These Highlights Do Not Include All The Information Needed To Use Amoxicillin Capsules And Amoxicillin For Oral Suspension Safely And Effectively. See Full Prescribing Information For Amoxicillin Capsules And Amoxicillin For Oral Suspension.

These Highlights Do Not Include All The Information Needed To Use Amoxicillin Capsules And Amoxicillin For Oral Suspension Safely And Effectively. See Full Prescribing Information For Amoxicillin Capsules And Amoxicillin For Oral Suspension.
SPL v5
SPL
SPL Set ID 110ba6b1-f175-48a1-8e30-616c02212538
Route
ORAL
Published
Effective Date 2025-05-15
Document Type 34391-3 HUMAN PRESCRIPTION DRUG LABEL

Drug Facts

Composition & Product

Active Ingredients
Amoxicillin Anhydrous (250 mg)
Inactive Ingredients
D&c Red No. 28 Fd&c Blue No. 1 Fd&c Red No. 40 Gelatin Magnesium Stearate Titanium Dioxide

Identifiers & Packaging

Pill Appearance
Imprint: Amoxil;500 Shape: capsule Color: blue Color: pink Color: white Size: 19 mm Size: 23 mm Score: 1
Marketing Status
ANDA Active Since 2025-05-15

Description

 Warnings and Precautions, Drug-Induced Enterocolitis Syndrome (DIES) (5.2)  05/2024

Indications and Usage

Amoxicillin is a penicillin-class antibacterial indicated for treatment of infections due to susceptible strains of designated microorganisms. Infections of the ear, nose, throat, genitourinary tract, skin and skin structure, and lower respiratory tract. ( 1.1 to 1.4 ) In combination for treatment of H. pylori infection and duodenal ulcer disease. ( 1.5 ) To reduce the development of drug-resistant bacteria and maintain the effectiveness of amoxicillin and other antibacterial drugs, amoxicillin should be used only to treat or prevent infections that are proven or strongly suspected to be caused by bacteria. ( 1.6 )

Dosage and Administration

In adults, 750-1750 mg/day in divided doses every 8 to 12 hours. In Pediatric Patients > 3 Months of Age, 20 to 45 mg/kg/day in divided doses every 8 to 12 hours. Refer to full prescribing information for specific dosing regimens. ( 2.1 , 2.2 , 2.3 ) The upper dose for neonates and infants ≤ 3 months is 30 mg/kg/day divided every 12 hours. ( 2.2 ) Dosing for H. pylor i Infection: Triple therapy: 1 gram amoxicillin, 500 mg clarithromycin, and 30 mg lansoprazole, all given twice daily (every 12 hours) for 14 days. Dual therapy: 1 gram amoxicillin and 30 mg lansoprazole, each given three times daily (every 8 hours) for 14 days. ( 2.3 ) Reduce the dose in patients with severe renal impairment (GFR <30 mL/min). ( 2.4 )

Warnings and Precautions

Anaphylactic reactions: Serious and occasionally fatal anaphylactic reactions have been reported in patients on penicillin therapy. Serious anaphylactic reactions require immediate emergency treatment with supportive measures. ( 5.1 ) Drug-induced enterocolitis syndrome (DIES) has been reported with amoxicillin use. If this occurs, discontinue Amoxicillin and institute appropriate therapy. ( 5.2 ) Clostridium difficile -associated diarrhea (ranging from mild diarrhea to fatal colitis): Evaluate if diarrhea occurs. ( 5.3 )

Contraindications

Amoxicillin is contraindicated in patients who have experienced a serious hypersensitivity reaction (e.g., anaphylaxis or Stevens-Johnson syndrome) to amoxicillin or to other ​ β‑lactam antibiotics (e.g., penicillins and cephalosporins).

Adverse Reactions

The following are discussed in more detail in other sections of the labeling: Anaphylactic reactions [see Warnings and Precautions ( 5.1 )] Drug-Induced Enterocolitis Syndrome (DIES) [see Warnings and Precautions ( 5.2 )] CDAD [see Warnings and Precautions ( 5.3 )]

Drug Interactions

Probenicid decreases renal tubular secretion of amoxicillin which may result in increased blood levels of amoxicillin. ( 7.1 ) Concomitant use of amoxicillin and oral anticoagulants may increase the prolongation of prothrombin time. ( 7.2 ) Coadministration with allopurinol increases the risk of rash. ( 7.3 ) Amoxicillin may reduce the efficacy of oral contraceptives. ( 7.4 )

Storage and Handling

Amoxicillin Capsules, USP: Each capsule of amoxicillin, with royal blue opaque cap and pink opaque body, contains 250 mg or 500 mg amoxicillin as the trihydrate. The cap and body of the 250 mg capsule are imprinted with "AMOXIL ® " over "250"; the cap and body of the 500 mg capsule are imprinted with "AMOXIL ® " over "500". 250 mg Capsule NDC 81964-225-01 Bottles of 100 NDC 81964-225-05 Bottles of 500 500 mg Capsule NDC 81964-205-01 Bottles of 100 NDC 81964-205-05 Bottles of 500 NDC 81964-205-10 Bottles of 100 (with child resistant cap) NDC 81964-205-60 Bottles of 60 (with child resistant cap) Amoxicillin Capsules 500 mg, USP: Each capsule of amoxicillin, with white cap and body, contains 500 mg of amoxicillin as the trihydrate. The cap and body of the 500 mg capsule are imprinted with “AMOXIL ® ” over “500”. 500 mg Capsule NDC 81964-350-10 Bottles of 100 (with child resistant cap) NDC 81964-350-60 Bottles of 60 (with child resistant cap) NDC 81964-350-98 Container of 8.00 kg Amoxicillin for Oral Suspension, USP : Each 5 mL of reconstituted strawberry flavored suspension contains 125 mg amoxicillin as the trihydrate. Each 5 mL of reconstituted bubble-gum flavored suspension contains 250 mg amoxicillin as the trihydrate. 125 mg/5 mL NDC 81964-222-80 80 mL bottle NDC 81964-222-52 100 mL bottle NDC 81964-222-53 150 mL bottle 250 mg/5 mL NDC 81964-209-80 80 mL bottle NDC 81964-209-52 100 mL bottle NDC 81964-209-53 150 mL bottle Store at 20°C to 25°C (68°F to 77°F) [ See USP Controlled Room Temperature]. Dispense in a tight container as defined in the USP. Keep this and all drugs out of the reach of children.

How Supplied

Amoxicillin Capsules, USP: Each capsule of amoxicillin, with royal blue opaque cap and pink opaque body, contains 250 mg or 500 mg amoxicillin as the trihydrate. The cap and body of the 250 mg capsule are imprinted with "AMOXIL ® " over "250"; the cap and body of the 500 mg capsule are imprinted with "AMOXIL ® " over "500". 250 mg Capsule NDC 81964-225-01 Bottles of 100 NDC 81964-225-05 Bottles of 500 500 mg Capsule NDC 81964-205-01 Bottles of 100 NDC 81964-205-05 Bottles of 500 NDC 81964-205-10 Bottles of 100 (with child resistant cap) NDC 81964-205-60 Bottles of 60 (with child resistant cap) Amoxicillin Capsules 500 mg, USP: Each capsule of amoxicillin, with white cap and body, contains 500 mg of amoxicillin as the trihydrate. The cap and body of the 500 mg capsule are imprinted with “AMOXIL ® ” over “500”. 500 mg Capsule NDC 81964-350-10 Bottles of 100 (with child resistant cap) NDC 81964-350-60 Bottles of 60 (with child resistant cap) NDC 81964-350-98 Container of 8.00 kg Amoxicillin for Oral Suspension, USP : Each 5 mL of reconstituted strawberry flavored suspension contains 125 mg amoxicillin as the trihydrate. Each 5 mL of reconstituted bubble-gum flavored suspension contains 250 mg amoxicillin as the trihydrate. 125 mg/5 mL NDC 81964-222-80 80 mL bottle NDC 81964-222-52 100 mL bottle NDC 81964-222-53 150 mL bottle 250 mg/5 mL NDC 81964-209-80 80 mL bottle NDC 81964-209-52 100 mL bottle NDC 81964-209-53 150 mL bottle Store at 20°C to 25°C (68°F to 77°F) [ See USP Controlled Room Temperature]. Dispense in a tight container as defined in the USP. Keep this and all drugs out of the reach of children.


Medication Information

Warnings and Precautions

Anaphylactic reactions: Serious and occasionally fatal anaphylactic reactions have been reported in patients on penicillin therapy. Serious anaphylactic reactions require immediate emergency treatment with supportive measures. ( 5.1 ) Drug-induced enterocolitis syndrome (DIES) has been reported with amoxicillin use. If this occurs, discontinue Amoxicillin and institute appropriate therapy. ( 5.2 ) Clostridium difficile -associated diarrhea (ranging from mild diarrhea to fatal colitis): Evaluate if diarrhea occurs. ( 5.3 )

Indications and Usage

Amoxicillin is a penicillin-class antibacterial indicated for treatment of infections due to susceptible strains of designated microorganisms. Infections of the ear, nose, throat, genitourinary tract, skin and skin structure, and lower respiratory tract. ( 1.1 to 1.4 ) In combination for treatment of H. pylori infection and duodenal ulcer disease. ( 1.5 ) To reduce the development of drug-resistant bacteria and maintain the effectiveness of amoxicillin and other antibacterial drugs, amoxicillin should be used only to treat or prevent infections that are proven or strongly suspected to be caused by bacteria. ( 1.6 )

Dosage and Administration

In adults, 750-1750 mg/day in divided doses every 8 to 12 hours. In Pediatric Patients > 3 Months of Age, 20 to 45 mg/kg/day in divided doses every 8 to 12 hours. Refer to full prescribing information for specific dosing regimens. ( 2.1 , 2.2 , 2.3 ) The upper dose for neonates and infants ≤ 3 months is 30 mg/kg/day divided every 12 hours. ( 2.2 ) Dosing for H. pylor i Infection: Triple therapy: 1 gram amoxicillin, 500 mg clarithromycin, and 30 mg lansoprazole, all given twice daily (every 12 hours) for 14 days. Dual therapy: 1 gram amoxicillin and 30 mg lansoprazole, each given three times daily (every 8 hours) for 14 days. ( 2.3 ) Reduce the dose in patients with severe renal impairment (GFR <30 mL/min). ( 2.4 )

Contraindications

Amoxicillin is contraindicated in patients who have experienced a serious hypersensitivity reaction (e.g., anaphylaxis or Stevens-Johnson syndrome) to amoxicillin or to other ​ β‑lactam antibiotics (e.g., penicillins and cephalosporins).

