These Highlights Do Not Include All The Information Needed To Use Pyridostigmine Bromide Tablets Safely And Effectively. See Full Prescribing Information For Pyridostigmine Bromide Tablets .

These Highlights Do Not Include All The Information Needed To Use Pyridostigmine Bromide Tablets Safely And Effectively. See Full Prescribing Information For Pyridostigmine Bromide Tablets .
SPL v6
SPL
SPL Set ID 0b296555-c32f-42db-b5f3-ea981a3dd2f8
Route
ORAL
Published
Effective Date 2025-09-01
Document Type 34391-3 HUMAN PRESCRIPTION DRUG LABEL

Drug Facts

Composition & Product

Active Ingredients
Pyridostigmine (30 mg)
Inactive Ingredients
Anhydrous Lactose Silicon Dioxide Stearic Acid

Identifiers & Packaging

Pill Appearance
Imprint: PBT Shape: round Color: white Size: 8 mm Score: 1
Marketing Status
NDA Active Since 1990-12-05

Description

After Exposure to Soman, Use Atropine and Pralidoxime Pyridostigmine bromide is for use as a pretreatment for exposure to soman nerve agent. Pyridostigmine bromide alone will not protect against exposure to soman. The efficacy of pyridostigmine bromide is dependent upon the rapid use of atropine and pralidoxime (2-PAM) after soman exposure [see Dosage and Administration (2.1) and Warnings and Precautions (5.1) ]. Always Use Protective Garment(s) Primary protection against exposure to chemical nerve agents is the wearing of protective garments including masks, hoods, and overgarments designed specifically for this use. Individuals must not rely solely upon pretreatment with pyridostigmine bromide and on the antidotes atropine and pralidoxime (2-PAM) to provide complete protection from poisoning by soman nerve agent [see Dosage and Administration (2.1) ] . Pyridostigmine Bromide as Pretreatment Only If pyridostigmine bromide is taken immediately before exposure (e.g., when the gas attack alarm is given) or at the same time as poisoning by soman, it is not expected to be effective and may exacerbate the effects of a sublethal exposure to soman. Do not take pyridostigmine bromide after exposure to soman. [see Clinical Pharmacology (12.2) ] . FOR MILITARY MEDICAL USE ONLY

Indications and Usage

Pyridostigmine bromide is indicated for pretreatment against the lethal effects of soman nerve agent poisoning in adults. Pyridostigmine bromide is intended for use in conjunction with protective garments, including a mask. At the first sign of nerve agent poisoning, pyridostigmine bromide should be stopped, and atropine and pralidoxime therapy started immediately. The evidence for the effectiveness of pyridostigmine bromide as pretreatment against soman-induced toxicity was derived from animal studies alone [see Clinical Studies (14) ] . FOR MILITARY MEDICAL USE ONLY

Dosage and Administration

The recommended dosage is 30 mg orally every 8 hours, started at least one (1) hour prior to exposure to Soman. ( 2.2 ) At the first sign of soman nerve agent poisoning, discontinue pyridostigmine and administer atropine and 2-PAM. ( 2.2 ) Evaluate use beyond 14 consecutive days in the context of the likelihood of soman exposure. ( 2.2 )

Warnings and Precautions

At the first sign of soman poisoning, pyridostigmine must be stopped, and atropine and 2-PAM must be administered immediately. ( 5.1 ) Use with caution in persons with increased risk of anticholinergic reactions, such as persons with bronchial asthma, chronic obstructive pulmonary disease, bradycardia, cardiac arrhythmias, beta blocker treatment (increased risk of anticholinergic reactions). ( 5.2 ) Use with caution in persons with bromide sensitivity. ( 5.3 ) In case of serious adverse reactions, advise personnel to temporarily discontinue pyridostigmine and seek immediate medical attention. ( 5.4 )

Contraindications

Pyridostigmine bromide is contraindicated in patients with: Mechanical intestinal or urinary obstruction Known hypersensitivity to pyridostigmine or other anticholinesterase agents

Adverse Reactions

The following serious adverse reactions are discussed elsewhere in the labeling: Risk of Improper Use of Pyridostigmine Bromide [see Warnings and Precautions (5.1) ] Individuals at Increased Risk of Anticholinergic Adverse Reactions [see Warnings and Precautions (5.2) ] Use in Bromide-Sensitive Individuals [see Warnings and Precautions (5.3) ] Serious Adverse Reactions, Such as Difficulty Breathing, Severe Dizziness, Loss of Consciousness [see Warnings and Precautions (5.4) ]

