Levorphanol Tartrate Tablets Usp, Cii

Levorphanol Tartrate Tablets Usp, Cii
SPL v1
SPL
SPL Set ID 113a713f-830b-481c-bfa6-d44e3ac27f80
Route
ORAL
Published
Effective Date 2025-06-04
Document Type 34391-3 HUMAN PRESCRIPTION DRUG LABEL

Drug Facts

Composition & Product

Active Ingredients
Levorphanol (2 mg)
Inactive Ingredients
Anhydrous Lactose Starch, Corn Magnesium Stearate

Identifiers & Packaging

Pill Appearance
Imprint: V2003 Shape: round Color: white Size: 6 mm Score: 2
Marketing Status
ANDA Active Since 2025-07-14

Description

RX ONLY

Indications and Usage

Levorphanol Tartrate Tablets are indicated for the management of pain severe enough to require an opioid analgesic and for which alternative treatments are inadequate.

Dosage and Administration

Levorphanol Tartrate Tablets should be prescribed only by healthcare professionals who are knowledgeable about the use of opioids and how to mitigate the associated risks. Use the lowest effective dosage for the shortest duration of time consistent with individual patient treatment goals [see WARNINGS ]. Because the risk of overdose increases as opioid doses increase, reserve titration to higher doses of Levorphanol Tartrate Tablets for patients in whom lower doses are insufficiently effective and in whom the expected benefits of using a higher dose opioid clearly outweigh the substantial risks. Many acute pain conditions (e.g., the pain that occurs with a number of surgical procedures or acute musculoskeletal injuries) require no more than a few days of an opioid analgesic. Clinical guidelines on opioid prescribing for some acute pain conditions are available. There is variability in the opioid analgesic dose and duration needed to adequately manage pain due both to the cause of pain and to individual patient factors. Initiate the dosing regimen for each patient individually, taking into account the patient’s underlying cause and severity of pain, prior analgesic treatment and response, and risk factors for addiction, abuse, and misuse [see WARNINGS ]. Respiratory depression can occur at any time during opioid therapy, especially when initiating and following dosage increases with Levorphanol Tartrate Tablets. Consider this risk when selecting an initial dose and when making dose adjustments [see WARNINGS ].

Contraindications

Levorphanol Tartrate Tablets are contraindicated in patients with: • Significant respiratory depression [see WARNINGS ] • Acute or severe bronchial asthma in an unmonitored setting or in the absence of resuscitative equipment [see WARNINGS ] • Known or suspected gastrointestinal obstruction, including paralytic ileus [see WARNINGS ] • Hypersensitivity to levorphanol or any of the formulation excipients (e.g., anaphylaxis) [see WARNINGS ]

Adverse Reactions

Use of opioid analgesics for an extended period of time during pregnancy for medical or nonmedical purposes can result in physical dependence in the neonate and neonatal opioid withdrawal syndrome shortly after birth. Neonatal opioid withdrawal syndrome presents as irritability, hyperactivity and abnormal sleep pattern, high pitched cry, tremor, vomiting, diarrhea, and failure to gain weight. The onset, duration, and severity of neonatal opioid withdrawal syndrome vary based on the specific opioid used, duration of use, timing and amount of last maternal use, and rate of elimination of the drug by the newborn. Observe newborns for symptoms of neonatal opioid withdrawal syndrome and manage accordingly [see WARNINGS ].

How Supplied

Levorphanol Tartrate Tablets USP, 2 mg White to off white, scored tablets (Identified V2003) NDC: 72989-417-10 Bottles of 100 tablets. Store at 20° to 25°C (68° to 77°F). [See USP Controlled Room Temperature.] Dispense in an amber airtight container as defined in the USP. Store Levorphanol Tartrate Tablets securely and dispose of properly [see PRECAUTIONS; Information for Patients ]. Distributed by: Acertis Pharmaceuticals, LLC Raleigh, NC 27601 Rev. 01/2025


Medication Information

Indications and Usage

Levorphanol Tartrate Tablets are indicated for the management of pain severe enough to require an opioid analgesic and for which alternative treatments are inadequate.

Dosage and Administration

Levorphanol Tartrate Tablets should be prescribed only by healthcare professionals who are knowledgeable about the use of opioids and how to mitigate the associated risks. Use the lowest effective dosage for the shortest duration of time consistent with individual patient treatment goals [see WARNINGS ]. Because the risk of overdose increases as opioid doses increase, reserve titration to higher doses of Levorphanol Tartrate Tablets for patients in whom lower doses are insufficiently effective and in whom the expected benefits of using a higher dose opioid clearly outweigh the substantial risks. Many acute pain conditions (e.g., the pain that occurs with a number of surgical procedures or acute musculoskeletal injuries) require no more than a few days of an opioid analgesic. Clinical guidelines on opioid prescribing for some acute pain conditions are available. There is variability in the opioid analgesic dose and duration needed to adequately manage pain due both to the cause of pain and to individual patient factors. Initiate the dosing regimen for each patient individually, taking into account the patient’s underlying cause and severity of pain, prior analgesic treatment and response, and risk factors for addiction, abuse, and misuse [see WARNINGS ]. Respiratory depression can occur at any time during opioid therapy, especially when initiating and following dosage increases with Levorphanol Tartrate Tablets. Consider this risk when selecting an initial dose and when making dose adjustments [see WARNINGS ].

Contraindications

Levorphanol Tartrate Tablets are contraindicated in patients with:

  • Significant respiratory depression [see WARNINGS]
  • Acute or severe bronchial asthma in an unmonitored setting or in the absence of resuscitative equipment [see WARNINGS]
  • Known or suspected gastrointestinal obstruction, including paralytic ileus [see WARNINGS]
  • Hypersensitivity to levorphanol or any of the formulation excipients (e.g., anaphylaxis) [see WARNINGS]
Adverse Reactions

In approximately 1400 patients treated with Levorphanol Tartrate Tablets in controlled clinical trials, the type and incidence of side effects were those expected of an opioid analgesic, and no unforeseen or unusual toxicity was reported.

Drugs of this type are expected to produce a cluster of typical opioid effects in addition to analgesia, consisting of nausea, vomiting, altered mood and mentation, pruritus, flushing, difficulties in urination, constipation, and biliary spasm. The frequency and intensity of these effects appears to be dose related. Although listed as adverse events these are expected pharmacologic actions of these drugs and should be interpreted as such by the clinician.

The following adverse events have been reported with the use of Levorphanol Tartrate Tablets:

Body as a Whole: abdominal pain, dry mouth, sweating

Cardiovascular System: cardiac arrest, shock, hypotension, arrhythmias including bradycardia and tachycardia, palpitations, extra-systoles

Digestive System: nausea, vomiting, dyspepsia, biliary tract spasm

Nervous System: coma, suicide attempt, convulsions, depression, dizziness, confusion, lethargy, abnormal dreams, abnormal thinking, nervousness, drug withdrawal, hypokinesia, dyskinesia, hyperkinesia, CNS stimulation, personality disorder, amnesia, insomnia

Respiratory System: apnea, cyanosis, hypoventilation

Skin & Appendages: pruritus, urticaria, rash, injection site reaction

Special Senses: abnormal vision, pupillary disorder, diplopia

Urogenital System: kidney failure, urinary retention, difficulty urinating

How Supplied

Levorphanol Tartrate Tablets USP, 2 mg White to off white, scored tablets (Identified V2003)

NDC: 72989-417-10 Bottles of 100 tablets.

Store at 20° to 25°C (68° to 77°F). [See USP Controlled Room Temperature.]

Dispense in an amber airtight container as defined in the USP.

Store Levorphanol Tartrate Tablets securely and dispose of properly [see PRECAUTIONS; Information for Patients].

Distributed by:

Acertis Pharmaceuticals, LLC

Raleigh, NC 27601

Rev. 01/2025

Description

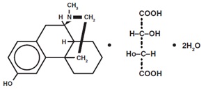
Levorphanol Tartrate Tablets, contain levorphanol, an opioid agonist with a molecular formula of C17H23NO • C4H6O6• 2H2O and molecular weight 443.5. Each milligram of levorphanol tartrate is equivalent to 0.58 mg levorphanol base. Levorphanol’s chemical name is levo-3-hydroxy-N-methylmorphinan. The USP nomenclature is 17-methylmorphinan 3-ol, tartrate (1:1) (salt) dihydrate. The material has 3 asymmetric carbon atoms. The chemical structure is:

Levorphanol tartrate is a white crystalline powder, soluble in water and ether, but insoluble in chloroform. Each tablet, for oral administration, contains 2 mg levorphanol tartrate. In addition, each tablet contains anhydrous lactose, corn starch, and magnesium stearate.

Data

Studies of levorphanol concentrations in breast milk have not been performed. However, morphine, which is structurally similar to levorphanol, is excreted in human milk. Because of the potential for serious adverse reactions from levorphanol in nursing infants, a decision should be made whether to discontinue nursing or to discontinue the drug, taking into account the importance of the drug to the mother.

Abuse

Levorphanol Tartrate Tablets contains levorphanol, a substance with high potential for misuse and abuse, which can lead to the development of substance use disorder, including addiction [see WARNINGS].

Misuse is the intentional use, for therapeutic purposes, of a drug by an individual in a way other than prescribed by a healthcare provider or for whom it was not prescribed.

Abuse is the intentional, non-therapeutic use of a drug, even once, for its desirable psychological or physiological effects.

Drug addiction is a cluster of behavioral, cognitive, and physiological phenomena that may include a strong desire to take the drug, difficulties in controlling drug use (e.g., continuing drug use despite harmful consequences, giving a higher priority to drug use than other activities and obligations), and possible tolerance or physical dependance.

Misuse and abuse of Levorphanol Tartrate Tablets increases risk of overdose, which may lead to central nervous system and respiratory depression, hypotension, seizures, and death. The risk is increased with concurrent abuse of Levorphanol Tartrate Tablets with alcohol and other CNS depressants. Abuse of and addiction to opioids in some individuals may not be accompanied by concurrent tolerance and symptoms of physical dependence. In addition, abuse of opioids can occur in the absence of addiction.

All patients treated with opioids require careful and frequent reevaluation for signs of misuse, abuse, and addiction, because use of opioid analgesic products carries the risk of addiction even under appropriate medical use. Patients at high risk of Levorphanol Tartrate Tablets abuse include those with a history of prolonged use of any opioid, including products containing levorphanol, those with a history of drug or alcohol abuse, or those who use Levorphanol Tartrate Tablets in combination with other abused drugs.

“Drug-seeking” behavior is very common in persons with substance use disorders. Drug-seeking tactics include emergency calls or visits near the end of office hours, refusal to undergo appropriate examination, testing, or referral, repeated “loss” of prescriptions, tampering with prescriptions, and reluctance to provide prior medical records or contact information for other treating healthcare provider(s). “Doctor shopping” (visiting multiple prescribers to obtain additional prescriptions) is common among people who abuse drugs and people with substance use disorder. Preoccupation with achieving adequate pain relief can be appropriate behavior in a patient with inadequate pain control.

Levorphanol Tartrate Tablets, like other opioids, can be diverted for nonmedical use into illicit channels of distribution. Careful record-keeping of prescribing information, including quantity, frequency, and renewal requests, as required by state and federal law, is strongly advised.

Proper assessment of the patient, proper prescribing practices, periodic reevaluation of therapy, and proper dispensing and storage are appropriate measures that help to limit abuse of opioid drugs.

Section 42229-5

RX ONLY

Section 42231-1

MEDICATION GUIDE

Levorphanol Tartrate

(lee vor’ fa nol tar’ trate)

Tablets CII

Levorphanol Tartrate Tablets are:

  • A strong prescription pain medicine that contains an opioid (narcotic) that is used to manage pain, severe enough to require an opioid pain medicine when other pain treatments such as non-opioid pain medicines do not treat your pain well enough or you cannot tolerate them.
  • An opioid pain medicine that can put you at risk for overdose and death. Even if you take your dose correctly as prescribed you are at risk for opioid addiction, abuse, and misuse that can lead to death.

Important information about Levorphanol Tartrate Tablets:

  • Get emergency help or call 911 right away if you take too much Levorphanol Tartrate Tablets (overdose). When you first start taking Levorphanol Tartrate Tablets, when your dose is changed, or if you take too much (overdose), serious or life-threatening breathing problems that can lead to death may occur. Talk to your healthcare provider about naloxone, a medicine for the emergency treatment of an opioid overdose.
  • Taking Levorphanol Tartrate Tablets with other opioid medicines, benzodiazepines, alcohol, or other central nervous system depressants (including street drugs) can cause severe drowsiness, decreased awareness, breathing problems, coma and death.
  • Never give anyone else your Levorphanol Tartrate Tablets. They could die from taking it. Selling or giving away Levorphanol Tartrate Tablets is against the law.
  • Store Levorphanol Tartrate Tablets securely, out of sight and reach of children, and in a location not accessible by others, including visitors to the home.

Do not take Levorphanol Tartrate Tablets if you have:

  • severe asthma trouble breathing, or other lung problems
  • a bowel blockage or have narrowing of the stomach or intestines
  • previously had an allergic reaction to levorphanol

Before taking Levorphanol Tartrate Tablets, tell your healthcare provider if you have a history of:

  • head injury, seizures
  • liver, kidney, thyroid problems
  • problems urinating
  • pancreas or gallbladder problems
  • abuse of street or prescription drugs, alcohol addiction, opioid overdose, or mental health problems.

Tell your healthcare provider if you are:

  • noticing your pain getting worse. If your pain gets worse after you take Levorphanol Tartrate Tablets, do not take more of Levorphanol Tartrate Tablets without first talking to your healthcare provider. Talk to your healthcare provider if the pain that you have increases, if you feel more sensitive to pain, or if you have new pain after taking Levorphanol Tartrate Tablets.
  • pregnant or planning to become pregnant. Use of Levorphanol Tartrate Tablets for an extended period of time during pregnancy can cause withdrawal symptoms in your newborn baby that could be life-threatening if not recognized and treated.
  • breastfeeding. Levorphanol Tartrate Tablets passes into breast milk and may harm your baby. Carefully observe infants for increased sleepiness (more than usual), breathing difficulties, or limpness. Seek immediate medical care if you notice these signs.
  • living in a household where there are small children or someone who has abused street or prescription drugs.
  • taking prescription or over-the-counter medicines, vitamins, or herbal supplements. Taking Levorphanol Tartrate Tablets with certain other medicines can cause serious side effects that could lead to death.

When taking Levorphanol Tartrate Tablets:

  • Do not change your dose. Take Levorphanol Tartrate Tablets exactly as prescribed by your healthcare provider. Use the lowest dose possible for the shortest time needed.
  • For acute (short-term) pain, you may only need to take Levorphanol Tartrate Tablets for a few days. You may have some Levorphanol Tartrate Tablets left over that you did not use. See disposal information at the bottom of this section for directions on how to safely throw away (dispose of) your unused Levorphanol Tartrate Tablets.
  • Take your prescribed dose every 6 to 8 hours as needed for pain. Do not take more than your prescribed dose. If you miss a dose, take your next dose at your usual time.
  • Call your healthcare provider if the dose you are taking does not control your pain.
  • If you have been taking Levorphanol Tartrate Tablets regularly, do not stop taking without talking to your healthcare provider.
  • Dispose of expired, unwanted, or unused Levorphanol Tartrate Tablets by promptly flushing down the toilet, if a drug take-back option is not readily available. Visit www.fda.gov/drugdisposal for additional information on disposal of unused medicines.

While taking Levorphanol Tartrate Tablets DO NOT:

  • Drive or operate heavy machinery, until you know how Levorphanol Tartrate Tablets affects you. Levorphanol Tartrate Tablets can make you sleepy, dizzy, or lightheaded.
  • Drink alcohol or use prescription or over-the-counter medicines that contain alcohol. Using products containing alcohol during treatment with Levorphanol Tartrate Tablets may cause you to overdose and die.

The possible side effects of Levorphanol Tartrate Tablets:

  • constipation, nausea, sleepiness, vomiting, tiredness, headache, dizziness, abdominal pain. Call your healthcare provider if you have any of these symptoms and they are severe.

Get emergency medical help or call 911 right away if you have:

  • trouble breathing, shortness of breath, fast heartbeat, chest pain, swelling of your face, tongue, or throat, extreme drowsiness, light-headedness when changing positions, feeling faint, agitation, high body temperature, trouble walking, stiff muscles, or mental changes such as confusion.

These are not all the possible side effects of Levorphanol Tartrate Tablets. Call your healthcare provider for medical advice about side effects. You may report side effects to FDA at 1-800-FDA-1088.

For more information go to dailymed.nlm.nih.gov.

For more information you can call 1-888-848-3593.

This Medication Guide has been approved by the U.S. Food and Drug Administration.

Distributed by:

Acertis Pharmaceuticals, LLC

Raleigh, NC 27601

Rev. 01/2025

Diuretics

Opioids can reduce the efficacy of diuretics by inducing the release of antidiuretic hormone. If concomitant use is warranted, evaluate patients for signs of diminished diuresis and/or effects on blood pressure and increase the dosage of the diuretic as needed.

Lactation

Advise nursing mothers to carefully observe infants for increased sleepiness (more than usual), breathing difficulties, or limpness. Instruct nursing mothers to seek immediate medical care if they notice these signs [see PRECAUTIONS; Lactation].

