Tobramycin Injection, Usp

Tobramycin Injection, Usp
SPL v2
SPL
SPL Set ID 0b4a4b00-7f78-4e95-b870-f88fea73348e
Routes
INTRAMUSCULAR INTRAVENOUS
Published
Effective Date 2024-03-29
Document Type 34391-3 HUMAN PRESCRIPTION DRUG LABEL

Drug Facts

Composition & Product

Active Ingredients
Tobramycin (5 mg)
Inactive Ingredients
Phenol Sodium Metabisulfite Edetate Disodium Sulfuric Acid Sodium Hydroxide

Identifiers & Packaging

Marketing Status
ANDA Completed Since 2005-11-23 Until 2022-07-05

Description

Rx only To reduce the development of drug-resistant bacteria and maintain the effectiveness of Tobramycin Injection, USP and other antibacterial drugs, Tobramycin Injection, USP should be used only to treat or prevent infections that are proven or strongly suspected to be caused by bacteria.

Indications and Usage

To reduce the development of drug-resistant bacteria and maintain the effectiveness of Tobramycin Injection, USP and other antibacterial drugs, Tobramycin Injection, USP should be used only to treat or prevent infections that are proven or strongly suspected to be caused by susceptible bacteria.  When culture and susceptibility information are available, they should be considered in selecting or modifying antibacterial therapy.  In the absence of such data, local epidemiology and susceptibility patterns may contribute to the empiric selection of therapy.   Tobramycin injection is indicated for the treatment of serious bacterial infections caused by susceptible strains of the designated microorganisms in the diseases listed below: Septicemia in the pediatric patient and adult caused by P. aeruginosa , E. coli , and Klebsiella spp Lower respiratory tract infections caused by P. aeruginos a, Klebsiella spp, Enterobacter spp, Serratia spp, E. coli , and S. aureus (penicillinase- and non-penicillinase-producing strains) Serious central-nervous-system infections (meningitis) caused by susceptible organisms Intra-abdominal infections, including peritonitis, caused by E. coli , Klebsiella spp, and Enterobacter spp Skin, bone, and skin structure infections caused by P. aeruginosa , Proteus spp, E. coli , Klebsiella spp, Enterobacter spp, Serratia spp and S. aureus Complicated and recurrent urinary tract infections caused by P. aeruginosa , Proteus spp (indole-positive and indole-negative), E. coli , Klebsiella spp, Enterobacter spp, Serratia spp, S. aureus , Providencia spp, and Citrobacter spp Aminoglycosides, including tobramycin, are not indicated in uncomplicated initial episodes of urinary tract infections unless the causative organisms are not susceptible to antibiotics having less potential toxicity.  Tobramycin may be considered in serious staphylococcal infections when penicillin or other potentially less toxic drugs are contraindicated and when bacterial susceptibility testing and clinical judgment indicate its use. Bacterial cultures should be obtained prior to and during treatment to isolate and identify etiologic organisms and to test their susceptibility to tobramycin.  If susceptibility tests show that the causative organisms are resistant to tobramycin, other appropriate therapy should be instituted.  In patients in whom a serious life-threatening gram-negative infection is suspected, including those in whom concurrent therapy with a penicillin or cephalosporin and an aminoglycoside may be indicated, treatment with tobramycin may be initiated before the results of susceptibility studies are obtained.  The decision to continue therapy with tobramycin should be based on the results of susceptibility studies, the severity of the infection, and the important additional concepts discussed in the  WARNINGS  box.

Dosage and Administration

Tobramycin may be given intramuscularly or intravenously.  Recommended dosages are the same for both routes.  The patient’s pretreatment body weight should be obtained for calculation of correct dosage.  It is desirable to measure both peak and trough serum concentrations (see  WARNINGS  box  and PRECAUTIONS ).

Contraindications

A hypersensitivity to any aminoglycoside is a contraindication to the use of tobramycin.  A history of hypersensitivity or serious toxic reactions to aminoglycosides may also contraindicate the use of any other aminoglycoside because of the known cross-sensitivity of patients to drugs in this class.

How Supplied

Tobramycin Injection, USP, in a multiple dose vial, is supplied as follows: Product  No. NDC No.   Strength   PRX300602 63323-306-26 80 mg per 2 mL  (40 mg per mL) 2 mL in a 2 mL  vial, packaged in 25. Store at 20° to 25°C (68° to 77°F) [see USP Controlled Room Temperature]. The container closure is not made with natural rubber latex.


Medication Information

Indications and Usage

To reduce the development of drug-resistant bacteria and maintain the effectiveness of Tobramycin Injection, USP and other antibacterial drugs, Tobramycin Injection, USP should be used only to treat or prevent infections that are proven or strongly suspected to be caused by susceptible bacteria.  When culture and susceptibility information are available, they should be considered in selecting or modifying antibacterial therapy.  In the absence of such data, local epidemiology and susceptibility patterns may contribute to the empiric selection of therapy.   Tobramycin injection is indicated for the treatment of serious bacterial infections caused by susceptible strains of the designated microorganisms in the diseases listed below: Septicemia in the pediatric patient and adult caused by P. aeruginosa , E. coli , and Klebsiella spp Lower respiratory tract infections caused by P. aeruginos a, Klebsiella spp, Enterobacter spp, Serratia spp, E. coli , and S. aureus (penicillinase- and non-penicillinase-producing strains) Serious central-nervous-system infections (meningitis) caused by susceptible organisms Intra-abdominal infections, including peritonitis, caused by E. coli , Klebsiella spp, and Enterobacter spp Skin, bone, and skin structure infections caused by P. aeruginosa , Proteus spp, E. coli , Klebsiella spp, Enterobacter spp, Serratia spp and S. aureus Complicated and recurrent urinary tract infections caused by P. aeruginosa , Proteus spp (indole-positive and indole-negative), E. coli , Klebsiella spp, Enterobacter spp, Serratia spp, S. aureus , Providencia spp, and Citrobacter spp Aminoglycosides, including tobramycin, are not indicated in uncomplicated initial episodes of urinary tract infections unless the causative organisms are not susceptible to antibiotics having less potential toxicity.  Tobramycin may be considered in serious staphylococcal infections when penicillin or other potentially less toxic drugs are contraindicated and when bacterial susceptibility testing and clinical judgment indicate its use. Bacterial cultures should be obtained prior to and during treatment to isolate and identify etiologic organisms and to test their susceptibility to tobramycin.  If susceptibility tests show that the causative organisms are resistant to tobramycin, other appropriate therapy should be instituted.  In patients in whom a serious life-threatening gram-negative infection is suspected, including those in whom concurrent therapy with a penicillin or cephalosporin and an aminoglycoside may be indicated, treatment with tobramycin may be initiated before the results of susceptibility studies are obtained.  The decision to continue therapy with tobramycin should be based on the results of susceptibility studies, the severity of the infection, and the important additional concepts discussed in the  WARNINGS  box.

Dosage and Administration

Tobramycin may be given intramuscularly or intravenously.  Recommended dosages are the same for both routes.  The patient’s pretreatment body weight should be obtained for calculation of correct dosage.  It is desirable to measure both peak and trough serum concentrations (see  WARNINGS  box  and PRECAUTIONS ).

Contraindications

A hypersensitivity to any aminoglycoside is a contraindication to the use of tobramycin.  A history of hypersensitivity or serious toxic reactions to aminoglycosides may also contraindicate the use of any other aminoglycoside because of the known cross-sensitivity of patients to drugs in this class.

How Supplied

Tobramycin Injection, USP, in a multiple dose vial, is supplied as follows: Product  No. NDC No.   Strength   PRX300602 63323-306-26 80 mg per 2 mL  (40 mg per mL) 2 mL in a 2 mL  vial, packaged in 25. Store at 20° to 25°C (68° to 77°F) [see USP Controlled Room Temperature]. The container closure is not made with natural rubber latex.

Description

Rx only To reduce the development of drug-resistant bacteria and maintain the effectiveness of Tobramycin Injection, USP and other antibacterial drugs, Tobramycin Injection, USP should be used only to treat or prevent infections that are proven or strongly suspected to be caused by bacteria.

Section 42229-5

Rx only

To reduce the development of drug-resistant bacteria and maintain the effectiveness of Tobramycin Injection, USP and other antibacterial drugs, Tobramycin Injection, USP should be used only to treat or prevent infections that are proven or strongly suspected to be caused by bacteria.





Section 51945-4

PACKAGE LABEL - PRINCIPAL DISPLAY - Tobramycin 2 mL Multiple Dose Vial Label

Tobramycin Injection, USP

80 mg per 2 mL  (40 mg per mL)

For IM or IV use.

MUST BE DILUTED BEFORE IV USE.

Usual dosage: See package insert.

2 mL Multiple Dose Vial

Rx only



PACKAGE LABEL - PRINCIPAL DISPLAY - Tobramycin 2 mL Multiple Dose Vial Tray Label 

Tobramycin Injection, USP

80 mg per 2 mL  (40 mg per mL)

For intramuscular or intravenous use.

MUST BE DILUTED BEFORE IV USE.

25 x 2 mL

Multiple Dose Vials

Rx only



General

Prescribing tobramycin injection in the absence of a proven or strongly suspected bacterial infection or a prophylactic indication is unlikely to provide benefit to the patient and increases the risk of the development of drug-resistant bacteria.

Serum and urine specimens for examination should be collected during therapy, as recommended in the  WARNINGS   box.  Serum calcium, magnesium, and sodium should be monitored.

Peak and trough serum levels should be measured periodically during therapy.  Prolonged concentrations above 12 mcg/mL should be avoided.  Rising trough levels (above 2 mcg/mL) may indicate tissue accumulation.  Such accumulation, advanced age, and cumulative dosage may contribute to ototoxicity and nephrotoxicity.  It is particularly important to monitor serum levels closely in patients with known renal impairment.

A useful guideline would be to perform serum level assays after 2 or 3 doses, so that the dosage could be adjusted if necessary, and at 3- to 4-day intervals during therapy.  In the event of changing renal function, more frequent serum levels should be obtained and the dosage or dosage interval adjusted according to the guidelines provided in DOSAGE AND ADMINISTRATION .

In order to measure the peak level, a serum sample should be drawn about 30 minutes following intravenous infusion or 1 hour after an intramuscular injection.  Trough levels are measured by obtaining serum samples at 8 hours or just prior to the next dose of tobramycin.  These suggested time intervals are intended only as guidelines and may vary according to institutional practices.  It is important, however, that there be consistency within the individual patient program unless computerized pharmacokinetic dosing programs are available in the institution.  These serum-level assays may be especially useful for monitoring the treatment of severely ill patients with changing renal function or of those infected with less susceptible organisms or those receiving maximum dosage.