Adverse Reactions

The following are discussed in more detail in other sections of the labeling: Anaphylactic reactions [see Warnings and Precautions ( 5.1 )] Drug-Induced Enterocolitis Syndrome (DIES) [see Warnings and Precautions ( 5.2 )] CDAD [see Warnings and Precautions ( 5.3 )]

Drug Interactions

Probenicid decreases renal tubular secretion of amoxicillin which may result in increased blood levels of amoxicillin. ( 7.1 ) Concomitant use of amoxicillin and oral anticoagulants may increase the prolongation of prothrombin time. ( 7.2 ) Coadministration with allopurinol increases the risk of rash. ( 7.3 ) Amoxicillin may reduce the efficacy of oral contraceptives. ( 7.4 )

Storage and Handling

Amoxicillin Capsules, USP: Each capsule of amoxicillin, with royal blue opaque cap and pink opaque body, contains 250 mg or 500 mg amoxicillin as the trihydrate. The cap and body of the 250 mg capsule are imprinted with "AMOXIL ® " over "250"; the cap and body of the 500 mg capsule are imprinted with "AMOXIL ® " over "500". 250 mg Capsule NDC 81964-225-01 Bottles of 100 NDC 81964-225-05 Bottles of 500 500 mg Capsule NDC 81964-205-01 Bottles of 100 NDC 81964-205-05 Bottles of 500 NDC 81964-205-10 Bottles of 100 (with child resistant cap) NDC 81964-205-60 Bottles of 60 (with child resistant cap) Amoxicillin Capsules 500 mg, USP: Each capsule of amoxicillin, with white cap and body, contains 500 mg of amoxicillin as the trihydrate. The cap and body of the 500 mg capsule are imprinted with “AMOXIL ® ” over “500”. 500 mg Capsule NDC 81964-350-10 Bottles of 100 (with child resistant cap) NDC 81964-350-60 Bottles of 60 (with child resistant cap) NDC 81964-350-98 Container of 8.00 kg Amoxicillin for Oral Suspension, USP : Each 5 mL of reconstituted strawberry flavored suspension contains 125 mg amoxicillin as the trihydrate. Each 5 mL of reconstituted bubble-gum flavored suspension contains 250 mg amoxicillin as the trihydrate. 125 mg/5 mL NDC 81964-222-80 80 mL bottle NDC 81964-222-52 100 mL bottle NDC 81964-222-53 150 mL bottle 250 mg/5 mL NDC 81964-209-80 80 mL bottle NDC 81964-209-52 100 mL bottle NDC 81964-209-53 150 mL bottle Store at 20°C to 25°C (68°F to 77°F) [ See USP Controlled Room Temperature]. Dispense in a tight container as defined in the USP. Keep this and all drugs out of the reach of children.

How Supplied

Amoxicillin Capsules, USP: Each capsule of amoxicillin, with royal blue opaque cap and pink opaque body, contains 250 mg or 500 mg amoxicillin as the trihydrate. The cap and body of the 250 mg capsule are imprinted with "AMOXIL ® " over "250"; the cap and body of the 500 mg capsule are imprinted with "AMOXIL ® " over "500". 250 mg Capsule NDC 81964-225-01 Bottles of 100 NDC 81964-225-05 Bottles of 500 500 mg Capsule NDC 81964-205-01 Bottles of 100 NDC 81964-205-05 Bottles of 500 NDC 81964-205-10 Bottles of 100 (with child resistant cap) NDC 81964-205-60 Bottles of 60 (with child resistant cap) Amoxicillin Capsules 500 mg, USP: Each capsule of amoxicillin, with white cap and body, contains 500 mg of amoxicillin as the trihydrate. The cap and body of the 500 mg capsule are imprinted with “AMOXIL ® ” over “500”. 500 mg Capsule NDC 81964-350-10 Bottles of 100 (with child resistant cap) NDC 81964-350-60 Bottles of 60 (with child resistant cap) NDC 81964-350-98 Container of 8.00 kg Amoxicillin for Oral Suspension, USP : Each 5 mL of reconstituted strawberry flavored suspension contains 125 mg amoxicillin as the trihydrate. Each 5 mL of reconstituted bubble-gum flavored suspension contains 250 mg amoxicillin as the trihydrate. 125 mg/5 mL NDC 81964-222-80 80 mL bottle NDC 81964-222-52 100 mL bottle NDC 81964-222-53 150 mL bottle 250 mg/5 mL NDC 81964-209-80 80 mL bottle NDC 81964-209-52 100 mL bottle NDC 81964-209-53 150 mL bottle Store at 20°C to 25°C (68°F to 77°F) [ See USP Controlled Room Temperature]. Dispense in a tight container as defined in the USP. Keep this and all drugs out of the reach of children.

Description

 Warnings and Precautions, Drug-Induced Enterocolitis Syndrome (DIES) (5.2)  05/2024

14.1 H.

Randomized, double-blind clinical studies performed in the United States in patients with H. pyloriand duodenal ulcer disease   (defined as an active ulcer or history of an ulcer within 1 year) evaluated the efficacy of lansoprazole in combination with amoxicillin capsules and clarithromycin tablets as triple 14‑day therapy, or in combination with amoxicillin capsules as dual 14‑day therapy, for the eradication of H. pylori. Based on the results of these studies, the safety and efficacy of 2 different eradication regimens were established:  Triple therapy:Amoxicillin 1 gram twice daily/clarithromycin 500 mg twice daily/lansoprazole 30 mg twice daily (see Table 6). Dual therapy:Amoxicillin 1 gram three times daily/lansoprazole 30 mg three times daily (see Table 7).  All treatments were for 14 days. H. pylorieradication was defined as 2 negative tests (culture and histology) at 4 to 6 weeks following the end of treatment.  Triple therapy was shown to be more effective than all possible dual therapy combinations. Dual therapy was shown to be more effective than both monotherapies. Eradication of H. pylorihas been shown to reduce the risk of duodenal ulcer recurrence.





Table 6. H. pyloriEradication Rates When Amoxicillin is Administered as Part of a Triple Therapy Regimen



 Study


Triple Therapy


Triple Therapy
Evaluable Analysis a

[95% Confidence Interval]


(number of patients)
Intent-to-Treat Analysis b

[95% Confidence Interval]


(number of patients)


 Study 1
92

[80.0 to 97.7]

(n = 48)
86

[73.3 to 93.5]

(n = 55)


 Study 2
86

[75.7 to 93.6]

(n = 66)
83

[72.0 to 90.8]

(n = 70)

a    This analysis was based on evaluable patients with confirmed duodenal ulcer (active or within 1 year) and H. pyloriinfection at baseline defined as at least 2 of 3 positive endoscopic tests from CLOtest ®, histology, and/or culture. Patients were included in the analysis if they completed the study. Additionally, if patients dropped out of the study due to an adverse event related to the study drug, they were included in the analysis as failures of therapy.

b    Patients were included in the analysis if they had documented H. pyloriinfection at baseline as defined above and had a confirmed duodenal ulcer (active or within 1 year). All dropouts were included as failures of therapy.



Table 7. H. pyloriEradication Rates When Amoxicillin is Administered as Part of a Dual Therapy Regimen 



 Study


Dual Therapy


Dual Therapy
Evaluable Analysis a

[95% Confidence Interval]


(number of patients)
Intent-to-Treat Analysis b

[95% Confidence Interval]


(number of patients)


 Study 1
77

[62.5 to 87.2]

(n = 51)
70

[56.8 to 81.2]

(n = 60)


 Study 2
66

[51.9 to 77.5]

(n = 58)
61

[48.5 to 72.9]

(n = 67)

a     This analysis was based on evaluable patients with confirmed duodenal ulcer (active or within 1 year) and H. pyloriinfection at baseline defined as at least 2 of 3 positive endoscopic tests from CLOtest ®, histology, and/or culture. Patients were included in the analysis if they completed the study. Additionally, if patients dropped out of the study due to an adverse event related to the study drug, they were included in the analysis as failures of therapy.



b     Patients were included in the analysis if they had documented H. pyloriinfection at baseline as defined above and had a confirmed duodenal ulcer (active or within 1 year). All dropouts were included as failures of therapy.

Section 43683-2
 Warnings and Precautions,

Drug-Induced Enterocolitis Syndrome (DIES) (5.2)

 05/2024

1.6 Usage

To reduce the development of drug‑resistant bacteria and maintain the effectiveness of Amoxicillin and other antibacterial drugs, Amoxicillin should be used only to treat or prevent infections that are proven or strongly suspected to be caused by bacteria. When culture and susceptibility information are available, they should be considered in selecting or modifying antibacterial therapy. In the absence of such data, local epidemiology and susceptibility patterns may contribute to the empiric selection of therapy.

10 Overdosage

In case of overdosage, discontinue medication, treat symptomatically, and institute supportive measures as required. A prospective study of 51 pediatric patients at a poison-control center suggested that overdosages of less than 250 mg/kg of amoxicillin are not associated with significant clinical symptoms.

Interstitial nephritis resulting in oliguric renal failure has been reported in a small number of patients after overdosage with amoxicillin 1.

Crystalluria, in some cases leading to renal failure, has also been reported after amoxicillin overdosage in adult and pediatric patients. In case of overdosage, adequate fluid intake and diuresis should be maintained to reduce the risk of amoxicillin crystalluria.

Renal impairment appears to be reversible with cessation of drug administration. High blood levels may occur more readily in patients with impaired renal function because of decreased renal clearance of amoxicillin. Amoxicillin may be removed from circulation by hemodialysis.

15 References


1.      Swanson-Biearman B, Dean BS, Lopez G, Krenzelok EP. The effects of penicillin and cephalosporin ingestions in children less than six years of age. Vet Hum Toxicol. 1988; 30: 66‑67.

8.1 Pregnancy

Teratogenic Effects: Pregnancy Category B. Reproduction studies have been performed in mice and rats at doses up to 2000 mg/kg (3 and 6 times the 3 g human dose, based on body surface area). There was no evidence of harm to the fetus due to amoxicillin. There are, however, no adequate and well‑controlled studies in pregnant women. Because animal reproduction studies are not always predictive of human response, amoxicillin should be used during pregnancy only if clearly needed.

11 Description

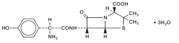
Amoxicillin, USP is a semisynthetic antibiotic, an analog of ampicillin, with a broad spectrum of bactericidal activity against many Gram‑positive and Gram‑negative microorganisms.

Chemically, it is (2 S,5 R,6 R)-6-[( R)-(-)-2-amino-2-( p-hydroxyphenyl)acetamido]-3,3-dimethyl-7-oxo-4-thia-1-azabicyclo[3.2.0]heptane-2-carboxylic acid trihydrate. It may be represented structurally as:

The amoxicillin molecular formula is C 16H 19N 3O 5S•3H 2O, and the molecular weight is 419.45.

Amoxicillin capsules, USP: blue and pink capsule

Each capsule of amoxicillin, with royal blue opaque cap and pink opaque body, contains 250 mg or 500 mg amoxicillin as the trihydrate. The cap and body of the 250 mg capsule are imprinted with "AMOXIL ®" over "250"; the cap and body of the 500 mg capsule are imprinted with "AMOXIL ®" over "500".

Inactive ingredients: D&C Red No. 28, FD&C Blue No. 1, FD&C Red No. 40, gelatin, magnesium stearate, and titanium dioxide.

Amoxicillin capsules, USP: white capsule

Each capsule of amoxicillin, with white opaque cap and body, contains 500 mg amoxicillin as the trihydrate. The cap and body of the cap and body of the 500 mg capsule are imprinted with "AMOXIL ®" over "500".