Dependence

Both tolerance and physical dependence can develop during use of opioid therapy.

Tolerance is a physiological state characterized by a reduced response to a drug after repeated administration (i.e., a higher dose of a drug is required to produce the same effect that was once obtained at a lower dose).

Physical dependence is a state that develops as a result of a physiological adaptation in response to repeated drug use, manifested by withdrawal signs and symptoms after abrupt discontinuation or a significant dose reduction of a drug.

Withdrawal may be precipitated through the administration of drugs with opioid antagonist activity (e.g., naloxone), mixed agonist/antagonist analgesics (e.g., pentazocine, butorphanol, nalbuphine), or partial agonists (e.g., buprenorphine). Physical dependence may not occur to a clinically significant degree until after several days to weeks of continued use.

Do not abruptly discontinue Levorphanol Tartrate Tablets in a patient physically dependent on opioids. Rapid tapering of Levorphanol Tartrate Tablets in a patient physically dependent on opioids may lead to serious withdrawal symptoms, uncontrolled pain, and suicide. Rapid discontinuation has also been associated with attempts to find other sources of opioid analgesics, which may be confused with drug-seeking for abuse.

When discontinuing Levorphanol Tartrate Tablets, gradually taper the dosage using a patient-specific plan that considers the following: the dose of Levorphanol Tartrate Tablets the patient has been taking, the duration of treatment, and the physical and psychological attributes of the patient. To improve the likelihood of a successful taper and minimize withdrawal symptoms, it is important that the opioid tapering schedule is agreed upon by the patient. In patients taking opioids for an extended period of time at high doses, ensure that a multimodal approach to pain management, including mental health support (if needed), is in place prior to initiating an opioid analgesic taper [see DOSAGE AND ADMINISTRATION, WARNINGS].

Infants born to mothers physically dependent on opioids will also be physically dependent and may exhibit respiratory difficulties and withdrawal signs [see PRECAUTIONS; Pregnancy].

Withdrawal

Do not abruptly discontinue Levorphanol Tartrate Tablets in a patient physically dependent on opioids. When discontinuing Levorphanol Tartrate Tablets in a physically dependent patient, gradually taper the dosage. Rapid tapering of Levorphanol Tartrate Tablets in a patient physically dependent on opioids may lead to a withdrawal syndrome and return of pain [see DOSAGE AND ADMINISTRATION, DRUG ABUSE AND DEPENDENCE].

Additionally, avoid the use of mixed agonist/antagonist (e.g., pentazocine, nalbuphine, and butorphanol) or partial agonist (e.g., buprenorphine) analgesics in patients who are receiving a full opioid agonist analgesic, including Levorphanol Tartrate Tablets. In these patients, mixed agonist/antagonist and partial agonist analgesics may reduce the analgesic effect and/or precipitate withdrawal symptoms [see PRECAUTIONS; Drug Interactions].

Anaphylaxis

Inform patients that anaphylaxis has been reported with ingredients contained in Levorphanol Tartrate Tablets. Advise patients how to recognize such a reaction, and if they develop signs of allergy such as a rash or difficulty breathing to stop taking Levorphanol Tartrate Tablets and seek medical attention. [see CONTRAINDICATIONS, ADVERSE REACTIONS].

Animal Data

In a published study, levorphanol has been shown to cause central nervous system malformations consistent with neural tube defects (kinking of the spinal cord, hydromyelia, dilation of the fourth ventricle, and brachyury) in pregnant mice when given a single subcutaneous dose of 25 mg/kg (10 times the human daily dose of 12 mg/day based on a body surface area comparison) on Gestation Day 9. Subcutaneous administration of 30 mg/kg levorphanol to pregnant mice on Gestation Day 9 resulted in approximately 50% mortality of the mouse embryos (12 times the human daily dose of 12 mg/day).

In another published study, male mice were injected subcutaneously twice daily with increasing daily doses of levorphanol up to 42 mg/kg/day (34 times the human daily dose of 12 mg based on body surface area) for 5.5 to 8.5 days prior to mating with an untreated female. Paternal exposure to levorphanol resulted in reduced birth weights of the litters, developmental delays in the offspring, and aberrant swim patterns in the progeny when measured at 6.5 to 8.5 weeks of age.

Hypotension

Inform patients that Levorphanol Tartrate Tablets may cause orthostatic hypotension and syncope. Instruct patients how to recognize symptoms of low blood pressure and how to reduce the risk of serious consequences should hypotension occur (e.g., sit or lie down, carefully rise from a sitting or lying position) [see WARNINGS].

Infertility

Inform patients that use of opioids for an extended period of time may cause reduced fertility. It is not known whether these effects on fertility are reversible [see ADVERSE REACTIONS].

Mutagenesis

Animal studies to evaluate the mutagenic potential of levorphanol have not been conducted.

Constipation

Advise patients of the potential for severe constipation, including management instructions and when to seek medical attention [see ADVERSE REACTIONS, CLINICAL PHARMACOLOGY].

Risk Summary

Use of opioid analgesics for an extended period of time during pregnancy may cause neonatal opioid withdrawal syndrome [see WARNINGS]. Available data with Levorphanol Tartrate Tablets in pregnant women are insufficient to inform a drug-associated risk for major birth defects and miscarriage.

In animal reproduction studies, oral levorphanol produced malformations and nearly 50% embryo lethality in mice at 10 and 12 times the human daily dose of 12 mg/day, respectively. Paternal exposure to levorphanol prior to mating to an untreated female resulted in reduced litter birth weights, developmental delays, and aberrant behavior in a swim maze at 34 times the human daily dose of 12 mg/day.

All pregnancies have a background risk of birth defect, loss, or other adverse outcomes. In the U.S. general population, the estimated background risk of major birth defects and miscarriage in clinically recognized pregnancies is 2 to 4% and 15 to 20%, respectively.

Geriatric Use

Elderly patients (aged 65 years or older) may have increased sensitivity to levorphanol. In general, use caution when selecting a dosage for an elderly patient, usually starting at the low end of the dosing range, reflecting the greater frequency of decreased hepatic, renal, or cardiac function and of concomitant disease or other drug therapy. The initial dose of Levorphanol Tartrate Tablets should be reduced by 50% or more in the infirm elderly patient.

Respiratory depression is the chief risk for elderly patients treated with opioids, and has occurred after large initial doses were administered to patients who were not opioid-tolerant or when opioids were coadministered with other agents that depress respiration. Titrate the dosage of Levorphanol Tartrate Tablets slowly in geriatric patients and frequently reevaluate the patient for signs of central nervous system and respiratory depression [see WARNINGS].

This drug is known to be substantially excreted by the kidney, and the risk of adverse reactions to this drug may be greater in patients with impaired renal function. Because elderly patients are more likely to have decreased renal function, care should be taken in dose selection, and it may be useful to regularly evaluate renal function.

Pediatric Use

Levorphanol Tartrate Tablets are not recommended in children under the age of 18 years as the safety and efficacy of the drug in this population has not been established.

Carcinogenesis

Long-term studies in animals to evaluate the carcinogenic potential of levorphanol have not been conducted.

Clinical Trials

Clinical trials have been reported in the medical literature that investigated the use of Levorphanol Tartrate Tablets as a preoperative medication, as a postoperative analgesic, and in the management of chronic pain due primarily to malignancy. In each of these clinical settings Levorphanol Tartrate Tablets has been shown to be an effective analgesic of the mu-opioid type and similar to morphine, meperidine, or fentanyl.

Levorphanol Tartrate Tablets has been studied in chronic cancer patients. Dosages were individualized to each patient’s level of opioid tolerance. In one study, starting doses of 2 mg twice a day often had to be advanced by 50% or more within a few weeks of starting therapy. A study of Levorphanol Tartrate Tablets indicates that the relative potency is approximately 4 to 8 times that of morphine, depending on the specific circumstances of use. In postoperative patients, intramuscular levorphanol was determined to be about 8 times as potent as intramuscular morphine, whereas in cancer patients with chronic pain, it was found only to be about 4 times as potent.

Muscle Relaxants

Levorphanol may enhance the neuromuscular blocking action of skeletal muscle relaxants and produce an increased degree of respiratory depression.

Because respiratory depression may be greater than otherwise expected, decrease the dosage of Levorphanol Tartrate Tablets and/or the muscle relaxant as necessary. Due to the risk of respiratory depression with concomitant use of skeletal muscle relaxants and opioids, consider prescribing naloxone for the emergency treatment of opioid overdose [see WARNINGS].

Pharmacokinetics

The pharmacokinetics of levorphanol have been studied in a limited number of cancer patients following intravenous (IV), intramuscular (IM) and oral (PO) administration. Following IV administration plasma concentrations of levorphanol decline in a triexponential manner with a terminal half-life of 11 to 16 hours and a clearance of 0.78 to 1.1 L/kg/hr. Based on terminal half-life, steady-state plasma concentrations should be achieved by the third day of dosing.

Levorphanol is rapidly distributed (<1 hr) and redistributed (1 to 2 hours) following IV administration and has a steady-state volume of distribution of 10 to 13 L/kg. In vitro studies of protein binding indicate that levorphanol is only 40% bound to plasma proteins.

No pharmacokinetic studies of the absorption of IM levorphanol are available, but clinical data suggests that absorption is rapid with onset of effects within 15 to 30 minutes of administration.

Levorphanol is well absorbed after PO administration with peak plasma concentrations occurring approximately 1 hour after dosing. The bioavailability of Levorphanol Tartrate Tablets compared to IM or IV administration is not known.

Plasma concentrations of levorphanol following chronic administration in patients with cancer increased with the dose, but the analgesic effect was dependent on the degree of opioid tolerance of the patient. Expected steady-state plasma concentrations for a 6-hour dosing interval can reach 2 to 5 times those following a single dose, depending on the patient’s individual clearance of the drug. Very high plasma concentrations of levorphanol can be reached in patients on chronic therapy due to the long half-life of the drug. One study in 11 patients using the drug for control of cancer pain reported plasma concentrations from 5 to 10 ng/mL after a single 2 mg dose and up to 50 to 100 ng/mL after repeated oral doses of 20 to 50 mg/day.

Animal studies suggest that levorphanol is extensively metabolized in the liver and is eliminated as the glucuronide metabolite. This renally excreted inactive glucuronide metabolite accumulates with chronic dosing in plasma at concentrations that reach fivefold that of the parent compound.

The effects of age, sex, hepatic and renal disease on the pharmacokinetics of levorphanol are not known. As with all drugs of this class, patients at the extremes of age are expected to be more susceptible to adverse effects because of a greater pharmacodynamic sensitivity and probable increased variability in pharmacokinetics due to age or disease.

Labor Or Delivery

Opioids cross the placenta and may produce respiratory depression and psycho-physiologic effects in neonates. An opioid antagonist, such as naloxone, must be available for reversal of opioid-induced respiratory depression in the neonate. Levorphanol Tartrate Tablets are not recommended for use in pregnant women during or immediately prior to labor, when other analgesic techniques are more appropriate. Opioid analgesics, including Levorphanol Tartrate Tablets can prolong labor through actions which temporarily reduce the strength, duration, and frequency of uterine contractions. However, this effect is not consistent and may be offset by an increased rate of cervical dilation, which tends to shorten labor.

Monitor neonates exposed to opioid analgesics during labor for signs of excess sedation and respiratory depression.

Geriatric Patients

Elderly patients (aged 65 years or older) may have increased sensitivity to levorphanol. In general, use caution when selecting a dosage for an elderly patient, usually starting at the low end of the dosing range, reflecting the greater frequency of decreased hepatic, renal, or cardiac function and of concomitant disease or other drug therapy. The initial dose of Levorphanol Tartrate Tablets should be reduced by 50% or more in the infirm elderly patient. [see PRECAUTIONS].

Limitations of Use

Because of the risks of addiction, abuse, and misuse with opioids, which can occur at any dosage or duration [see WARNINGS], reserve Levorphanol Tartrate Tablets for use in patients for whom alternative treatment options (e.g., non-opioid analgesics):

  • Have not been tolerated or are not expected to be tolerated,
  • Have not provided adequate analgesia or are not expected to provide adequate analgesia

Levorphanol Tartrate Tablets should not be used for an extended period of time unless the pain remains severe enough to require an opioid analgesic and for which alternative treatment options continue to be inadequate.

Serotonergic Drugs

The concomitant use of opioids with other drugs that affect the serotonergic neurotransmitter system, such as selective serotonin reuptake inhibitors (SSRIs), serotonin and norepinephrine reuptake inhibitors (SNRIs), tricyclic antidepressants (TCAs), triptans, 5-HT3 receptor antagonists, drugs that affect the serotonin neurotransmitter system (e.g., mirtazapine, trazodone, tramadol), and monoamine oxidase (MAO) inhibitors (those intended to treat psychiatric disorders and also others, such as linezolid and intravenous methylene blue), has resulted in serotonin syndrome. [see PRECAUTIONS; Information for Patients].

If concomitant use is warranted, frequently evaluate the patient, particularly during treatment initiation and dose adjustment. Discontinue Levorphanol Tartrate Tablets if serotonin syndrome is suspected.

Serotonin Syndrome

Inform patients that opioids could cause a rare but potentially life-threatening condition resulting from concomitant administration of serotonergic drugs. Warn patients of the symptoms of serotonin syndrome and to seek medical attention right away if symptoms develop after discharge from the hospital.

Instruct patients to inform their healthcare providers if they are taking, or plan to take serotonergic medications [see PRECAUTIONS; Drug Interactions].

Severe Hypotension

Levorphanol Tartrate Tablets may cause severe hypotension including orthostatic hypotension and syncope in ambulatory patients. There is increased risk in patients whose ability to maintain blood pressure has already been compromised by a reduced blood volume or concurrent administration of certain CNS depressant drugs (e.g., phenothiazines or general anesthetics) [see PRECAUTIONS; Drug Interactions]. Regularly evaluate these patients for signs of hypotension after initiating or titrating the dosage of Levorphanol Tartrate Tablets. In patients with circulatory shock Levorphanol Tartrate Tablets may cause vasodilatation that can further reduce cardiac output and blood pressure. Avoid the use of Levorphanol Tartrate Tablets with circulatory shock.

Mechanism of Action

Levorphanol is a full opioid agonist and is relatively selective for the mu-opioid receptor, although it can bind to other opioid receptors at higher doses. The principal therapeutic action of levorphanol is analgesia. Like all full opioid agonists, there is no ceiling effect for analgesia with levorphanol.

Clinically, dosage is titrated to provide adequate analgesia and may be limited by adverse reactions, including respiratory and CNS depression.

The precise mechanism of the analgesic action is unknown. However, specific CNS opioid receptors for endogenous compounds with opioid-like activity have been identified throughout the brain and spinal cord and are thought to play a role in the analgesic effects of this drug.

Controlled Substance

Levorphanol Tartrate Tablets contains levorphanol, a Schedule II controlled substance.

Storage and Disposal

Because of the risks associated with accidental ingestion, misuse, and abuse, advise patients to store Levorphanol Tartrate Tablets securely, out of sight and reach of children, and in a location not accessible by others, including visitors to the home. Inform patients that leaving Levorphanol Tartrate Tablets unsecured can pose a deadly risk to others in the home [see WARNINGS, DRUG ABUSE AND DEPENDENCE].

Advise patients and caregivers that when medicines are no longer needed, they should be disposed of promptly. Expired, unwanted, or unused Levorphanol Tartrate Tablets should be disposed of by flushing the unused medication down the toilet if a drug take-back option is not readily available. Inform patients that they can visit www.fda.gov/drugdisposal for a complete list of medicines recommended for disposal by flushing, as well as additional information on disposal of unused medicines.

Use in Liver Disease

Levorphanol Tartrate Tablets should be administered with caution to patients with extensive liver disease who may be vulnerable to excessive sedation due to increased pharmacodynamic sensitivity or impaired metabolism of the drug.

Adrenal Insufficiency

Cases of adrenal insufficiency have been reported with opioid use, more often following greater than 1 month of use. Presentation of adrenal insufficiency may include non-specific symptoms and signs including nausea, vomiting, anorexia, fatigue, weakness, dizziness, and low blood pressure. If adrenal insufficiency is suspected, confirm the diagnosis with diagnostic testing as soon as possible. If adrenal insufficiency is diagnosed, treat with physiologic replacement doses of corticosteroids. Wean the patient off of the opioid to allow adrenal function to recover and continue corticosteroid treatment until adrenal function recovers. Other opioids may be tried as some cases reported use of a different opioid without recurrence of adrenal insufficiency. The information available does not identify any particular opioids as being more likely to be associated with adrenal insufficiency.

Anticholinergic Drugs

The concomitant use of anticholinergic drugs may increase risk of urinary retention and/or severe constipation, which may lead to paralytic ileus. If concomitant use is warranted, evaluate patients for signs of urinary retention or reduced gastric motility when Levorphanol Tartrate Tablets is used concomitantly with anticholinergic drugs.

Clinical Presentation

Acute overdose with Levorphanol Tartrate Tablets can be manifested by respiratory depression, somnolence progressing to stupor or coma, skeletal muscle flaccidity, cold and clammy skin, constricted pupils, and, in some cases, pulmonary edema, bradycardia, hypotension, hypoglycemia, partial or complete airway obstruction, atypical snoring, and death. Marked mydriasis rather than miosis may be seen with hypoxia an overdose situations.

