These Highlights Do Not Include All The Information Needed To Use Oxycodone Hydrochloride Oral Solution Safely And Effectively. See Full Prescribing Information For Oxycodone Hydrochloride Oral Solution.

These Highlights Do Not Include All The Information Needed To Use Oxycodone Hydrochloride Oral Solution Safely And Effectively. See Full Prescribing Information For Oxycodone Hydrochloride Oral Solution.
SPL v3
SPL
SPL Set ID 0b3fa92e-8351-4401-860d-4bba8a7155e6
Route
ORAL
Published
Effective Date 2024-07-31
Document Type 34391-3 Human Prescription Drug Label

Drug Facts

Composition & Product

Active Ingredients
Oxycodone (5 mg)
Inactive Ingredients
Anhydrous Citric Acid Fd&c Red No. 40 Water Saccharin Sodium Benzoate Trisodium Citrate Dihydrate Sorbitol Propylene Glycol D&c Yellow No. 10

Identifiers & Packaging

Pill Appearance
Color: red Color: yellow
Marketing Status
ANDA Active Since 2020-01-27

Description

Dosage and Administration (2.3,2.4)                                       10/2019 Warnings and Precautions ( 5.4 , 5.14 )                                      10/2019

Dosage and Administration

Oxycodone Hydrochloride Oral Solution is available in two concentrations: 5 mg per 5 mL (1 mg/mL), and 100 mg per 5 mL (20 mg/mL). Oxycodone Hydrochloride Oral Solution 100 mg per 5 mL (20 mg/mL) is for use in opioid-tolerant patients only who have already been receiving opioid therapy.  Use this strength only for patients who have already been titrated to a stable analgesic regimen using lower strengths of oxycodone hydrochloride and who can benefit from use of a smaller volume of oral solution. Patients considered to be opioid tolerant are those who are receiving, for one week or longer, at least 60mg oral morphine per day, 25 mcg transdermal fentanyl per hour, 30 mg oral oxycodone per day, 8 mg oral hydromorphone per day, 25 mg oral oxymorphone per day, 60 mg oral hydrocodone per day, or an equianalgesic dose of another opioid. Ensure accuracy when prescribing, dispensing, and administering Oxycodone Hydrochloride Oral Solution to avoid dosing errors due to confusion between mg and mL, and with other oxycodone hydrochloride solutions of different concentrations, which could result in accidental overdose and death. Ensure the proper dose is communicated and dispensed. When writing prescriptions, include both the total dose in mg and the total dose in volume. Always use the enclosed calibrated measuring cup when administering Oxycodone Hydrochloride Oral Solution 5 mg per 5 mL and always use the enclosed calibrated oral syringe when administering Oxycodone Hydrochloride Oral Solution 100 mg per 5 mL (20 mg per mL) to ensure that the dose is measured and administered accurately. Do not use household teaspoons or tablespoons to measure Oxycodone Hydrochloride Oral Solution, as using a tablespoon instead of a teaspoon could lead to overdosage. Use the lowest effective dosage for the shortest duration consistent with individual patient treatment goals [see Warnings and Precautions (5) ]. Initiate the dosing regimen for each patient individually, taking into account the patient’s severity of pain, patient response, prior analgesic treatment experience, and risk factors for addiction, abuse, and misuse [see Warnings and Precautions (5.2) ]. Monitor patients closely for respiratory depression, especially within the first 24-72 hours of initiating therapy and following dosage increases with Oxycodone Hydrochloride Oral Solution and adjust the dosage accordingly [see Warnings and Precautions (5.4) ].

Warnings and Precautions

•  Life-Threatening Respiratory Depression in Patients with Chronic Pulmonary Disease or in Elderly, Cachectic, or Debilitated Patients:   Monitor closely, particularly during initiation and titration.( 5.8) •  Adrenal Insufficiency: If diagnosed, treat with physiologic replacement of corticosteroids, and wean patient off of the opioid. ( 5.9 ) •  Severe Hypotension: Monitor during dosage initiation and titration. Avoid use of Oxycodone Hydrochloride Oral Solution in patients with circulatory shock .(5.10) •  Risks of Use in Patients with Increased Intracranial Pressure, Brain Tumors, Head Injury, or Impaired Consciousness: Monitor for sedation and respiratory depression. Avoid use of Oxycodone Hydrochloride Oral Solution in patients with impaired consciousness or coma. ( 5.11 )

Contraindications

Oxycodone Hydrochloride Oral Solution is contraindicated in patients with: • Significant respiratory depression [see Warnings and Precautions (5.4)] • Acute or severe bronchial asthma in an unmonitored setting or in the absence of resuscitative equipment [see Warnings and Precautions (5.8)] • Known or suspected gastrointestinal obstruction, including paralytic ileus [see Warnings and Precautions (5.12)] • Hypersensitivity to oxycodone (e.g., angioedema) [see Adverse Reactions (6)]

Adverse Reactions

The following serious adverse reactions are described, or described in greater detail, in other sections: • Addiction, Abuse, and Misuse [see Warnings and Precautions (5.2)] • Life-Threatening Respiratory Depression [see Warnings and Precautions (5.4)] • Neonatal Opioid Withdrawal Syndrome [see Warnings and Precautions (5.5)] • Interactions with Benzodiazepines or Other CNS Depressants [see Warnings and Precautions (5.7)] • Adrenal Insufficiency [see Warnings and Precautions (5.9)] • Severe Hypotension [see Warnings and Precautions (5.10)] • Gastrointestinal Adverse Reactions [see Warnings and Precautions (5.12)] • Seizures [see Warnings and Precautions (5.13)] • Withdrawal [see Warnings and Precautions (5.14)] The following adverse reactions associated with the use of oxycodone were identified in clinical studies or post marketing reports. Because some of these reactions were reported voluntarily from a population of uncertain size, it is not always possible to reliably estimate their frequency or establish a causal relationship to drug exposure. Serious adverse reactions associated with oxycodone use included: respiratory depression, respiratory arrest, circulatory depression, cardiac arrest, hypotension, and/or shock. The common adverse reactions seen on initiation of therapy with oxycodone are dose-related and are typical opioid-related adverse reactions. The most frequent adverse events include nausea, constipation, vomiting, headache, and pruritus. The frequency of these reactions depended on several factors, including clinical setting, the patient’s level of opioid tolerance, and host factors specific to the individual. In all patients for whom dosing information was available (n=191) from the open-label and double-blind studies involving another formulation of immediate-release oxycodone, the following adverse events were recorded in oxycodone treated patients with an incidence ≥ 3%. In descending order of frequency, they were: nausea, constipation, vomiting, headache, pruritus, insomnia, dizziness, asthenia, and somnolence. The other less frequently observed adverse reactions from opioid analgesics, including Oxycodone Hydrochloride Oral Solution included: Body as a Whole: abdominal pain, accidental injury, allergic reaction, back pain, chills and fever, fever, flu syndrome, infection, neck pain, pain, photosensitivity reaction, and sepsis. Cardiovascular: deep thrombophlebitis, heart failure, hemorrhage, hypotension, migraine, palpitation, and tachycardia. Digestive : anorexia, diarrhea, dyspepsia, dysphagia, gingivitis, glossitis, and nausea and vomiting. Hemic and Lymphatic: anemia and leukopenia. Metabolic and Nutritional: edema, gout, hyperglycemia, iron deficiency anemia and peripheral edema. Musculoskeletal: arthralgia, arthritis, bone pain, myalgia and pathological fracture. Nervous: agitation, anxiety, confusion, dry mouth, hypertonia, hypesthesia, nervousness, neuralgia, personality disorder, tremor, and vasodilation. Respiratory: bronchitis, cough increased, dyspnea, epistaxis, laryngismus, lung disorder, pharyngitis, rhinitis, and sinusitis. Skin and Appendages: herpes simplex, rash, sweating, and urticaria. Special Senses: amblyopia. Urogenital: urinary tract infection Serotonin syndrome: Cases of serotonin syndrome, a potentially life-threatening condition, have been reported during concomitant use of opioids with serotonergic drugs. Adrenal insufficiency: Cases of adrenal insufficiency have been reported with opioid use, more often following greater than one month of use. Anaphylaxis: Anaphylaxis has been reported with ingredients contained in Oxycodone Hydrochloride Oral Solution. Androgen deficiency: Cases of androgen deficiency have occurred with chronic use of opioids [see Clinical Pharmacology (12.2) ].

Drug Interactions

Table 1 includes clinically significant drug interactions with Oxycodone Hydrochloride Oral Solution. Table 1: Clinically Significant Drug Interactions with Oxycodone Hydrochloride Oral Solution Inhibitors of CYP3A4 and CYP2D6 Clinical Impact: The concomitant use of Oxycodone Hydrochloride Oral Solution and CYP3A4 inhibitors can increase the plasma concentration of oxycodone, resulting in increased or prolonged opioid effects. These effects could be more pronounced with concomitant use of Oxycodone Hydrochloride Oral Solution and CYP2D6 and CYP3A4 inhibitors, particularly when an inhibitor is added after a stable dose of Oxycodone Hydrochloride Oral Solution is achieved [see Warnings and Precautions (5.6) ]. After stopping a CYP3A4 inhibitor, as the effects of the inhibitor decline, the oxycodone plasma concentration will decrease [see Clinical Pharmacology (12.3) ] , resulting in decreased opioid efficacy or a withdrawal syndrome in patients who had developed physical dependence to oxycodone. Intervention: If concomitant use is necessary, consider dosage reduction of Oxycodone Hydrochloride Oral Solution until stable drug effects are achieved. Monitor patients for respiratory depression and sedation at frequent intervals. If a CYP3A4 inhibitor is discontinued, consider increasing the Oxycodone Hydrochloride Oral Solution dosage until stable drug effects are achieved. Monitor for signs of opioid withdrawal. Example Macrolide antibiotics (e.g., erythromycin), azole-antifungal agents  (e.g. ketoconazole), protease inhibitors (e.g., ritonavir) CYP3A4 Inducers Clinical Impact: The concomitant use of Oxycodone Hydrochloride Oral Solution and CYP3A4 inducers can decrease the plasma concentration of oxycodone [see Clinical Pharmacology (12.3) ], resulting in decreased efficacy or onset of a withdrawal syndrome in patients who have developed physical dependence to oxycodone [see Warnings and Precautions (5.6) ]. After stopping a CYP3A4 inducer, as the effects of the inducer decline, the oxycodone plasma concentration will increase [see Clinical Pharmacology (12.3) ], which could increase or prolong both the therapeutic effects and adverse reactions, and may cause serious respiratory depression. Intervention: If concomitant use is necessary, consider increasing the Oxycodone Hydrochloride Oral Solution dosage until stable drug effects are achieved. Monitor for signs of opioid withdrawal. If a CYP3A4 inducer is discontinued, consider Oxycodone Hydrochloride Oral Solution dosage reduction and monitor for signs of respiratory depression. Examples Rifampin, carbamazepine, phenytoin Benzodiazepines and other Central Nervous System (CNS) Depressants Clinical Impact: Due to additive pharmacologic effect, the concomitant use of benzodiazepines or other CNS depressants including alcohol, increases the risk of respiratory depression, profound sedation, coma, and death. Intervention: Reserve concomitant prescribing of these drugs for use in patients for whom alternative treatment options are inadequate. Limit dosages and durations to the minimum required. Follow patients closely for signs of respiratory depression and sedation [see Warnings and Precautions (5.7) ] . Examples Benzodiazepines and other sedatives/hypnotics, anxiolytics, tranquilizers, muscle relaxants, general anesthetics, antipsychotics, other opioids, alcohol. Serotonergic Drugs Clinical Impact: The concomitant use of opioids with other drugs that affect the serotonergic neurotransmitter system has resulted in serotonin syndrome. Intervention: If concomitant use is warranted, carefully observe the patient, particularly during treatment initiation and dose adjustment. Discontinue Oxycodone Hydrochloride Oral Solution if serotonin syndrome is suspected. Examples: Selective serotonin reuptake inhibitors (SSRIs), serotonin and norepinephrine reuptake inhibitors (SNRIs), tricyclic antidepressants (TCAs), triptans, 5-HT3 receptor antagonists, drugs that affect the serotonin neurotransmitter system (e.g., mirtazapine, trazodone, tramadol), certain muscle relaxants (i.e., cyclobenzaprine, metaxalone) monoamine oxidase (MAO) inhibitors (those intended to treat psychiatric disorders and also others, such as linezolid and intravenous methylene blue). Monoamine Oxidase Inhibitors (MAOIs) Clinical Impact: MAOI interactions with opioids may manifest as serotonin syndrome or opioid toxicity (e.g., respiratory depression, coma) [see Warnings and Precautions (5.4) ]. Intervention: The use of Oxycodone Hydrochloride Oral Solution is not recommended for patients taking MAOIs or within 14 days of stopping such treatment. If urgent use of an opioid is necessary, use test doses and frequent titration of small doses to treat pain while closely monitoring blood pressure and signs and symptoms of CNS and respiratory depression. Examples: phenelzine, tranylcypromine, linezolid Mixed Agonist/Antagonist and Partial Agonist Opioid Analgesics Clinical Impact: May reduce the analgesic effect of Oxycodone Hydrochloride Oral Solution and/or precipitate withdrawal symptoms. Intervention: Avoid concomitant use. Examples: butorphanol, nalbuphine, pentazocine, buprenorphine Muscle Relaxants Clinical Impact: Oxycodone may enhance the neuromuscular blocking action of skeletal muscle relaxants and produce an increased degree of respiratory depression. Intervention: Monitor patients for signs of respiratory depression that may be greater than otherwise expected and decrease the dosage of Oxycodone Hydrochloride Oral Solution and/or the muscle relaxant as necessary. Diuretics Clinical Impact: Opioids can reduce the efficacy of diuretics by inducing the release of antidiuretic hormone. Intervention: Monitor patients for signs of diminished diuresis and/or effects on blood pressure and increase the dosage of the diuretic as needed. Anticholinergic Drugs Clinical Impact: The concomitant use of anticholinergic drugs may increase risk of urinary retention and/or severe constipation, which may lead to paralytic ileus. Intervention: Monitor patients for signs of urinary retention or reduced gastric motility when Oxycodone Hydrochloride Oral Solution is used concomitantly with anticholinergic drugs.

Storage and Handling

Oxycodone Hydrochloride Oral Solution 5 mg per 5 mL (1 mg/mL), is a red solution, supplied as: NDC# 13107-261-58: Bottle of 500 mL supplied with a calibrated measuring cup. Oxycodone Hydrochloride Oral Solution 100 mg per 5 mL (20 mg per mL), is a yellow solution, supplied as: NDC# 13107-262-57: Bottle of 30 mL supplied with a calibrated oral syringe. Store: Store at Controlled Room Temperature, 25°C (77°F); excursions are permitted to 15° - 30°C (59° - 86°F). PROTECT from MOISTURE and LIGHT.  Store Oxycodone Hydrochloride Oral Solution securely and dispose of properly [ see Patient Counseling Information (17) ].

How Supplied

Oxycodone Hydrochloride Oral Solution 5 mg per 5 mL (1 mg/mL), is a red solution, supplied as: NDC# 13107-261-58: Bottle of 500 mL supplied with a calibrated measuring cup. Oxycodone Hydrochloride Oral Solution 100 mg per 5 mL (20 mg per mL), is a yellow solution, supplied as: NDC# 13107-262-57: Bottle of 30 mL supplied with a calibrated oral syringe. Store: Store at Controlled Room Temperature, 25°C (77°F); excursions are permitted to 15° - 30°C (59° - 86°F). PROTECT from MOISTURE and LIGHT.  Store Oxycodone Hydrochloride Oral Solution securely and dispose of properly [ see Patient Counseling Information (17) ].


Medication Information

Warnings and Precautions

•  Life-Threatening Respiratory Depression in Patients with Chronic Pulmonary Disease or in Elderly, Cachectic, or Debilitated Patients:   Monitor closely, particularly during initiation and titration.( 5.8) •  Adrenal Insufficiency: If diagnosed, treat with physiologic replacement of corticosteroids, and wean patient off of the opioid. ( 5.9 ) •  Severe Hypotension: Monitor during dosage initiation and titration. Avoid use of Oxycodone Hydrochloride Oral Solution in patients with circulatory shock .(5.10) •  Risks of Use in Patients with Increased Intracranial Pressure, Brain Tumors, Head Injury, or Impaired Consciousness: Monitor for sedation and respiratory depression. Avoid use of Oxycodone Hydrochloride Oral Solution in patients with impaired consciousness or coma. ( 5.11 )

Dosage and Administration

Oxycodone Hydrochloride Oral Solution is available in two concentrations: 5 mg per 5 mL (1 mg/mL), and 100 mg per 5 mL (20 mg/mL). Oxycodone Hydrochloride Oral Solution 100 mg per 5 mL (20 mg/mL) is for use in opioid-tolerant patients only who have already been receiving opioid therapy.  Use this strength only for patients who have already been titrated to a stable analgesic regimen using lower strengths of oxycodone hydrochloride and who can benefit from use of a smaller volume of oral solution. Patients considered to be opioid tolerant are those who are receiving, for one week or longer, at least 60mg oral morphine per day, 25 mcg transdermal fentanyl per hour, 30 mg oral oxycodone per day, 8 mg oral hydromorphone per day, 25 mg oral oxymorphone per day, 60 mg oral hydrocodone per day, or an equianalgesic dose of another opioid. Ensure accuracy when prescribing, dispensing, and administering Oxycodone Hydrochloride Oral Solution to avoid dosing errors due to confusion between mg and mL, and with other oxycodone hydrochloride solutions of different concentrations, which could result in accidental overdose and death. Ensure the proper dose is communicated and dispensed. When writing prescriptions, include both the total dose in mg and the total dose in volume. Always use the enclosed calibrated measuring cup when administering Oxycodone Hydrochloride Oral Solution 5 mg per 5 mL and always use the enclosed calibrated oral syringe when administering Oxycodone Hydrochloride Oral Solution 100 mg per 5 mL (20 mg per mL) to ensure that the dose is measured and administered accurately. Do not use household teaspoons or tablespoons to measure Oxycodone Hydrochloride Oral Solution, as using a tablespoon instead of a teaspoon could lead to overdosage. Use the lowest effective dosage for the shortest duration consistent with individual patient treatment goals [see Warnings and Precautions (5) ]. Initiate the dosing regimen for each patient individually, taking into account the patient’s severity of pain, patient response, prior analgesic treatment experience, and risk factors for addiction, abuse, and misuse [see Warnings and Precautions (5.2) ]. Monitor patients closely for respiratory depression, especially within the first 24-72 hours of initiating therapy and following dosage increases with Oxycodone Hydrochloride Oral Solution and adjust the dosage accordingly [see Warnings and Precautions (5.4) ].

Contraindications

Oxycodone Hydrochloride Oral Solution is contraindicated in patients with: • Significant respiratory depression [see Warnings and Precautions (5.4)] • Acute or severe bronchial asthma in an unmonitored setting or in the absence of resuscitative equipment [see Warnings and Precautions (5.8)] • Known or suspected gastrointestinal obstruction, including paralytic ileus [see Warnings and Precautions (5.12)] • Hypersensitivity to oxycodone (e.g., angioedema) [see Adverse Reactions (6)]

Adverse Reactions

The following serious adverse reactions are described, or described in greater detail, in other sections: • Addiction, Abuse, and Misuse [see Warnings and Precautions (5.2)] • Life-Threatening Respiratory Depression [see Warnings and Precautions (5.4)] • Neonatal Opioid Withdrawal Syndrome [see Warnings and Precautions (5.5)] • Interactions with Benzodiazepines or Other CNS Depressants [see Warnings and Precautions (5.7)] • Adrenal Insufficiency [see Warnings and Precautions (5.9)] • Severe Hypotension [see Warnings and Precautions (5.10)] • Gastrointestinal Adverse Reactions [see Warnings and Precautions (5.12)] • Seizures [see Warnings and Precautions (5.13)] • Withdrawal [see Warnings and Precautions (5.14)] The following adverse reactions associated with the use of oxycodone were identified in clinical studies or post marketing reports. Because some of these reactions were reported voluntarily from a population of uncertain size, it is not always possible to reliably estimate their frequency or establish a causal relationship to drug exposure. Serious adverse reactions associated with oxycodone use included: respiratory depression, respiratory arrest, circulatory depression, cardiac arrest, hypotension, and/or shock. The common adverse reactions seen on initiation of therapy with oxycodone are dose-related and are typical opioid-related adverse reactions. The most frequent adverse events include nausea, constipation, vomiting, headache, and pruritus. The frequency of these reactions depended on several factors, including clinical setting, the patient’s level of opioid tolerance, and host factors specific to the individual. In all patients for whom dosing information was available (n=191) from the open-label and double-blind studies involving another formulation of immediate-release oxycodone, the following adverse events were recorded in oxycodone treated patients with an incidence ≥ 3%. In descending order of frequency, they were: nausea, constipation, vomiting, headache, pruritus, insomnia, dizziness, asthenia, and somnolence. The other less frequently observed adverse reactions from opioid analgesics, including Oxycodone Hydrochloride Oral Solution included: Body as a Whole: abdominal pain, accidental injury, allergic reaction, back pain, chills and fever, fever, flu syndrome, infection, neck pain, pain, photosensitivity reaction, and sepsis. Cardiovascular: deep thrombophlebitis, heart failure, hemorrhage, hypotension, migraine, palpitation, and tachycardia. Digestive : anorexia, diarrhea, dyspepsia, dysphagia, gingivitis, glossitis, and nausea and vomiting. Hemic and Lymphatic: anemia and leukopenia. Metabolic and Nutritional: edema, gout, hyperglycemia, iron deficiency anemia and peripheral edema. Musculoskeletal: arthralgia, arthritis, bone pain, myalgia and pathological fracture. Nervous: agitation, anxiety, confusion, dry mouth, hypertonia, hypesthesia, nervousness, neuralgia, personality disorder, tremor, and vasodilation. Respiratory: bronchitis, cough increased, dyspnea, epistaxis, laryngismus, lung disorder, pharyngitis, rhinitis, and sinusitis. Skin and Appendages: herpes simplex, rash, sweating, and urticaria. Special Senses: amblyopia. Urogenital: urinary tract infection Serotonin syndrome: Cases of serotonin syndrome, a potentially life-threatening condition, have been reported during concomitant use of opioids with serotonergic drugs. Adrenal insufficiency: Cases of adrenal insufficiency have been reported with opioid use, more often following greater than one month of use. Anaphylaxis: Anaphylaxis has been reported with ingredients contained in Oxycodone Hydrochloride Oral Solution. Androgen deficiency: Cases of androgen deficiency have occurred with chronic use of opioids [see Clinical Pharmacology (12.2) ].