Inactive ingredients: gelatin, magnesium stearate, and titanium dioxide.

Amoxicillin for oral suspension, USP:

Each 5 mL of reconstituted suspension contains 125 mg or 250 mg of amoxicillin as the trihydrate. Each 5 mL of the 125 mg reconstituted suspension contains 0.11 mEq (2.51 mg) of sodium. Each 5 mL of the 250 mg reconstituted suspension contains 0.15 mEq (3.36 mg) of sodium.

Inactive ingredients: FD&C Red No. 3, flavorings, silica gel, sodium benzoate, sodium citrate, sucrose, and xanthan gum.

7.1 Probenecid

Probenecid decreases the renal tubular secretion of amoxicillin. Concurrent use of amoxicillin and probenecid may result in increased and prolonged blood levels of amoxicillin.

7.3 Allopurinol

The concurrent administration of allopurinol and amoxicillin increases the incidence of rashes in patients receiving both drugs as compared to patients receiving amoxicillin alone. It is not known whether this potentiation of amoxicillin rashes is due to allopurinol or the hyperuricemia present in these patients.

12.4 Microbiology

Mechanism of Action

Amoxicillin is similar to penicillin in its bactericidal action against susceptible bacteria during the stage of active multiplication.  It acts through the inhibition of cell wall biosynthesis that leads to the death of the bacteria.



Mechanism of Resistance

Resistance to amoxicillin is mediated primarily through enzymes called beta-lactamases that cleave the beta-lactam ring of amoxicillin, rendering it inactive.



Amoxicillin has been shown to be active against most isolates of the bacteria listed below, both in vitroand in clinical infections as described in the INDICATIONS AND USAGE section.



Gram-Positive Bacteria

Enterococcus faecalis

Staphylococcusspp.

Streptococcus pneumoniae

Streptococcusspp. (alpha and beta-hemolytic)

Gram-Negative Bacteria

Escherichia coli

Haemophilus influenzae

Helicobacter pylori

Proteus mirabilis



Susceptibility Test Methods

For specific information regarding susceptibility test interpretive criteria and associated test methods and quality control standards recognized by FDA for this drug, please see: https://www.fda.gov/STIC.

8.4 Pediatric Use

Because of incompletely developed renal function in neonates and young infants, the elimination of amoxicillin may be delayed. Dosing of amoxicillin should be modified in pediatric patients 12 weeks or younger (≤ 3 months). [See Dosage and Administration( 2.2).]

8.5 Geriatric Use

An analysis of clinical studies of amoxicillin was conducted to determine whether subjects aged 65 and over respond differently from younger subjects.  These analyses have not identified differences in responses between the elderly and younger patients, but a greater sensitivity of some older individuals cannot be ruled out.



This drug is known to be substantially excreted by the kidney, and the risk of toxic reactions to this drug may be greater in patients with impaired renal function. Because elderly patients are more likely to have decreased renal function, care should be taken in dose selection, and it may be useful to monitor renal function.

4 Contraindications

Amoxicillin is contraindicated in patients who have experienced a serious hypersensitivity reaction (e.g., anaphylaxis or Stevens-Johnson syndrome) to amoxicillin or to other β‑lactam antibiotics (e.g., penicillins and cephalosporins).

6 Adverse Reactions

The following are discussed in more detail in other sections of the labeling:

  • Anaphylactic reactions [see Warnings and Precautions ( 5.1)]
  • Drug-Induced Enterocolitis Syndrome (DIES) [see Warnings and Precautions ( 5.2)]
  • CDAD [see Warnings and Precautions ( 5.3)]
7 Drug Interactions
  • Probenicid decreases renal tubular secretion of amoxicillin which may result in increased blood levels of amoxicillin. ( 7.1)
  • Concomitant use of amoxicillin and oral anticoagulants may increase the prolongation of prothrombin time. ( 7.2)
  • Coadministration with allopurinol increases the risk of rash. ( 7.3)
  • Amoxicillin may reduce the efficacy of oral contraceptives. ( 7.4)
8.3 Nursing Mothers

Penicillins have been shown to be excreted in human milk. Amoxicillin use by nursing mothers may lead to sensitization of infants. Caution should be exercised when amoxicillin is administered to a nursing woman.

12.2 Pharmacokinetics

Absorption:Amoxicillin is stable in the presence of gastric acid and is rapidly absorbed after oral administration. The effect of food on the absorption of amoxicillin from the tablets and suspension of amoxicillin has been partially investigated; 400 mg and 875 mg formulations have been studied only when administered at the start of a light meal.



Orally administered doses of 250 mg and 500 mg amoxicillin capsules result in average peak blood levels 1 to 2 hours after administration in the range of 3.5 mcg/mL to 5.0 mcg/mL and 5.5 mcg/mL to 7.5 mcg/mL, respectively.



Mean amoxicillin pharmacokinetic parameters from an open, two‑part, single‑dose crossover bioequivalencestudy in 27 adults comparing 875 mg of AMOXICILLIN with 875 mg of AUGMENTIN ®(amoxicillin and clavulanate potassium) showed that the 875 mg tablet of Amoxicillin produces an AUC 0-∞of 35.4 ± 8.1 mcg•hr/mL and a C maxof 13.8 ± 4.1 mcg/mL. Dosing was at the start of a light meal following an overnight fast.



Orally administered doses of amoxicillin suspension, 125 mg/5 mL and 250 mg/5 mL, result in average peak blood levels 1 to 2 hours after administration in the range of 1.5 mcg/mL to 3.0 mcg/mL and 3.5 mcg/mL to 5.0 mcg/mL, respectively.



Oral administration of single doses of 400 mg chewable tablets and 400 mg/5 mL suspension of amoxicillin to 24 adult volunteers yielded comparable pharmacokinetic data:

Table 3: Mean Pharmacokinetic Parameters of Amoxicillin (400 mg chewable tablets and 400 mg/5 mL suspension) in Healthy Adults



Dose*


AUC 0-∞ (mcg•hr/mL)


Cmax (mcg/mL)


Amoxicillin


Amoxicillin (±S.D.)


Amoxicillin (±S.D.)


400 mg (5 mL of suspension)


17.1 (3.1)


5.92 (1.62)


400 mg (1 chewable tablet)


17.9 (2.4)


5.18 (1.64)

*Administered at the start of a light meal.

Mean values of 24 normal volunteers. Peak concentrations occurred approximately 1 hour after the dose.



Distribution: Amoxicillin diffuses readily into most body tissues and fluids, with the exception of brain and spinal fluid, except when meninges are inflamed. In blood serum, amoxicillin is approximately 20% protein‑bound. Following a 1 gram dose and utilizing a special skin window technique to determine levels of the antibiotic, it was noted that therapeutic levels were found in the interstitial fluid.



Metabolism and Excretion: The half-life of amoxicillin is 61.3 minutes. Approximately 60% of an orally administered dose of amoxicillin is excreted in the urine within 6 to 8 hours. Detectable serum levels are observed up to 8 hours after an orally administered dose of amoxicillin. Since most of the amoxicillin is excreted unchanged in the urine, its excretion can be delayed by concurrent administration of probenecid [see Drug Interactions ( 7.1) ].

8.2 Labor and Delivery

Oral ampicillin is poorly absorbed during labor. It is not known whether use of amoxicillin in humans during labor or delivery has immediate or delayed adverse effects on the fetus, prolongs the duration of labor, or increases the likelihood of the necessity for an obstetrical intervention.

1 Indications and Usage

Amoxicillin is a penicillin-class antibacterial indicated for treatment of infections due to susceptible strains of designated microorganisms.

  • Infections of the ear, nose, throat, genitourinary tract, skin and skin structure, and lower respiratory tract. ( 1.1to 1.4)
  • In combination for treatment of H. pyloriinfection and duodenal ulcer disease. ( 1.5)

To reduce the development of drug-resistant bacteria and maintain the effectiveness of amoxicillin and other antibacterial drugs, amoxicillin should be used only to treat or prevent infections that are proven or strongly suspected to be caused by bacteria. ( 1.6)

1.5 Helicobacter Pylori

Triple therapy for Helicobacter pyloriwith clarithromycin and lansoprazole:

Amoxicillin, in combination with clarithromycin plus lansoprazole as triple therapy, is indicated for the treatment of patients with H. pyloriinfection and duodenal ulcer disease (active or 1‑year history of a duodenal ulcer) to eradicate H. pylori. Eradication of H. pylorihas been shown to reduce the risk of duodenal ulcer recurrence.



Dual therapy for H. pyloriwith lansoprazole : Amoxicillin, in combination with lansoprazole delayed-release capsules as dual therapy, is indicated for the treatment of patients with H. pyloriinfection and duodenal ulcer disease (active or 1‑year history of a duodenal ulcer) who are either allergic or intolerant to clarithromycin or in whom resistance to clarithromycin is known or suspected. (See the clarithromycin package insert, MICROBIOLOGY.) Eradication of H. pylorihas been shown to reduce the risk of duodenal ulcer recurrence.

7.2 Oral Anticoagulants

Abnormal prolongation of prothrombin time (increased international normalized ratio [INR]) has been reported in patients receiving amoxicillin and oral anticoagulants.  Appropriate monitoring should be undertaken when anticoagulants are prescribed concurrently.  Adjustments in the dose of oral anticoagulants may be necessary to maintain the desired level of anticoagulation.

7.4 Oral Contraceptives

Amoxicillin may affect the gut flora, leading to lower estrogen reabsorption and reduced efficacy of combined oral estrogen/progesterone contraceptives.

12.1 Mechanism of Action

Amoxicillin is an antibacterial drug [see Microbiology ( 12.4)].

2.3 Dosing for H. Pylori

Triple therapy:The recommended adult oral dose is 1 gram amoxicillin, 500 mg clarithromycin, and 30 mg lansoprazole, all given twice daily (every 12 hours) for 14 days.

Dual therapy:The recommended adult oral dose is 1 gram amoxicillin and 30 mg lansoprazole, each given three times daily (every 8 hours) for 14 days.

Please refer to clarithromycin and lansoprazole full prescribing information.

7.5 Other Antibacterials

Chloramphenicol, macrolides, sulfonamides, and tetracyclines may interfere with the bactericidal effects of penicillin.  This has been demonstrated in vitro; however, the clinical significance of this interaction is not well documented.

5 Warnings and Precautions
  • Anaphylactic reactions: Serious and occasionally fatal anaphylactic reactions have been reported in patients on penicillin therapy. Serious anaphylactic reactions require immediate emergency treatment with supportive measures. ( 5.1)
  • Drug-induced enterocolitis syndrome (DIES) has been reported with amoxicillin use. If this occurs, discontinue Amoxicillin and institute appropriate therapy. ( 5.2)
  • Clostridium difficile-associated diarrhea (ranging from mild diarrhea to fatal colitis): Evaluate if diarrhea occurs. ( 5.3)
5.1 Anaphylactic Reactions

Serious and occasionally fatal hypersensitivity (anaphylactic) reactions have been reported in patients on penicillin therapy including amoxicillin. Although anaphylaxis is more frequent following parenteral therapy, it has occurred in patients on oral penicillins. These reactions are more likely to occur in individuals with a history of penicillin hypersensitivity and/or a history of sensitivity to multiple allergens. There have been reports of individuals with a history of penicillin hypersensitivity who have experienced severe reactions when treated with cephalosporins. Before initiating therapy with amoxicillin, careful inquiry should be made regarding previous hypersensitivity reactions to penicillins, cephalosporins, or other allergens. If an allergic reaction occurs, amoxicillin should be discontinued and appropriate therapy instituted. 