Drug Interactions

Mefloquine: Additive effect on gastrointestinal tract and atrial rate. ( 7.1 ) Anticholinesterase drugs for glaucoma treatment: Additive effects. ( 7.2 ) Narcotics: Exacerbation of bradycardia possible. ( 7.3 ) Depolarizing neuromuscular blocking agents: Increased effect. ( 7.4 ) Non-depolarizing neuromuscular blocking agents: Dose may need to be increased. ( 7.4 ) Aminoglycoside antibiotics, local and some general anesthetics, anti-arrhythmic agents, and other drugs that interfere with neuromuscular transmission should be used cautiously, if at all. ( 7.4 ) Drugs converted to pantothenic acid (e.g., dexpanthenol): Additive effect. ( 7.5 )

Storage and Handling

Store refrigerated between 2°C to 8°C (36°F to 46°F) in carton or foil overwrap to protect from light until the expiration date. Once removed from refrigerator, store at 20°C to 25°C (68°F to 77°F) [see USP controlled room temperature] in carton or foil overwrap for up to 5 years minus half of the time spent under refrigerated storage or until the expiration date, whichever comes first. Following removal of the blister packages from the foil overwrap, discard the contents of the blister package after 14 months or after the expiration date, whichever comes first.

How Supplied

Pyridostigmine bromide tablets, USP, 30 mg, are round, white tablets imprinted with the letters "PBT." Immediate Container : Individually sealed blister or strip package containing twenty-one (21) tablets which is supplied in a protective sleeve. NDC 72458-128-03 Secondary Container : A protective foil overwrap containing ten (10) immediate containers (sleaved blister of strip packages) containing 210 tablets total. NDC 72458-128-04   NSN 6505-01-178-7903. The NSN refers to the secondary container unit that is ordered from supply (1 of this stock number is one foil overwrap of 10 blister packs). Shipping Carton Contents : Ten (10) foil overwrap packages containing ten (10) blister or strip packages containing 2,100 tablets total.


Medication Information

Warnings and Precautions

At the first sign of soman poisoning, pyridostigmine must be stopped, and atropine and 2-PAM must be administered immediately. ( 5.1 ) Use with caution in persons with increased risk of anticholinergic reactions, such as persons with bronchial asthma, chronic obstructive pulmonary disease, bradycardia, cardiac arrhythmias, beta blocker treatment (increased risk of anticholinergic reactions). ( 5.2 ) Use with caution in persons with bromide sensitivity. ( 5.3 ) In case of serious adverse reactions, advise personnel to temporarily discontinue pyridostigmine and seek immediate medical attention. ( 5.4 )

Indications and Usage

Pyridostigmine bromide is indicated for pretreatment against the lethal effects of soman nerve agent poisoning in adults. Pyridostigmine bromide is intended for use in conjunction with protective garments, including a mask. At the first sign of nerve agent poisoning, pyridostigmine bromide should be stopped, and atropine and pralidoxime therapy started immediately. The evidence for the effectiveness of pyridostigmine bromide as pretreatment against soman-induced toxicity was derived from animal studies alone [see Clinical Studies (14) ] . FOR MILITARY MEDICAL USE ONLY

Dosage and Administration

The recommended dosage is 30 mg orally every 8 hours, started at least one (1) hour prior to exposure to Soman. ( 2.2 ) At the first sign of soman nerve agent poisoning, discontinue pyridostigmine and administer atropine and 2-PAM. ( 2.2 ) Evaluate use beyond 14 consecutive days in the context of the likelihood of soman exposure. ( 2.2 )

Contraindications

Pyridostigmine bromide is contraindicated in patients with: Mechanical intestinal or urinary obstruction Known hypersensitivity to pyridostigmine or other anticholinesterase agents

Adverse Reactions

The following serious adverse reactions are discussed elsewhere in the labeling: Risk of Improper Use of Pyridostigmine Bromide [see Warnings and Precautions (5.1) ] Individuals at Increased Risk of Anticholinergic Adverse Reactions [see Warnings and Precautions (5.2) ] Use in Bromide-Sensitive Individuals [see Warnings and Precautions (5.3) ] Serious Adverse Reactions, Such as Difficulty Breathing, Severe Dizziness, Loss of Consciousness [see Warnings and Precautions (5.4) ]

