Methazolamide Tablets Usp

Methazolamide Tablets Usp
SPL v4
SPL
SPL Set ID 0c0ba5c7-c53e-4e29-a7ff-48fddc5a9258
Route
ORAL
Published
Effective Date 2022-03-31
Document Type 34391-3 HUMAN PRESCRIPTION DRUG LABEL

Drug Facts

Composition & Product

Active Ingredients
Methazolamide (25 mg)
Inactive Ingredients
Croscarmellose Sodium Dibasic Calcium Phosphate Dihydrate Magnesium Stearate Microcrystalline Cellulose Silicon Dioxide

Identifiers & Packaging

Pill Appearance
Imprint: 50 Shape: round Color: white Size: 6 mm Size: 7 mm Score: 2
Marketing Status
ANDA Active Since 2020-10-02

Description

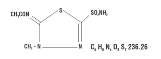
Methazolamide USP, a sulfonamide derivative, is a white or faintly yellow, crystalline powder having a slight odor, soluble in dimethylformamide, slightly soluble in acetone, very slightly soluble in water and in alcohol. The chemical name for methazolamide is: N-[5-(aminosulfonyl)-3-methyl-1,3,4-thiadiazol-2(3H)-ylidene]-acetamide and it has the following structural formula: Each tablet, for oral administration, contains 25 mg or 50 mg methazolamide USP. In addition, each tablet contains the following inactive ingredients: colloidal silicon dioxide, croscarmellose sodium, dibasic calcium phosphate dihydrate, magnesium stearate, and microcrystalline cellulose.

Indications and Usage

Methazolamide tablets are indicated in the treatment of ocular conditions where lowering intraocular pressure is likely to be of therapeutic benefit, such as chronic open-angle glaucoma, secondary glaucoma, and preoperatively in acute angle-closure glaucoma where lowering the intraocular pressure is desired before surgery.

Dosage and Administration

The effective therapeutic dose administered varies from 50 mg to 100 mg two or three times daily. The drug may be used concomitantly with miotic and osmotic agents.

Contraindications

Methazolamide tablets therapy is contraindicated in situations in which sodium and/or potassium serum levels are depressed, in cases of marked kidney or liver disease or dysfunction, in adrenal gland failure, and in hyperchloremic acidosis. In patients with cirrhosis, use may precipitate the development of hepatic encephalopathy. Long-term administration of methazolamide is contraindicated in patients with angle-closure glaucoma, since organic closure of the angle may occur in spite of lowered intraocular pressure.

Adverse Reactions

Adverse reactions, occurring most often early in therapy, include paresthesias, particularly a “tingling” feeling in the extremities; hearing dysfunction or tinnitus; fatigue; malaise; loss of appetite; taste alteration; gastrointestinal disturbances such as nausea, vomiting, and diarrhea; polyuria; and occasional instances of drowsiness and confusion. Metabolic acidosis and electrolyte imbalance may occur. Transient myopia has been reported. This condition invariably subsides upon diminution or discontinuance of the medication. Other occasional adverse reactions include urticaria, melena, hematuria, glycosuria, hepatic insufficiency, flaccid paralysis, photosensitivity, convulsions, and, rarely, crystalluria and renal calculi. Also see PRECAUTIONS: Information for patients for possible reactions common to sulfonamide derivatives. Fatalities have occurred, although rarely, due to severe reactions to sulfonamides including Stevens-Johnson syndrome, toxic epidermal necrolysis, fulminant hepatic necrosis, agranulocytosis, aplastic anemia, and other blood dyscrasias (see WARNINGS ). To report SUSPECTED ADVERSE REACTIONS, contact Bausch & Lomb Incorporated at 1-800-553-5340 or FDA at 1-800-FDA-1088 or www.fda.gov/medwatch.

Drug Interactions

Methazolamide should be used with caution in patients on steroid therapy because of the potential for developing hypokalemia. Caution is advised for patients receiving high-dose aspirin and methazolamide concomitantly, as anorexia, tachypnea, lethargy, coma and death have been reported with concomitant use of high-dose aspirin and carbonic anhydrase inhibitors (see WARNINGS ).