Drug Interactions

Table 1 includes clinically significant drug interactions with Oxycodone Hydrochloride Oral Solution. Table 1: Clinically Significant Drug Interactions with Oxycodone Hydrochloride Oral Solution Inhibitors of CYP3A4 and CYP2D6 Clinical Impact: The concomitant use of Oxycodone Hydrochloride Oral Solution and CYP3A4 inhibitors can increase the plasma concentration of oxycodone, resulting in increased or prolonged opioid effects. These effects could be more pronounced with concomitant use of Oxycodone Hydrochloride Oral Solution and CYP2D6 and CYP3A4 inhibitors, particularly when an inhibitor is added after a stable dose of Oxycodone Hydrochloride Oral Solution is achieved [see Warnings and Precautions (5.6) ]. After stopping a CYP3A4 inhibitor, as the effects of the inhibitor decline, the oxycodone plasma concentration will decrease [see Clinical Pharmacology (12.3) ] , resulting in decreased opioid efficacy or a withdrawal syndrome in patients who had developed physical dependence to oxycodone. Intervention: If concomitant use is necessary, consider dosage reduction of Oxycodone Hydrochloride Oral Solution until stable drug effects are achieved. Monitor patients for respiratory depression and sedation at frequent intervals. If a CYP3A4 inhibitor is discontinued, consider increasing the Oxycodone Hydrochloride Oral Solution dosage until stable drug effects are achieved. Monitor for signs of opioid withdrawal. Example Macrolide antibiotics (e.g., erythromycin), azole-antifungal agents  (e.g. ketoconazole), protease inhibitors (e.g., ritonavir) CYP3A4 Inducers Clinical Impact: The concomitant use of Oxycodone Hydrochloride Oral Solution and CYP3A4 inducers can decrease the plasma concentration of oxycodone [see Clinical Pharmacology (12.3) ], resulting in decreased efficacy or onset of a withdrawal syndrome in patients who have developed physical dependence to oxycodone [see Warnings and Precautions (5.6) ]. After stopping a CYP3A4 inducer, as the effects of the inducer decline, the oxycodone plasma concentration will increase [see Clinical Pharmacology (12.3) ], which could increase or prolong both the therapeutic effects and adverse reactions, and may cause serious respiratory depression. Intervention: If concomitant use is necessary, consider increasing the Oxycodone Hydrochloride Oral Solution dosage until stable drug effects are achieved. Monitor for signs of opioid withdrawal. If a CYP3A4 inducer is discontinued, consider Oxycodone Hydrochloride Oral Solution dosage reduction and monitor for signs of respiratory depression. Examples Rifampin, carbamazepine, phenytoin Benzodiazepines and other Central Nervous System (CNS) Depressants Clinical Impact: Due to additive pharmacologic effect, the concomitant use of benzodiazepines or other CNS depressants including alcohol, increases the risk of respiratory depression, profound sedation, coma, and death. Intervention: Reserve concomitant prescribing of these drugs for use in patients for whom alternative treatment options are inadequate. Limit dosages and durations to the minimum required. Follow patients closely for signs of respiratory depression and sedation [see Warnings and Precautions (5.7) ] . Examples Benzodiazepines and other sedatives/hypnotics, anxiolytics, tranquilizers, muscle relaxants, general anesthetics, antipsychotics, other opioids, alcohol. Serotonergic Drugs Clinical Impact: The concomitant use of opioids with other drugs that affect the serotonergic neurotransmitter system has resulted in serotonin syndrome. Intervention: If concomitant use is warranted, carefully observe the patient, particularly during treatment initiation and dose adjustment. Discontinue Oxycodone Hydrochloride Oral Solution if serotonin syndrome is suspected. Examples: Selective serotonin reuptake inhibitors (SSRIs), serotonin and norepinephrine reuptake inhibitors (SNRIs), tricyclic antidepressants (TCAs), triptans, 5-HT3 receptor antagonists, drugs that affect the serotonin neurotransmitter system (e.g., mirtazapine, trazodone, tramadol), certain muscle relaxants (i.e., cyclobenzaprine, metaxalone) monoamine oxidase (MAO) inhibitors (those intended to treat psychiatric disorders and also others, such as linezolid and intravenous methylene blue). Monoamine Oxidase Inhibitors (MAOIs) Clinical Impact: MAOI interactions with opioids may manifest as serotonin syndrome or opioid toxicity (e.g., respiratory depression, coma) [see Warnings and Precautions (5.4) ]. Intervention: The use of Oxycodone Hydrochloride Oral Solution is not recommended for patients taking MAOIs or within 14 days of stopping such treatment. If urgent use of an opioid is necessary, use test doses and frequent titration of small doses to treat pain while closely monitoring blood pressure and signs and symptoms of CNS and respiratory depression. Examples: phenelzine, tranylcypromine, linezolid Mixed Agonist/Antagonist and Partial Agonist Opioid Analgesics Clinical Impact: May reduce the analgesic effect of Oxycodone Hydrochloride Oral Solution and/or precipitate withdrawal symptoms. Intervention: Avoid concomitant use. Examples: butorphanol, nalbuphine, pentazocine, buprenorphine Muscle Relaxants Clinical Impact: Oxycodone may enhance the neuromuscular blocking action of skeletal muscle relaxants and produce an increased degree of respiratory depression. Intervention: Monitor patients for signs of respiratory depression that may be greater than otherwise expected and decrease the dosage of Oxycodone Hydrochloride Oral Solution and/or the muscle relaxant as necessary. Diuretics Clinical Impact: Opioids can reduce the efficacy of diuretics by inducing the release of antidiuretic hormone. Intervention: Monitor patients for signs of diminished diuresis and/or effects on blood pressure and increase the dosage of the diuretic as needed. Anticholinergic Drugs Clinical Impact: The concomitant use of anticholinergic drugs may increase risk of urinary retention and/or severe constipation, which may lead to paralytic ileus. Intervention: Monitor patients for signs of urinary retention or reduced gastric motility when Oxycodone Hydrochloride Oral Solution is used concomitantly with anticholinergic drugs.

Storage and Handling

Oxycodone Hydrochloride Oral Solution 5 mg per 5 mL (1 mg/mL), is a red solution, supplied as: NDC# 13107-261-58: Bottle of 500 mL supplied with a calibrated measuring cup. Oxycodone Hydrochloride Oral Solution 100 mg per 5 mL (20 mg per mL), is a yellow solution, supplied as: NDC# 13107-262-57: Bottle of 30 mL supplied with a calibrated oral syringe. Store: Store at Controlled Room Temperature, 25°C (77°F); excursions are permitted to 15° - 30°C (59° - 86°F). PROTECT from MOISTURE and LIGHT.  Store Oxycodone Hydrochloride Oral Solution securely and dispose of properly [ see Patient Counseling Information (17) ].

How Supplied

Oxycodone Hydrochloride Oral Solution 5 mg per 5 mL (1 mg/mL), is a red solution, supplied as: NDC# 13107-261-58: Bottle of 500 mL supplied with a calibrated measuring cup. Oxycodone Hydrochloride Oral Solution 100 mg per 5 mL (20 mg per mL), is a yellow solution, supplied as: NDC# 13107-262-57: Bottle of 30 mL supplied with a calibrated oral syringe. Store: Store at Controlled Room Temperature, 25°C (77°F); excursions are permitted to 15° - 30°C (59° - 86°F). PROTECT from MOISTURE and LIGHT.  Store Oxycodone Hydrochloride Oral Solution securely and dispose of properly [ see Patient Counseling Information (17) ].

Description

Dosage and Administration (2.3,2.4)                                       10/2019 Warnings and Precautions ( 5.4 , 5.14 )                                      10/2019

Section 43683-2

Dosage and Administration (2.3,2.4)                                       10/2019

Warnings and Precautions (5.4, 5.14)                                      10/2019

9.2 Abuse

Oxycodone Hydrochloride Oral Solution contains oxycodone, a substance with a high potential for abuse similar to other opioids including fentanyl, hydrocodone, hydromorphone, methadone, morphine, oxymorphone, and tapentadol. Oxycodone Hydrochloride Oral Solution can be abused and is subject to misuse, addiction, and criminal diversion [see Warnings and Precautions (5.2)].

All patients treated with opioids require careful monitoring for signs of abuse and addiction, because use of opioid analgesic products carries the risk of addiction even under appropriate medical use.

Prescription drug abuse is the intentional non-therapeutic use of a prescription drug, even once, for its rewarding psychological or physiological effects.

Drug addiction is a cluster of behavioral, cognitive, and physiological phenomena that develop after repeated substance use and includes: a strong desire to take the drug, difficulties in controlling its use, persisting in its use despite harmful consequences, a higher priority given to drug use than to other activities and obligations, increased tolerance, and sometimes a physical withdrawal.

"Drug-seeking" behavior is very common in persons with substance use disorders. Drug-seeking tactics include emergency calls or visits near the end of office hours, refusal to undergo appropriate examination, testing, or referral, repeated “loss” of prescriptions, tampering with prescriptions, and reluctance to provide prior medical records or contact information for other treating health care provider(s). “Doctor shopping” (visiting multiple prescribers to obtain additional prescriptions) is common among drug abusers and people suffering from untreated addiction. Preoccupation with achieving adequate pain relief can be appropriate behavior in a patient with poor pain control.

Abuse and addiction are separate and distinct from physical dependence and tolerance. Health care providers should be aware that addiction may not be accompanied by concurrent tolerance and symptoms of physical dependence in all addicts. In addition, abuse of opioids can occur in the absence of true addiction.

Oxycodone Hydrochloride Oral Solution, like other opioids, can be diverted for non-medical use into illicit channels of distribution. Careful record-keeping of prescribing information, including quantity, frequency, and renewal requests, as required by state and federal law, is strongly advised.

Proper assessment of the patient, proper prescribing practices, periodic re-evaluation of therapy, and proper dispensing and storage are appropriate measures that help to limit abuse of opioid drugs.



Risks Specific to Abuse of Oxycodone Hydrochloride Oral Solution


Oxycodone Hydrochloride Oral Solution is for oral use only. Abuse of oxycodone poses a risk of overdose and death. The risk is increased with concurrent abuse of alcohol and other central nervous system depressants. Parenteral drug abuse is commonly associated with transmission of infectious diseases such as hepatitis and HIV.

10 Overdosage

Clinical Presentation

Acute overdose with Oxycodone Hydrochloride Oral Solution can be manifested by respiratory depression, somnolence progressing to stupor or coma, skeletal muscle flaccidity, cold and clammy skin, constricted pupils, and, in some cases, pulmonary edema, bradycardia, hypotension, partial or complete airway obstruction, atypical snoring, and death. Marked mydriasis rather than miosis may be seen with hypoxia in overdose situations [see Clinical Pharmacology (12.2)].

Treatment of Overdose

In case of overdose, priorities are the reestablishment of a patent and protected airway and institution of assisted or controlled ventilation, if needed. Employ other supportive measures (including oxygen and vasopressors) in the management of circulatory shock and pulmonary edema as indicated. Cardiac arrest or arrhythmias will require advanced life-support techniques.

The opioid antagonists, naloxone or nalmefene, are specific antidotes to respiratory depression resulting from opioid overdose. For clinically significant respiratory or circulatory depression secondary to oxycodone overdose, administer an opioid antagonist. Opioid antagonists should not be administered in the absence of clinically significant respiratory or circulatory depression secondary to oxycodone overdose.

Because the duration of opioid reversal is expected to be less than the duration of action of oxycodone in Oxycodone Hydrochloride Oral Solution, carefully monitor the patient until spontaneous respiration is reliably re-established. If the response to an opioid antagonist is suboptimal or only brief in nature, administer additional antagonist as directed by the product’s prescribing information.

In an individual physically dependent on opioids, administration of the recommended usual dosage of the antagonist will precipitate an acute withdrawal syndrome. The severity of the withdrawal symptoms experienced will depend on the degree of physical dependence and the dose of the antagonist administered. If a decision is made to treat serious respiratory depression in the physically dependent patient, administration of the antagonist should be initiated with care and by titration with smaller than usual doses of the antagonist.



8.1 Pregnancy

Risk Summary

Prolonged use of opioid analgesics during pregnancy may cause neonatal opioid withdrawal syndrome [see Warnings and Precautions (5.5)]. Available data with Oxycodone Hydrochloride Oral Solution are insufficient to inform a drug-associated risk for major birth defects and miscarriage.

Animal reproduction studies with oral administrations of oxycodone hydrochloride in rats and rabbits during the period of organogenesis at doses 2.6 and 8.1 times, respectively, the human dose of 60 mg/day did not reveal evidence of teratogenicity or embryo-fetal toxicity. In several published studies, treatment of pregnant rats with oxycodone at clinically relevant doses and below, resulted in neurobehavioral effects in offspring [see Data]. Based on animal data, advise pregnant women of the potential risk to a fetus.

The background risk of major birth defects and miscarriage for the indicated population is unknown. All pregnancies have a background risk of birth defect, loss, or other adverse outcomes. In the U.S. general population, the estimated background risk of major birth defects and miscarriage in clinically recognized pregnancies is 2-4% and 15-20%, respectively.

Clinical Considerations



Fetal/Neonatal Adverse Reactions

Prolonged use of opioid analgesics during pregnancy for medical or nonmedical purposes can result in physical dependence in the neonate and neonatal opioid withdrawal syndrome shortly after birth.

Neonatal opioid withdrawal syndrome presents as irritability, hyperactivity and abnormal sleep pattern, high pitched cry, tremor, vomiting, diarrhea, and failure to gain weight. The onset, duration, and severity of neonatal opioid withdrawal syndrome vary based on the specific opioid used, duration of use, timing and amount of last maternal use, and rate of elimination of the drug by the newborn. Observe newborns for symptoms of neonatal opioid withdrawal syndrome and manage accordingly [see Warnings and Precautions (5.5)].

Labor or Delivery

Opioids cross the placenta and may produce respiratory depression and psycho-physiologic effects in neonates. An opioid antagonist, such as naloxone, must be available for reversal of opioid-induced respiratory depression in the neonate. Oxycodone Hydrochloride Oral Solution is not recommended for use in pregnant women during or immediately prior to labor, when other analgesic techniques are more appropriate. Opioid analgesics, including Oxycodone Hydrochloride Oral Solution, can prolong labor through actions which temporarily reduce the strength, duration, and frequency of uterine contractions. However, this effect is not consistent and may be offset by an increased rate of cervical dilation, which tends to shorten labor. Monitor neonates exposed to opioid analgesics during labor for signs of excess sedation and respiratory depression.

Data

Animal Data

In embryo-fetal development studies in rats and rabbits, pregnant animals received oral doses of oxycodone hydrochloride administered during the period of organogenesis up to 16 mg/kg/day and up 25 mg/kg/day, respectively. These studies revealed no evidence of teratogenicity or embryo-fetal toxicity due to oxycodone. The highest doses tested in rats and rabbits were equivalent to approximately 2.6 and 8.1 times an adult human dose of 60 mg/day, respectively, on a mg/m2 basis. In published studies, offspring of pregnant rats administered oxycodone during gestation have been reported to exhibit neurobehavioral effects including altered stress responses, increased anxiety-like behavior (2 mg/kg/day IV from Gestation

Day 8 to 21 and Postnatal Day 1, 3, and 5; 0.3-times an adult human dose of 60 mg/day, on a mg/m2 basis) and altered learning and memory (15 mg/kg/day orally from breeding through parturition; 2.4 times an adult human dose of 60 mg/day, on a mg/m2 basis).

8.2 Lactation

Risk Summary

Oxycodone is present in breast milk. Published lactation studies report variable concentrations of oxycodone in breast milk with administration of immediate-release oxycodone to nursing mothers in the early postpartum period. The lactation studies did not assess breastfed infants for potential adverse reactions. Lactation studies have not been conducted with Oxycodone Hydrochloride Oral Solution, and no information is available on the effects of the drug on the breastfed infant or the effects of the drug on milk production.

The developmental and health benefits of breastfeeding should be considered along with the mother’s clinical need for Oxycodone Hydrochloride Oral Solution and any potential adverse effects on the breastfed infant from Oxycodone Hydrochloride Oral Solution or from the underlying maternal condition.



Clinical Considerations


Monitor infants exposed to Oxycodone Hydrochloride Oral Solution through breast milk for excess sedation and respiratory depression. Withdrawal symptoms can occur in breastfed infants when maternal administration of an opioid analgesic is stopped, or when breast-feeding is stopped.



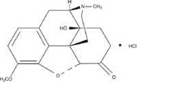
11 Description

Oxycodone Hydrochloride Oral Solution is an agonist, available as a red solution 5 mg/5 mL (1 mg/mL) and a yellow solution 100 mg/5 mL (20 mg/mL) for oral administration. The chemical name is (5R, 9R, 13S, 14S)-4, 5α-epoxy-14-hydroxy-3-methoxy-17-methylmorphinan-6-one hydrochloride. The molecular weight is 351.82. Its molecular formula is C18H21NO4.HCl, and it has the following chemical structure.

Oxycodone hydrochloride is a white, odorless crystalline powder derived from the opium alkaloid, thebaine. It is soluble in water and slightly soluble in alcohol.

The inactive ingredients in Oxycodone Hydrochloride Oral Solution, 5 mg per 5 mL (1mg/mL) include: Sodium Saccharin, Sorbitol, Sodium Benzoate, Citric Acid Anhydrous, Sodium Citrate Dihydrate, Purified Water, FD&C Red No. 40. Natural and artificial berry flavor contains: Natural flavors, propylene glycols and Water.

The inactive ingredients in Oxycodone Hydrochloride Oral Solution 100 mg per 5 mL (20 mg/ mL): include: Citric Acid Anhydrous, D&C Yellow No. 10, Purified Water, Sodium Citrate Dihydrate, Sodium Benzoate, Sodium Saccharin, and Sorbitol.Natural and artificial berry flavor contains: Natural flavors, propylene glycols and Water.

9.3 Dependence

Both tolerance and physical dependence can develop during chronic opioid therapy. Tolerance is the need for increasing doses of opioids to maintain a defined effect such as analgesia (in the absence of disease progression or other external factors). Tolerance may occur to both the desired and undesired effects of drugs, and may develop at different rates for different effects.



Physical dependence is a physiological state in which the body adapts to the drug after a period of regular exposure, resulting in withdrawal symptoms after abrupt discontinuation or a significant dosage reduction of a drug. Withdrawal also may be precipitated through the administration of drugs with opioid antagonist activity (e.g., naloxone, nalmefene), mixed agonist/antagonist analgesics (e.g., pentazocine, butorphanol, nalbuphine), or partial agonists (e.g., buprenorphine). Physical dependence may not occur to a clinically significant degree until after several days to weeks of continued opioid usage.



Do not abruptly discontinue Oxycodone Hydrochloride Oral Solution in a patient physically dependent on opioids. Rapid tapering of Oxycodone Hydrochloride Oral Solution in a patient physically dependent on opioids may lead to serious withdrawal symptoms, uncontrolled pain, and suicide.  Rapid discontinuation has also been associated with attempts to find other sources of opioid analgesics, which may be confused with drug-seeking for abuse.

When discontinuing Oxycodone Hydrochloride Oral Solution, gradually taper the dosage using a patient-specific plan that considers the following:  the dose of Oxycodone Hydrochloride Oral Solution the patient has been taking, the duration of treatment, and the physical and psychological attributes of the patient.  To improve the likelihood of a successful taper and minimize withdrawal symptoms, it is important that the opioid tapering schedule is agreed upon by the patient.  In patients taking opioids for a long duration at high doses, ensure that a multimodal approach to pain management, including mental health support (if needed), is in place prior to initiating an opioid analgesic taper [see Dosage and Administration (2.4), Warnings and Precautions (5.14) ].



Infants born to mothers physically dependent on opioids will also be physically dependent and may exhibit respiratory difficulties and withdrawal signs [see Use in Specific Populations (8.1) ].

5.14 Withdrawal


Do not abruptly discontinue Oxycodone Hydrochloride Oral Solution in a patient physically dependent on opioids.  When discontinuing Oxycodone Hydrochloride Oral Solution in a physically-dependent patient, gradually taper the dosage. Rapid tapering of oxycodone in a patient physically dependent on opioids may lead to a withdrawal syndrome and return of pain [see Dosage and Administration (2.4), Drug Abuse and Dependence (9.3)].





Additionally, avoid the use of mixed agonist/antagonist (e.g., pentazocine, nalbuphine, and butorphanol) analgesics in patients who are receiving full opioid agonist analgesic, including Oxycodone Hydrochloride Oral Solution. In these patients, mixed agonist/antagonist and partial agonist analgesics may reduce the analgesic effect and/or precipitate withdrawal symptoms [see Drug Interactions (7)].





Medication Guide

Oxycodone Hydrochloride (ox'' i koe' done hye'' droe klor' ide) Oral Solution, USP CII

Dispense with Medication Guide available at www.aurobindousa.com/product-medication-guides

Oxycodone Hydrochloride Oral Solution is:

· A strong prescription pain medicine that contains an opioid (narcotic) that is used to manage pain severe enough to require an opioid pain medicine, when other pain treatments such as non-opioid pain medicines do not treat your pain well enough or you cannot tolerate them.

· An opioid pain medicine that can put you at risk for overdose and death. Even if you take your dose correctly as prescribed you are at risk for opioid addiction, abuse, and misuse that can lead to death.

Important information about Oxycodone Hydrochloride Oral Solution:

· Get emergency help right away if you take too much Oxycodone Hydrochloride Oral Solution (overdose). When you first start taking Oxycodone Hydrochloride Oral Solution, when your dose is changed, or if you take too much (overdose), serious or life-threatening breathing problems that can lead to death may occur.

· Taking Oxycodone Hydrochloride Oral Solution with other opioid medicines, benzodiazepines, alcohol, or other central nervous system depressants (including street drugs) can cause severe drowsiness, decreased awareness, breathing problems, coma, and death.

• Never give anyone else your Oxycodone Hydrochloride Oral Solution. They could die from taking it. Selling or giving away Oxycodone Hydrochloride Oral Solution is against the law.

• Store Oxycodone Hydrochloride Oral Solution securely, out of sight and reach of children, and in a location not accessible by others, including visitors to the home.

Do not take Oxycodone Hydrochloride Oral Solution if you have:

· Severe asthma, trouble breathing, or other lung problems.

· A bowel blockage or have narrowing of the stomach or intestines.

· An allergy to oxycodone or any of the ingredients in Oxycodone Hydrochloride Oral Solution.

Before taking Oxycodone Hydrochloride Oral Solution, tell your healthcare provider if you have a history of:

· head injury, seizures ● liver, kidney, thyroid problems

· problems urinating ● pancreas or gallbladder problems

· Abuse of street or prescription drugs, alcohol addiction, or mental health problems.

Tell your healthcare provider if you are:

· Pregnant or planning to become pregnant. Prolonged use of Oxycodone Hydrochloride Oral Solution during pregnancy can cause withdrawal symptoms in your newborn baby that could be life-threatening if not recognized and treated.

· Breastfeeding. Oxycodone Hydrochloride Oral Solution passes into breast milk and may harm your baby. Carefully observe infants for increased sleepiness (more than usual), breathing difficulties, or limpness. Seek immediate medical care if you notice these signs.

· Taking prescription or over-the-counter medicines, vitamins, or herbal supplements. Taking Oxycodone Hydrochloride Oral Solution with certain other medicines can cause serious side effects that could lead to death.

When taking Oxycodone Hydrochloride Oral Solution:

· Do not change your dose. Take Oxycodone Hydrochloride Oral Solution exactly as prescribed by your healthcare provider. Use the lowest dose possible for the shortest time needed.

· See the detailed Instructions for Use for information about how to take Oxycodone Hydrochloride Oral Solution 100 mg per 5 mL (20 mg per mL).

· Always use the enclosed calibrated measuring cup that comes with Oxycodone Hydrochloride Oral Solution 5 mg per 5 mL and the enclosed calibrated oral syringe that comes with Oxycodone Hydrochloride Oral Solution 100 mg per 5 mL (20 mg per mL) to correctly measure your dose. Never use a household teaspoon or tablespoon to measure Oxycodone Hydrochloride Oral Solution.

· Take your prescribed dose every 4 to 6 hours as needed for pain. Do not take more than your prescribed dose. If you miss a dose, take your next dose at your usual time.

· Call your healthcare provider if the dose you are taking does not control your pain.

· If you have been taking Oxycodone Hydrochloride Oral Solution regularly, do not stop taking Oxycodone Hydrochloride Oral Solution without talking to your healthcare provider.

· Dispose of expired, unwanted, or unused Oxycodone Hydrochloride Oral Solution by promptly flushing down the toilet, if a drug take-back option is not readily available. Visit www.fda.gov/drugdisposal for additional information on disposal of unused medicines

While taking Oxycodone Hydrochloride Oral Solution DO NOT:

· Drive or operate heavy machinery, until you know how Oxycodone Hydrochloride Oral Solution affects you. Oxycodone Hydrochloride Oral Solution can make you sleepy, dizzy, or lightheaded.

· Drink alcohol or use prescription or over-the-counter medicines that contain alcohol. Using products containing alcohol during treatment with Oxycodone Hydrochloride Oral Solution may cause you to overdose and die.

The possible side effects of Oxycodone Hydrochloride Oral Solution:

• Constipation, nausea, sleepiness, vomiting, tiredness, headache, dizziness, abdominal pain. Call your healthcare provider if you have any of these symptoms and they are severe.

Get emergency medical help if you have:

• trouble breathing, shortness of breath, fast heartbeat, chest pain, swelling of your face, tongue, or throat, extreme drowsiness, light-headedness when changing positions, feeling faint, agitation, high body temperature, trouble walking, stiff muscles, or mental changes such as confusion.

