Gynazole•1®

Gynazole•1®
SPL v6
SPL
SPL Set ID 125d8ede-db38-4eb9-a6be-19208687f36a
Route
VAGINAL
Published
Effective Date 2023-06-01
Document Type 34391-3 HUMAN PRESCRIPTION DRUG LABEL

Drug Facts

Composition & Product

Active Ingredients
Butoconazole (100 mg)
Inactive Ingredients
Edetate Disodium Glyceryl Isostearate Methylparaben Mineral Oil Polyglyceryl-3 Oleate Propylene Glycol Propylparaben Silicon Dioxide Sorbitol Water Microcrystalline Wax

Identifiers & Packaging

Pill Appearance
Color: white
Marketing Status
ANDA Active Since 2015-04-29

Description

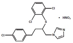
GYNAZOLE • 1 ® Butoconazole Nitrate Vaginal Cream USP, 2% contains butoconazole nitrate 2%, an imidazole derivative with antifungal activity. Its chemical name is (±)-1-[4-(p-chlorophenyl)-2- [(2,6-dichlorophenyl) thio]butyl] imidazole mononitrate, and it has the following chemical structure: Butoconazole nitrate is a white to off-white crystalline powder with a molecular weight of 474.79. It is sparingly soluble in methanol; slightly soluble in chloroform, methylene chloride, acetone, and ethanol; very slightly soluble in ethyl acetate; and practically insoluble in water. It melts at about 159°C with decomposition. GYNAZOLE • 1 ® Butoconazole Nitrate Vaginal Cream USP, 2% contains 2% butoconazole nitrate in a cream of edetate disodium, glyceryl monoisostearate, methylparaben, mineral oil, polyglyceryl-3 oleate, propylene glycol, propylparaben, colloidal silicon dioxide, sorbitol solution, purified water, and microcrystalline wax.

Indications and Usage

GYNAZOLE • 1 ® Butoconazole Nitrate Vaginal Cream USP, 2% is indicated for the local treatment of vulvovaginal candidiasis (infections caused by Candida ). The diagnosis should be confirmed by KOH smears and/or cultures (see CLINICAL STUDIES ). Note: GYNAZOLE • 1 ® Butoconazole Nitrate Vaginal Cream USP, 2% is safe and effective in non-pregnant women; however, the safety and effectiveness of this product in pregnant women has not been established (see PRECAUTIONS - Pregnancy ).

Dosage and Administration

The recommended dose of GYNAZOLE • 1 ® Butoconazole Nitrate Vaginal Cream USP, 2% is one applicatorful of cream (approximately 5 grams of the cream) intravaginally. This amount of cream contains approximately 100 mg of butoconazole nitrate.

Contraindications

GYNAZOLE • 1 ® Butoconazole Nitrate Vaginal Cream USP, 2% is contraindicated in patients with a history of hypersensitivity to any of the components of the product.

Adverse Reactions

Of the 314 patients treated with GYNAZOLE • 1 ® Butoconazole Nitrate Vaginal Cream USP, 2% for 1 day in controlled clinical trials, 18 patients (5.7%) reported complaints such as vulvar/vaginal burning, itching, soreness and swelling, pelvic or abdominal pain or cramping, or a combination of two or more of these symptoms. In 3 patients (1%) these complaints were considered treatment-related. Five of the 18 patients reporting adverse events discontinued the study because of them.

How Supplied

GYNAZOLE•1 ® Butoconazole Nitrate Vaginal Cream USP, 2% is available in cartons containing one single-dose prefilled disposable applicator (NDC 45802- 396 -01). Store at 25°C (77°F); excursions permitted to 15°-30°C (59°-86°F) [see USP Controlled Room Temperature]. Avoid heat above 30°C (86°F).


Medication Information

Indications and Usage

GYNAZOLE • 1® Butoconazole Nitrate Vaginal Cream USP, 2% is indicated for the local treatment of vulvovaginal candidiasis (infections caused by Candida). The diagnosis should be confirmed by KOH smears and/or cultures (see CLINICAL STUDIES).

Note: GYNAZOLE • 1® Butoconazole Nitrate Vaginal Cream USP, 2% is safe and effective in non-pregnant women; however, the safety and effectiveness of this product in pregnant women has not been established (see PRECAUTIONS - Pregnancy).