How Supplied

Methazolamide Tablets USP 25 mg: White to off-white, circular, biconvex, uncoated tablet, debossed with “25” on one side and plain on the other side. Bottles of 90                                               NDC 24208-022-90 Bottles of 100                                             NDC 24208-022-10 Bottles of 500                                             NDC 24208-022-50 Bottles of 1,000                                          NDC 24208-022-01 Methazolamide Tablets USP 50 mg: White to off-white, circular, biconvex, uncoated tablet, debossed with “50” on one side and score line on the other side. Bottles of 90                         �                     NDC 24208-023-90 Bottles of 100                                             NDC 24208-023-10 Bottles of 500                                             NDC 24208-023-50 Bottles of 1,000                                          NDC 24208-023-01 Store at 20°C to 25°C (68°F to 77°F); excursions permitted to 15°C to 30°C (59°F to 86°F) [see USP Controlled Room Temperature]. Dispense in a tight container as defined in the USP, with a child-resistant closure (as required). Distributed by: Bausch & Lomb Americas Inc. Bridgewater, NJ 08807 USA Manufactured by: Micro Labs Limited Goa-403 722, India © 2022 Bausch & Lomb Incorporated or its affiliates Rev. 03/2022 9774900


Medication Information

Indications and Usage

Methazolamide tablets are indicated in the treatment of ocular conditions where lowering intraocular pressure is likely to be of therapeutic benefit, such as chronic open-angle glaucoma, secondary glaucoma, and preoperatively in acute angle-closure glaucoma where lowering the intraocular pressure is desired before surgery.

Dosage and Administration

The effective therapeutic dose administered varies from 50 mg to 100 mg two or three times daily. The drug may be used concomitantly with miotic and osmotic agents.

Contraindications

Methazolamide tablets therapy is contraindicated in situations in which sodium and/or potassium serum levels are depressed, in cases of marked kidney or liver disease or dysfunction, in adrenal gland failure, and in hyperchloremic acidosis. In patients with cirrhosis, use may precipitate the development of hepatic encephalopathy.

Long-term administration of methazolamide is contraindicated in patients with angle-closure glaucoma, since organic closure of the angle may occur in spite of lowered intraocular pressure.

Adverse Reactions

Adverse reactions, occurring most often early in therapy, include paresthesias, particularly a “tingling” feeling in the extremities; hearing dysfunction or tinnitus; fatigue; malaise; loss of appetite; taste alteration; gastrointestinal disturbances such as nausea, vomiting, and diarrhea; polyuria; and occasional instances of drowsiness and confusion.

Metabolic acidosis and electrolyte imbalance may occur.

Transient myopia has been reported. This condition invariably subsides upon diminution or discontinuance of the medication.

Other occasional adverse reactions include urticaria, melena, hematuria, glycosuria, hepatic insufficiency, flaccid paralysis, photosensitivity, convulsions, and, rarely, crystalluria and renal calculi. Also see PRECAUTIONS: Information for patients for possible reactions common to sulfonamide derivatives. Fatalities have occurred, although rarely, due to severe reactions to sulfonamides including Stevens-Johnson syndrome, toxic epidermal necrolysis, fulminant hepatic necrosis, agranulocytosis, aplastic anemia, and other blood dyscrasias (see WARNINGS ).

To report SUSPECTED ADVERSE REACTIONS, contact Bausch & Lomb Incorporated at 1-800-553-5340 or FDA at 1-800-FDA-1088 or www.fda.gov/medwatch.

Drug Interactions

Methazolamide should be used with caution in patients on steroid therapy because of the potential for developing hypokalemia.

Caution is advised for patients receiving high-dose aspirin and methazolamide concomitantly, as anorexia, tachypnea, lethargy, coma and death have been reported with concomitant use of high-dose aspirin and carbonic anhydrase inhibitors (see WARNINGS ).