Neuromuscular blockade and respiratory paralysis have been reported in cats receiving very high doses of tobramycin (40 mg/kg).  The possibility of prolonged or secondary apnea should be considered if tobramycin is administered to anesthetized patients who are also receiving neuromuscular blocking agents, such as succinylcholine, tubocurarine, or decamethonium, or to patients receiving massive transfusions of citrated blood.  If neuromuscular blockade occurs, it may be reversed by the administration of calcium salts.

Cross-allergenicity among aminoglycosides has been demonstrated.

In patients with extensive burns or cystic fibrosis, altered pharmacokinetics may result in reduced serum concentrations of aminoglycosides.  In such patients treated with tobramycin measurement of serum concentration is especially important as a basis for determination of appropriate dosage.

Elderly patients may have reduced renal function that may not be evident in the results of routine screening tests, such as BUN or serum creatinine.  A creatinine clearance determination may be more useful.  Monitoring of renal function during treatment with aminoglycosides is particularly important in such patients.

An increased incidence of nephrotoxicity has been reported following concomitant administration of aminoglycoside antibiotics and cephalosporins.

Aminoglycosides should be used with caution in patients with muscular disorders, such as myasthenia gravis or parkinsonism, since these drugs may aggravate muscle weakness because of their potential curare-like effect on neuromuscular function.

Aminoglycosides may be absorbed in significant quantities from body surfaces after local irrigation or application and may cause neurotoxicity and nephrotoxicity.

Aminoglycosides have not been approved for intraocular and/or subconjunctival use.  Physicians are advised that macular necrosis has been reported following administration of aminoglycosides, including tobramycin, by these routes.

See   WARNINGS  box regarding concurrent use of potent diuretics and concurrent and sequential use of other neurotoxic or nephrotoxic drugs.

The inactivation of tobramycin and other aminoglycosides by ß-lactam-type antibiotics (penicillins or cephalosporins) has been demonstrated in vitro and in patients with severe renal impairment.  Such inactivation has not been found in patients with normal renal function who have been given the drugs by separate routes of administration.

Therapy with tobramycin may result in overgrowth of nonsusceptible organisms.  If overgrowth of nonsusceptible organisms occurs, appropriate therapy should be initiated.

Warnings

Patients treated with tobramycin injection and other aminoglycosides should be under close clinical observation, because these drugs have an inherent potential for causing ototoxicity and nephrotoxicity.

Neurotoxicity, manifested as both auditory and vestibular ototoxicity, can occur.  The auditory changes are irreversible, are usually bilateral, and may be partial or total.  Eighth-nerve impairment and nephrotoxicity may develop, primarily in patients having preexisting renal damage and in those with normal renal function to whom aminoglycosides are administered for longer periods or in higher doses than those recommended.  Other manifestations of neurotoxicity may include numbness, skin tingling, muscle twitching, and convulsions.  The risk of aminoglycoside-induced hearing loss increases with the degree of exposure to either high peak or high trough serum concentrations.  Patients who develop cochlear damage may not have symptoms during therapy to warn them of eighth-nerve toxicity, and partial or total irreversible bilateral deafness may continue to develop after the drug has been discontinued.

Rarely, nephrotoxicity may not become apparent until the first few days after cessation of therapy.  Aminoglycoside-induced nephrotoxicity usually is reversible.

Renal and eighth-nerve function should be closely monitored in patients with known or suspected renal impairment and also in those whose renal function is initially normal but who develop signs of renal dysfunction during therapy.  Peak and trough serum concentrations of aminoglycosides should be monitored periodically during therapy to assure adequate levels and to avoid potentially toxic levels.  Prolonged serum concentrations above 12 mcg/mL should be avoided.  Rising trough levels (above 2 mcg/mL) may indicate tissue accumulation.  Such accumulation, excessive peak concentrations, advanced age, and cumulative dose may contribute to ototoxicity and nephrotoxicity (see PRECAUTIONS ).  Urine should be examined for decreased specific gravity and increased excretion of protein, cells, and casts.  Blood urea nitrogen, serum creatinine, and creatinine clearance should be measured periodically.  When feasible, it is recommended that serial audiograms be obtained in patients old enough to be tested, particularly high-risk patients.  Evidence of impairment of renal, vestibular, or auditory function requires discontinuation of the drug or dosage adjustment.

Tobramycin injection should be used with caution in premature and neonatal infants because of their renal immaturity and the resulting prolongation of serum half-life of the drug.

Concurrent and sequential use of other neurotoxic and/or nephrotoxic antibiotics, particularly other aminoglycosides (e.g., amikacin, streptomycin, neomycin, kanamycin, gentamicin, and paromomycin), cephaloridine, viomycin, polymyxin B, colistin, cisplatin, and vancomycin, should be avoided.  Other factors that may increase patient risk are advanced age and dehydration.

Aminoglycosides should not be given concurrently with potent diuretics, such as ethacrynic acid and furosemide.  Some diuretics themselves cause ototoxicity, and intravenously administered diuretics enhance aminoglycoside toxicity by altering antibiotic concentrations in serum and tissue.

Aminoglycosides can cause fetal harm when administered to a pregnant woman (see PRECAUTIONS ).

Treatment

In all cases of suspected overdosage, call your Regional Poison Control Center to obtain the most up-to-date information about the treatment of overdose.  This recommendation is made because, in general, information regarding the treatment of overdosage may change more rapidly than the package insert.  In managing overdose, consider the possibility of multiple drug overdoses, interaction among drugs, and unusual drug kinetics in your patients.

The initial intervention in a tobramycin overdose is to establish an airway and ensure oxygenation and ventilation.  Resuscitative measures should be initiated promptly if respiratory paralysis occurs.

Patients who have received an overdose of tobramycin and who have normal renal function should be adequately hydrated to maintain a urine output of 3 to 5 mL/kg/hr.  Fluid balance, creatinine clearance, and tobramycin plasma levels should be carefully monitored until the serum tobramycin level falls below 2 mcg/mL.

Patients in whom the elimination half-life is greater than 2 hours or whose renal function is abnormal may require more aggressive therapy.  In such patients, hemodialysis may be beneficial.

Warnings:

See  WARNINGS box above.

Tobramycin injection contains sodium metabisulfite, a sulfite that may cause allergic-type reactions, including anaphylactic symptoms and life-threatening or less severe asthmatic episodes, in certain susceptible people.  The overall prevalence of sulfite sensitivity in the general population is unknown and probably low.  Sulfite sensitivity is seen more frequently in asthmatic than in nonasthmatic people.

Serious allergic reactions including anaphylaxis and dermatologic reactions including exfoliative dermatitis, toxic epidermal necrolysis, erythema multiforme, and Stevens-Johnson Syndrome have been reported rarely in patients on tobramycin therapy.  Although rare, fatalities have been reported (see CONTRAINDICATIONS ).

If an allergic reaction occurs, the drug should be discontinued and appropriate therapy instituted.

Clostridium difficile associated diarrhea (CDAD) has been reported with use of nearly all antibacterial agents, including Tobramycin Injection, USP, and may range in severity from mild diarrhea to fatal colitis.  Treatment with antibacterial agents alters the normal flora of the colon leading to overgrowth of C. difficile .

C. difficile produces toxins A and B which contribute to the development of CDAD.  Hypertoxin producing strains of C. difficile cause increased morbidity and mortality, as these infections can be refractory to antimicrobial therapy and may require colectomy.  CDAD must be considered in all patients who present with diarrhea following antibiotic use.  Careful medical history is necessary since CDAD has been reported to occur over two months after the administration of antibacterial agents.

If CDAD is suspected or confirmed, ongoing antibiotic use not directed against C. difficile may need to be discontinued.  Appropriate fluid and electrolyte management, protein supplementation, antibiotic treatment of C. difficile , and surgical evaluation should be instituted as clinically indicated.

References:
  • Clinical and Laboratory Standards Institute (CLSI). Methods for Dilution Antimicrobial Susceptibility Tests for Bacteria that Grow Aerobically; Approved Standard - Ninth Edition. CLSI document M07-A9, Clinical and Laboratory Standards Institute, 950 West Valley Road, Suite 2500, Wayne, Pennsylvania 19087, USA, 2012.
  • Clinical and Laboratory Standards Institute (CLSI). Performance Standards for Antimicrobial Disk Diffusion Susceptibility Tests; Approved Standard - Eleventh Edition. CLSI document M02-A11, Clinical and Laboratory Standards Institute, 950 West Valley Road, Suite 2500, Wayne, Pennsylvania 19087, USA, 2012.
  • Clinical and Laboratory Standards Institute (CLSI). Performance Standards for Antimicrobial Susceptibility Testing; Twenty-third Informational Supplement. CLSI document M100-S23, Clinical and Laboratory Standards Institute, 950 West Valley Road, Suite 2500, Wayne, Pennsylvania 19087, USA, 2013.
Description:

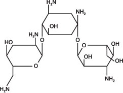
Tobramycin sulfate, a water-soluble antibiotic of the aminoglycoside group, is derived from the actinomycete Streptomyces   tenebrarius .  Tobramycin Injection, USP is a clear and colorless sterile aqueous solution for parenteral administration.

Tobramycin sulfate is O- 3-amino-3-deoxy-α-D-glucopyranosyl-(1→4)- O- [2,6-diamino-2,3,6-trideoxy-α-D- ribo -hexopyranosyl-(1→6)]-2-deoxy-L-streptamine, sulfate (2:5) (salt).  The structural formula for tobramycin is as follows:

 

(C 18H 37N 5O 9) 2•5H 2SO          M.W. 1425.45



Each mL contains tobramycin sulfate equivalent to 40 mg tobramycin; phenol 5 mg; sodium metabisulfite 3.2 mg; 0.1 mg edetate disodium and water for injection, q.s.  Sulfuric acid and/or sodium hydroxide may have been added to adjust the pH (3.0 to 6.5).  Each mL of tobramycin contains 0.78 mg (0.034 mEq) of sodium.

Microbiology

Mechanism of Action

Tobramycin acts by inhibiting protein synthesis in bacterial cells.   In vitro tests demonstrate that tobramycin is bactericidal.

Resistance

Aminoglycosides are generally not active against most gram-positive organisms, including Streptococcus pyogenes, Streptococcus pneumoniae, and enterococci.  Cross-resistance between aminoglycosides may occur.

