Amikacin

Amikacin
SPL v10
SPL
SPL Set ID 0b56f6df-a05d-4520-8bf0-d7cefe20f6ad
Routes
INTRAMUSCULAR INTRAVENOUS
Published
Effective Date 2024-04-08
Document Type 34391-3 HUMAN PRESCRIPTION DRUG LABEL

Drug Facts

Composition & Product

Active Ingredients
Amikacin (250 mg)
Inactive Ingredients
Sodium Metabisulfite Sulfuric Acid Water Sodium Citrate

Identifiers & Packaging

Marketing Status
ANDA Active Since 2015-08-01

Description

Rx only To reduce the development of drug-resistant bacteria and maintain the effectiveness of the amikacin and other antibacterial drugs, amikacin should be used only to treat or prevent infections that are proven or strongly suspected to be caused by bacteria.

Indications and Usage

Amikacin Sulfate Injection is indicated in the short-term treatment of serious infections due to susceptible strains of Gram-negative bacteria, including Pseudomonas species, Escherichia coli , species of indole-positive and indole-negative Proteus , Providencia species, Klebsiella-Enterobacter-Serratia species, and Acinetobacter ( Mima-Herellea ) species. Clinical studies have shown Amikacin Sulfate Injection to be effective in bacterial septicemia (including neonatal sepsis); in serious infections of the respiratory tract, bones and joints, central nervous system (including meningitis) and skin and soft tissue; intra-abdominal infections (including peritonitis); and in burns and post-operative infections (including post-vascular surgery). Clinical studies have shown amikacin also to be effective in serious complicated and recurrent urinary tract infections due to these organisms. Aminoglycosides, including Amikacin Sulfate Injection are not indicated in uncomplicated initial episodes of urinary tract infections unless the causative organisms are not susceptible to antibiotics having less potential toxicity. Bacteriologic studies should be performed to identify causative organisms and their susceptibilities to amikacin. Amikacin may be considered as initial therapy in suspected Gram-negative infections and therapy may be instituted before obtaining the results of susceptibility testing. Clinical trials demonstrated that amikacin was effective in infections caused by gentamicin- and/or tobramycin-resistant strains of Gram-negative organisms, particularly Proteus rettgeri , Providencia stuartii , Serratia marcescens , and Pseudomonas aeruginosa . The decision to continue therapy with the drug should be based on results of the susceptibility tests, the severity of the infection, the response of the patient and the important additional considerations contained in the  WARNINGS box above. Amikacin has also been shown to be effective in staphylococcal infections and may be considered as initial therapy under certain conditions in the treatment of known or suspected staphylococcal disease such as, severe infections where the causative organism may be either a Gram-negative bacterium or a staphylococcus, infections due to susceptible strains of staphylococci in patients allergic to other antibiotics, and in mixed staphylococci/Gram-negative infections. In certain severe infections such as neonatal sepsis, concomitant therapy with a penicillin-type drug may be indicated because of the possibility of infections due to Gram-positive organisms such as streptococci or pneumococci. To reduce the development of drug-resistant bacteria and maintain the effectiveness of amikacin and other antibacterial drugs, amikacin should be used only to treat or prevent infections that are proven or strongly suspected to be caused by susceptible bacteria. When culture and susceptibility information are available, they should be considered in selecting or modifying antibacterial therapy. In the absence of such data, local epidemiology and susceptibility patterns may contribute to the empiric selection of therapy.

Dosage and Administration

The patient’s pretreatment body weight should be obtained for calculation of correct dosage. Amikacin Sulfate Injection may be given intramuscularly or intravenously. The status of renal function should be estimated by measurement of the serum creatinine concentration or calculation of the endogenous creatinine clearance rate. The blood urea nitrogen (BUN) is much less reliable for this purpose. Reassessment of renal function should be made periodically during therapy. Whenever possible, amikacin concentrations in serum should be measured to assure adequate but not excessive levels. It is desirable to measure both peak and trough serum concentrations intermittently during therapy. Peak concentrations (30 to 90 minutes after injection) above 35 micrograms per mL and trough concentrations (just prior to the next dose) above 10 micrograms per mL should be avoided. Dosage should be adjusted as indicated.

Contraindications

A history of hypersensitivity to amikacin is a contraindication for its use. A history of hypersensitivity or serious toxic reactions to aminoglycosides may contraindicate the use of any other aminoglycoside because of the known cross-sensitivities of patients to drugs in this class.

Adverse Reactions

All aminoglycosides have the potential to induce auditory, vestibular, and renal toxicity and neuromuscular blockade (see  WARNINGS box). They occur more frequently in patients with present or past history of renal impairment, of treatment with other ototoxic or nephrotoxic drugs, and in patients treated for longer periods and/or with higher doses than recommended.

How Supplied

Amikacin Sulfate Injection, USP is supplied as a colorless solution which requires no refrigeration. At times the solution may become a very pale yellow; this does not indicate a decrease in potency. Amikacin Sulfate Injection, USP, 250 mg/mL, is supplied as follows:    NDC 0641-6167-10, 2 mL Single Dose Vial packaged in a carton of 10    NDC 0641-6166-10, 4 mL Vial packaged in a carton of 10 Store at 20° to 25°C (68° to 77°F) [See USP Controlled Room Temperature]. To report SUSPECTED ADVERSE REACTIONS, contact Hikma Pharmaceuticals USA Inc. at 1-877-845-0689, or the FDA at 1-800-FDA-1088 or www.fda.gov/medwatch . For Product Inquiry call 1-877-845-0689.


Medication Information

Indications and Usage

Amikacin Sulfate Injection is indicated in the short-term treatment of serious infections due to susceptible strains of Gram-negative bacteria, including Pseudomonas species, Escherichia coli, species of indole-positive and indole-negative Proteus, Providencia species, Klebsiella-Enterobacter-Serratia species, and Acinetobacter (Mima-Herellea) species.

Clinical studies have shown Amikacin Sulfate Injection to be effective in bacterial septicemia (including neonatal sepsis); in serious infections of the respiratory tract, bones and joints, central nervous system (including meningitis) and skin and soft tissue; intra-abdominal infections (including peritonitis); and in burns and post-operative infections (including post-vascular surgery). Clinical studies have shown amikacin also to be effective in serious complicated and recurrent urinary tract infections due to these organisms. Aminoglycosides, including Amikacin Sulfate Injection are not indicated in uncomplicated initial episodes of urinary tract infections unless the causative organisms are not susceptible to antibiotics having less potential toxicity.

Bacteriologic studies should be performed to identify causative organisms and their susceptibilities to amikacin. Amikacin may be considered as initial therapy in suspected Gram-negative infections and therapy may be instituted before obtaining the results of susceptibility testing. Clinical trials demonstrated that amikacin was effective in infections caused by gentamicin- and/or tobramycin-resistant strains of Gram-negative organisms, particularly Proteus rettgeri, Providencia stuartii, Serratia marcescens, and Pseudomonas aeruginosa. The decision to continue therapy with the drug should be based on results of the susceptibility tests, the severity of the infection, the response of the patient and the important additional considerations contained in the  WARNINGS box above.