Drug Interactions

Mefloquine: Additive effect on gastrointestinal tract and atrial rate. ( 7.1 ) Anticholinesterase drugs for glaucoma treatment: Additive effects. ( 7.2 ) Narcotics: Exacerbation of bradycardia possible. ( 7.3 ) Depolarizing neuromuscular blocking agents: Increased effect. ( 7.4 ) Non-depolarizing neuromuscular blocking agents: Dose may need to be increased. ( 7.4 ) Aminoglycoside antibiotics, local and some general anesthetics, anti-arrhythmic agents, and other drugs that interfere with neuromuscular transmission should be used cautiously, if at all. ( 7.4 ) Drugs converted to pantothenic acid (e.g., dexpanthenol): Additive effect. ( 7.5 )

Storage and Handling

Store refrigerated between 2°C to 8°C (36°F to 46°F) in carton or foil overwrap to protect from light until the expiration date. Once removed from refrigerator, store at 20°C to 25°C (68°F to 77°F) [see USP controlled room temperature] in carton or foil overwrap for up to 5 years minus half of the time spent under refrigerated storage or until the expiration date, whichever comes first. Following removal of the blister packages from the foil overwrap, discard the contents of the blister package after 14 months or after the expiration date, whichever comes first.

How Supplied

Pyridostigmine bromide tablets, USP, 30 mg, are round, white tablets imprinted with the letters "PBT." Immediate Container : Individually sealed blister or strip package containing twenty-one (21) tablets which is supplied in a protective sleeve. NDC 72458-128-03 Secondary Container : A protective foil overwrap containing ten (10) immediate containers (sleaved blister of strip packages) containing 210 tablets total. NDC 72458-128-04   NSN 6505-01-178-7903. The NSN refers to the secondary container unit that is ordered from supply (1 of this stock number is one foil overwrap of 10 blister packs). Shipping Carton Contents : Ten (10) foil overwrap packages containing ten (10) blister or strip packages containing 2,100 tablets total.

Description

After Exposure to Soman, Use Atropine and Pralidoxime Pyridostigmine bromide is for use as a pretreatment for exposure to soman nerve agent. Pyridostigmine bromide alone will not protect against exposure to soman. The efficacy of pyridostigmine bromide is dependent upon the rapid use of atropine and pralidoxime (2-PAM) after soman exposure [see Dosage and Administration (2.1) and Warnings and Precautions (5.1) ]. Always Use Protective Garment(s) Primary protection against exposure to chemical nerve agents is the wearing of protective garments including masks, hoods, and overgarments designed specifically for this use. Individuals must not rely solely upon pretreatment with pyridostigmine bromide and on the antidotes atropine and pralidoxime (2-PAM) to provide complete protection from poisoning by soman nerve agent [see Dosage and Administration (2.1) ] . Pyridostigmine Bromide as Pretreatment Only If pyridostigmine bromide is taken immediately before exposure (e.g., when the gas attack alarm is given) or at the same time as poisoning by soman, it is not expected to be effective and may exacerbate the effects of a sublethal exposure to soman. Do not take pyridostigmine bromide after exposure to soman. [see Clinical Pharmacology (12.2) ] . FOR MILITARY MEDICAL USE ONLY

Section 42229-5

Distributed by:

Defense Logistics Agency Troop Support,

  Philadelphia Medical Directorate

  700 Robbins Ave

  Philadelphia, PA 19111

For:

Defense Health Agency

Research & Development - Medical Research and Development Command

ATTN: FCMR-ORA

1541 Porter Street

Fort Detrick, MD 21702-9247

Section 43683-2
Contraindications (4) 09/2025
Warnings and Precautions (5.2) 09/2025
10 Overdosage

Overdosage of pyridostigmine bromide may result in cholinergic crisis, a state characterized by increasing muscle weakness that, through involvement of the muscles of respiration, may lead to death. Overdosage with pyridostigmine bromide must be differentiated from the acute manifestations of nerve agent poisoning, which may also be characterized by a cholinergic crisis.

Extremely high doses of pyridostigmine bromide may also produce CNS symptoms of agitation, restlessness, confusion, visual hallucinations, and paranoid delusions. Electrolyte abnormalities, possibly resulting from high serum bromide concentrations, also have been reported. Death may result from cardiac arrest or respiratory paralysis and pulmonary edema.

