These Highlights Do Not Include All The Information Needed To Use Calcium Gluconate Injection

These Highlights Do Not Include All The Information Needed To Use Calcium Gluconate Injection
SPL v3
SPL
SPL Set ID 13d7cfc9-ff7a-437e-8c21-d9709ac07d48
Route
INTRAVENOUS
Published
Effective Date 2023-12-11
Document Type 34391-3 HUMAN PRESCRIPTION DRUG LABEL

Drug Facts

Composition & Product

Active Ingredients
Calcium Cation (98.0 mg)
Inactive Ingredients
Calcium Saccharate Hydrochloric Acid Sodium Hydroxide Water

Identifiers & Packaging

Marketing Status
ANDA Active Since 2024-05-13

Description

Calcium gluconate injection is indicated for pediatric and adult patients for the treatment of acute symptomatic hypocalcemia. Limitations of Use The safety of calcium gluconate injection for long term use has not been established.

Indications and Usage

Calcium gluconate injection is indicated for pediatric and adult patients for the treatment of acute symptomatic hypocalcemia. Limitations of Use The safety of calcium gluconate injection for long term use has not been established.

Warnings and Precautions

Arrhythmias with Concomitant Cardiac Glycoside Use: If concomitant therapy is necessary, calcium gluconate injection should be given slowly in small amounts and close ECG monitoring is recommended. (5.1) End-Organ Damage due to Intravascular Ceftriaxone-Calcium Precipitates: Concurrent use of intravenous ceftriaxone may cause life-threatening precipitates. Cases of fatal outcomes in neonates have occurred. (4, 5.2) Tissue Necrosis and Calcinosis: Calcinosis cutis can occur with or without extravasation of calcium gluconate injection. Tissue necrosis, ulceration and secondary infection are the most serious complications. If extravasation occurs or clinical manifestations of calcinosis cutis are noted, immediately discontinue intravenous administration at that site and treat as needed. (5.3) Hypotension, Bradycardia and Cardiac Arrhythmias with Rapid Administration: To avoid adverse reactions that may follow rapid intravenous administration, calcium gluconate injection should be diluted with 5% dextrose or normal saline and infused slowly, with careful ECG monitoring for cardiac arrhythmias. (5.4) Aluminum Toxicity: This product contains aluminum, up to 400 mcg per liter, that may be toxic. (5.5)

Contraindications

Calcium gluconate injection is contraindicated in: Hypercalcemia. Neonates (28 days of age or younger) receiving ceftriaxone [see Warnings and Precautions (5.2) ].

Adverse Reactions

The following serious adverse reactions are also described elsewhere in the labeling: Arrhythmias with Concomitant Cardiac Glycoside Use [see Warnings and Precautions (5.1) ] End-Organ Damage due to Intravascular Ceftriaxone-Calcium Precipitates [see Warnings and Precautions (5.2) ] Tissue Necrosis and Calcinosis [see Warnings and Precautions (5.3) ] Hypotension, Bradycardia and Cardiac Arrhythmias [see Warnings and Precautions (5.4) ] Aluminum toxicity [see Warnings and Precautions (5.5) ] The following adverse reactions associated with the use of calcium gluconate were identified in the literature. Because these reactions are reported voluntarily from a population of uncertain size, it is not always possible to estimate their frequency reliably or to establish a causal relationship to drug exposure. Cardiovascular : Vasodilation, decreased blood pressure, bradycardia, cardiac arrhythmia, syncope, cardiac arrest. Administration site reactions : Local soft tissue inflammation, local necrosis, calcinosis cutis and calcification due to extravasation.

Drug Interactions

Cardiac Glycoside : Synergistic arrhythmias may occur if calcium and cardiac glycosides are administered together. ( 7.1 ) Calcium Channel Blockers : Administration of calcium may reduce the response. ( 7.2 ) Drugs that may cause hypercalcemia:  Vitamin D, vitamin A, thiazide diuretics, estrogen, calcipotriene and teriparatide administration may cause hypercalcemia. Monitor plasma calcium concentrations in patients taking these drugs concurrently. ( 7.3 )

Storage and Handling

Calcium Gluconate Injection USP, 100 mg per mL is supplied as a sterile, clear, colorless to slightly yellow solution filled in plastic vial. It is available as follows: 1,000 mg per 10 mL (100 mg per mL): 10 mL Single-dose Vial:                                              NDC 80830-1672-1 25 Vials in a Carton:                                                   NDC 80830-1672-5 10 Vials in a Carton:                                                   NDC 80830-1672-2 5,000 mg per 50 mL (100 mg per mL): 50 mL Single-dose Vial:                                              NDC 80830-1673-1 25 Vials in a Carton:                                                   NDC 80830-1673-5 10 Vials in a Carton:                                                   NDC 80830-1673-2 10,000 mg per 100 mL (100 mg per mL): 100 mL Pharmacy Bulk Package Vial:                       NDC 80830-1674-8 25 Vials in a Carton:                                                   NDC 80830-1674-5 10 Vials in a Carton:                                                   NDC 80830-1674-2 Store at 20° to 25°C (68° to 77°F) [see USP Controlled Room Temperature]. Do not freeze. Preservative Free. Discard any unused portion in the single-dose vial immediately or the Pharmacy Bulk Package vial within 4 hours after initial closure puncture. Each dose dispensed from the Pharmacy Bulk Package vial must be used immediately. The diluted solution must be used immediately. NOTE: Supersaturated solutions are prone to precipitation. The precipitate, if present, may be dissolved by warming the vial to 60° to 80°C, with occasional agitation, until the solution becomes clear. Shake vigorously. Allow to cool to room temperature before dispensing. Use injection only if clear immediately prior to use.

How Supplied

Calcium Gluconate Injection USP, 100 mg per mL is supplied as a sterile, clear, colorless to slightly yellow solution filled in plastic vial. It is available as follows: 1,000 mg per 10 mL (100 mg per mL): 10 mL Single-dose Vial:                                              NDC 80830-1672-1 25 Vials in a Carton:                                                   NDC 80830-1672-5 10 Vials in a Carton:                                                   NDC 80830-1672-2 5,000 mg per 50 mL (100 mg per mL): 50 mL Single-dose Vial:                                              NDC 80830-1673-1 25 Vials in a Carton:                                                   NDC 80830-1673-5 10 Vials in a Carton:                                                   NDC 80830-1673-2 10,000 mg per 100 mL (100 mg per mL): 100 mL Pharmacy Bulk Package Vial:                       NDC 80830-1674-8 25 Vials in a Carton:                                                   NDC 80830-1674-5 10 Vials in a Carton:                                                   NDC 80830-1674-2 Store at 20° to 25°C (68° to 77°F) [see USP Controlled Room Temperature]. Do not freeze. Preservative Free. Discard any unused portion in the single-dose vial immediately or the Pharmacy Bulk Package vial within 4 hours after initial closure puncture. Each dose dispensed from the Pharmacy Bulk Package vial must be used immediately. The diluted solution must be used immediately. NOTE: Supersaturated solutions are prone to precipitation. The precipitate, if present, may be dissolved by warming the vial to 60° to 80°C, with occasional agitation, until the solution becomes clear. Shake vigorously. Allow to cool to room temperature before dispensing. Use injection only if clear immediately prior to use.