How Supplied

Methazolamide Tablets USP 25 mg: White to off-white, circular, biconvex, uncoated tablet, debossed with “25” on one side and plain on the other side.

Bottles of 90                                               NDC 24208-022-90

Bottles of 100                                             NDC 24208-022-10

Bottles of 500                                             NDC 24208-022-50

Bottles of 1,000                                          NDC 24208-022-01



Methazolamide Tablets USP 50 mg: White to off-white, circular, biconvex, uncoated tablet, debossed with “50” on one side and score line on the other side.

Bottles of 90                         �                     NDC 24208-023-90

Bottles of 100                                             NDC 24208-023-10

Bottles of 500                                             NDC 24208-023-50

Bottles of 1,000                                          NDC 24208-023-01



Store at 20°C to 25°C (68°F to 77°F); excursions permitted to 15°C to 30°C (59°F to 86°F) [see USP Controlled Room Temperature].

Dispense in a tight container as defined in the USP, with a child-resistant closure (as required).

Distributed by:

Bausch & Lomb Americas Inc.

Bridgewater, NJ 08807 USA



Manufactured by:

Micro Labs Limited

Goa-403 722, India



© 2022 Bausch & Lomb Incorporated or its affiliates

Rev. 03/2022

9774900

Description

Methazolamide USP, a sulfonamide derivative, is a white or faintly yellow, crystalline powder having a slight odor, soluble in dimethylformamide, slightly soluble in acetone, very slightly soluble in water and in alcohol. The chemical name for methazolamide is: N-[5-(aminosulfonyl)-3-methyl-1,3,4-thiadiazol-2(3H)-ylidene]-acetamide and it has the following structural formula:

Each tablet, for oral administration, contains 25 mg or 50 mg methazolamide USP. In addition, each tablet contains the following inactive ingredients: colloidal silicon dioxide, croscarmellose sodium, dibasic calcium phosphate dihydrate, magnesium stearate, and microcrystalline cellulose.

General

Potassium excretion is increased initially upon administration of methazolamide and in patients with cirrhosis or hepatic insufficiency could precipitate a hepatic coma.

In patients with pulmonary obstruction or emphysema, where alveolar ventilation may be impaired, methazolamide should be used with caution because it may precipitate or aggravate acidosis.

Warnings

Fatalities have occurred, although rarely, due to severe reactions to sulfonamides including Stevens-Johnson syndrome, toxic epidermal necrolysis, fulminant hepatic necrosis, agranulocytosis, aplastic anemia, and other blood dyscrasias. Hypersensitivity reactions may recur when a sulfonamide is readministered, irrespective of the route of administration.

If hypersensitivity or other serious reactions occur, the use of this drug should be discontinued.

Caution is advised for patients receiving high-dose aspirin and methazolamide concomitantly, as anorexia, tachypnea, lethargy, coma, and death have been reported with concomitant use of high-dose aspirin and carbonic anhydrase inhibitors.

Pregnancy

Teratogenic effects

Methazolamide has been shown to be teratogenic (skeletal anomalies) in rats when given in doses approximately 40 times the human dose. There are no adequate and well controlled studies in pregnant women. Methazolamide should be used during pregnancy only if the potential benefit justifies the potential risk to the fetus.

Overdosage

No data are available regarding methazolamide overdosage in humans as no cases of acute poisoning with this drug have been reported. Animal data suggest that even a high dose of methazolamide is nontoxic. No specific antidote is known. Treatment should be symptomatic and supportive.

Electrolyte imbalance, development of an acidotic state, and central nervous system effects might be expected to occur. Serum electrolyte levels (particularly potassium) and blood pH levels should be monitored.

Supportive measures may be required to restore electrolyte and pH balance.

Pediatric Use

The safety and effectiveness of methazolamide in children have not been established.

Nursing Mothers

It is not known whether this drug is excreted in human milk. Because many drugs are excreted in human milk and because of the potential for serious adverse reactions in nursing infants from methazolamide, a decision should be made whether to discontinue nursing or to discontinue the drug, taking into account the importance of the drug to the mother.