Dosage and Administration

The recommended dose of GYNAZOLE • 1® Butoconazole Nitrate Vaginal Cream USP, 2% is one applicatorful of cream (approximately 5 grams of the cream) intravaginally. This amount of cream contains approximately 100 mg of butoconazole nitrate.

Contraindications

GYNAZOLE • 1® Butoconazole Nitrate Vaginal Cream USP, 2% is contraindicated in patients with a history of hypersensitivity to any of the components of the product.

Adverse Reactions

Of the 314 patients treated with GYNAZOLE • 1® Butoconazole Nitrate Vaginal Cream USP, 2% for 1 day in controlled clinical trials, 18 patients (5.7%) reported complaints such as vulvar/vaginal burning, itching, soreness and swelling, pelvic or abdominal pain or cramping, or a combination of two or more of these symptoms. In 3 patients (1%) these complaints were considered treatment-related. Five of the 18 patients reporting adverse events discontinued the study because of them.

How Supplied

GYNAZOLE•1® Butoconazole Nitrate Vaginal Cream USP, 2% is available in cartons containing one single-dose prefilled disposable applicator (NDC 45802-396-01).

Store at 25°C (77°F); excursions permitted to 15°-30°C (59°-86°F) [see USP Controlled Room Temperature].

Avoid heat above 30°C (86°F).

Description

GYNAZOLE • 1® Butoconazole Nitrate Vaginal Cream USP, 2% contains butoconazole nitrate 2%, an imidazole derivative with antifungal activity. Its chemical name is (±)-1-[4-(p-chlorophenyl)-2- [(2,6-dichlorophenyl) thio]butyl] imidazole mononitrate, and it has the following chemical structure:

Butoconazole nitrate is a white to off-white crystalline powder with a molecular weight of 474.79. It is sparingly soluble in methanol; slightly soluble in chloroform, methylene chloride, acetone, and ethanol; very slightly soluble in ethyl acetate; and practically insoluble in water. It melts at about 159°C with decomposition.

GYNAZOLE • 1® Butoconazole Nitrate Vaginal Cream USP, 2% contains 2% butoconazole nitrate in a cream of edetate disodium, glyceryl monoisostearate, methylparaben, mineral oil, polyglyceryl-3 oleate, propylene glycol, propylparaben, colloidal silicon dioxide, sorbitol solution, purified water, and microcrystalline wax.

Section 42229-5

Manufactured By Padagis

Yeruham, Israel

Distributed By

PadagisTM

Allegan, MI 49010 • www.padagis.com

Rev 05-22

8F200 RC J2

Warnings

This cream contains mineral oil. Mineral oil may weaken latex or rubber products such as condoms or vaginal contraceptive diaphragms; therefore, use of such products within 72 hours following treatment with GYNAZOLE•1® Butoconazole Nitrate Vaginal Cream USP, 2% is not recommended.

Recurrent vaginal yeast infections, especially those that are difficult to eradicate, can be an early sign of infection with the human immunodeficiency virus (HIV) in women who are considered at risk for HIV infection.

General

If clinical symptoms persist, tests should be repeated to rule out other pathogens, to confirm the original diagnosis, and to rule out other conditions that may predispose a patient to recurrent vaginal fungal infections.

Microbiology

The exact mechanism of the antifungal action of butoconazole nitrate is unknown; however, it is presumed to function as other imidazole derivatives via inhibition of steroid synthesis. Imidazoles generally inhibit the conversion of lanosterol to ergosterol, resulting in a change in fungal cell membrane lipid composition. This structural change alters cell permeability and, ultimately, results in the osmotic disruption or growth inhibition of the fungal cell.

Butoconazole nitrate is an imidazole derivative that has fungicidal activity in vitro against Candida spp. and has been demonstrated to be clinically effective against vaginal infections due to Candida albicans. Candida albicans has been identified as the predominant species responsible for vulvovaginal candidiasis.

Pediatric Use

Safety and effectiveness in children have not been established.

Clinical Studies

Vulvovaginal Candidiasis: Two studies were conducted that compared 2% butoconazole nitrate cream with clotrimazole tablets. There were 322 enrolled patients, 161 received 2.0% butoconazole vaginal cream and 161 patients inserted the 500-mg clotrimazole vaginal tablet. At the second follow-up visit (30 days post-therapy), 118 patients in the butoconazole group and 116 in the clotrimazole group were evaluable for efficacy analysis, respectively. All of these patients had infection caused by Candida albicans.