Medication Information

Warnings and Precautions

Arrhythmias with Concomitant Cardiac Glycoside Use: If concomitant therapy is necessary, calcium gluconate injection should be given slowly in small amounts and close ECG monitoring is recommended. (5.1) End-Organ Damage due to Intravascular Ceftriaxone-Calcium Precipitates: Concurrent use of intravenous ceftriaxone may cause life-threatening precipitates. Cases of fatal outcomes in neonates have occurred. (4, 5.2) Tissue Necrosis and Calcinosis: Calcinosis cutis can occur with or without extravasation of calcium gluconate injection. Tissue necrosis, ulceration and secondary infection are the most serious complications. If extravasation occurs or clinical manifestations of calcinosis cutis are noted, immediately discontinue intravenous administration at that site and treat as needed. (5.3) Hypotension, Bradycardia and Cardiac Arrhythmias with Rapid Administration: To avoid adverse reactions that may follow rapid intravenous administration, calcium gluconate injection should be diluted with 5% dextrose or normal saline and infused slowly, with careful ECG monitoring for cardiac arrhythmias. (5.4) Aluminum Toxicity: This product contains aluminum, up to 400 mcg per liter, that may be toxic. (5.5)

Indications and Usage

Calcium gluconate injection is indicated for pediatric and adult patients for the treatment of acute symptomatic hypocalcemia. Limitations of Use The safety of calcium gluconate injection for long term use has not been established.

Dosage and Administration
  • Contains 100 mg of calcium gluconate per mL which contains 9.3 mg (0.465 mEq) of elemental calcium. (2.1)
  • Administer intravenously (bolus or continuous infusion) via a secure intravenous line. (2.1)
  • See Full Prescribing Information (FPI) for dilution instructions, administration rates and appropriate monitoring. (2.1)
  • Individualize the dose within the recommended range in adults and pediatric patients depending on the severity of symptoms of hypocalcemia, the serum calcium level and the acuity of onset of hypocalcemia. See Table 1 in the FPI for dosing recommendations in mg of calcium gluconate for neonates, pediatric and adult patients. (2.2)
  • Measure serum calcium during intermittent infusions every 4 to 6 hours and during continuous infusion every 1 to 4 hours. (2.3)
  • Calcium gluconate injection is not physically compatible with fluids containing phosphate or bicarbonate. Precipitation may result if mixed. See FPI for all drug incompatibilities. (2.5)
  • Supplied in a single-dose vial or pharmacy bulk package (PBP). For PBP, dispense single-doses to many patients in a pharmacy admixture program; use within 4 hours of puncture. (2.6)
Contraindications

Calcium gluconate injection is contraindicated in: Hypercalcemia. Neonates (28 days of age or younger) receiving ceftriaxone [see Warnings and Precautions (5.2) ].

Adverse Reactions

The following serious adverse reactions are also described elsewhere in the labeling: Arrhythmias with Concomitant Cardiac Glycoside Use [see Warnings and Precautions (5.1) ] End-Organ Damage due to Intravascular Ceftriaxone-Calcium Precipitates [see Warnings and Precautions (5.2) ] Tissue Necrosis and Calcinosis [see Warnings and Precautions (5.3) ] Hypotension, Bradycardia and Cardiac Arrhythmias [see Warnings and Precautions (5.4) ] Aluminum toxicity [see Warnings and Precautions (5.5) ] The following adverse reactions associated with the use of calcium gluconate were identified in the literature. Because these reactions are reported voluntarily from a population of uncertain size, it is not always possible to estimate their frequency reliably or to establish a causal relationship to drug exposure. Cardiovascular : Vasodilation, decreased blood pressure, bradycardia, cardiac arrhythmia, syncope, cardiac arrest. Administration site reactions : Local soft tissue inflammation, local necrosis, calcinosis cutis and calcification due to extravasation.

Drug Interactions

Cardiac Glycoside : Synergistic arrhythmias may occur if calcium and cardiac glycosides are administered together. ( 7.1 ) Calcium Channel Blockers : Administration of calcium may reduce the response. ( 7.2 ) Drugs that may cause hypercalcemia:  Vitamin D, vitamin A, thiazide diuretics, estrogen, calcipotriene and teriparatide administration may cause hypercalcemia. Monitor plasma calcium concentrations in patients taking these drugs concurrently. ( 7.3 )

Storage and Handling

Calcium Gluconate Injection USP, 100 mg per mL is supplied as a sterile, clear, colorless to slightly yellow solution filled in plastic vial. It is available as follows: 1,000 mg per 10 mL (100 mg per mL): 10 mL Single-dose Vial:                                              NDC 80830-1672-1 25 Vials in a Carton:                                                   NDC 80830-1672-5 10 Vials in a Carton:                                                   NDC 80830-1672-2 5,000 mg per 50 mL (100 mg per mL): 50 mL Single-dose Vial:                                              NDC 80830-1673-1 25 Vials in a Carton:                                                   NDC 80830-1673-5 10 Vials in a Carton:                                                   NDC 80830-1673-2 10,000 mg per 100 mL (100 mg per mL): 100 mL Pharmacy Bulk Package Vial:                       NDC 80830-1674-8 25 Vials in a Carton:                                                   NDC 80830-1674-5 10 Vials in a Carton:                                                   NDC 80830-1674-2 Store at 20° to 25°C (68° to 77°F) [see USP Controlled Room Temperature]. Do not freeze. Preservative Free. Discard any unused portion in the single-dose vial immediately or the Pharmacy Bulk Package vial within 4 hours after initial closure puncture. Each dose dispensed from the Pharmacy Bulk Package vial must be used immediately. The diluted solution must be used immediately. NOTE: Supersaturated solutions are prone to precipitation. The precipitate, if present, may be dissolved by warming the vial to 60° to 80°C, with occasional agitation, until the solution becomes clear. Shake vigorously. Allow to cool to room temperature before dispensing. Use injection only if clear immediately prior to use.

How Supplied

Calcium Gluconate Injection USP, 100 mg per mL is supplied as a sterile, clear, colorless to slightly yellow solution filled in plastic vial. It is available as follows: 1,000 mg per 10 mL (100 mg per mL): 10 mL Single-dose Vial:                                              NDC 80830-1672-1 25 Vials in a Carton:                                                   NDC 80830-1672-5 10 Vials in a Carton:                                                   NDC 80830-1672-2 5,000 mg per 50 mL (100 mg per mL): 50 mL Single-dose Vial:                                              NDC 80830-1673-1 25 Vials in a Carton:                                                   NDC 80830-1673-5 10 Vials in a Carton:                                                   NDC 80830-1673-2 10,000 mg per 100 mL (100 mg per mL): 100 mL Pharmacy Bulk Package Vial:                       NDC 80830-1674-8 25 Vials in a Carton:                                                   NDC 80830-1674-5 10 Vials in a Carton:                                                   NDC 80830-1674-2 Store at 20° to 25°C (68° to 77°F) [see USP Controlled Room Temperature]. Do not freeze. Preservative Free. Discard any unused portion in the single-dose vial immediately or the Pharmacy Bulk Package vial within 4 hours after initial closure puncture. Each dose dispensed from the Pharmacy Bulk Package vial must be used immediately. The diluted solution must be used immediately. NOTE: Supersaturated solutions are prone to precipitation. The precipitate, if present, may be dissolved by warming the vial to 60° to 80°C, with occasional agitation, until the solution becomes clear. Shake vigorously. Allow to cool to room temperature before dispensing. Use injection only if clear immediately prior to use.

Description

Calcium gluconate injection is indicated for pediatric and adult patients for the treatment of acute symptomatic hypocalcemia. Limitations of Use The safety of calcium gluconate injection for long term use has not been established.

Risk Summary

Limited available data with calcium gluconate injection use in pregnant women are insufficient to inform a drug associated risk of adverse developmental outcomes. There are risks to the mother and the fetus associated with hypocalcemia in pregnancy [see Clinical Considerations].

The estimated background risk of major birth defects and miscarriage for the indicated population is unknown. In the U.S. general population, the estimated background risk of major birth defects and miscarriage in clinically recognized pregnancies is 2% to 4% and 15% to 20%, respectively.