Interactions with Other Antibacterial Drugs

In vitro studies have shown that an aminoglycoside combined with an antibiotic that interferes with cell-wall synthesis affects some enterococcal strains synergistically.  The combination of penicillin G and tobramycin results in a synergistic bactericidal effect in vitro against certain strains of Enterococcus faecalis.   However, this combination is not synergistic against other closely related organisms, e.g., Enterococcus faecium.   Species-level identification of enterococci alone cannot be used to predict susceptibility.  Susceptibility testing and tests for antibiotic synergism must be performed.

Tobramycin has been shown to be active against most strains of the following bacteria both in vitro and in clinical infections as described in INDICATIONS AND USAGE section (1):

Aerobic Gram-positive bacteria

Staphylococcus aureus

Aerobic Gram-negative bacteria

Citrobacter species

Enterobacter species

Escherichia coli

Klebsiella species

Morganella morganii

Pseudomonas aeruginosa

Proteus mirabilis

Proteus vulgaris

Providencia species

Serratia species



Aminoglycosides are generally not active against most gram-positive bacteria, including Streptococcus pyogenes, Streptococcus pneumoniae, and enterococci.  For Salmonella spp. and Shigella spp., aminoglycosides may appear active in vitro but are not effective clinically and should not be reported as susceptible.

Geriatric Use

Elderly patients may be at a higher risk of developing nephrotoxicity and ototoxicity while receiving tobramycin (see WARNINGS , PRECAUTIONS , and OVERDOSAGE ).  Other factors that may contribute to nephrotoxicity and ototoxicity are rising trough levels, excessive peak concentrations, dehydration, concomitant use of other neurotoxic or nephrotoxic drugs, and cumulative dose.  Peak and trough serum levels should be measured periodically during therapy to assure adequate levels and to avoid potentially toxic levels (see WARNINGS and PRECAUTIONS ).  Tobramycin is known to be substantially excreted by the kidney, and the risk of toxic reactions to this drug may be greater in patients with impaired renal function.  Dose reduction is required for patients with impaired renal function (see DOSAGE AND ADMINISTRATION ).  Elderly patients may have reduced renal function that may not be evident in the results of routine screening tests, such as BUN or serum creatinine.  A creatinine clearance determination may be more useful.  Monitoring of renal function during treatment with aminoglycosides is particularly important in the elderly (see PRECAUTIONS ).

Each mL of tobramycin (10 mg/mL or 40 mg/mL) contains 0.78 mg (0.034 mEq) of sodium.

How Supplied:

Tobramycin Injection, USP, in a multiple dose vial, is supplied as follows:



Product 

No.

NDC

No.

 

Strength

 



PRX300602

63323-306-26

80 mg per 2 mL  (40 mg per mL)

2 mL in a 2 mL  vial, packaged in 25.



Store at 20° to 25°C (68° to 77°F) [see USP Controlled Room Temperature].



The container closure is not made with natural rubber latex.



Neurotoxicity

Adverse effects on both the vestibular and auditory branches of the eighth nerve have been noted, especially in patients receiving high doses or prolonged therapy, in those given previous courses of therapy with an ototoxin, and in cases of dehydration.  Symptoms include dizziness, vertigo, tinnitus, roaring in the ears, and hearing loss.  Hearing loss is usually irreversible and is manifested initially by diminution of high-tone acuity.  Tobramycin and gentamicin sulfates closely parallel each other in regard to ototoxic potential.

Pediatric Use
Nephrotoxicity

Renal function changes, as shown by rising BUN, NPN, and serum creatinine and by oliguria, cylindruria, and increased proteinuria, have been reported, especially in patients with a history of renal impairment who are treated for longer periods or with higher doses than those recommended.  Adverse renal effects can occur in patients with initially normal renal function.

Clinical studies and studies in experimental animals have been conducted to compare the nephrotoxic potential of tobramycin and gentamicin.  In some of the clinical studies and in the animal studies, tobramycin caused nephrotoxicity significantly less frequently than gentamicin.  In some other clinical studies, no significant difference in the incidence of nephrotoxicity between tobramycin and gentamicin was found.

Other reported adverse reactions possibly related to tobramycin include anemia, granulocytopenia, and thrombocytopenia; and fever, rash, exfoliative dermatitis, itching, urticaria, nausea, vomiting, diarrhea, headache, lethargy, pain at the injection site, mental confusion, and disorientation.  Laboratory abnormalities possibly related to tobramycin include increased serum transaminases (AST, ALT); increased serum LDH and bilirubin; decreased serum calcium, magnesium, sodium, and potassium, and leukopenia, leukocytosis, and eosinophilia.

Quality Control

Standardized susceptibility test procedures require the use of laboratory controls to monitor and ensure the accuracy and precision of supplies and reagents used in the assay, and the techniques of the individuals performing the test 1,2 ,3.  Standard tobramycin powder should provide the following range of MIC values provided in Table 2.   For the diffusion technique using the 10 mcg tobramycin disk, the criteria provided in Table 2 should be achieved.







            Table 2: Acceptable Quality Control Ranges for Susceptibility Testing



 

Quality Control Organism

 



 

Minimum Inhibitory

 

 Concentrations (mcg/mL)





 

Disk Diffusion (zone diameter in mm)

 



Escherichia coli   ATCC 25922

 

0.25 to 1

 



 

18 to 26

 



Staphylococcus aureus   ATCC 25923

 

Not applicable

 



 

19 to 29

 



Pseudomonas aeruginosa   ATCC 27853

 

0.25 to 1

 



 

20 to 26

 



Staphylococcus aureus   ATCC 29213

 

0.12 to 1

 



 

Not applicable

 



Enterococcus faecalis   ATCC 29212

 

8 to 32

 



 

Not applicable

 





Contraindications:

A hypersensitivity to any aminoglycoside is a contraindication to the use of tobramycin.  A history of hypersensitivity or serious toxic reactions to aminoglycosides may also contraindicate the use of any other aminoglycoside because of the known cross-sensitivity of patients to drugs in this class.

Signs and Symptoms

The severity of the signs and symptoms following a tobramycin overdose are dependent on the dose administered, the patient’s renal function, state of hydration, and age and whether or not other medications with similar toxicities are being administered concurrently.  Toxicity may occur in patients treated more than 10 days, in adults given more than 5 mg/kg/day, in pediatric patients given more than 7.5 mg/kg/day, or in patients with reduced renal function where dose has not been appropriately adjusted.

Nephrotoxicity following the parenteral administration of an aminoglycoside is most closely related to the area under the curve of the serum concentration versus time graph.  Nephrotoxicity is more likely if trough blood concentrations fail to fall below 2 mcg/mL and is also proportional to the average blood concentration.  Patients who are elderly, have abnormal renal function, are receiving other nephrotoxic drugs, or are volume depleted are at greater risk for developing acute tubular necrosis.  Auditory and vestibular toxicities have been associated with aminoglycoside overdose.  These toxicities occur in patients treated longer than 10 days, in patients with abnormal renal function, in dehydrated patients, or in patients receiving medications with additive auditory toxicities.  These patients may not have signs or symptoms or may experience dizziness, tinnitus, vertigo, and a loss of high-tone acuity as ototoxicity progresses.  Ototoxicity signs and symptoms may not begin to occur until long after the drug has been discontinued.

Neuromuscular blockade or respiratory paralysis may occur following administration of aminoglycosides.  Neuromuscular blockade, respiratory failure, and prolonged respiratory paralysis may occur more commonly in patients with myasthenia gravis or Parkinson’s disease.  Prolonged respiratory paralysis may also occur in patients receiving decamethonium, tubocurarine, or succinylcholine.  If neuromuscular blockade occurs, it may be reversed by the administration of calcium salts but mechanical assistance may be necessary.

If tobramycin were ingested, toxicity would be less likely because aminoglycosides are poorly absorbed from an intact gastrointestinal tract.

Pregnancy Category D

Aminoglycosides can cause fetal harm when administered to a pregnant woman.  Aminoglycoside antibiotics cross the placenta, and there have been several reports of total irreversible bilateral congenital deafness in children whose mothers received streptomycin during pregnancy.  Serious side effects to mother, fetus, or newborn have not been reported in the treatment of pregnant women with other aminoglycosides.  If tobramycin is used during pregnancy or if the patient becomes pregnant while taking tobramycin, she should be apprised of the potential hazard to the fetus.

Clinical Pharmacology:

Tobramycin is rapidly absorbed following intramuscular administration.  Peak serum concentrations of tobramycin occur between 30 and 90 minutes after intramuscular administration.  Following an intramuscular dose of 1 mg/kg of body weight, maximum serum concentrations reach about 4 mcg/mL, and measurable levels persist for as long as 8 hours.  Therapeutic serum levels are generally considered to range from 4 to 6 mcg/mL.  When tobramycin is administered by intravenous infusion over a 1-hour period, the serum concentrations are similar to those obtained by intramuscular administration.  Tobramycin is poorly absorbed from the gastrointestinal tract.

In patients with normal renal function, except neonates, tobramycin administered every 8 hours does not accumulate in the serum.  However, in those patients with reduced renal function and in neonates, the serum concentration of the antibiotic is usually higher and can be measured for longer periods of time than in normal adults.  Dosage for such patients must, therefore, be adjusted accordingly (see DOSAGE AND ADMINISTRATION ).

Following parenteral administration, little, if any, metabolic transformation occurs, and tobramycin is eliminated almost exclusively by glomerular filtration.  Renal clearance is similar to that of endogenous creatinine.  Ultrafiltration studies demonstrate that practically no serum protein binding occurs.  In patients with normal renal function, up to 84% of the dose is recoverable from the urine in 8 hours and up to 93% in 24 hours.

Peak urine concentrations ranging from 75 to 100 mcg/mL have been observed following the intramuscular injection of a single dose of 1 mg/kg.  After several days of treatment, the amount of tobramycin excreted in the urine approaches the daily dose administered.  When renal function is impaired, excretion of tobramycin is slowed, and accumulation of the drug may cause toxic blood levels.

The serum half-life in normal individuals is 2 hours.  An inverse relationship exists between serum half-life and creatinine clearance, and the dosage schedule should be adjusted according to the degree of renal impairment (see DOSAGE AND ADMINISTRATION ).  In patients undergoing dialysis, 25% to 70% of the administered dose may be removed, depending on the duration and type of dialysis.