Embryo Fetal Toxicity

Inform female patients of reproductive potential that Levorphanol Tartrate Tablets can cause fetal harm and to inform the prescriber of a known or suspected pregnancy [see WARNINGS, PRECAUTIONS; Pregnancy].

Treatment of Overdose

In case of overdose, priorities are the reestablishment of a patient and protected airway and institution of assisted or controlled ventilation, if needed. Employ other supportive measures (including oxygen and vasopressors) in the management of circulatory shock and pulmonary edema as indicated. Cardiac arrest or arrhythmias will require advanced life-support measures.

Opioid antagonists, such as naloxone, are specific antidotes to respiratory depression resulting from opioid overdose. For clinically significant respiratory or circulatory depression secondary to resulting from opioid overdose. For clinically significant respiratory or circulatory depression secondary to Levorphanol Tartrate Tablets overdose, administer an opioid antagonist.

Because the duration of opioid reversal is expected to be less than the duration of action of levorphanol in Levorphanol Tartrate Tablets, carefully monitor the patient until spontaneous respiration is reliably reestablished. If the response to an opioid antagonist is suboptimal or only brief in nature, administer additional antagonist as directed by the product’s prescribing information.

In an individual physically dependent on opioids, administration of the recommended usual dosage of the antagonist will precipitate an acute withdrawal syndrome. The severity of the withdrawal symptoms experienced will depend on the degree of physical dependence and the dose of the antagonist administered. If a decision is made to treat serious respiratory depression in the physically dependent patient, administration of the antagonist should be initiated with care and by titration with smaller than usual doses of the antagonist.

Cardiovascular Effects

The use of Levorphanol Tartrate Tablets in acute myocardial infarction or in cardiac patients with myocardial dysfunction or coronary insufficiency should be limited because the effects of Levorphanol Tartrate Tablets on the work of the heart are unknown.

Clinical Considerations

Infants exposed to Levorphanol Tartrate Tablets through breast milk should be monitored for excess sedation and respiratory depression. Withdrawal symptoms can occur in breastfed infants when maternal administration of an opioid analgesic is stopped, or when breastfeeding is stopped.

Impairment of Fertility

Animal studies to determine the effect of levorphanol on fertility have not been conducted.

Information for Patients

Advise the patient to read the FDA-approved patient labeling (Medication Guide).

Postmarketing Experience

The following adverse reactions have been identified during post approval use of levorphanol. Because these reactions are reported voluntarily from a population of uncertain size, it is not always possible to reliably estimate their frequency or establish a causal relationship to drug exposure.

  • Serotonin syndrome: Cases of serotonin syndrome, a potentially life-threatening condition, have been reported during concomitant use of opioids with serotonergic drugs.
  • Adrenal insufficiency: Cases of adrenal insufficiency have been reported with opioid use, more often following greater than one month of use.
  • Anaphylaxis: Anaphylaxis has been reported with ingredients contained in Levorphanol Tartrate Tablets.
  • Androgen deficiency: Cases of androgen deficiency have occurred with use of opioids for an extended period of time [see CLINICAL PHARMACOLOGY].
  • Hyperalgesia and Allodynia: Cases of hyperalgesia and allodynia have been reported with opioid therapy of any duration [see WARNINGS].
  • Hypoglycemia: Cases of hypoglycemia have been reported in patients taking opioids. Most reports were in patients with atleast one predisposing risk factor (e.g., diabetes).
Hyperalgesia and Allodynia

Advise patients to seek medical attention if they experience symptoms of hyperalgesia, including worsening pain, increased sensitivity to pain, or new pain [see WARNINGS; ADVERSE REACTIONS].

Individualization of Dosage

Accepted medical practice dictates that the dose of any opioid analgesic be appropriate to the degree of pain to be relieved, the clinical setting, the physical condition of the patient, and the kind and dose of concurrent medication.

Levorphanol has a long half-life similar to methadone or other slowly excreted opioids, rather than quickly excreted agents such as morphine or meperidine. Slowly excreted drugs may have some advantages in the management of chronic pain. Unfortunately, the duration of pain relief after a single dose of a slowly excreted opioid cannot always be predicted from pharmacokinetic principles, and the inter-dose interval may have to be adjusted to suit the patient’s individual pharmacodynamic response.

Levorphanol is 4 to 8 times as potent as morphine and has a longer half-life. Because there is incomplete cross-tolerance among opioids, when converting a patient from morphine to levorphanol, the total daily dose of oral levorphanol should begin at approximately 1/15 to 1/12 of the total daily dose of oral morphine that such patients had previously required and then the dose should be adjusted to the patient’s clinical response. If a patient is to be placed on fixed-schedule dosing (round-the-clock) with this drug, care should be taken to allow adequate time after each dose change (approximately 72 hours) for the patient to reach a new steady-state before a subsequent dose adjustment to avoid excessive sedation due to drug accumulation.

Addiction, Abuse, and Misuse

Levorphanol Tartrate Tablets contains levorphanol, a Schedule II controlled substance. As an opioid, Levorphanol Tartrate Tablets exposes users to the risks of addiction, abuse, and misuse [see DRUG ABUSE AND DEPENDENCE].

Although the risk of addiction in any individual is unknown, it can occur in patients appropriately prescribed Levorphanol Tartrate Tablets. Addiction can occur at recommended dosages and if the drug is misused or abused.

Assess each patient’s risk for opioid addiction, abuse, or misuse prior to prescribing Levorphanol Tartrate Tablets, and reassess all patients receiving Levorphanol Tartrate Tablets for the development of these behaviors and conditions. Risks are increased in patients with a personal or family history of substance abuse (including drug or alcohol abuse or addiction) or mental illness (e.g., major depression). The potential for these risks should not, however, prevent the proper management of pain in any given patient. Patients at increased risk may be prescribed opioids such as Levorphanol Tartrate Tablets, but use in such patients necessitates intensive counseling about the risks and proper use of Levorphanol Tartrate Tablets along with frequent reevaluation for signs of addiction, abuse and misuse. Consider prescribing naloxone for the emergency treatment of opioid overdose (see WARNINGS, Life-Threatening Respiratory Depression; DOSAGE AND ADMINISTRATION, Patient Access to Naloxone for the Emergency Treatment of Opioid Overdose).

Opioids are sought for nonmedical use and are subject to diversion from legitimate prescribed use. Consider these risks when prescribing or dispensing Levorphanol Tartrate Tablets. Strategies to reduce these risks include prescribing the drug in smallest appropriate quantity and advising the patient on careful storage of the drug during the course of treatment and proper disposal of unused drug [see PRECAUTIONS; Information for Patients]. Contact local state professional licensing board or state- controlled substances authority for information on how to prevent and detect abuse or diversion of this product.

Effects On the Immune System

Opioids have been shown to have a variety of effects on components of the immune system. The clinical significance of these findings is unknown. Overall, the effects of opioids appear to be modestly immunosuppressive.

Effects On the Endocrine System

Opioids inhibit the secretion of adrenocorticotropic hormone (ACTH), cortisol, and luteinizing hormone (LH) in humans [see ADVERSE REACTIONS]. They also stimulate prolactin, growth hormone (GH) secretion, and pancreatic secretion of insulin and glucagon.

Use of opioids for an extended period of time may influence the hypothalamic-pituitary-gonadal axis, leading to androgen deficiency that may manifest as low libido, impotence, erectile dysfunction, amenorrhea, or infertility. The causal role of opioids in the clinical syndrome of hypogonadism is unknown because the various medical, physical, lifestyle, and psychological stressors that may influence gonadal hormone levels have not been adequately controlled for in studies conducted to date [see ADVERSE REACTIONS].

Fetal/neonatal Adverse Reactions

Use of opioid analgesics for an extended period of time during pregnancy for medical or nonmedical purposes can result in physical dependence in the neonate and neonatal opioid withdrawal syndrome shortly after birth. Neonatal opioid withdrawal syndrome presents as irritability, hyperactivity and abnormal sleep pattern, high pitched cry, tremor, vomiting, diarrhea, and failure to gain weight. The onset, duration, and severity of neonatal opioid withdrawal syndrome vary based on the specific opioid used, duration of use, timing and amount of last maternal use, and rate of elimination of the drug by the newborn. Observe newborns for symptoms of neonatal opioid withdrawal syndrome and manage accordingly [see WARNINGS].

Neonatal Opioid Withdrawal Syndrome

Inform female patients of reproductive potential that use of Levorphanol Tartrate Tablets for an extended period of time during pregnancy can result in neonatal opioid withdrawal syndrome, which may be life-threatening if not recognized and treated [see WARNINGS, PRECAUTIONS; Pregnancy].

Driving Or Operating Heavy Machinery

Inform patients that Levorphanol Tartrate Tablets may impair the ability to perform potentially hazardous activities such as driving a car or operating heavy machinery. Advise patients not to perform such tasks until they know how they will react to the medication [see PRECAUTIONS].

Effects On the Cardiovascular System

Levorphanol produces peripheral vasodilation which may result in orthostatic hypotension or syncope. Manifestations of histamine release and/or peripheral vasodilation may include pruritus, flushing, red eyes, sweating, and/or orthostatic hypotension.

Titration and Maintenance of Therapy

Individually titrate the dose of Levorphanol Tartrate Tablets that provides adequate analgesia and minimizes adverse reactions. Continually reevaluate patients receiving Levorphanol Tartrate Tablets to assess the maintenance of pain control, signs and symptoms of opioid withdrawal and other adverse reactions, as well as reassessing for the development of addiction, abuse, or misuse [see WARNINGS]. Frequent communication is important among the prescriber, other members of the healthcare team, the patient, and the caregiver/family during periods of changing analgesic requirements, including initial titration.

If a patient is to be placed on fixed-schedule dosing (round-the-clock) with this drug, care should be taken to allow adequate time after each dose change (approximately 72 hours) for the patient to reach a new steady state before a subsequent dose adjustment to avoid excessive sedation due to drug accumulation.

If the level of pain increases after dosage stabilization, attempt to identify the source of increased pain before increasing Levorphanol Tartrate Tablets dosage. If after increasing the dosage, unacceptable opioid-related adverse reactions are observed (including an increase in pain after dosage increase), consider reducing the dosage [see WARNINGS]. Adjust the dosage to obtain an appropriate balance between management of pain and opioid-related adverse reactions.

Levorphanol has a long half-life. The duration of pain relief after a single dose cannot always be predicted from pharmacokinetic principles, and the inter-dose interval may have to be adjusted to suit the patient’s individual pharmacodynamic response.

Effects On the Central Nervous System

The principal therapeutic action of levorphanol is analgesia.

Levorphanol produces respiratory depression by direct action on brain stem respiratory centers. The respiratory depression involves a reduction in the responsiveness of the brain stem respiratory centers to both increases in carbon dioxide retention and electrical stimulation.

Levorphanol causes miosis, even in total darkness. Pinpoint pupils are a sign of opioid overdose but are not pathognomonic (e.g., pontine lesions of hemorrhagic or ischemic origins may produce similar findings). Marked mydriasis rather than miosis may be seen due to hypoxia in overdose situations.

Concentration–efficacy Relationships

The minimum effective analgesic concentration will vary widely among patients, especially among patients who have been previously treated with opioid agonists. The minimum effective analgesic concentration of levorphanol for any individual patient may increase over time due to an increase in pain, the development of a new pain syndrome, and/or the development of analgesic tolerance [see DOSAGE AND ADMINISTRATION].

Important Discontinuation Instructions

In order to avoid developing withdrawal symptoms, instruct patients not to discontinue Levorphanol Tartrate Tablets without first discussing a tapering plan with the prescriber [see DOSAGE AND ADMINISTRATION].

Life Threatening Respiratory Depression

Serious, life-threatening, or fatal respiratory depression has been reported with the use of opioids even when used as recommended. Respiratory depression, if not immediately recognized and treated, may lead to respiratory arrest and death. Management of respiratory depression may include close observation, supportive measures, and use of opioid antagonists, depending on the patient’s clinical status [see OVERDOSAGE]. Carbon dioxide (CO2) retention from opioid induced respiratory depression can exacerbate the sedating effects of opioids.

While serious, life-threatening, or fatal respiratory depression can occur at any time during the use of Levorphanol Tartrate Tablets, the risk is greatest during the initiation of therapy or following a dosage increase.

To reduce the risk of respiratory depression, proper dosing and titration of Levorphanol Tartrate Tablets are essential [see DOSAGE AND ADMINISTRATION]. Overestimating the Levorphanol Tartrate Tablets dosage when converting patients from another opioid product can result in a fatal overdose with the first dose.

Accidental ingestion of even one dose of Levorphanol Tartrate Tablets, especially by children, can result in respiratory depression and death due to an overdose of levorphanol.

Educate patients and caregivers on how to recognize respiratory depression and emphasize the importance of calling 911 or getting emergency medical help right away in the event of a known or suspected overdose [see PRECAUTIONS, Information for Patients].

The initial dose of Levorphanol Tartrate Tablets should be reduced by 50% or more when the drug is given to patients with any condition affecting respiratory reserve or in conjunction with other drugs affecting the respiratory center. Subsequent doses should then be individually titrated according to the patient’s response.

Opioids can cause sleep-related breathing disorders including central sleep apnea (CSA) and sleep-related hypoxemia. Opioid use increases the risk of CSA in a dose-dependent fashion. In patients who present with CSA, consider decreasing the opioid dosage using best practices for opioid taper [see DOSAGE AND ADMINISTRATION].

Patient Access to Naloxone for the Emergency Treatment of Opioid Overdose

Discuss the availability of naloxone for the emergency treatment of opioid overdose with the patient and caregiver and assess the potential need for access to naloxone, both when initiating and renewing treatment with Levorphanol Tartrate Tablets. Inform patients and caregivers about the various ways to obtain naloxone as permitted by individual state naloxone dispensing and prescribing requirements or guidelines (e.g., by prescription, directly from a pharmacist, or as part of a community-based program). Educate patients and caregivers on how to recognize respiratory depression and emphasize the importance of calling 911 or getting emergency medical help, even if naloxone is administered [see PRECAUTIONS, Information for Patients].

Consider prescribing naloxone, based on the patient’s risk factors for overdose, such as concomitant use of other CNS depressants, a history of opioid use disorder, or prior opioid overdose. The presence of risk factors for overdose should not prevent the proper management of pain in any given patient. Also consider prescribing naloxone if the patient has household members (including children) or other close contacts at risk for accidental ingestion or overdose. If naloxone is prescribed, educate patients and caregivers on how to treat with naloxone [see WARNINGS, Addiction, Abuse, and Misuse; Risks from Concomitant Use with Benzodiazepines or Other CNS Depressants; PRECAUTIONS, Information for Patients; OVERDOSAGE].

Risks of Driving and Operating Machinery

Levorphanol Tartrate Tablets may impair the mental or physical abilities needed to perform potentially hazardous activities such as driving a car or operating machinery. Warn patients not to drive or operate dangerous machinery unless they are tolerant to the effects of Levorphanol Tartrate Tablets and know how they will react to the medication [see PRECAUTIONS; Information for Patients].

Principal Display Panel 2 Mg Tablets, 100

NDC 72989-417-10



Levorphanol

Tartrate

Tablets USP

CII



2 mg



PHARMACIST: Dispense the enclosed

Medication Guide to each patient.



Rx only



100 Tablets

acertisTM

PHARMACEUTICALS



Concentration–adverse Reaction Relationships

There is a relationship between increasing levorphanol plasma concentration and increasing frequency of dose-related opioid adverse reactions such as nausea, vomiting, CNS effects, and respiratory depression. In opioid-tolerant patients, the situation may be altered by the development of tolerance to opioid-related adverse reactions [see DOSAGE AND ADMINISTRATION].

Important Dosage and Administration Instructions

Levorphanol Tartrate Tablets should be prescribed only by healthcare professionals who are knowledgeable about the use of opioids and how to mitigate the associated risks.

Use the lowest effective dosage for the shortest duration of time consistent with individual patient treatment goals [see WARNINGS]. Because the risk of overdose increases as opioid doses increase, reserve titration to higher doses of Levorphanol Tartrate Tablets for patients in whom lower doses are insufficiently effective and in whom the expected benefits of using a higher dose opioid clearly outweigh the substantial risks.

Many acute pain conditions (e.g., the pain that occurs with a number of surgical procedures or acute musculoskeletal injuries) require no more than a few days of an opioid analgesic. Clinical guidelines on opioid prescribing for some acute pain conditions are available.

There is variability in the opioid analgesic dose and duration needed to adequately manage pain due both to the cause of pain and to individual patient factors. Initiate the dosing regimen for each patient individually, taking into account the patient’s underlying cause and severity of pain, prior analgesic treatment and response, and risk factors for addiction, abuse, and misuse [see WARNINGS].

Respiratory depression can occur at any time during opioid therapy, especially when initiating and following dosage increases with Levorphanol Tartrate Tablets. Consider this risk when selecting an initial dose and when making dose adjustments [see WARNINGS].

Mixed Agonist/antagonist and Partial Opioid Analgesics

The concomitant use of opioid with other opioid analgesics, such as butorphanol, nalbuphine, pentazocine, may reduce the analgesic effect of Levorphanol Tartrate Tablets and precipitate withdrawal symptoms.

Advise patient to avoid concomitant use of these drugs.