Clinical Considerations

Disease-associated maternal risk

Maternal hypocalcemia can result in an increased rate of spontaneous abortion, premature and dysfunctional labor and possibly preeclampsia.

Fetal/Neonatal adverse reactions

Infants born to mothers with hypocalcemia can have associated fetal and neonatal hyperparathyroidism, which in turn can cause fetal and neonatal skeletal demineralization, subperiosteal bone resorption, osteitis fibrosa cystica and neonatal seizures. Infants born to mothers with hypocalcemia should be carefully monitored for signs of hypocalcemia or hypercalcemia, including neuromuscular irritability, apnea, cyanosis and cardiac rhythm disorders.

10 Overdosage

Overdosage of calcium gluconate injection may result in hypercalcemia. Symptoms of hypercalcemia typically develop when the total serum calcium concentration is ≥ 12 mg/dL. Neurologic symptoms include depression, weakness, fatigue and confusion at lower levels, with patients experiencing hallucinations, disorientation, hypotonicity, seizures and coma. Effects on the kidney include diminished ability to concentrate urine and diuresis.

If overdose of calcium gluconate injection occurs immediately discontinue administration and provide supportive treatments to restore intravascular volume as well as promote calcium excretion in the urine if necessary.

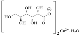
11 Description

Calcium gluconate injection USP, 100 mg per mL is a sterile, clear, colorless to slightly yellow, preservative-free, nonpyrogenic, supersaturated solution of calcium gluconate, a form of calcium, for intravenous use.

The chemical name of calcium gluconate monohydrate, USP is calcium D-gluconate (1:2) monohydrate. The structural formula is:

Molecular formula: C12H22CaO14•H2O

Molecular weight: 448.39 g/mol

Solubility in water: 3.5 g/100 mL at 25°C

Calcium gluconate monohydrate, USP is a white, crystalline granules or powder. It is soluble in boiling water, sparingly soluble in water and insoluble in alcohol.

Calcium Gluconate Injection, USP is available as 1,000 mg per 10 mL (100 mg per mL) or 5,000 mg per 50 mL (100 mg per mL) in a single-dose vial or 10,000 mg per 100 mL (100 mg per mL) in a pharmacy bulk package.

Each mL of calcium gluconate injection, USP contains: 100 mg of calcium gluconate (equivalent to 94 mg of calcium gluconate and 4.5 mg of calcium saccharate tetrahydrate), hydrochloric acid and/or sodium hydroxide for pH adjustment (6.0 to 8.2) and sterile water for injection, q.s. It contains no antimicrobial agent.

Each mL of calcium gluconate injection, USP contains 9.3 mg (0.465 mEq) of elemental calcium.

8.4 Pediatric Use

The safety and effectiveness of calcium gluconate injection have been established in pediatric patients for the treatment of acute, symptomatic hypocalcemia.

Pediatric approval for calcium gluconate injection, including doses, is not based on adequate and well-controlled clinical studies. Safety and dosing recommendations in pediatric patients are based on published literature and clinical experience [see Dosage and Administration (2.2)].

Concomitant use of ceftriaxone and calcium gluconate injection is contraindicated in neonates (28 days of age or younger) due to reports of fatal outcomes associated with the presence of lung and kidney ceftriaxone-calcium precipitates. In patients older than 28 days of age, ceftriaxone and calcium gluconate injection may be administered sequentially, provided the infusion lines are thoroughly flushed between infusions with a compatible fluid [see Contraindications (4) and Warnings and Precautions (5.2) ]. This product contains up to 400 mcg/L aluminum which may be toxic, particularly for premature neonates due to immature renal function. Parenteral administration of aluminum greater than 4 to 5 mcg/kg/day is associated with central nervous system and bone toxicity [see Warnings and Precautions (5.5)].

8.5 Geriatric Use

In general dose selection for an elderly patient should start at the lowest dose of the recommended dose range, reflecting the greater frequency of decreased hepatic, renal or cardiac function and of concomitant disease or other drug therapy.

4 Contraindications

Calcium gluconate injection is contraindicated in:

6 Adverse Reactions

The following serious adverse reactions are also described elsewhere in the labeling:

The following adverse reactions associated with the use of calcium gluconate were identified in the literature. Because these reactions are reported voluntarily from a population of uncertain size, it is not always possible to estimate their frequency reliably or to establish a causal relationship to drug exposure.

Cardiovascular : Vasodilation, decreased blood pressure, bradycardia, cardiac arrhythmia, syncope, cardiac arrest.

Administration site reactions : Local soft tissue inflammation, local necrosis, calcinosis cutis and calcification due to extravasation.

7 Drug Interactions
  • Cardiac Glycoside: Synergistic arrhythmias may occur if calcium and cardiac glycosides are administered together. (7.1)
  • Calcium Channel Blockers: Administration of calcium may reduce the response. (7.2)
  • Drugs that may cause hypercalcemia: Vitamin D, vitamin A, thiazide diuretics, estrogen, calcipotriene and teriparatide administration may cause hypercalcemia. Monitor plasma calcium concentrations in patients taking these drugs concurrently. (7.3)
8.6 Renal Impairment

For patients with renal impairment, initiate calcium gluconate injection at the lowest dose of the recommended dose ranges across all age groups. Monitor serum calcium levels every 4 hours [see Dosage and Administration (2.4)].

12.3 Pharmacokinetics

Absorption

Calcium gluconate injection is 100% bioavailable following intravenous injection.

Metabolism

Calcium itself does not undergo direct metabolism. The release of ionized calcium from intravenous administration of calcium gluconate is direct and does not seem to be affected by the first pass through the liver.

Distribution

Calcium in the body is distributed mainly in skeleton (99%). Only 1% of the total body calcium is distributed within the extracellular fluids and soft tissues. About 50% of total serum calcium is in the ionized form and represents the biologically active part. 8% to 10% serum calcium is bound to organic and inorganic acid and approximately 40% is protein-bound (primarily to albumin).

Elimination

Studies have shown a relationship between urinary calcium excretion and the intravenous administration of calcium gluconate, with a significant increase in urinary calcium excretion observed after the intravenous administration of calcium gluconate.

5.5 Aluminum Toxicity

Calcium gluconate injection contains aluminum, up to 400 mcg per liter, that may be toxic. Aluminum may reach toxic levels with prolonged parenteral administration if kidney function is impaired. Premature neonates are particularly at risk because their kidneys are immature and they require large amounts of calcium and phosphate solutions, which contain aluminum. Research indicates that patients with impaired kidney function, including premature neonates, who receive parenteral levels of aluminum at greater than 4 mcg/kg/day to 5 mcg/kg/day accumulate aluminum levels associated with central nervous system and bone toxicity. Tissue loading may occur at even lower rates of administration.

2.2 Recommended Dosage

Individualize the dose of calcium gluconate injection within the recommended range depending on the severity of symptoms of hypocalcemia, the serum calcium level and the acuity of onset of hypocalcemia.

Table 1 provides dosing recommendations for calcium gluconate injection in mg of calcium gluconate for neonates, pediatric and adult patients.

Table 1: Dosing Recommendations in mg of Calcium Gluconate for Neonate, Pediatric and Adult Patients

Patient Population

Initial Dose

Subsequent Doses (if needed)

Bolus

Continuous Infusion

Neonate

(≤  1 month)

100 mg/kg to 200 mg/kg

100 mg/kg to 200 mg/kg

every 6 hours

Initiate at

17 to 33 mg/kg/hour

Pediatric

(> 1 month to < 17 years)

29 mg/kg to 60 mg/kg

29 mg/kg to 60 mg/kg

every 6 hours

Initiate at

8 to 13 mg/kg/hour

Adult

1,000 mg to 2,000 mg

1,000 mg to 2,000 mg

every 6 hours

Initiate at

5.4 to 21.5 mg/kg/hour

For bolus administration, DO NOT exceed an infusion rate of:

  • 200 mg/minute in adult patients
  • 100 mg/minute in pediatric patients

For continuous infusions, adjust rate as needed based on serum calcium levels.