Amikacin has also been shown to be effective in staphylococcal infections and may be considered as initial therapy under certain conditions in the treatment of known or suspected staphylococcal disease such as, severe infections where the causative organism may be either a Gram-negative bacterium or a staphylococcus, infections due to susceptible strains of staphylococci in patients allergic to other antibiotics, and in mixed staphylococci/Gram-negative infections.

In certain severe infections such as neonatal sepsis, concomitant therapy with a penicillin-type drug may be indicated because of the possibility of infections due to Gram-positive organisms such as streptococci or pneumococci.

To reduce the development of drug-resistant bacteria and maintain the effectiveness of amikacin and other antibacterial drugs, amikacin should be used only to treat or prevent infections that are proven or strongly suspected to be caused by susceptible bacteria. When culture and susceptibility information are available, they should be considered in selecting or modifying antibacterial therapy. In the absence of such data, local epidemiology and susceptibility patterns may contribute to the empiric selection of therapy.

Dosage and Administration

The patient’s pretreatment body weight should be obtained for calculation of correct dosage. Amikacin Sulfate Injection may be given intramuscularly or intravenously.

The status of renal function should be estimated by measurement of the serum creatinine concentration or calculation of the endogenous creatinine clearance rate. The blood urea nitrogen (BUN) is much less reliable for this purpose. Reassessment of renal function should be made periodically during therapy.

Whenever possible, amikacin concentrations in serum should be measured to assure adequate but not excessive levels. It is desirable to measure both peak and trough serum concentrations intermittently during therapy. Peak concentrations (30 to 90 minutes after injection) above 35 micrograms per mL and trough concentrations (just prior to the next dose) above 10 micrograms per mL should be avoided. Dosage should be adjusted as indicated.

Contraindications

A history of hypersensitivity to amikacin is a contraindication for its use. A history of hypersensitivity or serious toxic reactions to aminoglycosides may contraindicate the use of any other aminoglycoside because of the known cross-sensitivities of patients to drugs in this class.

Adverse Reactions

All aminoglycosides have the potential to induce auditory, vestibular, and renal toxicity and neuromuscular blockade (see  WARNINGS box). They occur more frequently in patients with present or past history of renal impairment, of treatment with other ototoxic or nephrotoxic drugs, and in patients treated for longer periods and/or with higher doses than recommended.

How Supplied

Amikacin Sulfate Injection, USP is supplied as a colorless solution which requires no refrigeration. At times the solution may become a very pale yellow; this does not indicate a decrease in potency.

Amikacin Sulfate Injection, USP, 250 mg/mL, is supplied as follows:

   NDC 0641-6167-10, 2 mL Single Dose Vial packaged in a carton of 10

   NDC 0641-6166-10, 4 mL Vial packaged in a carton of 10

Store at 20° to 25°C (68° to 77°F) [See USP Controlled Room Temperature].

To report SUSPECTED ADVERSE REACTIONS, contact Hikma Pharmaceuticals USA Inc. at 1-877-845-0689, or the FDA at 1-800-FDA-1088 or www.fda.gov/medwatch .

For Product Inquiry call 1-877-845-0689.

Description

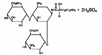
Amikacin sulfate is semi-synthetic aminoglycoside antibiotic derived from kanamycin. It is C22H43N5O13•2H2SO4O-3-amino-3-deoxy-α-D-glucopyranosyl-(1→4)-O-[6-amino-6-deoxy-α-D-glucopyranosyl-(1→6)]-N3 -(4-amino-L-2-hydroxybutyryl)-2-deoxy-L-streptamine sulfate (1:2)

M.W. 585.61

The dosage form is supplied as a sterile, colorless to light straw colored solution for intramuscular or intravenous use. Each mL contains 250 mg amikacin (as the sulfate), 0.66% sodium metabisulfite, 2.5% sodium citrate dihydrate with pH adjusted to 4.5 with sulfuric acid.

Other

In addition to those described above, other adverse reactions which have been reported on rare occasions are skin rash, drug fever, headache, paresthesia, tremor, nausea and vomiting, eosinophilia, arthralgia, anemia, hypotension and hypomagnesemia. Macular infarction sometimes leading to permanent loss of vision has been reported following intravitreous administration (injection into the eye) of amikacin.

Section 42229-5

Rx only

To reduce the development of drug-resistant bacteria and maintain the effectiveness of the amikacin and other antibacterial drugs, amikacin should be used only to treat or prevent infections that are proven or strongly suspected to be caused by bacteria.

General

Pharmacokinetic studies in normal adult subjects reveal the mean serum half-life to be slightly over 2 hours with a mean total apparent volume of distribution of 24 liters (28% of the body weight). By the ultrafiltration technique, reports of serum protein binding range from 0 to 11%. The mean serum clearance rate is about 100 mL/min and the renal clearance rate is 94 mL/min in subjects with normal renal function.

Amikacin is excreted primarily by glomerular filtration. Patients with impaired renal function or diminished glomerular filtration pressure excrete the drug much more slowly (effectively prolonging the serum half-life). Therefore, renal function should be monitored carefully and dosage adjusted accordingly (see suggested dosage schedule under DOSAGE AND ADMINISTRATION ).

Following administration at the recommended dose, therapeutic levels are found in bone, heart, gallbladder, and lung tissue in addition to significant concentrations in urine, bile, sputum, bronchial secretions, interstitial, pleural, and synovial fluids.

Spinal fluid levels in normal infants are approximately 10 to 20% of the serum concentrations and may reach 50% when the meninges are inflamed. Amikacin has been demonstrated to cross the placental barrier and yield significant concentrations in amniotic fluid. The peak fetal serum concentration is about 16% of the peak maternal serum concentration and maternal and fetal serum half-life values are about 2 and 3.7 hours, respectively.

Warnings

Patients treated with parenteral aminoglycosides should be under close clinical observation because of the potential ototoxicity and nephrotoxicity associated with their use. Safety for treatment periods which are longer than 14 days has not been established.

Neurotoxicity, manifested as vestibular and permanent bilateral auditory ototoxicity, can occur in patients with preexisting renal damage and in patients with normal renal function treated at higher doses and/or for periods longer than those recommended. The risk of aminoglycoside-induced ototoxicity is greater in patients with renal damage. High frequency deafness usually occurs first and can be detected only by audiometric testing. Vertigo may occur and may be evidence of vestibular injury. Other manifestations of neurotoxicity may include numbness, skin tingling, muscle twitching and convulsions. The risk of hearing loss due to aminoglycosides increases with the degree of exposure to either high peak or high trough serum concentrations. Patients developing cochlear damage may not have symptoms during therapy to warn them of developing eighth-nerve toxicity, and total or partial irreversible bilateral deafness may occur after the drug has been discontinued. Aminoglycoside-induced ototoxicity is usually irreversible.