Risks Specific to Abuse of Levorphanol Tartrate Tablets

Abuse of Levorphanol Tartrate Tablets poses a risk of overdose and death. The risk is increased with concurrent use of Levorphanol Tartrate Tablets with alcohol and/or other CNS depressants.

Parenteral drug abuse is commonly associated with transmission of infectious diseases such as hepatitis and HIV.

Risks of Use in Patients With Gastrointestinal Conditions

Levorphanol Tartrate Tablets are contraindicated in patients with known or suspected gastrointestinal obstruction, including paralytic ileus. The levorphanol in Levorphanol Tartrate Tablets may cause spasm of the sphincter of Oddi. Levorphanol Tartrate Tablets has been shown to cause moderate to marked rises in pressure in the common bile duct when given in analgesic doses. It is not recommended for use in biliary surgery. Opioids may cause increases in serum amylase. Regularly evaluate patients with biliary tract disease, including acute pancreatitis, for worsening symptoms.

Interactions With Benzodiazepine and Other Cns Depressants

Inform patients and caregivers that potentially fatal additive effects may occur if Levorphanol Tartrate Tablets are used with benzodiazepine or other CNS depressants, including alcohol, and not to use these drugs concomitantly unless supervised by a healthcare provider [see WARNINGS, PRECAUTIONS; Drug Interactions].

Patient Access to Naloxone for the Emergency Treatment of Opioid Overdose

Discuss with the patient and caregiver the availability of naloxone for the emergency treatment of opioid overdose, both when initiating and renewing treatment with Levorphanol Tartrate Tablets. Inform patients and caregivers about the various ways to obtain naloxone as permitted by individual state naloxone dispensing and prescribing requirements or guidelines (e.g., by prescription, directly from a pharmacist, or as part of a community-based program) (see WARNINGS, Life Threatening Respiratory Depression; DOSAGE AND ADMINISTRATION).

Educate patients and caregivers on how to recognize the signs and symptoms of an overdose.

Explain to patients and caregivers that naloxone’s effects are temporary, and that they must call 911 or get emergency medical help right away in all cases of known or suspected opioid overdose, even if naloxone is administered (see OVERDOSAGE).

If naloxone is prescribed, also advise patients and caregivers:

  • How to treat with naloxone in the event of an opioid overdose
  • To tell family and friends about their naloxone and to keep it in a place where family and friends can access it in an emergency
  • To read the Patient Information (or other educational material) that will come with their naloxone. Emphasize the importance of doing this before an opioid emergency happens, so the patient and caregiver will know what to do.
Conversion From Other Opioids to Levorphanol Tartrate Tablets

There is inter-patient variability in the potency of opioid drugs and opioid formulations. Therefore, a conservative approach is advised when determining the total daily dosage of Levorphanol Tartrate Tablets. It is safer to underestimate a patient’s 24-hour Levorphanol Tartrate Tablets dosage than to overestimate the 24-hour Levorphanol Tartrate Tablets dosage and manage an adverse reaction due to overdose.

The dosage of levorphanol in patients with cancer or with other conditions for which chronic opioid therapy is indicated must be individualized. Levorphanol is 4 to 8 times as potent as morphine and has a longer half-life. Because there is incomplete cross-tolerance among opioids, when converting a patient from morphine to levorphanol, the total daily dose of levorphanol should begin at approximately 1/15 to 1/12 of the total daily dose of oral morphine that such patients had previously required and then the dose should be adjusted to the patient’s clinical response. If a patient is to be placed on fixed-schedule dosing (round-the-clock) with this drug, care should be taken to allow adequate time after each dose change (approximately 72 hours) for the patient to reach a new steady-state before a subsequent dose adjustment to avoid excessive sedation due to drug accumulation.

Note: As with all controlled substances, abuse by healthcare personnel is possible and the drug should be handled accordingly.

Effects On the Gastrointestinal Tract and Other Smooth Muscle

Levorphanol causes a reduction in motility associated with an increase in smooth muscle tone in the antrum of the stomach and duodenum. Digestion of food in the small intestine is delayed and propulsive contractions are decreased. Propulsive peristaltic waves in the colon are decreased, while tone may be increased to the point of spasm, resulting in constipation. Other opioid-induced effects may include a reduction in biliary and pancreatic secretions, spasm of sphincter of Oddi, and transient elevations in serum amylase.

Increased Risk of Seizures in Patients With Seizure Disorders

The levorphanol in Levorphanol Tartrate Tablets may increase the frequency of seizures in patients with seizure disorders, and may increase the risk of seizures occurring in other clinical settings associated with seizures. Regularly evaluate patients with a history of seizure disorders for worsened seizure control during Levorphanol Tartrate Tablets therapy.

Safe Reduction Or Discontinuation of Levorphanol Tartrate Tablets

Do not abruptly discontinue Levorphanol Tartrate Tablets in patients who may be physically dependent on opioids. Rapid discontinuation of opioid analgesics in patients who are physically dependent on opioids has resulted in serious withdrawal symptoms, uncontrolled pain, and suicide. Rapid discontinuation has also been associated with attempts to find other sources of opioid analgesics, which may be confused with drug-seeking for abuse. Patients may also attempt to treat their pain or withdrawal symptoms with illicit opioids, such as heroin, and other substances.

When a decision has been made to decrease the dose or discontinue therapy in an opioid-dependent patient taking Levorphanol Tartrate Tablets, there are a variety of factors that should be considered, including the total daily dose of opioid (including Levorphanol Tartrate Tablets) the patient has been taking, the duration of treatment, the type of pain being treated, and the physical and psychological attributes of the patient. It is important to ensure ongoing care of the patient and to agree on an appropriate tapering schedule and follow-up plan so that patient and provider goals and expectations are clear and realistic. When opioid analgesics are being discontinued due to a suspected substance use disorder, evaluate and treat the patient, or refer for evaluation and treatment of the substance use disorder. Treatment should include evidence-based approaches, such as medication assisted treatment of opioid use disorder. Complex patients with co-morbid pain and substance use disorders may benefit from referral to a specialist.

There are no standard opioid tapering schedules that are suitable for all patients. Good clinical practice dictates a patient-specific plan to taper the dose of the opioid gradually. For patients on Levorphanol Tartrate Tablets who are physically opioid-dependent, initiate the taper by a small enough increment (e.g., no greater than 10% to 25% of the total daily dose) to avoid withdrawal symptoms, and proceed with dose-lowering at an interval of every 2 to 4 weeks. Patients who have been taking opioids for briefer periods of time may tolerate a more rapid taper.

It may be necessary to provide the patient with lower dosage strengths to accomplish a successful taper. Reassess the patient frequently to manage pain and withdrawal symptoms, should they emerge. Common withdrawal symptoms include restlessness, lacrimation, rhinorrhea, yawning, perspiration, chills, myalgia, and mydriasis. Other signs and symptoms also may develop, including irritability, anxiety, backache, joint pain, weakness, abdominal cramps, insomnia, nausea, anorexia, vomiting, diarrhea, or increased blood pressure, respiratory rate, or heart rate. If withdrawal symptoms arise, it may be necessary to pause the taper for a period of time or raise the dose of the opioid analgesic to the previous dose, and then proceed with a slower taper. In addition, evaluate patients for any changes in mood, emergence of suicidal thoughts, or use of other substances.

When managing patients taking opioid analgesics, particularly those who have been treated for an extended period of time, and/or with high doses for chronic pain, ensure that a multimodal approach to pain management, including mental health support (if needed), is in place prior to initiating an opioid analgesic taper. A multimodal approach to pain management may optimize the treatment of chronic pain, as well as assist with the successful tapering of the opioid analgesic [see WARNINGS; Withdrawal, DRUG ABUSE AND DEPENDENCE].

Use of Levorphanol Tartrate Tablets As the First Opioid Analgesic

Initiate treatment with Levorphanol Tartrate Tablets in a dosing range of 1 to 2 mg every 6 to 8 hours as needed for pain, and at the lowest dose necessary to achieve adequate analgesia, provided the patient is assessed for signs of hypoventilation and excessive sedation. Titrate the dose based upon the individual patient’s response to their initial dose of Levorphanol Tartrate Tablets. If necessary, the dose may be increased to up to 3 mg every 6 to 8 hours, after adequate evaluation of the patient’s response. Higher doses may be appropriate in opioid tolerant patients. Dosage should be adjusted according to the severity of the pain; age, weight and physical status of the patient; the patient’s underlying diseases; use of concomitant medications; and other factors [see CLINICAL PHARMACOLOGY; Individualization of Dosage, WARNINGS AND PRECAUTIONS].

Benzodiazepines and Other Central Nervous System (cns) Depressants

Due to additive pharmacologic effect, the concomitant use of benzodiazepines and/or other CNS depressants, including alcohol, and other sedatives/hypnotics, anxiolytics, tranquilizers, muscle relaxants, general anesthetics, antipsychotics and other opioids, can increase the risk of hypotension, respiratory depression, profound sedation, coma, and death.

Reserve concomitant prescribing of these drugs for use in patients for whom alternative treatment options are inadequate. Limit dosages and durations to the minimum required. Inform patients and caregivers of this potential interaction, educate them on the signs and symptoms of respiratory depression (including sedation). If concomitant use is warranted, consider prescribing naloxone for the emergency treatment of opioid overdose [see WARNINGS].

Risks From Concomitant Use With Benzodiazepines Or Other Cns Depressants

Profound sedation, respiratory depression, coma, and death may result from the concomitant use of Levorphanol Tartrate Tablets with benzodiazepines and/or other CNS depressants, including alcohol (e.g., non-benzodiazepine sedatives/hypnotics, anxiolytics, tranquilizers, muscle relaxants, general anesthetics, antipsychotics, other opioids). Because of these risks, reserve concomitant prescribing of these drugs for use in patients for whom alternative treatment options are inadequate.

Observational studies have demonstrated that concomitant use of opioid analgesics and benzodiazepines increases the risk of drug-related mortality compared to use of opioid analgesics alone. Because of similar pharmacological properties, it is reasonable to expect similar risk with the concomitant use of other CNS depressant drugs with opioid analgesics [see PRECAUTIONS; Drug Interactions].

If the decision is made to prescribe a benzodiazepine or other CNS depressant concomitantly with an opioid analgesic, prescribe the lowest effective dosages and minimum durations of concomitant use. In patients already receiving an opioid analgesic, prescribe a lower initial dose of the benzodiazepine or other CNS depressant than indicated in the absence of an opioid, and titrate based on clinical response. If an opioid analgesic is initiated in a patient already taking a benzodiazepine or other CNS depressant, prescribe a lower initial dose of the opioid analgesic, and titrate based on clinical response. Inform patients and caregivers of this potential interaction, educate them on the signs and symptoms of respiratory depression (including sedation).

If concomitant use is warranted, consider prescribing naloxone for the emergency treatment of opioid overdose [see WARNINGS, Life-Threatening Respiratory Depression; DOSAGE AND ADMINISTRATION, Patient Access to Naloxone for the Emergency Treatment of Opioid Overdose].

Neonatal Opioid Withdrawal Syndrome

Use of Levorphanol Tartrate Tablets for an extended period of time during pregnancy can result in withdrawal in the neonate. Neonatal opioid withdrawal syndrome, unlike opioid withdrawal syndrome in adults, may be life-threatening if not recognized and treated, and requires management according to protocols developed by neonatology experts. Observe newborns for signs of neonatal opioid withdrawal syndrome and manage accordingly. Advise pregnant women using opioids for an extended period of time of the risk of neonatal opioid withdrawal syndrome and ensure that appropriate treatment will be available [see PRECAUTIONS; Information for Patients, Pregnancy].

Opioid Analgesic Risk Evaluation and Mitigation Strategy (REMS)

To ensure that the benefits of opioid analgesics outweigh the risks of addiction, abuse, and misuse, the Food and Drug Administration (FDA) has required a Risk Evaluation and Mitigation Strategy (REMS) for these products. Under the requirements of the REMS, drug companies with approved opioid analgesic products must make REMS-compliant education programs available to healthcare providers. Healthcare providers are strongly encouraged to do all of the following:

  • Complete a REMS-compliant education program offered by an accredited provider of continuing education (CE) or another education program that includes all the elements of the FDA Education Blueprint for Healthcare Providers Involved in the Management or Support of Patients with Pain.
  • Discuss the safe use, serious risks, and proper storage and disposal of opioid analgesics with patients and/or their caregivers every time these medicines are prescribed. The Patient Counseling Guide (PCG) can be obtained at this link: www.fda.gov/OpioidAnalgesicREMSPCG.
  • Emphasize to patients and their caregivers the importance of reading the Medication Guide that they will receive from their pharmacist every time an opioid analgesic is dispensed to them.
  • Consider using other tools to improve patient, household, and community safety, such as patient-prescriber agreements that reinforce patient-prescriber responsibilities.

To obtain further information on the opioid analgesic REMS and for a list of accredited REMS CME/CE, call 800-503-0784, or log on to www.opioidanalgesicrems.com. The FDA Blueprint can be found at www.fda.gov/OpioidAnalgesicREMSBlueprint.

Opioid-Induced Hyperalgesia and Allodynia

Opioid-Induced Hyperalgesia (OIH) occurs when an opioid analgesic paradoxically causes an increase in pain, or an increase in sensitivity to pain. This condition differs from tolerance, which is the need for increasing doses of opioids to maintain a defined effect [see DRUG ABUSE AND DEPENDENCE; Dependence]. Symptoms of OIH include (but may not be limited to) increased levels of pain upon opioid dosage increase, decreased levels of pain upon opioid dosage decrease, or pain from ordinarily non-painful stimuli (allodynia). These symptoms may suggest OIH only if there is no evidence of underlying disease progression, opioid tolerance, opioid withdrawal, or addictive behavior.

Cases of OIH have been reported, both with short-term and longer-term use of opioid analgesics. Though the mechanism of OIH is not fully understood, multiple biochemical pathways have been implicated. Medical literature suggests a strong biologic plausibility between opioid analgesics and OIH and allodynia. If a patient is suspected to be experiencing OIH, carefully consider appropriately decreasing the dose of the current opioid analgesic, or opioid rotation (safely switching the patient to a different opioid moiety) [see DOSAGE AND ADMINISTRATION, WARNINGS].

Patient Access to Naloxone for the Emergency Treatment of Opioid Overdose

Discuss the availability of naloxone for the emergency treatment of opioid overdose with the patient and caregiver and assess the potential need for access to naloxone, both when initiating and renewing treatment with Levorphanol Tartrate Tablets [see WARNINGS, Life-Threatening Respiratory Depression; PRECAUTIONS, Information for Patients].

Inform patients and caregivers about the various ways to obtain naloxone as permitted by individual state naloxone dispensing and prescribing regulations (e.g., by prescription, directly from a pharmacist, or as part of a community-based program).

Consider prescribing naloxone, based on the patient’s risk factors for overdose, such as concomitant use of CNS depressants, a history of opioid use disorder, or prior opioid overdose. The presence of risk factors for overdose should not prevent the proper management of pain in any given patient [see WARNINGS, Addiction, Abuse, and Misuse; Life-Threatening Respiratory Depression; Risks from Concomitant Use with Benzodiazepines or Other CNS Depressants].

Consider prescribing naloxone when the patient has household members (including children) or other close contacts at risk for accidental ingestion or overdose.

Warning: Serious and Life Threatening Risks From Use of Levorphanol Tartrate Tablets

Addiction, Abuse, and Misuse

Because the use of Levorphanol Tartrate Tablets exposes patients and other users to the risks of opioid addiction, abuse, and misuse, which can lead to overdose and death, assess each patient’s risk prior to prescribing and reassess all patients regularly for the development of these behaviors and conditions [see WARNINGS].

Life-Threatening Respiratory Depression

Serious, life-threatening, or fatal respiratory depression may occur with use of Levorphanol Tartrate Tablets, especially during initiation or following a dosage increase. To reduce the risk of respiratory depression, proper dosing and titration of Levorphanol Tartrate Tablets are essential [see WARNINGS].

Accidental Ingestion

Accidental ingestion of even one dose of Levorphanol Tartrate Tablets, especially by children, can result in a fatal overdose of levorphanol [see WARNINGS].

Risks from Concomitant Use with Benzodiazepines or Other CNS Depressants

Concomitant use of opioids with benzodiazepines or other central nervous system (CNS) depressants, including alcohol, may result in profound sedation, respiratory depression, coma, and death. Reserve concomitant prescribing of Levorphanol Tartrate Tablets and benzodiazepines or other CNS depressants for use in patients for whom alternative treatment options are inadequate [see WARNINGS].

Neonatal Opioid Withdrawal Syndrome (NOWS)

If opioid use is required for an extended period of time in a pregnant woman, advise the patient of the risk of NOWS, which may be life-threatening if not recognized and treated. Ensure that management by neonatology experts will be available at delivery [see WARNINGS].

Opioid Analgesic Risk Evaluation and Mitigation Strategy (REMS)

Healthcare providers are strongly encouraged to complete a REMS-compliant education program and to counsel patients and caregivers on serious risks, safe use, and the importance of reading the Medication Guide with each prescription [see WARNINGS].