7.1 Cardiac Glycosides

Hypercalcemia increases the risk of digoxin toxicity, while digoxin may be therapeutically ineffective in the presence of hypocalcemia. Synergistic arrhythmias may occur if calcium and cardiac glycosides are administered together. Avoid administration of calcium gluconate injection in patients receiving cardiac glycosides; if considered necessary, administer calcium gluconate injection slowly in small amounts and monitor ECG closely during administration.

8.7 Hepatic Impairment

Hepatic function does not impact the availability of ionized calcium after calcium gluconate intravenous administration. Dose adjustment in hepatically impaired patients may not be necessary. 

1 Indications and Usage

Calcium gluconate injection is indicated for pediatric and adult patients for the treatment of acute symptomatic hypocalcemia.

Limitations of Use

The safety of calcium gluconate injection for long term use has not been established.

Principal Display Panel

NDC 80830-1672-1

Calcium Gluconate Injection USP, 1,000 mg per 10 mL (100 mg per mL)

Rx only

10 mL Vial label

Amneal Pharmaceuticals LLC

NDC 80830-1672-2

Calcium Gluconate Injection USP, 1,000 mg per 10 mL (100 mg per mL)

Rx only

Carton label (10 x 10 mL Single-Dose Vials)

Amneal Pharmaceuticals LLC

NDC 80830-1672-5

Calcium Gluconate Injection USP, 1,000 mg per 10 mL (100 mg per mL)

Rx only

Carton label (25 x 10 mL Single-Dose Vials)

Amneal Pharmaceuticals LLC

NDC 80830-1673-1

Calcium Gluconate Injection USP, 5,000 mg per 50 mL (100 mg per mL)

Rx only

50 mL Vial label

Amneal Pharmaceuticals LLC

NDC 80830-1673-2

Calcium Gluconate Injection USP, 5,000 mg per 50 mL (100 mg per mL)

Rx only

Carton Label (10 x 50 mL Single-Dose Vials)

Amneal Pharmaceuticals LLC

NDC 80830-1673-5

Calcium Gluconate Injection USP, 5,000 mg per 50 mL (100 mg per mL)

Rx only

Carton Label (25 x 50 mL Single-Dose Vials)

Amneal Pharmaceuticals LLC

  NDC 80830-1674-8

Calcium Gluconate Injection USP, 10,000 mg per 100 mL (100 mg per mL)

Rx only

100 mL Pharmacy Bulk Package Vial Label

Amneal Pharmaceuticals LLC

NDC 80830-1674-2

Calcium Gluconate Injection USP, 10,000 mg per 100 mL (100 mg per mL)

Rx only

Carton Label (10 x 100 mL Pharmacy Bulk Package Vials)

Amneal Pharmaceuticals LLC

NDC 80830-1674-5

Calcium Gluconate Injection USP, 10,000 mg per 100 mL (100 mg per mL)

Rx only

Carton Label (25 x 100 mL Pharmacy Bulk Package Vials)

Amneal Pharmaceuticals LLC

12.1 Mechanism of Action

Intravenous administration of calcium gluconate increases serum ionized calcium level. Calcium gluconate dissociates into ionized calcium in plasma. Ionized calcium and gluconate are normal constituents of body fluids.

2.5 Drug Incompatibilities
  • Do not mix calcium gluconate injection with ceftriaxone. Concurrent use of intravenous ceftriaxone and calcium gluconate injection can lead to the formation of ceftriaxone-calcium precipitates. Concomitant use of ceftriaxone and intravenous calcium-containing products is contraindicated in neonates (28 days of age or younger) [see Contraindications (4)]. In patients older than 28 days of age, ceftriaxone and calcium-containing products may be administered sequentially, provided the infusion lines are thoroughly flushed between infusions with a compatible fluid. Ceftriaxone must not be administered simultaneously with intravenous calcium-containing solutions via a Y-site in any age group [see Warnings and Precautions (5.2), Drug Interactions (7.3)].
  • Do not mix calcium gluconate injection with fluids containing bicarbonate or phosphate. Calcium gluconate injection is not physically compatible with fluids containing phosphate or bicarbonate. Precipitation may result if mixed.
  • Do not mix calcium gluconate injection with minocycline injection. Calcium complexes minocycline rendering it inactive.
5 Warnings and Precautions
  • Arrhythmias with Concomitant Cardiac Glycoside Use: If concomitant therapy is necessary, calcium gluconate injection should be given slowly in small amounts and close ECG monitoring is recommended. (5.1)
  • End-Organ Damage due to Intravascular Ceftriaxone-Calcium Precipitates: Concurrent use of intravenous ceftriaxone may cause life-threatening precipitates. Cases of fatal outcomes in neonates have occurred. (4, 5.2)
  • Tissue Necrosis and Calcinosis: Calcinosis cutis can occur with or without extravasation of calcium gluconate injection. Tissue necrosis, ulceration and secondary infection are the most serious complications. If extravasation occurs or clinical manifestations of calcinosis cutis are noted, immediately discontinue intravenous administration at that site and treat as needed. (5.3)
  • Hypotension, Bradycardia and Cardiac Arrhythmias with Rapid Administration: To avoid adverse reactions that may follow rapid intravenous administration, calcium gluconate injection should be diluted with 5% dextrose or normal saline and infused slowly, with careful ECG monitoring for cardiac arrhythmias. (5.4)
  • Aluminum Toxicity: This product contains aluminum, up to 400 mcg per liter, that may be toxic. (5.5)
2.3 Serum Calcium Monitoring

Measure serum calcium every 4 to 6 hours during intermittent infusions with calcium gluconate injection and measure serum calcium every 1 to 4 hours during continuous infusion.

3 Dosage Forms and Strengths

Calcium Gluconate Injection, USP is a sterile, clear, colorless to slightly yellow solution available in the following:

  • Single-dose vial: 1,000 mg per 10 mL (100 mg per mL)
  • Single-dose vial: 5,000 mg per 50 mL (100 mg per mL)
  • Pharmacy bulk package: 10,000 mg per 100 mL (100 mg per mL)

Each mL of calcium gluconate injection, USP contains 9.3 mg (0.465 mEq) of elemental calcium.

7.2 Calcium Channel Blockers

Administration of calcium may reduce the response to calcium channel blockers.

8 Use in Specific Populations
  • Geriatric use: Dosing in elderly patients should be cautious, usually starting at the low end of the dosage range. (8.5)
  • Renal impairment: Initiate with the lower limit of the dosage range and monitor serum calcium levels every 4 hours. (8.6, 2.4)


2.4 Dosage in Renal Impairment

For patients with renal impairment, initiate calcium gluconate injection at the lowest dose of the recommended dose ranges for all age groups and monitor serum calcium levels every 4 hours.

17 Patient Counseling Information
  • Advise the patient that the risks associated with infusion including local tissue inflammation, local necrosis and calcinosis [see Warnings and Precautions (5.3)].

Manufactured by:

Amneal Pharmaceuticals Pvt. Ltd.

Parenteral Unit

Ahmedabad 382110, INDIA                                                                                                         

Distributed by:

Amneal Pharmaceuticals LLC

Bridgewater, NJ 08807

Rev. 12-2023-01

5.3 Tissue Necrosis and Calcinosis

Intravenous administration of calcium gluconate injection and local trauma may result in calcinosis cutis due to transient increase in local calcium concentration. Calcinosis cutis can occur with or without extravasation of calcium gluconate injection, is characterized by abnormal dermal deposits of calcium salts and clinically manifests as papules, plaques or nodules that may be associated with erythema, swelling or induration. Tissue necrosis, ulceration and secondary infection are the most serious complications.