Aminoglycosides are potentially nephrotoxic. The risk of nephrotoxicity is greater in patients with impaired renal function and in those who receive high doses or prolonged therapy.

Neuromuscular blockade and respiratory paralysis have been reported following parenteral injection, topical instillation (as in orthopedic and abdominal irrigation or in local treatment of empyema), and following oral use of aminoglycosides. The possibility of these phenomena should be considered if aminoglycosides are administered by any route, especially in patients receiving anesthetics, neuromuscular blocking agents such as tubocurarine, succinylcholine, decamethonium, or in patients receiving massive transfusions of citrate-anticoagulated blood. If blockage occurs, calcium salts may reverse these phenomena, but mechanical respiratory assistance may be necessary.

Renal and eighth-nerve function should be closely monitored especially in patients with known or suspected renal impairment at the onset of therapy and also in those whose renal function is initially normal but who develop signs of renal dysfunction during therapy. Serum concentrations of amikacin should be monitored when feasible to assure adequate levels and to avoid potentially toxic levels and prolonged peak concentrations above 35 micrograms per mL. Urine should be examined for decreased specific gravity, increased excretion of proteins, and the presence of cells or casts. Blood urea nitrogen, serum creatinine, or creatinine clearance should be measured periodically. Serial audiograms should be obtained where feasible in patients old enough to be tested, particularly high risk patients. Evidence of ototoxicity (dizziness, vertigo, tinnitus, roaring in the ears, and hearing loss) or nephrotoxicity requires discontinuation of the drug or dosage adjustment.

Concurrent and/or sequential systemic, oral or topical use of other neurotoxic or nephrotoxic products, particularly bacitracin, cisplatin, amphotericin B, cephaloridine, paromomycin, viomycin, polymyxin B, colistin, vancomycin, or other aminoglycosides should be avoided. Other factors that may increase risk of toxicity are advanced age and dehydration.

The concurrent use of amikacin with potent diuretics (ethacrynic acid, or furosemide) should be avoided since diuretics by themselves may cause ototoxicity. In addition, when administered intravenously, diuretics may enhance aminoglycoside toxicity by altering antibiotic concentrations in serum and tissue.

Pregnancy

Teratogenic Effects; Pregnancy

(See  WARNINGS section.)

Overdosage

In the event of overdosage or toxic reaction, peritoneal dialysis or hemodialysis will aid in the removal of amikacin from the blood. In the newborn infant, exchange transfusion may also be considered.

References
  • Clinical and Laboratory Standards Institute (CLSI). Methods for Dilution Antimicrobial Susceptibility Tests for Bacteria that Grow Aerobically; Approved Standard - Tenth Edition. CLSI document M07-A10, Clinical and Laboratory Standards Institute, 950 West Valley Road, Suite 2500, Wayne, Pennsylvania 19087, USA, 2015.
  • Clinical and Laboratory Standards Institute (CLSI). Performance Standards for Antimicrobial Disk Diffusion Susceptibility Tests; Approved Standard – Twelfth Edition. CLSI document M02-A12, Clinical and Laboratory Standards Institute, 950 West Valley Road, Suite 2500, Wayne, Pennsylvania 19087, USA, 2015.
  • Clinical and Laboratory Standards Institute (CLSI). Performance Standards for Antimicrobial Susceptibility Testing; Twenty-fifth Informational Supplement. CLSI document M100-S25.  Clinical and Laboratory Standards Institute, 950 West Valley Road, Suite 2500, Wayne, Pennsylvania 19087, USA, 2015.

Manufactured by:

Hikma Pharmaceuticals USA Inc.

Berkeley Heights, NJ 07922

Revised February 2023

462-711-03

Pediatric Use

Aminoglycosides should be used with caution in premature and neonatal infants because of the renal immaturity of these patients and the resulting prolongation of serum half-life of these drugs.

Nephrotoxicity

Elevation of serum creatinine, albuminuria, presence of red and white cells, casts, azotemia, and oliguria have been reported. Renal function changes are usually reversible when the drug is discontinued. As would be expected with any aminoglycoside, reports of toxic nephropathy and acute renal failure have been received during postmarketing surveillance.

Nursing Mothers

It is not known whether amikacin is excreted in human milk. Because many drugs are excreted in human milk and because of the potential for serious adverse reactions in nursing infants from amikacin, a decision should be made whether to discontinue nursing or to discontinue the drug, taking into account the importance of the drug to the mother.

Mechanism of Action

Amikacin, an aminoglycoside, binds to the prokaryotic ribosome, inhibiting protein synthesis in susceptible bacteria. It is bactericidal in vitro against Gram-positive and Gram-negative bacteria.

Antimicrobial Activity

Amikacin has been shown to be active against the following bacteria, both in vitro and in clinical infections [see INDICATIONS AND USAGE].

Gram-positive Bacteria

Staphylococcus species

Gram-negative Bacteria

Pseudomonas species

Escherichia coli

Proteus species (indole-positive and indole-negative)

Klebsiella species

Enterobacter species

Serratia species

Acinetobacter species

Amikacin has demonstrated in vitro activity against the following bacteria. The safety and effectiveness of amikacin in treating clinical infections due to these bacteria have not been established in adequate and well-controlled trials.

Citrobacter freundii

Stability in Iv Fluids

Amikacin sulfate is stable for 24 hours at room temperature at concentrations of 0.25 and 5 mg/mL in the following solutions:

5% Dextrose Injection

5% Dextrose and 0.2% Sodium Chloride Injection

5% Dextrose and 0.45% Sodium Chloride Injection

0.9% Sodium Chloride Injection

Lactated Ringer’s Injection

Normosol® M in 5% Dextrose Injection (or Plasma-Lyte 56 Injection in 5% Dextrose in Water)

Normosol® R in 5% Dextrose Injection (or Plasma-Lyte 148 Injection in 5% Dextrose in Water)

In the above solutions with Amikacin Sulfate Injection concentrations of 0.25 and 5 mg/mL, solutions aged for 60 days at 4°C and then stored at 25°C had utility times of 24 hours.

At the same concentrations, solutions frozen and aged for 30 days at -15°C, thawed, and stored at 25°C had utility times of 24 hours.

Parenteral drug products should be inspected visually for particulate matter and discoloration prior to administration whenever solution and container permit.

Aminoglycosides administered by any of the above routes should not be physically premixed with other drugs but should be administered separately.

Because of the potential toxicity of aminoglycosides, “fixed dosage” recommendations which are not based upon body weight are not advised. Rather, it is essential to calculate the dosage to fit the needs of each patient.