Laboratory Tests

To monitor for hematologic reactions common to all sulfonamides, it is recommended that a baseline CBC and platelet count be obtained on patients prior to initiating methazolamide therapy and at regular intervals during therapy. If significant changes occur, early discontinuance and institution of appropriate therapy are important. Periodic monitoring of serum electrolytes is also recommended.

Clinical Pharmacology

Methazolamide is a potent inhibitor of carbonic anhydrase.

Methazolamide is well absorbed from the gastrointestinal tract. Peak plasma concentrations are observed 1 to 2 hours after dosing. In a multiple-dose, pharmacokinetic study, administration of methazolamide 25 mg bid, 50 mg bid, and 100 mg bid demonstrated a linear relationship between plasma methazolamide levels and methazolamide dose. Peak plasma concentrations (C max) for the 25 mg, 50 mg and 100 mg bid regimens were 2.5 mcg/mL, 5.1 mcg/mL, and 10.7 mcg/mL, respectively. The area under the plasma concentration-time curves (AUC) was 1130 mcg.min/mL, 2571 mcg.min/mL, and 5418 mcg.min/mL for the 25 mg, 50 mg, and 100 mg dosage regimens, respectively.

Methazolamide is distributed throughout the body including the plasma, cerebrospinal fluid, aqueous humor of the eye, red blood cells, bile and extra-cellular fluid. The mean apparent volume of distribution (V area/F) ranges from 17 L to 23 L. Approximately 55% is bound to plasma proteins. The steady-state methazolamide red blood cell:plasma ratio varies with dose and was found to be 27:1, 16:1, and 10:1 following the administration of methazolamide 25 mg bid, 50 mg bid, and 100 mg bid, respectively.

The mean steady-state plasma elimination half-life for methazolamide is approximately 14 hours. At steady-state, approximately 25% of the dose is recovered unchanged in the urine over the dosing interval. Renal clearance accounts for 20% to 25% of the total clearance of drug. After repeated bid-tid dosing, methazolamide accumulates to steady-state concentrations in 7 days.

Methazolamide’s inhibitory action on carbonic anhydrase decreases the secretion of aqueous humor and results in a decrease in intraocular pressure. The onset of the decrease in intraocular pressure generally occurs within 2 to 4 hours, has a peak effect in 6 to 8 hours and a total duration of 10 to 18 hours.

Methazolamide is a sulfonamide derivative; however, it does not have any clinically significant antimicrobial properties. Although methazolamide achieves a high concentration in the cerebrospinal fluid, it is not considered an effective anticonvulsant.

Methazolamide has a weak and transient diuretic effect; therefore, use results in an increase in urinary volume, with excretion of sodium, potassium, and chloride. The drug should not be used as a diuretic. Inhibition of renal bicarbonate reabsorption produces an alkaline urine. Plasma bicarbonate decreases, and a relative, transient metabolic acidosis may occur due to a disequilibrium in carbon dioxide transport in the red cell. Urinary citrate excretion is decreased by approximately 40% after doses of 100 mg every 8 hours. Uric acid output has been shown to decrease 36% in the first 24 hour period.

Information for Patients

Adverse reactions common to all sulfonamide derivatives may occur: anaphylaxis, fever, rash (including erythema multiforme, Stevens-Johnson syndrome, toxic epidermal necrolysis), crystalluria, renal calculus, bone marrow depression, thrombocytopenic purpura, hemolytic anemia, leukopenia, pancytopenia, and agranulocytosis. Precaution is advised for early detection of such reactions, and the drug should be discontinued and appropriate therapy instituted.

Caution is advised for patients receiving high-dose aspirin and methazolamide concomitantly.

Package/label Display Panel – 50 Mg Tablet, Label

NDC24208-023-10

Methazolamide

Tablets USP,

50 mg

Rx only

100 Tablets

BAUSCH + LOMB

Carcinogenesis, Mutagenesis, Impairment of Fertility

Long-term studies in animals to evaluate the carcinogenic potential of methazolamide and its effect on fertility have not been conducted. Methazolamide was not mutagenic in the Ames bacterial test.