If extravasation occurs or clinical manifestations of calcinosis cutis are noted, immediately discontinue intravenous administration at that site and treat as needed.

For Continuous Intravenous Infusion
16 How Supplied/storage and Handling

Calcium Gluconate Injection USP, 100 mg per mL is supplied as a sterile, clear, colorless to slightly yellow solution filled in plastic vial.

It is available as follows:

1,000 mg per 10 mL (100 mg per mL):

10 mL Single-dose Vial:                                              NDC 80830-1672-1

25 Vials in a Carton:                                                   NDC 80830-1672-5

10 Vials in a Carton:                                                   NDC 80830-1672-2

5,000 mg per 50 mL (100 mg per mL):

50 mL Single-dose Vial:                                              NDC 80830-1673-1

25 Vials in a Carton:                                                   NDC 80830-1673-5

10 Vials in a Carton:                                                   NDC 80830-1673-2

10,000 mg per 100 mL (100 mg per mL):

100 mL Pharmacy Bulk Package Vial:                       NDC 80830-1674-8

25 Vials in a Carton:                                                   NDC 80830-1674-5

10 Vials in a Carton:                                                   NDC 80830-1674-2

Store at 20° to 25°C (68° to 77°F) [see USP Controlled Room Temperature]. Do not freeze.

Preservative Free. Discard any unused portion in the single-dose vial immediately or the Pharmacy Bulk Package vial within 4 hours after initial closure puncture.

Each dose dispensed from the Pharmacy Bulk Package vial must be used immediately.

The diluted solution must be used immediately.

NOTE: Supersaturated solutions are prone to precipitation. The precipitate, if present, may be dissolved by warming the vial to 60° to 80°C, with occasional agitation, until the solution becomes clear. Shake vigorously. Allow to cool to room temperature before dispensing. Use injection only if clear immediately prior to use.

For Bolus Intravenous Administration
  • Dilute the dose [see Dosage and Administration (2.2)] of calcium gluconate injection in 5% dextrose or normal saline to a concentration of 10 mg/mL to 50 mg/mL prior to administration. Administer the dose slowly and DO NOT exceed an infusion rate of 200 mg/minute in adults or 100 mg/minute in pediatric patients, including neonates. Monitor patients, vitals and electrocardiograph (ECG) during administration [see Warnings and Precautions (5.4)].
7.3 Drugs That May Cause Hypercalcemia

Vitamin D, vitamin A, thiazide diuretics, estrogen, calcipotriene and teriparatide administration may cause hypercalcemia. Monitor plasma calcium concentrations in patients taking these drugs concurrently.

2.6 Preparation of Pharmacy Bulk Package

The pharmacy bulk package (PBP) of calcium gluconate injection is intended for dispensing of single-doses to multiple patients in a pharmacy admixture program. Penetrate the container closure only one time with a suitable sterile transfer device or dispensing set that allows measured dispensing of the contents. Use the PBP only in a suitable ISO Class 5 work area such as a laminar flow hood (or an equivalent clean air compounding area). Complete dispensing from the pharmacy bulk vial within 4 hours after the container closure is penetrated. Each dose dispensed from the pharmacy bulk package vial must be used immediately.

2.1 Important Administration Instructions
  • Calcium gluconate injection contains 100 mg of calcium gluconate per mL which contains 9.3 mg (i.e. 0.465 mEq) of elemental calcium.
  • Dilute calcium gluconate injection prior to use in 5% dextrose or normal saline and assess for potential drug or intravenous fluid incompatibilities [see Dosage and Administration (2.5)].
  • Inspect calcium gluconate injection visually prior to administration. The solution should appear clear and colorless to slightly yellow. Do not administer if there is particulate matter or discoloration.
  • Use the diluted solution immediately after preparation.
  • Administer calcium gluconate injection intravenously via a secure intravenous line to avoid calcinosis cutis and tissue necrosis [see Warnings and Precautions (5.3)].
  • Administer calcium gluconate injection by bolus administration or continuous infusion.
5.1 Arrhythmias With Concomitant Cardiac Glycoside Use

Cardiac arrhythmias may occur if calcium and cardiac glycosides are administered together. Hypercalcemia increases the risk of digoxin toxicity. Administration of calcium gluconate injection should be avoided in patients receiving cardiac glycosides. If concomitant therapy is necessary, calcium gluconate injection should be given slowly in small amounts and with close ECG monitoring [see Drug Interactions (7.1)].

13.1 Carcinogenesis, Mutagenesis, Impairment of Fertility

Long-term studies in animals have not been conducted to evaluate the carcinogenic potential of calcium gluconate injection. Calcium gluconate was not mutagenic with or without metabolic activation in the Ames test with Salmonella typhimurium (strains TA-1535, TA-1537 and TA-1538) or Saccharomyces cerevisiae (Strain D4). Fertility studies in animals have not been conducted with calcium gluconate administered by the intravenous route.

5.2 End Organ Damage Due to Intravascular Ceftriaxone Calcium Precipitates

Concomitant use of ceftriaxone and calcium gluconate injection is contraindicated in neonates (28 days of age or younger) due to cases of fatal outcomes in neonates in which a crystalline material was observed in the lungs and kidneys at autopsy after ceftriaxone and calcium were administrated simultaneously through the same intravenous line. Concomitant administration can lead to the formation of ceftriaxone-calcium precipitates that may act as emboli, resulting in vascular spasm or infarction [see Contraindications (4)].

In patients older than 28 days of age, ceftriaxone and calcium gluconate injection may be administered sequentially, provided the infusion lines are thoroughly flushed between infusions with a compatible fluid. Do not administer ceftriaxone simultaneously with calcium gluconate injection via a Y-site in any age group.

5.4 Hypotension, Bradycardia and Cardiac Arrhythmias With Rapid Administration

Rapid injection of calcium gluconate injection may cause vasodilation, decreased blood pressure, bradycardia, cardiac arrhythmias, syncope and cardiac arrest. To avoid adverse reactions that may follow rapid intravenous administration, calcium gluconate injection should be diluted with 5% dextrose or normal saline and infused slowly. If rapid intravenous bolus of calcium gluconate injection is required, the rate of intravenous administration should not exceed 200 mg/minute in adults and 100 mg/minute in pediatric patients and ECG monitoring during administration is recommended [see Dosage and Administration (2.1)].


Structured Label Content

Dosage and Administration (34068-7)
  • Contains 100 mg of calcium gluconate per mL which contains 9.3 mg (0.465 mEq) of elemental calcium. (2.1)
  • Administer intravenously (bolus or continuous infusion) via a secure intravenous line. (2.1)
  • See Full Prescribing Information (FPI) for dilution instructions, administration rates and appropriate monitoring. (2.1)
  • Individualize the dose within the recommended range in adults and pediatric patients depending on the severity of symptoms of hypocalcemia, the serum calcium level and the acuity of onset of hypocalcemia. See Table 1 in the FPI for dosing recommendations in mg of calcium gluconate for neonates, pediatric and adult patients. (2.2)
  • Measure serum calcium during intermittent infusions every 4 to 6 hours and during continuous infusion every 1 to 4 hours. (2.3)
  • Calcium gluconate injection is not physically compatible with fluids containing phosphate or bicarbonate. Precipitation may result if mixed. See FPI for all drug incompatibilities. (2.5)
  • Supplied in a single-dose vial or pharmacy bulk package (PBP). For PBP, dispense single-doses to many patients in a pharmacy admixture program; use within 4 hours of puncture. (2.6)
Risk Summary (Risk summary)

Limited available data with calcium gluconate injection use in pregnant women are insufficient to inform a drug associated risk of adverse developmental outcomes. There are risks to the mother and the fetus associated with hypocalcemia in pregnancy [see Clinical Considerations].