Mechanism of Resistance

Aminoglycosides are known to be ineffective against Salmonella and Shigella species in patients. Therefore, in vitro susceptibility test results should not be reported.

Amikacin resists degradation by certain aminoglycoside inactivating enzymes known to affect gentamicin, tobramycin, and kanamycin.

Aminoglycosides in general have a low order of activity against Gram-positive organisms other than Staphylococcal isolates.

Principal Display Panel

NDC 0641-6167-01       Rx only

Amikacin

Sulfate

Injection, USP


equivalent to amikacin

500 mg per 2 mL

(250 mg/mL)

For IM or IV use


2 mL Single Dose Vial

 

NDC 0641-6167-10       Rx only

Amikacin

Sulfate Injection, USP


equivalent to amikacin

500 mg per 2 mL

(250 mg/mL)

For Intramuscular or

Intravenous use


10 x 2 mL Single Dose Vials

 

Information for Patients

Patients should be counseled that antibacterial drugs including amikacin should only be used to treat bacterial infections. They do not treat viral infections (e.g., the common cold). When amikacin is prescribed to treat a bacterial infection, patients should be told that although it is common to feel better early in the course of therapy, the medication should be taken exactly as directed. Skipping doses or not completing the full course of therapy may (1) decrease the effectiveness of the immediate treatment and (2) increase the likelihood that bacteria will develop resistance and will not be treatable by amikacin or other antibacterial drugs in the future.

Diarrhea is a common problem caused by antibiotics which usually ends when the antibiotic is discontinued. Sometimes after starting treatment with antibiotics, patients can develop watery and bloody stools (with or without stomach cramps and fever) even as late as two or more months after having taken the last dose of the antibiotic. If this occurs, patients should contact their physician as soon as possible.

Neurotoxicity Ototoxicity

Toxic effects on the eighth cranial nerve can result in hearing loss, loss of balance, or both. Amikacin primarily affects auditory function. Cochlear damage includes high frequency deafness and usually occurs before clinical hearing loss can be detected.

Intravenous Administration

Single doses of 500 mg (7.5 mg/kg) administered to normal adults as an infusion over a period of 30 minutes produced a mean peak serum concentration of 38 mcg/mL at the end of the infusion, and levels of 24 mcg/mL, 18 mcg/mL, and 0.75 mcg/mL at 30 minutes, 1 hour, and 10 hours post-infusion, respectively. Eighty-four percent of the administered dose was excreted in the urine in 9 hours and about 94% within 24 hours.

Repeat infusions of 7.5 mg/kg every 12 hours in normal adults were well tolerated and caused no drug accumulation.

Susceptibility Test Methods

For specific information regarding susceptibility test interpretive criteria and associated test methods and quality control standards recognized by FDA for this drug,

please see: https://www.fda.gov/Drugs/DevelopmentApprovalProcess/DevelopmentResources/ucm410971.htm

Intramuscular Administration

Amikacin is rapidly absorbed after intramuscular administration. In normal adult volunteers, average peak serum concentrations of about 12, 16, and 21 mcg/mL are obtained 1 hour after intramuscular administration of 250 mg (3.7 mg/kg), 375 mg (5 mg/kg), 500 mg (7.5 mg/kg), single doses, respectively. At 10 hours, serum levels are about 0.3 mcg/mL, 1.2 mcg/mL, and 2.1 mcg/mL, respectively.

Tolerance studies in normal volunteers reveal that amikacin is well tolerated locally following repeated intramuscular dosing, and when given at maximally recommended doses, no ototoxicity or nephrotoxicity has been reported. There is no evidence of drug accumulation with repeated dosing for 10 days when administered according to recommended doses.

With normal renal function, about 91.9% of an intramuscular dose is excreted unchanged in the urine in the first 8 hours, and 98.2% within 24 hours. Mean urine concentrations for 6 hours are 563 mcg/mL following a 250 mg dose, 697 mcg/mL following a 375 mg dose, and 832 mcg/mL following a 500 mg dose.

Preliminary intramuscular studies in newborns of different weights (less than 1.5 kg, 1.5 to 2 kg, over 2 kg) at a dose of 7.5 mg/kg revealed that, like other aminoglycosides, serum half-life values were correlated inversely with post-natal age and renal clearances of amikacin. The volume of distribution indicates that amikacin, like other aminoglycosides, remains primarily in the extracellular fluid space of neonates. Repeated dosing every 12 hours in all the above groups did not demonstrate accumulation after 5 days.

Neurotoxicity Neuromuscular Blockade

Acute muscular paralysis and apnea can occur following treatment with aminoglycoside drugs.

Normal Dosage At Prolonged Intervals

If the creatinine clearance rate is not available and the patient’s condition is stable, a dosage interval in hours for the normal dose can be calculated by multiplying the patient’s serum creatinine by 9, e.g., if the serum creatinine concentration is 2 mg/100 mL, the recommended single dose (7.5 mg/kg) should be administered every 18 hours.

Interaction With Other Antimicrobials

In vitro studies have shown that amikacin sulfate combined with a beta-lactam antibiotic acts synergistically against many clinically significant Gram-negative organisms.

Reduced Dosage At Fixed Time Intervals

When renal function is impaired and it is desirable to administer amikacin at a fixed time interval, dosage must be reduced. In these patients, serum amikacin concentrations should be measured to assure accurate administration of amikacin and to avoid concentrations above 35 mcg/mL. If serum assay determinations are not available and the patient’s condition is stable, serum creatinine and creatinine clearance values are the most readily available indicators of the degree of renal impairment to use as a guide for dosage.

First, initiate therapy by administering a normal dose, 7.5 mg/kg, as a loading dose. This loading dose is the same as the normally recommended dose which would be calculated for a patient with a normal renal function as described above.

To determine the size of maintenance doses administered every 12 hours, the loading dose should be reduced in proportion to the reduction in the patient’s creatinine clearance rate:

 Maintenance Dose Every 12 hours   =    observed CC in mL/min    X   Calculated loading dose in mg
 normal CC in mL/min
 (CC - creatinine clearance rate)

An alternate rough guide for determining reduced dosage at 12-hour intervals (for patients whose steady state serum creatinine values are known) is to divide the normally recommended dose by the patient’s serum creatinine.

The above dosage schedules are not intended to be rigid recommendations but are provided as guides to dosage when the measurement of amikacin serum levels is not feasible.

Carcinogenesis, Mutagenesis, Impairment of Fertility

Long term studies in animals to evaluate carcinogenic potential have not been performed, and mutagenicity has not been studied. Amikacin administered subcutaneously to rats at doses up to 4 times the human daily dose did not impair male or female fertility.

Intramuscular Administration for Patients With Normal Renal Function

The recommended dosage for adults, children and older infants (see  WARNINGS box) with normal renal function is 15 mg/kg/day divided into 2 or 3 equal doses administered at equally-divided intervals, i.e., 7.5 mg/kg q12h or 5 mg/kg q8h. Treatment of patients in the heavier weight classes should not exceed 1.5 gram/day.