Tobramycin can be detected in tissues and body fluids after parenteral administration.  Concentrations in bile and stools ordinarily have been low, which suggests minimum biliary excretion.  Tobramycin has appeared in low concentration in the cerebrospinal fluid following parenteral administration, and concentrations are dependent on dose, rate of penetration, and degree of meningeal inflammation.  It has also been found in sputum, peritoneal fluid, synovial fluid, and abscess fluids, and it crosses the placental membranes.  Concentrations in the renal cortex are several times higher than the usual serum levels.

Probenecid does not affect the renal tubular transport of tobramycin.

Indications and Usage:

To reduce the development of drug-resistant bacteria and maintain the effectiveness of Tobramycin Injection, USP and other antibacterial drugs, Tobramycin Injection, USP should be used only to treat or prevent infections that are proven or strongly suspected to be caused by susceptible bacteria.  When culture and susceptibility information are available, they should be considered in selecting or modifying antibacterial therapy.  In the absence of such data, local epidemiology and susceptibility patterns may contribute to the empiric selection of therapy.

 

Tobramycin injection is indicated for the treatment of serious bacterial infections caused by susceptible strains of the designated microorganisms in the diseases listed below:

Septicemia in the pediatric patient and adult caused by P. aeruginosa , E. coli , and Klebsiella spp

Lower respiratory tract infections caused by P. aeruginos a, Klebsiella spp, Enterobacter spp, Serratia spp, E. coli , and S. aureus (penicillinase- and non-penicillinase-producing strains)

Serious central-nervous-system infections (meningitis) caused by susceptible organisms

Intra-abdominal infections, including peritonitis, caused by E. coli , Klebsiella spp, and Enterobacter spp

Skin, bone, and skin structure infections caused by P. aeruginosa , Proteus spp, E. coli , Klebsiella spp, Enterobacter spp, Serratia spp and S. aureus

Complicated and recurrent urinary tract infections caused by P. aeruginosa , Proteus spp (indole-positive and indole-negative), E. coli , Klebsiella spp, Enterobacter spp, Serratia spp, S. aureus , Providencia spp, and Citrobacter spp

Aminoglycosides, including tobramycin, are not indicated in uncomplicated initial episodes of urinary tract infections unless the causative organisms are not susceptible to antibiotics having less potential toxicity.  Tobramycin may be considered in serious staphylococcal infections when penicillin or other potentially less toxic drugs are contraindicated and when bacterial susceptibility testing and clinical judgment indicate its use.

Bacterial cultures should be obtained prior to and during treatment to isolate and identify etiologic organisms and to test their susceptibility to tobramycin.  If susceptibility tests show that the causative organisms are resistant to tobramycin, other appropriate therapy should be instituted.  In patients in whom a serious life-threatening gram-negative infection is suspected, including those in whom concurrent therapy with a penicillin or cephalosporin and an aminoglycoside may be indicated, treatment with tobramycin may be initiated before the results of susceptibility studies are obtained.  The decision to continue therapy with tobramycin should be based on the results of susceptibility studies, the severity of the infection, and the important additional concepts discussed in the  WARNINGS  box.

Dosage in Obese Patients

The appropriate dose may be calculated by using the patient’s estimated lean body weight plus 40% of the excess as the basic weight on which to figure mg/kg.

Information for Patients

Patients should be counseled that antibacterial drugs including tobramycin injection should only be used to treat bacterial infections.  They do not treat viral infections (e.g., the common cold).  When tobramycin injection is prescribed to treat a bacterial infection, patients should be told that although it is common to feel better early in the course of therapy, the medication should be taken exactly as directed.  Skipping doses or not completing the full course of therapy may (1) decrease the effectiveness of the immediate treatment and (2) increase the likelihood that bacteria will develop resistance and will not be treatable by tobramycin injection or other antibacterial drugs in the future.

Diarrhea is a common problem caused by antibiotics which usually ends when the antibiotic is discontinued.  Sometimes after starting treatment with antibiotics, patients can develop watery and bloody stools (with or without stomach cramps and fever) even as late as two or more months after having taken the last dose of the antibiotic.  If this occurs, patients should contact their physician as soon as possible.

Dosage and Administration:

Tobramycin may be given intramuscularly or intravenously.  Recommended dosages are the same for both routes.  The patient’s pretreatment body weight should be obtained for calculation of correct dosage.  It is desirable to measure both peak and trough serum concentrations (see  WARNINGS  box  and PRECAUTIONS ).

Intravenous Administration

For intravenous administration, the usual volume of diluent (0.9% Sodium Chloride Injection or 5% Dextrose Injection) is 50 to 100 mL for adult doses.  For pediatric patients, the volume of diluent should be proportionately less than that for adults.  The diluted solution usually should be infused over a period of 20 to 60 minutes.  Infusion periods of less than 20 minutes are not recommended because peak serum levels may exceed 12 mcg/mL (see  WARNINGS  box).

Tobramycin injection should not be physically premixed with other drugs but should be administered separately according to the recommended dose and route.

Prior to administration, parenteral drug products should be inspected visually for particulate matter and discoloration whenever solution and container permit.

Susceptibility Test Methods

When available, the clinical microbiology laboratory should provide the results of in vitro susceptibility test results for antimicrobial drugs used in local hospitals and practice areas to the physician as periodic reports that describe the susceptibility profile of nosocomial and community-acquired pathogens.  These reports should aid the physician in selecting an antibacterial drug product for treatment.



Dilution Techniques



Quantitative methods are used to determine antimicrobial minimum inhibitory concentrations (MICs).  These MICs provide estimates of the susceptibility of bacteria to antibacterial compounds.  The MICs should be determined using a standardized test method 1,3.  Standardized procedures are based on a dilution method (broth or agar) or equivalent with standardized inoculum concentrations and standardized concentrations of tobramycin powder.  The MIC values should be interpreted according to the criteria in Table 1.



Diffusion Techniques



Quantitative methods that require measurement of zone diameters also provide reproducible estimates of the susceptibility of bacteria to antibacterial compounds.  One such standardized procedure requires the use of standardized inoculum concentrations and paper disks impregnated with 10 mcg of tobramycin 2,3.  The disk diffusion values should be interpreted according to the criteria provided in Table 1.







                         Table 1:  Susceptibility Interpretive Criteria for Tobramycin



 

Pathogen

 



 

Minimum Inhibitory

 

Concentrations (mcg/mL)





 

Disk Diffusion Zone Diameter

 

Pathogen (mm)





 

 

S

 



 

I

 



 

R

 



 

S

 



 

I

 



 

R

 



Staphylococcus aureus (includes methicillin-susceptible and methicillin resistant isolates)

 

≤ 4

 



 

8

 



 

≥ 16

 



 

≥ 15

 



 

13 to 14

 



 

≤ 12

 



Enterobacteriaceae a

 

≤ 4

 



 

8

 



 

≥ 16

 



 

≥ 15

 



 

13 to 14

 



 

≤ 12

 



Pseudomonas aeruginosa

 

≤ 4

 



 

8

 



 

≥ 16

 



 

≥ 15

 



 

13 to 14

 



 

≤ 12

 



S = susceptible, I = intermediate, R = resistant



a For Salmonella spp. and Shigella spp., tobramycin may appear active in vitro but is not effective clinically and should not be reported as susceptible.







A report of "Susceptible" indicates that the antimicrobial is likely to inhibit growth of the pathogen if the antimicrobial compound reaches the concentration at the infection site necessary to inhibit growth of the pathogen.  A report of "Intermediate" indicates that the result should be considered equivocal, and if the microorganism is not fully susceptible to alternative clinically feasible drugs, the test should be repeated.  This category implies possible clinical applicability in body sites where the drug is physiologically concentrated.  This category also provides a buffer zone that prevents small uncontrolled technical factors from causing major discrepancies in interpretation.  A report of "Resistant" indicates that the antimicrobial is not likely to inhibit growth of the pathogen if the antimicrobial compound reaches the concentrations usually achievable at the infection site; other therapy should be selected.



Intramuscular Administration

Tobramycin may be administered by withdrawing the appropriate dose directly from a vial.

Dosage in Patients With Cystic Fibrosis

In patients with cystic fibrosis, altered pharmacokinetics may result in reduced serum concentrations of aminoglycosides.  Measurement of tobramycin serum concentration during treatment is especially important as a basis for determining appropriate dose.  In patients with severe cystic fibrosis, an initial dosing regimen of 10 mg/kg/day in 4 equally divided doses is recommended.  This dosing regimen is suggested only as a guide.  The serum levels of tobramycin should be measured directly during treatment due to wide interpatient variability.

Administration for Patients With Normal Renal Function

Adults with Serious Infections:   3 mg/kg/day in 3 equal doses every 8 hours (see Table 3).



Adults With Life-Threatening Infections:   Up to 5 mg/kg/day may be administered in 3 or 4 equal doses (see Table 3).  The dosage should be reduced to 3 mg/kg/day as soon as clinically indicated. To prevent increased toxicity due to excessive blood levels, dosage should not exceed 5 mg/kg/day unless serum levels are monitored (see  WARNINGS box and PRECAUTIONS ).



