SPL v8
SPL
SPL Set ID 12986d0e-b8bf-4338-9d85-07f973b35439
Routes
INTRAMUSCULAR INTRAVENOUS
Published
Effective Date 2021-04-15
Document Type 34391-3 HUMAN PRESCRIPTION DRUG LABEL

Drug Facts

Composition & Product

Active Ingredients
Thiamine Ion (100 mg)
Inactive Ingredients
Monothioglycerol Water Sodium Hydroxide

Identifiers & Packaging

Marketing Status
ANDA Active Since 2013-06-04

Description

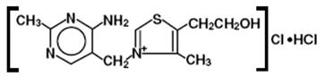
Thiamine hydrochloride injection, USP is a sterile solution of thiamine hydrochloride in Water for Injection for intramuscular (IM) or slow intravenous (IV) administration. Each mL contains: Thiamine hydrochloride 100 mg; monothioglycerol 0.5%; Water for Injection q.s. Sodium hydroxide may have been added for pH adjustment (2.5 to 4.5). Thiamine hydrochloride, or vitamin B 1 , occurs as white crystals or crystalline powder that usually has a slight characteristic odor. Freely soluble in water; soluble in glycerin; slightly soluble in alcohol; insoluble in ether and benzene. Thiamine is rapidly destroyed in neutral or alkaline solutions but is stable in the dry state. It is reasonably stable to heat in acid solution. The chemical name of thiamine hydrochloride is thiazolium,3-[(4-amino-2-methyl-5-pyrimidinyl)methyl]-5-(2-hydroxyethyl)-4-methylchloride, monohydrochloride and it has the following structural formula: C 12 H 17 ClN 4 OS • HCl                    M.W. 337.27

Indications and Usage

Thiamine hydrochloride injection is effective for the treatment of thiamine deficiency or beriberi whether of the dry (major symptoms related to the nervous system) or wet (major symptoms related to the cardiovascular system) variety. Thiamine hydrochloride injection should be used where rapid restoration of thiamine is necessary, as in Wernicke’s encephalopathy, infantile beriberi with acute collapse, cardiovascular disease due to thiamine deficiency, or neuritis of pregnancy if vomiting is severe. It is also indicated when giving IV dextrose to individuals with marginal thiamine status to avoid precipitation of heart failure. Thiamine hydrochloride injection is also indicated in patients with established thiamine deficiency who cannot take thiamine orally due to coexisting severe anorexia, nausea, vomiting, or malabsorption. Thiamine hydrochloride injection is not usually indicated for conditions of decreased oral intake or decreased gastrointestinal absorption, because multiple vitamins should usually be given.

Dosage and Administration

“Wet” beriberi with myocardial failure must be treated as an emergency cardiac condition, and thiamine must be administered slowly by the IV route in this situation (see WARNINGS ). In the treatment of beriberi, 10 mg to 20 mg of thiamine hydrochloride are given IM 3 times daily for as long as 2 weeks. (See WARNINGS regarding repeated injection of thiamine.) An oral therapeutic multivitamin preparation containing 5 mg to 10 mg thiamine, administered daily for one month, is recommended to achieve body tissue saturation. Infantile beriberi that is mild may respond to oral therapy, but if collapse occurs, doses of 25 mg may cautiously be given IV. Poor dietary habits should be corrected and an abundant and well-balanced dietary intake should be prescribed. Patients with neuritis of pregnancy in whom vomiting is severe enough to preclude adequate oral therapy should receive 5 mg to 10 mg of thiamine hydrochloride IM daily. In the treatment of Wernicke-Korsakoff syndrome, thiamine hydrochloride has been administered IV in an initial dose of 100 mg, followed by IM doses of 50 mg to 100 mg daily until the patient is consuming a regular, balanced diet. (See WARNINGS regarding repeated injections of thiamine.) Patients with marginal thiamine status to whom dextrose is being administered should receive 100 mg thiamine hydrochloride in each of the first few liters of IV fluid to avoid precipitating heart failure. Parenteral drug products should be inspected visually for particulate matter and discoloration prior to administration, whenever solution and container permit.