The estimated background risk of major birth defects and miscarriage for the indicated population is unknown. In the U.S. general population, the estimated background risk of major birth defects and miscarriage in clinically recognized pregnancies is 2% to 4% and 15% to 20%, respectively.

Clinical Considerations

Disease-associated maternal risk

Maternal hypocalcemia can result in an increased rate of spontaneous abortion, premature and dysfunctional labor and possibly preeclampsia.

Fetal/Neonatal adverse reactions

Infants born to mothers with hypocalcemia can have associated fetal and neonatal hyperparathyroidism, which in turn can cause fetal and neonatal skeletal demineralization, subperiosteal bone resorption, osteitis fibrosa cystica and neonatal seizures. Infants born to mothers with hypocalcemia should be carefully monitored for signs of hypocalcemia or hypercalcemia, including neuromuscular irritability, apnea, cyanosis and cardiac rhythm disorders.

10 Overdosage (10 OVERDOSAGE)

Overdosage of calcium gluconate injection may result in hypercalcemia. Symptoms of hypercalcemia typically develop when the total serum calcium concentration is ≥ 12 mg/dL. Neurologic symptoms include depression, weakness, fatigue and confusion at lower levels, with patients experiencing hallucinations, disorientation, hypotonicity, seizures and coma. Effects on the kidney include diminished ability to concentrate urine and diuresis.

If overdose of calcium gluconate injection occurs immediately discontinue administration and provide supportive treatments to restore intravascular volume as well as promote calcium excretion in the urine if necessary.

11 Description (11 DESCRIPTION)

Calcium gluconate injection USP, 100 mg per mL is a sterile, clear, colorless to slightly yellow, preservative-free, nonpyrogenic, supersaturated solution of calcium gluconate, a form of calcium, for intravenous use.

The chemical name of calcium gluconate monohydrate, USP is calcium D-gluconate (1:2) monohydrate. The structural formula is:

Molecular formula: C12H22CaO14•H2O

Molecular weight: 448.39 g/mol

Solubility in water: 3.5 g/100 mL at 25°C

Calcium gluconate monohydrate, USP is a white, crystalline granules or powder. It is soluble in boiling water, sparingly soluble in water and insoluble in alcohol.

Calcium Gluconate Injection, USP is available as 1,000 mg per 10 mL (100 mg per mL) or 5,000 mg per 50 mL (100 mg per mL) in a single-dose vial or 10,000 mg per 100 mL (100 mg per mL) in a pharmacy bulk package.

Each mL of calcium gluconate injection, USP contains: 100 mg of calcium gluconate (equivalent to 94 mg of calcium gluconate and 4.5 mg of calcium saccharate tetrahydrate), hydrochloric acid and/or sodium hydroxide for pH adjustment (6.0 to 8.2) and sterile water for injection, q.s. It contains no antimicrobial agent.

Each mL of calcium gluconate injection, USP contains 9.3 mg (0.465 mEq) of elemental calcium.

8.4 Pediatric Use

The safety and effectiveness of calcium gluconate injection have been established in pediatric patients for the treatment of acute, symptomatic hypocalcemia.

Pediatric approval for calcium gluconate injection, including doses, is not based on adequate and well-controlled clinical studies. Safety and dosing recommendations in pediatric patients are based on published literature and clinical experience [see Dosage and Administration (2.2)].

Concomitant use of ceftriaxone and calcium gluconate injection is contraindicated in neonates (28 days of age or younger) due to reports of fatal outcomes associated with the presence of lung and kidney ceftriaxone-calcium precipitates. In patients older than 28 days of age, ceftriaxone and calcium gluconate injection may be administered sequentially, provided the infusion lines are thoroughly flushed between infusions with a compatible fluid [see Contraindications (4) and Warnings and Precautions (5.2) ]. This product contains up to 400 mcg/L aluminum which may be toxic, particularly for premature neonates due to immature renal function. Parenteral administration of aluminum greater than 4 to 5 mcg/kg/day is associated with central nervous system and bone toxicity [see Warnings and Precautions (5.5)].

8.5 Geriatric Use

In general dose selection for an elderly patient should start at the lowest dose of the recommended dose range, reflecting the greater frequency of decreased hepatic, renal or cardiac function and of concomitant disease or other drug therapy.

4 Contraindications (4 CONTRAINDICATIONS)

Calcium gluconate injection is contraindicated in:

6 Adverse Reactions (6 ADVERSE REACTIONS)

The following serious adverse reactions are also described elsewhere in the labeling:

The following adverse reactions associated with the use of calcium gluconate were identified in the literature. Because these reactions are reported voluntarily from a population of uncertain size, it is not always possible to estimate their frequency reliably or to establish a causal relationship to drug exposure.

Cardiovascular : Vasodilation, decreased blood pressure, bradycardia, cardiac arrhythmia, syncope, cardiac arrest.

Administration site reactions : Local soft tissue inflammation, local necrosis, calcinosis cutis and calcification due to extravasation.

7 Drug Interactions (7 DRUG INTERACTIONS)
  • Cardiac Glycoside: Synergistic arrhythmias may occur if calcium and cardiac glycosides are administered together. (7.1)
  • Calcium Channel Blockers: Administration of calcium may reduce the response. (7.2)
  • Drugs that may cause hypercalcemia: Vitamin D, vitamin A, thiazide diuretics, estrogen, calcipotriene and teriparatide administration may cause hypercalcemia. Monitor plasma calcium concentrations in patients taking these drugs concurrently. (7.3)
8.6 Renal Impairment

For patients with renal impairment, initiate calcium gluconate injection at the lowest dose of the recommended dose ranges across all age groups. Monitor serum calcium levels every 4 hours [see Dosage and Administration (2.4)].

12.3 Pharmacokinetics

Absorption

Calcium gluconate injection is 100% bioavailable following intravenous injection.

Metabolism

Calcium itself does not undergo direct metabolism. The release of ionized calcium from intravenous administration of calcium gluconate is direct and does not seem to be affected by the first pass through the liver.

Distribution

Calcium in the body is distributed mainly in skeleton (99%). Only 1% of the total body calcium is distributed within the extracellular fluids and soft tissues. About 50% of total serum calcium is in the ionized form and represents the biologically active part. 8% to 10% serum calcium is bound to organic and inorganic acid and approximately 40% is protein-bound (primarily to albumin).

Elimination

Studies have shown a relationship between urinary calcium excretion and the intravenous administration of calcium gluconate, with a significant increase in urinary calcium excretion observed after the intravenous administration of calcium gluconate.

5.5 Aluminum Toxicity

Calcium gluconate injection contains aluminum, up to 400 mcg per liter, that may be toxic. Aluminum may reach toxic levels with prolonged parenteral administration if kidney function is impaired. Premature neonates are particularly at risk because their kidneys are immature and they require large amounts of calcium and phosphate solutions, which contain aluminum. Research indicates that patients with impaired kidney function, including premature neonates, who receive parenteral levels of aluminum at greater than 4 mcg/kg/day to 5 mcg/kg/day accumulate aluminum levels associated with central nervous system and bone toxicity. Tissue loading may occur at even lower rates of administration.

2.2 Recommended Dosage

Individualize the dose of calcium gluconate injection within the recommended range depending on the severity of symptoms of hypocalcemia, the serum calcium level and the acuity of onset of hypocalcemia.

Table 1 provides dosing recommendations for calcium gluconate injection in mg of calcium gluconate for neonates, pediatric and adult patients.

