These Highlights Do Not Include All The Information Needed To Use Ecoza Safely And Effectively. See Full Prescribing Information For Ecoza.

These Highlights Do Not Include All The Information Needed To Use Ecoza Safely And Effectively. See Full Prescribing Information For Ecoza.
SPL v1
SPL
SPL Set ID 0bb5fa27-32ed-ed13-e063-6394a90a1577
Route
TOPICAL
Published
Effective Date 2023-12-04
Document Type 34391-3 HUMAN PRESCRIPTION DRUG LABEL

Drug Facts

Composition & Product

Active Ingredients
Econazole (10 mg)
Inactive Ingredients
Dimethicone Glycerin Polysorbate 20 Povidone K30 Propylene Glycol Stearic Acid Trolamine Water Butane

Identifiers & Packaging

Pill Appearance
Color: white
Marketing Status
NDA Active Since 2023-12-04

Description

Ecoza (econazole nitrate) topical foam, 1%, is indicated for the treatment of interdigital tinea pedis caused by Trichophyton rubrum, Trichophyton mentagrophytes, and Epidermophyton floccosum in patients 12 years of age and older.

Indications and Usage

Ecoza (econazole nitrate) topical foam, 1%, is indicated for the treatment of interdigital tinea pedis caused by Trichophyton rubrum, Trichophyton mentagrophytes, and Epidermophyton floccosum in patients 12 years of age and older.

Dosage and Administration

Ecoza topical foam, 1% is for topical use only. Ecoza topical foam, 1% is not for oral, ophthalmic, or intravaginal use. Ecoza topical foam, 1% should be applied to cover affected areas once daily for 4 weeks.

Warnings and Precautions

Contents are flammable. Instruct the patient to avoid heat, flame, and/or smoking during and immediately following application. ( 5.1 )

Contraindications

None.

Adverse Reactions

During clinical trials with Ecoza topical foam, the most common adverse reactions were application site reactions which occurred in less than 1% of subjects in both the Ecoza and vehicle arms. ( 6.1 ) To report SUSPECTED ADVERSE REACTIONS, contact Resilia Pharmaceuticals at 1-888-998-0770 or FDA at 1-800-FDA-1088 or www.fda.gov/medwatch.

Storage and Handling

Ecoza topical foam, 1% is white to off-white foam supplied in 10g (NDC 81811-100-10) and 70g (NDC 81811-100-70) aluminum pressurized canister.

How Supplied

Ecoza topical foam, 1% is white to off-white foam supplied in 10g (NDC 81811-100-10) and 70g (NDC 81811-100-70) aluminum pressurized canister.


Medication Information

Warnings and Precautions

Contents are flammable. Instruct the patient to avoid heat, flame, and/or smoking during and immediately following application. ( 5.1 )

Indications and Usage

Ecoza (econazole nitrate) topical foam, 1%, is indicated for the treatment of interdigital tinea pedis caused by Trichophyton rubrum, Trichophyton mentagrophytes, and Epidermophyton floccosum in patients 12 years of age and older.

Dosage and Administration

Ecoza topical foam, 1% is for topical use only. Ecoza topical foam, 1% is not for oral, ophthalmic, or intravaginal use. Ecoza topical foam, 1% should be applied to cover affected areas once daily for 4 weeks.

Contraindications

None.

Adverse Reactions

During clinical trials with Ecoza topical foam, the most common adverse reactions were application site reactions which occurred in less than 1% of subjects in both the Ecoza and vehicle arms. ( 6.1 ) To report SUSPECTED ADVERSE REACTIONS, contact Resilia Pharmaceuticals at 1-888-998-0770 or FDA at 1-800-FDA-1088 or www.fda.gov/medwatch.

Storage and Handling

Ecoza topical foam, 1% is white to off-white foam supplied in 10g (NDC 81811-100-10) and 70g (NDC 81811-100-70) aluminum pressurized canister.

How Supplied

Ecoza topical foam, 1% is white to off-white foam supplied in 10g (NDC 81811-100-10) and 70g (NDC 81811-100-70) aluminum pressurized canister.

Description

Ecoza (econazole nitrate) topical foam, 1%, is indicated for the treatment of interdigital tinea pedis caused by Trichophyton rubrum, Trichophyton mentagrophytes, and Epidermophyton floccosum in patients 12 years of age and older.

Section 34077-8

Pregnancy Category C

There are no adequate and well-controlled trials with Ecoza topical foam in pregnant women. Ecoza topical foam should be used during pregnancy only if the potential benefit justifies the potential risk to the fetus.

Econazole nitrate has not been shown to be teratogenic when administered orally to mice, rabbits or rats. Fetotoxic or embryotoxic effects were observed in Segment I oral studies with rats receiving 10 to 40 times the human dermal dose. Similar effects were observed in Segment II or Segment III studies with mice, rabbits and/or rats receiving oral doses 80 or 40 times the human dermal dose.