The efficacy of the study drugs was assessed by evaluating clinical, mycologic and therapeutic cure rates, which are summarized in Table 1.

The therapeutic cure was defined as complete resolution of signs and symptoms of vaginal candidiasis (clinical cure) along with a negative KOH examination and negative culture for Candida spp. (microbiologic eradication) at the long term follow-up (30 days). The therapeutic cure rate was 67% in the butoconazole group and 61% in the clotrimazole group.

Nursing Mothers

It is not known whether this drug is excreted in human milk. Because many drugs are excreted in human milk, caution should be exercised when butoconazole nitrate is administered to a nursing woman.

Clinical Pharmacology

Following vaginal administration of butoconazole nitrate vaginal cream, 2% to 3 women, 1.7% (range 1.3-2.2%) of the dose was absorbed on average. Peak plasma levels (13.6-18.6 ng radioequivalents/mL of plasma) of the drug and its metabolites are attained between 12 and 24 hours after vaginal administration.

Patient Package Insert

GYNAZOLE•1®

Butoconazole Nitrate Vaginal Cream USP, 2%

IN ONE PREFILLED DISPOSABLE APPLICATOR

Using the GYNAZOLE•1® Butoconazole Nitrate Vaginal Cream USP, 2%

Prefilled Disposable Applicator

3 Easy Steps:

Step 1: Preparing the Applicator

Peel back the protective foil and remove the prefilled applicator. Applicator is designed to be used with tip in place. Do not remove tip; do not use applicator if tip has been removed.

Do not warm applicator before using. While holding the applicator firmly, pull the ring back to fully extend the plunger (see Figures 1 and 2 ).

Step 2: Inserting the Applicator

Gently insert the applicator into the vagina as far as it will comfortably go (see Figures 3A and 3B ).

Step 3: Applying the Cream

Push the plunger to release the cream (see Figures 4A, 4B and 4C ). Remove the empty applicator from the vagina and throw it away.

Important Instructions

  • One prefilled applicator of GYNAZOLE • 1® Butoconazole Nitrate Vaginal Cream USP, 2% should be administered.
  • This cream contains mineral oil. Mineral oil may weaken latex or rubber products such as condoms or vaginal contraceptive diaphragms; therefore, use of such products within 72 hours following treatment with GYNAZOLE • 1® Butoconazole Nitrate Vaginal Cream USP, 2% is not recommended.
  • There are no adequate and well-controlled studies in pregnant women. GYNAZOLE • 1® Butoconazole Nitrate Vaginal Cream USP, 2% should be used during pregnancy only under the supervision of a physician.

Call your doctor for medical advice about side effects.

You may report side effects to FDA at 1-800-FDA-1088.

Manufactured By Padagis

Yeruham, Israel

Distributed By

PadagisTM

Allegan, MI 49010 • www.padagis.com

Rev 05-22

8F200 RC J2

Pregnancy Category C

In pregnant rats administered 6 mg/kg/day of butoconazole nitrate intravaginally during the period of organogenesis, there was an increase in resorption rate and decrease in litter size; however, no teratogenicity was noted. This dose represents a 130- to 353-fold margin of safety based on serum levels achieved in rats following intravaginal administration compared to the serum levels achieved in humans following intravaginal administration of the recommended therapeutic dose of butoconazole nitrate.

Butoconazole nitrate has no apparent adverse effect when administered orally to pregnant rats throughout organogenesis at dose levels up to 50 mg/kg/day (5 times the human dose based on mg/m2). Daily oral doses of 100, 300 or 750 mg/kg/day (10, 30 or 75 times the human dose based on mg/m2 respectively) resulted in fetal malformations (abdominal wall defects, cleft palate), but maternal stress was also evident at these higher dose levels. There were, however, no adverse effects on litters of rabbits who received butoconazole nitrate orally, even at maternally stressful dose levels (e.g., 150 mg/kg, 24 times the human dose based on mg/m2).