• These are not all the possible side effects of Oxycodone Hydrochloride Oral Solution. Call your doctor for medical advice about side effects. You may report side effects to FDA at 1-800-FDA-1088. For more information go to dailymed.nlm.nih.gov

Patient Instructions for Use

Oxycodone Hydrochloride Oral Solution, USP 100 mg per 5 mL (20 mg per mL) Oral Syringe

Important information about measuring Oxycodone Hydrochloride Oral Solution, USP

· Always use the oral syringe provided with your Oxycodone Hydrochloride Oral Solution, USP to make sure you measure the right amount.

· Measure the dose of medicine from the widest part of the plunger. Do not measure from the narrow tip. See Figure 1.

Step 1. Insert the tip of the oral syringe into the medicine bottle.

Step 2. Pull back the plunger to the line that matches the dose prescribed by your healthcare provider.

Step 3. Remove the oral syringe from the medicine bottle.

Step 4. Take your medicine by slowly pushing the plunger until the oral syringe is empty.

Figure 1

Distributed by:

Aur obindo Pharma USA, Inc.

279 Princeton-Hightstown Road

East Windsor, NJ 08520

Revised: 12/2023

This Medication Guide has been approved by the U.S. Food and Drug Administration.

8.4 Pediatric Use

The safety and effectiveness and the pharmacokinetics of Oxycodone Hydrochloride Oral Solution in pediatric patients below the age of 18 have not been established.

8.5 Geriatric Use


Elderly patients (aged 65 years or older) may have increased sensitivity to oxycodone. In general, use caution when selecting a dose for an elderly patient, usually starting at the low end of the dosing range, reflecting the greater frequency of decreased hepatic, renal, or cardiac function and of concomitant disease or other drug therapy.



Respiratory depression is the chief risk for elderly patients treated with opioids, and has occurred after large initial doses were administered to patients who were not opioid-tolerant or when opioids were co-administered with other agents that depress respiration. Titrate the dosage of Oxycodone Hydrochloride Oral Solution slowly in geriatric patients and monitor closely for signs of central nervous system and respiratory depression [see Warnings and Precautions (5.8)].



Oxycodone is known to be substantially excreted by the kidney, and the risk of adverse reactions to this drug may be greater in patients with impaired renal function. Because elderly patients are more likely to have decreased renal function, care should be taken in dose selection, and it may be useful to regularly evaluate renal function.





2.2 Initial Dosage

Although it is not possible to list every condition that is important to the selection of the initial dose of Oxycodone Hydrochloride Oral Solution, attention must be given to:

1. the daily dose, potency and characteristics of a full agonist or mixed agonist  /antagonist the patient has been taking previously

2. the reliability of the relative potency estimate to calculate the dose of oxycodone HCl needed

3. the degree of opioid tolerance

4. the general condition and medical status of the patient, including the patient’s weight and age

5. the balance between pain management and adverse reactions

6. the type and severity of the patient’s pain

7. risk factors for abuse or addiction, including a prior history of abuse or addiction

Use of Oxycodone Hydrochloride Oral Solution as the First Opioid Analgesic

Do not initiate treatment with Oxycodone Hydrochloride Oral Solution 100 mg per 5 mL (20 mg per mL) in patients who are opioid naïve. Select an alternate product with lower concentration.

Initiate treatment with Oxycodone Hydrochloride Oral Solution in a dosing range of 5 to 15 mg every 4 to 6 hours as needed for pain. Titrate the dose based upon the individual patient’s response to their initial dose of Oxycodone Hydrochloride Oral Solution. Patients with chronic pain should have their dosage given on an around-the-clock basis to prevent the reoccurrence of pain rather than treating the pain after it has occurred. This dose can then be adjusted to an acceptable level of analgesia taking into account side effects experienced by the patient.

For control of severe chronic pain, Oxycodone Hydrochloride Oral Solution should be administered on a regularly scheduled basis, every 4 to 6 hours, at the lowest dosage level that will achieve adequate analgesia.



Conversion from Other Opioids to Oxycodone Hydrochloride Oral Solution

There is inter-patient variability in the potency of opioid drugs and opioid formulations. Therefore, a conservative approach is advised when determining the total daily dosage of Oxycodone Hydrochloride Oral Solution. It is safer to underestimate a patient’s 24-hour Oxycodone Hydrochloride Oral Solution dosage than to overestimate the 24-hour Oxycodone Hydrochloride Oral Solution dosage and manage an adverse reaction due to overdose. If a patient has been receiving opioid-containing medications prior to taking Oxycodone Hydrochloride Oral Solution, the potency of the prior opioid relative to oxycodone should be factored into the selection of the total daily dose (TDD) of oxycodone.

In converting patients from other opioids to Oxycodone Hydrochloride Oral Solution close observation and adjustment of dosage based upon the patient’s response to Oxycodone Hydrochloride Oral Solution is imperative. Administration of supplemental analgesia for breakthrough or incident pain and titration of the total daily dose of Oxycodone Hydrochloride Oral Solution may be necessary, especially in patients who have disease states that are changing rapidly.

Conversion from Oxycodone Hydrochloride Oral Solution to Extended-Release Oxycodone Hydrochloride

The relative bioavailability of Oxycodone Hydrochloride Oral Solution compared to extended-release oxycodone is unknown, so conversion to extended-release tablets must be accompanied by close observation for signs of excessive sedation and respiratory depression.





4 Contraindications

Oxycodone Hydrochloride Oral Solution is contraindicated in patients with:

• Significant respiratory depression [see Warnings and Precautions (5.4)]

• Acute or severe bronchial asthma in an unmonitored setting or in the absence of resuscitative equipment [see Warnings and Precautions (5.8)]

• Known or suspected gastrointestinal obstruction, including paralytic ileus [see Warnings and Precautions (5.12)]

• Hypersensitivity to oxycodone (e.g., angioedema) [see Adverse Reactions (6)]





6 Adverse Reactions

The following serious adverse reactions are described, or described in greater detail, in other sections:

• Addiction, Abuse, and Misuse [see Warnings and Precautions (5.2)]

• Life-Threatening Respiratory Depression [see Warnings and Precautions (5.4)]

• Neonatal Opioid Withdrawal Syndrome [see Warnings and Precautions (5.5)]

• Interactions with Benzodiazepines or Other CNS Depressants [see Warnings and Precautions (5.7)]

• Adrenal Insufficiency [see Warnings and Precautions (5.9)]

• Severe Hypotension [see Warnings and Precautions (5.10)]

• Gastrointestinal Adverse Reactions [see Warnings and Precautions (5.12)]

• Seizures [see Warnings and Precautions (5.13)]

• Withdrawal [see Warnings and Precautions (5.14)]





The following adverse reactions associated with the use of oxycodone were identified in clinical studies or post marketing reports. Because some of these reactions were reported voluntarily from a population of uncertain size, it is not always possible to reliably estimate their frequency or establish a causal relationship to drug exposure.

Serious adverse reactions associated with oxycodone use included: respiratory depression, respiratory arrest, circulatory depression, cardiac arrest, hypotension, and/or shock.

The common adverse reactions seen on initiation of therapy with oxycodone are dose-related and are typical opioid-related adverse reactions. The most frequent adverse events include nausea, constipation, vomiting, headache, and pruritus. The frequency of these reactions depended on several factors, including clinical setting, the patient’s level of opioid tolerance, and host factors specific to the individual.

In all patients for whom dosing information was available (n=191) from the open-label and double-blind studies involving another formulation of immediate-release oxycodone, the following adverse events were recorded in oxycodone treated patients with an incidence ≥ 3%. In descending order of frequency, they were: nausea, constipation, vomiting, headache, pruritus, insomnia, dizziness, asthenia, and somnolence.

The other less frequently observed adverse reactions from opioid analgesics, including Oxycodone Hydrochloride Oral Solution included:

Body as a Whole: abdominal pain, accidental injury, allergic reaction, back pain, chills and fever, fever, flu syndrome, infection, neck pain, pain, photosensitivity reaction, and sepsis.

Cardiovascular: deep thrombophlebitis, heart failure, hemorrhage, hypotension, migraine, palpitation, and tachycardia.

Digestive: anorexia, diarrhea, dyspepsia, dysphagia, gingivitis, glossitis, and nausea and vomiting.

Hemic and Lymphatic: anemia and leukopenia.

Metabolic and Nutritional: edema, gout, hyperglycemia, iron deficiency anemia and peripheral edema.

Musculoskeletal: arthralgia, arthritis, bone pain, myalgia and pathological fracture.

Nervous: agitation, anxiety, confusion, dry mouth, hypertonia, hypesthesia, nervousness, neuralgia, personality disorder, tremor, and vasodilation.

Respiratory: bronchitis, cough increased, dyspnea, epistaxis, laryngismus, lung disorder, pharyngitis, rhinitis, and sinusitis.

Skin and Appendages: herpes simplex, rash, sweating, and urticaria.

Special Senses: amblyopia.

Urogenital: urinary tract infection

Serotonin syndrome: Cases of serotonin syndrome, a potentially life-threatening condition, have been reported during concomitant use of opioids with serotonergic drugs.

Adrenal insufficiency: Cases of adrenal insufficiency have been reported with opioid use, more often following greater than one month of use.

Anaphylaxis: Anaphylaxis has been reported with ingredients contained in Oxycodone Hydrochloride Oral Solution.

Androgen deficiency: Cases of androgen deficiency have occurred with chronic use of opioids [see Clinical Pharmacology (12.2)].

7 Drug Interactions

Table 1 includes clinically significant drug interactions with Oxycodone Hydrochloride Oral Solution.

Table 1: Clinically Significant Drug Interactions with Oxycodone Hydrochloride Oral Solution



Inhibitors of CYP3A4 and CYP2D6

Clinical Impact:







The concomitant use of Oxycodone Hydrochloride Oral Solution and CYP3A4 inhibitors can increase the plasma concentration of oxycodone, resulting in increased or prolonged opioid effects.

These effects could be more pronounced with concomitant use of

Oxycodone Hydrochloride Oral Solution and CYP2D6 and CYP3A4 inhibitors, particularly when an inhibitor is added after a stable dose of Oxycodone Hydrochloride Oral Solution is achieved [see Warnings and Precautions (5.6)].

After stopping a CYP3A4 inhibitor, as the effects of the inhibitor decline, the oxycodone plasma concentration will decrease [see Clinical Pharmacology (12.3) ], resulting in decreased opioid efficacy or a withdrawal syndrome in patients who had developed physical dependence to oxycodone.

Intervention:









If concomitant use is necessary, consider dosage reduction of Oxycodone Hydrochloride Oral Solution until stable drug effects are achieved.

Monitor patients for respiratory depression and sedation at frequent intervals.

If a CYP3A4 inhibitor is discontinued, consider increasing the Oxycodone Hydrochloride Oral Solution dosage until stable drug effects are achieved. Monitor for signs of opioid withdrawal.

Example

Macrolide antibiotics (e.g., erythromycin), azole-antifungal agents  (e.g. ketoconazole), protease inhibitors (e.g., ritonavir)

CYP3A4 Inducers

Clinical Impact:

The concomitant use of Oxycodone Hydrochloride Oral Solution and CYP3A4 inducers can decrease the plasma concentration of oxycodone [see Clinical Pharmacology (12.3) ], resulting in decreased efficacy or onset of a withdrawal syndrome in patients who have developed physical dependence to oxycodone [see Warnings and Precautions (5.6) ].



After stopping a CYP3A4 inducer, as the effects of the inducer decline, the oxycodone plasma concentration will increase [see Clinical Pharmacology (12.3) ], which could increase or prolong both the therapeutic effects and adverse reactions, and may cause serious respiratory depression.

Intervention:

If concomitant use is necessary, consider increasing the Oxycodone Hydrochloride Oral Solution dosage until stable drug effects are achieved.

Monitor for signs of opioid withdrawal. If a CYP3A4 inducer is discontinued, consider Oxycodone Hydrochloride Oral Solution dosage reduction and monitor for signs of respiratory depression.

Examples

Rifampin, carbamazepine, phenytoin

Benzodiazepines and other Central Nervous System (CNS) Depressants

Clinical Impact:

Due to additive pharmacologic effect, the concomitant use of benzodiazepines or other CNS depressants including alcohol, increases the risk of respiratory depression, profound sedation, coma, and death.

Intervention:

Reserve concomitant prescribing of these drugs for use in patients for whom alternative treatment options are inadequate. Limit dosages and durations to the minimum required. Follow patients closely for signs of respiratory depression and sedation [see Warnings and Precautions (5.7) ].

Examples

Benzodiazepines and other sedatives/hypnotics, anxiolytics, tranquilizers, muscle relaxants, general anesthetics, antipsychotics, other opioids, alcohol.

Serotonergic Drugs

Clinical Impact:

The concomitant use of opioids with other drugs that affect the serotonergic neurotransmitter system has resulted in serotonin syndrome.

Intervention:

If concomitant use is warranted, carefully observe the patient, particularly during treatment initiation and dose adjustment. Discontinue Oxycodone Hydrochloride Oral Solution if serotonin syndrome is suspected.

Examples:

Selective serotonin reuptake inhibitors (SSRIs), serotonin and norepinephrine reuptake inhibitors (SNRIs), tricyclic antidepressants (TCAs), triptans, 5-HT3 receptor antagonists, drugs that affect the serotonin neurotransmitter system (e.g., mirtazapine, trazodone, tramadol), certain muscle relaxants (i.e., cyclobenzaprine, metaxalone) monoamine oxidase (MAO) inhibitors (those intended to treat psychiatric disorders and also others, such as linezolid and intravenous methylene blue).

Monoamine Oxidase Inhibitors (MAOIs)

Clinical

Impact:


MAOI interactions with opioids may manifest as serotonin syndrome or opioid toxicity (e.g., respiratory depression, coma) [see Warnings and Precautions (5.4) ].

Intervention:

The use of Oxycodone Hydrochloride Oral Solution is not recommended for patients taking MAOIs or within 14 days of stopping such treatment.

If urgent use of an opioid is necessary, use test doses and frequent titration of small doses to treat pain while closely monitoring blood pressure and signs and symptoms of CNS and respiratory depression.

Examples:

phenelzine, tranylcypromine, linezolid

Mixed Agonist/Antagonist and Partial Agonist Opioid Analgesics

Clinical Impact:

May reduce the analgesic effect of Oxycodone Hydrochloride Oral Solution and/or precipitate withdrawal symptoms.

Intervention:

Avoid concomitant use.

Examples:

butorphanol, nalbuphine, pentazocine, buprenorphine

Muscle Relaxants

Clinical Impact:

Oxycodone may enhance the neuromuscular blocking action of skeletal muscle relaxants and produce an increased degree of respiratory depression.

Intervention:

Monitor patients for signs of respiratory depression that may be greater than otherwise expected and decrease the dosage of Oxycodone Hydrochloride Oral Solution and/or the muscle relaxant as necessary.

Diuretics

Clinical Impact:

Opioids can reduce the efficacy of diuretics by inducing the release of antidiuretic hormone.

Intervention:

Monitor patients for signs of diminished diuresis and/or effects on blood pressure and increase the dosage of the diuretic as needed.

Anticholinergic Drugs

Clinical Impact:

The concomitant use of anticholinergic drugs may increase risk of urinary retention and/or severe constipation, which may lead to paralytic ileus.

Intervention:

Monitor patients for signs of urinary retention or reduced gastric motility when Oxycodone Hydrochloride Oral Solution is used concomitantly with anticholinergic drugs.

8.7 Renal Impairment

Information from oxycodone tablets indicate that patients with renal impairment had higher plasma concentrations of oxycodone than subjects with normal renal function. Initiate therapy with a lower than usual dosage of Oxycodone Hydrochloride Oral Solution and titrate carefully. Monitor closely for adverse events such as respiratory depression, sedation, and hypotension [see Clinical Pharmacology (12.3)].

12.2 Pharmacodynamics

Effects of the Central Nervous System (CNS)

Oxycodone produces respiratory depression by direct action on brain stem respiratory centers. The respiratory depression involves a reduction in the responsiveness of the brain stem respiratory centers to both increases in carbon dioxide tension and electrical stimulation.

Oxycodone causes miosis, even in total darkness. Pinpoint pupils are a sign of opioid overdose but are not pathognomonic (e.g., pontine lesions of hemorrhagic or ischemic origins may produce similar findings). Marked mydriasis rather than miosis may be seen due to hypoxia in overdose situations.



Effects on the Gastrointestinal Tract and Other Smooth Muscle


Oxycodone causes a reduction in motility associated with an increase in smooth muscle tone in the antrum of the stomach and duodenum. Digestion of food in the small intestine is delayed and propulsive contractions are decreased. Propulsive peristaltic waves in the colon are decreased, while tone may be increased to the point of spasm resulting in constipation. Other opioid-induced effects may include a reduction in biliary and pancreatic secretions, spasm of sphincter of Oddi, and transient elevations in serum amylase.



Effects on the Cardiovascular System


Oxycodone produces peripheral vasodilation which may result in orthostatic hypotension or syncope. Manifestations of histamine release and/or peripheral vasodilation may include pruritus, flushing, red eyes and sweating and/or orthostatic hypotension.



Effects on the Endocrine System


Opioids inhibit the secretion of adrenocorticotropic hormone (ACTH, cortisol), and luteinizing hormone (LH) in humans [see Adverse Reactions (6)]. They also stimulate prolactin, growth hormone (GH) secretion, and pancreatic secretion of insulin and glucagon.

Chronic use of opioids may influence the hypothalamic-pituitary-gonadal axis, leading to androgen deficiency that may manifest as low libido, impotence, erectile dysfunction, amenorrhea, or infertility. The causal role of opioids in the clinical syndrome of hypogonadism is unknown because the various medical, physical, lifestyle, and psychological stressors that may influence gonadal hormone levels have not been adequately controlled for in studies conducted to date [see Adverse Reactions (6)].



Effects on the Immune System


Opioids have been shown to have a variety of effects on components of the immune system in in vitro and animal models. The clinical significance of these findings is unknown. Overall, the effects of opioids appear to be modestly immunosuppressive.



Concentration–Efficacy Relationships


The minimum effective analgesic concentration will vary widely among patients, especially among patients who have been previously treated with potent opioid agonists The minimum effective analgesic concentration of oxycodone for any individual patient may increase over time due to an increase in pain, the development of a new pain syndrome and/or the development of analgesic tolerance [see Dosage and Administration (2.1, 2.2)].



Concentration–Adverse Reaction Relationships


There is a relationship between increasing oxycodone plasma concentration and increasing frequency of dose-related opioid adverse reactions such as nausea, vomiting, CNS effects, and respiratory depression. In opioid-tolerant patients, the situation may be altered by the development of tolerance to opioid-related adverse reactions [see Dosage and Administration (2.1, 2.2, 2.3)].

12.3 Pharmacokinetics

The activity of oxycodone hydrochloride is primarily due to the parent drug oxycodone.

Absorption

About 60 to 87% of an oral dose reaches the systemic circulation in comparison to a parenteral dose. This high oral bioavailability (compared to other opioids) is due to lower pre-systemic and/or first-pass metabolism of oxycodone.



Food Effect


When oxycodone capsules are administered with a high-fat meal, mean AUC values are increased by 23% and peak concentrations are decreased by 14%. Food causes a delay in Tmax (1.00 to 3 hours). Similar effects of food are expected with the oral solution.



Distribution


Following intravenous administration, the volume of distribution (Vss) for oxycodone was 2.6 L/kg. Plasma protein binding of oxycodone at 37°C and a pH of 7.4 was about 45%. Oxycodone has been found in breast milk.



Elimination




Metabolism


Oxycodone hydrochloride is extensively metabolized by multiple metabolic pathways to noroxycodone, oxymorphone, and noroxymorphone, which are subsequently glucuronidated. CYP3A4 mediated N-demethylation to noroxycodone is the primary metabolic pathway of oxycodone with a less contribution from CYP2D6 mediated O-demethylation to oxymorphone. Therefore, the formation of these and related metabolites can, in theory, be affected by other drugs. The major circulating metabolite is noroxycodone with an AUC ratio of 0.6 relative to that of oxycodone. Noroxycodone is reported to be a considerably weaker analgesic than oxycodone. Oxymorphone, although possessing analgesic activity, is present in the plasma only in low concentrations. The correlation between oxymorphone concentrations and opioid effects was much less than that seen with oxycodone plasma concentrations. The analgesic activity profile of other metabolites is not known.



Excretion


Oxycodone and its metabolites are excreted primarily via the kidney. The amounts measured in the urine have been reported as follows: free oxycodone up to 19%; conjugated oxycodone up to 50%; free oxymorphone 0%; conjugated oxymorphone < 14%; both free and conjugated noroxycodone have been found in the urine but not quantified. The total plasma clearance was 0.8 L/min for adults.

Apparent elimination half-life of oxycodone following the administration of oxycodone is approximately 4 hours.



Specific Populations


Age: Geriatric Population:

Information obtained from oxycodone tablets indicate that the plasma concentrations of oxycodone did not appear to be increased in patients over of the age of 65.

Hepatic Impairment:

Because oxycodone is extensively metabolized in the liver, its clearance may decrease in hepatic-impaired patients. A dose adjustment is recommended in these patients [see Use in Specific Populations (8.6)].



Renal Impairment:

Because this drug is known to be substantially excreted by the kidney, and the risk of adverse reactions to this drug may be greater in patients with impaired renal function, a dose reduction is recommended for renal impaired patients [see Use in Specific Populations (8.7)].



Drug Interaction Studies



CYP3A4 Inhibitors


CYP3A4 is the major enzyme involved in noroxycodone formation. A published study showed that the co-administration of voriconazole, a CYP3A4 inhibitor, increased oxycodone AUC and Cmax by 3.6 and 1.7 fold, respectively.



CYP3A4 Inducers


A published study showed that the co-administration of rifampin, a drug metabolizing enzyme inducer, decreased oxycodone AUC and Cmax values by 86% and 63%, respectively.



CYP2D6 Inhibitors


Oxycodone is metabolized in part to oxymorphone via the cytochrome P450 isoenzyme CYP2D6. While this pathway may be blocked by a variety of drugs (e.g., certain cardiovascular drugs and antidepressants), such blockade has not yet been shown to be of clinical significance with this agent.

8.6 Hepatic Impairment

Since oxycodone is extensively metabolized in the liver, its clearance may decrease in patients with hepatic impairment. Initiate therapy in these patients with a lower than usual dosage of Oxycodone Hydrochloride Oral Solution and titrate carefully. Monitor closely for adverse events such as respiratory depression, sedation, and hypotension [see Clinical Pharmacology (12.3)].

5.10 Severe Hypotension

Oxycodone Hydrochloride Oral Solution may cause severe hypotension including orthostatic hypotension and syncope in ambulatory patients. There is increased risk in patients whose ability to maintain blood pressure has already been compromised by a reduced blood volume or concurrent administration of certain CNS depressant drugs (e.g. phenothiazines or general anesthetics) [see Drug Interactions (7)]. Monitor these patients for signs of hypotension after initiating or titrating the dosage of Oxycodone Hydrochloride Oral Solution. In patients with circulatory shock, Oxycodone Hydrochloride Oral Solution may cause vasodilation that can further reduce cardiac output and blood pressure. Avoid the use of Oxycodone Hydrochloride Oral Solution in patients with circulatory shock.

1 Indications and Usage


Oxycodone Hydrochloride Oral Solution is indicated for the management of pain severe enough to require an opioid analgesic and for which alternative treatments are inadequate.



Oxycodone Hydrochloride Oral Solution 100 mg per 5 mL (20 mg/mL) is indicated for the relief of pain in opioid-tolerant patients.





Limitations of Use

Because of the risks of addiction, abuse, and misuse with opioids, even at recommended doses, [see Warnings and Precautions (5.2)], reserve Oxycodone Hydrochloride Oral Solution for use in patients for whom alternative treatment options [e.g., non-opioid analgesics or opioid combination products]

• Have not been tolerated or are not expected to be tolerated,

• Have not provided adequate analgesia or are not expected to provide adequate analgesia





12.1 Mechanism of Action

Oxycodone is a full opioid agonist and is relatively selective for the mu-opioid receptor, although it can bind to other opioid receptors at higher doses. The principal therapeutic action of oxycodone is analgesia. Like all full opioid agonists, there is no ceiling effect for analgesia with oxycodone. Clinically, dosage is titrated to provide adequate analgesia and may be limited by adverse reactions, including respiratory and CNS depression.