 

Table 3

 

DOSAGE SCHEDULE GUIDE FOR ADULTS WITH NORMAL RENAL FUNCTION



(Dosage at 8-Hour Intervals)





 

For

 

Patient Weighing





 

Usual Dose for Serious Infections

 



 

Maximum Dose for Life-Threatening Infections

 

(Reduce as soon as possible)





 

1 mg/kg q8h

 



 

1.66 mg/kg q8h

 



 

kg

 



 

lb

 



 

(Total, 3 mg/kg/day)

 



 

(Total, 5 mg/kg/day)

 



 

 

 

mg/dose

 



 

 

mL/dose*

 



 

mg/dose

 



 

 

mL/dose*

 



 

 

 

 

q8h

 



 

 

 

q8h

 



 

 

120

 



 

264

 



 

120 mg

 



 

 

3 mL

 



 

200 mg

 



 

 

5 mL

 



 

115

 



 

253

 



 

115 mg

 



 

 

2.9 mL

 



 

191 mg

 



 

 

4.75 mL

 



 

110

 



 

242

 



 

110 mg

 



 

 

2.75 mL

 



 

183 mg

 



 

 

4.5 mL

 



 

105

 



 

231

 



 

105 mg

 



 

 

2.6 mL

 



 

175 mg

 



 

 

4.4 mL

 



 

100

 



 

220

 



 

100 mg

 



 

 

2.5 mL

 



 

166 mg

 



 

 

4.2 mL

 



 

95

 



 

209

 



 

95 mg

 



 

 

2.4 mL

 



 

158 mg

 



 

 

4 mL

 



 

90

 



 

198

 



 

90 mg

 



 

 

2.25 mL

 



 

150 mg

 



 

 

3.75 mL

 



 

85

 



 

187

 



 

85 mg

 



 

 

2.1 mL

 



 

141 mg

 



 

 

3.5 mL

 



 

80

 



 

176

 



 

80 mg

 



 

 

2 mL

 



 

133 mg

 



 

 

3.3 mL

 



 

75

 



 

165

 



 

75 mg

 



 

 

1.9 mL

 



 

125 mg

 



 

 

3.1 mL

 



 

70

 



 

154

 



 

70 mg

 



 

 

1.75 mL

 



 

116 mg

 



 

 

2.9 mL

 



 

65

 



 

143

 



 

65 mg

 



 

 

1.6 mL

 



 

108 mg

 



 

 

2.7 mL

 



 

60

 



 

132

 



 

60 mg

 



 

 

1.5 mL

 



 

100 mg

 



 

 

2.5 mL

 



 

55

 



 

121

 



 

55 mg

 



 

 

1.4 mL

 



 

91 mg

 



 

 

2.25 mL

 



 

50

 



 

110

 



 

50 mg

 



 

 

1.25 mL

 



 

83 mg

 



 

 

2.1 mL

 



 

45

 



 

99

 



 

45 mg

 



 

 

1.1 mL

 



 

75 mg

 



 

 

1.9 mL

 



 

40

 



 

88

 



 

40 mg

 



 

 

1 mL

 



 

66 mg

 



 

 

1.6 mL

 



*Applicable to all product forms except Tobramycin Injection Pediatric, 10 mg/mL (see HOW SUPPLIED ).







Pediatric Patients (greater than 1 week of age):   6 to 7.5 mg/kg/day in 3 or 4 equally divided doses (2 to 2.5 mg/kg every 8 hours or 1.5 to 1.89 mg/kg every 6 hours).



Premature or Full-Term Neonates 1 Week of Age or Less:   Up to 4 mg/kg/day may be administered in 2 equal doses every 12 hours.



It is desirable to limit treatment to a short term.  The usual duration of treatment is 7 to 10 days.  A longer course of therapy may be necessary in difficult and complicated infections.  In such cases, monitoring of renal, auditory, and vestibular functions is advised, because neurotoxicity is more likely to occur when treatment is extended longer than 10 days.



Administration for Patients With Impaired Renal Function

Whenever possible, serum tobramycin concentrations should be monitored during therapy.

Following a loading dose of 1 mg/kg, subsequent dosage in these patients must be adjusted, either with reduced doses administered at 8-hour intervals or with normal doses given at prolonged intervals.  Both of these methods are suggested as guides to be used when serum levels of tobramycin cannot be measured directly.  They are based on either the creatinine clearance level or the serum creatinine level of the patient because these values correlate with the half-life of tobramycin.  The dosage schedule derived from either method should be used in conjunction with careful clinical and laboratory observations of the patient and should be modified as necessary.  Neither method should be used when dialysis is being performed.

Reduced dosage at 8-hour intervals:  When the creatinine clearance rate is 70 mL or less per minute or when the serum creatinine value is known, the amount of the reduced dose can be determined by multiplying the normal dose from Table 3 by the percent of normal dose from the accompanying nomogram.

 



* Scales have been adjusted to facilitate dosage calculations.

An alternate rough guide for determining reduced dosage at 8-hour intervals (for patients whose steady-state serum creatinine values are known) is to divide the normally recommended dose by the patient’s serum creatinine.

Normal dosage at prolonged intervals:  If the creatinine clearance rate is not available and the patient’s condition is stable, a dosage frequency in hours for the dosage given in Table 3 can be determined by multiplying the patient’s serum creatinine by 6.


Structured Label Content

Section 42229-5 (42229-5)

Rx only

To reduce the development of drug-resistant bacteria and maintain the effectiveness of Tobramycin Injection, USP and other antibacterial drugs, Tobramycin Injection, USP should be used only to treat or prevent infections that are proven or strongly suspected to be caused by bacteria.





Section 51945-4 (51945-4)

PACKAGE LABEL - PRINCIPAL DISPLAY - Tobramycin 2 mL Multiple Dose Vial Label

Tobramycin Injection, USP

80 mg per 2 mL  (40 mg per mL)

For IM or IV use.

MUST BE DILUTED BEFORE IV USE.

Usual dosage: See package insert.

2 mL Multiple Dose Vial

Rx only



PACKAGE LABEL - PRINCIPAL DISPLAY - Tobramycin 2 mL Multiple Dose Vial Tray Label 

Tobramycin Injection, USP

80 mg per 2 mL  (40 mg per mL)

For intramuscular or intravenous use.

MUST BE DILUTED BEFORE IV USE.

25 x 2 mL

Multiple Dose Vials

Rx only



General

Prescribing tobramycin injection in the absence of a proven or strongly suspected bacterial infection or a prophylactic indication is unlikely to provide benefit to the patient and increases the risk of the development of drug-resistant bacteria.

Serum and urine specimens for examination should be collected during therapy, as recommended in the  WARNINGS   box.  Serum calcium, magnesium, and sodium should be monitored.

Peak and trough serum levels should be measured periodically during therapy.  Prolonged concentrations above 12 mcg/mL should be avoided.  Rising trough levels (above 2 mcg/mL) may indicate tissue accumulation.  Such accumulation, advanced age, and cumulative dosage may contribute to ototoxicity and nephrotoxicity.  It is particularly important to monitor serum levels closely in patients with known renal impairment.

A useful guideline would be to perform serum level assays after 2 or 3 doses, so that the dosage could be adjusted if necessary, and at 3- to 4-day intervals during therapy.  In the event of changing renal function, more frequent serum levels should be obtained and the dosage or dosage interval adjusted according to the guidelines provided in DOSAGE AND ADMINISTRATION .

In order to measure the peak level, a serum sample should be drawn about 30 minutes following intravenous infusion or 1 hour after an intramuscular injection.  Trough levels are measured by obtaining serum samples at 8 hours or just prior to the next dose of tobramycin.  These suggested time intervals are intended only as guidelines and may vary according to institutional practices.  It is important, however, that there be consistency within the individual patient program unless computerized pharmacokinetic dosing programs are available in the institution.  These serum-level assays may be especially useful for monitoring the treatment of severely ill patients with changing renal function or of those infected with less susceptible organisms or those receiving maximum dosage.

Neuromuscular blockade and respiratory paralysis have been reported in cats receiving very high doses of tobramycin (40 mg/kg).  The possibility of prolonged or secondary apnea should be considered if tobramycin is administered to anesthetized patients who are also receiving neuromuscular blocking agents, such as succinylcholine, tubocurarine, or decamethonium, or to patients receiving massive transfusions of citrated blood.  If neuromuscular blockade occurs, it may be reversed by the administration of calcium salts.

Cross-allergenicity among aminoglycosides has been demonstrated.

In patients with extensive burns or cystic fibrosis, altered pharmacokinetics may result in reduced serum concentrations of aminoglycosides.  In such patients treated with tobramycin measurement of serum concentration is especially important as a basis for determination of appropriate dosage.

Elderly patients may have reduced renal function that may not be evident in the results of routine screening tests, such as BUN or serum creatinine.  A creatinine clearance determination may be more useful.  Monitoring of renal function during treatment with aminoglycosides is particularly important in such patients.

An increased incidence of nephrotoxicity has been reported following concomitant administration of aminoglycoside antibiotics and cephalosporins.

Aminoglycosides should be used with caution in patients with muscular disorders, such as myasthenia gravis or parkinsonism, since these drugs may aggravate muscle weakness because of their potential curare-like effect on neuromuscular function.

Aminoglycosides may be absorbed in significant quantities from body surfaces after local irrigation or application and may cause neurotoxicity and nephrotoxicity.

Aminoglycosides have not been approved for intraocular and/or subconjunctival use.  Physicians are advised that macular necrosis has been reported following administration of aminoglycosides, including tobramycin, by these routes.

See   WARNINGS  box regarding concurrent use of potent diuretics and concurrent and sequential use of other neurotoxic or nephrotoxic drugs.

The inactivation of tobramycin and other aminoglycosides by ß-lactam-type antibiotics (penicillins or cephalosporins) has been demonstrated in vitro and in patients with severe renal impairment.  Such inactivation has not been found in patients with normal renal function who have been given the drugs by separate routes of administration.

Therapy with tobramycin may result in overgrowth of nonsusceptible organisms.  If overgrowth of nonsusceptible organisms occurs, appropriate therapy should be initiated.

Warnings (WARNINGS)

Patients treated with tobramycin injection and other aminoglycosides should be under close clinical observation, because these drugs have an inherent potential for causing ototoxicity and nephrotoxicity.

Neurotoxicity, manifested as both auditory and vestibular ototoxicity, can occur.  The auditory changes are irreversible, are usually bilateral, and may be partial or total.  Eighth-nerve impairment and nephrotoxicity may develop, primarily in patients having preexisting renal damage and in those with normal renal function to whom aminoglycosides are administered for longer periods or in higher doses than those recommended.  Other manifestations of neurotoxicity may include numbness, skin tingling, muscle twitching, and convulsions.  The risk of aminoglycoside-induced hearing loss increases with the degree of exposure to either high peak or high trough serum concentrations.  Patients who develop cochlear damage may not have symptoms during therapy to warn them of eighth-nerve toxicity, and partial or total irreversible bilateral deafness may continue to develop after the drug has been discontinued.

Rarely, nephrotoxicity may not become apparent until the first few days after cessation of therapy.  Aminoglycoside-induced nephrotoxicity usually is reversible.

Renal and eighth-nerve function should be closely monitored in patients with known or suspected renal impairment and also in those whose renal function is initially normal but who develop signs of renal dysfunction during therapy.  Peak and trough serum concentrations of aminoglycosides should be monitored periodically during therapy to assure adequate levels and to avoid potentially toxic levels.  Prolonged serum concentrations above 12 mcg/mL should be avoided.  Rising trough levels (above 2 mcg/mL) may indicate tissue accumulation.  Such accumulation, excessive peak concentrations, advanced age, and cumulative dose may contribute to ototoxicity and nephrotoxicity (see PRECAUTIONS ).  Urine should be examined for decreased specific gravity and increased excretion of protein, cells, and casts.  Blood urea nitrogen, serum creatinine, and creatinine clearance should be measured periodically.  When feasible, it is recommended that serial audiograms be obtained in patients old enough to be tested, particularly high-risk patients.  Evidence of impairment of renal, vestibular, or auditory function requires discontinuation of the drug or dosage adjustment.