Risks of Use in Patients With Increased Intracranial Pressure, Brain Tumors, Head Injury, Or Impaired Consciousness

In patients who may be susceptible to the intracranial effects of CO2 retention (e.g., those with evidence of increased intracranial pressure or brain tumors), Levorphanol Tartrate Tablets may reduce respiratory drive, and the resultant CO2 retention can further increase intracranial pressure. Monitor such patients for signs of sedation and respiratory depression, particularly when initiating therapy with Levorphanol Tartrate Tablets.

Opioids may also obscure the clinical course in a patient with a head injury. Avoid the use of Levorphanol Tartrate Tablets in patients with impaired consciousness or coma.

Life Threatening Respiratory Depression in Patients With Chronic Pulmonary Disease Or in Elderly, Cachectic, Or Debilitated Patient

The use of Levorphanol Tartrate Tablets in patients with acute or severe bronchial asthma in an unmonitored setting or in the absence of resuscitative equipment is contraindicated.

Patients with Chronic Pulmonary Disease: Patients treated with Levorphanol Tartrate Tablets with significant chronic obstructive pulmonary disease or cor pulmonale, and those with a substantially decreased respiratory reserve, hypoxia, hypercapnia, or pre-existing respiratory depression are at increased risk of decreased respiratory drive including apnea, even at recommended dosages of levorphanol [see WARNINGS].

Elderly, Cachectic, or Debilitated Patients: Life-threatening respiratory depression is more likely to occur in elderly, cachectic, or debilitated patients because they may have altered pharmacokinetics or altered clearance compared to younger, healthier patients [see WARNINGS].

Regularly evaluate patients, particularly when initiating and titrating Levorphanol Tartrate Tablets and when Levorphanol Tartrate Tablets are given concomitantly with other drugs that depress respiration [see WARNINGS]. Alternatively, consider the use of non-opioid analgesics in these patients.


Structured Label Content

Data

Studies of levorphanol concentrations in breast milk have not been performed. However, morphine, which is structurally similar to levorphanol, is excreted in human milk. Because of the potential for serious adverse reactions from levorphanol in nursing infants, a decision should be made whether to discontinue nursing or to discontinue the drug, taking into account the importance of the drug to the mother.

Abuse

Levorphanol Tartrate Tablets contains levorphanol, a substance with high potential for misuse and abuse, which can lead to the development of substance use disorder, including addiction [see WARNINGS].

Misuse is the intentional use, for therapeutic purposes, of a drug by an individual in a way other than prescribed by a healthcare provider or for whom it was not prescribed.

Abuse is the intentional, non-therapeutic use of a drug, even once, for its desirable psychological or physiological effects.

Drug addiction is a cluster of behavioral, cognitive, and physiological phenomena that may include a strong desire to take the drug, difficulties in controlling drug use (e.g., continuing drug use despite harmful consequences, giving a higher priority to drug use than other activities and obligations), and possible tolerance or physical dependance.

Misuse and abuse of Levorphanol Tartrate Tablets increases risk of overdose, which may lead to central nervous system and respiratory depression, hypotension, seizures, and death. The risk is increased with concurrent abuse of Levorphanol Tartrate Tablets with alcohol and other CNS depressants. Abuse of and addiction to opioids in some individuals may not be accompanied by concurrent tolerance and symptoms of physical dependence. In addition, abuse of opioids can occur in the absence of addiction.

All patients treated with opioids require careful and frequent reevaluation for signs of misuse, abuse, and addiction, because use of opioid analgesic products carries the risk of addiction even under appropriate medical use. Patients at high risk of Levorphanol Tartrate Tablets abuse include those with a history of prolonged use of any opioid, including products containing levorphanol, those with a history of drug or alcohol abuse, or those who use Levorphanol Tartrate Tablets in combination with other abused drugs.

“Drug-seeking” behavior is very common in persons with substance use disorders. Drug-seeking tactics include emergency calls or visits near the end of office hours, refusal to undergo appropriate examination, testing, or referral, repeated “loss” of prescriptions, tampering with prescriptions, and reluctance to provide prior medical records or contact information for other treating healthcare provider(s). “Doctor shopping” (visiting multiple prescribers to obtain additional prescriptions) is common among people who abuse drugs and people with substance use disorder. Preoccupation with achieving adequate pain relief can be appropriate behavior in a patient with inadequate pain control.

Levorphanol Tartrate Tablets, like other opioids, can be diverted for nonmedical use into illicit channels of distribution. Careful record-keeping of prescribing information, including quantity, frequency, and renewal requests, as required by state and federal law, is strongly advised.

Proper assessment of the patient, proper prescribing practices, periodic reevaluation of therapy, and proper dispensing and storage are appropriate measures that help to limit abuse of opioid drugs.

Section 42229-5 (42229-5)

RX ONLY

Section 42231-1 (42231-1)

MEDICATION GUIDE

Levorphanol Tartrate

(lee vor’ fa nol tar’ trate)

Tablets CII

Levorphanol Tartrate Tablets are:

  • A strong prescription pain medicine that contains an opioid (narcotic) that is used to manage pain, severe enough to require an opioid pain medicine when other pain treatments such as non-opioid pain medicines do not treat your pain well enough or you cannot tolerate them.
  • An opioid pain medicine that can put you at risk for overdose and death. Even if you take your dose correctly as prescribed you are at risk for opioid addiction, abuse, and misuse that can lead to death.

Important information about Levorphanol Tartrate Tablets:

  • Get emergency help or call 911 right away if you take too much Levorphanol Tartrate Tablets (overdose). When you first start taking Levorphanol Tartrate Tablets, when your dose is changed, or if you take too much (overdose), serious or life-threatening breathing problems that can lead to death may occur. Talk to your healthcare provider about naloxone, a medicine for the emergency treatment of an opioid overdose.
  • Taking Levorphanol Tartrate Tablets with other opioid medicines, benzodiazepines, alcohol, or other central nervous system depressants (including street drugs) can cause severe drowsiness, decreased awareness, breathing problems, coma and death.
  • Never give anyone else your Levorphanol Tartrate Tablets. They could die from taking it. Selling or giving away Levorphanol Tartrate Tablets is against the law.
  • Store Levorphanol Tartrate Tablets securely, out of sight and reach of children, and in a location not accessible by others, including visitors to the home.

Do not take Levorphanol Tartrate Tablets if you have:

  • severe asthma trouble breathing, or other lung problems
  • a bowel blockage or have narrowing of the stomach or intestines
  • previously had an allergic reaction to levorphanol

Before taking Levorphanol Tartrate Tablets, tell your healthcare provider if you have a history of:

  • head injury, seizures
  • liver, kidney, thyroid problems
  • problems urinating
  • pancreas or gallbladder problems
  • abuse of street or prescription drugs, alcohol addiction, opioid overdose, or mental health problems.

Tell your healthcare provider if you are:

  • noticing your pain getting worse. If your pain gets worse after you take Levorphanol Tartrate Tablets, do not take more of Levorphanol Tartrate Tablets without first talking to your healthcare provider. Talk to your healthcare provider if the pain that you have increases, if you feel more sensitive to pain, or if you have new pain after taking Levorphanol Tartrate Tablets.
  • pregnant or planning to become pregnant. Use of Levorphanol Tartrate Tablets for an extended period of time during pregnancy can cause withdrawal symptoms in your newborn baby that could be life-threatening if not recognized and treated.
  • breastfeeding. Levorphanol Tartrate Tablets passes into breast milk and may harm your baby. Carefully observe infants for increased sleepiness (more than usual), breathing difficulties, or limpness. Seek immediate medical care if you notice these signs.
  • living in a household where there are small children or someone who has abused street or prescription drugs.
  • taking prescription or over-the-counter medicines, vitamins, or herbal supplements. Taking Levorphanol Tartrate Tablets with certain other medicines can cause serious side effects that could lead to death.

When taking Levorphanol Tartrate Tablets:

  • Do not change your dose. Take Levorphanol Tartrate Tablets exactly as prescribed by your healthcare provider. Use the lowest dose possible for the shortest time needed.
  • For acute (short-term) pain, you may only need to take Levorphanol Tartrate Tablets for a few days. You may have some Levorphanol Tartrate Tablets left over that you did not use. See disposal information at the bottom of this section for directions on how to safely throw away (dispose of) your unused Levorphanol Tartrate Tablets.
  • Take your prescribed dose every 6 to 8 hours as needed for pain. Do not take more than your prescribed dose. If you miss a dose, take your next dose at your usual time.
  • Call your healthcare provider if the dose you are taking does not control your pain.
  • If you have been taking Levorphanol Tartrate Tablets regularly, do not stop taking without talking to your healthcare provider.
  • Dispose of expired, unwanted, or unused Levorphanol Tartrate Tablets by promptly flushing down the toilet, if a drug take-back option is not readily available. Visit www.fda.gov/drugdisposal for additional information on disposal of unused medicines.

While taking Levorphanol Tartrate Tablets DO NOT:

  • Drive or operate heavy machinery, until you know how Levorphanol Tartrate Tablets affects you. Levorphanol Tartrate Tablets can make you sleepy, dizzy, or lightheaded.
  • Drink alcohol or use prescription or over-the-counter medicines that contain alcohol. Using products containing alcohol during treatment with Levorphanol Tartrate Tablets may cause you to overdose and die.

The possible side effects of Levorphanol Tartrate Tablets:

  • constipation, nausea, sleepiness, vomiting, tiredness, headache, dizziness, abdominal pain. Call your healthcare provider if you have any of these symptoms and they are severe.

Get emergency medical help or call 911 right away if you have:

  • trouble breathing, shortness of breath, fast heartbeat, chest pain, swelling of your face, tongue, or throat, extreme drowsiness, light-headedness when changing positions, feeling faint, agitation, high body temperature, trouble walking, stiff muscles, or mental changes such as confusion.

These are not all the possible side effects of Levorphanol Tartrate Tablets. Call your healthcare provider for medical advice about side effects. You may report side effects to FDA at 1-800-FDA-1088.

For more information go to dailymed.nlm.nih.gov.

For more information you can call 1-888-848-3593.

This Medication Guide has been approved by the U.S. Food and Drug Administration.

Distributed by:

Acertis Pharmaceuticals, LLC

Raleigh, NC 27601

Rev. 01/2025

Diuretics

Opioids can reduce the efficacy of diuretics by inducing the release of antidiuretic hormone. If concomitant use is warranted, evaluate patients for signs of diminished diuresis and/or effects on blood pressure and increase the dosage of the diuretic as needed.

Lactation

Advise nursing mothers to carefully observe infants for increased sleepiness (more than usual), breathing difficulties, or limpness. Instruct nursing mothers to seek immediate medical care if they notice these signs [see PRECAUTIONS; Lactation].

Dependence

Both tolerance and physical dependence can develop during use of opioid therapy.

Tolerance is a physiological state characterized by a reduced response to a drug after repeated administration (i.e., a higher dose of a drug is required to produce the same effect that was once obtained at a lower dose).

Physical dependence is a state that develops as a result of a physiological adaptation in response to repeated drug use, manifested by withdrawal signs and symptoms after abrupt discontinuation or a significant dose reduction of a drug.

Withdrawal may be precipitated through the administration of drugs with opioid antagonist activity (e.g., naloxone), mixed agonist/antagonist analgesics (e.g., pentazocine, butorphanol, nalbuphine), or partial agonists (e.g., buprenorphine). Physical dependence may not occur to a clinically significant degree until after several days to weeks of continued use.

Do not abruptly discontinue Levorphanol Tartrate Tablets in a patient physically dependent on opioids. Rapid tapering of Levorphanol Tartrate Tablets in a patient physically dependent on opioids may lead to serious withdrawal symptoms, uncontrolled pain, and suicide. Rapid discontinuation has also been associated with attempts to find other sources of opioid analgesics, which may be confused with drug-seeking for abuse.

When discontinuing Levorphanol Tartrate Tablets, gradually taper the dosage using a patient-specific plan that considers the following: the dose of Levorphanol Tartrate Tablets the patient has been taking, the duration of treatment, and the physical and psychological attributes of the patient. To improve the likelihood of a successful taper and minimize withdrawal symptoms, it is important that the opioid tapering schedule is agreed upon by the patient. In patients taking opioids for an extended period of time at high doses, ensure that a multimodal approach to pain management, including mental health support (if needed), is in place prior to initiating an opioid analgesic taper [see DOSAGE AND ADMINISTRATION, WARNINGS].

Infants born to mothers physically dependent on opioids will also be physically dependent and may exhibit respiratory difficulties and withdrawal signs [see PRECAUTIONS; Pregnancy].

Withdrawal

Do not abruptly discontinue Levorphanol Tartrate Tablets in a patient physically dependent on opioids. When discontinuing Levorphanol Tartrate Tablets in a physically dependent patient, gradually taper the dosage. Rapid tapering of Levorphanol Tartrate Tablets in a patient physically dependent on opioids may lead to a withdrawal syndrome and return of pain [see DOSAGE AND ADMINISTRATION, DRUG ABUSE AND DEPENDENCE].

Additionally, avoid the use of mixed agonist/antagonist (e.g., pentazocine, nalbuphine, and butorphanol) or partial agonist (e.g., buprenorphine) analgesics in patients who are receiving a full opioid agonist analgesic, including Levorphanol Tartrate Tablets. In these patients, mixed agonist/antagonist and partial agonist analgesics may reduce the analgesic effect and/or precipitate withdrawal symptoms [see PRECAUTIONS; Drug Interactions].

Anaphylaxis

Inform patients that anaphylaxis has been reported with ingredients contained in Levorphanol Tartrate Tablets. Advise patients how to recognize such a reaction, and if they develop signs of allergy such as a rash or difficulty breathing to stop taking Levorphanol Tartrate Tablets and seek medical attention. [see CONTRAINDICATIONS, ADVERSE REACTIONS].

Animal Data

In a published study, levorphanol has been shown to cause central nervous system malformations consistent with neural tube defects (kinking of the spinal cord, hydromyelia, dilation of the fourth ventricle, and brachyury) in pregnant mice when given a single subcutaneous dose of 25 mg/kg (10 times the human daily dose of 12 mg/day based on a body surface area comparison) on Gestation Day 9. Subcutaneous administration of 30 mg/kg levorphanol to pregnant mice on Gestation Day 9 resulted in approximately 50% mortality of the mouse embryos (12 times the human daily dose of 12 mg/day).

In another published study, male mice were injected subcutaneously twice daily with increasing daily doses of levorphanol up to 42 mg/kg/day (34 times the human daily dose of 12 mg based on body surface area) for 5.5 to 8.5 days prior to mating with an untreated female. Paternal exposure to levorphanol resulted in reduced birth weights of the litters, developmental delays in the offspring, and aberrant swim patterns in the progeny when measured at 6.5 to 8.5 weeks of age.

Description (DESCRIPTION)

Levorphanol Tartrate Tablets, contain levorphanol, an opioid agonist with a molecular formula of C17H23NO • C4H6O6• 2H2O and molecular weight 443.5. Each milligram of levorphanol tartrate is equivalent to 0.58 mg levorphanol base. Levorphanol’s chemical name is levo-3-hydroxy-N-methylmorphinan. The USP nomenclature is 17-methylmorphinan 3-ol, tartrate (1:1) (salt) dihydrate. The material has 3 asymmetric carbon atoms. The chemical structure is:

Levorphanol tartrate is a white crystalline powder, soluble in water and ether, but insoluble in chloroform. Each tablet, for oral administration, contains 2 mg levorphanol tartrate. In addition, each tablet contains anhydrous lactose, corn starch, and magnesium stearate.

Hypotension

Inform patients that Levorphanol Tartrate Tablets may cause orthostatic hypotension and syncope. Instruct patients how to recognize symptoms of low blood pressure and how to reduce the risk of serious consequences should hypotension occur (e.g., sit or lie down, carefully rise from a sitting or lying position) [see WARNINGS].

Infertility

Inform patients that use of opioids for an extended period of time may cause reduced fertility. It is not known whether these effects on fertility are reversible [see ADVERSE REACTIONS].

Mutagenesis

Animal studies to evaluate the mutagenic potential of levorphanol have not been conducted.

Constipation

Advise patients of the potential for severe constipation, including management instructions and when to seek medical attention [see ADVERSE REACTIONS, CLINICAL PHARMACOLOGY].

How Supplied (HOW SUPPLIED)

Levorphanol Tartrate Tablets USP, 2 mg White to off white, scored tablets (Identified V2003)

NDC: 72989-417-10 Bottles of 100 tablets.

Store at 20° to 25°C (68° to 77°F). [See USP Controlled Room Temperature.]

Dispense in an amber airtight container as defined in the USP.

Store Levorphanol Tartrate Tablets securely and dispose of properly [see PRECAUTIONS; Information for Patients].

Distributed by:

Acertis Pharmaceuticals, LLC

Raleigh, NC 27601

Rev. 01/2025

Risk Summary

Use of opioid analgesics for an extended period of time during pregnancy may cause neonatal opioid withdrawal syndrome [see WARNINGS]. Available data with Levorphanol Tartrate Tablets in pregnant women are insufficient to inform a drug-associated risk for major birth defects and miscarriage.

In animal reproduction studies, oral levorphanol produced malformations and nearly 50% embryo lethality in mice at 10 and 12 times the human daily dose of 12 mg/day, respectively. Paternal exposure to levorphanol prior to mating to an untreated female resulted in reduced litter birth weights, developmental delays, and aberrant behavior in a swim maze at 34 times the human daily dose of 12 mg/day.