2 Dosage and Administration

  • In adults, 750-1750 mg/day in divided doses every 8 to 12 hours. In Pediatric Patients > 3 Months of Age, 20 to 45 mg/kg/day in divided doses every 8 to 12 hours. Refer to full prescribing information for specific dosing regimens. ( 2.1, 2.2, 2.3)
  • The upper dose for neonates and infants ≤ 3 months is 30 mg/kg/day divided every 12 hours. ( 2.2)
  • Dosing for H. pylori Infection: Triple therapy: 1 gram amoxicillin, 500 mg clarithromycin, and 30 mg lansoprazole, all given twice daily (every 12 hours) for 14 days. Dual therapy: 1 gram amoxicillin and 30 mg lansoprazole, each given three times daily (every 8 hours) for 14 days. ( 2.3)
  • Reduce the dose in patients with severe renal impairment (GFR <30 mL/min). ( 2.4)
3 Dosage Forms and Strengths

Amoxicillin capsules, USP: blue and pink capsule

250 mg, 500 mg. Each capsule of amoxicillin, with royal blue opaque cap and pink opaque body, contains 250 mg or 500 mg of amoxicillin as the trihydrate. The cap and body of the 250 mg capsule are imprinted with "AMOXIL ®" over "250"; the cap and body of the 500 mg capsule are imprinted with "AMOXIL ®" over "500".

Amoxicillin capsules, USP: white capsule

Each capsule of amoxicillin, with white opaque cap and body, contains 500 mg of amoxicillin as the trihydrate. The cap and body of the 500 mg capsule are imprinted with "AMOXIL ®" over "500".

Amoxicillin for oral suspension, USP:125 mg/5 mL, 250 mg/5 mL. Each 5 mL of reconstituted strawberry flavored suspension contains 125 mg of amoxicillin as the trihydrate. Each 5 mL of reconstituted bubble-gum flavored suspension contains 250 mg amoxicillin as the trihydrate.

5.3  Clostridium Difficile

Clostridium difficile-associated diarrhea (CDAD) has been reported with use of nearly all antibacterial agents, including amoxicillin, and may range in severity from mild diarrhea to fatal colitis. Treatment with antibacterial agents alters the normal flora of the colon leading to overgrowth of C. difficile.

C. difficileproduces toxins A and B which contribute to the development of CDAD. Hypertoxin-producing strains of C. difficilecause increased morbidity and mortality, as these infections can be refractory to antimicrobial therapy and may require colectomy. CDAD must be considered in all patients who present with diarrhea following antibacterial use. Careful medical history is necessary since CDAD has been reported to occur over 2 months after the administration of antibacterial agents.

If CDAD is suspected or confirmed, ongoing antibiotic use not directed against C. difficilemay need to be discontinued. Appropriate fluid and electrolyte management, protein supplementation, antibiotic treatment of C. difficile, and surgical evaluation should be instituted as clinically indicated.

8 Use in Specific Populations
  • Pediatric: Modify dose in patients 12 weeks or younger (≤ 3 months). ( 8.4)

2.4 Dosing in Renal Impairment

Patients with impaired renal function do not generally require a reduction in dose unless the impairment is severe.  

  • Severely impaired patients with a glomerular filtration rate of < 30 mL/min. should not receive a 875 mg dose.
  • Patients with a glomerular filtration rate of 10 to 30 mL/min should receive 500 mg or 250 mg every 12 hours, depending on the severity of the infection. 
  • Patients with a glomerular filtration rate less than 10 mL/min should receive 500 mg or 250 mg every 24 hours, depending on severity of the infection.
  • Hemodialysis patients should receive 500 mg or 250 mg every 24 hours, depending on severity of the infection. They should receive an additional dose both during and at the end of dialysis.

6.1 Clinical Trials Experience

Because clinical trials are conducted under widely varying conditions, adverse reaction rates observed in the clinical trials of a drug cannot be directly compared to rates in the clinical trials of another drug and may not reflect the rates observed in practice.



The most common adverse reactions (> 1%) observed in clinical trials of amoxicillin capsules, tablets or oral suspension were diarrhea, rash, vomiting, and nausea.



Triple therapy: The most frequently reported adverse events for patients who received triple therapy (amoxicillin/clarithromycin/lansoprazole) were diarrhea (7%), headache (6%), and taste perversion (5%).

Dual therapy:The most frequently reported adverse events for patients who received double therapy (amoxicillin/lansoprazole) were diarrhea (8%) and headache (7%). For more information on adverse reactions with clarithromycin or lansoprazole, refer to the Adverse Reactions section of their package inserts.

8.6 Dosing in Renal Impairment

Amoxicillin is primarily eliminated by the kidney and dosage adjustment is usually required in patients with severe renal impairment (GFR <30 mL/min). See Dosing in Renal Impairment ( 2.4) for specific recommendations in patients with renal impairment.

7.6 Effects On Laboratory Tests

High urine concentrations of ampicillin may result in false-positive reactions when testing for the presence of glucose in urine using CLINITEST ®, Benedict’s Solution, or Fehling’s Solution. Since this effect may also occur with amoxicillin, it is recommended that glucose tests based on enzymatic glucose oxidase reactions (such as CLINISTIX ®) be used.



Following administration of ampicillin or amoxicillin to pregnant women, a transient decrease in plasma concentration of total conjugated estriol, estriol-glucuronide, conjugated estrone, and estradiol has been noted.

17 Patient Counseling Information

    Information for Patients

  • Patients should be advised that amoxicillin may be taken every 8 hours or every 12 hours, depending on the dose prescribed.
  • Patients should be counseled that antibacterial drugs, including amoxicillin, should only be used to treat bacterial infections. They do not treat viral infections (e.g., the common cold). When amoxicillin is prescribed to treat a bacterial infection, patients should be told that although it is common to feel better early in the course of therapy, the medication should be taken exactly as directed. Skipping doses or not completing the full course of therapy may: (1) decrease the effectiveness of the immediate treatment and (2) increase the likelihood that bacteria will develop resistance and will not be treatable by amoxicillin or other antibacterial drugs in the future.
  • Patients should be counseled that diarrhea is a common problem caused by antibiotics, and it usually ends when the antibiotic is discontinued. Sometimes after starting treatment with antibiotics, patients can develop watery and bloody stools (with or without stomach cramps and fever) even as late as 2 or more months after having taken their last dose of the antibiotic. If this occurs, patients should contact their physician as soon as possible.
  • Patients should be aware that amoxicillin contains a penicillin class drug product that can cause allergic reactions in some individuals.

CLINITEST is a registered trademark of Miles, Inc.

CLINISTIX is a registered trademark of Bayer Corporation.

CLOtest is a registered trademark of Kimberly-Clark Corporation.



AMOXIL is a registered trademark of GlaxoSmithKline and is licensed to USAntibiotics, LLC.



Manufactured by:


USAntibiotics, LLC.

Bristol, TN 37620 (USA)

Revised 05/2024

16 How Supplied/storage and Handling

Amoxicillin Capsules, USP: Each capsule of amoxicillin, with royal blue opaque cap and pink opaque body, contains 250 mg or 500 mg amoxicillin as the trihydrate. The cap and body of the 250 mg capsule are imprinted with "AMOXIL ®" over "250"; the cap and body of the 500 mg capsule are imprinted with "AMOXIL ®" over "500".

250 mg Capsule

NDC 81964-225-01 Bottles of 100

NDC 81964-225-05 Bottles of 500

500 mg Capsule

NDC 81964-205-01 Bottles of 100

NDC 81964-205-05 Bottles of 500

NDC 81964-205-10 Bottles of 100 (with child resistant cap)

NDC 81964-205-60 Bottles of 60 (with child resistant cap)

Amoxicillin Capsules 500 mg, USP: Each capsule of amoxicillin, with white cap and body, contains 500 mg of amoxicillin as the trihydrate. The cap and body of the 500 mg capsule are imprinted with “AMOXIL ®” over “500”.

500 mg Capsule

NDC 81964-350-10 Bottles of 100 (with child resistant cap)

NDC 81964-350-60 Bottles of 60 (with child resistant cap)

NDC 81964-350-98 Container of 8.00 kg

Amoxicillin for Oral Suspension, USP: Each 5 mL of reconstituted strawberry flavored suspension contains 125 mg amoxicillin as the trihydrate. Each 5 mL of reconstituted bubble-gum flavored suspension contains 250 mg amoxicillin as the trihydrate.

125 mg/5 mL

NDC 81964-222-80 80 mL bottle

NDC 81964-222-52 100 mL bottle

NDC 81964-222-53 150 mL bottle

250 mg/5 mL

NDC 81964-209-80 80 mL bottle

NDC 81964-209-52 100 mL bottle

NDC 81964-209-53 150 mL bottle



Store at 20°C to 25°C (68°F to 77°F) [ See USP Controlled Room Temperature].

Dispense in a tight container as defined in the USP.



Keep this and all drugs out of the reach of children.

6.2 Postmarketing Or Other Experience

In addition to adverse events reported from clinical trials, the following events have been identified during postmarketing use of penicillins. Because they are reported voluntarily from a population of unknown size, estimates of frequency cannot be made. These events have been chosen for inclusion due to a combination of their seriousness, frequency of reporting, or potential causal connection to amoxicillin.

  • Infections and Infestations:Mucocutaneous candidiasis.
  • Gastrointestinal:Drug-induced enterocolitis syndrome (DIES), black hairy tongue, and hemorrhagic/pseudomembranous colitis.Onset of pseudomembranous colitis symptoms may occur during or after antibacterial treatment [see Warnings and Precautions ( 5.2)].
  • Hypersensitivity Reactions:Anaphylaxis [see Warnings and Precautions ( 5.1)] . Serum sickness-like reactions, erythematous maculopapular rashes, erythema multiforme, Stevens Johnson syndrome, exfoliative dermatitis, toxic epidermal necrolysis, acute generalized exanthematous pustulosis, linear IgA bullous dermatosis, hypersensitivity vasculitis, and urticaria have been reported.
  • Liver:A moderate rise in AST and/or ALT has been noted, but the significance of this finding is unknown. Hepatic dysfunction including cholestatic jaundice, hepatic cholestasis and acute cytolytic hepatitis have been reported.
  • Renal:Crystalluria has been reported [see Overdosage ( 10)] .
  • Hemic and Lymphatic Systems:Anemia, including hemolytic anemia, thrombocytopenia, thrombocytopenic purpura, eosinophilia, leukopenia, and agranulocytosis have been reported. These reactions are usually reversible on discontinuation of therapy and are believed to be hypersensitivity phenomena.
  • Central Nervous System:Reversible hyperactivity, agitation, anxiety, insomnia, confusion, convulsions, behavioral changes, and/or dizziness have been reported.
  • Miscellaneous:Tooth discoloration (brown, yellow, or gray staining) has been reported. Most reports occurred in pediatric patients. Discoloration was reduced or eliminated with brushing or dental cleaning in most cases.
Package Label.principal Display Panel

Amoxicillin Capsules USP 250 mg- 100 ct 

NDC 81964- 225-01

AMOXICILLIN

CAPSULES, USP

250 mg

Rx Only

100 Capsules

U

S

ANTIBIOTICS

5.5 Use in Patients With Mononucleosis

A high percentage of patients with mononucleosis who receive amoxicillin develop an erythematous skin rash. Thus, amoxicillin should not be administered to patients with mononucleosis.

