.1)], VTEs occurred in 36% of patients receiving RYBREVANT in combination with lazertinib, including Grade 3 in 10% and Grade 4 in 0.5% of patients. On-study VTEs occurred in 1.2% of patients (n=5) while receiving anticoagulation therapy. There were two fatal cases of VTE (0.5%), 9% of patients had VTE leading to dose interruptions of RYBREVANT, 1% of patients had VTE leading to dose reductions of RYBREVANT, and 3.1% of patients had VTE leading to permanent discontinuation of RYBREVANT. The median time to onset of VTEs was 84 days (range: 6 to 777). Administer prophylactic anticoagulation for the first four months of treatment [see Dosage and Administration (2.7)]. The use of Vitamin K antagonists is not recommended. Monitor for signs and symptoms of VTE events and treat as medically appropriate.

Withhold RYBREVANT and lazertinib based on severity [see Dosage and Administration (2.8)] . Once anticoagulant treatment has been initiated, resume RYBREVANT and lazertinib at the same dose level at the discretion of the healthcare provider. In the event of VTE recurrence despite therapeutic anticoagulation, permanently discontinue RYBREVANT. Treatment can continue with lazertinib at the same dose level at the discretion of the healthcare provider [see Dosage and Administration (2.8)]. Refer to the lazertinib prescribing information for recommended lazertinib dosage modification.

2.6 Prophylactic and Concomitant Medications to Reduce the Risk of Dermatologic Adverse Reactions

When initiating treatment with RYBREVANT, prophylactic and concomitant medications are recommended to reduce the risk and severity of dermatologic adverse reactions [see Warnings and Precautions (5.4)].

  • Administer an oral antibiotic (doxycycline or minocycline, 100 mg orally twice daily) starting on Day 1 for the first 12 weeks of treatment.
  • After completion of oral antibiotic treatment, administer antibiotic lotion to the scalp (clindamycin 1% topical once daily) for the next 9 months of treatment.
  • Administer non-comedogenic skin moisturizer (ceramide-based or other formulations that provide long-lasting skin hydration and exclude drying agents) on the face and whole body (except scalp).
  • Wash hands and feet with 4% chlorhexidine solution once daily.
  • Limit sun exposure during and for 2 months after treatment. Advise patients to wear protective clothing and use broad-spectrum UVA/UVB sunscreen to reduce the risk of dermatologic adverse reactions.
14.1 First Line Treatment of Nsclc With Exon 19 Deletion Or Exon 21 L858r Substitution Mutation Mariposa (14.1 First Line Treatment of NSCLC with Exon 19 deletion or Exon 21 L858R Substitution Mutation - MARIPOSA)

The efficacy of RYBREVANT, in combination with lazertinib, was evaluated in MARIPOSA [NCT04487080], a randomized, active-controlled, multicenter trial. Eligible patients were required to have untreated locally advanced or metastatic NSCLC with either exon 19 deletions or exon 21 L858R substitution EGFR mutations identified by local testing, not amenable to curative therapy. Patients with asymptomatic or previously treated and stable intracranial metastases were eligible to enroll.

Patients were randomized (2:2:1) to receive RYBREVANT in combination with lazertinib (N=429), osimertinib monotherapy (N=429), or lazertinib monotherapy (an unapproved regimen for NSCLC) until disease progression or unacceptable toxicity. The evaluation of efficacy for the treatment of untreated metastatic NSCLC relied upon comparison between:

  • RYBREVANT administered intravenously at 1,050 mg (for patients < 80 kg) or 1,400 mg (for patients ≥ 80 kg) once weekly for 4 weeks, then every 2 weeks thereafter starting at week 5 in combination with lazertinib administered at 240 mg orally once daily.
  • Osimertinib administered at a dose of 80 mg orally once daily.

Randomization was stratified by EGFR mutation type (exon 19 deletion or exon 21 L858R substitution mutation), Asian race (yes or no), and history of brain metastasis (yes or no). Tumor assessments were performed every 8 weeks for 30 months, and then every 12 weeks until disease progression.

The major efficacy outcome measure was progression-free survival (PFS) as assessed by blinded independent central review (BICR). Additional efficacy outcome measures included overall survival (OS), overall response rate (ORR), and duration of response (DOR).