Tobramycin injection should be used with caution in premature and neonatal infants because of their renal immaturity and the resulting prolongation of serum half-life of the drug.

Concurrent and sequential use of other neurotoxic and/or nephrotoxic antibiotics, particularly other aminoglycosides (e.g., amikacin, streptomycin, neomycin, kanamycin, gentamicin, and paromomycin), cephaloridine, viomycin, polymyxin B, colistin, cisplatin, and vancomycin, should be avoided.  Other factors that may increase patient risk are advanced age and dehydration.

Aminoglycosides should not be given concurrently with potent diuretics, such as ethacrynic acid and furosemide.  Some diuretics themselves cause ototoxicity, and intravenously administered diuretics enhance aminoglycoside toxicity by altering antibiotic concentrations in serum and tissue.

Aminoglycosides can cause fetal harm when administered to a pregnant woman (see PRECAUTIONS ).

Treatment

In all cases of suspected overdosage, call your Regional Poison Control Center to obtain the most up-to-date information about the treatment of overdose.  This recommendation is made because, in general, information regarding the treatment of overdosage may change more rapidly than the package insert.  In managing overdose, consider the possibility of multiple drug overdoses, interaction among drugs, and unusual drug kinetics in your patients.

The initial intervention in a tobramycin overdose is to establish an airway and ensure oxygenation and ventilation.  Resuscitative measures should be initiated promptly if respiratory paralysis occurs.

Patients who have received an overdose of tobramycin and who have normal renal function should be adequately hydrated to maintain a urine output of 3 to 5 mL/kg/hr.  Fluid balance, creatinine clearance, and tobramycin plasma levels should be carefully monitored until the serum tobramycin level falls below 2 mcg/mL.

Patients in whom the elimination half-life is greater than 2 hours or whose renal function is abnormal may require more aggressive therapy.  In such patients, hemodialysis may be beneficial.

Warnings: (WARNINGS:)

See  WARNINGS box above.

Tobramycin injection contains sodium metabisulfite, a sulfite that may cause allergic-type reactions, including anaphylactic symptoms and life-threatening or less severe asthmatic episodes, in certain susceptible people.  The overall prevalence of sulfite sensitivity in the general population is unknown and probably low.  Sulfite sensitivity is seen more frequently in asthmatic than in nonasthmatic people.

Serious allergic reactions including anaphylaxis and dermatologic reactions including exfoliative dermatitis, toxic epidermal necrolysis, erythema multiforme, and Stevens-Johnson Syndrome have been reported rarely in patients on tobramycin therapy.  Although rare, fatalities have been reported (see CONTRAINDICATIONS ).

If an allergic reaction occurs, the drug should be discontinued and appropriate therapy instituted.

Clostridium difficile associated diarrhea (CDAD) has been reported with use of nearly all antibacterial agents, including Tobramycin Injection, USP, and may range in severity from mild diarrhea to fatal colitis.  Treatment with antibacterial agents alters the normal flora of the colon leading to overgrowth of C. difficile .

C. difficile produces toxins A and B which contribute to the development of CDAD.  Hypertoxin producing strains of C. difficile cause increased morbidity and mortality, as these infections can be refractory to antimicrobial therapy and may require colectomy.  CDAD must be considered in all patients who present with diarrhea following antibiotic use.  Careful medical history is necessary since CDAD has been reported to occur over two months after the administration of antibacterial agents.

If CDAD is suspected or confirmed, ongoing antibiotic use not directed against C. difficile may need to be discontinued.  Appropriate fluid and electrolyte management, protein supplementation, antibiotic treatment of C. difficile , and surgical evaluation should be instituted as clinically indicated.

References: (REFERENCES:)
  • Clinical and Laboratory Standards Institute (CLSI). Methods for Dilution Antimicrobial Susceptibility Tests for Bacteria that Grow Aerobically; Approved Standard - Ninth Edition. CLSI document M07-A9, Clinical and Laboratory Standards Institute, 950 West Valley Road, Suite 2500, Wayne, Pennsylvania 19087, USA, 2012.
  • Clinical and Laboratory Standards Institute (CLSI). Performance Standards for Antimicrobial Disk Diffusion Susceptibility Tests; Approved Standard - Eleventh Edition. CLSI document M02-A11, Clinical and Laboratory Standards Institute, 950 West Valley Road, Suite 2500, Wayne, Pennsylvania 19087, USA, 2012.
  • Clinical and Laboratory Standards Institute (CLSI). Performance Standards for Antimicrobial Susceptibility Testing; Twenty-third Informational Supplement. CLSI document M100-S23, Clinical and Laboratory Standards Institute, 950 West Valley Road, Suite 2500, Wayne, Pennsylvania 19087, USA, 2013.
Description: (DESCRIPTION:)

Tobramycin sulfate, a water-soluble antibiotic of the aminoglycoside group, is derived from the actinomycete Streptomyces   tenebrarius .  Tobramycin Injection, USP is a clear and colorless sterile aqueous solution for parenteral administration.

Tobramycin sulfate is O- 3-amino-3-deoxy-α-D-glucopyranosyl-(1→4)- O- [2,6-diamino-2,3,6-trideoxy-α-D- ribo -hexopyranosyl-(1→6)]-2-deoxy-L-streptamine, sulfate (2:5) (salt).  The structural formula for tobramycin is as follows:

 

(C 18H 37N 5O 9) 2•5H 2SO          M.W. 1425.45



Each mL contains tobramycin sulfate equivalent to 40 mg tobramycin; phenol 5 mg; sodium metabisulfite 3.2 mg; 0.1 mg edetate disodium and water for injection, q.s.  Sulfuric acid and/or sodium hydroxide may have been added to adjust the pH (3.0 to 6.5).  Each mL of tobramycin contains 0.78 mg (0.034 mEq) of sodium.

Microbiology

Mechanism of Action

Tobramycin acts by inhibiting protein synthesis in bacterial cells.   In vitro tests demonstrate that tobramycin is bactericidal.

Resistance

Aminoglycosides are generally not active against most gram-positive organisms, including Streptococcus pyogenes, Streptococcus pneumoniae, and enterococci.  Cross-resistance between aminoglycosides may occur.

Interactions with Other Antibacterial Drugs

In vitro studies have shown that an aminoglycoside combined with an antibiotic that interferes with cell-wall synthesis affects some enterococcal strains synergistically.  The combination of penicillin G and tobramycin results in a synergistic bactericidal effect in vitro against certain strains of Enterococcus faecalis.   However, this combination is not synergistic against other closely related organisms, e.g., Enterococcus faecium.   Species-level identification of enterococci alone cannot be used to predict susceptibility.  Susceptibility testing and tests for antibiotic synergism must be performed.

Tobramycin has been shown to be active against most strains of the following bacteria both in vitro and in clinical infections as described in INDICATIONS AND USAGE section (1):

Aerobic Gram-positive bacteria

Staphylococcus aureus

Aerobic Gram-negative bacteria

Citrobacter species

Enterobacter species

Escherichia coli

Klebsiella species

Morganella morganii

Pseudomonas aeruginosa

Proteus mirabilis

Proteus vulgaris

Providencia species

Serratia species



Aminoglycosides are generally not active against most gram-positive bacteria, including Streptococcus pyogenes, Streptococcus pneumoniae, and enterococci.  For Salmonella spp. and Shigella spp., aminoglycosides may appear active in vitro but are not effective clinically and should not be reported as susceptible.

Geriatric Use

Elderly patients may be at a higher risk of developing nephrotoxicity and ototoxicity while receiving tobramycin (see WARNINGS , PRECAUTIONS , and OVERDOSAGE ).  Other factors that may contribute to nephrotoxicity and ototoxicity are rising trough levels, excessive peak concentrations, dehydration, concomitant use of other neurotoxic or nephrotoxic drugs, and cumulative dose.  Peak and trough serum levels should be measured periodically during therapy to assure adequate levels and to avoid potentially toxic levels (see WARNINGS and PRECAUTIONS ).  Tobramycin is known to be substantially excreted by the kidney, and the risk of toxic reactions to this drug may be greater in patients with impaired renal function.  Dose reduction is required for patients with impaired renal function (see DOSAGE AND ADMINISTRATION ).  Elderly patients may have reduced renal function that may not be evident in the results of routine screening tests, such as BUN or serum creatinine.  A creatinine clearance determination may be more useful.  Monitoring of renal function during treatment with aminoglycosides is particularly important in the elderly (see PRECAUTIONS ).

Each mL of tobramycin (10 mg/mL or 40 mg/mL) contains 0.78 mg (0.034 mEq) of sodium.

How Supplied: (HOW SUPPLIED:)

Tobramycin Injection, USP, in a multiple dose vial, is supplied as follows:



Product 

No.

NDC

No.

 

Strength

 



PRX300602

63323-306-26

80 mg per 2 mL  (40 mg per mL)

2 mL in a 2 mL  vial, packaged in 25.



Store at 20° to 25°C (68° to 77°F) [see USP Controlled Room Temperature].



The container closure is not made with natural rubber latex.



Neurotoxicity

Adverse effects on both the vestibular and auditory branches of the eighth nerve have been noted, especially in patients receiving high doses or prolonged therapy, in those given previous courses of therapy with an ototoxin, and in cases of dehydration.  Symptoms include dizziness, vertigo, tinnitus, roaring in the ears, and hearing loss.  Hearing loss is usually irreversible and is manifested initially by diminution of high-tone acuity.  Tobramycin and gentamicin sulfates closely parallel each other in regard to ototoxic potential.

Pediatric Use
Nephrotoxicity

Renal function changes, as shown by rising BUN, NPN, and serum creatinine and by oliguria, cylindruria, and increased proteinuria, have been reported, especially in patients with a history of renal impairment who are treated for longer periods or with higher doses than those recommended.  Adverse renal effects can occur in patients with initially normal renal function.

Clinical studies and studies in experimental animals have been conducted to compare the nephrotoxic potential of tobramycin and gentamicin.  In some of the clinical studies and in the animal studies, tobramycin caused nephrotoxicity significantly less frequently than gentamicin.  In some other clinical studies, no significant difference in the incidence of nephrotoxicity between tobramycin and gentamicin was found.