Contraindications

A history of sensitivity to thiamine or to any of the ingredients in this drug is a contraindication. (See WARNINGS   for further information.)

Adverse Reactions

An occasional individual may develop a hypersensitivity or life threatening anaphylactic reaction to thiamine, especially after repeated injection. Collapse and death have been reported. A feeling of warmth, pruritus, urticaria, weakness, sweating, nausea, restlessness, tightness of the throat, angioneurotic edema, cyanosis, pulmonary edema, and hemorrhage into the gastrointestinal tract have also been reported. Some tenderness and induration may follow IM use (see WARNINGS ).

How Supplied

Thiamine Hydrochloride Injection, USP, 200 mg/2 mL (100 mg/mL), is available in: NDC 67457-196-02 2 mL (200 mg) multiple-dose vial, packaged 25 vials per carton. Store at 20° to 25°C (68° to 77°F). [See USP Controlled Room Temperature.] Protect from light. Use only if solution is clear and seal intact. Preservative Free. Manufactured for: Mylan Institutional LLC Morgantown, WV 26505 U.S.A. Manufactured by: Mylan Institutional Galway, Ireland 0941L101 Revised: 4/2021 MI:THIAIJ:R4


Medication Information

Indications and Usage

Thiamine hydrochloride injection is effective for the treatment of thiamine deficiency or beriberi whether of the dry (major symptoms related to the nervous system) or wet (major symptoms related to the cardiovascular system) variety. Thiamine hydrochloride injection should be used where rapid restoration of thiamine is necessary, as in Wernicke’s encephalopathy, infantile beriberi with acute collapse, cardiovascular disease due to thiamine deficiency, or neuritis of pregnancy if vomiting is severe. It is also indicated when giving IV dextrose to individuals with marginal thiamine status to avoid precipitation of heart failure.

Thiamine hydrochloride injection is also indicated in patients with established thiamine deficiency who cannot take thiamine orally due to coexisting severe anorexia, nausea, vomiting, or malabsorption. Thiamine hydrochloride injection is not usually indicated for conditions of decreased oral intake or decreased gastrointestinal absorption, because multiple vitamins should usually be given.

Dosage and Administration

“Wet” beriberi with myocardial failure must be treated as an emergency cardiac condition, and thiamine must be administered slowly by the IV route in this situation (see WARNINGS).

In the treatment of beriberi, 10 mg to 20 mg of thiamine hydrochloride are given IM 3 times daily for as long as 2 weeks. (See WARNINGS regarding repeated injection of thiamine.) An oral therapeutic multivitamin preparation containing 5 mg to 10 mg thiamine, administered daily for one month, is recommended to achieve body tissue saturation.

Infantile beriberi that is mild may respond to oral therapy, but if collapse occurs, doses of 25 mg may cautiously be given IV.

Poor dietary habits should be corrected and an abundant and well-balanced dietary intake should be prescribed.

Patients with neuritis of pregnancy in whom vomiting is severe enough to preclude adequate oral therapy should receive 5 mg to 10 mg of thiamine hydrochloride IM daily.

In the treatment of Wernicke-Korsakoff syndrome, thiamine hydrochloride has been administered IV in an initial dose of 100 mg, followed by IM doses of 50 mg to 100 mg daily until the patient is consuming a regular, balanced diet. (See WARNINGS regarding repeated injections of thiamine.)

Patients with marginal thiamine status to whom dextrose is being administered should receive 100 mg thiamine hydrochloride in each of the first few liters of IV fluid to avoid precipitating heart failure.

Parenteral drug products should be inspected visually for particulate matter and discoloration prior to administration, whenever solution and container permit.

Contraindications

A history of sensitivity to thiamine or to any of the ingredients in this drug is a contraindication. (See WARNINGS  for further information.)

Adverse Reactions

An occasional individual may develop a hypersensitivity or life threatening anaphylactic reaction to thiamine, especially after repeated injection. Collapse and death have been reported. A feeling of warmth, pruritus, urticaria, weakness, sweating, nausea, restlessness, tightness of the throat, angioneurotic edema, cyanosis, pulmonary edema, and hemorrhage into the gastrointestinal tract have also been reported. Some tenderness and induration may follow IM use (see WARNINGS).