A total of 858 patients were randomized between the two study arms, 429 to the RYBREVANT in combination with lazertinib arm and 429 to the osimertinib arm. The median age was 63 (range: 25–88) years; 61% were female; 58% were Asian, 38% were White, 1.6% were American Indian or Alaska Native, 0.8% were Black or African American, 0.2% were Native Hawaiian or other Pacific Islander, 0.6% were unknown race or multiple races; and 12% were Hispanic or Latino. Eastern Cooperative Oncology Group (ECOG) performance status was 0 (34%) or 1 (66%); 69% never smoked; 41% had prior brain metastases; and 89% had Stage IV cancer at initial diagnosis. Sixty percent of patients had tumors harboring exon 19 deletions and the remaining 40% had exon 21 L858R substitution mutations.

Among the 858 patients with EGFR exon 19 deletion or L858R substitution mutations that were randomized between the RYBREVANT plus lazertinib arm versus the osimertinib arm, available tissue samples from 544 (63%) patients had evaluable results when tested retrospectively using the cobas EGFR Mutation Test v2. Of the 544 patients with evaluable results, 527 (97%) patients were positive for EGFR exon 19 deletion or L858R substitution mutations, while 17 (3%) patients were negative. Available plasma samples from patients were retrospectively tested using an FDA-approved test to confirm the biomarker status.

The trial demonstrated a statistically significant improvement in PFS by BICR assessment and OS for RYBREVANT in combination with lazertinib compared to osimertinib (see Table 18 and Figures 1 and 2).

Efficacy results for RYBREVANT in combination with lazertinib are provided in Table 18.

Table 18: Efficacy Results in MARIPOSA by BICR Assessment
RYBREVANT in combination with lazertinib

(N=429)
Osimertinib

(N=429)
CI = confidence interval; NR = not reached; NE = not estimable
Progression-free survival (PFS)
  Number of events (%) 192 (45) 252 (59)
  Median, months (95% CI) 23.7 (19.1, 27.7) 16.6 (14.8, 18.5)
  HR
Stratified by mutation type (Exon 19del or Exon 21 L858R), prior brain metastases (yes or no), and Asian race (yes or no).
,
Stratified Cox proportional hazards regression.
(95% CI); p-value
,
Stratified log-rank test.
0.70 (0.58, 0.85); p=0.0002
Overall survival (OS)
  Number of events (%) 173 (40) 217 (51)
  Median, months (95% CI) NR (42.9, NE) 36.7 (33.4, 41.0)
  HR
,
(95% CI); p-value
,
0.75 (0.61, 0.92); p=0.0048
Overall response rate (ORR)
Confirmed responses based on the ITT population.
  ORR, % (95% CI) 78 (74, 82) 73 (69, 78)
  Complete response, % 5.4 3.5
  Partial response, % 73 70
Duration of response (DOR)
In confirmed responders.
  Median (95% CI), months 25.8 (20.1, NE) 16.7 (14.8, 18.5)
  Patients with DOR ≥ 6 months
Based on observed rates.
, %
86 85
  Patients with DOR ≥ 12 months
, %
68 57

Figure 1: Kaplan-Meier Curves of PFS by BICR Assessment in Patients with Previously Untreated NSCLC

Figure 2: Kaplan-Meier Curves of OS in Patients with Previously Untreated NSCLC

Out of all randomized patients (n=858), 367 (43%) had baseline intracranial lesions assessed by BICR using modified RECIST. Results of pre-specified analyses of intracranial ORR and DOR by BICR in the subset of patients with intracranial lesions at baseline for the RYBREVANT in combination with lazertinib arm and the osimertinib arm are summarized in Table 19.

Table 19: Exploratory Analysis of Intracranial ORR and DOR by BICR Assessment in Subjects with Intracranial Lesions at Baseline
RYBREVANT in combination with lazertinib

(N=180)
Osimertinib

(N=187)
CI = confidence interval
Intracranial tumor response assessment
  Intracranial ORR
Confirmed responses
, % (95% CI)
68 (60, 75) 69 (62, 76)
  Complete response % 55 52
Intracranial DOR
In confirmed responders
  Number of responders 122 129
  Patients with DOR ≥ 12 months
Based on observed rates
, %
66 59
  Patients with DOR ≥ 18 months
, %
35 23
14.2 Previously Treated Nsclc Patients With Egfr Exon 19 Deletions Or Exon 21 L858r Substitution Mutations Mariposa 2 (14.2 Previously Treated NSCLC Patients with EGFR Exon 19 Deletions or Exon 21 L858R Substitution Mutations - MARIPOSA-2)

The efficacy of RYBREVANT in combination with carboplatin and pemetrexed was evaluated in MARIPOSA-2 (NCT04988295), a randomized, open-label, multicenter trial. Eligible patients were required to have locally advanced or metastatic NSCLC with EGFR exon 19 deletions or exon 21 L858R substitution mutations and progressive disease on or after receiving osimertinib. Patients with asymptomatic or previously treated and stable intracranial metastases were eligible to enroll. Patients were randomized (1:2:2) to receive RYBREVANT in combination with carboplatin and pemetrexed (RYBREVANT-CP, N=131), carboplatin and pemetrexed (CP, N=263), or RYBREVANT as part of another combination regimen. The evaluation of efficacy for metastatic NSCLC relied upon comparison between:

  • RYBREVANT in combination with carboplatin and pemetrexed. RYBREVANT was administered intravenously at 1,400 mg (for patients < 80 kg) or 1,750 mg (for patients ≥ 80 kg) once weekly through 4 weeks, then every 3 weeks with a dose of 1,750 mg (for patients < 80 kg) or 2,100 mg (for patients ≥ 80 kg) starting at Week 7 until disease progression or unacceptable toxicity.
  • Platinum-based chemotherapy with carboplatin and pemetrexed.

For both arms, carboplatin was administered intravenously at area under the concentration-time curve 5 mg/mL per minute (AUC 5) once every 3 weeks, for up to 12 weeks and pemetrexed was administered intravenously at 500 mg/m2 once every 3 weeks until disease progression or unacceptable toxicity.

Randomization was stratified by osimertinib line of therapy (first-line or second-line), prior brain metastases (yes or no), and Asian race (yes or no). Tumor assessments were performed every 6 weeks for the first 12 months and every 12 weeks thereafter.

The major efficacy outcome measure was progression-free survival (PFS) as assessed by blinded independent central review (BICR). Overall survival (OS) and overall response rate (ORR) as assessed by BICR were key secondary outcome measures.

A total of 394 patients were randomized between the two arms, 131 to the RYBREVANT-CP arm and 263 to the CP arm. The median age was 62 (range: 31 to 85) years, with 38% of patients ≥ 65 years of age; 60% were female; and 48% were Asian and 46% were White, 1% were American Indian or Alaska Native, 1% were Black or African American, 0.5% were multiple races and 2.8% were race not reported or race unknown; 8% were Hispanic or Latino. Baseline Eastern Cooperative Oncology Group (ECOG) performance status was 0 (40%) or 1 (60%); 65% never smoked; 45% had history of brain metastasis, and 99.7% had Stage IV cancer at study enrollment.

The trial demonstrated a statistically significant improvement in PFS by BICR for RYBREVANT in combination with carboplatin and pemetrexed compared to carboplatin and pemetrexed.

Efficacy results are summarized in Table 20.

Table 20: Efficacy results in MARIPOSA-2
RYBREVANT + carboplatin+ pemetrexed

(N=131)
carboplatin+ pemetrexed

(N=263)
CI = confidence interval; NE = not estimable
Progression-free survival (PFS)
Blinded Independent Central Review by RECIST v1.1
  Number of events 74 (56%) 171 (65%)
  Median, months (95% CI) 6.3 (5.6, 8.4) 4.2 (4.0, 4.4)
  HR (95% CI)
Stratified by osimertinib line of therapy (first-line or second-line), prior brain metastases (yes or no), and Asian race (yes or no).
,
Stratified Cox proportional hazards regression.
; p-value
,
Stratified log-rank test.
0.48 (0.36, 0.64); p<0.0001
Overall response rate
,
Confirmed responses.
  ORR, % (95% CI) 53% (44, 62) 29% (23, 35)
  p-value
,
Stratified logistic regression analysis.
p<0.0001
  Complete response 0.8% 0%
  Partial response 52% 29%
Duration of response
,
(DOR)
  Median (95% CI), months 6.9 (5.5, NE) 5.6 (4.2, 9.6)

Figure 3: Kaplan-Meier curve of PFS in Previously Treated NSCLC Patients by BICR assessment- MARIPOSA-2

At the prespecified second interim analysis of OS, with 85% of the deaths needed for the final analysis, there was no statistically significant difference in OS. The median OS was 17.7 months (95% CI: 16.0, 22.4) in the ACP arm and 15.3 months (95% CI: 13.7, 16.8) in the CP arm, with a hazard ratio of 0.73 (95% CI: 0.54, 0.99).

Patients with asymptomatic or previously treated and stable intracranial metastases were eligible to be randomized in MARIPOSA-2. Baseline disease assessment, including brain magnetic resonance imaging (MRI) was performed at treatment initiation. All patients underwent serial brain MRI during the trial.

Pre-specified secondary analyses of intracranial ORR by BICR in the subset of 91 (23%) patients with baseline intracranial disease were performed. Data were only available for intracranial complete responses and not available for intracranial partial responses. Intracranial ORR was 20% (95% CI: 8, 39) in the 30 patients with baseline intracranial disease in the ACP arm and 7% (95% CI: 1.8, 16) in the 61 patients with baseline intracranial disease in the CP arm.