Section 42229-5

Mechanism of Action

Econazole nitrate, an azole antifungal agent, inhibits fungal cytochrome P-450-mediated 14 alpha-lanosterol demethylase enzyme. This enzyme functions to convert lanosterol to ergosterol. The accumulation of 14 alpha-methyl sterols correlates with the subsequent loss of ergosterol in the fungal cell wall and may be responsible for the fungistatic activity of econazole. Mammalian cell demethylation is less sensitive to econazole inhibition.

Section 42230-3
Patient Information

ECOZA ® (ee-ko-zah)

(econazole nitrate) topical foam, 1%
Important information: Ecoza topical foam is for use on skin only. Do not use Ecoza topical foam in your eyes or vagina.
What is Ecoza topical foam?

Ecoza topical foam is a prescription medicine used on the skin (topical) to treat athlete's foot that is between the toes (interdigital tinea pedis) in people 12 years of age and older.
What should I tell my doctor before using Ecoza topical foam?

Before using Ecoza topical foam, tell your doctor about all of your medical conditions, including if you:
  • are pregnant or plan to become pregnant. It is not known if Ecoza topical foam will harm your unborn baby.
  • are breastfeeding or plan to breastfeed. It is not known if Ecoza topical foam passes into your breast milk.

Tell your doctor about all the medicines you take, including prescription and over-the-counter medicines, vitamins, and herbal supplements.
How should I use Ecoza topical foam?

See the detailed Instructions for Use for information about how to use Ecoza topical foam.
  • Use Ecoza topical foam exactly as your doctor tells you to use it.
  • Apply Ecoza topical foam to the affected skin areas of your feet 1 time a day for 4 weeks.
  • If Ecoza topical foam gets in or near your eyes, rinse them well with water.
  • Wash your hands after you apply Ecoza topical foam.
What should I avoid while using Ecoza topical foam?
  • Ecoza topical foam is flammable. Avoid heat, flame and smoking while applying and right after you apply Ecoza topical foam to your skin.
What are the possible side effects of Ecoza topical foam?

Ecoza topical foam may cause skin reactions at the treatment site. Tell your doctor if you have any skin reactions on the areas of your skin treated with Ecoza topical foam.

These are not all the possible side effects of Ecoza topical foam.

Call your doctor for medical advice about side effects. You may report side effects to FDA at 1-800-FDA-1088.

How should I store Ecoza topical foam?

  • Store Ecoza topical foam at room temperature, between 68°F to 77°F (20°C to 25°C).
  • Do not refrigerate or freeze Ecoza topical foam.
  • Do not store Ecoza topical foam in direct sunlight.
  • Ecoza topical foam is flammable. Keep the Ecoza topical foam canister away from heat and temperatures above 120°F (49°C), even if the canister is empty.
  • Do not puncture or burn the Ecoza topical foam canister.

Keep Ecoza topical foam and all medicines out of the reach of children.

General information about the safe and effective use of Ecoza topical foam

Medicines are sometimes prescribed for purposes other than those listed in a Patient Information leaflet. You can ask your doctor or pharmacist for information about Ecoza topical foam that is written for health professionals. Do not use Ecoza topical foam for a condition for which it was not prescribed. Do not give Ecoza topical foam to other people, even if they have the same symptoms that you have. It may harm them.
What are the ingredients in Ecoza topical foam?

Active ingredient: econazole nitrate USP

Inactive Ingredients: dimethicone, glycerin, polysorbate 20, povidone, propylene glycol, stearic acid, trolamine, purified water and butane as a propellant.

Manufactured for Resilia Pharmaceuticals, Inc., Atlanta, GA 30328

For more information call Resilia Pharmaceuticals, Inc., at 888-998-0770.
This Patient Information has been approved by the U.S. Food and Drug Administration. Issued: 12/2023 P/N 141333 ECOPI-022-2023-001

Section 44425-7

Store at controlled room temperature 20°C to 25°C (68°F to 77°F) with excursions permitted between 15°C and 30°C (59°F and 86°F). Do not refrigerate or freeze.

Ecoza topical foam is flammable. Avoid heat, flame, and smoking during and immediately following application.

Contents under pressure. Do not puncture and/or incinerate the containers.

Do not expose containers to heat and/or store at temperatures above 120°F (49°C) even when empty.

Do not store in direct sunlight.

7.1 Warfarin

Concomitant administration of econazole and warfarin has resulted in enhancement of anticoagulant effect. Most cases reported product application with use under occlusion, genital application, or application to a large body surface area which may increase the systemic absorption of econazole nitrate. Monitoring of International Normalized Ratio (INR) and/or prothrombin time may be indicated especially for patients who apply econazole to large body surface areas, in the genital area, or under occlusion.