The precise mechanism of the analgesic action is unknown. However, specific CNS opioid receptors for endogenous compounds with opioid-like activity have been identified throughout the brain and spinal cord and are thought to play a role in the analgesic effects of this drug.



9.1 Controlled Substance

Oxycodone Hydrochloride Oral Solution contains oxycodone, a Schedule II controlled substance.

5.9 Adrenal Insufficiency

Cases of adrenal insufficiency have been reported with opioid use, more often following greater than one month of use. Presentation of adrenal insufficiency may include non-specific symptoms and signs including nausea, vomiting, anorexia, fatigue, weakness, dizziness, and low blood pressure.

If adrenal insufficiency is suspected, confirm the diagnosis with diagnostic testing as soon as possible. If adrenal insufficiency is diagnosed, treat with physiologic replacement doses of corticosteroids. Wean the patient off of the opioid to allow adrenal function to recover and continue corticosteroid treatment until adrenal function recovers.

Other opioids may be tried as some cases reported use of a different opioid without recurrence of adrenal insufficiency. The information available does not identify any particular opioids as being more likely to be associated with adrenal insufficiency.

5 Warnings and Precautions

 Life-Threatening Respiratory Depression in Patients with Chronic Pulmonary Disease or in Elderly, Cachectic, or Debilitated Patients:  Monitor closely, particularly during initiation and titration.(5.8)

 Adrenal Insufficiency: If diagnosed, treat with physiologic replacement of corticosteroids, and wean patient off of the opioid. (5.9)

• Severe Hypotension: Monitor during dosage initiation and titration. Avoid use of Oxycodone Hydrochloride Oral Solution in patients with circulatory shock.(5.10)

• Risks of Use in Patients with Increased Intracranial Pressure, Brain Tumors, Head Injury, or Impaired Consciousness: Monitor for sedation and respiratory depression. Avoid use of Oxycodone Hydrochloride Oral Solution in patients with impaired consciousness or coma. (5.11)

2 Dosage and Administration




  • Oxycodone Hydrochloride Oral Solution 100 mg per 5 mL (20 mg/mL) is for opioid-tolerant patients only (2.1) Use the lowest effective dosage for the shortest duration consistent with individual patient treatment goals. (2.1)
  • Individualize dosing based on the severity of pain, patient response, prior analgesic experience, and risk factor for addiction, abuse, and misuse. (2.1)
  • Initiate dosing with a range of 5 to 15 mg every 4 to 6 hours as needed for pain. (2.2)
  • For control of chronic pain, administer Oxycodone Hydrochloride Oral Solution on a regularly scheduled basis, at the lowest dosage level to achieve adequate analgesia. (2.2)
  • Individually titrate Oxycodone Hydrochloride Oral Solution to a dose that provides adequate analgesia and minimizes adverse reactions. (2.3)
  • Do not abruptly discontinue Oxycodone Hydrochloride Oral Solution in a physically dependent patient because rapid discontinuation of Opioid analgesics has resulted in serious withdrawal symptoms, uncontrolled pain, and suicide. (2.4)
3 Dosage Forms and Strengths

Oxycodone Hydrochloride Oral Solution, USP

5 mg per 5 mL (1 mg/mL) Strength Oral Solution: Each 5 mL of red Oxycodone Hydrochloride Oral Solution, USP contains oxycodone hydrochloride 5 mg.

100 mg per 5 mL (20 mg per mL) Strength Oral Solution: Each 5 mL of yellow Oxycodone Hydrochloride Oral Solution, USP contains oxycodone hydrochloride 100 mg.

8 Use in Specific Populations

• Pregnancy: May cause fetal harm. (8.1)

5.2 Addiction, Abuse, and Misuse

Oxycodone Hydrochloride Oral Solution contains oxycodone, a Schedule II controlled substance. As an opioid, Oxycodone Hydrochloride Oral Solution exposes users to the risks of addiction, abuse, and misuse [see Drug Abuse and Dependence (9)].

Although the risk of addiction in any individual is unknown, it can occur in patients appropriately prescribed Oxycodone Hydrochloride Oral Solution. Addiction can occur at recommended dosages and if the drug is misused or abused.



Assess each patient’s risk for opioid addiction, abuse, or misuse prior to prescribing Oxycodone Hydrochloride Oral Solution, and monitor all patients receiving Oxycodone Hydrochloride Oral Solution for the development of these behaviors and conditions. Risks are increased in patients with a personal or family history of substance abuse (including drug or alcohol abuse or addiction) or mental illness (e.g., major depression).



The potential for these risks should not, however, prevent the proper management of pain in any given patient. Patients at increased risk may be prescribed opioids such as Oxycodone Hydrochloride Oral Solution, but use in such patients necessitates intensive counseling about the risks and proper use of Oxycodone Hydrochloride Oral Solution along with intensive monitoring for signs of addiction, abuse, and misuse.



Opioids are sought by drug abusers and people with addiction disorders and are subject to criminal diversion. Consider these risks when prescribing or dispensing Oxycodone Hydrochloride Oral Solution. Strategies to reduce these risks include prescribing the drug in the smallest appropriate quantity and advising the patient on the proper disposal of unused drug [see Patient Counseling Information (17)]. Contact local state professional licensing board or state controlled substances authority for information on how to prevent and detect abuse or diversion of this product.

17 Patient Counseling Information

Advise the patient to read the FDA-approved patient labeling (Medication Guide).



Storage and Disposal:

Because of the risks associated with accidental ingestion, misuse, and abuse, advise patients to store Oxycodone Hydrochloride Oral Solution securely, out of sight and reach of children, and in a location not accessible by others, including visitors to the home.Inform patients that leaving Oxycodone Hydrochloride Oral Solution unsecured can pose a deadly risk to others in the home (see Warnings and Precautions (5.2, 5.14), Drug Abuse and Dependence (9.2)].

Advise patients and caregivers that when medicines are no longer needed, they should be disposed of promptly.  Expired, unwanted, or unused Oxycodone Hydrochloride Oral Solution should be disposed of by flushing the unused medication down the toilet if a drug take-back option is not readily available.  Inform patients that they can visit  www.fda.gov/drugdisposal for a complete list of medicines recommended for disposal by flushing, as well as additional information on disposal of unused medicines.





Medication Errors

Advise patients that Oxycodone Hydrochloride Oral Solution, is available in two concentrations (5 mg/5 mL and 100 mg/5 mL). Inform patients about which concentration they have been prescribed. Instruct patients how to measure and take the correct dose of Oxycodone Hydrochloride Oral Solution and to always use the enclosed calibrated measuring cup when administering Oxycodone Hydrochloride Oral Solution 5 mg per 5 mL (1 mg/mL) and to always use the enclosed calibrated oral syringe when administering Oxycodone Hydrochloride Oral Solution 100 mg per 5 mL (20 mg/mL) to ensure the dose is measured and administered accurately [see Warnings and Precautions (5.1)].

If the prescribed concentration is changed, instruct patients on how to correctly measure the new dose to avoid errors which could result in accidental overdose and death.

Addiction, Abuse, and Misuse

Inform patients that the use of Oxycodone Hydrochloride Oral Solution, even when taken as recommended, can result in addiction, abuse, and misuse, which can lead to overdose and death [see Warnings and Precautions (5.2)]. Instruct patients not to share Oxycodone Hydrochloride Oral Solution with others and to take steps to protect Oxycodone Hydrochloride Oral Solution from theft or misuse.

Life-Threatening Respiratory Depression

Inform patients of the risk of life-threatening respiratory depression, including information that the risk is greatest when starting Oxycodone Hydrochloride Oral Solution or when the dosage is increased, and that it can occur even at recommended dosages [see Warnings and Precautions (5.4)]. Advise patients how to recognize respiratory depression and to seek medical attention if breathing difficulties develop.

Accidental Ingestion

Inform patients that accidental ingestion, especially by children, may result in respiratory depression or death [see Warnings and Precautions (5.4)].

Interactions with Benzodiazepines and Other CNS Depressants

Inform patients and caregivers that potentially fatal additive effects may occur if Oxycodone Hydrochloride Oral Solution is used with benzodiazepines or other CNS depressants, including alcohol, and not to use these concomitantly unless supervised by a health care provider [see Warnings and Precautions (5.7), Drug Interactions (7)].

Serotonin Syndrome

Inform patients that opioids could cause a rare but potentially life-threatening condition resulting from concomitant administration of serotonergic drugs. Warn patients of the symptoms of serotonin syndrome and to seek medical attention right away if symptoms develop. Instruct patients to inform their healthcare providers if they are taking, or plan to take serotonergic medications. [see Drug Interactions (7)].

MAOI Interaction

Inform patients to avoid taking Oxycodone Hydrochloride Oral Solution while using any drugs that inhibit monoamine oxidase. Patients should not start MAOIs while taking Oxycodone Hydrochloride Oral Solution [see Drug Interactions (7)].

Adrenal Insufficiency

Inform patients that opioids could cause adrenal insufficiency, a potentially life-threatening condition. Adrenal insufficiency may present with non-specific symptoms and signs such as nausea, vomiting, anorexia, fatigue, weakness, dizziness, and low blood pressure. Advise patients to seek medical attention if they experience a constellation of these symptoms [see Warnings and Precautions (5.9)].



Important Administration Instructions

Instruct patients how to properly take Oxycodone Hydrochloride Oral Solution. [see Dosage and Administration (2.1), Warnings and Precautions (5.1)].



• Advise patients to always use the enclosed calibrated oral syringe/dosing cup when administering Oxycodone Hydrochloride Oral Solution to ensure the dose is measured and administered accurately [see Warnings and Precautions (5.1)].

• Advise patients never to use household teaspoons or tablespoons to measure Oxycodone Hydrochloride Oral Solution.

•  Inform patients that the 100 mg per 5 mL (20 mg/mL) formulation is only for patients who are already receiving opioid-therapy and have demonstrated opioid- tolerance. Use of this formulation may cause fatal respiratory depression when administered to patients who have not had previous exposure to opioids [see Indications and Usage (1) see Dosage and Administration (2.1) ].

• Advise patients not to adjust the dose of Oxycodone Hydrochloride Oral Solution without consulting with a physician or other healthcare provider.



Important Discontinuation Instructions

In order to avoid developing withdrawal symptoms, instruct patients not to discontinue Oxycodone Hydrochloride Oral Solution without first discussing a tapering plan with the prescriber [see Dosage and Administration (2.4) ].





Hypotension

Inform patients that Oxycodone Hydrochloride Oral Solution may cause orthostatic hypotension and syncope. Instruct patients how to recognize symptoms of low blood pressure and how to reduce the risk of serious consequences should hypotension occur (e.g., sit or lie down, carefully rise from a sitting or lying position) [see Warnings and Precautions (5.10)].



Anaphylaxis

Inform patients that anaphylaxis has been reported with ingredients contained in Oxycodone Hydrochloride Oral Solution. Advise patients how to recognize such a reaction and when to seek medical attention [see Adverse Reactions (6)].



Pregnancy

      Neonatal Opioid Withdrawal Syndrome

Inform female patients of reproductive potential that prolonged use of Oxycodone Hydrochloride Oral Solution during pregnancy can result in neonatal opioid withdrawal  syndrome, which may be life-threatening if not recognized and treated [see Warnings and Precautions (5.5), Use in Specific Populations (8.1)].



      Embryo-Fetal Toxicity

Inform female patients of reproductive potential that Oxycodone Hydrochloride Oral Solution can cause fetal harm and to inform the healthcare provider of a known or suspected pregnancy [see Use in Specific Populations (8.1)].



Lactation

Advise nursing mothers to carefully observe  infants for increased sleepiness (more than usual), breathing difficulties, or limpness. Instruct nursing mothers to seek immediate medical care if they notice these signs [see Use in Specific Populations (8.2)].



Infertility

Inform patients that chronic use of opioids may cause reduced fertility. It is not known whether these effects on fertility are reversible [see Use in Specific Populations (8.3)].



Driving or Operating Heavy Machinery

Inform patients that Oxycodone Hydrochloride Oral Solution may impair the ability to perform potentially hazardous activities such as driving a car or operating heavy machinery. Advise patients not to perform such tasks until they know how they will react to the medication [see Warnings and Precautions (5.5)].



Constipation

Advise patients of the potential for severe constipation, including management instructions and when to seek medical attention [see Adverse Reactions (6), Clinical Pharmacology (12.2)].



Dispense with Medication Guide available at www.aurobindousa.com/product-medication-guides.

Distributed by:

Aurobindo Pharma USA, Inc.

279 Princeton-Hightstown Road

East Windsor, NJ 08520

Revised: 12/2023

16 How Supplied/storage and Handling

Oxycodone Hydrochloride Oral Solution 5 mg per 5 mL (1 mg/mL), is a red solution, supplied as:

NDC# 13107-261-58: Bottle of 500 mL supplied with a calibrated measuring cup.

Oxycodone Hydrochloride Oral Solution 100 mg per 5 mL (20 mg per mL), is a yellow solution, supplied as:

NDC# 13107-262-57: Bottle of 30 mL supplied with a calibrated oral syringe.



Store: Store at Controlled Room Temperature, 25°C (77°F); excursions are permitted to 15° - 30°C (59° - 86°F). PROTECT from MOISTURE and LIGHT. 

Store Oxycodone Hydrochloride Oral Solution securely and dispose of properly [see Patient Counseling Information (17)].

5.5 Neonatal Opioid Withdrawal Syndrome

Prolonged use of Oxycodone Hydrochloride Oral Solution during pregnancy can result in withdrawal in the neonate. Neonatal opioid withdrawal syndrome, unlike opioid withdrawal syndrome in adults, may be life-threatening if not recognized and treated, and requires management according to protocols developed by neonatology experts. Observe newborns for signs of neonatal opioid withdrawal syndrome and manage accordingly. Advise pregnant women using opioids for a prolonged period of the risk of neonatal opioid withdrawal syndrome and ensure that appropriate treatment will be available [see Use in Specific Populations (8.1), Patient Counseling Information (17)].

2.3 Titration and Maintenance of Therapy


Individually titrate Oxycodone Hydrochloride Oral Solution to a dose that provides adequate analgesia and minimizes adverse reactions. Continually reevaluate patients receiving Oxycodone Hydrochloride Oral Solution to assess the maintenance of pain control and the relative incidence of adverse reactions, as well as monitoring for the development of addiction, abuse, or misuse [see Warnings and Precautions (5.2)].



Frequent communication is important among the prescriber, other members of the healthcare team, the patient, and the caregiver/family during periods of changing analgesic requirements, including initial titration.



If the level of pain increases after dosage stabilization, attempt to identify the source of increased pain before increasing the Oxycodone Hydrochloride Oral Solution dosage. If unacceptable opioid-related adverse reactions are observed, consider reducing the dosage. Adjust the dosage to obtain an appropriate balance between management of pain and opioid-related adverse reactions.





5.4 Life Threatening Respiratory Depression


Serious, life-threatening, or fatal respiratory depression has been reported with the use of opioids, even when used as recommended. Respiratory depression, if not immediately recognized and treated, may lead to respiratory arrest and death. Management of respiratory depression may include close observation, supportive measures, and use of opioid antagonists, depending on the patient’s clinical status [see Overdosage (10)].

Carbon dioxide (C02) retention from opioid-induced respiratory depression can exacerbate the sedating effects of opioids.





While serious, life-threatening, or fatal respiratory depression can occur at any time during the use of Oxycodone Hydrochloride Oral Solution, the risk is greatest during the initiation of therapy or following a dosage increase. Monitor patients closely for respiratory depression, especially within the first 24-72 hours of initiating therapy with and following dosage increases of Oxycodone Hydrochloride Oral Solution.





To reduce the risk of respiratory depression, proper dosing and titration of Oxycodone Hydrochloride Oral Solution are essential [see Dosage and Administration (2)]. Over estimating the Oxycodone Hydrochloride Oral Solution dosage when converting patients from another opioid product can result in a fatal overdose with the first dose.





Oxycodone Hydrochloride Oral Solution 100 mg per 5 mL (20 mg/mL) is for use in opioid-tolerant patients only. Administration of this formulation may cause fatal respiratory depression when administered to patients who are not tolerant to the respiratory depressant effects of opioids.





Accidental ingestion of even one dose of Oxycodone Hydrochloride Oral Solution, especially by children, can result in respiratory depression and death due to an overdose of oxycodone.





Opioids can cause sleep-related breathing disorders including central sleep apnea (CSA) and sleep-related hypoxemia. Opioid use increases the risk of CSA in a dose-dependent fashion. In patients who present with CSA, consider decreasing the opioid dosage using best practices for opioid taper [see Dosage and Administration (2.4)].





5.15 Risks of Driving and Operating Machinery

Oxycodone Hydrochloride Oral Solution may impair the mental or physical abilities needed to perform potentially hazardous activities such as driving a car or operating machinery. Warn patients not to drive or operate dangerous machinery unless they are tolerant to the effects of Oxycodone Hydrochloride Oral Solution and know how they will react to the medication [see Patient Counseling Information (17)].

8.3 Females and Males of Reproductive Potential

Infertility

Chronic use of opioids may cause reduced fertility in females and males of reproductive potential. It is not known whether these effects on fertility are reversible [see Adverse Reactions (6), Clinical Pharmacology (12.2)].

2.1 Important Dosage and Administration Instructions




Oxycodone Hydrochloride Oral Solution is available in two concentrations: 5 mg per 5 mL (1 mg/mL), and 100 mg per 5 mL (20 mg/mL). Oxycodone Hydrochloride Oral Solution 100 mg per 5 mL (20 mg/mL) is for use in opioid-tolerant patients only who have already been receiving opioid therapy.  Use this strength only for patients who have already been titrated to a stable analgesic regimen using lower strengths of oxycodone hydrochloride and who can benefit from use of a smaller volume of oral solution.





Patients considered to be opioid tolerant are those who are receiving, for one week or longer, at least 60mg oral morphine per day, 25 mcg transdermal fentanyl per hour, 30 mg oral oxycodone per day, 8 mg oral hydromorphone per day, 25 mg oral oxymorphone per day, 60 mg oral hydrocodone per day, or an equianalgesic dose of another opioid.



Ensure accuracy when prescribing, dispensing, and administering Oxycodone Hydrochloride Oral Solution to avoid dosing errors due to confusion between mg and mL, and with other oxycodone hydrochloride solutions of different concentrations, which could result in accidental overdose and death. Ensure the proper dose is communicated and dispensed. When writing prescriptions, include both the total dose in mg and the total dose in volume.



Always use the enclosed calibrated measuring cup when administering Oxycodone Hydrochloride Oral Solution 5 mg per 5 mL and always use the enclosed calibrated oral syringe when administering Oxycodone Hydrochloride Oral Solution 100 mg per 5 mL (20 mg per mL) to ensure that the dose is measured and administered accurately.



Do not use household teaspoons or tablespoons to measure Oxycodone Hydrochloride Oral Solution, as using a tablespoon instead of a teaspoon could lead to overdosage.



Use the lowest effective dosage for the shortest duration consistent with individual patient treatment goals [see Warnings and Precautions (5)].



Initiate the dosing regimen for each patient individually, taking into account the patient’s severity of pain, patient response, prior analgesic treatment experience, and risk factors for addiction, abuse, and misuse [see Warnings and Precautions (5.2)].



Monitor patients closely for respiratory depression, especially within the first 24-72 hours of initiating therapy and following dosage increases with Oxycodone Hydrochloride Oral Solution and adjust the dosage accordingly [see Warnings and Precautions (5.4)].





13.1 Carcinogenesis, Mutagenesis,  impairment of Fertility

Carcinogenesis

Long-term studies in animals to evaluate the carcinogenic potential of oxycodone have not been conducted.

Mutagenesis

Oxycodone hydrochloride was genotoxic in an in vitro mouse lymphoma assay in the presence of metabolic activation. There was no evidence of genotoxic potential in an in vitro bacterial reverse mutation assay (Salmonella typhimurium and Escherichia coli) and in an assay for chromosomal aberrations (in vivo mouse bone marrow micronucleus assay).

Impairment of Fertility

Studies in animals to evaluate the potential impact of oxycodone on fertility have not been conducted.



Package Label.principal Display Panel 5mg/5ml Carton Label

NDC 13107-261-58

Oxycodone Hydrochloride Oral Solution, USP CII

5 mg per 5 mL

(1 mg per 1 mL)

Pharmacist: Dispense the Medication Guide provided separately to each patient.

5.12 Risk of Use in Patients With Gastrointestinal Conditions

Oxycodone Hydrochloride Oral Solution is contraindicated in patients with known or suspected gastrointestinal obstruction, including paralytic ileus.

The oxycodone in Oxycodone Hydrochloride Oral Solution may cause spasm of the sphincter of Oddi. Opioids may cause increases in serum amylase. Monitor patients with biliary tract disease, including acute pancreatitis for worsening symptoms.



Package Label.principal Display Panel 100mg/5ml Carton Label

NDC 13107-262-57

Oxycodone Hydrochloride Oral Solution, USP CII

100 mg per 5 mL

(20 mg per 1 mL)

CAUTION! HIGHLY CONCENTRATED SOLUTION!

VERIFY DOSAGE AND MEASURE CAREFULLY!

Pharmacist: Dispense the Medication Guide provided separately to each patient.

ONLY FOR USE IN PATIENTS WHO ARE OPIOID TOLERANT

Package Label.principal Display Panel 5mg/5ml Container Label

NDC 13107-261-58



Oxycodone Hydrochloride Oral Solution, USP CII

5 mg/ 5 mL

(1 mg/ 1 mL)

Pharmacist: Dispense the Medication Guide provided separately to each patient.

Only      500 mL

Package Label.principal Display Panel 100mg/5ml Container Label

NDC 13107-262-57

Oxycodone Hydrochloride Oral Solution, USP CII

100 mg per 5 mL

(20 mg per 1 mL)

Pharmacist: Dispense the Medication Guide provided separately to each patient.

ONLY FOR USE IN PATIENTS WHO ARE OPIOID TOLERANT

5.1 Risk of Accidental Overdose and Death Due to Medication Errors

Dosing errors can result in accidental overdose and death. Avoid dosing errors that may result from confusion between mg and mL and confusion with oxycodone hydrochloride solutions of different concentrations, when prescribing, dispensing, and administering Oxycodone Hydrochloride Oral Solution. Ensure that the dose is communicated clearly and dispensed accurately. Always use the enclosed calibrated measuring cup when administering Oxycodone Hydrochloride Oral Solution 5 mg per 5 mL (1 mg/mL) and always use the enclosed calibrated oral syringe when administering Oxycodone Hydrochloride Oral Solution 100 mg per 5 mL (20 mg/ mL) to ensure the dose is measured and administered accurately.

Do not use a teaspoon or a tablespoon to measure a dose. A household teaspoon or tablespoon is not an adequate measuring device. Given the inexactitude of the household spoon measure and the possibility of using a tablespoon instead of a teaspoon, which could lead to overdosage, it is strongly recommended that, if the enclosed calibrated measuring cup becomes lost, caregivers obtain and use a calibrated measuring device. Health care providers should recommend a calibrated device that can measure and deliver the prescribed dose accurately, and instruct caregivers to use extreme caution in measuring the dosage.

5.13 Increased Risk of Seizures in Patients With Seizure Disorders

The oxycodone in Oxycodone Hydrochloride Oral Solution may increase the frequency of seizures in patients with seizure disorders, and may increase the risk of seizures occurring in other clinical settings associated with seizures. Monitor patients with a history of seizure disorders for worsened seizure control during Oxycodone Hydrochloride Oral Solution therapy.

5.3 Opioid Analgesic Risk Evaluation and Mitigation Strategy (rems)

To ensure that the benefits of opioid analgesics outweigh the risks of addiction, abuse, and misuse, the Food and Drug Administration (FDA) has required a Risk Evaluation and Mitigation Strategy (REMS) for these products. Under the requirements of the REMS, drug companies with approved opioid analgesic products must make REMS-compliant education programs available to healthcare providers. Healthcare providers are strongly encouraged to do all of the following:

• Complete a REMS compliant education program offered by an accredited provider of continuing education (CE) or another education program that includes all the elements of the FDA     Education Blueprint for Health Care Providers Involved in the Management or Support of Patients with Pain.