2.5 Directions for Mixing Oral Suspension

Tap bottle until all powder flows freely. Add approximately 1/3 of the total amount of water for reconstitution (see Table 2) and shake vigorously to wet powder. Add remainder of the water and again shake vigorously.





Table 2. Amount of Water for Mixing Oral Suspension

 Strength Bottle Size Amount of Water

Required for Reconstitution

 Oral Suspension 125 mg/5 mL  80 mL  62 mL
 100 mL  78 mL
 150 mL  116 mL
 Oral Suspension 250 mg/5 mL  80 mL  59 mL
 100 mL  74 mL
 150 mL  111 mL

After reconstitution, the required amount of suspension should be placed directly on the child’s tongue for swallowing. Alternate means of administration are to add the required amount of suspension to formula, milk, fruit juice, water, ginger ale, or cold drinks. These preparations should then be taken immediately.



NOTE:SHAKE ORAL SUSPENSION WELL BEFORE USING. Keep bottle tightly closed. Any unused portion of the reconstituted suspension must be discarded after 14 days. Refrigeration is preferable, but not required.

1.2 Infections of the Genitourinary Tract:

Amoxicillin is indicated in the treatment of infections due to susceptible (ONLY β-lactamase–negative) isolates of Escherichia coli, Proteus mirabilis, or Enterococcus faecalis.

5.4 Development of Drug Resistant Bacteria

Prescribing amoxicillin in the absence of a proven or strongly suspected bacterial infection is unlikely to provide benefit to the patient and increases the risk of the development of drug-resistant bacteria.

1.1 Infections of the Ear, Nose, and Throat:

Amoxicillin is indicated in the treatment of infections due to susceptible (ONLY β-lactamase–negative) isolates of Streptococcusspecies (α‑ and β‑hemolytic isolates only), Streptococcus pneumoniae, Staphylococcusspp., or Haemophilus influenzae

1.3 Infections of the Skin and Skin Structure:

Amoxicillin is indicated in the treatment of infections due to susceptible (ONLY β-lactamase–negative) isolates of Streptococcusspp. (α‑ and β‑hemolytic isolates only), Staphylococcusspp., or E. coli.

1.4 Infections of the Lower Respiratory Tract:

Amoxicillin is indicated in the treatment of infections due to susceptible (ONLY β-lactamase–negative) isolates of Streptococcusspp. (α‑ and β‑hemolytic isolates only), S. pneumoniae, Staphylococcusspp., or H. influenzae.

5.2 Drug Induced Enterocolitis Syndrome (dies)

Drug-induced enterocolitis syndrome (DIES) has been reported with amoxicillin use [see Adverse Reactions (6.2)], with most cases occurring in pediatric patients <18 years of age. DIES is a non-IgE mediated hypersensitivity reaction characterized by protracted vomiting occurring 1 to 4 hours after drug ingestion in the absence of skin or respiratory symptoms. DIES may be associated with pallor, lethargy, hypotension, shock, diarrhea within 24 hours after ingesting amoxicillin, and leukocytosis with neutrophilia. If DIES occurs, discontinue Amoxicillin and institute appropriate therapy.

13.1 Carcinogenesis, Mutagenesis, Impairment of Fertility


Long‑term studies in animals have not been performed to evaluate carcinogenic potential. Studies to detect mutagenic potential of amoxicillin alone have not been conducted; however, the following information is available from tests on a 4:1 mixture of amoxicillin and potassium clavulanate (AUGMENTIN). Augmentin was non-mutagenic in the Ames bacterial mutation assay, and the yeast gene conversion assay. Augmentin was weakly positive in the mouse lymphoma assay, but the trend toward increased mutation frequencies in this assay occurred at doses that were also associated with decreased cell survival. Augmentin was negative in the mouse micronucleus test and in the dominant lethal assay in mice. Potassium clavulanate alone was tested in the Ames bacterial mutation assay and in the mouse micronucleus test, and was negative in each of these assays. In a multi‑generation reproduction study in rats, no impairment of fertility or other adverse reproductive effects were seen at doses up to 500 mg/kg (approximately 2 times the 3 g human dose based on body surface area).

2.1 Dosing for Adult and Pediatric Patients > 3 Months of Age

Treatment should be continued for a minimum of 48 to 72 hours beyond the time that the patient becomes asymptomatic, or evidence of bacterial eradication has been obtained.  It is recommended that there be at least 10 days' treatment for any infection caused by Streptococcus pyogenesto prevent the occurrence of acute rheumatic fever.  In some infections, therapy may be required for several weeks.  It may be necessary to continue clinical and/or bacteriological follow-up for several months after cessation of therapy.



Table 1. Dosing Recommendations for Adult and Pediatric Patients > 3 Months of Age

 Infection

 Severity a

 Usual Adult Dose

 Usual Dose for Children

  > 3 Months b

 Ear/Nose/Throat 

 Skin/Skin Structure 

 Genitourinary Tract 

 Mild/Moderate

 500 mg every 12 hour

or

 250 mg every 8 hours

 25 mg/kg/day in divided doses

 every 12 hours

 or

 20 mg/kg/day in divided doses 

every 8 hours

 Severe

 875 mg every 12 hours

or

 500 mg every 8 hours

 45 mg/kg/day in divided doses

 every 12 hours

 or

 40 mg/kg/day in divided doses

 every 8 hours

 Lower Respiratory 

 Tract 

 Mild/Moderate or 

 Severe

 875 mg every 12 hours

or

 500 mg every 8 hours

 45 mg/kg/day in divided doses

 every 12 hours

 or

 40 mg/kg/day in divided doses

 every 8 hours

aDosing for infections caused by bacteria that are intermediate in their susceptibility to amoxicillin should follow the recommendations for severe infections. 

bThe children's dosage is intended for individuals whose weight is less than 40 kg. Children weighing 40 kg or more should be dosed according to the adult recommendations.

2.2 Dosing in Neonates and Infants Aged ≤ 12 Weeks (≤ 3 Months)

Treatment should be continued for a minimum of 48 to 72 hours beyond the time that the patient becomes asymptomatic, or evidence of bacterial eradication has been obtained.  It is recommended that there be at least 10 days’ treatment for any infection caused by Streptococcus pyogenesto prevent the occurrence of acute rheumatic fever.  Due to incompletely developed renal function affecting elimination of amoxicillin in this age group, the recommended upper dose of amoxicillin is 30 mg/kg/day divided every 12 hours.  There are currently no dosing recommendations for pediatric patients with impaired renal function.


Structured Label Content

14.1 H.

Randomized, double-blind clinical studies performed in the United States in patients with H. pyloriand duodenal ulcer disease   (defined as an active ulcer or history of an ulcer within 1 year) evaluated the efficacy of lansoprazole in combination with amoxicillin capsules and clarithromycin tablets as triple 14‑day therapy, or in combination with amoxicillin capsules as dual 14‑day therapy, for the eradication of H. pylori. Based on the results of these studies, the safety and efficacy of 2 different eradication regimens were established:  Triple therapy:Amoxicillin 1 gram twice daily/clarithromycin 500 mg twice daily/lansoprazole 30 mg twice daily (see Table 6). Dual therapy:Amoxicillin 1 gram three times daily/lansoprazole 30 mg three times daily (see Table 7).  All treatments were for 14 days. H. pylorieradication was defined as 2 negative tests (culture and histology) at 4 to 6 weeks following the end of treatment.  Triple therapy was shown to be more effective than all possible dual therapy combinations. Dual therapy was shown to be more effective than both monotherapies. Eradication of H. pylorihas been shown to reduce the risk of duodenal ulcer recurrence.





Table 6. H. pyloriEradication Rates When Amoxicillin is Administered as Part of a Triple Therapy Regimen



 Study


Triple Therapy


Triple Therapy
Evaluable Analysis a

[95% Confidence Interval]


(number of patients)
Intent-to-Treat Analysis b

[95% Confidence Interval]


(number of patients)


 Study 1
92

[80.0 to 97.7]

(n = 48)
86

[73.3 to 93.5]

(n = 55)


 Study 2
86

[75.7 to 93.6]

(n = 66)
83

[72.0 to 90.8]

(n = 70)

a    This analysis was based on evaluable patients with confirmed duodenal ulcer (active or within 1 year) and H. pyloriinfection at baseline defined as at least 2 of 3 positive endoscopic tests from CLOtest ®, histology, and/or culture. Patients were included in the analysis if they completed the study. Additionally, if patients dropped out of the study due to an adverse event related to the study drug, they were included in the analysis as failures of therapy.

b    Patients were included in the analysis if they had documented H. pyloriinfection at baseline as defined above and had a confirmed duodenal ulcer (active or within 1 year). All dropouts were included as failures of therapy.



Table 7. H. pyloriEradication Rates When Amoxicillin is Administered as Part of a Dual Therapy Regimen 



 Study


Dual Therapy


Dual Therapy
Evaluable Analysis a

[95% Confidence Interval]


(number of patients)
Intent-to-Treat Analysis b

[95% Confidence Interval]


(number of patients)


 Study 1
77

[62.5 to 87.2]

(n = 51)
70

[56.8 to 81.2]

(n = 60)


 Study 2
66

[51.9 to 77.5]

(n = 58)
61

[48.5 to 72.9]

(n = 67)

a     This analysis was based on evaluable patients with confirmed duodenal ulcer (active or within 1 year) and H. pyloriinfection at baseline defined as at least 2 of 3 positive endoscopic tests from CLOtest ®, histology, and/or culture. Patients were included in the analysis if they completed the study. Additionally, if patients dropped out of the study due to an adverse event related to the study drug, they were included in the analysis as failures of therapy.



b     Patients were included in the analysis if they had documented H. pyloriinfection at baseline as defined above and had a confirmed duodenal ulcer (active or within 1 year). All dropouts were included as failures of therapy.

Section 43683-2 (43683-2)
 Warnings and Precautions,

Drug-Induced Enterocolitis Syndrome (DIES) (5.2)

 05/2024

1.6 Usage

To reduce the development of drug‑resistant bacteria and maintain the effectiveness of Amoxicillin and other antibacterial drugs, Amoxicillin should be used only to treat or prevent infections that are proven or strongly suspected to be caused by bacteria. When culture and susceptibility information are available, they should be considered in selecting or modifying antibacterial therapy. In the absence of such data, local epidemiology and susceptibility patterns may contribute to the empiric selection of therapy.