11 Description

Ecoza (econazole nitrate) topical foam, 1% contains the azole antifungal agent, econazole nitrate in an oil-in-water emulsion base consisting of the following inactive ingredients: dimethicone, glycerin, polysorbate 20, povidone, propylene glycol, stearic acid, trolamine, purified water and butane as a propellant. Each gram of Ecoza topical foam, 1% contains 10 mg of econazole nitrate, USP, in a white to off-white foam. Ecoza topical foam, 1% is alcohol (ethanol)-free and for topical use only.

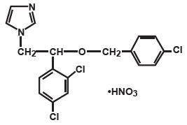
Chemically, econazole nitrate is 1-[2-{(4-chloro-phenyl)methoxy}-2-(2,4-dichlorophenyl) ethyl]-1H-imidazole mononitrate. Econazole nitrate has the molecular formula C 18H 15Cl 3N 2O. HNO 3 and a molecular weight of 444.70. Its molecular structure is as follows:

5.1 Flammability

Ecoza topical foam is flammable. Avoid heat, flame, and smoking during and immediately following application. Contents under pressure. Do not puncture and/or incinerate the containers. Do not expose containers to heat and/or store at temperatures above 120°F (49°C) even when empty. Do not store in direct sunlight.

8.4 Pediatric Use

Of the 173 subjects treated with Ecoza topical foam, 1% in the clinical trials, 2 subjects were 12 to 17 years old. In a pediatric maximal use trial, Ecoza topical foam, 1% was applied once daily to eighteen subjects aged 12 to 17 years with interdigital tinea pedis for 28 days [ see Clinical Pharmacology (12.3) ]. The safety findings for subjects 12 to 17 years were similar to those in adult population.

8.5 Geriatric Use

Of the 173 subjects treated with Ecoza topical foam, 1% in the adult clinical trials, 6 subjects were 65 years or older. No overall differences in safety or effectiveness were observed between these subjects and younger subjects.

14 Clinical Studies

In two multi-center, randomized, double-blind, vehicle-controlled clinical trials a total of 505 subjects with interdigital tinea pedis were randomized 1:1 to Ecoza topical foam or vehicle; subjects applied the assigned medication once daily for 4 weeks. The severity of erythema, scaling, fissuring, maceration, vesiculation, and pruritus were graded using a 4-point scale (none, mild, moderate, severe). Subjects had KOH examination and fungal cultures taken to confirm eligibility. A total of 339 subjects with positive fungal cultures were evaluated for efficacy. Efficacy was evaluated on Day 43, 2 weeks post-treatment with treatment success being defined as complete cure (negative KOH and fungal culture and no evidence of clinical disease). The study population ranged in age from 12 to 71 years with 5 subjects less than 18 years of age at baseline. The subjects were 71% male and 51% Caucasian. Table 1 presents the efficacy results for each trial.

Table 1: Efficacy Results at Two Weeks Post-treatment (Day 43)

Complete Cure, Effective Treatment and Mycological Cure

Trial 1 Trial 2

Ecoza topical foam 1%

N = 82

n(%)

Foam Vehicle

N = 83

n(%)

Ecoza topical foam, 1%

N = 91

n(%)

Foam Vehicle

N = 83

n(%)

Complete cure a 19 (23.2%) 2 (2.4%) 23 (25.3%) 4 (4.8%)
Effective treatment b 40 (48.8%) 9 (10.8%) 44 (48.4%) 9 (10.8%)
Mycological cure c 56 (68.3%) 13 (15.7%) 61 (67.0%) 15 (18.1%)

a Mycological cure and an absence of clinical signs and symptoms (erythema, scaling, fissuring, maceration, vesiculation, or pruritus).

b Mycological cure and no or mild erythema and/or scaling with all other signs and symptoms absent.

c Negative KOH and fungal culture.

4 Contraindications

None.

6 Adverse Reactions

During clinical trials with Ecoza topical foam, the most common adverse reactions were application site reactions which occurred in less than 1% of subjects in both the Ecoza and vehicle arms. ( 6.1)

To report SUSPECTED ADVERSE REACTIONS, contact Resilia Pharmaceuticals at 1-888-998-0770 or FDA at 1-800-FDA-1088 or www.fda.gov/medwatch.

8.3 Nursing Mothers

It is not known whether econazole nitrate is excreted in human milk. Because many drugs are excreted in human milk, caution should be exercised when econazole nitrate is administered to a nursing woman. Following oral administration of econazole nitrate to lactating rats, econazole and/or metabolites were excreted in milk and were found in nursing pups.

Instructions for Use
Important information: Ecoza topical foam is for use on skin only.

Do not use Ecoza topical foam in your eyes or vagina.