In the treatment of pyridostigmine bromide overdosage, maintaining adequate respiration is of primary importance. Tracheostomy, bronchial aspiration, and postural drainage may be required to maintain an adequate airway; respiration can be assisted mechanically if required. Supplemental oxygen may be necessary. Pyridostigmine bromide should be discontinued immediately and 1 mg to 4 mg of atropine sulfate administered intravenously. Additional doses of atropine may be given every 5 to 30 minutes as needed to control muscarinic symptoms. Atropine overdosage should be avoided, as tenacious secretions and bronchial plugs may result. It should be kept in mind that unlike muscarinic effects, the skeletal muscle effects and consequent respiratory paralysis (nicotinic effects) which can occur following pyridostigmine overdosage, are not alleviated by atropine.

7.3 Narcotics

The bradycardia associated with the use of narcotics may exacerbate pyridostigmine-induced bradycardia.

8.1 Pregnancy

Risk Summary

Available data from case reports and case series over decades of use with pyridostigmine bromide have not identified a drug-associated risk of major birth defects, miscarriage, or other adverse maternal or fetal outcomes. Treatment with pyridostigmine bromide for soman nerve agent poisoning during pregnancy should not be delayed because exposure to soman during pregnancy may increase the risk of maternal and fetal morbidity and mortality.

In animal studies, oral administration of pyridostigmine during organogenesis resulted in adverse developmental effects (increased embryofetal mortality and fetal structural abnormalities) at clinically relevant doses (see Data ).

The background risk for major birth defects and miscarriage for the indicated population is unknown. All pregnancies have a background risk of birth defect, loss, or other adverse outcomes. In the U.S. general population, the estimated background risk of major birth defects and miscarriage in clinically recognized pregnancies is 2% to 4% and 15% to 20%, respectively.

Data

Animal Data

Oral administration of pyridostigmine to pregnant rats during organogenesis resulted in increases in embryofetal deaths and incidences of fetal skeletal variations at the highest dose tested (30 mg/kg/day), which was also maternally toxic. A slight increase in the incidence of hydronephrosis was observed at all dose levels (lowest dose tested was 3 mg/kg/day). A no-effect dose for adverse effects on embryofetal development in the rat was not identified. The lowest dose tested (3 mg/kg/day) is less than the recommended human dose (105 mg) on a body surface area (mg/m2) basis.

Oral administration of pyridostigmine to pregnant rabbits during organogenesis resulted in an increase in the incidence of visceral variations at the highest dose tested (45 mg/kg/day), which was also maternally toxic. An increased incidence of blood vessel variations was observed at all doses (lowest dose tested was 5 mg/kg/day). A no-effect dose for adverse effects on embryofetal development in the rabbit was not identified. The lowest dose tested (5 mg/kg/day) is less than the recommended human dose on a body surface area (mg/m2) basis.

8.2 Lactation

Risk Summary

Pyridostigmine bromide is present in human milk. Based on limited data, pyridostigmine bromide was not detected in the plasma of infants who were breastfed by mothers taking pyridostigmine bromide. There are no data on the effects on milk production. The developmental and health benefits of breastfeeding should be considered along with the mother's clinical need for pyridostigmine bromide and any potential adverse effects on the breastfed infant from pyridostigmine bromide or from the underlying maternal condition.

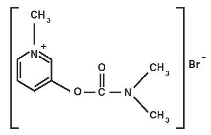
11 Description

Pyridostigmine bromide is an orally active, reversible cholinesterase inhibitor. Pyridostigmine bromide is a white or almost white, crystalline, deliquescent powder, very soluble in water and alcohol, and practically insoluble in ether.

CAS registration number is 101-26-8.

Pyridostigmine bromide has a molecular formula of C9H13BrN2O2, with a molecular weight of 261.12. Its chemical name is: 3-hydroxy-1-methylpyridinium bromide dimethylcarbamate, and its structural formula is:

Pyridostigmine bromide tablets, USP contain 30 mg of pyridostigmine bromide (equivalent to 20.8 mg of pyridostigmine base) for oral administration. The inactive ingredients included in the tablet formula are colloidal silicon dioxide, lactose anhydrous, and stearic acid or, alternatively; lactose, magnesium stearate, silica precipitated, starch, and talc.

7.1 Mefloquine

Concomitant use of mefloquine and pyridostigmine bromide may have additive effects on the gastrointestinal tract, the most common of which is loose bowels. Additive effects on the atrial rate may also occur with concomitant use of mefloquine and pyridostigmine bromide.

16.1 How Supplied

Pyridostigmine bromide tablets, USP, 30 mg, are round, white tablets imprinted with the letters "PBT."

Immediate Container: Individually sealed blister or strip package containing twenty-one (21) tablets which is supplied in a protective sleeve.