Other reported adverse reactions possibly related to tobramycin include anemia, granulocytopenia, and thrombocytopenia; and fever, rash, exfoliative dermatitis, itching, urticaria, nausea, vomiting, diarrhea, headache, lethargy, pain at the injection site, mental confusion, and disorientation.  Laboratory abnormalities possibly related to tobramycin include increased serum transaminases (AST, ALT); increased serum LDH and bilirubin; decreased serum calcium, magnesium, sodium, and potassium, and leukopenia, leukocytosis, and eosinophilia.

Quality Control

Standardized susceptibility test procedures require the use of laboratory controls to monitor and ensure the accuracy and precision of supplies and reagents used in the assay, and the techniques of the individuals performing the test 1,2 ,3.  Standard tobramycin powder should provide the following range of MIC values provided in Table 2.   For the diffusion technique using the 10 mcg tobramycin disk, the criteria provided in Table 2 should be achieved.







            Table 2: Acceptable Quality Control Ranges for Susceptibility Testing



 

Quality Control Organism

 



 

Minimum Inhibitory

 

 Concentrations (mcg/mL)





 

Disk Diffusion (zone diameter in mm)

 



Escherichia coli   ATCC 25922

 

0.25 to 1

 



 

18 to 26

 



Staphylococcus aureus   ATCC 25923

 

Not applicable

 



 

19 to 29

 



Pseudomonas aeruginosa   ATCC 27853

 

0.25 to 1

 



 

20 to 26

 



Staphylococcus aureus   ATCC 29213

 

0.12 to 1

 



 

Not applicable

 



Enterococcus faecalis   ATCC 29212

 

8 to 32

 



 

Not applicable

 





Contraindications: (CONTRAINDICATIONS:)

A hypersensitivity to any aminoglycoside is a contraindication to the use of tobramycin.  A history of hypersensitivity or serious toxic reactions to aminoglycosides may also contraindicate the use of any other aminoglycoside because of the known cross-sensitivity of patients to drugs in this class.

Signs and Symptoms

The severity of the signs and symptoms following a tobramycin overdose are dependent on the dose administered, the patient’s renal function, state of hydration, and age and whether or not other medications with similar toxicities are being administered concurrently.  Toxicity may occur in patients treated more than 10 days, in adults given more than 5 mg/kg/day, in pediatric patients given more than 7.5 mg/kg/day, or in patients with reduced renal function where dose has not been appropriately adjusted.

Nephrotoxicity following the parenteral administration of an aminoglycoside is most closely related to the area under the curve of the serum concentration versus time graph.  Nephrotoxicity is more likely if trough blood concentrations fail to fall below 2 mcg/mL and is also proportional to the average blood concentration.  Patients who are elderly, have abnormal renal function, are receiving other nephrotoxic drugs, or are volume depleted are at greater risk for developing acute tubular necrosis.  Auditory and vestibular toxicities have been associated with aminoglycoside overdose.  These toxicities occur in patients treated longer than 10 days, in patients with abnormal renal function, in dehydrated patients, or in patients receiving medications with additive auditory toxicities.  These patients may not have signs or symptoms or may experience dizziness, tinnitus, vertigo, and a loss of high-tone acuity as ototoxicity progresses.  Ototoxicity signs and symptoms may not begin to occur until long after the drug has been discontinued.

Neuromuscular blockade or respiratory paralysis may occur following administration of aminoglycosides.  Neuromuscular blockade, respiratory failure, and prolonged respiratory paralysis may occur more commonly in patients with myasthenia gravis or Parkinson’s disease.  Prolonged respiratory paralysis may also occur in patients receiving decamethonium, tubocurarine, or succinylcholine.  If neuromuscular blockade occurs, it may be reversed by the administration of calcium salts but mechanical assistance may be necessary.

If tobramycin were ingested, toxicity would be less likely because aminoglycosides are poorly absorbed from an intact gastrointestinal tract.

Pregnancy Category D

Aminoglycosides can cause fetal harm when administered to a pregnant woman.  Aminoglycoside antibiotics cross the placenta, and there have been several reports of total irreversible bilateral congenital deafness in children whose mothers received streptomycin during pregnancy.  Serious side effects to mother, fetus, or newborn have not been reported in the treatment of pregnant women with other aminoglycosides.  If tobramycin is used during pregnancy or if the patient becomes pregnant while taking tobramycin, she should be apprised of the potential hazard to the fetus.

Clinical Pharmacology: (CLINICAL PHARMACOLOGY:)

Tobramycin is rapidly absorbed following intramuscular administration.  Peak serum concentrations of tobramycin occur between 30 and 90 minutes after intramuscular administration.  Following an intramuscular dose of 1 mg/kg of body weight, maximum serum concentrations reach about 4 mcg/mL, and measurable levels persist for as long as 8 hours.  Therapeutic serum levels are generally considered to range from 4 to 6 mcg/mL.  When tobramycin is administered by intravenous infusion over a 1-hour period, the serum concentrations are similar to those obtained by intramuscular administration.  Tobramycin is poorly absorbed from the gastrointestinal tract.

In patients with normal renal function, except neonates, tobramycin administered every 8 hours does not accumulate in the serum.  However, in those patients with reduced renal function and in neonates, the serum concentration of the antibiotic is usually higher and can be measured for longer periods of time than in normal adults.  Dosage for such patients must, therefore, be adjusted accordingly (see DOSAGE AND ADMINISTRATION ).

Following parenteral administration, little, if any, metabolic transformation occurs, and tobramycin is eliminated almost exclusively by glomerular filtration.  Renal clearance is similar to that of endogenous creatinine.  Ultrafiltration studies demonstrate that practically no serum protein binding occurs.  In patients with normal renal function, up to 84% of the dose is recoverable from the urine in 8 hours and up to 93% in 24 hours.

Peak urine concentrations ranging from 75 to 100 mcg/mL have been observed following the intramuscular injection of a single dose of 1 mg/kg.  After several days of treatment, the amount of tobramycin excreted in the urine approaches the daily dose administered.  When renal function is impaired, excretion of tobramycin is slowed, and accumulation of the drug may cause toxic blood levels.

The serum half-life in normal individuals is 2 hours.  An inverse relationship exists between serum half-life and creatinine clearance, and the dosage schedule should be adjusted according to the degree of renal impairment (see DOSAGE AND ADMINISTRATION ).  In patients undergoing dialysis, 25% to 70% of the administered dose may be removed, depending on the duration and type of dialysis.

Tobramycin can be detected in tissues and body fluids after parenteral administration.  Concentrations in bile and stools ordinarily have been low, which suggests minimum biliary excretion.  Tobramycin has appeared in low concentration in the cerebrospinal fluid following parenteral administration, and concentrations are dependent on dose, rate of penetration, and degree of meningeal inflammation.  It has also been found in sputum, peritoneal fluid, synovial fluid, and abscess fluids, and it crosses the placental membranes.  Concentrations in the renal cortex are several times higher than the usual serum levels.

Probenecid does not affect the renal tubular transport of tobramycin.

Indications and Usage: (INDICATIONS AND USAGE:)

To reduce the development of drug-resistant bacteria and maintain the effectiveness of Tobramycin Injection, USP and other antibacterial drugs, Tobramycin Injection, USP should be used only to treat or prevent infections that are proven or strongly suspected to be caused by susceptible bacteria.  When culture and susceptibility information are available, they should be considered in selecting or modifying antibacterial therapy.  In the absence of such data, local epidemiology and susceptibility patterns may contribute to the empiric selection of therapy.

 

Tobramycin injection is indicated for the treatment of serious bacterial infections caused by susceptible strains of the designated microorganisms in the diseases listed below:

Septicemia in the pediatric patient and adult caused by P. aeruginosa , E. coli , and Klebsiella spp

Lower respiratory tract infections caused by P. aeruginos a, Klebsiella spp, Enterobacter spp, Serratia spp, E. coli , and S. aureus (penicillinase- and non-penicillinase-producing strains)

Serious central-nervous-system infections (meningitis) caused by susceptible organisms

Intra-abdominal infections, including peritonitis, caused by E. coli , Klebsiella spp, and Enterobacter spp

Skin, bone, and skin structure infections caused by P. aeruginosa , Proteus spp, E. coli , Klebsiella spp, Enterobacter spp, Serratia spp and S. aureus

Complicated and recurrent urinary tract infections caused by P. aeruginosa , Proteus spp (indole-positive and indole-negative), E. coli , Klebsiella spp, Enterobacter spp, Serratia spp, S. aureus , Providencia spp, and Citrobacter spp

Aminoglycosides, including tobramycin, are not indicated in uncomplicated initial episodes of urinary tract infections unless the causative organisms are not susceptible to antibiotics having less potential toxicity.  Tobramycin may be considered in serious staphylococcal infections when penicillin or other potentially less toxic drugs are contraindicated and when bacterial susceptibility testing and clinical judgment indicate its use.

Bacterial cultures should be obtained prior to and during treatment to isolate and identify etiologic organisms and to test their susceptibility to tobramycin.  If susceptibility tests show that the causative organisms are resistant to tobramycin, other appropriate therapy should be instituted.  In patients in whom a serious life-threatening gram-negative infection is suspected, including those in whom concurrent therapy with a penicillin or cephalosporin and an aminoglycoside may be indicated, treatment with tobramycin may be initiated before the results of susceptibility studies are obtained.  The decision to continue therapy with tobramycin should be based on the results of susceptibility studies, the severity of the infection, and the important additional concepts discussed in the  WARNINGS  box.

Dosage in Obese Patients

The appropriate dose may be calculated by using the patient’s estimated lean body weight plus 40% of the excess as the basic weight on which to figure mg/kg.

Information for Patients

Patients should be counseled that antibacterial drugs including tobramycin injection should only be used to treat bacterial infections.  They do not treat viral infections (e.g., the common cold).  When tobramycin injection is prescribed to treat a bacterial infection, patients should be told that although it is common to feel better early in the course of therapy, the medication should be taken exactly as directed.  Skipping doses or not completing the full course of therapy may (1) decrease the effectiveness of the immediate treatment and (2) increase the likelihood that bacteria will develop resistance and will not be treatable by tobramycin injection or other antibacterial drugs in the future.

Diarrhea is a common problem caused by antibiotics which usually ends when the antibiotic is discontinued.  Sometimes after starting treatment with antibiotics, patients can develop watery and bloody stools (with or without stomach cramps and fever) even as late as two or more months after having taken the last dose of the antibiotic.  If this occurs, patients should contact their physician as soon as possible.