• Discuss the safe use, serious risks, and proper storage and disposal of opioid analgesics with patients and/or their caregivers every time these medicines are prescribed. The Patient     Counseling Guide (PCG) can be obtained at this link: www.fda.gov/OpioidAnalgesicREMSPCG.



• Emphasize to patients and their caregivers the importance of reading the Medication Guide that they will receive from their pharmacist every time an opioid analgesic is dispensed to them.



• Consider using other tools to improve patient, household, and community safety, such as patient-prescriber agreements that reinforce patient prescriber responsibilities.

To obtain further information on the opioid analgesic REMS and for a list of accredited REMS CME/CE, call 1-800-503-0784, or log on to www.opioidanalgesicrems.com. The FDA Blueprint can be found at www.fda/gov/OpioidAnalgesicREMSBlueprint.

5.7 Risks From Concomitant Use With Benzodiazepines Or Other Cns Depressants

Profound sedation, respiratory depression, coma, and death may result from the concomitant use of Oxycodone Hydrochloride Oral Solution with benzodiazepines and/or other CNS depressants including alcohol (e.g., non-benzodiazepine sedatives/hypnotics, anxiolytics, tranquilizers, muscle relaxants, general anesthetics, antipsychotics, other opioids). Because of these risks, reserve concomitant prescribing of these drugs for use in patients for whom alternative treatment options are inadequate.



Observational studies have demonstrated that concomitant use of opioid analgesics and benzodiazepines increases the risk of drug-related mortality compared to use of opioid analgesics alone. Because of similar pharmacological properties, it is reasonable to expect similar risk with the concomitant use of other CNS depressant drugs with opioid analgesics [see Drug Interactions (7)].



If the decision is made to prescribe a benzodiazepine or other CNS depressant concomitantly with an opioid analgesic, prescribe the lowest effective dosages and minimum durations of concomitant use. In patients already receiving an opioid analgesic, prescribe a lower initial dose of the benzodiazepine or other CNS depressant than indicated in the absence of an opioid, and titrate based on clinical response. If an opioid analgesic is initiated in a patient already taking a benzodiazepine or other CNS depressant, prescribe a lower initial dose of the opioid analgesic, and titrate based on clinical response. Follow patients closely for signs and symptoms of respiratory depression and sedation.



Advise both patients and caregivers about the risks of respiratory depression and sedation when Oxycodone Hydrochloride Oral Solution are used with benzodiazepines or other CNS depressants (including alcohol and illicit drugs). Advise patients not to drive or operate heavy machinery until the effects of concomitant use of the benzodiazepine or other CNS depressant have been determined. Screen patients for risk of substance use disorders, including opioid abuse and misuse, and warn them of the risk for overdose and death associated with the use of additional CNS depressants including alcohol and illicit drugs [see Drug Interactions (7) and Patient Counseling Information (17)].

2.4  Safe Reduction Or Discontinuation of Oxycodone hydrochloride Oral Solution


Do not abruptly discontinue Oxycodone Hydrochloride Oral Solution in patients who may be physically dependent on opioids.  Rapid discontinuation of opioid analgesics in patients who are physically dependent on opioids has resulted in serious withdrawal symptoms, uncontrolled pain, and suicide.  Rapid discontinuation has also been associated with attempts to find other sources of opioid analgesics, which may be confused with drug-seeking for abuse. Patients may also attempt to treat their pain or withdrawal symptoms with illicit opioids, such as heroin, and other substances.

When a decision has been made to decrease the dose or discontinue therapy in an opioid- dependent patient taking Oxycodone Hydrochloride Oral Solution, there are a variety of factors that should be considered, including the dose of Oxycodone Hydrochloride Oral Solution the patient has been taking, the duration of treatment, the type of pain being treated, and the physical and psychological attributes of the patient.  It is important to ensure ongoing care of the patient and to agree on an appropriate tapering schedule and follow-up plan so that patient and provider goals and expectations are clear and realistic. When opioid analgesics are being discontinued due to a suspected substance use disorder, evaluate and treat the patient, or refer for evaluation and treatment of the substance use disorder.  Treatment should include evidence-based approaches, such as medication assisted treatment of opioid use disorder. Complex patients with co-morbid pain and substance use disorders may benefit from referral to a specialist.

There are no standard opioid tapering schedules that are suitable for all patients. Good clinical practice dictates a patient-specific plan to taper the dose of the opioid gradually. For patients on Oxycodone Hydrochloride Oral Solution who are physically opioid- dependent, initiate the taper by a small enough increment (e.g., no greater than 10% to 25% of the total daily dose) to avoid withdrawal symptoms, and proceed with dose- lowering at an interval of every 2 to 4 weeks. Patients who have been taking opioids for briefer periods of time may tolerate a more rapid taper.

It may be necessary to provide the patient with lower dosage strengths to accomplish a successful taper.  Reassess the patient frequently to manage pain and withdrawal symptoms, should they emerge. Common withdrawal symptoms include restlessness, lacrimation, rhinorrhea, yawning, perspiration, chills, myalgia, and mydriasis. Other signs and symptoms also may develop, including irritability, anxiety, backache, joint pain, weakness, abdominal cramps, insomnia, nausea, anorexia, vomiting, diarrhea, or increased blood pressure, respiratory rate, or heart rate.  If withdrawal symptoms arise, it may be necessary to pause the taper for a period of time or raise the dose of the opioid analgesic to the previous dose, and then proceed with a slower taper.  In addition, monitor patients for any changes in mood, emergence of suicidal thoughts, or use of other substances.

When managing patients taking opioid analgesics, particularly those who have been treated for a long duration and/or with high doses for chronic pain, ensure that a multimodal approach to pain management, including mental health support (if needed), is in place prior to initiating an opioid analgesic taper. A multimodal approach to pain management may optimize the treatment of chronic pain, as well as assist with the successful tapering of the opioid analgesic [see Warnings and Precautions (5.14) , Drug Abuse and Dependence (9.3) ]





5.6 Risks of Concomitant Use Or Discontinuation of Cytochrome P450 3a4 Inhibitors and Inducers


Concomitant use of Oxycodone Hydrochloride Oral Solution with a CYP3A4 inhibitor, such as macrolide antibiotics (e.g., erythromycin), azole-antifungal agents (e.g., ketoconazole), and protease inhibitors (e.g., ritonavir), may increase plasma concentrations of oxycodone and prolong opioid adverse reactions, which may cause potentially fatal respiratory depression [see Warnings and Precautions (5.4)], particularly when an inhibitor is added after a stable dose of Oxycodone Hydrochloride Oral Solution is achieved. Similarly, discontinuation of a CYP3A4 inducer, such as rifampin, carbamazepine, and phenytoin, in Oxycodone Hydrochloride Oral Solution-treated patients may increase oxycodone plasma concentrations and prolong opioid adverse reactions. When using Oxycodone Hydrochloride Oral Solution with CYP3A4 inhibitors or discontinuing CYP3A4 inducers in Oxycodone Hydrochloride Oral Solution-treated patients, monitor patients closely at frequent intervals and consider dosage reduction of Oxycodone Hydrochloride Oral Solution until stable drug effects are achieved [see Dosage and Administration (2.1), Drug Interactions (7)].



Concomitant use of Oxycodone Hydrochloride Oral Solution with CYP3A4 inducers or discontinuation of an CYP3A4 inhibitor could decrease oxycodone plasma concentrations, decrease opioid efficacy or, possibly, lead to a withdrawal syndrome in a patient who had developed physical dependence to oxycodone. When using Oxycodone Hydrochloride Oral Solution with CYP3A4 inducers or discontinuing CYP3A4 inhibitors, monitor patients closely at frequent intervals and consider increasing the opioid dosage if needed to maintain adequate analgesia or if symptoms of opioid withdrawal occur [see Dosage and Administration (2.1), Drug Interactions (7)].





5.11 Risks of Use in Patients With Increased Intracranial Pressure, Brain Tumors, Head Injury, Or Impaired Consciousness

In patients who may be susceptible to the intracranial effects of CO2 retention (e.g., those with evidence of increased intracranial pressure or brain tumors), Oxycodone Hydrochloride Oral Solution may reduce respiratory drive, and the resultant CO2 retention can further increase intracranial pressure. Monitor such patients for signs of sedation and respiratory depression, particularly when initiating therapy with Oxycodone Hydrochloride Oral Solution.

Opioids may also obscure the clinical course in a patient with a head injury. Avoid the use of Oxycodone Hydrochloride Oral Solution in patients with impaired consciousness or coma.



5.8 Life Threatening Respiratory Depression in Patients With Chronic Pulmonary Disease Or in Elderly, Cachectic, Or Debilitated Patients


The use of Oxycodone Hydrochloride Oral Solution in patients with acute or severe bronchial asthma in an unmonitored setting or in the absence of resuscitative equipment is contraindicated.



Patients with Chronic Pulmonary Disease:
Oxycodone Hydrochloride Oral Solution-treated patients with significant chronic obstructive pulmonary disease or cor pulmonale, and those with a substantially decreased respiratory reserve, hypoxia, hypercapnia, or pre-existing respiratory depression are at increased risk of decreased respiratory drive including apnea, even at recommended dosages of Oxycodone Hydrochloride Oral Solution [see Warnings and Precautions (5.4)].



Elderly, Cachectic, or Debilitated Patients: Life-threatening respiratory depression is more likely to occur in elderly, cachectic, or debilitated patients because they may have altered pharmacokinetics or altered clearance compared to younger, healthier patients [see Warnings and Precautions (5.8)].



Monitor such patients closely, particularly when initiating and titrating Oxycodone Hydrochloride Oral Solution and when Oxycodone Hydrochloride Oral Solution is given concomitantly with other drugs that depress respiration [see Warnings and Precautions (5.6)]. Alternatively, consider the use of non-opioid analgesics in these patients.

Warning: Risk of Medication Errors; Addiction,abuse, and Misuse;risk Evaluation and Mitigation Strategy (rems);  Life Threatening Respiratory Depression; Accidental Ingestion; Neonatal Opioid Withdrawal Syndrome;cytochrome P450 3a4 Interaction; and Risks From Concomitant Use With Benzodiazepines Or Other Cns Depressants

CNS DEPRESSANTS



Risk of Medication Errors

Ensure accuracy when prescribing, dispensing, and administering Oxycodone Hydrochloride Oral Solution. Dosing errors due to confusion between mg and mL, and other oxycodone hydrochloride oral solutions of different concentrations can results in accidental overdose. [See Dosage and Administration (2.1), Warnings and Precautions (5.1)].



Addiction, Abuse, and Misuse

Oxycodone Hydrochloride Oral Solution exposes users to risks of addiction, abuse, and misuse, which can lead to overdose and death. Assess patient's risk prior to prescribing Oxycodone Hydrochloride Oral Solution, and monitor all patients regularly for the development of these behaviors and conditions. [See Warnings and Precautions (5.2)].



Opioid Analgesic Risk Evaluation and Mitigation Strategy (REMS)

To ensure that the benefits of opioid analgesics outweigh the risks of addiction, abuse, and misuse, the Food and Drug Administration (FDA) has required a REMS for these products [see Warnings and Precautions (5.3)]. Under the requirements of the REMS, drug companies with approved opioid analgesic products must make REMS-compliant education programs available to healthcare providers. Healthcare providers are strongly encouraged to

• Complete a REMS-compliant education program,

• Counsel patients and/or their caregivers, with every prescription, on safe use, serious risks, storage, and disposal of these products,

• Emphasize to patients and their caregivers the importance of reading the Medication Guide every time it is provided by their pharmacist, and

• Consider other tools to improve patient, household, and community safety.



Life-Threatening Respiratory Depression

Serious, life-threatening, or fatal respiratory depression may occur with use of Oxycodone Hydrochloride Oral Solution. Monitor for respiratory depression, especially during initiation of Oxycodone Hydrochloride Oral Solution or following a dosage increase. [See Warnings and Precautions (5.4)].



Accidental Ingestion

Accidental ingestion of even one dose of Oxycodone Hydrochloride Oral Solution, especially by children, can result in a fatal overdose of oxycodone. [See Warnings and Precautions (5.4)].



Neonatal Opioid Withdrawal Syndrome

Prolonged use of Oxycodone Hydrochloride Oral Solution during pregnancy can result in neonatal opioid withdrawal syndrome, which may be life-threatening if not recognized and treated, and requires management according to protocols developed by neonatology experts. If opioid use is required for a prolonged period in a pregnant woman, advise the patient of the risk of neonatal opioid withdrawal syndrome and ensure that appropriate treatment will be available. [See Warnings and Precautions (5.5)].



Cytochrome P450 3A4 Interaction

The concomitant of Oxycodone Hydrochloride Oral Solution with all cytochrome P450 3A4 inhibitors may result in an increase in oxycodone plasma concentrations, which could increase or prolong adverse reactions and may cause potentially fatal respiratory depression. In addition, discontinuation of a concomitantly used cytochrome P450 3A4 inducer may result in an increase in oxycodone plasma concentration. Monitor patients receiving Oxycodone Hydrochloride Oral Solution and any CYP3A4 inhibitor or inducer. [See Warnings and Precautions (5.6)Drug Interactions (7), Clinical Pharmacology (12.3)].



Risks From Concomitant Use With Benzodiazepines Or Other CNS Depressants

Concomitant use of opioids with benzodiazepines or other central nervous system (CNS) depressants, including alcohol, may result in profound sedation, respiratory depression, coma, and death [see Warnings and Precautions (5.7), Drug Interactions (7)].

• Reserve concomitant prescribing of Oxycodone Hydrochloride Oral Solution and benzodiazepines or other CNS depressants for use in patients for whom alternative treatment options are inadequate.

• Limit dosages and durations to the minimum required.

• Follow patients for signs and symptoms of respiratory depression and sedation.


Structured Label Content

Section 43683-2 (43683-2)

Dosage and Administration (2.3,2.4)                                       10/2019

Warnings and Precautions (5.4, 5.14)                                      10/2019

9.2 Abuse

Oxycodone Hydrochloride Oral Solution contains oxycodone, a substance with a high potential for abuse similar to other opioids including fentanyl, hydrocodone, hydromorphone, methadone, morphine, oxymorphone, and tapentadol. Oxycodone Hydrochloride Oral Solution can be abused and is subject to misuse, addiction, and criminal diversion [see Warnings and Precautions (5.2)].

All patients treated with opioids require careful monitoring for signs of abuse and addiction, because use of opioid analgesic products carries the risk of addiction even under appropriate medical use.

Prescription drug abuse is the intentional non-therapeutic use of a prescription drug, even once, for its rewarding psychological or physiological effects.

Drug addiction is a cluster of behavioral, cognitive, and physiological phenomena that develop after repeated substance use and includes: a strong desire to take the drug, difficulties in controlling its use, persisting in its use despite harmful consequences, a higher priority given to drug use than to other activities and obligations, increased tolerance, and sometimes a physical withdrawal.

"Drug-seeking" behavior is very common in persons with substance use disorders. Drug-seeking tactics include emergency calls or visits near the end of office hours, refusal to undergo appropriate examination, testing, or referral, repeated “loss” of prescriptions, tampering with prescriptions, and reluctance to provide prior medical records or contact information for other treating health care provider(s). “Doctor shopping” (visiting multiple prescribers to obtain additional prescriptions) is common among drug abusers and people suffering from untreated addiction. Preoccupation with achieving adequate pain relief can be appropriate behavior in a patient with poor pain control.

Abuse and addiction are separate and distinct from physical dependence and tolerance. Health care providers should be aware that addiction may not be accompanied by concurrent tolerance and symptoms of physical dependence in all addicts. In addition, abuse of opioids can occur in the absence of true addiction.

Oxycodone Hydrochloride Oral Solution, like other opioids, can be diverted for non-medical use into illicit channels of distribution. Careful record-keeping of prescribing information, including quantity, frequency, and renewal requests, as required by state and federal law, is strongly advised.

Proper assessment of the patient, proper prescribing practices, periodic re-evaluation of therapy, and proper dispensing and storage are appropriate measures that help to limit abuse of opioid drugs.



Risks Specific to Abuse of Oxycodone Hydrochloride Oral Solution


Oxycodone Hydrochloride Oral Solution is for oral use only. Abuse of oxycodone poses a risk of overdose and death. The risk is increased with concurrent abuse of alcohol and other central nervous system depressants. Parenteral drug abuse is commonly associated with transmission of infectious diseases such as hepatitis and HIV.

10 Overdosage (10 OVERDOSAGE)

Clinical Presentation

Acute overdose with Oxycodone Hydrochloride Oral Solution can be manifested by respiratory depression, somnolence progressing to stupor or coma, skeletal muscle flaccidity, cold and clammy skin, constricted pupils, and, in some cases, pulmonary edema, bradycardia, hypotension, partial or complete airway obstruction, atypical snoring, and death. Marked mydriasis rather than miosis may be seen with hypoxia in overdose situations [see Clinical Pharmacology (12.2)].

Treatment of Overdose

In case of overdose, priorities are the reestablishment of a patent and protected airway and institution of assisted or controlled ventilation, if needed. Employ other supportive measures (including oxygen and vasopressors) in the management of circulatory shock and pulmonary edema as indicated. Cardiac arrest or arrhythmias will require advanced life-support techniques.

The opioid antagonists, naloxone or nalmefene, are specific antidotes to respiratory depression resulting from opioid overdose. For clinically significant respiratory or circulatory depression secondary to oxycodone overdose, administer an opioid antagonist. Opioid antagonists should not be administered in the absence of clinically significant respiratory or circulatory depression secondary to oxycodone overdose.

Because the duration of opioid reversal is expected to be less than the duration of action of oxycodone in Oxycodone Hydrochloride Oral Solution, carefully monitor the patient until spontaneous respiration is reliably re-established. If the response to an opioid antagonist is suboptimal or only brief in nature, administer additional antagonist as directed by the product’s prescribing information.

In an individual physically dependent on opioids, administration of the recommended usual dosage of the antagonist will precipitate an acute withdrawal syndrome. The severity of the withdrawal symptoms experienced will depend on the degree of physical dependence and the dose of the antagonist administered. If a decision is made to treat serious respiratory depression in the physically dependent patient, administration of the antagonist should be initiated with care and by titration with smaller than usual doses of the antagonist.



8.1 Pregnancy

Risk Summary

Prolonged use of opioid analgesics during pregnancy may cause neonatal opioid withdrawal syndrome [see Warnings and Precautions (5.5)]. Available data with Oxycodone Hydrochloride Oral Solution are insufficient to inform a drug-associated risk for major birth defects and miscarriage.

Animal reproduction studies with oral administrations of oxycodone hydrochloride in rats and rabbits during the period of organogenesis at doses 2.6 and 8.1 times, respectively, the human dose of 60 mg/day did not reveal evidence of teratogenicity or embryo-fetal toxicity. In several published studies, treatment of pregnant rats with oxycodone at clinically relevant doses and below, resulted in neurobehavioral effects in offspring [see Data]. Based on animal data, advise pregnant women of the potential risk to a fetus.

The background risk of major birth defects and miscarriage for the indicated population is unknown. All pregnancies have a background risk of birth defect, loss, or other adverse outcomes. In the U.S. general population, the estimated background risk of major birth defects and miscarriage in clinically recognized pregnancies is 2-4% and 15-20%, respectively.

Clinical Considerations



Fetal/Neonatal Adverse Reactions

Prolonged use of opioid analgesics during pregnancy for medical or nonmedical purposes can result in physical dependence in the neonate and neonatal opioid withdrawal syndrome shortly after birth.

Neonatal opioid withdrawal syndrome presents as irritability, hyperactivity and abnormal sleep pattern, high pitched cry, tremor, vomiting, diarrhea, and failure to gain weight. The onset, duration, and severity of neonatal opioid withdrawal syndrome vary based on the specific opioid used, duration of use, timing and amount of last maternal use, and rate of elimination of the drug by the newborn. Observe newborns for symptoms of neonatal opioid withdrawal syndrome and manage accordingly [see Warnings and Precautions (5.5)].

Labor or Delivery

Opioids cross the placenta and may produce respiratory depression and psycho-physiologic effects in neonates. An opioid antagonist, such as naloxone, must be available for reversal of opioid-induced respiratory depression in the neonate. Oxycodone Hydrochloride Oral Solution is not recommended for use in pregnant women during or immediately prior to labor, when other analgesic techniques are more appropriate. Opioid analgesics, including Oxycodone Hydrochloride Oral Solution, can prolong labor through actions which temporarily reduce the strength, duration, and frequency of uterine contractions. However, this effect is not consistent and may be offset by an increased rate of cervical dilation, which tends to shorten labor. Monitor neonates exposed to opioid analgesics during labor for signs of excess sedation and respiratory depression.

Data

Animal Data

In embryo-fetal development studies in rats and rabbits, pregnant animals received oral doses of oxycodone hydrochloride administered during the period of organogenesis up to 16 mg/kg/day and up 25 mg/kg/day, respectively. These studies revealed no evidence of teratogenicity or embryo-fetal toxicity due to oxycodone. The highest doses tested in rats and rabbits were equivalent to approximately 2.6 and 8.1 times an adult human dose of 60 mg/day, respectively, on a mg/m2 basis. In published studies, offspring of pregnant rats administered oxycodone during gestation have been reported to exhibit neurobehavioral effects including altered stress responses, increased anxiety-like behavior (2 mg/kg/day IV from Gestation

Day 8 to 21 and Postnatal Day 1, 3, and 5; 0.3-times an adult human dose of 60 mg/day, on a mg/m2 basis) and altered learning and memory (15 mg/kg/day orally from breeding through parturition; 2.4 times an adult human dose of 60 mg/day, on a mg/m2 basis).

8.2 Lactation

Risk Summary

Oxycodone is present in breast milk. Published lactation studies report variable concentrations of oxycodone in breast milk with administration of immediate-release oxycodone to nursing mothers in the early postpartum period. The lactation studies did not assess breastfed infants for potential adverse reactions. Lactation studies have not been conducted with Oxycodone Hydrochloride Oral Solution, and no information is available on the effects of the drug on the breastfed infant or the effects of the drug on milk production.

The developmental and health benefits of breastfeeding should be considered along with the mother’s clinical need for Oxycodone Hydrochloride Oral Solution and any potential adverse effects on the breastfed infant from Oxycodone Hydrochloride Oral Solution or from the underlying maternal condition.



Clinical Considerations


Monitor infants exposed to Oxycodone Hydrochloride Oral Solution through breast milk for excess sedation and respiratory depression. Withdrawal symptoms can occur in breastfed infants when maternal administration of an opioid analgesic is stopped, or when breast-feeding is stopped.



11 Description (11 DESCRIPTION)

Oxycodone Hydrochloride Oral Solution is an agonist, available as a red solution 5 mg/5 mL (1 mg/mL) and a yellow solution 100 mg/5 mL (20 mg/mL) for oral administration. The chemical name is (5R, 9R, 13S, 14S)-4, 5α-epoxy-14-hydroxy-3-methoxy-17-methylmorphinan-6-one hydrochloride. The molecular weight is 351.82. Its molecular formula is C18H21NO4.HCl, and it has the following chemical structure.

Oxycodone hydrochloride is a white, odorless crystalline powder derived from the opium alkaloid, thebaine. It is soluble in water and slightly soluble in alcohol.

The inactive ingredients in Oxycodone Hydrochloride Oral Solution, 5 mg per 5 mL (1mg/mL) include: Sodium Saccharin, Sorbitol, Sodium Benzoate, Citric Acid Anhydrous, Sodium Citrate Dihydrate, Purified Water, FD&C Red No. 40. Natural and artificial berry flavor contains: Natural flavors, propylene glycols and Water.

The inactive ingredients in Oxycodone Hydrochloride Oral Solution 100 mg per 5 mL (20 mg/ mL): include: Citric Acid Anhydrous, D&C Yellow No. 10, Purified Water, Sodium Citrate Dihydrate, Sodium Benzoate, Sodium Saccharin, and Sorbitol.Natural and artificial berry flavor contains: Natural flavors, propylene glycols and Water.