Butoconazole nitrate, like other azole antifungal agents, causes dystocia in rats when treatment is extended through parturition. However, this effect was not apparent in rabbits treated with as much as 100 mg/kg/day orally (16 times the human dose based on mg/m2).

There are, however, no adequate and well-controlled studies in pregnant women. GYNAZOLE • 1® Butoconazole Nitrate Vaginal Cream USP, 2% should be used during pregnancy only if the potential benefit justifies the potential risk to the fetus.

Package/label Principal Display Panel

Rx Only

NDC 45802-396-01

GYNAZOLE•1®

Butoconazole Nitrate Vaginal Cream USP, 2%

The applicator delivers approximately 5 g cream, containing 100 mg butoconazole nitrate.

IN ONE PREFILLED DISPOSABLE APPLICATOR

For Vaginal Use Only.

NET WT 5.8 g

The following image is a placeholder representing the product identifier that is either affixed or imprinted on the drug package label during the packaging operation.

Carcinogenesis, Mutagenesis, Impairment of Fertility

Carcinogenesis - Long term studies in animals have not been performed to evaluate the carcinogenic potential of this drug.

Mutagenicity - Butoconazole nitrate was not mutagenic when tested in the Ames bacterial test, yeast, chromosomal aberration assay in CHO cells, CHO/HGPRT point mutation assay, mouse micronucleus, and rat dominant lethal assays.

Impairment of Fertility - No impairment of fertility was seen in rabbits or rats administered butoconazole nitrate in oral doses up to 30 mg/kg/day (5 times the human dose based on mg/m2) or 100 mg/kg/day (10 times the human dose based on mg/m2), respectively.


Structured Label Content

Section 42229-5 (42229-5)

Manufactured By Padagis

Yeruham, Israel

Distributed By

PadagisTM

Allegan, MI 49010 • www.padagis.com

Rev 05-22

8F200 RC J2

Warnings (WARNINGS)

This cream contains mineral oil. Mineral oil may weaken latex or rubber products such as condoms or vaginal contraceptive diaphragms; therefore, use of such products within 72 hours following treatment with GYNAZOLE•1® Butoconazole Nitrate Vaginal Cream USP, 2% is not recommended.

Recurrent vaginal yeast infections, especially those that are difficult to eradicate, can be an early sign of infection with the human immunodeficiency virus (HIV) in women who are considered at risk for HIV infection.

General (General -)

If clinical symptoms persist, tests should be repeated to rule out other pathogens, to confirm the original diagnosis, and to rule out other conditions that may predispose a patient to recurrent vaginal fungal infections.

Description (DESCRIPTION)

GYNAZOLE • 1® Butoconazole Nitrate Vaginal Cream USP, 2% contains butoconazole nitrate 2%, an imidazole derivative with antifungal activity. Its chemical name is (±)-1-[4-(p-chlorophenyl)-2- [(2,6-dichlorophenyl) thio]butyl] imidazole mononitrate, and it has the following chemical structure:

Butoconazole nitrate is a white to off-white crystalline powder with a molecular weight of 474.79. It is sparingly soluble in methanol; slightly soluble in chloroform, methylene chloride, acetone, and ethanol; very slightly soluble in ethyl acetate; and practically insoluble in water. It melts at about 159°C with decomposition.

GYNAZOLE • 1® Butoconazole Nitrate Vaginal Cream USP, 2% contains 2% butoconazole nitrate in a cream of edetate disodium, glyceryl monoisostearate, methylparaben, mineral oil, polyglyceryl-3 oleate, propylene glycol, propylparaben, colloidal silicon dioxide, sorbitol solution, purified water, and microcrystalline wax.

How Supplied (HOW SUPPLIED)

GYNAZOLE•1® Butoconazole Nitrate Vaginal Cream USP, 2% is available in cartons containing one single-dose prefilled disposable applicator (NDC 45802-396-01).

Store at 25°C (77°F); excursions permitted to 15°-30°C (59°-86°F) [see USP Controlled Room Temperature].

Avoid heat above 30°C (86°F).

Microbiology (Microbiology -)

The exact mechanism of the antifungal action of butoconazole nitrate is unknown; however, it is presumed to function as other imidazole derivatives via inhibition of steroid synthesis. Imidazoles generally inhibit the conversion of lanosterol to ergosterol, resulting in a change in fungal cell membrane lipid composition. This structural change alters cell permeability and, ultimately, results in the osmotic disruption or growth inhibition of the fungal cell.