Dosage and Administration: (DOSAGE AND ADMINISTRATION:)

Tobramycin may be given intramuscularly or intravenously.  Recommended dosages are the same for both routes.  The patient’s pretreatment body weight should be obtained for calculation of correct dosage.  It is desirable to measure both peak and trough serum concentrations (see  WARNINGS  box  and PRECAUTIONS ).

Intravenous Administration

For intravenous administration, the usual volume of diluent (0.9% Sodium Chloride Injection or 5% Dextrose Injection) is 50 to 100 mL for adult doses.  For pediatric patients, the volume of diluent should be proportionately less than that for adults.  The diluted solution usually should be infused over a period of 20 to 60 minutes.  Infusion periods of less than 20 minutes are not recommended because peak serum levels may exceed 12 mcg/mL (see  WARNINGS  box).

Tobramycin injection should not be physically premixed with other drugs but should be administered separately according to the recommended dose and route.

Prior to administration, parenteral drug products should be inspected visually for particulate matter and discoloration whenever solution and container permit.

Susceptibility Test Methods

When available, the clinical microbiology laboratory should provide the results of in vitro susceptibility test results for antimicrobial drugs used in local hospitals and practice areas to the physician as periodic reports that describe the susceptibility profile of nosocomial and community-acquired pathogens.  These reports should aid the physician in selecting an antibacterial drug product for treatment.



Dilution Techniques



Quantitative methods are used to determine antimicrobial minimum inhibitory concentrations (MICs).  These MICs provide estimates of the susceptibility of bacteria to antibacterial compounds.  The MICs should be determined using a standardized test method 1,3.  Standardized procedures are based on a dilution method (broth or agar) or equivalent with standardized inoculum concentrations and standardized concentrations of tobramycin powder.  The MIC values should be interpreted according to the criteria in Table 1.



Diffusion Techniques



Quantitative methods that require measurement of zone diameters also provide reproducible estimates of the susceptibility of bacteria to antibacterial compounds.  One such standardized procedure requires the use of standardized inoculum concentrations and paper disks impregnated with 10 mcg of tobramycin 2,3.  The disk diffusion values should be interpreted according to the criteria provided in Table 1.







                         Table 1:  Susceptibility Interpretive Criteria for Tobramycin



 

Pathogen

 



 

Minimum Inhibitory

 

Concentrations (mcg/mL)





 

Disk Diffusion Zone Diameter

 

Pathogen (mm)





 

 

S

 



 

I

 



 

R

 



 

S

 



 

I

 



 

R

 



Staphylococcus aureus (includes methicillin-susceptible and methicillin resistant isolates)

 

≤ 4

 



 

8

 



 

≥ 16

 



 

≥ 15

 



 

13 to 14

 



 

≤ 12

 



Enterobacteriaceae a

 

≤ 4

 



 

8

 



 

≥ 16

 



 

≥ 15

 



 

13 to 14

 



 

≤ 12

 



Pseudomonas aeruginosa

 

≤ 4

 



 

8

 



 

≥ 16

 



 

≥ 15

 



 

13 to 14

 



 

≤ 12

 



S = susceptible, I = intermediate, R = resistant



a For Salmonella spp. and Shigella spp., tobramycin may appear active in vitro but is not effective clinically and should not be reported as susceptible.







A report of "Susceptible" indicates that the antimicrobial is likely to inhibit growth of the pathogen if the antimicrobial compound reaches the concentration at the infection site necessary to inhibit growth of the pathogen.  A report of "Intermediate" indicates that the result should be considered equivocal, and if the microorganism is not fully susceptible to alternative clinically feasible drugs, the test should be repeated.  This category implies possible clinical applicability in body sites where the drug is physiologically concentrated.  This category also provides a buffer zone that prevents small uncontrolled technical factors from causing major discrepancies in interpretation.  A report of "Resistant" indicates that the antimicrobial is not likely to inhibit growth of the pathogen if the antimicrobial compound reaches the concentrations usually achievable at the infection site; other therapy should be selected.



Intramuscular Administration

Tobramycin may be administered by withdrawing the appropriate dose directly from a vial.

Dosage in Patients With Cystic Fibrosis (Dosage in Patients with Cystic Fibrosis)

In patients with cystic fibrosis, altered pharmacokinetics may result in reduced serum concentrations of aminoglycosides.  Measurement of tobramycin serum concentration during treatment is especially important as a basis for determining appropriate dose.  In patients with severe cystic fibrosis, an initial dosing regimen of 10 mg/kg/day in 4 equally divided doses is recommended.  This dosing regimen is suggested only as a guide.  The serum levels of tobramycin should be measured directly during treatment due to wide interpatient variability.

Administration for Patients With Normal Renal Function (Administration for Patients with Normal Renal Function)

Adults with Serious Infections:   3 mg/kg/day in 3 equal doses every 8 hours (see Table 3).



Adults With Life-Threatening Infections:   Up to 5 mg/kg/day may be administered in 3 or 4 equal doses (see Table 3).  The dosage should be reduced to 3 mg/kg/day as soon as clinically indicated. To prevent increased toxicity due to excessive blood levels, dosage should not exceed 5 mg/kg/day unless serum levels are monitored (see  WARNINGS box and PRECAUTIONS ).



 

Table 3

 

DOSAGE SCHEDULE GUIDE FOR ADULTS WITH NORMAL RENAL FUNCTION



(Dosage at 8-Hour Intervals)





 

For

 

Patient Weighing





 

Usual Dose for Serious Infections

 



 

Maximum Dose for Life-Threatening Infections

 

(Reduce as soon as possible)





 

1 mg/kg q8h

 



 

1.66 mg/kg q8h

 



 

kg

 



 

lb

 



 

(Total, 3 mg/kg/day)

 



 

(Total, 5 mg/kg/day)

 



 

 

 

mg/dose

 



 

 

mL/dose*

 



 

mg/dose

 



 

 

mL/dose*

 



 

 

 

 

q8h

 



 

 

 

q8h

 



 

 

120

 



 

264

 



 

120 mg

 



 

 

3 mL

 



 

200 mg

 



 

 

5 mL

 



 

115

 



 

253

 



 

115 mg

 



 

 

2.9 mL

 



 

191 mg

 



 

 

4.75 mL

 



 

110

 



 

242

 



 

110 mg

 



 

 

2.75 mL

 



 

183 mg

 



 

 

4.5 mL

 



 

105

 



 

231

 



 

105 mg

 



 

 

2.6 mL

 



 

175 mg

 



 

 

4.4 mL

 



 

100

 



 

220

 



 

100 mg

 



 

 

2.5 mL

 



 

166 mg

 



 

 

4.2 mL

 



 

95

 



 

209

 



 

95 mg

 



 

 

2.4 mL

 



 

158 mg

 



 

 

4 mL

 



 

90

 



 

198

 



 

90 mg

 



 

 

2.25 mL

 



 

150 mg

 



 

 

3.75 mL

 



 

85

 



 

187

 



 

85 mg

 



 

 

2.1 mL

 



 

141 mg

 



 

 

3.5 mL

 



 

80

 



 

176

 



 

80 mg

 



 

 

2 mL

 



 

133 mg

 



 

 

3.3 mL

 



 

75

 



 

165

 



 

75 mg

 



 

 

1.9 mL

 



 

125 mg

 



 

 

3.1 mL

 



 

70

 



 

154

 



 

70 mg

 



 

 

1.75 mL

 



 

116 mg

 



 

 

2.9 mL

 



 

65

 



 

143

 



 

65 mg

 



 

 

1.6 mL

 



 

108 mg

 



 

 

2.7 mL

 



 

60

 



 

132

 



 

60 mg

 



 

 

1.5 mL

 



 

100 mg

 



 

 

2.5 mL

 



 

55

 



 

121

 



 

55 mg

 



 

 

1.4 mL

 



 

91 mg

 



 

 

2.25 mL

 



 

50

 



 

110

 



 

50 mg

 



 

 

1.25 mL

 



 

83 mg

 



 

 

2.1 mL

 



 

45

 



 

99

 



 

45 mg

 



 

 

1.1 mL

 



 

75 mg

 



 

 

1.9 mL

 



 

40

 



 

88

 



 

40 mg

 



 

 

1 mL

 



 

66 mg

 



 

 

1.6 mL

 



*Applicable to all product forms except Tobramycin Injection Pediatric, 10 mg/mL (see HOW SUPPLIED ).







Pediatric Patients (greater than 1 week of age):   6 to 7.5 mg/kg/day in 3 or 4 equally divided doses (2 to 2.5 mg/kg every 8 hours or 1.5 to 1.89 mg/kg every 6 hours).



Premature or Full-Term Neonates 1 Week of Age or Less:   Up to 4 mg/kg/day may be administered in 2 equal doses every 12 hours.



It is desirable to limit treatment to a short term.  The usual duration of treatment is 7 to 10 days.  A longer course of therapy may be necessary in difficult and complicated infections.  In such cases, monitoring of renal, auditory, and vestibular functions is advised, because neurotoxicity is more likely to occur when treatment is extended longer than 10 days.



Administration for Patients With Impaired Renal Function (Administration for Patients with Impaired Renal Function)

Whenever possible, serum tobramycin concentrations should be monitored during therapy.

Following a loading dose of 1 mg/kg, subsequent dosage in these patients must be adjusted, either with reduced doses administered at 8-hour intervals or with normal doses given at prolonged intervals.  Both of these methods are suggested as guides to be used when serum levels of tobramycin cannot be measured directly.  They are based on either the creatinine clearance level or the serum creatinine level of the patient because these values correlate with the half-life of tobramycin.  The dosage schedule derived from either method should be used in conjunction with careful clinical and laboratory observations of the patient and should be modified as necessary.  Neither method should be used when dialysis is being performed.

Reduced dosage at 8-hour intervals:  When the creatinine clearance rate is 70 mL or less per minute or when the serum creatinine value is known, the amount of the reduced dose can be determined by multiplying the normal dose from Table 3 by the percent of normal dose from the accompanying nomogram.

 



* Scales have been adjusted to facilitate dosage calculations.

An alternate rough guide for determining reduced dosage at 8-hour intervals (for patients whose steady-state serum creatinine values are known) is to divide the normally recommended dose by the patient’s serum creatinine.

Normal dosage at prolonged intervals:  If the creatinine clearance rate is not available and the patient’s condition is stable, a dosage frequency in hours for the dosage given in Table 3 can be determined by multiplying the patient’s serum creatinine by 6.


Advanced Ingredient Data


Raw Label Data

All Sections (JSON)