How Supplied

Thiamine Hydrochloride Injection, USP, 200 mg/2 mL (100 mg/mL), is available in:

NDC 67457-196-02

2 mL (200 mg) multiple-dose vial, packaged 25 vials per carton.

Store at 20° to 25°C (68° to 77°F). [See USP Controlled Room Temperature.]

Protect from light.

Use only if solution is clear and seal intact.

Preservative Free.

Manufactured for:

Mylan Institutional LLC

Morgantown, WV 26505 U.S.A.

Manufactured by:

Mylan Institutional

Galway, Ireland

0941L101

Revised: 4/2021

MI:THIAIJ:R4

Description

Thiamine hydrochloride injection, USP is a sterile solution of thiamine hydrochloride in Water for Injection for intramuscular (IM) or slow intravenous (IV) administration.

Each mL contains: Thiamine hydrochloride 100 mg; monothioglycerol 0.5%; Water for Injection q.s. Sodium hydroxide may have been added for pH adjustment (2.5 to 4.5).

Thiamine hydrochloride, or vitamin B1, occurs as white crystals or crystalline powder that usually has a slight characteristic odor. Freely soluble in water; soluble in glycerin; slightly soluble in alcohol; insoluble in ether and benzene. Thiamine is rapidly destroyed in neutral or alkaline solutions but is stable in the dry state. It is reasonably stable to heat in acid solution.

The chemical name of thiamine hydrochloride is thiazolium,3-[(4-amino-2-methyl-5-pyrimidinyl)methyl]-5-(2-hydroxyethyl)-4-methylchloride, monohydrochloride and it has the following structural formula:

C12H17ClN4OS • HCl                    M.W. 337.27
General

Simple vitamin B1 deficiency is rare. Multiple vitamin deficiencies should be suspected in any case of dietary inadequacy.

Warnings

WARNING: This product contains aluminum that may be toxic. Aluminum may reach toxic levels with prolonged parenteral administration if kidney function is impaired. Premature neonates are particularly at risk because their kidneys are immature, and they require large amounts of calcium and phosphate solutions, which contain aluminum.

Research indicates that patients with impaired kidney function, including premature neonates, who receive parenteral levels of aluminum at greater than 4 to 5 mcg/kg/day accumulate aluminum at levels associated with central nervous system and bone toxicity. Tissue loading may occur at even lower rates of administration.

Serious hypersensitivity/anaphylactic reactions can occur, especially after repeated administration. Deaths have resulted from IV or IM administration of thiamine (see ADVERSE REACTIONS).

Routine testing for hypersensitivity, in many cases, may not detect hypersensitivity. Nevertheless, a skin test should be performed on patients who are suspected of drug allergies or previous reactions to thiamine, and any positive responders should not receive thiamine by injection.

If hypersensitivity to thiamine is suspected (based on history of drug allergy or occurrence of adverse reactions after thiamine administration), administer one-hundredth of the dose intradermally and observe for 30 minutes. If no reaction occurs, full dose can be given; the patient should be observed for at least 30 minutes after injection. Be prepared to treat anaphylactic reactions regardless of the precautions taken.

Treatment of anaphylactic reactions includes maintaining a patent airway and the use of epinephrine, oxygen, vasopressors, steroids and antihistamines.

Overdosage

Parenteral doses of 100 mg to 500 mg singly have been administered without toxic effects. However, dosages exceeding 30 mg 3 times a day are not utilized effectively.

When the body tissues are saturated with thiamine, it is excreted in the urine as pyrimidine. As the intake of thiamine is further increased, it appears unchanged in the urine.

Nursing Mothers

It is not known whether this drug is excreted in human milk. Because many drugs are excreted in human milk, caution should be exercised when thiamine hydrochloride is administered to a nursing mother.

Usage in Pregnancy

Studies in pregnant women have not shown that thiamine hydrochloride increases the risk of fetal abnormalities if administered during pregnancy. If the drug is used during pregnancy, the possibility of fetal harm appears remote. Because studies cannot rule out the possibility of harm however, thiamine hydrochloride should be used during pregnancy only if clearly needed.