2.3 Recommended Dosage of Rybrevant in Combination With Lazertinib Or Rybrevant As A Single Agent Every 2 Week Dosing (2.3 Recommended Dosage of RYBREVANT in Combination with Lazertinib or RYBREVANT as a Single Agent - Every 2-week dosing)

The recommended dosage of RYBREVANT in combination with lazertinib or RYBREVANT as a single agent, based on baseline body weight, are provided in Table 2. Administer RYBREVANT until disease progression or unacceptable toxicity.

Table 2: Recommended Dosage Schedule for RYBREVANT in Combination with Lazertinib or RYBREVANT as a Single Agent
Body weight at Baseline
Dose adjustment is not required for subsequent body weight changes.
Recommended Dose Dosing Schedule
Less than 80 kg 1,050 mg Weekly (total of 5 doses) from Weeks 1 to 5
  • Week 1 - split infusion on Day 1 and Day 2
  • Weeks 2 to 5 - infusion on Day 1
  • Week 6 – no dose
Every 2 weeks starting at Week 7 onwards
Greater than or equal to 80 kg 1,400 mg Weekly (total of 5 doses) from Weeks 1 to 5
  • Week 1 - split infusion on Day 1 and Day 2
  • Weeks 2 to 5 - infusion on Day 1
  • Week 6 – no dose
Every 2 weeks starting at Week 7 onwards
2.7 Rybrevant in Combination With Lazertinib: Concomitant Medications to Reduce the Risk of Venous Thromboembolic Events (2.7 RYBREVANT in Combination with Lazertinib: Concomitant Medications to Reduce the Risk of Venous Thromboembolic Events)

When initiating treatment with RYBREVANT in combination with lazertinib, administer anticoagulant prophylaxis to reduce the risk of venous thromboembolic (VTE) events for the first four months of treatment [see Warnings and Precautions (5.3)]. If there are no signs or symptoms of VTE during the first four months of treatment, consider discontinuation of anticoagulant prophylaxis at the discretion of the healthcare provider. Refer to the lazertinib prescribing information for information about concomitant medications.

2.4 Recommended Dosage of Rybrevant in Combination With Carboplatin and Pemetrexed for the Treatment of Nsclc – Every 3 Week Dosing (2.4 Recommended Dosage of RYBREVANT in Combination with Carboplatin and Pemetrexed for the Treatment of NSCLC – Every 3-week dosing)

The recommended dosage of RYBREVANT, administered in combination with carboplatin and pemetrexed is based on baseline body weight is provided in Table 3.

Table 3: Recommended Dosage for RYBREVANT in Combination with Carboplatin and Pemetrexed
Body weight at Baseline
Dose adjustment is not required for subsequent body weight changes.
Recommended Dose Dosing Schedule
Less than 80 kg 1,400 mg Weekly (total of 4 doses) from Weeks 1 to 4
  • Week 1 - split infusion on Day 1 and Day 2
  • Weeks 2 to 4 - infusion on Day 1
  • Weeks 5 and 6 – no dose

1,750 mg

Every 3 weeks starting at Week 7 onwards
Greater than or equal to 80 kg 1,750 mg Weekly (total of 4 doses) from Weeks 1 to 4
  • Week 1 - split infusion on Day 1 and Day 2
  • Weeks 2 to 4 - infusion on Day 1
  • Weeks 5 and 6 – no dose

2,100 mg

Every 3 weeks starting at Week 7 onwards

The recommended order of administration and regimen for RYBREVANT in combination with carboplatin and pemetrexed are provided in Table 4.

Table 4: Order of Administration and Regimen for RYBREVANT in Combination with Carboplatin and Pemetrexed
RYBREVANT in Combination with Carboplatin and Pemetrexed
Administer the regimen in the following order: pemetrexed first, carboplatin second, and RYBREVANT last.
Drug Dose Duration/Timing of Treatment
Pemetrexed Pemetrexed 500 mg/m2 intravenously

Refer to the pemetrexed Full Prescribing Information for complete information.
Every 3 weeks, continue until disease progression or unacceptable toxicity.
Carboplatin Carboplatin AUC 5 intravenously

Refer to the carboplatin Full Prescribing Information for complete information.
Every 3 weeks for up to 12 weeks.
RYBREVANT RYBREVANT intravenously

See Table 3.
Every 3 weeks, continue until disease progression or unacceptable toxicity.

Advanced Ingredient Data


Raw Label Data

All Sections (JSON)