Package/label Principal Display Panel – 25 Mg Tablet, Label

NDC24208-022-10

Methazolamide

Tablets USP,

25 mg

Rx only

100 Tablets

BAUSCH + LOMB


Structured Label Content

General

Potassium excretion is increased initially upon administration of methazolamide and in patients with cirrhosis or hepatic insufficiency could precipitate a hepatic coma.

In patients with pulmonary obstruction or emphysema, where alveolar ventilation may be impaired, methazolamide should be used with caution because it may precipitate or aggravate acidosis.

Warnings (WARNINGS)

Fatalities have occurred, although rarely, due to severe reactions to sulfonamides including Stevens-Johnson syndrome, toxic epidermal necrolysis, fulminant hepatic necrosis, agranulocytosis, aplastic anemia, and other blood dyscrasias. Hypersensitivity reactions may recur when a sulfonamide is readministered, irrespective of the route of administration.

If hypersensitivity or other serious reactions occur, the use of this drug should be discontinued.

Caution is advised for patients receiving high-dose aspirin and methazolamide concomitantly, as anorexia, tachypnea, lethargy, coma, and death have been reported with concomitant use of high-dose aspirin and carbonic anhydrase inhibitors.

Pregnancy

Teratogenic effects

Methazolamide has been shown to be teratogenic (skeletal anomalies) in rats when given in doses approximately 40 times the human dose. There are no adequate and well controlled studies in pregnant women. Methazolamide should be used during pregnancy only if the potential benefit justifies the potential risk to the fetus.

Overdosage (OVERDOSAGE)

No data are available regarding methazolamide overdosage in humans as no cases of acute poisoning with this drug have been reported. Animal data suggest that even a high dose of methazolamide is nontoxic. No specific antidote is known. Treatment should be symptomatic and supportive.

Electrolyte imbalance, development of an acidotic state, and central nervous system effects might be expected to occur. Serum electrolyte levels (particularly potassium) and blood pH levels should be monitored.

Supportive measures may be required to restore electrolyte and pH balance.

Description (DESCRIPTION)

Methazolamide USP, a sulfonamide derivative, is a white or faintly yellow, crystalline powder having a slight odor, soluble in dimethylformamide, slightly soluble in acetone, very slightly soluble in water and in alcohol. The chemical name for methazolamide is: N-[5-(aminosulfonyl)-3-methyl-1,3,4-thiadiazol-2(3H)-ylidene]-acetamide and it has the following structural formula:

Each tablet, for oral administration, contains 25 mg or 50 mg methazolamide USP. In addition, each tablet contains the following inactive ingredients: colloidal silicon dioxide, croscarmellose sodium, dibasic calcium phosphate dihydrate, magnesium stearate, and microcrystalline cellulose.

How Supplied (HOW SUPPLIED)

Methazolamide Tablets USP 25 mg: White to off-white, circular, biconvex, uncoated tablet, debossed with “25” on one side and plain on the other side.

Bottles of 90                                               NDC 24208-022-90

Bottles of 100                                             NDC 24208-022-10

Bottles of 500                                             NDC 24208-022-50

Bottles of 1,000                                          NDC 24208-022-01



Methazolamide Tablets USP 50 mg: White to off-white, circular, biconvex, uncoated tablet, debossed with “50” on one side and score line on the other side.

Bottles of 90                         �                     NDC 24208-023-90

Bottles of 100                                             NDC 24208-023-10

Bottles of 500                                             NDC 24208-023-50

Bottles of 1,000                                          NDC 24208-023-01



Store at 20°C to 25°C (68°F to 77°F); excursions permitted to 15°C to 30°C (59°F to 86°F) [see USP Controlled Room Temperature].

Dispense in a tight container as defined in the USP, with a child-resistant closure (as required).

Distributed by:

Bausch & Lomb Americas Inc.