Clinical Pharmacology

The water soluble vitamins are widely distributed in both plants and animals. They are absorbed in man by both diffusion and active transport mechanisms. These vitamins are structurally diverse (derivatives of sugar, pyridine, purines, pyrimidine, organic acid complexes and nucleotide complex) and act as coenzymes, as oxidation-reduction agents, possibly as mitochondrial agents. Metabolism is rapid, and the excess is excreted in the urine.

Thiamine is distributed in all tissues. The highest concentrations occur in liver, brain, kidney and heart. When thiamine intake is greatly in excess of need, tissue stores increase 2 to 3 times. If intake is insufficient, tissues become depleted of their vitamin content. Absorption of thiamine following IM administration is rapid and complete.

Thiamine combines with adenosine triphosphate (ATP) to form thiamine pyrophosphate, also known as cocarboxylase, a coenzyme. Its role in carbohydrate metabolism is the decarboxylation of pyruvic acid in the blood and α-ketoacids to acetaldehyde and carbon dioxide. Increased levels of pyruvic acid in the blood indicate vitamin B1 deficiency.

The requirement for thiamine is greater when the carbohydrate content of the diet is raised. Body depletion of vitamin B1 can occur after approximately 3 weeks of total absence of thiamine in the diet.

Information for Patients

The patient should be advised as to proper dietary habits during treatment so that relapses will be less likely to occur with reduction in dosage or cessation of injection therapy.

Principal Display Panel 200 Mg/2 Ml 

NDC 67457-196-02

Thiamine

Hydrochloride


Injection, USP

200 mg/2 mL

(100 mg/mL)

For Intramuscular or

Intravenous Use Only

Rx only   25 x 2 mL Multi-Dose Vials

Preservative Free

Sterile. Non-pyrogenic.

Each mL contains: Thiamine HCl, 100 mg; monothioglycerol, 0.5% v/v; water

for injection, q.s. Sodium Hydroxide may have been added for pH adjustment.

Contains no more than 400 mcg/L of aluminum.

Usual Dosage: See accompanying prescribing information.

Store at 20° to 25°C (68° to 77°F). [See USP Controlled Room Temperature.]

Protect from light.

Use only if solution is clear and seal intact.

Manufactured for:

Mylan Institutional LLC

Morgantown, WV 26505 U.S.A.

Manufactured by:

Mylan Institutional

Galway, Ireland

Mylan.com

MI:196:25C:R6


Structured Label Content

General

Simple vitamin B1 deficiency is rare. Multiple vitamin deficiencies should be suspected in any case of dietary inadequacy.

Warnings (WARNINGS)

WARNING: This product contains aluminum that may be toxic. Aluminum may reach toxic levels with prolonged parenteral administration if kidney function is impaired. Premature neonates are particularly at risk because their kidneys are immature, and they require large amounts of calcium and phosphate solutions, which contain aluminum.

Research indicates that patients with impaired kidney function, including premature neonates, who receive parenteral levels of aluminum at greater than 4 to 5 mcg/kg/day accumulate aluminum at levels associated with central nervous system and bone toxicity. Tissue loading may occur at even lower rates of administration.

Serious hypersensitivity/anaphylactic reactions can occur, especially after repeated administration. Deaths have resulted from IV or IM administration of thiamine (see ADVERSE REACTIONS).

Routine testing for hypersensitivity, in many cases, may not detect hypersensitivity. Nevertheless, a skin test should be performed on patients who are suspected of drug allergies or previous reactions to thiamine, and any positive responders should not receive thiamine by injection.

If hypersensitivity to thiamine is suspected (based on history of drug allergy or occurrence of adverse reactions after thiamine administration), administer one-hundredth of the dose intradermally and observe for 30 minutes. If no reaction occurs, full dose can be given; the patient should be observed for at least 30 minutes after injection. Be prepared to treat anaphylactic reactions regardless of the precautions taken.

Treatment of anaphylactic reactions includes maintaining a patent airway and the use of epinephrine, oxygen, vasopressors, steroids and antihistamines.

Overdosage (OVERDOSAGE)

Parenteral doses of 100 mg to 500 mg singly have been administered without toxic effects. However, dosages exceeding 30 mg 3 times a day are not utilized effectively.