When amikacin is indicated in newborns (see  WARNINGS box), it is recommended that a loading dose of 10 mg/kg be administered initially to be followed with 7.5 mg/kg every 12 hours.

The usual duration of treatment is 7 to 10 days. It is desirable to limit the duration of treatment to short term whenever feasible. The total daily dose by all routes of administration should not exceed 15 mg/kg/day. In difficult and complicated infections where treatment beyond 10 days is considered, the use of amikacin should be reevaluated. If continued, amikacin serum levels, and renal, auditory, and vestibular functions should be monitored. At the recommended dosage level, uncomplicated infections due to amikacin-sensitive organisms should respond in 24 to 48 hours. If definite clinical response does not occur within 3 to 5 days, therapy should be stopped and the antibiotic susceptibility pattern of the invading organism should be rechecked. Failure of the infection to respond may be due to resistance of the organism or to the presence of septic foci requiring surgical drainage.

When amikacin is indicated in uncomplicated urinary tract infections, a dose of 250 mg twice daily may be used.

DOSAGE GUIDELINES

ADULTS AND CHILDREN WITH NORMAL RENAL FUNCTION
Patient Weight  Dosage
lbs kg 7.5 mg/kg

q12h 
OR  5 mg/kg

q8h
99  45 337.5 mg 225 mg
110 50 375 mg 250 mg
121  55 412.5 mg 275 mg
132 60 450 mg 300 mg
143 65 487.5 mg 325 mg
154 70 525 mg 350 mg
165 75 562.5 mg 375 mg
176 80 600 mg 400 mg
187 85 637.5 mg 425 mg
198 90 675 mg 450 mg
209 95 712.5 mg 475 mg
220 100 750 mg 500 mg
Intramuscular Administration for Patients With Impaired Renal Function

Whenever possible, serum amikacin concentrations should be monitored by appropriate assay procedures. Doses may be adjusted in patients with impaired renal function either by administering normal doses at prolonged intervals or by administering reduced doses at a fixed interval.

Both methods are based on the patient’s creatinine clearance or serum creatinine values since these have been found to correlate with aminoglycoside half-lives in patients with diminished renal function. These dosage schedules must be used in conjunction with careful clinical and laboratory observations of the patient and should be modified as necessary. Neither method should be used when dialysis is being performed.


Structured Label Content

Other

In addition to those described above, other adverse reactions which have been reported on rare occasions are skin rash, drug fever, headache, paresthesia, tremor, nausea and vomiting, eosinophilia, arthralgia, anemia, hypotension and hypomagnesemia. Macular infarction sometimes leading to permanent loss of vision has been reported following intravitreous administration (injection into the eye) of amikacin.

Section 42229-5 (42229-5)

Rx only

To reduce the development of drug-resistant bacteria and maintain the effectiveness of the amikacin and other antibacterial drugs, amikacin should be used only to treat or prevent infections that are proven or strongly suspected to be caused by bacteria.

General

Pharmacokinetic studies in normal adult subjects reveal the mean serum half-life to be slightly over 2 hours with a mean total apparent volume of distribution of 24 liters (28% of the body weight). By the ultrafiltration technique, reports of serum protein binding range from 0 to 11%. The mean serum clearance rate is about 100 mL/min and the renal clearance rate is 94 mL/min in subjects with normal renal function.

Amikacin is excreted primarily by glomerular filtration. Patients with impaired renal function or diminished glomerular filtration pressure excrete the drug much more slowly (effectively prolonging the serum half-life). Therefore, renal function should be monitored carefully and dosage adjusted accordingly (see suggested dosage schedule under DOSAGE AND ADMINISTRATION ).

Following administration at the recommended dose, therapeutic levels are found in bone, heart, gallbladder, and lung tissue in addition to significant concentrations in urine, bile, sputum, bronchial secretions, interstitial, pleural, and synovial fluids.

Spinal fluid levels in normal infants are approximately 10 to 20% of the serum concentrations and may reach 50% when the meninges are inflamed. Amikacin has been demonstrated to cross the placental barrier and yield significant concentrations in amniotic fluid. The peak fetal serum concentration is about 16% of the peak maternal serum concentration and maternal and fetal serum half-life values are about 2 and 3.7 hours, respectively.

Warnings (WARNINGS)

Patients treated with parenteral aminoglycosides should be under close clinical observation because of the potential ototoxicity and nephrotoxicity associated with their use. Safety for treatment periods which are longer than 14 days has not been established.

Neurotoxicity, manifested as vestibular and permanent bilateral auditory ototoxicity, can occur in patients with preexisting renal damage and in patients with normal renal function treated at higher doses and/or for periods longer than those recommended. The risk of aminoglycoside-induced ototoxicity is greater in patients with renal damage. High frequency deafness usually occurs first and can be detected only by audiometric testing. Vertigo may occur and may be evidence of vestibular injury. Other manifestations of neurotoxicity may include numbness, skin tingling, muscle twitching and convulsions. The risk of hearing loss due to aminoglycosides increases with the degree of exposure to either high peak or high trough serum concentrations. Patients developing cochlear damage may not have symptoms during therapy to warn them of developing eighth-nerve toxicity, and total or partial irreversible bilateral deafness may occur after the drug has been discontinued. Aminoglycoside-induced ototoxicity is usually irreversible.

Aminoglycosides are potentially nephrotoxic. The risk of nephrotoxicity is greater in patients with impaired renal function and in those who receive high doses or prolonged therapy.

Neuromuscular blockade and respiratory paralysis have been reported following parenteral injection, topical instillation (as in orthopedic and abdominal irrigation or in local treatment of empyema), and following oral use of aminoglycosides. The possibility of these phenomena should be considered if aminoglycosides are administered by any route, especially in patients receiving anesthetics, neuromuscular blocking agents such as tubocurarine, succinylcholine, decamethonium, or in patients receiving massive transfusions of citrate-anticoagulated blood. If blockage occurs, calcium salts may reverse these phenomena, but mechanical respiratory assistance may be necessary.

Renal and eighth-nerve function should be closely monitored especially in patients with known or suspected renal impairment at the onset of therapy and also in those whose renal function is initially normal but who develop signs of renal dysfunction during therapy. Serum concentrations of amikacin should be monitored when feasible to assure adequate levels and to avoid potentially toxic levels and prolonged peak concentrations above 35 micrograms per mL. Urine should be examined for decreased specific gravity, increased excretion of proteins, and the presence of cells or casts. Blood urea nitrogen, serum creatinine, or creatinine clearance should be measured periodically. Serial audiograms should be obtained where feasible in patients old enough to be tested, particularly high risk patients. Evidence of ototoxicity (dizziness, vertigo, tinnitus, roaring in the ears, and hearing loss) or nephrotoxicity requires discontinuation of the drug or dosage adjustment.