NDC 72458-128-03

Secondary Container: A protective foil overwrap containing ten (10) immediate containers (sleaved blister of strip packages) containing 210 tablets total.

NDC 72458-128-04

  NSN 6505-01-178-7903. The NSN refers to the secondary container unit that is ordered from supply (1 of this stock number is one foil overwrap of 10 blister packs).

Shipping Carton Contents: Ten (10) foil overwrap packages containing ten (10) blister or strip packages containing 2,100 tablets total.

8.4 Pediatric Use

Safety and effectiveness in pediatric patients have not been established.

8.5 Geriatric Use

Clinical studies of pyridostigmine bromide did not contain sufficient numbers of subjects aged 65 and over to determine whether they respond differently than younger subjects. In general, dose selection for an elderly patient should be cautious, reflecting the greater frequency of decreased hepatic, renal, or cardiac function, and of concomitant disease or other drug therapy.

This drug is known to be substantially excreted by the kidney, and the risk of toxic reactions to this drug may be greater in patients with impaired renal function. Because elderly patients are more likely to have decreased renal function [see Clinical Pharmacology (12.3)], care should be taken in dose selection, and it may be useful to monitor renal function.

14 Clinical Studies

The effectiveness of pyridostigmine bromide as a pretreatment against the lethal effects of soman nerve agent poisoning has not been determined in humans because adequate and well-controlled field trials have not been feasible and inducing soman nerve agent poisoning in humans to study the drug's efficacy is not ethical. Therefore, the effectiveness of pyridostigmine bromide as a pretreatment against the lethal effects of soman nerve agent poisoning was established based on the results of the following adequate and well-controlled animal efficacy studies.

While the results of these animal studies cannot be extrapolated to humans with certainty, the extrapolation is supported by the reasonably well understood pathophysiologic mechanisms of the toxicity of soman and the mechanism of the protective effect of pyridostigmine bromide pretreatment, as examined in various animal species. In addition, the results of these animal studies establish that pyridostigmine bromide is reasonably likely to produce clinical benefit in humans. The section below explains the current understanding of the mechanism of soman toxicity and the beneficial effect of pyridostigmine bromide pretreatment, as well as the basis for extrapolating the animal findings to humans.

Pyridostigmine bromide pretreatment has been shown in animals to decrease the lethality of the soman nerve agent, provided atropine and pralidoxime (2-PAM) are administered immediately after exposure to soman.

Rhesus monkeys were given oral doses of pyridostigmine bromide every 8 hours for a total of 6 doses and were challenged with soman given intramuscularly 5 hours after the last pyridostigmine bromide dose. Two dosage groups of pyridostigmine bromide were used: a low-dose group given 1.2 mg/kg for all 6 doses and a high-dose group given 1.2 and 1.8 mg/kg for the first and second doses, respectively, and 2.4 mg/kg for the final 4 doses. These animals were also given atropine and 2-PAM after exposure to soman. An untreated control group and a group given atropine and 2-PAM (but not pyridostigmine bromide) were also used. The primary endpoint in this study was a decrease in the lethality of soman expressed as an increase in the LD50 (the dose of soman that killed 50 % of the animals). The atropine/2-PAM control group showed a small but statistically significant 1.6-fold increase in the soman LD50 compared to the untreated control group. The groups given pyridostigmine bromide as well as atropine and 2-PAM showed increases in the soman LD50 of at least 40-fold compared to the untreated control group and at least 25-fold compared to the atropine/2-PAM group. The two dose levels of pyridostigmine bromide showed similar effectiveness.

Additional studies in rhesus monkeys and guinea pigs also showed effectiveness of pyridostigmine bromide (in the presence of post-soman administration of atropine and 2-PAM). The magnitude of effect in guinea pigs was smaller than that in monkeys (soman LD50 increased 4- to 7-fold compared to untreated control and 2- to 4-fold compared to atropine/ 2-PAM alone).

Pyridostigmine bromide produced only small and inconsistent effects in studies in rats, mice, and rabbits. It is thought that the effect of pyridostigmine bromide in rats and mice is masked by high blood levels of the enzyme carboxylesterase, which eliminates soman from blood and makes those species highly resistant to soman. In a study in which rats were given an inhibitor of carboxylesterase, pretreatment with pyridostigmine bromide plus atropine and 2-PAM increased the LD50 of soman 8.5-fold compared to untreated controls. Humans have little or no carboxylesterase in blood.

Animal studies have shown that pyridostigmine bromide pretreatment was effective only when animals were given atropine and 2-PAM after exposure to soman.