All pregnancies have a background risk of birth defect, loss, or other adverse outcomes. In the U.S. general population, the estimated background risk of major birth defects and miscarriage in clinically recognized pregnancies is 2 to 4% and 15 to 20%, respectively.

Geriatric Use

Elderly patients (aged 65 years or older) may have increased sensitivity to levorphanol. In general, use caution when selecting a dosage for an elderly patient, usually starting at the low end of the dosing range, reflecting the greater frequency of decreased hepatic, renal, or cardiac function and of concomitant disease or other drug therapy. The initial dose of Levorphanol Tartrate Tablets should be reduced by 50% or more in the infirm elderly patient.

Respiratory depression is the chief risk for elderly patients treated with opioids, and has occurred after large initial doses were administered to patients who were not opioid-tolerant or when opioids were coadministered with other agents that depress respiration. Titrate the dosage of Levorphanol Tartrate Tablets slowly in geriatric patients and frequently reevaluate the patient for signs of central nervous system and respiratory depression [see WARNINGS].

This drug is known to be substantially excreted by the kidney, and the risk of adverse reactions to this drug may be greater in patients with impaired renal function. Because elderly patients are more likely to have decreased renal function, care should be taken in dose selection, and it may be useful to regularly evaluate renal function.

Pediatric Use

Levorphanol Tartrate Tablets are not recommended in children under the age of 18 years as the safety and efficacy of the drug in this population has not been established.

Carcinogenesis

Long-term studies in animals to evaluate the carcinogenic potential of levorphanol have not been conducted.

Clinical Trials

Clinical trials have been reported in the medical literature that investigated the use of Levorphanol Tartrate Tablets as a preoperative medication, as a postoperative analgesic, and in the management of chronic pain due primarily to malignancy. In each of these clinical settings Levorphanol Tartrate Tablets has been shown to be an effective analgesic of the mu-opioid type and similar to morphine, meperidine, or fentanyl.

Levorphanol Tartrate Tablets has been studied in chronic cancer patients. Dosages were individualized to each patient’s level of opioid tolerance. In one study, starting doses of 2 mg twice a day often had to be advanced by 50% or more within a few weeks of starting therapy. A study of Levorphanol Tartrate Tablets indicates that the relative potency is approximately 4 to 8 times that of morphine, depending on the specific circumstances of use. In postoperative patients, intramuscular levorphanol was determined to be about 8 times as potent as intramuscular morphine, whereas in cancer patients with chronic pain, it was found only to be about 4 times as potent.

Muscle Relaxants

Levorphanol may enhance the neuromuscular blocking action of skeletal muscle relaxants and produce an increased degree of respiratory depression.

Because respiratory depression may be greater than otherwise expected, decrease the dosage of Levorphanol Tartrate Tablets and/or the muscle relaxant as necessary. Due to the risk of respiratory depression with concomitant use of skeletal muscle relaxants and opioids, consider prescribing naloxone for the emergency treatment of opioid overdose [see WARNINGS].

Pharmacokinetics

The pharmacokinetics of levorphanol have been studied in a limited number of cancer patients following intravenous (IV), intramuscular (IM) and oral (PO) administration. Following IV administration plasma concentrations of levorphanol decline in a triexponential manner with a terminal half-life of 11 to 16 hours and a clearance of 0.78 to 1.1 L/kg/hr. Based on terminal half-life, steady-state plasma concentrations should be achieved by the third day of dosing.

Levorphanol is rapidly distributed (<1 hr) and redistributed (1 to 2 hours) following IV administration and has a steady-state volume of distribution of 10 to 13 L/kg. In vitro studies of protein binding indicate that levorphanol is only 40% bound to plasma proteins.

No pharmacokinetic studies of the absorption of IM levorphanol are available, but clinical data suggests that absorption is rapid with onset of effects within 15 to 30 minutes of administration.

Levorphanol is well absorbed after PO administration with peak plasma concentrations occurring approximately 1 hour after dosing. The bioavailability of Levorphanol Tartrate Tablets compared to IM or IV administration is not known.

Plasma concentrations of levorphanol following chronic administration in patients with cancer increased with the dose, but the analgesic effect was dependent on the degree of opioid tolerance of the patient. Expected steady-state plasma concentrations for a 6-hour dosing interval can reach 2 to 5 times those following a single dose, depending on the patient’s individual clearance of the drug. Very high plasma concentrations of levorphanol can be reached in patients on chronic therapy due to the long half-life of the drug. One study in 11 patients using the drug for control of cancer pain reported plasma concentrations from 5 to 10 ng/mL after a single 2 mg dose and up to 50 to 100 ng/mL after repeated oral doses of 20 to 50 mg/day.

Animal studies suggest that levorphanol is extensively metabolized in the liver and is eliminated as the glucuronide metabolite. This renally excreted inactive glucuronide metabolite accumulates with chronic dosing in plasma at concentrations that reach fivefold that of the parent compound.

The effects of age, sex, hepatic and renal disease on the pharmacokinetics of levorphanol are not known. As with all drugs of this class, patients at the extremes of age are expected to be more susceptible to adverse effects because of a greater pharmacodynamic sensitivity and probable increased variability in pharmacokinetics due to age or disease.

Adverse Reactions (ADVERSE REACTIONS)

In approximately 1400 patients treated with Levorphanol Tartrate Tablets in controlled clinical trials, the type and incidence of side effects were those expected of an opioid analgesic, and no unforeseen or unusual toxicity was reported.

Drugs of this type are expected to produce a cluster of typical opioid effects in addition to analgesia, consisting of nausea, vomiting, altered mood and mentation, pruritus, flushing, difficulties in urination, constipation, and biliary spasm. The frequency and intensity of these effects appears to be dose related. Although listed as adverse events these are expected pharmacologic actions of these drugs and should be interpreted as such by the clinician.

The following adverse events have been reported with the use of Levorphanol Tartrate Tablets:

Body as a Whole: abdominal pain, dry mouth, sweating

Cardiovascular System: cardiac arrest, shock, hypotension, arrhythmias including bradycardia and tachycardia, palpitations, extra-systoles

Digestive System: nausea, vomiting, dyspepsia, biliary tract spasm

Nervous System: coma, suicide attempt, convulsions, depression, dizziness, confusion, lethargy, abnormal dreams, abnormal thinking, nervousness, drug withdrawal, hypokinesia, dyskinesia, hyperkinesia, CNS stimulation, personality disorder, amnesia, insomnia

Respiratory System: apnea, cyanosis, hypoventilation

Skin & Appendages: pruritus, urticaria, rash, injection site reaction

Special Senses: abnormal vision, pupillary disorder, diplopia

Urogenital System: kidney failure, urinary retention, difficulty urinating

Contraindications (CONTRAINDICATIONS)

Levorphanol Tartrate Tablets are contraindicated in patients with:

  • Significant respiratory depression [see WARNINGS]
  • Acute or severe bronchial asthma in an unmonitored setting or in the absence of resuscitative equipment [see WARNINGS]
  • Known or suspected gastrointestinal obstruction, including paralytic ileus [see WARNINGS]
  • Hypersensitivity to levorphanol or any of the formulation excipients (e.g., anaphylaxis) [see WARNINGS]
Labor Or Delivery (Labor or Delivery)

Opioids cross the placenta and may produce respiratory depression and psycho-physiologic effects in neonates. An opioid antagonist, such as naloxone, must be available for reversal of opioid-induced respiratory depression in the neonate. Levorphanol Tartrate Tablets are not recommended for use in pregnant women during or immediately prior to labor, when other analgesic techniques are more appropriate. Opioid analgesics, including Levorphanol Tartrate Tablets can prolong labor through actions which temporarily reduce the strength, duration, and frequency of uterine contractions. However, this effect is not consistent and may be offset by an increased rate of cervical dilation, which tends to shorten labor.

Monitor neonates exposed to opioid analgesics during labor for signs of excess sedation and respiratory depression.

Geriatric Patients

Elderly patients (aged 65 years or older) may have increased sensitivity to levorphanol. In general, use caution when selecting a dosage for an elderly patient, usually starting at the low end of the dosing range, reflecting the greater frequency of decreased hepatic, renal, or cardiac function and of concomitant disease or other drug therapy. The initial dose of Levorphanol Tartrate Tablets should be reduced by 50% or more in the infirm elderly patient. [see PRECAUTIONS].

Limitations of Use

Because of the risks of addiction, abuse, and misuse with opioids, which can occur at any dosage or duration [see WARNINGS], reserve Levorphanol Tartrate Tablets for use in patients for whom alternative treatment options (e.g., non-opioid analgesics):

  • Have not been tolerated or are not expected to be tolerated,
  • Have not provided adequate analgesia or are not expected to provide adequate analgesia

Levorphanol Tartrate Tablets should not be used for an extended period of time unless the pain remains severe enough to require an opioid analgesic and for which alternative treatment options continue to be inadequate.

Serotonergic Drugs

The concomitant use of opioids with other drugs that affect the serotonergic neurotransmitter system, such as selective serotonin reuptake inhibitors (SSRIs), serotonin and norepinephrine reuptake inhibitors (SNRIs), tricyclic antidepressants (TCAs), triptans, 5-HT3 receptor antagonists, drugs that affect the serotonin neurotransmitter system (e.g., mirtazapine, trazodone, tramadol), and monoamine oxidase (MAO) inhibitors (those intended to treat psychiatric disorders and also others, such as linezolid and intravenous methylene blue), has resulted in serotonin syndrome. [see PRECAUTIONS; Information for Patients].

If concomitant use is warranted, frequently evaluate the patient, particularly during treatment initiation and dose adjustment. Discontinue Levorphanol Tartrate Tablets if serotonin syndrome is suspected.

Serotonin Syndrome

Inform patients that opioids could cause a rare but potentially life-threatening condition resulting from concomitant administration of serotonergic drugs. Warn patients of the symptoms of serotonin syndrome and to seek medical attention right away if symptoms develop after discharge from the hospital.

Instruct patients to inform their healthcare providers if they are taking, or plan to take serotonergic medications [see PRECAUTIONS; Drug Interactions].

Severe Hypotension

Levorphanol Tartrate Tablets may cause severe hypotension including orthostatic hypotension and syncope in ambulatory patients. There is increased risk in patients whose ability to maintain blood pressure has already been compromised by a reduced blood volume or concurrent administration of certain CNS depressant drugs (e.g., phenothiazines or general anesthetics) [see PRECAUTIONS; Drug Interactions]. Regularly evaluate these patients for signs of hypotension after initiating or titrating the dosage of Levorphanol Tartrate Tablets. In patients with circulatory shock Levorphanol Tartrate Tablets may cause vasodilatation that can further reduce cardiac output and blood pressure. Avoid the use of Levorphanol Tartrate Tablets with circulatory shock.

Mechanism of Action

Levorphanol is a full opioid agonist and is relatively selective for the mu-opioid receptor, although it can bind to other opioid receptors at higher doses. The principal therapeutic action of levorphanol is analgesia. Like all full opioid agonists, there is no ceiling effect for analgesia with levorphanol.

Clinically, dosage is titrated to provide adequate analgesia and may be limited by adverse reactions, including respiratory and CNS depression.

The precise mechanism of the analgesic action is unknown. However, specific CNS opioid receptors for endogenous compounds with opioid-like activity have been identified throughout the brain and spinal cord and are thought to play a role in the analgesic effects of this drug.

Controlled Substance

Levorphanol Tartrate Tablets contains levorphanol, a Schedule II controlled substance.

Storage and Disposal

Because of the risks associated with accidental ingestion, misuse, and abuse, advise patients to store Levorphanol Tartrate Tablets securely, out of sight and reach of children, and in a location not accessible by others, including visitors to the home. Inform patients that leaving Levorphanol Tartrate Tablets unsecured can pose a deadly risk to others in the home [see WARNINGS, DRUG ABUSE AND DEPENDENCE].

Advise patients and caregivers that when medicines are no longer needed, they should be disposed of promptly. Expired, unwanted, or unused Levorphanol Tartrate Tablets should be disposed of by flushing the unused medication down the toilet if a drug take-back option is not readily available. Inform patients that they can visit www.fda.gov/drugdisposal for a complete list of medicines recommended for disposal by flushing, as well as additional information on disposal of unused medicines.

Use in Liver Disease

Levorphanol Tartrate Tablets should be administered with caution to patients with extensive liver disease who may be vulnerable to excessive sedation due to increased pharmacodynamic sensitivity or impaired metabolism of the drug.

Adrenal Insufficiency

Cases of adrenal insufficiency have been reported with opioid use, more often following greater than 1 month of use. Presentation of adrenal insufficiency may include non-specific symptoms and signs including nausea, vomiting, anorexia, fatigue, weakness, dizziness, and low blood pressure. If adrenal insufficiency is suspected, confirm the diagnosis with diagnostic testing as soon as possible. If adrenal insufficiency is diagnosed, treat with physiologic replacement doses of corticosteroids. Wean the patient off of the opioid to allow adrenal function to recover and continue corticosteroid treatment until adrenal function recovers. Other opioids may be tried as some cases reported use of a different opioid without recurrence of adrenal insufficiency. The information available does not identify any particular opioids as being more likely to be associated with adrenal insufficiency.

Anticholinergic Drugs

The concomitant use of anticholinergic drugs may increase risk of urinary retention and/or severe constipation, which may lead to paralytic ileus. If concomitant use is warranted, evaluate patients for signs of urinary retention or reduced gastric motility when Levorphanol Tartrate Tablets is used concomitantly with anticholinergic drugs.

Clinical Presentation

Acute overdose with Levorphanol Tartrate Tablets can be manifested by respiratory depression, somnolence progressing to stupor or coma, skeletal muscle flaccidity, cold and clammy skin, constricted pupils, and, in some cases, pulmonary edema, bradycardia, hypotension, hypoglycemia, partial or complete airway obstruction, atypical snoring, and death. Marked mydriasis rather than miosis may be seen with hypoxia an overdose situations.

Embryo Fetal Toxicity (Embryo-Fetal Toxicity)

Inform female patients of reproductive potential that Levorphanol Tartrate Tablets can cause fetal harm and to inform the prescriber of a known or suspected pregnancy [see WARNINGS, PRECAUTIONS; Pregnancy].

Indications and Usage (INDICATIONS AND USAGE)

Levorphanol Tartrate Tablets are indicated for the management of pain severe enough to require an opioid analgesic and for which alternative treatments are inadequate.

Treatment of Overdose

In case of overdose, priorities are the reestablishment of a patient and protected airway and institution of assisted or controlled ventilation, if needed. Employ other supportive measures (including oxygen and vasopressors) in the management of circulatory shock and pulmonary edema as indicated. Cardiac arrest or arrhythmias will require advanced life-support measures.

Opioid antagonists, such as naloxone, are specific antidotes to respiratory depression resulting from opioid overdose. For clinically significant respiratory or circulatory depression secondary to resulting from opioid overdose. For clinically significant respiratory or circulatory depression secondary to Levorphanol Tartrate Tablets overdose, administer an opioid antagonist.

Because the duration of opioid reversal is expected to be less than the duration of action of levorphanol in Levorphanol Tartrate Tablets, carefully monitor the patient until spontaneous respiration is reliably reestablished. If the response to an opioid antagonist is suboptimal or only brief in nature, administer additional antagonist as directed by the product’s prescribing information.

In an individual physically dependent on opioids, administration of the recommended usual dosage of the antagonist will precipitate an acute withdrawal syndrome. The severity of the withdrawal symptoms experienced will depend on the degree of physical dependence and the dose of the antagonist administered. If a decision is made to treat serious respiratory depression in the physically dependent patient, administration of the antagonist should be initiated with care and by titration with smaller than usual doses of the antagonist.

Cardiovascular Effects

The use of Levorphanol Tartrate Tablets in acute myocardial infarction or in cardiac patients with myocardial dysfunction or coronary insufficiency should be limited because the effects of Levorphanol Tartrate Tablets on the work of the heart are unknown.

Clinical Considerations

Infants exposed to Levorphanol Tartrate Tablets through breast milk should be monitored for excess sedation and respiratory depression. Withdrawal symptoms can occur in breastfed infants when maternal administration of an opioid analgesic is stopped, or when breastfeeding is stopped.

Impairment of Fertility

Animal studies to determine the effect of levorphanol on fertility have not been conducted.

Information for Patients

Advise the patient to read the FDA-approved patient labeling (Medication Guide).

Postmarketing Experience

The following adverse reactions have been identified during post approval use of levorphanol. Because these reactions are reported voluntarily from a population of uncertain size, it is not always possible to reliably estimate their frequency or establish a causal relationship to drug exposure.

  • Serotonin syndrome: Cases of serotonin syndrome, a potentially life-threatening condition, have been reported during concomitant use of opioids with serotonergic drugs.
  • Adrenal insufficiency: Cases of adrenal insufficiency have been reported with opioid use, more often following greater than one month of use.
  • Anaphylaxis: Anaphylaxis has been reported with ingredients contained in Levorphanol Tartrate Tablets.
  • Androgen deficiency: Cases of androgen deficiency have occurred with use of opioids for an extended period of time [see CLINICAL PHARMACOLOGY].
  • Hyperalgesia and Allodynia: Cases of hyperalgesia and allodynia have been reported with opioid therapy of any duration [see WARNINGS].
  • Hypoglycemia: Cases of hypoglycemia have been reported in patients taking opioids. Most reports were in patients with atleast one predisposing risk factor (e.g., diabetes).
Hyperalgesia and Allodynia

Advise patients to seek medical attention if they experience symptoms of hyperalgesia, including worsening pain, increased sensitivity to pain, or new pain [see WARNINGS; ADVERSE REACTIONS].

