Nystop®

Nystop®
SPL v102
SPL
SPL Set ID 0bb31239-fb77-442a-a9ee-ba61b45e7e68
Route
TOPICAL
Published
Effective Date 2025-07-16
Document Type 34391-3 HUMAN PRESCRIPTION DRUG LABEL

Drug Facts

Composition & Product

Active Ingredients
Nystatin (100000 [USP'U])
Inactive Ingredients
Talc

Identifiers & Packaging

Marketing Status
ANDA Active Since 1996-08-16

Description

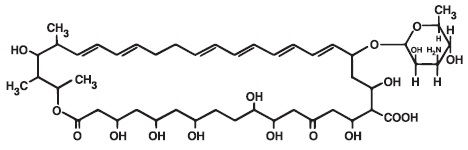
Nystatin is a polyene antifungal antibiotic obtained from Streptomyces nursei. The molecular formula for Nystatin is C 47 H 75 NO 17 . The molecular weight of Nystatin is 926.1. Structural formula: Nystatin Topical Powder USP is for dermatologic use. Nystatin Topical Powder USP contains 100,000 USP nystatin units per gram dispersed in talc.

Indications and Usage

Nystatin Topical Powder is indicated in the treatment of cutaneous or mucocutaneous mycotic infections caused by Candida albicans and other susceptible Candida species. This preparation is not indicated for systemic, oral, intravaginal or ophthalmic use.

Dosage and Administration

Very moist lesions are best treated with the topical dusting powder.

Contraindications

Nystatin Topical Powder is contraindicated in patients with a history of hypersensitivity to any of its components.

Adverse Reactions

The frequency of adverse events reported in patients using nystatin topical preparations is less than 0.1%. The more common events that were reported include allergic reactions, burning, itching, rash, eczema, and pain on application. (See PRECAUTIONS: General .)

How Supplied

Nystop® Nystatin Topical Powder USP is supplied as 100,000 units nystatin per gram in 15 g, 30 g and 60 g plastic squeeze bottles. NDC: 72162-1124-2: 15 g in a BOTTLE NDC: 72162-1124-3: 30 g in a BOTTLE NDC: 72162-1124-6: 60 g in a BOTTLE STORAGE Store at controlled room temperature 15°-30°C (59°-86°F); avoid excessive heat (40°C; 104°F). Repackaged/Relabeled by: Bryant Ranch Prepack, Inc. Burbank, CA 91504


Medication Information

Indications and Usage

Nystatin Topical Powder is indicated in the treatment of cutaneous or mucocutaneous mycotic infections caused by Candida albicans and other susceptible Candida species.

This preparation is not indicated for systemic, oral, intravaginal or ophthalmic use.

Dosage and Administration

Very moist lesions are best treated with the topical dusting powder.

Contraindications

Nystatin Topical Powder is contraindicated in patients with a history of hypersensitivity to any of its components.

Adverse Reactions

The frequency of adverse events reported in patients using nystatin topical preparations is less than 0.1%. The more common events that were reported include allergic reactions, burning, itching, rash, eczema, and pain on application. (See PRECAUTIONS: General.)

How Supplied

Nystop® Nystatin Topical Powder USP is supplied as 100,000 units nystatin per gram in 15 g, 30 g and 60 g plastic squeeze bottles.

  • NDC: 72162-1124-2: 15 g in a BOTTLE
  • NDC: 72162-1124-3: 30 g in a BOTTLE
  • NDC: 72162-1124-6: 60 g in a BOTTLE

STORAGE

Store at controlled room temperature 15°-30°C (59°-86°F); avoid excessive heat (40°C; 104°F).

Repackaged/Relabeled by:

Bryant Ranch Prepack, Inc.

Burbank, CA 91504

Description

Nystatin is a polyene antifungal antibiotic obtained from Streptomyces nursei. The molecular formula for Nystatin is C47H75NO17. The molecular weight of Nystatin is 926.1.

Structural formula:

Nystatin Topical Powder USP is for dermatologic use.

Nystatin Topical Powder USP contains 100,000 USP nystatin units per gram dispersed in talc.

Section 51945-4

Nystatin Topical Powder  100,000 USP Units Per Gram 

15 grams

General

Nystatin Topical Powder should not be used for the treatment of systemic, oral, intravaginal or ophthalmic infections.