When the body tissues are saturated with thiamine, it is excreted in the urine as pyrimidine. As the intake of thiamine is further increased, it appears unchanged in the urine.

Description (DESCRIPTION)

Thiamine hydrochloride injection, USP is a sterile solution of thiamine hydrochloride in Water for Injection for intramuscular (IM) or slow intravenous (IV) administration.

Each mL contains: Thiamine hydrochloride 100 mg; monothioglycerol 0.5%; Water for Injection q.s. Sodium hydroxide may have been added for pH adjustment (2.5 to 4.5).

Thiamine hydrochloride, or vitamin B1, occurs as white crystals or crystalline powder that usually has a slight characteristic odor. Freely soluble in water; soluble in glycerin; slightly soluble in alcohol; insoluble in ether and benzene. Thiamine is rapidly destroyed in neutral or alkaline solutions but is stable in the dry state. It is reasonably stable to heat in acid solution.

The chemical name of thiamine hydrochloride is thiazolium,3-[(4-amino-2-methyl-5-pyrimidinyl)methyl]-5-(2-hydroxyethyl)-4-methylchloride, monohydrochloride and it has the following structural formula:

C12H17ClN4OS • HCl                    M.W. 337.27
How Supplied (HOW SUPPLIED)

Thiamine Hydrochloride Injection, USP, 200 mg/2 mL (100 mg/mL), is available in:

NDC 67457-196-02

2 mL (200 mg) multiple-dose vial, packaged 25 vials per carton.

Store at 20° to 25°C (68° to 77°F). [See USP Controlled Room Temperature.]

Protect from light.

Use only if solution is clear and seal intact.

Preservative Free.

Manufactured for:

Mylan Institutional LLC

Morgantown, WV 26505 U.S.A.

Manufactured by:

Mylan Institutional

Galway, Ireland

0941L101

Revised: 4/2021

MI:THIAIJ:R4

Nursing Mothers

It is not known whether this drug is excreted in human milk. Because many drugs are excreted in human milk, caution should be exercised when thiamine hydrochloride is administered to a nursing mother.

Adverse Reactions (ADVERSE REACTIONS)

An occasional individual may develop a hypersensitivity or life threatening anaphylactic reaction to thiamine, especially after repeated injection. Collapse and death have been reported. A feeling of warmth, pruritus, urticaria, weakness, sweating, nausea, restlessness, tightness of the throat, angioneurotic edema, cyanosis, pulmonary edema, and hemorrhage into the gastrointestinal tract have also been reported. Some tenderness and induration may follow IM use (see WARNINGS).

Contraindications (CONTRAINDICATIONS)

A history of sensitivity to thiamine or to any of the ingredients in this drug is a contraindication. (See WARNINGS  for further information.)

Usage in Pregnancy

Studies in pregnant women have not shown that thiamine hydrochloride increases the risk of fetal abnormalities if administered during pregnancy. If the drug is used during pregnancy, the possibility of fetal harm appears remote. Because studies cannot rule out the possibility of harm however, thiamine hydrochloride should be used during pregnancy only if clearly needed.

Clinical Pharmacology (CLINICAL PHARMACOLOGY)

The water soluble vitamins are widely distributed in both plants and animals. They are absorbed in man by both diffusion and active transport mechanisms. These vitamins are structurally diverse (derivatives of sugar, pyridine, purines, pyrimidine, organic acid complexes and nucleotide complex) and act as coenzymes, as oxidation-reduction agents, possibly as mitochondrial agents. Metabolism is rapid, and the excess is excreted in the urine.

Thiamine is distributed in all tissues. The highest concentrations occur in liver, brain, kidney and heart. When thiamine intake is greatly in excess of need, tissue stores increase 2 to 3 times. If intake is insufficient, tissues become depleted of their vitamin content. Absorption of thiamine following IM administration is rapid and complete.

Thiamine combines with adenosine triphosphate (ATP) to form thiamine pyrophosphate, also known as cocarboxylase, a coenzyme. Its role in carbohydrate metabolism is the decarboxylation of pyruvic acid in the blood and α-ketoacids to acetaldehyde and carbon dioxide. Increased levels of pyruvic acid in the blood indicate vitamin B1 deficiency.