Parts of Ecoza topical foam Canister. (See Figure A)

Figure A

How to apply Ecoza topical foam:

Step 1: Before you apply Ecoza topical foam, shake the Ecoza topical foam canister for about 5 seconds.
Step 2: Remove the cap and turn the Ecoza topical foam canister upside down over the palm of your hand.
Step 3: Press down firmly on the actuator until there is a small amount of foam about the size of a golf ball in the palm of your hand. (See Figures B and C)
Figure B Figure C
Step 4: Use your finger-tips to scoop up small amounts of Ecoza topical foam and apply to the affected skin areas on your feet. Gently rub the foam into the skin. (See Figure D)

Figure D
Step 5: You should apply Ecoza topical foam to your toes, to the spaces between your toes, and to the surrounding areas 1 time a day for 4 weeks or as prescribed by your doctor.
Step 6: Replace the cap. Wash your hands after applying Ecoza topical foam.

How should I store Ecoza topical foam?

  • Store Ecoza topical foam at room temperature, between 68°F to 77°F (20°C to 25°C).
  • Do not refrigerate or freeze Ecoza topical foam.
  • Do not store Ecoza topical foam in direct sunlight.
  • Ecoza topical foam is flammable. Keep the Ecoza topical foam canister away from heat and temperatures above 120°F (49°C), even if the canister is empty.
  • Do not puncture or burn the Ecoza topical foam canister.

Keep Ecoza topical foam and all medicines out of the reach of children.

This Instructions for Use has been approved by the U.S. Food and Drug Administration.

Manufactured for Resilia Pharmaceuticals, Inc., Atlanta, GA 30328

Issued: 12/2023

12.2 Pharmacodynamics

The pharmacodynamics of Ecoza topical foam, 1% have not been established .

12.3 Pharmacokinetics

The systemic absorption of Ecoza topical foam, 1% following topical application was studied in one clinical trial in adults and one clinical study in pediatric subjects.

In the adult trial, 19 subjects (male and female) with tinea pedis applied Ecoza topical foam, 1% once daily for 29 days. Subjects applied a mean daily amount of 2.4 g of Ecoza topical foam, 1% to soles, toes, interdigital spaces and tops of both feet up to the ankles. Blood samples were obtained on Day 29 at pre-dose and 1, 2, 4, 6, 8, and 12 hours after application. Results (mean ± SD) showed the time to reach peak plasma concentrations (T max) was 6.8 ± 5.1 h with maximum concentration (C max) of 417 ± 218 pg/ml. The area under the concentration time curve for the first 12 hours post application on Day 29 (AUC (0-12)) was 3440 ± 1920 pg-h/ml.

In the pediatric trial, 18 subjects (male and female ages 12 - 17) with interdigital tinea pedis and positive fungal cultures were treated with Ecoza topical foam, 1% once daily for 4 weeks. Subjects applied a mean daily amount of 3.2 g of Ecoza topical foam, 1% to soles, toes, interdigital spaces and tops of both feet up to the ankles. Blood samples were obtained on Day 28 at pre-dose and 7 h and 11 h post-dose. The mean ± SD econazole plasma concentration was 397 ± 289, 534 ± 745 and 575 ± 638 pg/mL at pre-dose and 7 h and 11 h post-dose, respectively.

1 Indications and Usage

Ecoza (econazole nitrate) topical foam, 1%, is indicated for the treatment of interdigital tinea pedis caused by Trichophyton rubrum, Trichophyton mentagrophytes,and Epidermophyton floccosumin patients 12 years of age and older.

12.1 Mechanism of Action

Ecoza topical foam is an azole antifungal [ see Clinical Pharmacology (12.4) ] .

5 Warnings and Precautions

Contents are flammable. Instruct the patient to avoid heat, flame, and/or smoking during and immediately following application. ( 5.1)

2 Dosage and Administration

Ecoza topical foam, 1% is for topical use only. Ecoza topical foam, 1% is not for oral, ophthalmic, or intravaginal use.

Ecoza topical foam, 1% should be applied to cover affected areas once daily for 4 weeks.

3 Dosage Forms and Strengths

Foam, 1%. Each gram of Ecoza topical foam, 1%, contains 10 mg of econazole nitrate in a white to off-white foam.

6.1 Clinical Trials Experience

Because clinical trials are conducted under widely varying conditions, adverse reaction rates observed in the clinical trials of a drug cannot be directly compared to rates in the clinical trials of another drug and may not reflect the rates observed in practice.

In two double-blind, vehicle-controlled clinical trials, 495 subjects were exposed to Ecoza topical foam or vehicle (246 subjects were exposed to Ecoza topical foam, 1% and 249 were exposed to vehicle). Subjects with interdigital tinea pedis applied foam or vehicle once daily for approximately 28 days. During clinical trials with Ecoza topical foam, the most common adverse reactions were application site reactions which occurred in less than 1% of subjects in both the Ecoza and vehicle arms.