If irritation or sensitization develops, treatment should be discontinued and appropriate measures taken as indicated. It is recommended that KOH smears, cultures, or other diagnostic methods be used to confirm the diagnosis of cutaneous or mucocutaneous candidiasis and to rule out infection caused by other pathogens.

Microbiology

Nystatin is an antibiotic which is both fungistatic and fungicidal in vitro against a wide variety of yeasts and yeast-like fungi, including Candida albicans, C. parapsilosis, C. tropicalis, C. guilliermondi, C. pseudotropicalis, C. krusei, Torulopsis glabrata, Tricophyton rubrum, T. mentagrophytes.

Nystatin acts by binding to sterols in the cell membrane of susceptible species resulting in a change in membrane permeability and the subsequent leakage of intracellular components. On repeated subculturing with increasing levels of nystatin, Candida albicans does not develop resistance to nystatin. Generally, resistance to nystatin does not develop during therapy. However, other species of Candida (C, tropicalis, C. guillier mondi, C. krusei, and C. stellatoides) become quite resistant on treatment with nystatin and simultaneously become cross resistant to amphotericin as well. This resistance is lost when the antibiotic is removed. Nystatin exhibits no appreciable activity against bacteria, protozoa, or viruses.

Pediatric Use

Safety and effectiveness have been established in the pediatric population from birth to 16 years. (See DOSAGE AND ADMINISTRATION).

Nursing Mothers

It is not known whether nystatin is excreted in human milk. Caution should be exercised when nystatin is prescribed for a nursing woman.

Laboratory Tests

If there is a lack of therapeutic response, KOH smears, cultures, or other diagnostic methods should be repeated.

Pharmacokinetics

Nystatin is not absorbed from intact skin or mucous membrane.

Information for the Patient

Patients using this medication should receive the following information and instructions:

  • 1.
    The patient should be instructed to use this medication as directed (including the replacement of missed doses). This medication is not for any disorder other than that for which it is prescribed.
  • 2.
    Even if symptomatic relief occurs within the first few days of treatment, the patient should be advised not to interrupt or discontinue therapy until the prescribed course of treatment is completed.
  • 3.
    If symptoms of irritation develop, the patient should be advised to notify the physician promptly.
Pregnancy: Teratogenic Effects

Category C. Animal reproduction studies have not been conducted with any nystatin topical preparation. It also is not known whether these preparations can cause fetal harm when used by a pregnant woman or can affect reproductive capacity. Nystatin topical preparations should be prescribed for a pregnant woman only if the potential benefit to the mother outweighs the potential risk to the fetus.

Adults and Pediatric Patients (neonates and Older):

Apply to candidal lesions two or three times daily until healing is complete. For fungal infection of the feet caused by Candida species, the powder should be dusted on the feet, as well as, in all foot wear.

Carcinogenesis, Mutagenesis, Impairment of Fertility

No long-term animal studies have been performed to evaluate the carcinogenic potential of nystatin. No studies have been performed to determine the mutagenicity of nystatin or its effects on male or female fertility


Structured Label Content

Section 51945-4 (51945-4)

Nystatin Topical Powder  100,000 USP Units Per Gram 

15 grams

General

Nystatin Topical Powder should not be used for the treatment of systemic, oral, intravaginal or ophthalmic infections.

If irritation or sensitization develops, treatment should be discontinued and appropriate measures taken as indicated. It is recommended that KOH smears, cultures, or other diagnostic methods be used to confirm the diagnosis of cutaneous or mucocutaneous candidiasis and to rule out infection caused by other pathogens.

Description (DESCRIPTION)

Nystatin is a polyene antifungal antibiotic obtained from Streptomyces nursei. The molecular formula for Nystatin is C47H75NO17. The molecular weight of Nystatin is 926.1.

Structural formula:

Nystatin Topical Powder USP is for dermatologic use.

Nystatin Topical Powder USP contains 100,000 USP nystatin units per gram dispersed in talc.

How Supplied (HOW SUPPLIED)

Nystop® Nystatin Topical Powder USP is supplied as 100,000 units nystatin per gram in 15 g, 30 g and 60 g plastic squeeze bottles.