Table 1: Dosing Recommendations in mg of Calcium Gluconate for Neonate, Pediatric and Adult Patients

Patient Population

Initial Dose

Subsequent Doses (if needed)

Bolus

Continuous Infusion

Neonate

(≤  1 month)

100 mg/kg to 200 mg/kg

100 mg/kg to 200 mg/kg

every 6 hours

Initiate at

17 to 33 mg/kg/hour

Pediatric

(> 1 month to < 17 years)

29 mg/kg to 60 mg/kg

29 mg/kg to 60 mg/kg

every 6 hours

Initiate at

8 to 13 mg/kg/hour

Adult

1,000 mg to 2,000 mg

1,000 mg to 2,000 mg

every 6 hours

Initiate at

5.4 to 21.5 mg/kg/hour

For bolus administration, DO NOT exceed an infusion rate of:

  • 200 mg/minute in adult patients
  • 100 mg/minute in pediatric patients

For continuous infusions, adjust rate as needed based on serum calcium levels.



7.1 Cardiac Glycosides

Hypercalcemia increases the risk of digoxin toxicity, while digoxin may be therapeutically ineffective in the presence of hypocalcemia. Synergistic arrhythmias may occur if calcium and cardiac glycosides are administered together. Avoid administration of calcium gluconate injection in patients receiving cardiac glycosides; if considered necessary, administer calcium gluconate injection slowly in small amounts and monitor ECG closely during administration.

8.7 Hepatic Impairment

Hepatic function does not impact the availability of ionized calcium after calcium gluconate intravenous administration. Dose adjustment in hepatically impaired patients may not be necessary. 

1 Indications and Usage (1 INDICATIONS AND USAGE)

Calcium gluconate injection is indicated for pediatric and adult patients for the treatment of acute symptomatic hypocalcemia.

Limitations of Use

The safety of calcium gluconate injection for long term use has not been established.

Principal Display Panel (PRINCIPAL DISPLAY PANEL)

NDC 80830-1672-1

Calcium Gluconate Injection USP, 1,000 mg per 10 mL (100 mg per mL)

Rx only

10 mL Vial label

Amneal Pharmaceuticals LLC

NDC 80830-1672-2

Calcium Gluconate Injection USP, 1,000 mg per 10 mL (100 mg per mL)

Rx only

Carton label (10 x 10 mL Single-Dose Vials)

Amneal Pharmaceuticals LLC

NDC 80830-1672-5

Calcium Gluconate Injection USP, 1,000 mg per 10 mL (100 mg per mL)

Rx only

Carton label (25 x 10 mL Single-Dose Vials)

Amneal Pharmaceuticals LLC

NDC 80830-1673-1

Calcium Gluconate Injection USP, 5,000 mg per 50 mL (100 mg per mL)

Rx only

50 mL Vial label

Amneal Pharmaceuticals LLC

NDC 80830-1673-2

Calcium Gluconate Injection USP, 5,000 mg per 50 mL (100 mg per mL)

Rx only

Carton Label (10 x 50 mL Single-Dose Vials)

Amneal Pharmaceuticals LLC

NDC 80830-1673-5

Calcium Gluconate Injection USP, 5,000 mg per 50 mL (100 mg per mL)

Rx only

Carton Label (25 x 50 mL Single-Dose Vials)

Amneal Pharmaceuticals LLC

  NDC 80830-1674-8

Calcium Gluconate Injection USP, 10,000 mg per 100 mL (100 mg per mL)

Rx only

100 mL Pharmacy Bulk Package Vial Label

Amneal Pharmaceuticals LLC

NDC 80830-1674-2

Calcium Gluconate Injection USP, 10,000 mg per 100 mL (100 mg per mL)

Rx only

Carton Label (10 x 100 mL Pharmacy Bulk Package Vials)

Amneal Pharmaceuticals LLC

NDC 80830-1674-5

Calcium Gluconate Injection USP, 10,000 mg per 100 mL (100 mg per mL)

Rx only

Carton Label (25 x 100 mL Pharmacy Bulk Package Vials)

Amneal Pharmaceuticals LLC

12.1 Mechanism of Action

Intravenous administration of calcium gluconate increases serum ionized calcium level. Calcium gluconate dissociates into ionized calcium in plasma. Ionized calcium and gluconate are normal constituents of body fluids.

2.5 Drug Incompatibilities
  • Do not mix calcium gluconate injection with ceftriaxone. Concurrent use of intravenous ceftriaxone and calcium gluconate injection can lead to the formation of ceftriaxone-calcium precipitates. Concomitant use of ceftriaxone and intravenous calcium-containing products is contraindicated in neonates (28 days of age or younger) [see Contraindications (4)]. In patients older than 28 days of age, ceftriaxone and calcium-containing products may be administered sequentially, provided the infusion lines are thoroughly flushed between infusions with a compatible fluid. Ceftriaxone must not be administered simultaneously with intravenous calcium-containing solutions via a Y-site in any age group [see Warnings and Precautions (5.2), Drug Interactions (7.3)].
  • Do not mix calcium gluconate injection with fluids containing bicarbonate or phosphate. Calcium gluconate injection is not physically compatible with fluids containing phosphate or bicarbonate. Precipitation may result if mixed.
  • Do not mix calcium gluconate injection with minocycline injection. Calcium complexes minocycline rendering it inactive.
5 Warnings and Precautions (5 WARNINGS AND PRECAUTIONS)
  • Arrhythmias with Concomitant Cardiac Glycoside Use: If concomitant therapy is necessary, calcium gluconate injection should be given slowly in small amounts and close ECG monitoring is recommended. (5.1)
  • End-Organ Damage due to Intravascular Ceftriaxone-Calcium Precipitates: Concurrent use of intravenous ceftriaxone may cause life-threatening precipitates. Cases of fatal outcomes in neonates have occurred. (4, 5.2)
  • Tissue Necrosis and Calcinosis: Calcinosis cutis can occur with or without extravasation of calcium gluconate injection. Tissue necrosis, ulceration and secondary infection are the most serious complications. If extravasation occurs or clinical manifestations of calcinosis cutis are noted, immediately discontinue intravenous administration at that site and treat as needed. (5.3)
  • Hypotension, Bradycardia and Cardiac Arrhythmias with Rapid Administration: To avoid adverse reactions that may follow rapid intravenous administration, calcium gluconate injection should be diluted with 5% dextrose or normal saline and infused slowly, with careful ECG monitoring for cardiac arrhythmias. (5.4)
  • Aluminum Toxicity: This product contains aluminum, up to 400 mcg per liter, that may be toxic. (5.5)
2.3 Serum Calcium Monitoring

Measure serum calcium every 4 to 6 hours during intermittent infusions with calcium gluconate injection and measure serum calcium every 1 to 4 hours during continuous infusion.

3 Dosage Forms and Strengths (3 DOSAGE FORMS AND STRENGTHS)

Calcium Gluconate Injection, USP is a sterile, clear, colorless to slightly yellow solution available in the following:

  • Single-dose vial: 1,000 mg per 10 mL (100 mg per mL)
  • Single-dose vial: 5,000 mg per 50 mL (100 mg per mL)
  • Pharmacy bulk package: 10,000 mg per 100 mL (100 mg per mL)

Each mL of calcium gluconate injection, USP contains 9.3 mg (0.465 mEq) of elemental calcium.

7.2 Calcium Channel Blockers

Administration of calcium may reduce the response to calcium channel blockers.

8 Use in Specific Populations (8 USE IN SPECIFIC POPULATIONS)
  • Geriatric use: Dosing in elderly patients should be cautious, usually starting at the low end of the dosage range. (8.5)
  • Renal impairment: Initiate with the lower limit of the dosage range and monitor serum calcium levels every 4 hours. (8.6, 2.4)


2.4 Dosage in Renal Impairment

For patients with renal impairment, initiate calcium gluconate injection at the lowest dose of the recommended dose ranges for all age groups and monitor serum calcium levels every 4 hours.