Concurrent and/or sequential systemic, oral or topical use of other neurotoxic or nephrotoxic products, particularly bacitracin, cisplatin, amphotericin B, cephaloridine, paromomycin, viomycin, polymyxin B, colistin, vancomycin, or other aminoglycosides should be avoided. Other factors that may increase risk of toxicity are advanced age and dehydration.

The concurrent use of amikacin with potent diuretics (ethacrynic acid, or furosemide) should be avoided since diuretics by themselves may cause ototoxicity. In addition, when administered intravenously, diuretics may enhance aminoglycoside toxicity by altering antibiotic concentrations in serum and tissue.

Pregnancy

Teratogenic Effects; Pregnancy

(See  WARNINGS section.)

Overdosage (OVERDOSAGE)

In the event of overdosage or toxic reaction, peritoneal dialysis or hemodialysis will aid in the removal of amikacin from the blood. In the newborn infant, exchange transfusion may also be considered.

References (REFERENCES)
  • Clinical and Laboratory Standards Institute (CLSI). Methods for Dilution Antimicrobial Susceptibility Tests for Bacteria that Grow Aerobically; Approved Standard - Tenth Edition. CLSI document M07-A10, Clinical and Laboratory Standards Institute, 950 West Valley Road, Suite 2500, Wayne, Pennsylvania 19087, USA, 2015.
  • Clinical and Laboratory Standards Institute (CLSI). Performance Standards for Antimicrobial Disk Diffusion Susceptibility Tests; Approved Standard – Twelfth Edition. CLSI document M02-A12, Clinical and Laboratory Standards Institute, 950 West Valley Road, Suite 2500, Wayne, Pennsylvania 19087, USA, 2015.
  • Clinical and Laboratory Standards Institute (CLSI). Performance Standards for Antimicrobial Susceptibility Testing; Twenty-fifth Informational Supplement. CLSI document M100-S25.  Clinical and Laboratory Standards Institute, 950 West Valley Road, Suite 2500, Wayne, Pennsylvania 19087, USA, 2015.

Manufactured by:

Hikma Pharmaceuticals USA Inc.

Berkeley Heights, NJ 07922

Revised February 2023

462-711-03

Description (DESCRIPTION)

Amikacin sulfate is semi-synthetic aminoglycoside antibiotic derived from kanamycin. It is C22H43N5O13•2H2SO4O-3-amino-3-deoxy-α-D-glucopyranosyl-(1→4)-O-[6-amino-6-deoxy-α-D-glucopyranosyl-(1→6)]-N3 -(4-amino-L-2-hydroxybutyryl)-2-deoxy-L-streptamine sulfate (1:2)

M.W. 585.61

The dosage form is supplied as a sterile, colorless to light straw colored solution for intramuscular or intravenous use. Each mL contains 250 mg amikacin (as the sulfate), 0.66% sodium metabisulfite, 2.5% sodium citrate dihydrate with pH adjusted to 4.5 with sulfuric acid.

How Supplied (HOW SUPPLIED)

Amikacin Sulfate Injection, USP is supplied as a colorless solution which requires no refrigeration. At times the solution may become a very pale yellow; this does not indicate a decrease in potency.

Amikacin Sulfate Injection, USP, 250 mg/mL, is supplied as follows:

   NDC 0641-6167-10, 2 mL Single Dose Vial packaged in a carton of 10

   NDC 0641-6166-10, 4 mL Vial packaged in a carton of 10

Store at 20° to 25°C (68° to 77°F) [See USP Controlled Room Temperature].

To report SUSPECTED ADVERSE REACTIONS, contact Hikma Pharmaceuticals USA Inc. at 1-877-845-0689, or the FDA at 1-800-FDA-1088 or www.fda.gov/medwatch .

For Product Inquiry call 1-877-845-0689.

Pediatric Use

Aminoglycosides should be used with caution in premature and neonatal infants because of the renal immaturity of these patients and the resulting prolongation of serum half-life of these drugs.

Nephrotoxicity

Elevation of serum creatinine, albuminuria, presence of red and white cells, casts, azotemia, and oliguria have been reported. Renal function changes are usually reversible when the drug is discontinued. As would be expected with any aminoglycoside, reports of toxic nephropathy and acute renal failure have been received during postmarketing surveillance.

Nursing Mothers

It is not known whether amikacin is excreted in human milk. Because many drugs are excreted in human milk and because of the potential for serious adverse reactions in nursing infants from amikacin, a decision should be made whether to discontinue nursing or to discontinue the drug, taking into account the importance of the drug to the mother.

Adverse Reactions (ADVERSE REACTIONS)

All aminoglycosides have the potential to induce auditory, vestibular, and renal toxicity and neuromuscular blockade (see  WARNINGS box). They occur more frequently in patients with present or past history of renal impairment, of treatment with other ototoxic or nephrotoxic drugs, and in patients treated for longer periods and/or with higher doses than recommended.

Contraindications (CONTRAINDICATIONS)

A history of hypersensitivity to amikacin is a contraindication for its use. A history of hypersensitivity or serious toxic reactions to aminoglycosides may contraindicate the use of any other aminoglycoside because of the known cross-sensitivities of patients to drugs in this class.

Mechanism of Action

Amikacin, an aminoglycoside, binds to the prokaryotic ribosome, inhibiting protein synthesis in susceptible bacteria. It is bactericidal in vitro against Gram-positive and Gram-negative bacteria.

Indications and Usage (INDICATIONS AND USAGE)

Amikacin Sulfate Injection is indicated in the short-term treatment of serious infections due to susceptible strains of Gram-negative bacteria, including Pseudomonas species, Escherichia coli, species of indole-positive and indole-negative Proteus, Providencia species, Klebsiella-Enterobacter-Serratia species, and Acinetobacter (Mima-Herellea) species.

Clinical studies have shown Amikacin Sulfate Injection to be effective in bacterial septicemia (including neonatal sepsis); in serious infections of the respiratory tract, bones and joints, central nervous system (including meningitis) and skin and soft tissue; intra-abdominal infections (including peritonitis); and in burns and post-operative infections (including post-vascular surgery). Clinical studies have shown amikacin also to be effective in serious complicated and recurrent urinary tract infections due to these organisms. Aminoglycosides, including Amikacin Sulfate Injection are not indicated in uncomplicated initial episodes of urinary tract infections unless the causative organisms are not susceptible to antibiotics having less potential toxicity.

Bacteriologic studies should be performed to identify causative organisms and their susceptibilities to amikacin. Amikacin may be considered as initial therapy in suspected Gram-negative infections and therapy may be instituted before obtaining the results of susceptibility testing. Clinical trials demonstrated that amikacin was effective in infections caused by gentamicin- and/or tobramycin-resistant strains of Gram-negative organisms, particularly Proteus rettgeri, Providencia stuartii, Serratia marcescens, and Pseudomonas aeruginosa. The decision to continue therapy with the drug should be based on results of the susceptibility tests, the severity of the infection, the response of the patient and the important additional considerations contained in the  WARNINGS box above.