9.3 Dependence

Both tolerance and physical dependence can develop during chronic opioid therapy. Tolerance is the need for increasing doses of opioids to maintain a defined effect such as analgesia (in the absence of disease progression or other external factors). Tolerance may occur to both the desired and undesired effects of drugs, and may develop at different rates for different effects.



Physical dependence is a physiological state in which the body adapts to the drug after a period of regular exposure, resulting in withdrawal symptoms after abrupt discontinuation or a significant dosage reduction of a drug. Withdrawal also may be precipitated through the administration of drugs with opioid antagonist activity (e.g., naloxone, nalmefene), mixed agonist/antagonist analgesics (e.g., pentazocine, butorphanol, nalbuphine), or partial agonists (e.g., buprenorphine). Physical dependence may not occur to a clinically significant degree until after several days to weeks of continued opioid usage.



Do not abruptly discontinue Oxycodone Hydrochloride Oral Solution in a patient physically dependent on opioids. Rapid tapering of Oxycodone Hydrochloride Oral Solution in a patient physically dependent on opioids may lead to serious withdrawal symptoms, uncontrolled pain, and suicide.  Rapid discontinuation has also been associated with attempts to find other sources of opioid analgesics, which may be confused with drug-seeking for abuse.

When discontinuing Oxycodone Hydrochloride Oral Solution, gradually taper the dosage using a patient-specific plan that considers the following:  the dose of Oxycodone Hydrochloride Oral Solution the patient has been taking, the duration of treatment, and the physical and psychological attributes of the patient.  To improve the likelihood of a successful taper and minimize withdrawal symptoms, it is important that the opioid tapering schedule is agreed upon by the patient.  In patients taking opioids for a long duration at high doses, ensure that a multimodal approach to pain management, including mental health support (if needed), is in place prior to initiating an opioid analgesic taper [see Dosage and Administration (2.4), Warnings and Precautions (5.14) ].



Infants born to mothers physically dependent on opioids will also be physically dependent and may exhibit respiratory difficulties and withdrawal signs [see Use in Specific Populations (8.1) ].

5.14 Withdrawal


Do not abruptly discontinue Oxycodone Hydrochloride Oral Solution in a patient physically dependent on opioids.  When discontinuing Oxycodone Hydrochloride Oral Solution in a physically-dependent patient, gradually taper the dosage. Rapid tapering of oxycodone in a patient physically dependent on opioids may lead to a withdrawal syndrome and return of pain [see Dosage and Administration (2.4), Drug Abuse and Dependence (9.3)].





Additionally, avoid the use of mixed agonist/antagonist (e.g., pentazocine, nalbuphine, and butorphanol) analgesics in patients who are receiving full opioid agonist analgesic, including Oxycodone Hydrochloride Oral Solution. In these patients, mixed agonist/antagonist and partial agonist analgesics may reduce the analgesic effect and/or precipitate withdrawal symptoms [see Drug Interactions (7)].





Medication Guide (MEDICATION GUIDE)

Oxycodone Hydrochloride (ox'' i koe' done hye'' droe klor' ide) Oral Solution, USP CII

Dispense with Medication Guide available at www.aurobindousa.com/product-medication-guides

Oxycodone Hydrochloride Oral Solution is:

· A strong prescription pain medicine that contains an opioid (narcotic) that is used to manage pain severe enough to require an opioid pain medicine, when other pain treatments such as non-opioid pain medicines do not treat your pain well enough or you cannot tolerate them.

· An opioid pain medicine that can put you at risk for overdose and death. Even if you take your dose correctly as prescribed you are at risk for opioid addiction, abuse, and misuse that can lead to death.

Important information about Oxycodone Hydrochloride Oral Solution:

· Get emergency help right away if you take too much Oxycodone Hydrochloride Oral Solution (overdose). When you first start taking Oxycodone Hydrochloride Oral Solution, when your dose is changed, or if you take too much (overdose), serious or life-threatening breathing problems that can lead to death may occur.

· Taking Oxycodone Hydrochloride Oral Solution with other opioid medicines, benzodiazepines, alcohol, or other central nervous system depressants (including street drugs) can cause severe drowsiness, decreased awareness, breathing problems, coma, and death.

• Never give anyone else your Oxycodone Hydrochloride Oral Solution. They could die from taking it. Selling or giving away Oxycodone Hydrochloride Oral Solution is against the law.

• Store Oxycodone Hydrochloride Oral Solution securely, out of sight and reach of children, and in a location not accessible by others, including visitors to the home.

Do not take Oxycodone Hydrochloride Oral Solution if you have:

· Severe asthma, trouble breathing, or other lung problems.

· A bowel blockage or have narrowing of the stomach or intestines.

· An allergy to oxycodone or any of the ingredients in Oxycodone Hydrochloride Oral Solution.

Before taking Oxycodone Hydrochloride Oral Solution, tell your healthcare provider if you have a history of:

· head injury, seizures ● liver, kidney, thyroid problems

· problems urinating ● pancreas or gallbladder problems

· Abuse of street or prescription drugs, alcohol addiction, or mental health problems.

Tell your healthcare provider if you are:

· Pregnant or planning to become pregnant. Prolonged use of Oxycodone Hydrochloride Oral Solution during pregnancy can cause withdrawal symptoms in your newborn baby that could be life-threatening if not recognized and treated.

· Breastfeeding. Oxycodone Hydrochloride Oral Solution passes into breast milk and may harm your baby. Carefully observe infants for increased sleepiness (more than usual), breathing difficulties, or limpness. Seek immediate medical care if you notice these signs.

· Taking prescription or over-the-counter medicines, vitamins, or herbal supplements. Taking Oxycodone Hydrochloride Oral Solution with certain other medicines can cause serious side effects that could lead to death.

When taking Oxycodone Hydrochloride Oral Solution:

· Do not change your dose. Take Oxycodone Hydrochloride Oral Solution exactly as prescribed by your healthcare provider. Use the lowest dose possible for the shortest time needed.

· See the detailed Instructions for Use for information about how to take Oxycodone Hydrochloride Oral Solution 100 mg per 5 mL (20 mg per mL).

· Always use the enclosed calibrated measuring cup that comes with Oxycodone Hydrochloride Oral Solution 5 mg per 5 mL and the enclosed calibrated oral syringe that comes with Oxycodone Hydrochloride Oral Solution 100 mg per 5 mL (20 mg per mL) to correctly measure your dose. Never use a household teaspoon or tablespoon to measure Oxycodone Hydrochloride Oral Solution.

· Take your prescribed dose every 4 to 6 hours as needed for pain. Do not take more than your prescribed dose. If you miss a dose, take your next dose at your usual time.

· Call your healthcare provider if the dose you are taking does not control your pain.

· If you have been taking Oxycodone Hydrochloride Oral Solution regularly, do not stop taking Oxycodone Hydrochloride Oral Solution without talking to your healthcare provider.

· Dispose of expired, unwanted, or unused Oxycodone Hydrochloride Oral Solution by promptly flushing down the toilet, if a drug take-back option is not readily available. Visit www.fda.gov/drugdisposal for additional information on disposal of unused medicines

While taking Oxycodone Hydrochloride Oral Solution DO NOT:

· Drive or operate heavy machinery, until you know how Oxycodone Hydrochloride Oral Solution affects you. Oxycodone Hydrochloride Oral Solution can make you sleepy, dizzy, or lightheaded.

· Drink alcohol or use prescription or over-the-counter medicines that contain alcohol. Using products containing alcohol during treatment with Oxycodone Hydrochloride Oral Solution may cause you to overdose and die.

The possible side effects of Oxycodone Hydrochloride Oral Solution:

• Constipation, nausea, sleepiness, vomiting, tiredness, headache, dizziness, abdominal pain. Call your healthcare provider if you have any of these symptoms and they are severe.

Get emergency medical help if you have:

• trouble breathing, shortness of breath, fast heartbeat, chest pain, swelling of your face, tongue, or throat, extreme drowsiness, light-headedness when changing positions, feeling faint, agitation, high body temperature, trouble walking, stiff muscles, or mental changes such as confusion.

• These are not all the possible side effects of Oxycodone Hydrochloride Oral Solution. Call your doctor for medical advice about side effects. You may report side effects to FDA at 1-800-FDA-1088. For more information go to dailymed.nlm.nih.gov

Patient Instructions for Use

Oxycodone Hydrochloride Oral Solution, USP 100 mg per 5 mL (20 mg per mL) Oral Syringe

Important information about measuring Oxycodone Hydrochloride Oral Solution, USP

· Always use the oral syringe provided with your Oxycodone Hydrochloride Oral Solution, USP to make sure you measure the right amount.

· Measure the dose of medicine from the widest part of the plunger. Do not measure from the narrow tip. See Figure 1.

Step 1. Insert the tip of the oral syringe into the medicine bottle.

Step 2. Pull back the plunger to the line that matches the dose prescribed by your healthcare provider.

Step 3. Remove the oral syringe from the medicine bottle.

Step 4. Take your medicine by slowly pushing the plunger until the oral syringe is empty.

Figure 1

Distributed by:

Aur obindo Pharma USA, Inc.

279 Princeton-Hightstown Road

East Windsor, NJ 08520

Revised: 12/2023

This Medication Guide has been approved by the U.S. Food and Drug Administration.

8.4 Pediatric Use

The safety and effectiveness and the pharmacokinetics of Oxycodone Hydrochloride Oral Solution in pediatric patients below the age of 18 have not been established.

8.5 Geriatric Use


Elderly patients (aged 65 years or older) may have increased sensitivity to oxycodone. In general, use caution when selecting a dose for an elderly patient, usually starting at the low end of the dosing range, reflecting the greater frequency of decreased hepatic, renal, or cardiac function and of concomitant disease or other drug therapy.



Respiratory depression is the chief risk for elderly patients treated with opioids, and has occurred after large initial doses were administered to patients who were not opioid-tolerant or when opioids were co-administered with other agents that depress respiration. Titrate the dosage of Oxycodone Hydrochloride Oral Solution slowly in geriatric patients and monitor closely for signs of central nervous system and respiratory depression [see Warnings and Precautions (5.8)].



Oxycodone is known to be substantially excreted by the kidney, and the risk of adverse reactions to this drug may be greater in patients with impaired renal function. Because elderly patients are more likely to have decreased renal function, care should be taken in dose selection, and it may be useful to regularly evaluate renal function.





2.2 Initial Dosage

Although it is not possible to list every condition that is important to the selection of the initial dose of Oxycodone Hydrochloride Oral Solution, attention must be given to:

1. the daily dose, potency and characteristics of a full agonist or mixed agonist  /antagonist the patient has been taking previously

2. the reliability of the relative potency estimate to calculate the dose of oxycodone HCl needed

3. the degree of opioid tolerance

4. the general condition and medical status of the patient, including the patient’s weight and age

5. the balance between pain management and adverse reactions

6. the type and severity of the patient’s pain

7. risk factors for abuse or addiction, including a prior history of abuse or addiction

Use of Oxycodone Hydrochloride Oral Solution as the First Opioid Analgesic

Do not initiate treatment with Oxycodone Hydrochloride Oral Solution 100 mg per 5 mL (20 mg per mL) in patients who are opioid naïve. Select an alternate product with lower concentration.

Initiate treatment with Oxycodone Hydrochloride Oral Solution in a dosing range of 5 to 15 mg every 4 to 6 hours as needed for pain. Titrate the dose based upon the individual patient’s response to their initial dose of Oxycodone Hydrochloride Oral Solution. Patients with chronic pain should have their dosage given on an around-the-clock basis to prevent the reoccurrence of pain rather than treating the pain after it has occurred. This dose can then be adjusted to an acceptable level of analgesia taking into account side effects experienced by the patient.

For control of severe chronic pain, Oxycodone Hydrochloride Oral Solution should be administered on a regularly scheduled basis, every 4 to 6 hours, at the lowest dosage level that will achieve adequate analgesia.



Conversion from Other Opioids to Oxycodone Hydrochloride Oral Solution

There is inter-patient variability in the potency of opioid drugs and opioid formulations. Therefore, a conservative approach is advised when determining the total daily dosage of Oxycodone Hydrochloride Oral Solution. It is safer to underestimate a patient’s 24-hour Oxycodone Hydrochloride Oral Solution dosage than to overestimate the 24-hour Oxycodone Hydrochloride Oral Solution dosage and manage an adverse reaction due to overdose. If a patient has been receiving opioid-containing medications prior to taking Oxycodone Hydrochloride Oral Solution, the potency of the prior opioid relative to oxycodone should be factored into the selection of the total daily dose (TDD) of oxycodone.

In converting patients from other opioids to Oxycodone Hydrochloride Oral Solution close observation and adjustment of dosage based upon the patient’s response to Oxycodone Hydrochloride Oral Solution is imperative. Administration of supplemental analgesia for breakthrough or incident pain and titration of the total daily dose of Oxycodone Hydrochloride Oral Solution may be necessary, especially in patients who have disease states that are changing rapidly.

Conversion from Oxycodone Hydrochloride Oral Solution to Extended-Release Oxycodone Hydrochloride

The relative bioavailability of Oxycodone Hydrochloride Oral Solution compared to extended-release oxycodone is unknown, so conversion to extended-release tablets must be accompanied by close observation for signs of excessive sedation and respiratory depression.





4 Contraindications (4 CONTRAINDICATIONS)

Oxycodone Hydrochloride Oral Solution is contraindicated in patients with:

• Significant respiratory depression [see Warnings and Precautions (5.4)]

• Acute or severe bronchial asthma in an unmonitored setting or in the absence of resuscitative equipment [see Warnings and Precautions (5.8)]

• Known or suspected gastrointestinal obstruction, including paralytic ileus [see Warnings and Precautions (5.12)]

• Hypersensitivity to oxycodone (e.g., angioedema) [see Adverse Reactions (6)]





6 Adverse Reactions (6 ADVERSE REACTIONS)

The following serious adverse reactions are described, or described in greater detail, in other sections:

• Addiction, Abuse, and Misuse [see Warnings and Precautions (5.2)]

• Life-Threatening Respiratory Depression [see Warnings and Precautions (5.4)]

• Neonatal Opioid Withdrawal Syndrome [see Warnings and Precautions (5.5)]

• Interactions with Benzodiazepines or Other CNS Depressants [see Warnings and Precautions (5.7)]

• Adrenal Insufficiency [see Warnings and Precautions (5.9)]

• Severe Hypotension [see Warnings and Precautions (5.10)]

• Gastrointestinal Adverse Reactions [see Warnings and Precautions (5.12)]

• Seizures [see Warnings and Precautions (5.13)]

• Withdrawal [see Warnings and Precautions (5.14)]





The following adverse reactions associated with the use of oxycodone were identified in clinical studies or post marketing reports. Because some of these reactions were reported voluntarily from a population of uncertain size, it is not always possible to reliably estimate their frequency or establish a causal relationship to drug exposure.

Serious adverse reactions associated with oxycodone use included: respiratory depression, respiratory arrest, circulatory depression, cardiac arrest, hypotension, and/or shock.

The common adverse reactions seen on initiation of therapy with oxycodone are dose-related and are typical opioid-related adverse reactions. The most frequent adverse events include nausea, constipation, vomiting, headache, and pruritus. The frequency of these reactions depended on several factors, including clinical setting, the patient’s level of opioid tolerance, and host factors specific to the individual.

In all patients for whom dosing information was available (n=191) from the open-label and double-blind studies involving another formulation of immediate-release oxycodone, the following adverse events were recorded in oxycodone treated patients with an incidence ≥ 3%. In descending order of frequency, they were: nausea, constipation, vomiting, headache, pruritus, insomnia, dizziness, asthenia, and somnolence.

The other less frequently observed adverse reactions from opioid analgesics, including Oxycodone Hydrochloride Oral Solution included:

Body as a Whole: abdominal pain, accidental injury, allergic reaction, back pain, chills and fever, fever, flu syndrome, infection, neck pain, pain, photosensitivity reaction, and sepsis.

Cardiovascular: deep thrombophlebitis, heart failure, hemorrhage, hypotension, migraine, palpitation, and tachycardia.

Digestive: anorexia, diarrhea, dyspepsia, dysphagia, gingivitis, glossitis, and nausea and vomiting.

Hemic and Lymphatic: anemia and leukopenia.

Metabolic and Nutritional: edema, gout, hyperglycemia, iron deficiency anemia and peripheral edema.

Musculoskeletal: arthralgia, arthritis, bone pain, myalgia and pathological fracture.

Nervous: agitation, anxiety, confusion, dry mouth, hypertonia, hypesthesia, nervousness, neuralgia, personality disorder, tremor, and vasodilation.

Respiratory: bronchitis, cough increased, dyspnea, epistaxis, laryngismus, lung disorder, pharyngitis, rhinitis, and sinusitis.

Skin and Appendages: herpes simplex, rash, sweating, and urticaria.

Special Senses: amblyopia.

Urogenital: urinary tract infection

Serotonin syndrome: Cases of serotonin syndrome, a potentially life-threatening condition, have been reported during concomitant use of opioids with serotonergic drugs.

Adrenal insufficiency: Cases of adrenal insufficiency have been reported with opioid use, more often following greater than one month of use.

Anaphylaxis: Anaphylaxis has been reported with ingredients contained in Oxycodone Hydrochloride Oral Solution.

Androgen deficiency: Cases of androgen deficiency have occurred with chronic use of opioids [see Clinical Pharmacology (12.2)].

7 Drug Interactions (7 DRUG INTERACTIONS)

Table 1 includes clinically significant drug interactions with Oxycodone Hydrochloride Oral Solution.

Table 1: Clinically Significant Drug Interactions with Oxycodone Hydrochloride Oral Solution



Inhibitors of CYP3A4 and CYP2D6

Clinical Impact:







The concomitant use of Oxycodone Hydrochloride Oral Solution and CYP3A4 inhibitors can increase the plasma concentration of oxycodone, resulting in increased or prolonged opioid effects.

These effects could be more pronounced with concomitant use of

Oxycodone Hydrochloride Oral Solution and CYP2D6 and CYP3A4 inhibitors, particularly when an inhibitor is added after a stable dose of Oxycodone Hydrochloride Oral Solution is achieved [see Warnings and Precautions (5.6)].

After stopping a CYP3A4 inhibitor, as the effects of the inhibitor decline, the oxycodone plasma concentration will decrease [see Clinical Pharmacology (12.3) ], resulting in decreased opioid efficacy or a withdrawal syndrome in patients who had developed physical dependence to oxycodone.

Intervention:









If concomitant use is necessary, consider dosage reduction of Oxycodone Hydrochloride Oral Solution until stable drug effects are achieved.

Monitor patients for respiratory depression and sedation at frequent intervals.

If a CYP3A4 inhibitor is discontinued, consider increasing the Oxycodone Hydrochloride Oral Solution dosage until stable drug effects are achieved. Monitor for signs of opioid withdrawal.

Example

Macrolide antibiotics (e.g., erythromycin), azole-antifungal agents  (e.g. ketoconazole), protease inhibitors (e.g., ritonavir)

CYP3A4 Inducers

Clinical Impact:

The concomitant use of Oxycodone Hydrochloride Oral Solution and CYP3A4 inducers can decrease the plasma concentration of oxycodone [see Clinical Pharmacology (12.3) ], resulting in decreased efficacy or onset of a withdrawal syndrome in patients who have developed physical dependence to oxycodone [see Warnings and Precautions (5.6) ].



After stopping a CYP3A4 inducer, as the effects of the inducer decline, the oxycodone plasma concentration will increase [see Clinical Pharmacology (12.3) ], which could increase or prolong both the therapeutic effects and adverse reactions, and may cause serious respiratory depression.

Intervention:

If concomitant use is necessary, consider increasing the Oxycodone Hydrochloride Oral Solution dosage until stable drug effects are achieved.

Monitor for signs of opioid withdrawal. If a CYP3A4 inducer is discontinued, consider Oxycodone Hydrochloride Oral Solution dosage reduction and monitor for signs of respiratory depression.

Examples

Rifampin, carbamazepine, phenytoin

Benzodiazepines and other Central Nervous System (CNS) Depressants

Clinical Impact:

Due to additive pharmacologic effect, the concomitant use of benzodiazepines or other CNS depressants including alcohol, increases the risk of respiratory depression, profound sedation, coma, and death.

Intervention:

Reserve concomitant prescribing of these drugs for use in patients for whom alternative treatment options are inadequate. Limit dosages and durations to the minimum required. Follow patients closely for signs of respiratory depression and sedation [see Warnings and Precautions (5.7) ].

Examples

Benzodiazepines and other sedatives/hypnotics, anxiolytics, tranquilizers, muscle relaxants, general anesthetics, antipsychotics, other opioids, alcohol.

Serotonergic Drugs

Clinical Impact:

The concomitant use of opioids with other drugs that affect the serotonergic neurotransmitter system has resulted in serotonin syndrome.

Intervention:

If concomitant use is warranted, carefully observe the patient, particularly during treatment initiation and dose adjustment. Discontinue Oxycodone Hydrochloride Oral Solution if serotonin syndrome is suspected.

Examples:

Selective serotonin reuptake inhibitors (SSRIs), serotonin and norepinephrine reuptake inhibitors (SNRIs), tricyclic antidepressants (TCAs), triptans, 5-HT3 receptor antagonists, drugs that affect the serotonin neurotransmitter system (e.g., mirtazapine, trazodone, tramadol), certain muscle relaxants (i.e., cyclobenzaprine, metaxalone) monoamine oxidase (MAO) inhibitors (those intended to treat psychiatric disorders and also others, such as linezolid and intravenous methylene blue).

Monoamine Oxidase Inhibitors (MAOIs)

Clinical

Impact:


MAOI interactions with opioids may manifest as serotonin syndrome or opioid toxicity (e.g., respiratory depression, coma) [see Warnings and Precautions (5.4) ].

Intervention:

The use of Oxycodone Hydrochloride Oral Solution is not recommended for patients taking MAOIs or within 14 days of stopping such treatment.

If urgent use of an opioid is necessary, use test doses and frequent titration of small doses to treat pain while closely monitoring blood pressure and signs and symptoms of CNS and respiratory depression.

Examples:

phenelzine, tranylcypromine, linezolid

Mixed Agonist/Antagonist and Partial Agonist Opioid Analgesics

Clinical Impact:

May reduce the analgesic effect of Oxycodone Hydrochloride Oral Solution and/or precipitate withdrawal symptoms.

Intervention:

Avoid concomitant use.

Examples:

butorphanol, nalbuphine, pentazocine, buprenorphine

Muscle Relaxants

Clinical Impact:

Oxycodone may enhance the neuromuscular blocking action of skeletal muscle relaxants and produce an increased degree of respiratory depression.

Intervention:

Monitor patients for signs of respiratory depression that may be greater than otherwise expected and decrease the dosage of Oxycodone Hydrochloride Oral Solution and/or the muscle relaxant as necessary.

Diuretics

Clinical Impact:

Opioids can reduce the efficacy of diuretics by inducing the release of antidiuretic hormone.

Intervention:

Monitor patients for signs of diminished diuresis and/or effects on blood pressure and increase the dosage of the diuretic as needed.

Anticholinergic Drugs

Clinical Impact:

The concomitant use of anticholinergic drugs may increase risk of urinary retention and/or severe constipation, which may lead to paralytic ileus.

Intervention:

Monitor patients for signs of urinary retention or reduced gastric motility when Oxycodone Hydrochloride Oral Solution is used concomitantly with anticholinergic drugs.

8.7 Renal Impairment

Information from oxycodone tablets indicate that patients with renal impairment had higher plasma concentrations of oxycodone than subjects with normal renal function. Initiate therapy with a lower than usual dosage of Oxycodone Hydrochloride Oral Solution and titrate carefully. Monitor closely for adverse events such as respiratory depression, sedation, and hypotension [see Clinical Pharmacology (12.3)].

12.2 Pharmacodynamics

Effects of the Central Nervous System (CNS)

Oxycodone produces respiratory depression by direct action on brain stem respiratory centers. The respiratory depression involves a reduction in the responsiveness of the brain stem respiratory centers to both increases in carbon dioxide tension and electrical stimulation.

Oxycodone causes miosis, even in total darkness. Pinpoint pupils are a sign of opioid overdose but are not pathognomonic (e.g., pontine lesions of hemorrhagic or ischemic origins may produce similar findings). Marked mydriasis rather than miosis may be seen due to hypoxia in overdose situations.