  • NDC: 72162-1124-2: 15 g in a BOTTLE
  • NDC: 72162-1124-3: 30 g in a BOTTLE
  • NDC: 72162-1124-6: 60 g in a BOTTLE

STORAGE

Store at controlled room temperature 15°-30°C (59°-86°F); avoid excessive heat (40°C; 104°F).

Repackaged/Relabeled by:

Bryant Ranch Prepack, Inc.

Burbank, CA 91504

Microbiology

Nystatin is an antibiotic which is both fungistatic and fungicidal in vitro against a wide variety of yeasts and yeast-like fungi, including Candida albicans, C. parapsilosis, C. tropicalis, C. guilliermondi, C. pseudotropicalis, C. krusei, Torulopsis glabrata, Tricophyton rubrum, T. mentagrophytes.

Nystatin acts by binding to sterols in the cell membrane of susceptible species resulting in a change in membrane permeability and the subsequent leakage of intracellular components. On repeated subculturing with increasing levels of nystatin, Candida albicans does not develop resistance to nystatin. Generally, resistance to nystatin does not develop during therapy. However, other species of Candida (C, tropicalis, C. guillier mondi, C. krusei, and C. stellatoides) become quite resistant on treatment with nystatin and simultaneously become cross resistant to amphotericin as well. This resistance is lost when the antibiotic is removed. Nystatin exhibits no appreciable activity against bacteria, protozoa, or viruses.

Pediatric Use

Safety and effectiveness have been established in the pediatric population from birth to 16 years. (See DOSAGE AND ADMINISTRATION).

Nursing Mothers

It is not known whether nystatin is excreted in human milk. Caution should be exercised when nystatin is prescribed for a nursing woman.

Laboratory Tests

If there is a lack of therapeutic response, KOH smears, cultures, or other diagnostic methods should be repeated.

Pharmacokinetics

Nystatin is not absorbed from intact skin or mucous membrane.

Adverse Reactions (ADVERSE REACTIONS)

The frequency of adverse events reported in patients using nystatin topical preparations is less than 0.1%. The more common events that were reported include allergic reactions, burning, itching, rash, eczema, and pain on application. (See PRECAUTIONS: General.)

Contraindications (CONTRAINDICATIONS)

Nystatin Topical Powder is contraindicated in patients with a history of hypersensitivity to any of its components.

Indications and Usage (INDICATIONS AND USAGE)

Nystatin Topical Powder is indicated in the treatment of cutaneous or mucocutaneous mycotic infections caused by Candida albicans and other susceptible Candida species.

This preparation is not indicated for systemic, oral, intravaginal or ophthalmic use.

Dosage and Administration (DOSAGE AND ADMINISTRATION)

Very moist lesions are best treated with the topical dusting powder.

Information for the Patient (INFORMATION FOR THE PATIENT)

Patients using this medication should receive the following information and instructions:

  • 1.
    The patient should be instructed to use this medication as directed (including the replacement of missed doses). This medication is not for any disorder other than that for which it is prescribed.
  • 2.
    Even if symptomatic relief occurs within the first few days of treatment, the patient should be advised not to interrupt or discontinue therapy until the prescribed course of treatment is completed.
  • 3.
    If symptoms of irritation develop, the patient should be advised to notify the physician promptly.
Pregnancy: Teratogenic Effects

Category C. Animal reproduction studies have not been conducted with any nystatin topical preparation. It also is not known whether these preparations can cause fetal harm when used by a pregnant woman or can affect reproductive capacity. Nystatin topical preparations should be prescribed for a pregnant woman only if the potential benefit to the mother outweighs the potential risk to the fetus.

Adults and Pediatric Patients (neonates and Older): (Adults and Pediatric Patients (Neonates and Older):)

Apply to candidal lesions two or three times daily until healing is complete. For fungal infection of the feet caused by Candida species, the powder should be dusted on the feet, as well as, in all foot wear.

Carcinogenesis, Mutagenesis, Impairment of Fertility

No long-term animal studies have been performed to evaluate the carcinogenic potential of nystatin. No studies have been performed to determine the mutagenicity of nystatin or its effects on male or female fertility


Advanced Ingredient Data


Raw Label Data

All Sections (JSON)