17 Patient Counseling Information

See FDA-approved patient labeling (Patient Information)

The patient should be instructed as follows:

  • Inform patients that Ecoza (econazole nitrate) topical foam, 1% is for topical use only. Ecoza (econazole nitrate) topical foam, 1% is not intended for oral, intravaginal, or ophthalmic use.
  • Ecoza topical foam, 1% is flammable; avoid heat, flame, and smoking during and immediately following application.
  • If a reaction suggesting sensitivity or chemical irritation develops with the use of Ecoza topical foam, 1%, use of the medication should be discontinued.
16 How Supplied/ Storage and Handling

Ecoza topical foam, 1% is white to off-white foam supplied in 10g (NDC 81811-100-10) and 70g (NDC 81811-100-70) aluminum pressurized canister.

Principal Display Panel 70 G Canister Label

NDC 81811-100-70

ecoza™

(econazole nitrate)

topical foam, 1%

For Topical Use Only

Not for ophthalmic, oral or intravaginal use.

Keep Out of Reach of Children

Rx Only

Net Wt 70g

Resilia Pharmaceuticals, Inc.

Principal Display Panel 70 G Canister Carton

NDC 81811-0100-70

ecoza™

(econazole nitrate)

topical foam, 1%

For Topical Use Only

Not for ophthalmic, oral or intravaginal use.

Keep Out of Reach of Children

Rx Only

Net Wt 70g

Resilia Pharmaceuticals, Inc.

13.1 Carcinogenesis, Mutagenesis, Impairment of Fertility

Long-term animal studies to determine the carcinogenic potential of Ecoza topical foam have not been performed.

Oral administration of econazole nitrate in rats has been reported to produce prolonged gestation.


Structured Label Content

Section 34077-8 (34077-8)

Pregnancy Category C

There are no adequate and well-controlled trials with Ecoza topical foam in pregnant women. Ecoza topical foam should be used during pregnancy only if the potential benefit justifies the potential risk to the fetus.

Econazole nitrate has not been shown to be teratogenic when administered orally to mice, rabbits or rats. Fetotoxic or embryotoxic effects were observed in Segment I oral studies with rats receiving 10 to 40 times the human dermal dose. Similar effects were observed in Segment II or Segment III studies with mice, rabbits and/or rats receiving oral doses 80 or 40 times the human dermal dose.

Section 42229-5 (42229-5)

Mechanism of Action

Econazole nitrate, an azole antifungal agent, inhibits fungal cytochrome P-450-mediated 14 alpha-lanosterol demethylase enzyme. This enzyme functions to convert lanosterol to ergosterol. The accumulation of 14 alpha-methyl sterols correlates with the subsequent loss of ergosterol in the fungal cell wall and may be responsible for the fungistatic activity of econazole. Mammalian cell demethylation is less sensitive to econazole inhibition.

Section 42230-3 (42230-3)
Patient Information

ECOZA ® (ee-ko-zah)

(econazole nitrate) topical foam, 1%
Important information: Ecoza topical foam is for use on skin only. Do not use Ecoza topical foam in your eyes or vagina.
What is Ecoza topical foam?

Ecoza topical foam is a prescription medicine used on the skin (topical) to treat athlete's foot that is between the toes (interdigital tinea pedis) in people 12 years of age and older.
What should I tell my doctor before using Ecoza topical foam?

Before using Ecoza topical foam, tell your doctor about all of your medical conditions, including if you:
  • are pregnant or plan to become pregnant. It is not known if Ecoza topical foam will harm your unborn baby.
  • are breastfeeding or plan to breastfeed. It is not known if Ecoza topical foam passes into your breast milk.

Tell your doctor about all the medicines you take, including prescription and over-the-counter medicines, vitamins, and herbal supplements.
How should I use Ecoza topical foam?

See the detailed Instructions for Use for information about how to use Ecoza topical foam.
  • Use Ecoza topical foam exactly as your doctor tells you to use it.
  • Apply Ecoza topical foam to the affected skin areas of your feet 1 time a day for 4 weeks.
  • If Ecoza topical foam gets in or near your eyes, rinse them well with water.
  • Wash your hands after you apply Ecoza topical foam.
What should I avoid while using Ecoza topical foam?
  • Ecoza topical foam is flammable. Avoid heat, flame and smoking while applying and right after you apply Ecoza topical foam to your skin.
What are the possible side effects of Ecoza topical foam?

Ecoza topical foam may cause skin reactions at the treatment site. Tell your doctor if you have any skin reactions on the areas of your skin treated with Ecoza topical foam.

These are not all the possible side effects of Ecoza topical foam.

Call your doctor for medical advice about side effects. You may report side effects to FDA at 1-800-FDA-1088.