Effects on the Gastrointestinal Tract and Other Smooth Muscle


Oxycodone causes a reduction in motility associated with an increase in smooth muscle tone in the antrum of the stomach and duodenum. Digestion of food in the small intestine is delayed and propulsive contractions are decreased. Propulsive peristaltic waves in the colon are decreased, while tone may be increased to the point of spasm resulting in constipation. Other opioid-induced effects may include a reduction in biliary and pancreatic secretions, spasm of sphincter of Oddi, and transient elevations in serum amylase.



Effects on the Cardiovascular System


Oxycodone produces peripheral vasodilation which may result in orthostatic hypotension or syncope. Manifestations of histamine release and/or peripheral vasodilation may include pruritus, flushing, red eyes and sweating and/or orthostatic hypotension.



Effects on the Endocrine System


Opioids inhibit the secretion of adrenocorticotropic hormone (ACTH, cortisol), and luteinizing hormone (LH) in humans [see Adverse Reactions (6)]. They also stimulate prolactin, growth hormone (GH) secretion, and pancreatic secretion of insulin and glucagon.

Chronic use of opioids may influence the hypothalamic-pituitary-gonadal axis, leading to androgen deficiency that may manifest as low libido, impotence, erectile dysfunction, amenorrhea, or infertility. The causal role of opioids in the clinical syndrome of hypogonadism is unknown because the various medical, physical, lifestyle, and psychological stressors that may influence gonadal hormone levels have not been adequately controlled for in studies conducted to date [see Adverse Reactions (6)].



Effects on the Immune System


Opioids have been shown to have a variety of effects on components of the immune system in in vitro and animal models. The clinical significance of these findings is unknown. Overall, the effects of opioids appear to be modestly immunosuppressive.



Concentration–Efficacy Relationships


The minimum effective analgesic concentration will vary widely among patients, especially among patients who have been previously treated with potent opioid agonists The minimum effective analgesic concentration of oxycodone for any individual patient may increase over time due to an increase in pain, the development of a new pain syndrome and/or the development of analgesic tolerance [see Dosage and Administration (2.1, 2.2)].



Concentration–Adverse Reaction Relationships


There is a relationship between increasing oxycodone plasma concentration and increasing frequency of dose-related opioid adverse reactions such as nausea, vomiting, CNS effects, and respiratory depression. In opioid-tolerant patients, the situation may be altered by the development of tolerance to opioid-related adverse reactions [see Dosage and Administration (2.1, 2.2, 2.3)].

12.3 Pharmacokinetics

The activity of oxycodone hydrochloride is primarily due to the parent drug oxycodone.

Absorption

About 60 to 87% of an oral dose reaches the systemic circulation in comparison to a parenteral dose. This high oral bioavailability (compared to other opioids) is due to lower pre-systemic and/or first-pass metabolism of oxycodone.



Food Effect


When oxycodone capsules are administered with a high-fat meal, mean AUC values are increased by 23% and peak concentrations are decreased by 14%. Food causes a delay in Tmax (1.00 to 3 hours). Similar effects of food are expected with the oral solution.



Distribution


Following intravenous administration, the volume of distribution (Vss) for oxycodone was 2.6 L/kg. Plasma protein binding of oxycodone at 37°C and a pH of 7.4 was about 45%. Oxycodone has been found in breast milk.



Elimination




Metabolism


Oxycodone hydrochloride is extensively metabolized by multiple metabolic pathways to noroxycodone, oxymorphone, and noroxymorphone, which are subsequently glucuronidated. CYP3A4 mediated N-demethylation to noroxycodone is the primary metabolic pathway of oxycodone with a less contribution from CYP2D6 mediated O-demethylation to oxymorphone. Therefore, the formation of these and related metabolites can, in theory, be affected by other drugs. The major circulating metabolite is noroxycodone with an AUC ratio of 0.6 relative to that of oxycodone. Noroxycodone is reported to be a considerably weaker analgesic than oxycodone. Oxymorphone, although possessing analgesic activity, is present in the plasma only in low concentrations. The correlation between oxymorphone concentrations and opioid effects was much less than that seen with oxycodone plasma concentrations. The analgesic activity profile of other metabolites is not known.



Excretion


Oxycodone and its metabolites are excreted primarily via the kidney. The amounts measured in the urine have been reported as follows: free oxycodone up to 19%; conjugated oxycodone up to 50%; free oxymorphone 0%; conjugated oxymorphone < 14%; both free and conjugated noroxycodone have been found in the urine but not quantified. The total plasma clearance was 0.8 L/min for adults.

Apparent elimination half-life of oxycodone following the administration of oxycodone is approximately 4 hours.



Specific Populations


Age: Geriatric Population:

Information obtained from oxycodone tablets indicate that the plasma concentrations of oxycodone did not appear to be increased in patients over of the age of 65.

Hepatic Impairment:

Because oxycodone is extensively metabolized in the liver, its clearance may decrease in hepatic-impaired patients. A dose adjustment is recommended in these patients [see Use in Specific Populations (8.6)].



Renal Impairment:

Because this drug is known to be substantially excreted by the kidney, and the risk of adverse reactions to this drug may be greater in patients with impaired renal function, a dose reduction is recommended for renal impaired patients [see Use in Specific Populations (8.7)].



Drug Interaction Studies



CYP3A4 Inhibitors


CYP3A4 is the major enzyme involved in noroxycodone formation. A published study showed that the co-administration of voriconazole, a CYP3A4 inhibitor, increased oxycodone AUC and Cmax by 3.6 and 1.7 fold, respectively.



CYP3A4 Inducers


A published study showed that the co-administration of rifampin, a drug metabolizing enzyme inducer, decreased oxycodone AUC and Cmax values by 86% and 63%, respectively.



CYP2D6 Inhibitors


Oxycodone is metabolized in part to oxymorphone via the cytochrome P450 isoenzyme CYP2D6. While this pathway may be blocked by a variety of drugs (e.g., certain cardiovascular drugs and antidepressants), such blockade has not yet been shown to be of clinical significance with this agent.

8.6 Hepatic Impairment

Since oxycodone is extensively metabolized in the liver, its clearance may decrease in patients with hepatic impairment. Initiate therapy in these patients with a lower than usual dosage of Oxycodone Hydrochloride Oral Solution and titrate carefully. Monitor closely for adverse events such as respiratory depression, sedation, and hypotension [see Clinical Pharmacology (12.3)].

5.10 Severe Hypotension

Oxycodone Hydrochloride Oral Solution may cause severe hypotension including orthostatic hypotension and syncope in ambulatory patients. There is increased risk in patients whose ability to maintain blood pressure has already been compromised by a reduced blood volume or concurrent administration of certain CNS depressant drugs (e.g. phenothiazines or general anesthetics) [see Drug Interactions (7)]. Monitor these patients for signs of hypotension after initiating or titrating the dosage of Oxycodone Hydrochloride Oral Solution. In patients with circulatory shock, Oxycodone Hydrochloride Oral Solution may cause vasodilation that can further reduce cardiac output and blood pressure. Avoid the use of Oxycodone Hydrochloride Oral Solution in patients with circulatory shock.

1 Indications and Usage (1 INDICATIONS AND USAGE)


Oxycodone Hydrochloride Oral Solution is indicated for the management of pain severe enough to require an opioid analgesic and for which alternative treatments are inadequate.



Oxycodone Hydrochloride Oral Solution 100 mg per 5 mL (20 mg/mL) is indicated for the relief of pain in opioid-tolerant patients.





Limitations of Use

Because of the risks of addiction, abuse, and misuse with opioids, even at recommended doses, [see Warnings and Precautions (5.2)], reserve Oxycodone Hydrochloride Oral Solution for use in patients for whom alternative treatment options [e.g., non-opioid analgesics or opioid combination products]

• Have not been tolerated or are not expected to be tolerated,

• Have not provided adequate analgesia or are not expected to provide adequate analgesia





12.1 Mechanism of Action

Oxycodone is a full opioid agonist and is relatively selective for the mu-opioid receptor, although it can bind to other opioid receptors at higher doses. The principal therapeutic action of oxycodone is analgesia. Like all full opioid agonists, there is no ceiling effect for analgesia with oxycodone. Clinically, dosage is titrated to provide adequate analgesia and may be limited by adverse reactions, including respiratory and CNS depression.

The precise mechanism of the analgesic action is unknown. However, specific CNS opioid receptors for endogenous compounds with opioid-like activity have been identified throughout the brain and spinal cord and are thought to play a role in the analgesic effects of this drug.



9.1 Controlled Substance

Oxycodone Hydrochloride Oral Solution contains oxycodone, a Schedule II controlled substance.

5.9 Adrenal Insufficiency

Cases of adrenal insufficiency have been reported with opioid use, more often following greater than one month of use. Presentation of adrenal insufficiency may include non-specific symptoms and signs including nausea, vomiting, anorexia, fatigue, weakness, dizziness, and low blood pressure.

If adrenal insufficiency is suspected, confirm the diagnosis with diagnostic testing as soon as possible. If adrenal insufficiency is diagnosed, treat with physiologic replacement doses of corticosteroids. Wean the patient off of the opioid to allow adrenal function to recover and continue corticosteroid treatment until adrenal function recovers.

Other opioids may be tried as some cases reported use of a different opioid without recurrence of adrenal insufficiency. The information available does not identify any particular opioids as being more likely to be associated with adrenal insufficiency.

5 Warnings and Precautions (5 WARNINGS AND PRECAUTIONS)

 Life-Threatening Respiratory Depression in Patients with Chronic Pulmonary Disease or in Elderly, Cachectic, or Debilitated Patients:  Monitor closely, particularly during initiation and titration.(5.8)

 Adrenal Insufficiency: If diagnosed, treat with physiologic replacement of corticosteroids, and wean patient off of the opioid. (5.9)

• Severe Hypotension: Monitor during dosage initiation and titration. Avoid use of Oxycodone Hydrochloride Oral Solution in patients with circulatory shock.(5.10)

• Risks of Use in Patients with Increased Intracranial Pressure, Brain Tumors, Head Injury, or Impaired Consciousness: Monitor for sedation and respiratory depression. Avoid use of Oxycodone Hydrochloride Oral Solution in patients with impaired consciousness or coma. (5.11)

2 Dosage and Administration (2 DOSAGE AND ADMINISTRATION)




  • Oxycodone Hydrochloride Oral Solution 100 mg per 5 mL (20 mg/mL) is for opioid-tolerant patients only (2.1) Use the lowest effective dosage for the shortest duration consistent with individual patient treatment goals. (2.1)
  • Individualize dosing based on the severity of pain, patient response, prior analgesic experience, and risk factor for addiction, abuse, and misuse. (2.1)
  • Initiate dosing with a range of 5 to 15 mg every 4 to 6 hours as needed for pain. (2.2)
  • For control of chronic pain, administer Oxycodone Hydrochloride Oral Solution on a regularly scheduled basis, at the lowest dosage level to achieve adequate analgesia. (2.2)
  • Individually titrate Oxycodone Hydrochloride Oral Solution to a dose that provides adequate analgesia and minimizes adverse reactions. (2.3)
  • Do not abruptly discontinue Oxycodone Hydrochloride Oral Solution in a physically dependent patient because rapid discontinuation of Opioid analgesics has resulted in serious withdrawal symptoms, uncontrolled pain, and suicide. (2.4)
3 Dosage Forms and Strengths (3 DOSAGE FORMS AND STRENGTHS)

Oxycodone Hydrochloride Oral Solution, USP

5 mg per 5 mL (1 mg/mL) Strength Oral Solution: Each 5 mL of red Oxycodone Hydrochloride Oral Solution, USP contains oxycodone hydrochloride 5 mg.

100 mg per 5 mL (20 mg per mL) Strength Oral Solution: Each 5 mL of yellow Oxycodone Hydrochloride Oral Solution, USP contains oxycodone hydrochloride 100 mg.

8 Use in Specific Populations (8 USE IN SPECIFIC POPULATIONS)

• Pregnancy: May cause fetal harm. (8.1)

5.2 Addiction, Abuse, and Misuse

Oxycodone Hydrochloride Oral Solution contains oxycodone, a Schedule II controlled substance. As an opioid, Oxycodone Hydrochloride Oral Solution exposes users to the risks of addiction, abuse, and misuse [see Drug Abuse and Dependence (9)].

Although the risk of addiction in any individual is unknown, it can occur in patients appropriately prescribed Oxycodone Hydrochloride Oral Solution. Addiction can occur at recommended dosages and if the drug is misused or abused.



Assess each patient’s risk for opioid addiction, abuse, or misuse prior to prescribing Oxycodone Hydrochloride Oral Solution, and monitor all patients receiving Oxycodone Hydrochloride Oral Solution for the development of these behaviors and conditions. Risks are increased in patients with a personal or family history of substance abuse (including drug or alcohol abuse or addiction) or mental illness (e.g., major depression).



The potential for these risks should not, however, prevent the proper management of pain in any given patient. Patients at increased risk may be prescribed opioids such as Oxycodone Hydrochloride Oral Solution, but use in such patients necessitates intensive counseling about the risks and proper use of Oxycodone Hydrochloride Oral Solution along with intensive monitoring for signs of addiction, abuse, and misuse.



Opioids are sought by drug abusers and people with addiction disorders and are subject to criminal diversion. Consider these risks when prescribing or dispensing Oxycodone Hydrochloride Oral Solution. Strategies to reduce these risks include prescribing the drug in the smallest appropriate quantity and advising the patient on the proper disposal of unused drug [see Patient Counseling Information (17)]. Contact local state professional licensing board or state controlled substances authority for information on how to prevent and detect abuse or diversion of this product.

17 Patient Counseling Information (17 PATIENT COUNSELING INFORMATION)

Advise the patient to read the FDA-approved patient labeling (Medication Guide).



Storage and Disposal:

Because of the risks associated with accidental ingestion, misuse, and abuse, advise patients to store Oxycodone Hydrochloride Oral Solution securely, out of sight and reach of children, and in a location not accessible by others, including visitors to the home.Inform patients that leaving Oxycodone Hydrochloride Oral Solution unsecured can pose a deadly risk to others in the home (see Warnings and Precautions (5.2, 5.14), Drug Abuse and Dependence (9.2)].

Advise patients and caregivers that when medicines are no longer needed, they should be disposed of promptly.  Expired, unwanted, or unused Oxycodone Hydrochloride Oral Solution should be disposed of by flushing the unused medication down the toilet if a drug take-back option is not readily available.  Inform patients that they can visit  www.fda.gov/drugdisposal for a complete list of medicines recommended for disposal by flushing, as well as additional information on disposal of unused medicines.





Medication Errors

Advise patients that Oxycodone Hydrochloride Oral Solution, is available in two concentrations (5 mg/5 mL and 100 mg/5 mL). Inform patients about which concentration they have been prescribed. Instruct patients how to measure and take the correct dose of Oxycodone Hydrochloride Oral Solution and to always use the enclosed calibrated measuring cup when administering Oxycodone Hydrochloride Oral Solution 5 mg per 5 mL (1 mg/mL) and to always use the enclosed calibrated oral syringe when administering Oxycodone Hydrochloride Oral Solution 100 mg per 5 mL (20 mg/mL) to ensure the dose is measured and administered accurately [see Warnings and Precautions (5.1)].

If the prescribed concentration is changed, instruct patients on how to correctly measure the new dose to avoid errors which could result in accidental overdose and death.

Addiction, Abuse, and Misuse

Inform patients that the use of Oxycodone Hydrochloride Oral Solution, even when taken as recommended, can result in addiction, abuse, and misuse, which can lead to overdose and death [see Warnings and Precautions (5.2)]. Instruct patients not to share Oxycodone Hydrochloride Oral Solution with others and to take steps to protect Oxycodone Hydrochloride Oral Solution from theft or misuse.

Life-Threatening Respiratory Depression

Inform patients of the risk of life-threatening respiratory depression, including information that the risk is greatest when starting Oxycodone Hydrochloride Oral Solution or when the dosage is increased, and that it can occur even at recommended dosages [see Warnings and Precautions (5.4)]. Advise patients how to recognize respiratory depression and to seek medical attention if breathing difficulties develop.

Accidental Ingestion

Inform patients that accidental ingestion, especially by children, may result in respiratory depression or death [see Warnings and Precautions (5.4)].

Interactions with Benzodiazepines and Other CNS Depressants

Inform patients and caregivers that potentially fatal additive effects may occur if Oxycodone Hydrochloride Oral Solution is used with benzodiazepines or other CNS depressants, including alcohol, and not to use these concomitantly unless supervised by a health care provider [see Warnings and Precautions (5.7), Drug Interactions (7)].

Serotonin Syndrome

Inform patients that opioids could cause a rare but potentially life-threatening condition resulting from concomitant administration of serotonergic drugs. Warn patients of the symptoms of serotonin syndrome and to seek medical attention right away if symptoms develop. Instruct patients to inform their healthcare providers if they are taking, or plan to take serotonergic medications. [see Drug Interactions (7)].

MAOI Interaction

Inform patients to avoid taking Oxycodone Hydrochloride Oral Solution while using any drugs that inhibit monoamine oxidase. Patients should not start MAOIs while taking Oxycodone Hydrochloride Oral Solution [see Drug Interactions (7)].

Adrenal Insufficiency

Inform patients that opioids could cause adrenal insufficiency, a potentially life-threatening condition. Adrenal insufficiency may present with non-specific symptoms and signs such as nausea, vomiting, anorexia, fatigue, weakness, dizziness, and low blood pressure. Advise patients to seek medical attention if they experience a constellation of these symptoms [see Warnings and Precautions (5.9)].



Important Administration Instructions

Instruct patients how to properly take Oxycodone Hydrochloride Oral Solution. [see Dosage and Administration (2.1), Warnings and Precautions (5.1)].



• Advise patients to always use the enclosed calibrated oral syringe/dosing cup when administering Oxycodone Hydrochloride Oral Solution to ensure the dose is measured and administered accurately [see Warnings and Precautions (5.1)].

• Advise patients never to use household teaspoons or tablespoons to measure Oxycodone Hydrochloride Oral Solution.

•  Inform patients that the 100 mg per 5 mL (20 mg/mL) formulation is only for patients who are already receiving opioid-therapy and have demonstrated opioid- tolerance. Use of this formulation may cause fatal respiratory depression when administered to patients who have not had previous exposure to opioids [see Indications and Usage (1) see Dosage and Administration (2.1) ].

• Advise patients not to adjust the dose of Oxycodone Hydrochloride Oral Solution without consulting with a physician or other healthcare provider.



Important Discontinuation Instructions

In order to avoid developing withdrawal symptoms, instruct patients not to discontinue Oxycodone Hydrochloride Oral Solution without first discussing a tapering plan with the prescriber [see Dosage and Administration (2.4) ].





Hypotension

Inform patients that Oxycodone Hydrochloride Oral Solution may cause orthostatic hypotension and syncope. Instruct patients how to recognize symptoms of low blood pressure and how to reduce the risk of serious consequences should hypotension occur (e.g., sit or lie down, carefully rise from a sitting or lying position) [see Warnings and Precautions (5.10)].



Anaphylaxis

Inform patients that anaphylaxis has been reported with ingredients contained in Oxycodone Hydrochloride Oral Solution. Advise patients how to recognize such a reaction and when to seek medical attention [see Adverse Reactions (6)].



Pregnancy

      Neonatal Opioid Withdrawal Syndrome

Inform female patients of reproductive potential that prolonged use of Oxycodone Hydrochloride Oral Solution during pregnancy can result in neonatal opioid withdrawal  syndrome, which may be life-threatening if not recognized and treated [see Warnings and Precautions (5.5), Use in Specific Populations (8.1)].



      Embryo-Fetal Toxicity

Inform female patients of reproductive potential that Oxycodone Hydrochloride Oral Solution can cause fetal harm and to inform the healthcare provider of a known or suspected pregnancy [see Use in Specific Populations (8.1)].



Lactation

Advise nursing mothers to carefully observe  infants for increased sleepiness (more than usual), breathing difficulties, or limpness. Instruct nursing mothers to seek immediate medical care if they notice these signs [see Use in Specific Populations (8.2)].



Infertility

Inform patients that chronic use of opioids may cause reduced fertility. It is not known whether these effects on fertility are reversible [see Use in Specific Populations (8.3)].



Driving or Operating Heavy Machinery

Inform patients that Oxycodone Hydrochloride Oral Solution may impair the ability to perform potentially hazardous activities such as driving a car or operating heavy machinery. Advise patients not to perform such tasks until they know how they will react to the medication [see Warnings and Precautions (5.5)].



Constipation

Advise patients of the potential for severe constipation, including management instructions and when to seek medical attention [see Adverse Reactions (6), Clinical Pharmacology (12.2)].



Dispense with Medication Guide available at www.aurobindousa.com/product-medication-guides.

Distributed by:

Aurobindo Pharma USA, Inc.

279 Princeton-Hightstown Road

East Windsor, NJ 08520

Revised: 12/2023

16 How Supplied/storage and Handling (16 HOW SUPPLIED/STORAGE AND HANDLING)

Oxycodone Hydrochloride Oral Solution 5 mg per 5 mL (1 mg/mL), is a red solution, supplied as:

NDC# 13107-261-58: Bottle of 500 mL supplied with a calibrated measuring cup.

Oxycodone Hydrochloride Oral Solution 100 mg per 5 mL (20 mg per mL), is a yellow solution, supplied as:

NDC# 13107-262-57: Bottle of 30 mL supplied with a calibrated oral syringe.



Store: Store at Controlled Room Temperature, 25°C (77°F); excursions are permitted to 15° - 30°C (59° - 86°F). PROTECT from MOISTURE and LIGHT. 

Store Oxycodone Hydrochloride Oral Solution securely and dispose of properly [see Patient Counseling Information (17)].

5.5 Neonatal Opioid Withdrawal Syndrome

Prolonged use of Oxycodone Hydrochloride Oral Solution during pregnancy can result in withdrawal in the neonate. Neonatal opioid withdrawal syndrome, unlike opioid withdrawal syndrome in adults, may be life-threatening if not recognized and treated, and requires management according to protocols developed by neonatology experts. Observe newborns for signs of neonatal opioid withdrawal syndrome and manage accordingly. Advise pregnant women using opioids for a prolonged period of the risk of neonatal opioid withdrawal syndrome and ensure that appropriate treatment will be available [see Use in Specific Populations (8.1), Patient Counseling Information (17)].

2.3 Titration and Maintenance of Therapy


Individually titrate Oxycodone Hydrochloride Oral Solution to a dose that provides adequate analgesia and minimizes adverse reactions. Continually reevaluate patients receiving Oxycodone Hydrochloride Oral Solution to assess the maintenance of pain control and the relative incidence of adverse reactions, as well as monitoring for the development of addiction, abuse, or misuse [see Warnings and Precautions (5.2)].



Frequent communication is important among the prescriber, other members of the healthcare team, the patient, and the caregiver/family during periods of changing analgesic requirements, including initial titration.



If the level of pain increases after dosage stabilization, attempt to identify the source of increased pain before increasing the Oxycodone Hydrochloride Oral Solution dosage. If unacceptable opioid-related adverse reactions are observed, consider reducing the dosage. Adjust the dosage to obtain an appropriate balance between management of pain and opioid-related adverse reactions.





5.4 Life Threatening Respiratory Depression (5.4 Life-Threatening Respiratory Depression)


Serious, life-threatening, or fatal respiratory depression has been reported with the use of opioids, even when used as recommended. Respiratory depression, if not immediately recognized and treated, may lead to respiratory arrest and death. Management of respiratory depression may include close observation, supportive measures, and use of opioid antagonists, depending on the patient’s clinical status [see Overdosage (10)].

Carbon dioxide (C02) retention from opioid-induced respiratory depression can exacerbate the sedating effects of opioids.





While serious, life-threatening, or fatal respiratory depression can occur at any time during the use of Oxycodone Hydrochloride Oral Solution, the risk is greatest during the initiation of therapy or following a dosage increase. Monitor patients closely for respiratory depression, especially within the first 24-72 hours of initiating therapy with and following dosage increases of Oxycodone Hydrochloride Oral Solution.