Amikacin has also been shown to be effective in staphylococcal infections and may be considered as initial therapy under certain conditions in the treatment of known or suspected staphylococcal disease such as, severe infections where the causative organism may be either a Gram-negative bacterium or a staphylococcus, infections due to susceptible strains of staphylococci in patients allergic to other antibiotics, and in mixed staphylococci/Gram-negative infections.

In certain severe infections such as neonatal sepsis, concomitant therapy with a penicillin-type drug may be indicated because of the possibility of infections due to Gram-positive organisms such as streptococci or pneumococci.

To reduce the development of drug-resistant bacteria and maintain the effectiveness of amikacin and other antibacterial drugs, amikacin should be used only to treat or prevent infections that are proven or strongly suspected to be caused by susceptible bacteria. When culture and susceptibility information are available, they should be considered in selecting or modifying antibacterial therapy. In the absence of such data, local epidemiology and susceptibility patterns may contribute to the empiric selection of therapy.

Antimicrobial Activity

Amikacin has been shown to be active against the following bacteria, both in vitro and in clinical infections [see INDICATIONS AND USAGE].

Gram-positive Bacteria

Staphylococcus species

Gram-negative Bacteria

Pseudomonas species

Escherichia coli

Proteus species (indole-positive and indole-negative)

Klebsiella species

Enterobacter species

Serratia species

Acinetobacter species

Amikacin has demonstrated in vitro activity against the following bacteria. The safety and effectiveness of amikacin in treating clinical infections due to these bacteria have not been established in adequate and well-controlled trials.

Citrobacter freundii

Stability in Iv Fluids (Stability in IV Fluids)

Amikacin sulfate is stable for 24 hours at room temperature at concentrations of 0.25 and 5 mg/mL in the following solutions:

5% Dextrose Injection

5% Dextrose and 0.2% Sodium Chloride Injection

5% Dextrose and 0.45% Sodium Chloride Injection

0.9% Sodium Chloride Injection

Lactated Ringer’s Injection

Normosol® M in 5% Dextrose Injection (or Plasma-Lyte 56 Injection in 5% Dextrose in Water)

Normosol® R in 5% Dextrose Injection (or Plasma-Lyte 148 Injection in 5% Dextrose in Water)

In the above solutions with Amikacin Sulfate Injection concentrations of 0.25 and 5 mg/mL, solutions aged for 60 days at 4°C and then stored at 25°C had utility times of 24 hours.

At the same concentrations, solutions frozen and aged for 30 days at -15°C, thawed, and stored at 25°C had utility times of 24 hours.

Parenteral drug products should be inspected visually for particulate matter and discoloration prior to administration whenever solution and container permit.

Aminoglycosides administered by any of the above routes should not be physically premixed with other drugs but should be administered separately.

Because of the potential toxicity of aminoglycosides, “fixed dosage” recommendations which are not based upon body weight are not advised. Rather, it is essential to calculate the dosage to fit the needs of each patient.

Mechanism of Resistance

Aminoglycosides are known to be ineffective against Salmonella and Shigella species in patients. Therefore, in vitro susceptibility test results should not be reported.

Amikacin resists degradation by certain aminoglycoside inactivating enzymes known to affect gentamicin, tobramycin, and kanamycin.

Aminoglycosides in general have a low order of activity against Gram-positive organisms other than Staphylococcal isolates.

Principal Display Panel (PRINCIPAL DISPLAY PANEL)

NDC 0641-6167-01       Rx only

Amikacin

Sulfate

Injection, USP


equivalent to amikacin

500 mg per 2 mL

(250 mg/mL)

For IM or IV use


2 mL Single Dose Vial

 

NDC 0641-6167-10       Rx only

Amikacin

Sulfate Injection, USP


equivalent to amikacin

500 mg per 2 mL

(250 mg/mL)

For Intramuscular or

Intravenous use


10 x 2 mL Single Dose Vials

 

Information for Patients

Patients should be counseled that antibacterial drugs including amikacin should only be used to treat bacterial infections. They do not treat viral infections (e.g., the common cold). When amikacin is prescribed to treat a bacterial infection, patients should be told that although it is common to feel better early in the course of therapy, the medication should be taken exactly as directed. Skipping doses or not completing the full course of therapy may (1) decrease the effectiveness of the immediate treatment and (2) increase the likelihood that bacteria will develop resistance and will not be treatable by amikacin or other antibacterial drugs in the future.

Diarrhea is a common problem caused by antibiotics which usually ends when the antibiotic is discontinued. Sometimes after starting treatment with antibiotics, patients can develop watery and bloody stools (with or without stomach cramps and fever) even as late as two or more months after having taken the last dose of the antibiotic. If this occurs, patients should contact their physician as soon as possible.

Dosage and Administration (DOSAGE AND ADMINISTRATION)

The patient’s pretreatment body weight should be obtained for calculation of correct dosage. Amikacin Sulfate Injection may be given intramuscularly or intravenously.

The status of renal function should be estimated by measurement of the serum creatinine concentration or calculation of the endogenous creatinine clearance rate. The blood urea nitrogen (BUN) is much less reliable for this purpose. Reassessment of renal function should be made periodically during therapy.

Whenever possible, amikacin concentrations in serum should be measured to assure adequate but not excessive levels. It is desirable to measure both peak and trough serum concentrations intermittently during therapy. Peak concentrations (30 to 90 minutes after injection) above 35 micrograms per mL and trough concentrations (just prior to the next dose) above 10 micrograms per mL should be avoided. Dosage should be adjusted as indicated.

Neurotoxicity Ototoxicity (Neurotoxicity-Ototoxicity)

Toxic effects on the eighth cranial nerve can result in hearing loss, loss of balance, or both. Amikacin primarily affects auditory function. Cochlear damage includes high frequency deafness and usually occurs before clinical hearing loss can be detected.

Intravenous Administration

Single doses of 500 mg (7.5 mg/kg) administered to normal adults as an infusion over a period of 30 minutes produced a mean peak serum concentration of 38 mcg/mL at the end of the infusion, and levels of 24 mcg/mL, 18 mcg/mL, and 0.75 mcg/mL at 30 minutes, 1 hour, and 10 hours post-infusion, respectively. Eighty-four percent of the administered dose was excreted in the urine in 9 hours and about 94% within 24 hours.

Repeat infusions of 7.5 mg/kg every 12 hours in normal adults were well tolerated and caused no drug accumulation.