Individualization of Dosage

Accepted medical practice dictates that the dose of any opioid analgesic be appropriate to the degree of pain to be relieved, the clinical setting, the physical condition of the patient, and the kind and dose of concurrent medication.

Levorphanol has a long half-life similar to methadone or other slowly excreted opioids, rather than quickly excreted agents such as morphine or meperidine. Slowly excreted drugs may have some advantages in the management of chronic pain. Unfortunately, the duration of pain relief after a single dose of a slowly excreted opioid cannot always be predicted from pharmacokinetic principles, and the inter-dose interval may have to be adjusted to suit the patient’s individual pharmacodynamic response.

Levorphanol is 4 to 8 times as potent as morphine and has a longer half-life. Because there is incomplete cross-tolerance among opioids, when converting a patient from morphine to levorphanol, the total daily dose of oral levorphanol should begin at approximately 1/15 to 1/12 of the total daily dose of oral morphine that such patients had previously required and then the dose should be adjusted to the patient’s clinical response. If a patient is to be placed on fixed-schedule dosing (round-the-clock) with this drug, care should be taken to allow adequate time after each dose change (approximately 72 hours) for the patient to reach a new steady-state before a subsequent dose adjustment to avoid excessive sedation due to drug accumulation.

Addiction, Abuse, and Misuse

Levorphanol Tartrate Tablets contains levorphanol, a Schedule II controlled substance. As an opioid, Levorphanol Tartrate Tablets exposes users to the risks of addiction, abuse, and misuse [see DRUG ABUSE AND DEPENDENCE].

Although the risk of addiction in any individual is unknown, it can occur in patients appropriately prescribed Levorphanol Tartrate Tablets. Addiction can occur at recommended dosages and if the drug is misused or abused.

Assess each patient’s risk for opioid addiction, abuse, or misuse prior to prescribing Levorphanol Tartrate Tablets, and reassess all patients receiving Levorphanol Tartrate Tablets for the development of these behaviors and conditions. Risks are increased in patients with a personal or family history of substance abuse (including drug or alcohol abuse or addiction) or mental illness (e.g., major depression). The potential for these risks should not, however, prevent the proper management of pain in any given patient. Patients at increased risk may be prescribed opioids such as Levorphanol Tartrate Tablets, but use in such patients necessitates intensive counseling about the risks and proper use of Levorphanol Tartrate Tablets along with frequent reevaluation for signs of addiction, abuse and misuse. Consider prescribing naloxone for the emergency treatment of opioid overdose (see WARNINGS, Life-Threatening Respiratory Depression; DOSAGE AND ADMINISTRATION, Patient Access to Naloxone for the Emergency Treatment of Opioid Overdose).

Opioids are sought for nonmedical use and are subject to diversion from legitimate prescribed use. Consider these risks when prescribing or dispensing Levorphanol Tartrate Tablets. Strategies to reduce these risks include prescribing the drug in smallest appropriate quantity and advising the patient on careful storage of the drug during the course of treatment and proper disposal of unused drug [see PRECAUTIONS; Information for Patients]. Contact local state professional licensing board or state- controlled substances authority for information on how to prevent and detect abuse or diversion of this product.

Effects On the Immune System (Effects on the Immune System)

Opioids have been shown to have a variety of effects on components of the immune system. The clinical significance of these findings is unknown. Overall, the effects of opioids appear to be modestly immunosuppressive.

Effects On the Endocrine System (Effects on the Endocrine System)

Opioids inhibit the secretion of adrenocorticotropic hormone (ACTH), cortisol, and luteinizing hormone (LH) in humans [see ADVERSE REACTIONS]. They also stimulate prolactin, growth hormone (GH) secretion, and pancreatic secretion of insulin and glucagon.

Use of opioids for an extended period of time may influence the hypothalamic-pituitary-gonadal axis, leading to androgen deficiency that may manifest as low libido, impotence, erectile dysfunction, amenorrhea, or infertility. The causal role of opioids in the clinical syndrome of hypogonadism is unknown because the various medical, physical, lifestyle, and psychological stressors that may influence gonadal hormone levels have not been adequately controlled for in studies conducted to date [see ADVERSE REACTIONS].

Fetal/neonatal Adverse Reactions (Fetal/Neonatal Adverse Reactions)

Use of opioid analgesics for an extended period of time during pregnancy for medical or nonmedical purposes can result in physical dependence in the neonate and neonatal opioid withdrawal syndrome shortly after birth. Neonatal opioid withdrawal syndrome presents as irritability, hyperactivity and abnormal sleep pattern, high pitched cry, tremor, vomiting, diarrhea, and failure to gain weight. The onset, duration, and severity of neonatal opioid withdrawal syndrome vary based on the specific opioid used, duration of use, timing and amount of last maternal use, and rate of elimination of the drug by the newborn. Observe newborns for symptoms of neonatal opioid withdrawal syndrome and manage accordingly [see WARNINGS].

Neonatal Opioid Withdrawal Syndrome

Inform female patients of reproductive potential that use of Levorphanol Tartrate Tablets for an extended period of time during pregnancy can result in neonatal opioid withdrawal syndrome, which may be life-threatening if not recognized and treated [see WARNINGS, PRECAUTIONS; Pregnancy].

Driving Or Operating Heavy Machinery (Driving or Operating Heavy Machinery)

Inform patients that Levorphanol Tartrate Tablets may impair the ability to perform potentially hazardous activities such as driving a car or operating heavy machinery. Advise patients not to perform such tasks until they know how they will react to the medication [see PRECAUTIONS].

Effects On the Cardiovascular System (Effects on the Cardiovascular System)

Levorphanol produces peripheral vasodilation which may result in orthostatic hypotension or syncope. Manifestations of histamine release and/or peripheral vasodilation may include pruritus, flushing, red eyes, sweating, and/or orthostatic hypotension.

Titration and Maintenance of Therapy

Individually titrate the dose of Levorphanol Tartrate Tablets that provides adequate analgesia and minimizes adverse reactions. Continually reevaluate patients receiving Levorphanol Tartrate Tablets to assess the maintenance of pain control, signs and symptoms of opioid withdrawal and other adverse reactions, as well as reassessing for the development of addiction, abuse, or misuse [see WARNINGS]. Frequent communication is important among the prescriber, other members of the healthcare team, the patient, and the caregiver/family during periods of changing analgesic requirements, including initial titration.

If a patient is to be placed on fixed-schedule dosing (round-the-clock) with this drug, care should be taken to allow adequate time after each dose change (approximately 72 hours) for the patient to reach a new steady state before a subsequent dose adjustment to avoid excessive sedation due to drug accumulation.

If the level of pain increases after dosage stabilization, attempt to identify the source of increased pain before increasing Levorphanol Tartrate Tablets dosage. If after increasing the dosage, unacceptable opioid-related adverse reactions are observed (including an increase in pain after dosage increase), consider reducing the dosage [see WARNINGS]. Adjust the dosage to obtain an appropriate balance between management of pain and opioid-related adverse reactions.

Levorphanol has a long half-life. The duration of pain relief after a single dose cannot always be predicted from pharmacokinetic principles, and the inter-dose interval may have to be adjusted to suit the patient’s individual pharmacodynamic response.

Effects On the Central Nervous System (Effects on the Central Nervous System)

The principal therapeutic action of levorphanol is analgesia.

Levorphanol produces respiratory depression by direct action on brain stem respiratory centers. The respiratory depression involves a reduction in the responsiveness of the brain stem respiratory centers to both increases in carbon dioxide retention and electrical stimulation.

Levorphanol causes miosis, even in total darkness. Pinpoint pupils are a sign of opioid overdose but are not pathognomonic (e.g., pontine lesions of hemorrhagic or ischemic origins may produce similar findings). Marked mydriasis rather than miosis may be seen due to hypoxia in overdose situations.

Concentration–efficacy Relationships (Concentration–Efficacy Relationships)

The minimum effective analgesic concentration will vary widely among patients, especially among patients who have been previously treated with opioid agonists. The minimum effective analgesic concentration of levorphanol for any individual patient may increase over time due to an increase in pain, the development of a new pain syndrome, and/or the development of analgesic tolerance [see DOSAGE AND ADMINISTRATION].

Important Discontinuation Instructions

In order to avoid developing withdrawal symptoms, instruct patients not to discontinue Levorphanol Tartrate Tablets without first discussing a tapering plan with the prescriber [see DOSAGE AND ADMINISTRATION].

Life Threatening Respiratory Depression (Life-Threatening Respiratory Depression)

Serious, life-threatening, or fatal respiratory depression has been reported with the use of opioids even when used as recommended. Respiratory depression, if not immediately recognized and treated, may lead to respiratory arrest and death. Management of respiratory depression may include close observation, supportive measures, and use of opioid antagonists, depending on the patient’s clinical status [see OVERDOSAGE]. Carbon dioxide (CO2) retention from opioid induced respiratory depression can exacerbate the sedating effects of opioids.

While serious, life-threatening, or fatal respiratory depression can occur at any time during the use of Levorphanol Tartrate Tablets, the risk is greatest during the initiation of therapy or following a dosage increase.

To reduce the risk of respiratory depression, proper dosing and titration of Levorphanol Tartrate Tablets are essential [see DOSAGE AND ADMINISTRATION]. Overestimating the Levorphanol Tartrate Tablets dosage when converting patients from another opioid product can result in a fatal overdose with the first dose.

Accidental ingestion of even one dose of Levorphanol Tartrate Tablets, especially by children, can result in respiratory depression and death due to an overdose of levorphanol.

Educate patients and caregivers on how to recognize respiratory depression and emphasize the importance of calling 911 or getting emergency medical help right away in the event of a known or suspected overdose [see PRECAUTIONS, Information for Patients].

The initial dose of Levorphanol Tartrate Tablets should be reduced by 50% or more when the drug is given to patients with any condition affecting respiratory reserve or in conjunction with other drugs affecting the respiratory center. Subsequent doses should then be individually titrated according to the patient’s response.

Opioids can cause sleep-related breathing disorders including central sleep apnea (CSA) and sleep-related hypoxemia. Opioid use increases the risk of CSA in a dose-dependent fashion. In patients who present with CSA, consider decreasing the opioid dosage using best practices for opioid taper [see DOSAGE AND ADMINISTRATION].

Patient Access to Naloxone for the Emergency Treatment of Opioid Overdose

Discuss the availability of naloxone for the emergency treatment of opioid overdose with the patient and caregiver and assess the potential need for access to naloxone, both when initiating and renewing treatment with Levorphanol Tartrate Tablets. Inform patients and caregivers about the various ways to obtain naloxone as permitted by individual state naloxone dispensing and prescribing requirements or guidelines (e.g., by prescription, directly from a pharmacist, or as part of a community-based program). Educate patients and caregivers on how to recognize respiratory depression and emphasize the importance of calling 911 or getting emergency medical help, even if naloxone is administered [see PRECAUTIONS, Information for Patients].

Consider prescribing naloxone, based on the patient’s risk factors for overdose, such as concomitant use of other CNS depressants, a history of opioid use disorder, or prior opioid overdose. The presence of risk factors for overdose should not prevent the proper management of pain in any given patient. Also consider prescribing naloxone if the patient has household members (including children) or other close contacts at risk for accidental ingestion or overdose. If naloxone is prescribed, educate patients and caregivers on how to treat with naloxone [see WARNINGS, Addiction, Abuse, and Misuse; Risks from Concomitant Use with Benzodiazepines or Other CNS Depressants; PRECAUTIONS, Information for Patients; OVERDOSAGE].

Risks of Driving and Operating Machinery

Levorphanol Tartrate Tablets may impair the mental or physical abilities needed to perform potentially hazardous activities such as driving a car or operating machinery. Warn patients not to drive or operate dangerous machinery unless they are tolerant to the effects of Levorphanol Tartrate Tablets and know how they will react to the medication [see PRECAUTIONS; Information for Patients].

Principal Display Panel 2 Mg Tablets, 100 (PRINCIPAL DISPLAY PANEL 2 mg Tablets, 100)

NDC 72989-417-10



Levorphanol

Tartrate

Tablets USP

CII



2 mg



PHARMACIST: Dispense the enclosed

Medication Guide to each patient.



Rx only



100 Tablets

acertisTM

PHARMACEUTICALS



Concentration–adverse Reaction Relationships (Concentration–Adverse Reaction Relationships)

There is a relationship between increasing levorphanol plasma concentration and increasing frequency of dose-related opioid adverse reactions such as nausea, vomiting, CNS effects, and respiratory depression. In opioid-tolerant patients, the situation may be altered by the development of tolerance to opioid-related adverse reactions [see DOSAGE AND ADMINISTRATION].

Important Dosage and Administration Instructions

Levorphanol Tartrate Tablets should be prescribed only by healthcare professionals who are knowledgeable about the use of opioids and how to mitigate the associated risks.

Use the lowest effective dosage for the shortest duration of time consistent with individual patient treatment goals [see WARNINGS]. Because the risk of overdose increases as opioid doses increase, reserve titration to higher doses of Levorphanol Tartrate Tablets for patients in whom lower doses are insufficiently effective and in whom the expected benefits of using a higher dose opioid clearly outweigh the substantial risks.

Many acute pain conditions (e.g., the pain that occurs with a number of surgical procedures or acute musculoskeletal injuries) require no more than a few days of an opioid analgesic. Clinical guidelines on opioid prescribing for some acute pain conditions are available.

There is variability in the opioid analgesic dose and duration needed to adequately manage pain due both to the cause of pain and to individual patient factors. Initiate the dosing regimen for each patient individually, taking into account the patient’s underlying cause and severity of pain, prior analgesic treatment and response, and risk factors for addiction, abuse, and misuse [see WARNINGS].

Respiratory depression can occur at any time during opioid therapy, especially when initiating and following dosage increases with Levorphanol Tartrate Tablets. Consider this risk when selecting an initial dose and when making dose adjustments [see WARNINGS].

Mixed Agonist/antagonist and Partial Opioid Analgesics (Mixed Agonist/Antagonist and Partial Opioid Analgesics)

The concomitant use of opioid with other opioid analgesics, such as butorphanol, nalbuphine, pentazocine, may reduce the analgesic effect of Levorphanol Tartrate Tablets and precipitate withdrawal symptoms.

Advise patient to avoid concomitant use of these drugs.

Risks Specific to Abuse of Levorphanol Tartrate Tablets

Abuse of Levorphanol Tartrate Tablets poses a risk of overdose and death. The risk is increased with concurrent use of Levorphanol Tartrate Tablets with alcohol and/or other CNS depressants.

Parenteral drug abuse is commonly associated with transmission of infectious diseases such as hepatitis and HIV.

Risks of Use in Patients With Gastrointestinal Conditions (Risks of Use in Patients with Gastrointestinal Conditions)

Levorphanol Tartrate Tablets are contraindicated in patients with known or suspected gastrointestinal obstruction, including paralytic ileus. The levorphanol in Levorphanol Tartrate Tablets may cause spasm of the sphincter of Oddi. Levorphanol Tartrate Tablets has been shown to cause moderate to marked rises in pressure in the common bile duct when given in analgesic doses. It is not recommended for use in biliary surgery. Opioids may cause increases in serum amylase. Regularly evaluate patients with biliary tract disease, including acute pancreatitis, for worsening symptoms.

Interactions With Benzodiazepine and Other Cns Depressants (Interactions with Benzodiazepine and Other CNS Depressants)

Inform patients and caregivers that potentially fatal additive effects may occur if Levorphanol Tartrate Tablets are used with benzodiazepine or other CNS depressants, including alcohol, and not to use these drugs concomitantly unless supervised by a healthcare provider [see WARNINGS, PRECAUTIONS; Drug Interactions].

Patient Access to Naloxone for the Emergency Treatment of Opioid Overdose

Discuss with the patient and caregiver the availability of naloxone for the emergency treatment of opioid overdose, both when initiating and renewing treatment with Levorphanol Tartrate Tablets. Inform patients and caregivers about the various ways to obtain naloxone as permitted by individual state naloxone dispensing and prescribing requirements or guidelines (e.g., by prescription, directly from a pharmacist, or as part of a community-based program) (see WARNINGS, Life Threatening Respiratory Depression; DOSAGE AND ADMINISTRATION).

Educate patients and caregivers on how to recognize the signs and symptoms of an overdose.

Explain to patients and caregivers that naloxone’s effects are temporary, and that they must call 911 or get emergency medical help right away in all cases of known or suspected opioid overdose, even if naloxone is administered (see OVERDOSAGE).

If naloxone is prescribed, also advise patients and caregivers:

  • How to treat with naloxone in the event of an opioid overdose
  • To tell family and friends about their naloxone and to keep it in a place where family and friends can access it in an emergency
  • To read the Patient Information (or other educational material) that will come with their naloxone. Emphasize the importance of doing this before an opioid emergency happens, so the patient and caregiver will know what to do.
Conversion From Other Opioids to Levorphanol Tartrate Tablets (Conversion from Other Opioids to Levorphanol Tartrate Tablets)

There is inter-patient variability in the potency of opioid drugs and opioid formulations. Therefore, a conservative approach is advised when determining the total daily dosage of Levorphanol Tartrate Tablets. It is safer to underestimate a patient’s 24-hour Levorphanol Tartrate Tablets dosage than to overestimate the 24-hour Levorphanol Tartrate Tablets dosage and manage an adverse reaction due to overdose.