Butoconazole nitrate is an imidazole derivative that has fungicidal activity in vitro against Candida spp. and has been demonstrated to be clinically effective against vaginal infections due to Candida albicans. Candida albicans has been identified as the predominant species responsible for vulvovaginal candidiasis.

Pediatric Use (Pediatric Use -)

Safety and effectiveness in children have not been established.

Clinical Studies (CLINICAL STUDIES)

Vulvovaginal Candidiasis: Two studies were conducted that compared 2% butoconazole nitrate cream with clotrimazole tablets. There were 322 enrolled patients, 161 received 2.0% butoconazole vaginal cream and 161 patients inserted the 500-mg clotrimazole vaginal tablet. At the second follow-up visit (30 days post-therapy), 118 patients in the butoconazole group and 116 in the clotrimazole group were evaluable for efficacy analysis, respectively. All of these patients had infection caused by Candida albicans.

The efficacy of the study drugs was assessed by evaluating clinical, mycologic and therapeutic cure rates, which are summarized in Table 1.

The therapeutic cure was defined as complete resolution of signs and symptoms of vaginal candidiasis (clinical cure) along with a negative KOH examination and negative culture for Candida spp. (microbiologic eradication) at the long term follow-up (30 days). The therapeutic cure rate was 67% in the butoconazole group and 61% in the clotrimazole group.

Adverse Reactions (ADVERSE REACTIONS)

Of the 314 patients treated with GYNAZOLE • 1® Butoconazole Nitrate Vaginal Cream USP, 2% for 1 day in controlled clinical trials, 18 patients (5.7%) reported complaints such as vulvar/vaginal burning, itching, soreness and swelling, pelvic or abdominal pain or cramping, or a combination of two or more of these symptoms. In 3 patients (1%) these complaints were considered treatment-related. Five of the 18 patients reporting adverse events discontinued the study because of them.

Contraindications (CONTRAINDICATIONS)

GYNAZOLE • 1® Butoconazole Nitrate Vaginal Cream USP, 2% is contraindicated in patients with a history of hypersensitivity to any of the components of the product.

Nursing Mothers (Nursing Mothers -)

It is not known whether this drug is excreted in human milk. Because many drugs are excreted in human milk, caution should be exercised when butoconazole nitrate is administered to a nursing woman.

Clinical Pharmacology (CLINICAL PHARMACOLOGY)

Following vaginal administration of butoconazole nitrate vaginal cream, 2% to 3 women, 1.7% (range 1.3-2.2%) of the dose was absorbed on average. Peak plasma levels (13.6-18.6 ng radioequivalents/mL of plasma) of the drug and its metabolites are attained between 12 and 24 hours after vaginal administration.

Indications and Usage (INDICATIONS AND USAGE)

GYNAZOLE • 1® Butoconazole Nitrate Vaginal Cream USP, 2% is indicated for the local treatment of vulvovaginal candidiasis (infections caused by Candida). The diagnosis should be confirmed by KOH smears and/or cultures (see CLINICAL STUDIES).

Note: GYNAZOLE • 1® Butoconazole Nitrate Vaginal Cream USP, 2% is safe and effective in non-pregnant women; however, the safety and effectiveness of this product in pregnant women has not been established (see PRECAUTIONS - Pregnancy).

Patient Package Insert

GYNAZOLE•1®

Butoconazole Nitrate Vaginal Cream USP, 2%

IN ONE PREFILLED DISPOSABLE APPLICATOR

Using the GYNAZOLE•1® Butoconazole Nitrate Vaginal Cream USP, 2%

Prefilled Disposable Applicator

3 Easy Steps:

Step 1: Preparing the Applicator

Peel back the protective foil and remove the prefilled applicator. Applicator is designed to be used with tip in place. Do not remove tip; do not use applicator if tip has been removed.

Do not warm applicator before using. While holding the applicator firmly, pull the ring back to fully extend the plunger (see Figures 1 and 2 ).

Step 2: Inserting the Applicator

Gently insert the applicator into the vagina as far as it will comfortably go (see Figures 3A and 3B ).

Step 3: Applying the Cream

Push the plunger to release the cream (see Figures 4A, 4B and 4C ). Remove the empty applicator from the vagina and throw it away.