How should I store Ecoza topical foam?

  • Store Ecoza topical foam at room temperature, between 68°F to 77°F (20°C to 25°C).
  • Do not refrigerate or freeze Ecoza topical foam.
  • Do not store Ecoza topical foam in direct sunlight.
  • Ecoza topical foam is flammable. Keep the Ecoza topical foam canister away from heat and temperatures above 120°F (49°C), even if the canister is empty.
  • Do not puncture or burn the Ecoza topical foam canister.

Keep Ecoza topical foam and all medicines out of the reach of children.

General information about the safe and effective use of Ecoza topical foam

Medicines are sometimes prescribed for purposes other than those listed in a Patient Information leaflet. You can ask your doctor or pharmacist for information about Ecoza topical foam that is written for health professionals. Do not use Ecoza topical foam for a condition for which it was not prescribed. Do not give Ecoza topical foam to other people, even if they have the same symptoms that you have. It may harm them.
What are the ingredients in Ecoza topical foam?

Active ingredient: econazole nitrate USP

Inactive Ingredients: dimethicone, glycerin, polysorbate 20, povidone, propylene glycol, stearic acid, trolamine, purified water and butane as a propellant.

Manufactured for Resilia Pharmaceuticals, Inc., Atlanta, GA 30328

For more information call Resilia Pharmaceuticals, Inc., at 888-998-0770.
This Patient Information has been approved by the U.S. Food and Drug Administration. Issued: 12/2023 P/N 141333 ECOPI-022-2023-001

Section 44425-7 (44425-7)

Store at controlled room temperature 20°C to 25°C (68°F to 77°F) with excursions permitted between 15°C and 30°C (59°F and 86°F). Do not refrigerate or freeze.

Ecoza topical foam is flammable. Avoid heat, flame, and smoking during and immediately following application.

Contents under pressure. Do not puncture and/or incinerate the containers.

Do not expose containers to heat and/or store at temperatures above 120°F (49°C) even when empty.

Do not store in direct sunlight.

7.1 Warfarin

Concomitant administration of econazole and warfarin has resulted in enhancement of anticoagulant effect. Most cases reported product application with use under occlusion, genital application, or application to a large body surface area which may increase the systemic absorption of econazole nitrate. Monitoring of International Normalized Ratio (INR) and/or prothrombin time may be indicated especially for patients who apply econazole to large body surface areas, in the genital area, or under occlusion.

11 Description (11 DESCRIPTION)

Ecoza (econazole nitrate) topical foam, 1% contains the azole antifungal agent, econazole nitrate in an oil-in-water emulsion base consisting of the following inactive ingredients: dimethicone, glycerin, polysorbate 20, povidone, propylene glycol, stearic acid, trolamine, purified water and butane as a propellant. Each gram of Ecoza topical foam, 1% contains 10 mg of econazole nitrate, USP, in a white to off-white foam. Ecoza topical foam, 1% is alcohol (ethanol)-free and for topical use only.

Chemically, econazole nitrate is 1-[2-{(4-chloro-phenyl)methoxy}-2-(2,4-dichlorophenyl) ethyl]-1H-imidazole mononitrate. Econazole nitrate has the molecular formula C 18H 15Cl 3N 2O. HNO 3 and a molecular weight of 444.70. Its molecular structure is as follows:

5.1 Flammability

Ecoza topical foam is flammable. Avoid heat, flame, and smoking during and immediately following application. Contents under pressure. Do not puncture and/or incinerate the containers. Do not expose containers to heat and/or store at temperatures above 120°F (49°C) even when empty. Do not store in direct sunlight.

8.4 Pediatric Use

Of the 173 subjects treated with Ecoza topical foam, 1% in the clinical trials, 2 subjects were 12 to 17 years old. In a pediatric maximal use trial, Ecoza topical foam, 1% was applied once daily to eighteen subjects aged 12 to 17 years with interdigital tinea pedis for 28 days [ see Clinical Pharmacology (12.3) ]. The safety findings for subjects 12 to 17 years were similar to those in adult population.

8.5 Geriatric Use

Of the 173 subjects treated with Ecoza topical foam, 1% in the adult clinical trials, 6 subjects were 65 years or older. No overall differences in safety or effectiveness were observed between these subjects and younger subjects.

14 Clinical Studies (14 CLINICAL STUDIES)

In two multi-center, randomized, double-blind, vehicle-controlled clinical trials a total of 505 subjects with interdigital tinea pedis were randomized 1:1 to Ecoza topical foam or vehicle; subjects applied the assigned medication once daily for 4 weeks. The severity of erythema, scaling, fissuring, maceration, vesiculation, and pruritus were graded using a 4-point scale (none, mild, moderate, severe). Subjects had KOH examination and fungal cultures taken to confirm eligibility. A total of 339 subjects with positive fungal cultures were evaluated for efficacy. Efficacy was evaluated on Day 43, 2 weeks post-treatment with treatment success being defined as complete cure (negative KOH and fungal culture and no evidence of clinical disease). The study population ranged in age from 12 to 71 years with 5 subjects less than 18 years of age at baseline. The subjects were 71% male and 51% Caucasian. Table 1 presents the efficacy results for each trial.