17 Patient Counseling Information (17 PATIENT COUNSELING INFORMATION)
  • Advise the patient that the risks associated with infusion including local tissue inflammation, local necrosis and calcinosis [see Warnings and Precautions (5.3)].

Manufactured by:

Amneal Pharmaceuticals Pvt. Ltd.

Parenteral Unit

Ahmedabad 382110, INDIA                                                                                                         

Distributed by:

Amneal Pharmaceuticals LLC

Bridgewater, NJ 08807

Rev. 12-2023-01

5.3 Tissue Necrosis and Calcinosis

Intravenous administration of calcium gluconate injection and local trauma may result in calcinosis cutis due to transient increase in local calcium concentration. Calcinosis cutis can occur with or without extravasation of calcium gluconate injection, is characterized by abnormal dermal deposits of calcium salts and clinically manifests as papules, plaques or nodules that may be associated with erythema, swelling or induration. Tissue necrosis, ulceration and secondary infection are the most serious complications.

If extravasation occurs or clinical manifestations of calcinosis cutis are noted, immediately discontinue intravenous administration at that site and treat as needed.

For Continuous Intravenous Infusion (For continuous intravenous infusion)
16 How Supplied/storage and Handling (16 HOW SUPPLIED/STORAGE AND HANDLING)

Calcium Gluconate Injection USP, 100 mg per mL is supplied as a sterile, clear, colorless to slightly yellow solution filled in plastic vial.

It is available as follows:

1,000 mg per 10 mL (100 mg per mL):

10 mL Single-dose Vial:                                              NDC 80830-1672-1

25 Vials in a Carton:                                                   NDC 80830-1672-5

10 Vials in a Carton:                                                   NDC 80830-1672-2

5,000 mg per 50 mL (100 mg per mL):

50 mL Single-dose Vial:                                              NDC 80830-1673-1

25 Vials in a Carton:                                                   NDC 80830-1673-5

10 Vials in a Carton:                                                   NDC 80830-1673-2

10,000 mg per 100 mL (100 mg per mL):

100 mL Pharmacy Bulk Package Vial:                       NDC 80830-1674-8

25 Vials in a Carton:                                                   NDC 80830-1674-5

10 Vials in a Carton:                                                   NDC 80830-1674-2

Store at 20° to 25°C (68° to 77°F) [see USP Controlled Room Temperature]. Do not freeze.

Preservative Free. Discard any unused portion in the single-dose vial immediately or the Pharmacy Bulk Package vial within 4 hours after initial closure puncture.

Each dose dispensed from the Pharmacy Bulk Package vial must be used immediately.

The diluted solution must be used immediately.

NOTE: Supersaturated solutions are prone to precipitation. The precipitate, if present, may be dissolved by warming the vial to 60° to 80°C, with occasional agitation, until the solution becomes clear. Shake vigorously. Allow to cool to room temperature before dispensing. Use injection only if clear immediately prior to use.

For Bolus Intravenous Administration (For bolus intravenous administration)
  • Dilute the dose [see Dosage and Administration (2.2)] of calcium gluconate injection in 5% dextrose or normal saline to a concentration of 10 mg/mL to 50 mg/mL prior to administration. Administer the dose slowly and DO NOT exceed an infusion rate of 200 mg/minute in adults or 100 mg/minute in pediatric patients, including neonates. Monitor patients, vitals and electrocardiograph (ECG) during administration [see Warnings and Precautions (5.4)].
7.3 Drugs That May Cause Hypercalcemia (7.3 Drugs that may cause Hypercalcemia)

Vitamin D, vitamin A, thiazide diuretics, estrogen, calcipotriene and teriparatide administration may cause hypercalcemia. Monitor plasma calcium concentrations in patients taking these drugs concurrently.

2.6 Preparation of Pharmacy Bulk Package

The pharmacy bulk package (PBP) of calcium gluconate injection is intended for dispensing of single-doses to multiple patients in a pharmacy admixture program. Penetrate the container closure only one time with a suitable sterile transfer device or dispensing set that allows measured dispensing of the contents. Use the PBP only in a suitable ISO Class 5 work area such as a laminar flow hood (or an equivalent clean air compounding area). Complete dispensing from the pharmacy bulk vial within 4 hours after the container closure is penetrated. Each dose dispensed from the pharmacy bulk package vial must be used immediately.

2.1 Important Administration Instructions
  • Calcium gluconate injection contains 100 mg of calcium gluconate per mL which contains 9.3 mg (i.e. 0.465 mEq) of elemental calcium.
  • Dilute calcium gluconate injection prior to use in 5% dextrose or normal saline and assess for potential drug or intravenous fluid incompatibilities [see Dosage and Administration (2.5)].
  • Inspect calcium gluconate injection visually prior to administration. The solution should appear clear and colorless to slightly yellow. Do not administer if there is particulate matter or discoloration.
  • Use the diluted solution immediately after preparation.
  • Administer calcium gluconate injection intravenously via a secure intravenous line to avoid calcinosis cutis and tissue necrosis [see Warnings and Precautions (5.3)].
  • Administer calcium gluconate injection by bolus administration or continuous infusion.
5.1 Arrhythmias With Concomitant Cardiac Glycoside Use (5.1 Arrhythmias with Concomitant Cardiac Glycoside Use)

Cardiac arrhythmias may occur if calcium and cardiac glycosides are administered together. Hypercalcemia increases the risk of digoxin toxicity. Administration of calcium gluconate injection should be avoided in patients receiving cardiac glycosides. If concomitant therapy is necessary, calcium gluconate injection should be given slowly in small amounts and with close ECG monitoring [see Drug Interactions (7.1)].

13.1 Carcinogenesis, Mutagenesis, Impairment of Fertility

Long-term studies in animals have not been conducted to evaluate the carcinogenic potential of calcium gluconate injection. Calcium gluconate was not mutagenic with or without metabolic activation in the Ames test with Salmonella typhimurium (strains TA-1535, TA-1537 and TA-1538) or Saccharomyces cerevisiae (Strain D4). Fertility studies in animals have not been conducted with calcium gluconate administered by the intravenous route.

5.2 End Organ Damage Due to Intravascular Ceftriaxone Calcium Precipitates (5.2 End-Organ Damage due to Intravascular Ceftriaxone-Calcium Precipitates)

Concomitant use of ceftriaxone and calcium gluconate injection is contraindicated in neonates (28 days of age or younger) due to cases of fatal outcomes in neonates in which a crystalline material was observed in the lungs and kidneys at autopsy after ceftriaxone and calcium were administrated simultaneously through the same intravenous line. Concomitant administration can lead to the formation of ceftriaxone-calcium precipitates that may act as emboli, resulting in vascular spasm or infarction [see Contraindications (4)].

In patients older than 28 days of age, ceftriaxone and calcium gluconate injection may be administered sequentially, provided the infusion lines are thoroughly flushed between infusions with a compatible fluid. Do not administer ceftriaxone simultaneously with calcium gluconate injection via a Y-site in any age group.

5.4 Hypotension, Bradycardia and Cardiac Arrhythmias With Rapid Administration (5.4 Hypotension, Bradycardia and Cardiac Arrhythmias with Rapid Administration)

Rapid injection of calcium gluconate injection may cause vasodilation, decreased blood pressure, bradycardia, cardiac arrhythmias, syncope and cardiac arrest. To avoid adverse reactions that may follow rapid intravenous administration, calcium gluconate injection should be diluted with 5% dextrose or normal saline and infused slowly. If rapid intravenous bolus of calcium gluconate injection is required, the rate of intravenous administration should not exceed 200 mg/minute in adults and 100 mg/minute in pediatric patients and ECG monitoring during administration is recommended [see Dosage and Administration (2.1)].


Advanced Ingredient Data


Raw Label Data

All Sections (JSON)