Susceptibility Test Methods

For specific information regarding susceptibility test interpretive criteria and associated test methods and quality control standards recognized by FDA for this drug,

please see: https://www.fda.gov/Drugs/DevelopmentApprovalProcess/DevelopmentResources/ucm410971.htm

Intramuscular Administration

Amikacin is rapidly absorbed after intramuscular administration. In normal adult volunteers, average peak serum concentrations of about 12, 16, and 21 mcg/mL are obtained 1 hour after intramuscular administration of 250 mg (3.7 mg/kg), 375 mg (5 mg/kg), 500 mg (7.5 mg/kg), single doses, respectively. At 10 hours, serum levels are about 0.3 mcg/mL, 1.2 mcg/mL, and 2.1 mcg/mL, respectively.

Tolerance studies in normal volunteers reveal that amikacin is well tolerated locally following repeated intramuscular dosing, and when given at maximally recommended doses, no ototoxicity or nephrotoxicity has been reported. There is no evidence of drug accumulation with repeated dosing for 10 days when administered according to recommended doses.

With normal renal function, about 91.9% of an intramuscular dose is excreted unchanged in the urine in the first 8 hours, and 98.2% within 24 hours. Mean urine concentrations for 6 hours are 563 mcg/mL following a 250 mg dose, 697 mcg/mL following a 375 mg dose, and 832 mcg/mL following a 500 mg dose.

Preliminary intramuscular studies in newborns of different weights (less than 1.5 kg, 1.5 to 2 kg, over 2 kg) at a dose of 7.5 mg/kg revealed that, like other aminoglycosides, serum half-life values were correlated inversely with post-natal age and renal clearances of amikacin. The volume of distribution indicates that amikacin, like other aminoglycosides, remains primarily in the extracellular fluid space of neonates. Repeated dosing every 12 hours in all the above groups did not demonstrate accumulation after 5 days.

Neurotoxicity Neuromuscular Blockade (Neurotoxicity-Neuromuscular Blockade)

Acute muscular paralysis and apnea can occur following treatment with aminoglycoside drugs.

Normal Dosage At Prolonged Intervals (Normal Dosage at Prolonged Intervals)

If the creatinine clearance rate is not available and the patient’s condition is stable, a dosage interval in hours for the normal dose can be calculated by multiplying the patient’s serum creatinine by 9, e.g., if the serum creatinine concentration is 2 mg/100 mL, the recommended single dose (7.5 mg/kg) should be administered every 18 hours.

Interaction With Other Antimicrobials (Interaction with Other Antimicrobials)

In vitro studies have shown that amikacin sulfate combined with a beta-lactam antibiotic acts synergistically against many clinically significant Gram-negative organisms.

Reduced Dosage At Fixed Time Intervals (Reduced Dosage at Fixed Time Intervals)

When renal function is impaired and it is desirable to administer amikacin at a fixed time interval, dosage must be reduced. In these patients, serum amikacin concentrations should be measured to assure accurate administration of amikacin and to avoid concentrations above 35 mcg/mL. If serum assay determinations are not available and the patient’s condition is stable, serum creatinine and creatinine clearance values are the most readily available indicators of the degree of renal impairment to use as a guide for dosage.

First, initiate therapy by administering a normal dose, 7.5 mg/kg, as a loading dose. This loading dose is the same as the normally recommended dose which would be calculated for a patient with a normal renal function as described above.

To determine the size of maintenance doses administered every 12 hours, the loading dose should be reduced in proportion to the reduction in the patient’s creatinine clearance rate:

 Maintenance Dose Every 12 hours   =    observed CC in mL/min    X   Calculated loading dose in mg
 normal CC in mL/min
 (CC - creatinine clearance rate)

An alternate rough guide for determining reduced dosage at 12-hour intervals (for patients whose steady state serum creatinine values are known) is to divide the normally recommended dose by the patient’s serum creatinine.

The above dosage schedules are not intended to be rigid recommendations but are provided as guides to dosage when the measurement of amikacin serum levels is not feasible.

Carcinogenesis, Mutagenesis, Impairment of Fertility

Long term studies in animals to evaluate carcinogenic potential have not been performed, and mutagenicity has not been studied. Amikacin administered subcutaneously to rats at doses up to 4 times the human daily dose did not impair male or female fertility.

Intramuscular Administration for Patients With Normal Renal Function (Intramuscular Administration for Patients with Normal Renal Function)

The recommended dosage for adults, children and older infants (see  WARNINGS box) with normal renal function is 15 mg/kg/day divided into 2 or 3 equal doses administered at equally-divided intervals, i.e., 7.5 mg/kg q12h or 5 mg/kg q8h. Treatment of patients in the heavier weight classes should not exceed 1.5 gram/day.

When amikacin is indicated in newborns (see  WARNINGS box), it is recommended that a loading dose of 10 mg/kg be administered initially to be followed with 7.5 mg/kg every 12 hours.

The usual duration of treatment is 7 to 10 days. It is desirable to limit the duration of treatment to short term whenever feasible. The total daily dose by all routes of administration should not exceed 15 mg/kg/day. In difficult and complicated infections where treatment beyond 10 days is considered, the use of amikacin should be reevaluated. If continued, amikacin serum levels, and renal, auditory, and vestibular functions should be monitored. At the recommended dosage level, uncomplicated infections due to amikacin-sensitive organisms should respond in 24 to 48 hours. If definite clinical response does not occur within 3 to 5 days, therapy should be stopped and the antibiotic susceptibility pattern of the invading organism should be rechecked. Failure of the infection to respond may be due to resistance of the organism or to the presence of septic foci requiring surgical drainage.

When amikacin is indicated in uncomplicated urinary tract infections, a dose of 250 mg twice daily may be used.

DOSAGE GUIDELINES

ADULTS AND CHILDREN WITH NORMAL RENAL FUNCTION
Patient Weight  Dosage
lbs kg 7.5 mg/kg

q12h 
OR  5 mg/kg

q8h
99  45 337.5 mg 225 mg
110 50 375 mg 250 mg
121  55 412.5 mg 275 mg
132 60 450 mg 300 mg
143 65 487.5 mg 325 mg
154 70 525 mg 350 mg
165 75 562.5 mg 375 mg
176 80 600 mg 400 mg
187 85 637.5 mg 425 mg
198 90 675 mg 450 mg
209 95 712.5 mg 475 mg
220 100 750 mg 500 mg
Intramuscular Administration for Patients With Impaired Renal Function (Intramuscular Administration for Patients with Impaired Renal Function)

Whenever possible, serum amikacin concentrations should be monitored by appropriate assay procedures. Doses may be adjusted in patients with impaired renal function either by administering normal doses at prolonged intervals or by administering reduced doses at a fixed interval.

Both methods are based on the patient’s creatinine clearance or serum creatinine values since these have been found to correlate with aminoglycoside half-lives in patients with diminished renal function. These dosage schedules must be used in conjunction with careful clinical and laboratory observations of the patient and should be modified as necessary. Neither method should be used when dialysis is being performed.


Advanced Ingredient Data


Raw Label Data

All Sections (JSON)