10 Overdosage (10 OVERDOSAGE)

In case of overdosage, discontinue medication, treat symptomatically, and institute supportive measures as required. A prospective study of 51 pediatric patients at a poison-control center suggested that overdosages of less than 250 mg/kg of amoxicillin are not associated with significant clinical symptoms.

Interstitial nephritis resulting in oliguric renal failure has been reported in a small number of patients after overdosage with amoxicillin 1.

Crystalluria, in some cases leading to renal failure, has also been reported after amoxicillin overdosage in adult and pediatric patients. In case of overdosage, adequate fluid intake and diuresis should be maintained to reduce the risk of amoxicillin crystalluria.

Renal impairment appears to be reversible with cessation of drug administration. High blood levels may occur more readily in patients with impaired renal function because of decreased renal clearance of amoxicillin. Amoxicillin may be removed from circulation by hemodialysis.

15 References (15 REFERENCES)


1.      Swanson-Biearman B, Dean BS, Lopez G, Krenzelok EP. The effects of penicillin and cephalosporin ingestions in children less than six years of age. Vet Hum Toxicol. 1988; 30: 66‑67.

8.1 Pregnancy

Teratogenic Effects: Pregnancy Category B. Reproduction studies have been performed in mice and rats at doses up to 2000 mg/kg (3 and 6 times the 3 g human dose, based on body surface area). There was no evidence of harm to the fetus due to amoxicillin. There are, however, no adequate and well‑controlled studies in pregnant women. Because animal reproduction studies are not always predictive of human response, amoxicillin should be used during pregnancy only if clearly needed.

11 Description (11 DESCRIPTION)

Amoxicillin, USP is a semisynthetic antibiotic, an analog of ampicillin, with a broad spectrum of bactericidal activity against many Gram‑positive and Gram‑negative microorganisms.

Chemically, it is (2 S,5 R,6 R)-6-[( R)-(-)-2-amino-2-( p-hydroxyphenyl)acetamido]-3,3-dimethyl-7-oxo-4-thia-1-azabicyclo[3.2.0]heptane-2-carboxylic acid trihydrate. It may be represented structurally as:

The amoxicillin molecular formula is C 16H 19N 3O 5S•3H 2O, and the molecular weight is 419.45.

Amoxicillin capsules, USP: blue and pink capsule

Each capsule of amoxicillin, with royal blue opaque cap and pink opaque body, contains 250 mg or 500 mg amoxicillin as the trihydrate. The cap and body of the 250 mg capsule are imprinted with "AMOXIL ®" over "250"; the cap and body of the 500 mg capsule are imprinted with "AMOXIL ®" over "500".

Inactive ingredients: D&C Red No. 28, FD&C Blue No. 1, FD&C Red No. 40, gelatin, magnesium stearate, and titanium dioxide.

Amoxicillin capsules, USP: white capsule

Each capsule of amoxicillin, with white opaque cap and body, contains 500 mg amoxicillin as the trihydrate. The cap and body of the cap and body of the 500 mg capsule are imprinted with "AMOXIL ®" over "500".

Inactive ingredients: gelatin, magnesium stearate, and titanium dioxide.

Amoxicillin for oral suspension, USP:

Each 5 mL of reconstituted suspension contains 125 mg or 250 mg of amoxicillin as the trihydrate. Each 5 mL of the 125 mg reconstituted suspension contains 0.11 mEq (2.51 mg) of sodium. Each 5 mL of the 250 mg reconstituted suspension contains 0.15 mEq (3.36 mg) of sodium.

Inactive ingredients: FD&C Red No. 3, flavorings, silica gel, sodium benzoate, sodium citrate, sucrose, and xanthan gum.

7.1 Probenecid

Probenecid decreases the renal tubular secretion of amoxicillin. Concurrent use of amoxicillin and probenecid may result in increased and prolonged blood levels of amoxicillin.

7.3 Allopurinol

The concurrent administration of allopurinol and amoxicillin increases the incidence of rashes in patients receiving both drugs as compared to patients receiving amoxicillin alone. It is not known whether this potentiation of amoxicillin rashes is due to allopurinol or the hyperuricemia present in these patients.

12.4 Microbiology

Mechanism of Action

Amoxicillin is similar to penicillin in its bactericidal action against susceptible bacteria during the stage of active multiplication.  It acts through the inhibition of cell wall biosynthesis that leads to the death of the bacteria.



Mechanism of Resistance

Resistance to amoxicillin is mediated primarily through enzymes called beta-lactamases that cleave the beta-lactam ring of amoxicillin, rendering it inactive.



Amoxicillin has been shown to be active against most isolates of the bacteria listed below, both in vitroand in clinical infections as described in the INDICATIONS AND USAGE section.



Gram-Positive Bacteria

Enterococcus faecalis

Staphylococcusspp.

Streptococcus pneumoniae

Streptococcusspp. (alpha and beta-hemolytic)

Gram-Negative Bacteria

Escherichia coli

Haemophilus influenzae

Helicobacter pylori

Proteus mirabilis



Susceptibility Test Methods

For specific information regarding susceptibility test interpretive criteria and associated test methods and quality control standards recognized by FDA for this drug, please see: https://www.fda.gov/STIC.

8.4 Pediatric Use

Because of incompletely developed renal function in neonates and young infants, the elimination of amoxicillin may be delayed. Dosing of amoxicillin should be modified in pediatric patients 12 weeks or younger (≤ 3 months). [See Dosage and Administration( 2.2).]

8.5 Geriatric Use

An analysis of clinical studies of amoxicillin was conducted to determine whether subjects aged 65 and over respond differently from younger subjects.  These analyses have not identified differences in responses between the elderly and younger patients, but a greater sensitivity of some older individuals cannot be ruled out.



This drug is known to be substantially excreted by the kidney, and the risk of toxic reactions to this drug may be greater in patients with impaired renal function. Because elderly patients are more likely to have decreased renal function, care should be taken in dose selection, and it may be useful to monitor renal function.

4 Contraindications (4 CONTRAINDICATIONS)

Amoxicillin is contraindicated in patients who have experienced a serious hypersensitivity reaction (e.g., anaphylaxis or Stevens-Johnson syndrome) to amoxicillin or to other β‑lactam antibiotics (e.g., penicillins and cephalosporins).

6 Adverse Reactions (6 ADVERSE REACTIONS)

The following are discussed in more detail in other sections of the labeling:

  • Anaphylactic reactions [see Warnings and Precautions ( 5.1)]
  • Drug-Induced Enterocolitis Syndrome (DIES) [see Warnings and Precautions ( 5.2)]
  • CDAD [see Warnings and Precautions ( 5.3)]
7 Drug Interactions (7 DRUG INTERACTIONS)
  • Probenicid decreases renal tubular secretion of amoxicillin which may result in increased blood levels of amoxicillin. ( 7.1)
  • Concomitant use of amoxicillin and oral anticoagulants may increase the prolongation of prothrombin time. ( 7.2)
  • Coadministration with allopurinol increases the risk of rash. ( 7.3)
  • Amoxicillin may reduce the efficacy of oral contraceptives. ( 7.4)
8.3 Nursing Mothers

Penicillins have been shown to be excreted in human milk. Amoxicillin use by nursing mothers may lead to sensitization of infants. Caution should be exercised when amoxicillin is administered to a nursing woman.

12.2 Pharmacokinetics

Absorption:Amoxicillin is stable in the presence of gastric acid and is rapidly absorbed after oral administration. The effect of food on the absorption of amoxicillin from the tablets and suspension of amoxicillin has been partially investigated; 400 mg and 875 mg formulations have been studied only when administered at the start of a light meal.



Orally administered doses of 250 mg and 500 mg amoxicillin capsules result in average peak blood levels 1 to 2 hours after administration in the range of 3.5 mcg/mL to 5.0 mcg/mL and 5.5 mcg/mL to 7.5 mcg/mL, respectively.



Mean amoxicillin pharmacokinetic parameters from an open, two‑part, single‑dose crossover bioequivalencestudy in 27 adults comparing 875 mg of AMOXICILLIN with 875 mg of AUGMENTIN ®(amoxicillin and clavulanate potassium) showed that the 875 mg tablet of Amoxicillin produces an AUC 0-∞of 35.4 ± 8.1 mcg•hr/mL and a C maxof 13.8 ± 4.1 mcg/mL. Dosing was at the start of a light meal following an overnight fast.



Orally administered doses of amoxicillin suspension, 125 mg/5 mL and 250 mg/5 mL, result in average peak blood levels 1 to 2 hours after administration in the range of 1.5 mcg/mL to 3.0 mcg/mL and 3.5 mcg/mL to 5.0 mcg/mL, respectively.



Oral administration of single doses of 400 mg chewable tablets and 400 mg/5 mL suspension of amoxicillin to 24 adult volunteers yielded comparable pharmacokinetic data:

Table 3: Mean Pharmacokinetic Parameters of Amoxicillin (400 mg chewable tablets and 400 mg/5 mL suspension) in Healthy Adults



Dose*


AUC 0-∞ (mcg•hr/mL)


Cmax (mcg/mL)


Amoxicillin


Amoxicillin (±S.D.)


Amoxicillin (±S.D.)


400 mg (5 mL of suspension)


17.1 (3.1)


5.92 (1.62)


400 mg (1 chewable tablet)


17.9 (2.4)


5.18 (1.64)

*Administered at the start of a light meal.

Mean values of 24 normal volunteers. Peak concentrations occurred approximately 1 hour after the dose.



Distribution: Amoxicillin diffuses readily into most body tissues and fluids, with the exception of brain and spinal fluid, except when meninges are inflamed. In blood serum, amoxicillin is approximately 20% protein‑bound. Following a 1 gram dose and utilizing a special skin window technique to determine levels of the antibiotic, it was noted that therapeutic levels were found in the interstitial fluid.



Metabolism and Excretion: The half-life of amoxicillin is 61.3 minutes. Approximately 60% of an orally administered dose of amoxicillin is excreted in the urine within 6 to 8 hours. Detectable serum levels are observed up to 8 hours after an orally administered dose of amoxicillin. Since most of the amoxicillin is excreted unchanged in the urine, its excretion can be delayed by concurrent administration of probenecid [see Drug Interactions ( 7.1) ].

8.2 Labor and Delivery

Oral ampicillin is poorly absorbed during labor. It is not known whether use of amoxicillin in humans during labor or delivery has immediate or delayed adverse effects on the fetus, prolongs the duration of labor, or increases the likelihood of the necessity for an obstetrical intervention.

1 Indications and Usage (1 INDICATIONS AND USAGE)

Amoxicillin is a penicillin-class antibacterial indicated for treatment of infections due to susceptible strains of designated microorganisms.