Bridgewater, NJ 08807 USA



Manufactured by:

Micro Labs Limited

Goa-403 722, India



© 2022 Bausch & Lomb Incorporated or its affiliates

Rev. 03/2022

9774900

Pediatric Use (Pediatric use)

The safety and effectiveness of methazolamide in children have not been established.

Nursing Mothers (Nursing mothers)

It is not known whether this drug is excreted in human milk. Because many drugs are excreted in human milk and because of the potential for serious adverse reactions in nursing infants from methazolamide, a decision should be made whether to discontinue nursing or to discontinue the drug, taking into account the importance of the drug to the mother.

Laboratory Tests (Laboratory tests)

To monitor for hematologic reactions common to all sulfonamides, it is recommended that a baseline CBC and platelet count be obtained on patients prior to initiating methazolamide therapy and at regular intervals during therapy. If significant changes occur, early discontinuance and institution of appropriate therapy are important. Periodic monitoring of serum electrolytes is also recommended.

Adverse Reactions (ADVERSE REACTIONS)

Adverse reactions, occurring most often early in therapy, include paresthesias, particularly a “tingling” feeling in the extremities; hearing dysfunction or tinnitus; fatigue; malaise; loss of appetite; taste alteration; gastrointestinal disturbances such as nausea, vomiting, and diarrhea; polyuria; and occasional instances of drowsiness and confusion.

Metabolic acidosis and electrolyte imbalance may occur.

Transient myopia has been reported. This condition invariably subsides upon diminution or discontinuance of the medication.

Other occasional adverse reactions include urticaria, melena, hematuria, glycosuria, hepatic insufficiency, flaccid paralysis, photosensitivity, convulsions, and, rarely, crystalluria and renal calculi. Also see PRECAUTIONS: Information for patients for possible reactions common to sulfonamide derivatives. Fatalities have occurred, although rarely, due to severe reactions to sulfonamides including Stevens-Johnson syndrome, toxic epidermal necrolysis, fulminant hepatic necrosis, agranulocytosis, aplastic anemia, and other blood dyscrasias (see WARNINGS ).

To report SUSPECTED ADVERSE REACTIONS, contact Bausch & Lomb Incorporated at 1-800-553-5340 or FDA at 1-800-FDA-1088 or www.fda.gov/medwatch.

Contraindications (CONTRAINDICATIONS)

Methazolamide tablets therapy is contraindicated in situations in which sodium and/or potassium serum levels are depressed, in cases of marked kidney or liver disease or dysfunction, in adrenal gland failure, and in hyperchloremic acidosis. In patients with cirrhosis, use may precipitate the development of hepatic encephalopathy.

Long-term administration of methazolamide is contraindicated in patients with angle-closure glaucoma, since organic closure of the angle may occur in spite of lowered intraocular pressure.

Drug Interactions (Drug interactions)

Methazolamide should be used with caution in patients on steroid therapy because of the potential for developing hypokalemia.

Caution is advised for patients receiving high-dose aspirin and methazolamide concomitantly, as anorexia, tachypnea, lethargy, coma and death have been reported with concomitant use of high-dose aspirin and carbonic anhydrase inhibitors (see WARNINGS ).

Clinical Pharmacology (CLINICAL PHARMACOLOGY)

Methazolamide is a potent inhibitor of carbonic anhydrase.

Methazolamide is well absorbed from the gastrointestinal tract. Peak plasma concentrations are observed 1 to 2 hours after dosing. In a multiple-dose, pharmacokinetic study, administration of methazolamide 25 mg bid, 50 mg bid, and 100 mg bid demonstrated a linear relationship between plasma methazolamide levels and methazolamide dose. Peak plasma concentrations (C max) for the 25 mg, 50 mg and 100 mg bid regimens were 2.5 mcg/mL, 5.1 mcg/mL, and 10.7 mcg/mL, respectively. The area under the plasma concentration-time curves (AUC) was 1130 mcg.min/mL, 2571 mcg.min/mL, and 5418 mcg.min/mL for the 25 mg, 50 mg, and 100 mg dosage regimens, respectively.