To reduce the risk of respiratory depression, proper dosing and titration of Oxycodone Hydrochloride Oral Solution are essential [see Dosage and Administration (2)]. Over estimating the Oxycodone Hydrochloride Oral Solution dosage when converting patients from another opioid product can result in a fatal overdose with the first dose.





Oxycodone Hydrochloride Oral Solution 100 mg per 5 mL (20 mg/mL) is for use in opioid-tolerant patients only. Administration of this formulation may cause fatal respiratory depression when administered to patients who are not tolerant to the respiratory depressant effects of opioids.





Accidental ingestion of even one dose of Oxycodone Hydrochloride Oral Solution, especially by children, can result in respiratory depression and death due to an overdose of oxycodone.





Opioids can cause sleep-related breathing disorders including central sleep apnea (CSA) and sleep-related hypoxemia. Opioid use increases the risk of CSA in a dose-dependent fashion. In patients who present with CSA, consider decreasing the opioid dosage using best practices for opioid taper [see Dosage and Administration (2.4)].





5.15 Risks of Driving and Operating Machinery

Oxycodone Hydrochloride Oral Solution may impair the mental or physical abilities needed to perform potentially hazardous activities such as driving a car or operating machinery. Warn patients not to drive or operate dangerous machinery unless they are tolerant to the effects of Oxycodone Hydrochloride Oral Solution and know how they will react to the medication [see Patient Counseling Information (17)].

8.3 Females and Males of Reproductive Potential

Infertility

Chronic use of opioids may cause reduced fertility in females and males of reproductive potential. It is not known whether these effects on fertility are reversible [see Adverse Reactions (6), Clinical Pharmacology (12.2)].

2.1 Important Dosage and Administration Instructions




Oxycodone Hydrochloride Oral Solution is available in two concentrations: 5 mg per 5 mL (1 mg/mL), and 100 mg per 5 mL (20 mg/mL). Oxycodone Hydrochloride Oral Solution 100 mg per 5 mL (20 mg/mL) is for use in opioid-tolerant patients only who have already been receiving opioid therapy.  Use this strength only for patients who have already been titrated to a stable analgesic regimen using lower strengths of oxycodone hydrochloride and who can benefit from use of a smaller volume of oral solution.





Patients considered to be opioid tolerant are those who are receiving, for one week or longer, at least 60mg oral morphine per day, 25 mcg transdermal fentanyl per hour, 30 mg oral oxycodone per day, 8 mg oral hydromorphone per day, 25 mg oral oxymorphone per day, 60 mg oral hydrocodone per day, or an equianalgesic dose of another opioid.



Ensure accuracy when prescribing, dispensing, and administering Oxycodone Hydrochloride Oral Solution to avoid dosing errors due to confusion between mg and mL, and with other oxycodone hydrochloride solutions of different concentrations, which could result in accidental overdose and death. Ensure the proper dose is communicated and dispensed. When writing prescriptions, include both the total dose in mg and the total dose in volume.



Always use the enclosed calibrated measuring cup when administering Oxycodone Hydrochloride Oral Solution 5 mg per 5 mL and always use the enclosed calibrated oral syringe when administering Oxycodone Hydrochloride Oral Solution 100 mg per 5 mL (20 mg per mL) to ensure that the dose is measured and administered accurately.



Do not use household teaspoons or tablespoons to measure Oxycodone Hydrochloride Oral Solution, as using a tablespoon instead of a teaspoon could lead to overdosage.



Use the lowest effective dosage for the shortest duration consistent with individual patient treatment goals [see Warnings and Precautions (5)].



Initiate the dosing regimen for each patient individually, taking into account the patient’s severity of pain, patient response, prior analgesic treatment experience, and risk factors for addiction, abuse, and misuse [see Warnings and Precautions (5.2)].



Monitor patients closely for respiratory depression, especially within the first 24-72 hours of initiating therapy and following dosage increases with Oxycodone Hydrochloride Oral Solution and adjust the dosage accordingly [see Warnings and Precautions (5.4)].





13.1 Carcinogenesis, Mutagenesis,  impairment of Fertility (13.1 Carcinogenesis, Mutagenesis,  Impairment Of Fertility)

Carcinogenesis

Long-term studies in animals to evaluate the carcinogenic potential of oxycodone have not been conducted.

Mutagenesis

Oxycodone hydrochloride was genotoxic in an in vitro mouse lymphoma assay in the presence of metabolic activation. There was no evidence of genotoxic potential in an in vitro bacterial reverse mutation assay (Salmonella typhimurium and Escherichia coli) and in an assay for chromosomal aberrations (in vivo mouse bone marrow micronucleus assay).

Impairment of Fertility

Studies in animals to evaluate the potential impact of oxycodone on fertility have not been conducted.



Package Label.principal Display Panel 5mg/5ml Carton Label (PACKAGE LABEL.PRINCIPAL DISPLAY PANEL- 5mg/5ml Carton Label)

NDC 13107-261-58

Oxycodone Hydrochloride Oral Solution, USP CII

5 mg per 5 mL

(1 mg per 1 mL)

Pharmacist: Dispense the Medication Guide provided separately to each patient.

5.12 Risk of Use in Patients With Gastrointestinal Conditions (5.12 Risk of Use in Patients with Gastrointestinal Conditions)

Oxycodone Hydrochloride Oral Solution is contraindicated in patients with known or suspected gastrointestinal obstruction, including paralytic ileus.

The oxycodone in Oxycodone Hydrochloride Oral Solution may cause spasm of the sphincter of Oddi. Opioids may cause increases in serum amylase. Monitor patients with biliary tract disease, including acute pancreatitis for worsening symptoms.



Package Label.principal Display Panel 100mg/5ml Carton Label (PACKAGE LABEL.PRINCIPAL DISPLAY PANEL- 100mg/5ml Carton Label)

NDC 13107-262-57

Oxycodone Hydrochloride Oral Solution, USP CII

100 mg per 5 mL

(20 mg per 1 mL)

CAUTION! HIGHLY CONCENTRATED SOLUTION!

VERIFY DOSAGE AND MEASURE CAREFULLY!

Pharmacist: Dispense the Medication Guide provided separately to each patient.

ONLY FOR USE IN PATIENTS WHO ARE OPIOID TOLERANT

Package Label.principal Display Panel 5mg/5ml Container Label (PACKAGE LABEL.PRINCIPAL DISPLAY PANEL- 5mg/5ml Container Label)

NDC 13107-261-58



Oxycodone Hydrochloride Oral Solution, USP CII

5 mg/ 5 mL

(1 mg/ 1 mL)

Pharmacist: Dispense the Medication Guide provided separately to each patient.

Only      500 mL

Package Label.principal Display Panel 100mg/5ml Container Label (PACKAGE LABEL.PRINCIPAL DISPLAY PANEL- 100mg/5ml Container Label)

NDC 13107-262-57

Oxycodone Hydrochloride Oral Solution, USP CII

100 mg per 5 mL

(20 mg per 1 mL)

Pharmacist: Dispense the Medication Guide provided separately to each patient.

ONLY FOR USE IN PATIENTS WHO ARE OPIOID TOLERANT

5.1 Risk of Accidental Overdose and Death Due to Medication Errors (5.1 Risk of Accidental Overdose and Death due to Medication Errors)

Dosing errors can result in accidental overdose and death. Avoid dosing errors that may result from confusion between mg and mL and confusion with oxycodone hydrochloride solutions of different concentrations, when prescribing, dispensing, and administering Oxycodone Hydrochloride Oral Solution. Ensure that the dose is communicated clearly and dispensed accurately. Always use the enclosed calibrated measuring cup when administering Oxycodone Hydrochloride Oral Solution 5 mg per 5 mL (1 mg/mL) and always use the enclosed calibrated oral syringe when administering Oxycodone Hydrochloride Oral Solution 100 mg per 5 mL (20 mg/ mL) to ensure the dose is measured and administered accurately.

Do not use a teaspoon or a tablespoon to measure a dose. A household teaspoon or tablespoon is not an adequate measuring device. Given the inexactitude of the household spoon measure and the possibility of using a tablespoon instead of a teaspoon, which could lead to overdosage, it is strongly recommended that, if the enclosed calibrated measuring cup becomes lost, caregivers obtain and use a calibrated measuring device. Health care providers should recommend a calibrated device that can measure and deliver the prescribed dose accurately, and instruct caregivers to use extreme caution in measuring the dosage.

5.13 Increased Risk of Seizures in Patients With Seizure Disorders (5.13 Increased Risk of Seizures in Patients with Seizure Disorders)

The oxycodone in Oxycodone Hydrochloride Oral Solution may increase the frequency of seizures in patients with seizure disorders, and may increase the risk of seizures occurring in other clinical settings associated with seizures. Monitor patients with a history of seizure disorders for worsened seizure control during Oxycodone Hydrochloride Oral Solution therapy.

5.3 Opioid Analgesic Risk Evaluation and Mitigation Strategy (rems) (5.3 Opioid Analgesic Risk Evaluation and Mitigation Strategy (REMS))

To ensure that the benefits of opioid analgesics outweigh the risks of addiction, abuse, and misuse, the Food and Drug Administration (FDA) has required a Risk Evaluation and Mitigation Strategy (REMS) for these products. Under the requirements of the REMS, drug companies with approved opioid analgesic products must make REMS-compliant education programs available to healthcare providers. Healthcare providers are strongly encouraged to do all of the following:

• Complete a REMS compliant education program offered by an accredited provider of continuing education (CE) or another education program that includes all the elements of the FDA     Education Blueprint for Health Care Providers Involved in the Management or Support of Patients with Pain.



• Discuss the safe use, serious risks, and proper storage and disposal of opioid analgesics with patients and/or their caregivers every time these medicines are prescribed. The Patient     Counseling Guide (PCG) can be obtained at this link: www.fda.gov/OpioidAnalgesicREMSPCG.



• Emphasize to patients and their caregivers the importance of reading the Medication Guide that they will receive from their pharmacist every time an opioid analgesic is dispensed to them.



• Consider using other tools to improve patient, household, and community safety, such as patient-prescriber agreements that reinforce patient prescriber responsibilities.

To obtain further information on the opioid analgesic REMS and for a list of accredited REMS CME/CE, call 1-800-503-0784, or log on to www.opioidanalgesicrems.com. The FDA Blueprint can be found at www.fda/gov/OpioidAnalgesicREMSBlueprint.

5.7 Risks From Concomitant Use With Benzodiazepines Or Other Cns Depressants (5.7 Risks from Concomitant Use with Benzodiazepines or Other CNS Depressants)

Profound sedation, respiratory depression, coma, and death may result from the concomitant use of Oxycodone Hydrochloride Oral Solution with benzodiazepines and/or other CNS depressants including alcohol (e.g., non-benzodiazepine sedatives/hypnotics, anxiolytics, tranquilizers, muscle relaxants, general anesthetics, antipsychotics, other opioids). Because of these risks, reserve concomitant prescribing of these drugs for use in patients for whom alternative treatment options are inadequate.



Observational studies have demonstrated that concomitant use of opioid analgesics and benzodiazepines increases the risk of drug-related mortality compared to use of opioid analgesics alone. Because of similar pharmacological properties, it is reasonable to expect similar risk with the concomitant use of other CNS depressant drugs with opioid analgesics [see Drug Interactions (7)].



If the decision is made to prescribe a benzodiazepine or other CNS depressant concomitantly with an opioid analgesic, prescribe the lowest effective dosages and minimum durations of concomitant use. In patients already receiving an opioid analgesic, prescribe a lower initial dose of the benzodiazepine or other CNS depressant than indicated in the absence of an opioid, and titrate based on clinical response. If an opioid analgesic is initiated in a patient already taking a benzodiazepine or other CNS depressant, prescribe a lower initial dose of the opioid analgesic, and titrate based on clinical response. Follow patients closely for signs and symptoms of respiratory depression and sedation.



Advise both patients and caregivers about the risks of respiratory depression and sedation when Oxycodone Hydrochloride Oral Solution are used with benzodiazepines or other CNS depressants (including alcohol and illicit drugs). Advise patients not to drive or operate heavy machinery until the effects of concomitant use of the benzodiazepine or other CNS depressant have been determined. Screen patients for risk of substance use disorders, including opioid abuse and misuse, and warn them of the risk for overdose and death associated with the use of additional CNS depressants including alcohol and illicit drugs [see Drug Interactions (7) and Patient Counseling Information (17)].

2.4  Safe Reduction Or Discontinuation of Oxycodone hydrochloride Oral Solution (2.4  Safe Reduction or Discontinuation of Oxycodone Hydrochloride Oral Solution)


Do not abruptly discontinue Oxycodone Hydrochloride Oral Solution in patients who may be physically dependent on opioids.  Rapid discontinuation of opioid analgesics in patients who are physically dependent on opioids has resulted in serious withdrawal symptoms, uncontrolled pain, and suicide.  Rapid discontinuation has also been associated with attempts to find other sources of opioid analgesics, which may be confused with drug-seeking for abuse. Patients may also attempt to treat their pain or withdrawal symptoms with illicit opioids, such as heroin, and other substances.

When a decision has been made to decrease the dose or discontinue therapy in an opioid- dependent patient taking Oxycodone Hydrochloride Oral Solution, there are a variety of factors that should be considered, including the dose of Oxycodone Hydrochloride Oral Solution the patient has been taking, the duration of treatment, the type of pain being treated, and the physical and psychological attributes of the patient.  It is important to ensure ongoing care of the patient and to agree on an appropriate tapering schedule and follow-up plan so that patient and provider goals and expectations are clear and realistic. When opioid analgesics are being discontinued due to a suspected substance use disorder, evaluate and treat the patient, or refer for evaluation and treatment of the substance use disorder.  Treatment should include evidence-based approaches, such as medication assisted treatment of opioid use disorder. Complex patients with co-morbid pain and substance use disorders may benefit from referral to a specialist.

There are no standard opioid tapering schedules that are suitable for all patients. Good clinical practice dictates a patient-specific plan to taper the dose of the opioid gradually. For patients on Oxycodone Hydrochloride Oral Solution who are physically opioid- dependent, initiate the taper by a small enough increment (e.g., no greater than 10% to 25% of the total daily dose) to avoid withdrawal symptoms, and proceed with dose- lowering at an interval of every 2 to 4 weeks. Patients who have been taking opioids for briefer periods of time may tolerate a more rapid taper.

It may be necessary to provide the patient with lower dosage strengths to accomplish a successful taper.  Reassess the patient frequently to manage pain and withdrawal symptoms, should they emerge. Common withdrawal symptoms include restlessness, lacrimation, rhinorrhea, yawning, perspiration, chills, myalgia, and mydriasis. Other signs and symptoms also may develop, including irritability, anxiety, backache, joint pain, weakness, abdominal cramps, insomnia, nausea, anorexia, vomiting, diarrhea, or increased blood pressure, respiratory rate, or heart rate.  If withdrawal symptoms arise, it may be necessary to pause the taper for a period of time or raise the dose of the opioid analgesic to the previous dose, and then proceed with a slower taper.  In addition, monitor patients for any changes in mood, emergence of suicidal thoughts, or use of other substances.

When managing patients taking opioid analgesics, particularly those who have been treated for a long duration and/or with high doses for chronic pain, ensure that a multimodal approach to pain management, including mental health support (if needed), is in place prior to initiating an opioid analgesic taper. A multimodal approach to pain management may optimize the treatment of chronic pain, as well as assist with the successful tapering of the opioid analgesic [see Warnings and Precautions (5.14) , Drug Abuse and Dependence (9.3) ]





5.6 Risks of Concomitant Use Or Discontinuation of Cytochrome P450 3a4 Inhibitors and Inducers (5.6 Risks of Concomitant Use or Discontinuation of Cytochrome P450 3A4 Inhibitors and Inducers)


Concomitant use of Oxycodone Hydrochloride Oral Solution with a CYP3A4 inhibitor, such as macrolide antibiotics (e.g., erythromycin), azole-antifungal agents (e.g., ketoconazole), and protease inhibitors (e.g., ritonavir), may increase plasma concentrations of oxycodone and prolong opioid adverse reactions, which may cause potentially fatal respiratory depression [see Warnings and Precautions (5.4)], particularly when an inhibitor is added after a stable dose of Oxycodone Hydrochloride Oral Solution is achieved. Similarly, discontinuation of a CYP3A4 inducer, such as rifampin, carbamazepine, and phenytoin, in Oxycodone Hydrochloride Oral Solution-treated patients may increase oxycodone plasma concentrations and prolong opioid adverse reactions. When using Oxycodone Hydrochloride Oral Solution with CYP3A4 inhibitors or discontinuing CYP3A4 inducers in Oxycodone Hydrochloride Oral Solution-treated patients, monitor patients closely at frequent intervals and consider dosage reduction of Oxycodone Hydrochloride Oral Solution until stable drug effects are achieved [see Dosage and Administration (2.1), Drug Interactions (7)].



Concomitant use of Oxycodone Hydrochloride Oral Solution with CYP3A4 inducers or discontinuation of an CYP3A4 inhibitor could decrease oxycodone plasma concentrations, decrease opioid efficacy or, possibly, lead to a withdrawal syndrome in a patient who had developed physical dependence to oxycodone. When using Oxycodone Hydrochloride Oral Solution with CYP3A4 inducers or discontinuing CYP3A4 inhibitors, monitor patients closely at frequent intervals and consider increasing the opioid dosage if needed to maintain adequate analgesia or if symptoms of opioid withdrawal occur [see Dosage and Administration (2.1), Drug Interactions (7)].





5.11 Risks of Use in Patients With Increased Intracranial Pressure, Brain Tumors, Head Injury, Or Impaired Consciousness (5.11 Risks of Use in Patients with Increased Intracranial Pressure, Brain Tumors, Head Injury, or Impaired Consciousness)

In patients who may be susceptible to the intracranial effects of CO2 retention (e.g., those with evidence of increased intracranial pressure or brain tumors), Oxycodone Hydrochloride Oral Solution may reduce respiratory drive, and the resultant CO2 retention can further increase intracranial pressure. Monitor such patients for signs of sedation and respiratory depression, particularly when initiating therapy with Oxycodone Hydrochloride Oral Solution.

Opioids may also obscure the clinical course in a patient with a head injury. Avoid the use of Oxycodone Hydrochloride Oral Solution in patients with impaired consciousness or coma.



5.8 Life Threatening Respiratory Depression in Patients With Chronic Pulmonary Disease Or in Elderly, Cachectic, Or Debilitated Patients (5.8 Life-Threatening Respiratory Depression in Patients with Chronic Pulmonary Disease or in Elderly, Cachectic, or Debilitated Patients)


The use of Oxycodone Hydrochloride Oral Solution in patients with acute or severe bronchial asthma in an unmonitored setting or in the absence of resuscitative equipment is contraindicated.



Patients with Chronic Pulmonary Disease:
Oxycodone Hydrochloride Oral Solution-treated patients with significant chronic obstructive pulmonary disease or cor pulmonale, and those with a substantially decreased respiratory reserve, hypoxia, hypercapnia, or pre-existing respiratory depression are at increased risk of decreased respiratory drive including apnea, even at recommended dosages of Oxycodone Hydrochloride Oral Solution [see Warnings and Precautions (5.4)].



Elderly, Cachectic, or Debilitated Patients: Life-threatening respiratory depression is more likely to occur in elderly, cachectic, or debilitated patients because they may have altered pharmacokinetics or altered clearance compared to younger, healthier patients [see Warnings and Precautions (5.8)].



Monitor such patients closely, particularly when initiating and titrating Oxycodone Hydrochloride Oral Solution and when Oxycodone Hydrochloride Oral Solution is given concomitantly with other drugs that depress respiration [see Warnings and Precautions (5.6)]. Alternatively, consider the use of non-opioid analgesics in these patients.

Warning: Risk of Medication Errors; Addiction,abuse, and Misuse;risk Evaluation and Mitigation Strategy (rems);  Life Threatening Respiratory Depression; Accidental Ingestion; Neonatal Opioid Withdrawal Syndrome;cytochrome P450 3a4 Interaction; and Risks From Concomitant Use With Benzodiazepines Or Other Cns Depressants (WARNING: RISK OF MEDICATION ERRORS; ADDICTION,ABUSE, AND MISUSE;RISK EVALUATION AND MITIGATION STRATEGY (REMS);  LIFE-THREATENING RESPIRATORY DEPRESSION; ACCIDENTAL INGESTION; NEONATAL OPIOID WITHDRAWAL SYNDROME;CYTOCHROME P450 3A4 INTERACTION; and RISKS FROM CONCOMITANT USE WITH BENZODIAZEPINES OR OTHER CNS DEPRESSANTS)

CNS DEPRESSANTS



Risk of Medication Errors

Ensure accuracy when prescribing, dispensing, and administering Oxycodone Hydrochloride Oral Solution. Dosing errors due to confusion between mg and mL, and other oxycodone hydrochloride oral solutions of different concentrations can results in accidental overdose. [See Dosage and Administration (2.1), Warnings and Precautions (5.1)].



Addiction, Abuse, and Misuse

Oxycodone Hydrochloride Oral Solution exposes users to risks of addiction, abuse, and misuse, which can lead to overdose and death. Assess patient's risk prior to prescribing Oxycodone Hydrochloride Oral Solution, and monitor all patients regularly for the development of these behaviors and conditions. [See Warnings and Precautions (5.2)].



Opioid Analgesic Risk Evaluation and Mitigation Strategy (REMS)

To ensure that the benefits of opioid analgesics outweigh the risks of addiction, abuse, and misuse, the Food and Drug Administration (FDA) has required a REMS for these products [see Warnings and Precautions (5.3)]. Under the requirements of the REMS, drug companies with approved opioid analgesic products must make REMS-compliant education programs available to healthcare providers. Healthcare providers are strongly encouraged to

• Complete a REMS-compliant education program,

• Counsel patients and/or their caregivers, with every prescription, on safe use, serious risks, storage, and disposal of these products,

• Emphasize to patients and their caregivers the importance of reading the Medication Guide every time it is provided by their pharmacist, and

• Consider other tools to improve patient, household, and community safety.



Life-Threatening Respiratory Depression

Serious, life-threatening, or fatal respiratory depression may occur with use of Oxycodone Hydrochloride Oral Solution. Monitor for respiratory depression, especially during initiation of Oxycodone Hydrochloride Oral Solution or following a dosage increase. [See Warnings and Precautions (5.4)].



Accidental Ingestion

Accidental ingestion of even one dose of Oxycodone Hydrochloride Oral Solution, especially by children, can result in a fatal overdose of oxycodone. [See Warnings and Precautions (5.4)].



Neonatal Opioid Withdrawal Syndrome

Prolonged use of Oxycodone Hydrochloride Oral Solution during pregnancy can result in neonatal opioid withdrawal syndrome, which may be life-threatening if not recognized and treated, and requires management according to protocols developed by neonatology experts. If opioid use is required for a prolonged period in a pregnant woman, advise the patient of the risk of neonatal opioid withdrawal syndrome and ensure that appropriate treatment will be available. [See Warnings and Precautions (5.5)].



Cytochrome P450 3A4 Interaction

The concomitant of Oxycodone Hydrochloride Oral Solution with all cytochrome P450 3A4 inhibitors may result in an increase in oxycodone plasma concentrations, which could increase or prolong adverse reactions and may cause potentially fatal respiratory depression. In addition, discontinuation of a concomitantly used cytochrome P450 3A4 inducer may result in an increase in oxycodone plasma concentration. Monitor patients receiving Oxycodone Hydrochloride Oral Solution and any CYP3A4 inhibitor or inducer. [See Warnings and Precautions (5.6)Drug Interactions (7), Clinical Pharmacology (12.3)].



Risks From Concomitant Use With Benzodiazepines Or Other CNS Depressants

Concomitant use of opioids with benzodiazepines or other central nervous system (CNS) depressants, including alcohol, may result in profound sedation, respiratory depression, coma, and death [see Warnings and Precautions (5.7), Drug Interactions (7)].

• Reserve concomitant prescribing of Oxycodone Hydrochloride Oral Solution and benzodiazepines or other CNS depressants for use in patients for whom alternative treatment options are inadequate.

• Limit dosages and durations to the minimum required.

• Follow patients for signs and symptoms of respiratory depression and sedation.


Advanced Ingredient Data


Raw Label Data

All Sections (JSON)