  • Infections of the ear, nose, throat, genitourinary tract, skin and skin structure, and lower respiratory tract. ( 1.1to 1.4)
  • In combination for treatment of H. pyloriinfection and duodenal ulcer disease. ( 1.5)

To reduce the development of drug-resistant bacteria and maintain the effectiveness of amoxicillin and other antibacterial drugs, amoxicillin should be used only to treat or prevent infections that are proven or strongly suspected to be caused by bacteria. ( 1.6)

1.5 Helicobacter Pylori (1.5 Helicobacter pylori)

Triple therapy for Helicobacter pyloriwith clarithromycin and lansoprazole:

Amoxicillin, in combination with clarithromycin plus lansoprazole as triple therapy, is indicated for the treatment of patients with H. pyloriinfection and duodenal ulcer disease (active or 1‑year history of a duodenal ulcer) to eradicate H. pylori. Eradication of H. pylorihas been shown to reduce the risk of duodenal ulcer recurrence.



Dual therapy for H. pyloriwith lansoprazole : Amoxicillin, in combination with lansoprazole delayed-release capsules as dual therapy, is indicated for the treatment of patients with H. pyloriinfection and duodenal ulcer disease (active or 1‑year history of a duodenal ulcer) who are either allergic or intolerant to clarithromycin or in whom resistance to clarithromycin is known or suspected. (See the clarithromycin package insert, MICROBIOLOGY.) Eradication of H. pylorihas been shown to reduce the risk of duodenal ulcer recurrence.

7.2 Oral Anticoagulants

Abnormal prolongation of prothrombin time (increased international normalized ratio [INR]) has been reported in patients receiving amoxicillin and oral anticoagulants.  Appropriate monitoring should be undertaken when anticoagulants are prescribed concurrently.  Adjustments in the dose of oral anticoagulants may be necessary to maintain the desired level of anticoagulation.

7.4 Oral Contraceptives

Amoxicillin may affect the gut flora, leading to lower estrogen reabsorption and reduced efficacy of combined oral estrogen/progesterone contraceptives.

12.1 Mechanism of Action

Amoxicillin is an antibacterial drug [see Microbiology ( 12.4)].

2.3 Dosing for H. Pylori (2.3 Dosing for H. pylori)

Triple therapy:The recommended adult oral dose is 1 gram amoxicillin, 500 mg clarithromycin, and 30 mg lansoprazole, all given twice daily (every 12 hours) for 14 days.

Dual therapy:The recommended adult oral dose is 1 gram amoxicillin and 30 mg lansoprazole, each given three times daily (every 8 hours) for 14 days.

Please refer to clarithromycin and lansoprazole full prescribing information.

7.5 Other Antibacterials

Chloramphenicol, macrolides, sulfonamides, and tetracyclines may interfere with the bactericidal effects of penicillin.  This has been demonstrated in vitro; however, the clinical significance of this interaction is not well documented.

5 Warnings and Precautions (5 WARNINGS AND PRECAUTIONS)
  • Anaphylactic reactions: Serious and occasionally fatal anaphylactic reactions have been reported in patients on penicillin therapy. Serious anaphylactic reactions require immediate emergency treatment with supportive measures. ( 5.1)
  • Drug-induced enterocolitis syndrome (DIES) has been reported with amoxicillin use. If this occurs, discontinue Amoxicillin and institute appropriate therapy. ( 5.2)
  • Clostridium difficile-associated diarrhea (ranging from mild diarrhea to fatal colitis): Evaluate if diarrhea occurs. ( 5.3)
5.1 Anaphylactic Reactions

Serious and occasionally fatal hypersensitivity (anaphylactic) reactions have been reported in patients on penicillin therapy including amoxicillin. Although anaphylaxis is more frequent following parenteral therapy, it has occurred in patients on oral penicillins. These reactions are more likely to occur in individuals with a history of penicillin hypersensitivity and/or a history of sensitivity to multiple allergens. There have been reports of individuals with a history of penicillin hypersensitivity who have experienced severe reactions when treated with cephalosporins. Before initiating therapy with amoxicillin, careful inquiry should be made regarding previous hypersensitivity reactions to penicillins, cephalosporins, or other allergens. If an allergic reaction occurs, amoxicillin should be discontinued and appropriate therapy instituted. 

2 Dosage and Administration (2 DOSAGE AND ADMINISTRATION)

  • In adults, 750-1750 mg/day in divided doses every 8 to 12 hours. In Pediatric Patients > 3 Months of Age, 20 to 45 mg/kg/day in divided doses every 8 to 12 hours. Refer to full prescribing information for specific dosing regimens. ( 2.1, 2.2, 2.3)
  • The upper dose for neonates and infants ≤ 3 months is 30 mg/kg/day divided every 12 hours. ( 2.2)
  • Dosing for H. pylori Infection: Triple therapy: 1 gram amoxicillin, 500 mg clarithromycin, and 30 mg lansoprazole, all given twice daily (every 12 hours) for 14 days. Dual therapy: 1 gram amoxicillin and 30 mg lansoprazole, each given three times daily (every 8 hours) for 14 days. ( 2.3)
  • Reduce the dose in patients with severe renal impairment (GFR <30 mL/min). ( 2.4)
3 Dosage Forms and Strengths (3 DOSAGE FORMS AND STRENGTHS)

Amoxicillin capsules, USP: blue and pink capsule

250 mg, 500 mg. Each capsule of amoxicillin, with royal blue opaque cap and pink opaque body, contains 250 mg or 500 mg of amoxicillin as the trihydrate. The cap and body of the 250 mg capsule are imprinted with "AMOXIL ®" over "250"; the cap and body of the 500 mg capsule are imprinted with "AMOXIL ®" over "500".

Amoxicillin capsules, USP: white capsule

Each capsule of amoxicillin, with white opaque cap and body, contains 500 mg of amoxicillin as the trihydrate. The cap and body of the 500 mg capsule are imprinted with "AMOXIL ®" over "500".

Amoxicillin for oral suspension, USP:125 mg/5 mL, 250 mg/5 mL. Each 5 mL of reconstituted strawberry flavored suspension contains 125 mg of amoxicillin as the trihydrate. Each 5 mL of reconstituted bubble-gum flavored suspension contains 250 mg amoxicillin as the trihydrate.

5.3  Clostridium Difficile (5.3  Clostridium difficile-)

Clostridium difficile-associated diarrhea (CDAD) has been reported with use of nearly all antibacterial agents, including amoxicillin, and may range in severity from mild diarrhea to fatal colitis. Treatment with antibacterial agents alters the normal flora of the colon leading to overgrowth of C. difficile.

C. difficileproduces toxins A and B which contribute to the development of CDAD. Hypertoxin-producing strains of C. difficilecause increased morbidity and mortality, as these infections can be refractory to antimicrobial therapy and may require colectomy. CDAD must be considered in all patients who present with diarrhea following antibacterial use. Careful medical history is necessary since CDAD has been reported to occur over 2 months after the administration of antibacterial agents.

If CDAD is suspected or confirmed, ongoing antibiotic use not directed against C. difficilemay need to be discontinued. Appropriate fluid and electrolyte management, protein supplementation, antibiotic treatment of C. difficile, and surgical evaluation should be instituted as clinically indicated.

8 Use in Specific Populations (8 USE IN SPECIFIC POPULATIONS)
  • Pediatric: Modify dose in patients 12 weeks or younger (≤ 3 months). ( 8.4)

2.4 Dosing in Renal Impairment

Patients with impaired renal function do not generally require a reduction in dose unless the impairment is severe.  

  • Severely impaired patients with a glomerular filtration rate of < 30 mL/min. should not receive a 875 mg dose.
  • Patients with a glomerular filtration rate of 10 to 30 mL/min should receive 500 mg or 250 mg every 12 hours, depending on the severity of the infection. 
  • Patients with a glomerular filtration rate less than 10 mL/min should receive 500 mg or 250 mg every 24 hours, depending on severity of the infection.
  • Hemodialysis patients should receive 500 mg or 250 mg every 24 hours, depending on severity of the infection. They should receive an additional dose both during and at the end of dialysis.

6.1 Clinical Trials Experience

Because clinical trials are conducted under widely varying conditions, adverse reaction rates observed in the clinical trials of a drug cannot be directly compared to rates in the clinical trials of another drug and may not reflect the rates observed in practice.



The most common adverse reactions (> 1%) observed in clinical trials of amoxicillin capsules, tablets or oral suspension were diarrhea, rash, vomiting, and nausea.



Triple therapy: The most frequently reported adverse events for patients who received triple therapy (amoxicillin/clarithromycin/lansoprazole) were diarrhea (7%), headache (6%), and taste perversion (5%).

Dual therapy:The most frequently reported adverse events for patients who received double therapy (amoxicillin/lansoprazole) were diarrhea (8%) and headache (7%). For more information on adverse reactions with clarithromycin or lansoprazole, refer to the Adverse Reactions section of their package inserts.

8.6 Dosing in Renal Impairment

Amoxicillin is primarily eliminated by the kidney and dosage adjustment is usually required in patients with severe renal impairment (GFR <30 mL/min). See Dosing in Renal Impairment ( 2.4) for specific recommendations in patients with renal impairment.

7.6 Effects On Laboratory Tests (7.6 Effects on Laboratory Tests)

High urine concentrations of ampicillin may result in false-positive reactions when testing for the presence of glucose in urine using CLINITEST ®, Benedict’s Solution, or Fehling’s Solution. Since this effect may also occur with amoxicillin, it is recommended that glucose tests based on enzymatic glucose oxidase reactions (such as CLINISTIX ®) be used.



Following administration of ampicillin or amoxicillin to pregnant women, a transient decrease in plasma concentration of total conjugated estriol, estriol-glucuronide, conjugated estrone, and estradiol has been noted.

17 Patient Counseling Information (17 PATIENT COUNSELING INFORMATION)

    Information for Patients

  • Patients should be advised that amoxicillin may be taken every 8 hours or every 12 hours, depending on the dose prescribed.
  • Patients should be counseled that antibacterial drugs, including amoxicillin, should only be used to treat bacterial infections. They do not treat viral infections (e.g., the common cold). When amoxicillin is prescribed to treat a bacterial infection, patients should be told that although it is common to feel better early in the course of therapy, the medication should be taken exactly as directed. Skipping doses or not completing the full course of therapy may: (1) decrease the effectiveness of the immediate treatment and (2) increase the likelihood that bacteria will develop resistance and will not be treatable by amoxicillin or other antibacterial drugs in the future.
  • Patients should be counseled that diarrhea is a common problem caused by antibiotics, and it usually ends when the antibiotic is discontinued. Sometimes after starting treatment with antibiotics, patients can develop watery and bloody stools (with or without stomach cramps and fever) even as late as 2 or more months after having taken their last dose of the antibiotic. If this occurs, patients should contact their physician as soon as possible.
  • Patients should be aware that amoxicillin contains a penicillin class drug product that can cause allergic reactions in some individuals.

CLINITEST is a registered trademark of Miles, Inc.

CLINISTIX is a registered trademark of Bayer Corporation.

CLOtest is a registered trademark of Kimberly-Clark Corporation.



AMOXIL is a registered trademark of GlaxoSmithKline and is licensed to USAntibiotics, LLC.



Manufactured by:


USAntibiotics, LLC.

Bristol, TN 37620 (USA)

Revised 05/2024

16 How Supplied/storage and Handling (16 HOW SUPPLIED/STORAGE AND HANDLING)

Amoxicillin Capsules, USP: Each capsule of amoxicillin, with royal blue opaque cap and pink opaque body, contains 250 mg or 500 mg amoxicillin as the trihydrate. The cap and body of the 250 mg capsule are imprinted with "AMOXIL ®" over "250"; the cap and body of the 500 mg capsule are imprinted with "AMOXIL ®" over "500".