Important Instructions

  • One prefilled applicator of GYNAZOLE • 1® Butoconazole Nitrate Vaginal Cream USP, 2% should be administered.
  • This cream contains mineral oil. Mineral oil may weaken latex or rubber products such as condoms or vaginal contraceptive diaphragms; therefore, use of such products within 72 hours following treatment with GYNAZOLE • 1® Butoconazole Nitrate Vaginal Cream USP, 2% is not recommended.
  • There are no adequate and well-controlled studies in pregnant women. GYNAZOLE • 1® Butoconazole Nitrate Vaginal Cream USP, 2% should be used during pregnancy only under the supervision of a physician.

Call your doctor for medical advice about side effects.

You may report side effects to FDA at 1-800-FDA-1088.

Manufactured By Padagis

Yeruham, Israel

Distributed By

PadagisTM

Allegan, MI 49010 • www.padagis.com

Rev 05-22

8F200 RC J2

Pregnancy Category C (Pregnancy Category C -)

In pregnant rats administered 6 mg/kg/day of butoconazole nitrate intravaginally during the period of organogenesis, there was an increase in resorption rate and decrease in litter size; however, no teratogenicity was noted. This dose represents a 130- to 353-fold margin of safety based on serum levels achieved in rats following intravaginal administration compared to the serum levels achieved in humans following intravaginal administration of the recommended therapeutic dose of butoconazole nitrate.

Butoconazole nitrate has no apparent adverse effect when administered orally to pregnant rats throughout organogenesis at dose levels up to 50 mg/kg/day (5 times the human dose based on mg/m2). Daily oral doses of 100, 300 or 750 mg/kg/day (10, 30 or 75 times the human dose based on mg/m2 respectively) resulted in fetal malformations (abdominal wall defects, cleft palate), but maternal stress was also evident at these higher dose levels. There were, however, no adverse effects on litters of rabbits who received butoconazole nitrate orally, even at maternally stressful dose levels (e.g., 150 mg/kg, 24 times the human dose based on mg/m2).

Butoconazole nitrate, like other azole antifungal agents, causes dystocia in rats when treatment is extended through parturition. However, this effect was not apparent in rabbits treated with as much as 100 mg/kg/day orally (16 times the human dose based on mg/m2).

There are, however, no adequate and well-controlled studies in pregnant women. GYNAZOLE • 1® Butoconazole Nitrate Vaginal Cream USP, 2% should be used during pregnancy only if the potential benefit justifies the potential risk to the fetus.

Dosage and Administration (DOSAGE AND ADMINISTRATION)

The recommended dose of GYNAZOLE • 1® Butoconazole Nitrate Vaginal Cream USP, 2% is one applicatorful of cream (approximately 5 grams of the cream) intravaginally. This amount of cream contains approximately 100 mg of butoconazole nitrate.

Package/label Principal Display Panel (PACKAGE/LABEL PRINCIPAL DISPLAY PANEL)

Rx Only

NDC 45802-396-01

GYNAZOLE•1®

Butoconazole Nitrate Vaginal Cream USP, 2%

The applicator delivers approximately 5 g cream, containing 100 mg butoconazole nitrate.

IN ONE PREFILLED DISPOSABLE APPLICATOR

For Vaginal Use Only.

NET WT 5.8 g

The following image is a placeholder representing the product identifier that is either affixed or imprinted on the drug package label during the packaging operation.

Carcinogenesis, Mutagenesis, Impairment of Fertility (Carcinogenesis, Mutagenesis, Impairment of Fertility -)

Carcinogenesis - Long term studies in animals have not been performed to evaluate the carcinogenic potential of this drug.

Mutagenicity - Butoconazole nitrate was not mutagenic when tested in the Ames bacterial test, yeast, chromosomal aberration assay in CHO cells, CHO/HGPRT point mutation assay, mouse micronucleus, and rat dominant lethal assays.

Impairment of Fertility - No impairment of fertility was seen in rabbits or rats administered butoconazole nitrate in oral doses up to 30 mg/kg/day (5 times the human dose based on mg/m2) or 100 mg/kg/day (10 times the human dose based on mg/m2), respectively.


Advanced Ingredient Data


Raw Label Data

All Sections (JSON)