Table 1: Efficacy Results at Two Weeks Post-treatment (Day 43)

Complete Cure, Effective Treatment and Mycological Cure

Trial 1 Trial 2

Ecoza topical foam 1%

N = 82

n(%)

Foam Vehicle

N = 83

n(%)

Ecoza topical foam, 1%

N = 91

n(%)

Foam Vehicle

N = 83

n(%)

Complete cure a 19 (23.2%) 2 (2.4%) 23 (25.3%) 4 (4.8%)
Effective treatment b 40 (48.8%) 9 (10.8%) 44 (48.4%) 9 (10.8%)
Mycological cure c 56 (68.3%) 13 (15.7%) 61 (67.0%) 15 (18.1%)

a Mycological cure and an absence of clinical signs and symptoms (erythema, scaling, fissuring, maceration, vesiculation, or pruritus).

b Mycological cure and no or mild erythema and/or scaling with all other signs and symptoms absent.

c Negative KOH and fungal culture.

4 Contraindications (4 CONTRAINDICATIONS)

None.

6 Adverse Reactions (6 ADVERSE REACTIONS)

During clinical trials with Ecoza topical foam, the most common adverse reactions were application site reactions which occurred in less than 1% of subjects in both the Ecoza and vehicle arms. ( 6.1)

To report SUSPECTED ADVERSE REACTIONS, contact Resilia Pharmaceuticals at 1-888-998-0770 or FDA at 1-800-FDA-1088 or www.fda.gov/medwatch.

8.3 Nursing Mothers

It is not known whether econazole nitrate is excreted in human milk. Because many drugs are excreted in human milk, caution should be exercised when econazole nitrate is administered to a nursing woman. Following oral administration of econazole nitrate to lactating rats, econazole and/or metabolites were excreted in milk and were found in nursing pups.

Instructions for Use
Important information: Ecoza topical foam is for use on skin only.

Do not use Ecoza topical foam in your eyes or vagina.

Parts of Ecoza topical foam Canister. (See Figure A)

Figure A

How to apply Ecoza topical foam:

Step 1: Before you apply Ecoza topical foam, shake the Ecoza topical foam canister for about 5 seconds.
Step 2: Remove the cap and turn the Ecoza topical foam canister upside down over the palm of your hand.
Step 3: Press down firmly on the actuator until there is a small amount of foam about the size of a golf ball in the palm of your hand. (See Figures B and C)
Figure B Figure C
Step 4: Use your finger-tips to scoop up small amounts of Ecoza topical foam and apply to the affected skin areas on your feet. Gently rub the foam into the skin. (See Figure D)

Figure D
Step 5: You should apply Ecoza topical foam to your toes, to the spaces between your toes, and to the surrounding areas 1 time a day for 4 weeks or as prescribed by your doctor.
Step 6: Replace the cap. Wash your hands after applying Ecoza topical foam.

How should I store Ecoza topical foam?

  • Store Ecoza topical foam at room temperature, between 68°F to 77°F (20°C to 25°C).
  • Do not refrigerate or freeze Ecoza topical foam.
  • Do not store Ecoza topical foam in direct sunlight.
  • Ecoza topical foam is flammable. Keep the Ecoza topical foam canister away from heat and temperatures above 120°F (49°C), even if the canister is empty.
  • Do not puncture or burn the Ecoza topical foam canister.

Keep Ecoza topical foam and all medicines out of the reach of children.

This Instructions for Use has been approved by the U.S. Food and Drug Administration.

Manufactured for Resilia Pharmaceuticals, Inc., Atlanta, GA 30328

Issued: 12/2023

12.2 Pharmacodynamics

The pharmacodynamics of Ecoza topical foam, 1% have not been established .

12.3 Pharmacokinetics

The systemic absorption of Ecoza topical foam, 1% following topical application was studied in one clinical trial in adults and one clinical study in pediatric subjects.

In the adult trial, 19 subjects (male and female) with tinea pedis applied Ecoza topical foam, 1% once daily for 29 days. Subjects applied a mean daily amount of 2.4 g of Ecoza topical foam, 1% to soles, toes, interdigital spaces and tops of both feet up to the ankles. Blood samples were obtained on Day 29 at pre-dose and 1, 2, 4, 6, 8, and 12 hours after application. Results (mean ± SD) showed the time to reach peak plasma concentrations (T max) was 6.8 ± 5.1 h with maximum concentration (C max) of 417 ± 218 pg/ml. The area under the concentration time curve for the first 12 hours post application on Day 29 (AUC (0-12)) was 3440 ± 1920 pg-h/ml.