250 mg Capsule

NDC 81964-225-01 Bottles of 100

NDC 81964-225-05 Bottles of 500

500 mg Capsule

NDC 81964-205-01 Bottles of 100

NDC 81964-205-05 Bottles of 500

NDC 81964-205-10 Bottles of 100 (with child resistant cap)

NDC 81964-205-60 Bottles of 60 (with child resistant cap)

Amoxicillin Capsules 500 mg, USP: Each capsule of amoxicillin, with white cap and body, contains 500 mg of amoxicillin as the trihydrate. The cap and body of the 500 mg capsule are imprinted with “AMOXIL ®” over “500”.

500 mg Capsule

NDC 81964-350-10 Bottles of 100 (with child resistant cap)

NDC 81964-350-60 Bottles of 60 (with child resistant cap)

NDC 81964-350-98 Container of 8.00 kg

Amoxicillin for Oral Suspension, USP: Each 5 mL of reconstituted strawberry flavored suspension contains 125 mg amoxicillin as the trihydrate. Each 5 mL of reconstituted bubble-gum flavored suspension contains 250 mg amoxicillin as the trihydrate.

125 mg/5 mL

NDC 81964-222-80 80 mL bottle

NDC 81964-222-52 100 mL bottle

NDC 81964-222-53 150 mL bottle

250 mg/5 mL

NDC 81964-209-80 80 mL bottle

NDC 81964-209-52 100 mL bottle

NDC 81964-209-53 150 mL bottle



Store at 20°C to 25°C (68°F to 77°F) [ See USP Controlled Room Temperature].

Dispense in a tight container as defined in the USP.



Keep this and all drugs out of the reach of children.

6.2 Postmarketing Or Other Experience (6.2 Postmarketing or Other Experience)

In addition to adverse events reported from clinical trials, the following events have been identified during postmarketing use of penicillins. Because they are reported voluntarily from a population of unknown size, estimates of frequency cannot be made. These events have been chosen for inclusion due to a combination of their seriousness, frequency of reporting, or potential causal connection to amoxicillin.

  • Infections and Infestations:Mucocutaneous candidiasis.
  • Gastrointestinal:Drug-induced enterocolitis syndrome (DIES), black hairy tongue, and hemorrhagic/pseudomembranous colitis.Onset of pseudomembranous colitis symptoms may occur during or after antibacterial treatment [see Warnings and Precautions ( 5.2)].
  • Hypersensitivity Reactions:Anaphylaxis [see Warnings and Precautions ( 5.1)] . Serum sickness-like reactions, erythematous maculopapular rashes, erythema multiforme, Stevens Johnson syndrome, exfoliative dermatitis, toxic epidermal necrolysis, acute generalized exanthematous pustulosis, linear IgA bullous dermatosis, hypersensitivity vasculitis, and urticaria have been reported.
  • Liver:A moderate rise in AST and/or ALT has been noted, but the significance of this finding is unknown. Hepatic dysfunction including cholestatic jaundice, hepatic cholestasis and acute cytolytic hepatitis have been reported.
  • Renal:Crystalluria has been reported [see Overdosage ( 10)] .
  • Hemic and Lymphatic Systems:Anemia, including hemolytic anemia, thrombocytopenia, thrombocytopenic purpura, eosinophilia, leukopenia, and agranulocytosis have been reported. These reactions are usually reversible on discontinuation of therapy and are believed to be hypersensitivity phenomena.
  • Central Nervous System:Reversible hyperactivity, agitation, anxiety, insomnia, confusion, convulsions, behavioral changes, and/or dizziness have been reported.
  • Miscellaneous:Tooth discoloration (brown, yellow, or gray staining) has been reported. Most reports occurred in pediatric patients. Discoloration was reduced or eliminated with brushing or dental cleaning in most cases.
Package Label.principal Display Panel (PACKAGE LABEL.PRINCIPAL DISPLAY PANEL)

Amoxicillin Capsules USP 250 mg- 100 ct 

NDC 81964- 225-01

AMOXICILLIN

CAPSULES, USP

250 mg

Rx Only

100 Capsules

U

S

ANTIBIOTICS

5.5 Use in Patients With Mononucleosis

A high percentage of patients with mononucleosis who receive amoxicillin develop an erythematous skin rash. Thus, amoxicillin should not be administered to patients with mononucleosis.

2.5 Directions for Mixing Oral Suspension

Tap bottle until all powder flows freely. Add approximately 1/3 of the total amount of water for reconstitution (see Table 2) and shake vigorously to wet powder. Add remainder of the water and again shake vigorously.





Table 2. Amount of Water for Mixing Oral Suspension

 Strength Bottle Size Amount of Water

Required for Reconstitution

 Oral Suspension 125 mg/5 mL  80 mL  62 mL
 100 mL  78 mL
 150 mL  116 mL
 Oral Suspension 250 mg/5 mL  80 mL  59 mL
 100 mL  74 mL
 150 mL  111 mL

After reconstitution, the required amount of suspension should be placed directly on the child’s tongue for swallowing. Alternate means of administration are to add the required amount of suspension to formula, milk, fruit juice, water, ginger ale, or cold drinks. These preparations should then be taken immediately.



NOTE:SHAKE ORAL SUSPENSION WELL BEFORE USING. Keep bottle tightly closed. Any unused portion of the reconstituted suspension must be discarded after 14 days. Refrigeration is preferable, but not required.

1.2 Infections of the Genitourinary Tract:

Amoxicillin is indicated in the treatment of infections due to susceptible (ONLY β-lactamase–negative) isolates of Escherichia coli, Proteus mirabilis, or Enterococcus faecalis.

5.4 Development of Drug Resistant Bacteria (5.4 Development of Drug-Resistant Bacteria)

Prescribing amoxicillin in the absence of a proven or strongly suspected bacterial infection is unlikely to provide benefit to the patient and increases the risk of the development of drug-resistant bacteria.

1.1 Infections of the Ear, Nose, and Throat:

Amoxicillin is indicated in the treatment of infections due to susceptible (ONLY β-lactamase–negative) isolates of Streptococcusspecies (α‑ and β‑hemolytic isolates only), Streptococcus pneumoniae, Staphylococcusspp., or Haemophilus influenzae

1.3 Infections of the Skin and Skin Structure:

Amoxicillin is indicated in the treatment of infections due to susceptible (ONLY β-lactamase–negative) isolates of Streptococcusspp. (α‑ and β‑hemolytic isolates only), Staphylococcusspp., or E. coli.

1.4 Infections of the Lower Respiratory Tract:

Amoxicillin is indicated in the treatment of infections due to susceptible (ONLY β-lactamase–negative) isolates of Streptococcusspp. (α‑ and β‑hemolytic isolates only), S. pneumoniae, Staphylococcusspp., or H. influenzae.

5.2 Drug Induced Enterocolitis Syndrome (dies) (5.2 Drug-Induced Enterocolitis Syndrome (DIES))

Drug-induced enterocolitis syndrome (DIES) has been reported with amoxicillin use [see Adverse Reactions (6.2)], with most cases occurring in pediatric patients <18 years of age. DIES is a non-IgE mediated hypersensitivity reaction characterized by protracted vomiting occurring 1 to 4 hours after drug ingestion in the absence of skin or respiratory symptoms. DIES may be associated with pallor, lethargy, hypotension, shock, diarrhea within 24 hours after ingesting amoxicillin, and leukocytosis with neutrophilia. If DIES occurs, discontinue Amoxicillin and institute appropriate therapy.

13.1 Carcinogenesis, Mutagenesis, Impairment of Fertility


Long‑term studies in animals have not been performed to evaluate carcinogenic potential. Studies to detect mutagenic potential of amoxicillin alone have not been conducted; however, the following information is available from tests on a 4:1 mixture of amoxicillin and potassium clavulanate (AUGMENTIN). Augmentin was non-mutagenic in the Ames bacterial mutation assay, and the yeast gene conversion assay. Augmentin was weakly positive in the mouse lymphoma assay, but the trend toward increased mutation frequencies in this assay occurred at doses that were also associated with decreased cell survival. Augmentin was negative in the mouse micronucleus test and in the dominant lethal assay in mice. Potassium clavulanate alone was tested in the Ames bacterial mutation assay and in the mouse micronucleus test, and was negative in each of these assays. In a multi‑generation reproduction study in rats, no impairment of fertility or other adverse reproductive effects were seen at doses up to 500 mg/kg (approximately 2 times the 3 g human dose based on body surface area).

2.1 Dosing for Adult and Pediatric Patients > 3 Months of Age

Treatment should be continued for a minimum of 48 to 72 hours beyond the time that the patient becomes asymptomatic, or evidence of bacterial eradication has been obtained.  It is recommended that there be at least 10 days' treatment for any infection caused by Streptococcus pyogenesto prevent the occurrence of acute rheumatic fever.  In some infections, therapy may be required for several weeks.  It may be necessary to continue clinical and/or bacteriological follow-up for several months after cessation of therapy.



Table 1. Dosing Recommendations for Adult and Pediatric Patients > 3 Months of Age

 Infection

 Severity a

 Usual Adult Dose

 Usual Dose for Children

  > 3 Months b

 Ear/Nose/Throat 

 Skin/Skin Structure 

 Genitourinary Tract 

 Mild/Moderate

 500 mg every 12 hour

or

 250 mg every 8 hours

 25 mg/kg/day in divided doses

 every 12 hours

 or

 20 mg/kg/day in divided doses 

every 8 hours

 Severe

 875 mg every 12 hours

or

 500 mg every 8 hours

 45 mg/kg/day in divided doses

 every 12 hours

 or

 40 mg/kg/day in divided doses

 every 8 hours

 Lower Respiratory 

 Tract 

 Mild/Moderate or 

 Severe

 875 mg every 12 hours

or

 500 mg every 8 hours

 45 mg/kg/day in divided doses

 every 12 hours

 or

 40 mg/kg/day in divided doses

 every 8 hours

aDosing for infections caused by bacteria that are intermediate in their susceptibility to amoxicillin should follow the recommendations for severe infections. 

bThe children's dosage is intended for individuals whose weight is less than 40 kg. Children weighing 40 kg or more should be dosed according to the adult recommendations.

2.2 Dosing in Neonates and Infants Aged ≤ 12 Weeks (≤ 3 Months)

Treatment should be continued for a minimum of 48 to 72 hours beyond the time that the patient becomes asymptomatic, or evidence of bacterial eradication has been obtained.  It is recommended that there be at least 10 days’ treatment for any infection caused by Streptococcus pyogenesto prevent the occurrence of acute rheumatic fever.  Due to incompletely developed renal function affecting elimination of amoxicillin in this age group, the recommended upper dose of amoxicillin is 30 mg/kg/day divided every 12 hours.  There are currently no dosing recommendations for pediatric patients with impaired renal function.


Advanced Ingredient Data


Raw Label Data

All Sections (JSON)