Methazolamide is distributed throughout the body including the plasma, cerebrospinal fluid, aqueous humor of the eye, red blood cells, bile and extra-cellular fluid. The mean apparent volume of distribution (V area/F) ranges from 17 L to 23 L. Approximately 55% is bound to plasma proteins. The steady-state methazolamide red blood cell:plasma ratio varies with dose and was found to be 27:1, 16:1, and 10:1 following the administration of methazolamide 25 mg bid, 50 mg bid, and 100 mg bid, respectively.

The mean steady-state plasma elimination half-life for methazolamide is approximately 14 hours. At steady-state, approximately 25% of the dose is recovered unchanged in the urine over the dosing interval. Renal clearance accounts for 20% to 25% of the total clearance of drug. After repeated bid-tid dosing, methazolamide accumulates to steady-state concentrations in 7 days.

Methazolamide’s inhibitory action on carbonic anhydrase decreases the secretion of aqueous humor and results in a decrease in intraocular pressure. The onset of the decrease in intraocular pressure generally occurs within 2 to 4 hours, has a peak effect in 6 to 8 hours and a total duration of 10 to 18 hours.

Methazolamide is a sulfonamide derivative; however, it does not have any clinically significant antimicrobial properties. Although methazolamide achieves a high concentration in the cerebrospinal fluid, it is not considered an effective anticonvulsant.

Methazolamide has a weak and transient diuretic effect; therefore, use results in an increase in urinary volume, with excretion of sodium, potassium, and chloride. The drug should not be used as a diuretic. Inhibition of renal bicarbonate reabsorption produces an alkaline urine. Plasma bicarbonate decreases, and a relative, transient metabolic acidosis may occur due to a disequilibrium in carbon dioxide transport in the red cell. Urinary citrate excretion is decreased by approximately 40% after doses of 100 mg every 8 hours. Uric acid output has been shown to decrease 36% in the first 24 hour period.

Indications and Usage (INDICATIONS AND USAGE)

Methazolamide tablets are indicated in the treatment of ocular conditions where lowering intraocular pressure is likely to be of therapeutic benefit, such as chronic open-angle glaucoma, secondary glaucoma, and preoperatively in acute angle-closure glaucoma where lowering the intraocular pressure is desired before surgery.

Information for Patients (Information for patients)

Adverse reactions common to all sulfonamide derivatives may occur: anaphylaxis, fever, rash (including erythema multiforme, Stevens-Johnson syndrome, toxic epidermal necrolysis), crystalluria, renal calculus, bone marrow depression, thrombocytopenic purpura, hemolytic anemia, leukopenia, pancytopenia, and agranulocytosis. Precaution is advised for early detection of such reactions, and the drug should be discontinued and appropriate therapy instituted.

Caution is advised for patients receiving high-dose aspirin and methazolamide concomitantly.

Dosage and Administration (DOSAGE AND ADMINISTRATION)

The effective therapeutic dose administered varies from 50 mg to 100 mg two or three times daily. The drug may be used concomitantly with miotic and osmotic agents.

Package/label Display Panel – 50 Mg Tablet, Label (Package/Label Display Panel – 50 mg Tablet, Label)

NDC24208-023-10

Methazolamide

Tablets USP,

50 mg

Rx only

100 Tablets

BAUSCH + LOMB

Carcinogenesis, Mutagenesis, Impairment of Fertility (Carcinogenesis, mutagenesis, impairment of fertility)

Long-term studies in animals to evaluate the carcinogenic potential of methazolamide and its effect on fertility have not been conducted. Methazolamide was not mutagenic in the Ames bacterial test.

Package/label Principal Display Panel – 25 Mg Tablet, Label (PACKAGE/LABEL PRINCIPAL DISPLAY PANEL – 25 mg Tablet, Label)

NDC24208-022-10

Methazolamide

Tablets USP,

25 mg

Rx only

100 Tablets

BAUSCH + LOMB


Advanced Ingredient Data


Raw Label Data

All Sections (JSON)