The dosage of levorphanol in patients with cancer or with other conditions for which chronic opioid therapy is indicated must be individualized. Levorphanol is 4 to 8 times as potent as morphine and has a longer half-life. Because there is incomplete cross-tolerance among opioids, when converting a patient from morphine to levorphanol, the total daily dose of levorphanol should begin at approximately 1/15 to 1/12 of the total daily dose of oral morphine that such patients had previously required and then the dose should be adjusted to the patient’s clinical response. If a patient is to be placed on fixed-schedule dosing (round-the-clock) with this drug, care should be taken to allow adequate time after each dose change (approximately 72 hours) for the patient to reach a new steady-state before a subsequent dose adjustment to avoid excessive sedation due to drug accumulation.

Note: As with all controlled substances, abuse by healthcare personnel is possible and the drug should be handled accordingly.

Effects On the Gastrointestinal Tract and Other Smooth Muscle (Effects on the Gastrointestinal Tract and Other Smooth Muscle)

Levorphanol causes a reduction in motility associated with an increase in smooth muscle tone in the antrum of the stomach and duodenum. Digestion of food in the small intestine is delayed and propulsive contractions are decreased. Propulsive peristaltic waves in the colon are decreased, while tone may be increased to the point of spasm, resulting in constipation. Other opioid-induced effects may include a reduction in biliary and pancreatic secretions, spasm of sphincter of Oddi, and transient elevations in serum amylase.

Increased Risk of Seizures in Patients With Seizure Disorders (Increased Risk of Seizures in Patients with Seizure Disorders)

The levorphanol in Levorphanol Tartrate Tablets may increase the frequency of seizures in patients with seizure disorders, and may increase the risk of seizures occurring in other clinical settings associated with seizures. Regularly evaluate patients with a history of seizure disorders for worsened seizure control during Levorphanol Tartrate Tablets therapy.

Safe Reduction Or Discontinuation of Levorphanol Tartrate Tablets (Safe Reduction or Discontinuation of Levorphanol Tartrate Tablets)

Do not abruptly discontinue Levorphanol Tartrate Tablets in patients who may be physically dependent on opioids. Rapid discontinuation of opioid analgesics in patients who are physically dependent on opioids has resulted in serious withdrawal symptoms, uncontrolled pain, and suicide. Rapid discontinuation has also been associated with attempts to find other sources of opioid analgesics, which may be confused with drug-seeking for abuse. Patients may also attempt to treat their pain or withdrawal symptoms with illicit opioids, such as heroin, and other substances.

When a decision has been made to decrease the dose or discontinue therapy in an opioid-dependent patient taking Levorphanol Tartrate Tablets, there are a variety of factors that should be considered, including the total daily dose of opioid (including Levorphanol Tartrate Tablets) the patient has been taking, the duration of treatment, the type of pain being treated, and the physical and psychological attributes of the patient. It is important to ensure ongoing care of the patient and to agree on an appropriate tapering schedule and follow-up plan so that patient and provider goals and expectations are clear and realistic. When opioid analgesics are being discontinued due to a suspected substance use disorder, evaluate and treat the patient, or refer for evaluation and treatment of the substance use disorder. Treatment should include evidence-based approaches, such as medication assisted treatment of opioid use disorder. Complex patients with co-morbid pain and substance use disorders may benefit from referral to a specialist.

There are no standard opioid tapering schedules that are suitable for all patients. Good clinical practice dictates a patient-specific plan to taper the dose of the opioid gradually. For patients on Levorphanol Tartrate Tablets who are physically opioid-dependent, initiate the taper by a small enough increment (e.g., no greater than 10% to 25% of the total daily dose) to avoid withdrawal symptoms, and proceed with dose-lowering at an interval of every 2 to 4 weeks. Patients who have been taking opioids for briefer periods of time may tolerate a more rapid taper.

It may be necessary to provide the patient with lower dosage strengths to accomplish a successful taper. Reassess the patient frequently to manage pain and withdrawal symptoms, should they emerge. Common withdrawal symptoms include restlessness, lacrimation, rhinorrhea, yawning, perspiration, chills, myalgia, and mydriasis. Other signs and symptoms also may develop, including irritability, anxiety, backache, joint pain, weakness, abdominal cramps, insomnia, nausea, anorexia, vomiting, diarrhea, or increased blood pressure, respiratory rate, or heart rate. If withdrawal symptoms arise, it may be necessary to pause the taper for a period of time or raise the dose of the opioid analgesic to the previous dose, and then proceed with a slower taper. In addition, evaluate patients for any changes in mood, emergence of suicidal thoughts, or use of other substances.

When managing patients taking opioid analgesics, particularly those who have been treated for an extended period of time, and/or with high doses for chronic pain, ensure that a multimodal approach to pain management, including mental health support (if needed), is in place prior to initiating an opioid analgesic taper. A multimodal approach to pain management may optimize the treatment of chronic pain, as well as assist with the successful tapering of the opioid analgesic [see WARNINGS; Withdrawal, DRUG ABUSE AND DEPENDENCE].

Use of Levorphanol Tartrate Tablets As the First Opioid Analgesic (Use of Levorphanol Tartrate Tablets as the First Opioid Analgesic)

Initiate treatment with Levorphanol Tartrate Tablets in a dosing range of 1 to 2 mg every 6 to 8 hours as needed for pain, and at the lowest dose necessary to achieve adequate analgesia, provided the patient is assessed for signs of hypoventilation and excessive sedation. Titrate the dose based upon the individual patient’s response to their initial dose of Levorphanol Tartrate Tablets. If necessary, the dose may be increased to up to 3 mg every 6 to 8 hours, after adequate evaluation of the patient’s response. Higher doses may be appropriate in opioid tolerant patients. Dosage should be adjusted according to the severity of the pain; age, weight and physical status of the patient; the patient’s underlying diseases; use of concomitant medications; and other factors [see CLINICAL PHARMACOLOGY; Individualization of Dosage, WARNINGS AND PRECAUTIONS].

Benzodiazepines and Other Central Nervous System (cns) Depressants (Benzodiazepines and Other Central Nervous System (CNS) Depressants)

Due to additive pharmacologic effect, the concomitant use of benzodiazepines and/or other CNS depressants, including alcohol, and other sedatives/hypnotics, anxiolytics, tranquilizers, muscle relaxants, general anesthetics, antipsychotics and other opioids, can increase the risk of hypotension, respiratory depression, profound sedation, coma, and death.

Reserve concomitant prescribing of these drugs for use in patients for whom alternative treatment options are inadequate. Limit dosages and durations to the minimum required. Inform patients and caregivers of this potential interaction, educate them on the signs and symptoms of respiratory depression (including sedation). If concomitant use is warranted, consider prescribing naloxone for the emergency treatment of opioid overdose [see WARNINGS].

Risks From Concomitant Use With Benzodiazepines Or Other Cns Depressants (Risks from Concomitant Use with Benzodiazepines or Other CNS Depressants)

Profound sedation, respiratory depression, coma, and death may result from the concomitant use of Levorphanol Tartrate Tablets with benzodiazepines and/or other CNS depressants, including alcohol (e.g., non-benzodiazepine sedatives/hypnotics, anxiolytics, tranquilizers, muscle relaxants, general anesthetics, antipsychotics, other opioids). Because of these risks, reserve concomitant prescribing of these drugs for use in patients for whom alternative treatment options are inadequate.

Observational studies have demonstrated that concomitant use of opioid analgesics and benzodiazepines increases the risk of drug-related mortality compared to use of opioid analgesics alone. Because of similar pharmacological properties, it is reasonable to expect similar risk with the concomitant use of other CNS depressant drugs with opioid analgesics [see PRECAUTIONS; Drug Interactions].

If the decision is made to prescribe a benzodiazepine or other CNS depressant concomitantly with an opioid analgesic, prescribe the lowest effective dosages and minimum durations of concomitant use. In patients already receiving an opioid analgesic, prescribe a lower initial dose of the benzodiazepine or other CNS depressant than indicated in the absence of an opioid, and titrate based on clinical response. If an opioid analgesic is initiated in a patient already taking a benzodiazepine or other CNS depressant, prescribe a lower initial dose of the opioid analgesic, and titrate based on clinical response. Inform patients and caregivers of this potential interaction, educate them on the signs and symptoms of respiratory depression (including sedation).

If concomitant use is warranted, consider prescribing naloxone for the emergency treatment of opioid overdose [see WARNINGS, Life-Threatening Respiratory Depression; DOSAGE AND ADMINISTRATION, Patient Access to Naloxone for the Emergency Treatment of Opioid Overdose].

Neonatal Opioid Withdrawal Syndrome

Use of Levorphanol Tartrate Tablets for an extended period of time during pregnancy can result in withdrawal in the neonate. Neonatal opioid withdrawal syndrome, unlike opioid withdrawal syndrome in adults, may be life-threatening if not recognized and treated, and requires management according to protocols developed by neonatology experts. Observe newborns for signs of neonatal opioid withdrawal syndrome and manage accordingly. Advise pregnant women using opioids for an extended period of time of the risk of neonatal opioid withdrawal syndrome and ensure that appropriate treatment will be available [see PRECAUTIONS; Information for Patients, Pregnancy].

Opioid Analgesic Risk Evaluation and Mitigation Strategy (REMS)

To ensure that the benefits of opioid analgesics outweigh the risks of addiction, abuse, and misuse, the Food and Drug Administration (FDA) has required a Risk Evaluation and Mitigation Strategy (REMS) for these products. Under the requirements of the REMS, drug companies with approved opioid analgesic products must make REMS-compliant education programs available to healthcare providers. Healthcare providers are strongly encouraged to do all of the following:

  • Complete a REMS-compliant education program offered by an accredited provider of continuing education (CE) or another education program that includes all the elements of the FDA Education Blueprint for Healthcare Providers Involved in the Management or Support of Patients with Pain.
  • Discuss the safe use, serious risks, and proper storage and disposal of opioid analgesics with patients and/or their caregivers every time these medicines are prescribed. The Patient Counseling Guide (PCG) can be obtained at this link: www.fda.gov/OpioidAnalgesicREMSPCG.
  • Emphasize to patients and their caregivers the importance of reading the Medication Guide that they will receive from their pharmacist every time an opioid analgesic is dispensed to them.
  • Consider using other tools to improve patient, household, and community safety, such as patient-prescriber agreements that reinforce patient-prescriber responsibilities.

To obtain further information on the opioid analgesic REMS and for a list of accredited REMS CME/CE, call 800-503-0784, or log on to www.opioidanalgesicrems.com. The FDA Blueprint can be found at www.fda.gov/OpioidAnalgesicREMSBlueprint.

Opioid-Induced Hyperalgesia and Allodynia

Opioid-Induced Hyperalgesia (OIH) occurs when an opioid analgesic paradoxically causes an increase in pain, or an increase in sensitivity to pain. This condition differs from tolerance, which is the need for increasing doses of opioids to maintain a defined effect [see DRUG ABUSE AND DEPENDENCE; Dependence]. Symptoms of OIH include (but may not be limited to) increased levels of pain upon opioid dosage increase, decreased levels of pain upon opioid dosage decrease, or pain from ordinarily non-painful stimuli (allodynia). These symptoms may suggest OIH only if there is no evidence of underlying disease progression, opioid tolerance, opioid withdrawal, or addictive behavior.

Cases of OIH have been reported, both with short-term and longer-term use of opioid analgesics. Though the mechanism of OIH is not fully understood, multiple biochemical pathways have been implicated. Medical literature suggests a strong biologic plausibility between opioid analgesics and OIH and allodynia. If a patient is suspected to be experiencing OIH, carefully consider appropriately decreasing the dose of the current opioid analgesic, or opioid rotation (safely switching the patient to a different opioid moiety) [see DOSAGE AND ADMINISTRATION, WARNINGS].

Patient Access to Naloxone for the Emergency Treatment of Opioid Overdose

Discuss the availability of naloxone for the emergency treatment of opioid overdose with the patient and caregiver and assess the potential need for access to naloxone, both when initiating and renewing treatment with Levorphanol Tartrate Tablets [see WARNINGS, Life-Threatening Respiratory Depression; PRECAUTIONS, Information for Patients].

Inform patients and caregivers about the various ways to obtain naloxone as permitted by individual state naloxone dispensing and prescribing regulations (e.g., by prescription, directly from a pharmacist, or as part of a community-based program).

Consider prescribing naloxone, based on the patient’s risk factors for overdose, such as concomitant use of CNS depressants, a history of opioid use disorder, or prior opioid overdose. The presence of risk factors for overdose should not prevent the proper management of pain in any given patient [see WARNINGS, Addiction, Abuse, and Misuse; Life-Threatening Respiratory Depression; Risks from Concomitant Use with Benzodiazepines or Other CNS Depressants].

Consider prescribing naloxone when the patient has household members (including children) or other close contacts at risk for accidental ingestion or overdose.

Warning: Serious and Life Threatening Risks From Use of Levorphanol Tartrate Tablets (WARNING: SERIOUS AND LIFE-THREATENING RISKS FROM USE OF LEVORPHANOL TARTRATE TABLETS)

Addiction, Abuse, and Misuse

Because the use of Levorphanol Tartrate Tablets exposes patients and other users to the risks of opioid addiction, abuse, and misuse, which can lead to overdose and death, assess each patient’s risk prior to prescribing and reassess all patients regularly for the development of these behaviors and conditions [see WARNINGS].

Life-Threatening Respiratory Depression

Serious, life-threatening, or fatal respiratory depression may occur with use of Levorphanol Tartrate Tablets, especially during initiation or following a dosage increase. To reduce the risk of respiratory depression, proper dosing and titration of Levorphanol Tartrate Tablets are essential [see WARNINGS].

Accidental Ingestion

Accidental ingestion of even one dose of Levorphanol Tartrate Tablets, especially by children, can result in a fatal overdose of levorphanol [see WARNINGS].

Risks from Concomitant Use with Benzodiazepines or Other CNS Depressants

Concomitant use of opioids with benzodiazepines or other central nervous system (CNS) depressants, including alcohol, may result in profound sedation, respiratory depression, coma, and death. Reserve concomitant prescribing of Levorphanol Tartrate Tablets and benzodiazepines or other CNS depressants for use in patients for whom alternative treatment options are inadequate [see WARNINGS].

Neonatal Opioid Withdrawal Syndrome (NOWS)

If opioid use is required for an extended period of time in a pregnant woman, advise the patient of the risk of NOWS, which may be life-threatening if not recognized and treated. Ensure that management by neonatology experts will be available at delivery [see WARNINGS].

Opioid Analgesic Risk Evaluation and Mitigation Strategy (REMS)

Healthcare providers are strongly encouraged to complete a REMS-compliant education program and to counsel patients and caregivers on serious risks, safe use, and the importance of reading the Medication Guide with each prescription [see WARNINGS].

Risks of Use in Patients With Increased Intracranial Pressure, Brain Tumors, Head Injury, Or Impaired Consciousness (Risks of Use in Patients with Increased Intracranial Pressure, Brain Tumors, Head Injury, or Impaired Consciousness)

In patients who may be susceptible to the intracranial effects of CO2 retention (e.g., those with evidence of increased intracranial pressure or brain tumors), Levorphanol Tartrate Tablets may reduce respiratory drive, and the resultant CO2 retention can further increase intracranial pressure. Monitor such patients for signs of sedation and respiratory depression, particularly when initiating therapy with Levorphanol Tartrate Tablets.

Opioids may also obscure the clinical course in a patient with a head injury. Avoid the use of Levorphanol Tartrate Tablets in patients with impaired consciousness or coma.

Life Threatening Respiratory Depression in Patients With Chronic Pulmonary Disease Or in Elderly, Cachectic, Or Debilitated Patient (Life-Threatening Respiratory Depression in Patients with Chronic Pulmonary Disease or in Elderly, Cachectic, or Debilitated Patient)

The use of Levorphanol Tartrate Tablets in patients with acute or severe bronchial asthma in an unmonitored setting or in the absence of resuscitative equipment is contraindicated.

Patients with Chronic Pulmonary Disease: Patients treated with Levorphanol Tartrate Tablets with significant chronic obstructive pulmonary disease or cor pulmonale, and those with a substantially decreased respiratory reserve, hypoxia, hypercapnia, or pre-existing respiratory depression are at increased risk of decreased respiratory drive including apnea, even at recommended dosages of levorphanol [see WARNINGS].

Elderly, Cachectic, or Debilitated Patients: Life-threatening respiratory depression is more likely to occur in elderly, cachectic, or debilitated patients because they may have altered pharmacokinetics or altered clearance compared to younger, healthier patients [see WARNINGS].

Regularly evaluate patients, particularly when initiating and titrating Levorphanol Tartrate Tablets and when Levorphanol Tartrate Tablets are given concomitantly with other drugs that depress respiration [see WARNINGS]. Alternatively, consider the use of non-opioid analgesics in these patients.


Advanced Ingredient Data


Raw Label Data

All Sections (JSON)