The requirement for thiamine is greater when the carbohydrate content of the diet is raised. Body depletion of vitamin B1 can occur after approximately 3 weeks of total absence of thiamine in the diet.

Indications and Usage (INDICATIONS AND USAGE)

Thiamine hydrochloride injection is effective for the treatment of thiamine deficiency or beriberi whether of the dry (major symptoms related to the nervous system) or wet (major symptoms related to the cardiovascular system) variety. Thiamine hydrochloride injection should be used where rapid restoration of thiamine is necessary, as in Wernicke’s encephalopathy, infantile beriberi with acute collapse, cardiovascular disease due to thiamine deficiency, or neuritis of pregnancy if vomiting is severe. It is also indicated when giving IV dextrose to individuals with marginal thiamine status to avoid precipitation of heart failure.

Thiamine hydrochloride injection is also indicated in patients with established thiamine deficiency who cannot take thiamine orally due to coexisting severe anorexia, nausea, vomiting, or malabsorption. Thiamine hydrochloride injection is not usually indicated for conditions of decreased oral intake or decreased gastrointestinal absorption, because multiple vitamins should usually be given.

Information for Patients

The patient should be advised as to proper dietary habits during treatment so that relapses will be less likely to occur with reduction in dosage or cessation of injection therapy.

Dosage and Administration (DOSAGE AND ADMINISTRATION)

“Wet” beriberi with myocardial failure must be treated as an emergency cardiac condition, and thiamine must be administered slowly by the IV route in this situation (see WARNINGS).

In the treatment of beriberi, 10 mg to 20 mg of thiamine hydrochloride are given IM 3 times daily for as long as 2 weeks. (See WARNINGS regarding repeated injection of thiamine.) An oral therapeutic multivitamin preparation containing 5 mg to 10 mg thiamine, administered daily for one month, is recommended to achieve body tissue saturation.

Infantile beriberi that is mild may respond to oral therapy, but if collapse occurs, doses of 25 mg may cautiously be given IV.

Poor dietary habits should be corrected and an abundant and well-balanced dietary intake should be prescribed.

Patients with neuritis of pregnancy in whom vomiting is severe enough to preclude adequate oral therapy should receive 5 mg to 10 mg of thiamine hydrochloride IM daily.

In the treatment of Wernicke-Korsakoff syndrome, thiamine hydrochloride has been administered IV in an initial dose of 100 mg, followed by IM doses of 50 mg to 100 mg daily until the patient is consuming a regular, balanced diet. (See WARNINGS regarding repeated injections of thiamine.)

Patients with marginal thiamine status to whom dextrose is being administered should receive 100 mg thiamine hydrochloride in each of the first few liters of IV fluid to avoid precipitating heart failure.

Parenteral drug products should be inspected visually for particulate matter and discoloration prior to administration, whenever solution and container permit.

Principal Display Panel 200 Mg/2 Ml  (PRINCIPAL DISPLAY PANEL - 200 mg/2 mL )

NDC 67457-196-02

Thiamine

Hydrochloride


Injection, USP

200 mg/2 mL

(100 mg/mL)

For Intramuscular or

Intravenous Use Only

Rx only   25 x 2 mL Multi-Dose Vials

Preservative Free

Sterile. Non-pyrogenic.

Each mL contains: Thiamine HCl, 100 mg; monothioglycerol, 0.5% v/v; water

for injection, q.s. Sodium Hydroxide may have been added for pH adjustment.

Contains no more than 400 mcg/L of aluminum.

Usual Dosage: See accompanying prescribing information.

Store at 20° to 25°C (68° to 77°F). [See USP Controlled Room Temperature.]

Protect from light.

Use only if solution is clear and seal intact.

Manufactured for:

Mylan Institutional LLC

Morgantown, WV 26505 U.S.A.

Manufactured by:

Mylan Institutional

Galway, Ireland

Mylan.com

MI:196:25C:R6


Advanced Ingredient Data


Raw Label Data

All Sections (JSON)