In the pediatric trial, 18 subjects (male and female ages 12 - 17) with interdigital tinea pedis and positive fungal cultures were treated with Ecoza topical foam, 1% once daily for 4 weeks. Subjects applied a mean daily amount of 3.2 g of Ecoza topical foam, 1% to soles, toes, interdigital spaces and tops of both feet up to the ankles. Blood samples were obtained on Day 28 at pre-dose and 7 h and 11 h post-dose. The mean ± SD econazole plasma concentration was 397 ± 289, 534 ± 745 and 575 ± 638 pg/mL at pre-dose and 7 h and 11 h post-dose, respectively.

1 Indications and Usage (1 INDICATIONS AND USAGE)

Ecoza (econazole nitrate) topical foam, 1%, is indicated for the treatment of interdigital tinea pedis caused by Trichophyton rubrum, Trichophyton mentagrophytes,and Epidermophyton floccosumin patients 12 years of age and older.

12.1 Mechanism of Action

Ecoza topical foam is an azole antifungal [ see Clinical Pharmacology (12.4) ] .

5 Warnings and Precautions (5 WARNINGS AND PRECAUTIONS)

Contents are flammable. Instruct the patient to avoid heat, flame, and/or smoking during and immediately following application. ( 5.1)

2 Dosage and Administration (2 DOSAGE AND ADMINISTRATION)

Ecoza topical foam, 1% is for topical use only. Ecoza topical foam, 1% is not for oral, ophthalmic, or intravaginal use.

Ecoza topical foam, 1% should be applied to cover affected areas once daily for 4 weeks.

3 Dosage Forms and Strengths (3 DOSAGE FORMS AND STRENGTHS)

Foam, 1%. Each gram of Ecoza topical foam, 1%, contains 10 mg of econazole nitrate in a white to off-white foam.

6.1 Clinical Trials Experience

Because clinical trials are conducted under widely varying conditions, adverse reaction rates observed in the clinical trials of a drug cannot be directly compared to rates in the clinical trials of another drug and may not reflect the rates observed in practice.

In two double-blind, vehicle-controlled clinical trials, 495 subjects were exposed to Ecoza topical foam or vehicle (246 subjects were exposed to Ecoza topical foam, 1% and 249 were exposed to vehicle). Subjects with interdigital tinea pedis applied foam or vehicle once daily for approximately 28 days. During clinical trials with Ecoza topical foam, the most common adverse reactions were application site reactions which occurred in less than 1% of subjects in both the Ecoza and vehicle arms.

17 Patient Counseling Information (17 PATIENT COUNSELING INFORMATION)

See FDA-approved patient labeling (Patient Information)

The patient should be instructed as follows:

  • Inform patients that Ecoza (econazole nitrate) topical foam, 1% is for topical use only. Ecoza (econazole nitrate) topical foam, 1% is not intended for oral, intravaginal, or ophthalmic use.
  • Ecoza topical foam, 1% is flammable; avoid heat, flame, and smoking during and immediately following application.
  • If a reaction suggesting sensitivity or chemical irritation develops with the use of Ecoza topical foam, 1%, use of the medication should be discontinued.
16 How Supplied/ Storage and Handling (16 HOW SUPPLIED/ STORAGE AND HANDLING)

Ecoza topical foam, 1% is white to off-white foam supplied in 10g (NDC 81811-100-10) and 70g (NDC 81811-100-70) aluminum pressurized canister.

Principal Display Panel 70 G Canister Label (PRINCIPAL DISPLAY PANEL - 70 g Canister Label)

NDC 81811-100-70

ecoza™

(econazole nitrate)

topical foam, 1%

For Topical Use Only

Not for ophthalmic, oral or intravaginal use.

Keep Out of Reach of Children

Rx Only

Net Wt 70g

Resilia Pharmaceuticals, Inc.

Principal Display Panel 70 G Canister Carton (PRINCIPAL DISPLAY PANEL - 70 g Canister Carton)

NDC 81811-0100-70

ecoza™

(econazole nitrate)

topical foam, 1%

For Topical Use Only

Not for ophthalmic, oral or intravaginal use.

Keep Out of Reach of Children

Rx Only

Net Wt 70g

Resilia Pharmaceuticals, Inc.

13.1 Carcinogenesis, Mutagenesis, Impairment of Fertility

Long-term animal studies to determine the carcinogenic potential of Ecoza topical foam have not been performed.

Oral administration of econazole nitrate in rats has been reported to produce prolonged gestation.


Advanced Ingredient Data


Raw Label Data

All Sections (JSON)