4 Contraindications

Pyridostigmine bromide is contraindicated in patients with:

  • Mechanical intestinal or urinary obstruction
  • Known hypersensitivity to pyridostigmine or other anticholinesterase agents
6 Adverse Reactions

The following serious adverse reactions are discussed elsewhere in the labeling:

7 Drug Interactions
  • Mefloquine: Additive effect on gastrointestinal tract and atrial rate. (7.1)
  • Anticholinesterase drugs for glaucoma treatment: Additive effects. (7.2)
  • Narcotics: Exacerbation of bradycardia possible. (7.3)
  • Depolarizing neuromuscular blocking agents: Increased effect. (7.4)
  • Non-depolarizing neuromuscular blocking agents: Dose may need to be increased. (7.4)
  • Aminoglycoside antibiotics, local and some general anesthetics, anti-arrhythmic agents, and other drugs that interfere with neuromuscular transmission should be used cautiously, if at all. (7.4)
  • Drugs converted to pantothenic acid (e.g., dexpanthenol): Additive effect. (7.5)
8.6 Renal Impairment

This drug is known to be substantially excreted by the kidney, and the risk of toxic reactions to this drug may be greater in patients with impaired renal function. Caution should be observed, and dosage be selected carefully, when administering pyridostigmine bromide to patients with impaired renal function [see Clinical Pharmacology (12.3)]. It may be useful to monitor renal function.

12.2 Pharmacodynamics

The mechanism of soman-induced death is reasonably well understood. Death is believed to result primarily from respiratory failure due to irreversible inhibition of the enzyme acetylcholinesterase and the consequent increase in the level of the neurotransmitter acetylcholine 1) at nicotinic receptors at the neuromuscular junction, resulting in pathological stimulation and ultimate failure of the muscles of respiration, 2) at muscarinic receptors in secretory glands and smooth muscle, resulting in excessive respiratory secretions and bronchoconstriction, and 3) at cholinergic receptors in the brain, resulting in central respiratory depression.

The effect of pyridostigmine is presumed to result from its reversible inhibition of a critical number of acetylcholinesterase active sites in the peripheral nervous system, protecting them from irreversible inhibition by soman. (Pyridostigmine bromide is not thought to enter the brain in significant amounts.) When the pyridostigmine bromide-induced inhibition of the enzyme is subsequently reversed, there is a small residual amount of enzyme activity that is adequate to sustain life (provided atropine and 2-PAM are subsequently administered). An implication of this presumed mechanism is that it is not helpful to give pyridostigmine bromide either just before or during exposure to soman [see Dosage and Administration (2.1, 2.2)].

12.3 Pharmacokinetics

Absorption

Pyridostigmine bromide is poorly absorbed from the gastrointestinal tract with an absolute bioavailability of 10% to 20%. Following a single oral dose of 30 mg pyridostigmine bromide in the fasting state, the Tmax was 2.2 ± 1.0 hours. The pharmacokinetics of pyridostigmine bromide is linear over the dose range of 30 mg to 60 mg. Following multiple doses of pyridostigmine bromide (30 mg every 8 hours for 21 days), the average steady-state trough concentration of pyridostigmine bromide was about ¼ of the peak concentration after a single dose.

Distribution

The volume of distribution was about 19 ± 12 liters, indicating that pyridostigmine bromide distributes into tissues. No information on protein binding of pyridostigmine bromide is available.

Elimination

Metabolism

Pyridostigmine bromide undergoes hydrolysis by cholinesterases and is metabolized in the liver.

Excretion

Pyridostigmine bromide is excreted in the urine as both unchanged drug and its metabolites. The systemic clearance of pyridostigmine bromide is 830 mL/min and the elimination half-life of pyridostigmine bromide is approximately 3 hours.

Specific Populations

Patients with Renal Impairment: In anephric patients (n = 4), the elimination half-life increased 3-fold and the systemic clearance decreased by 75% [see Use in Specific Populations (8.6)].

Patients with Hepatic Impairment: No information is available on the pharmacokinetics of pyridostigmine bromide in hepatic impaired patients.

Male and Female Patients: The clearance of pyridostigmine bromide is not influenced by sex.

Geriatric Patients: In a pyridostigmine bromide study in elderly subjects (71 to 85 years of age), the elimination half-life and volume of distribution (central and steady-state) of pyridostigmine were comparable with younger subjects (21 to 51 years of age). However, the systemic plasma clearance was 30% lower in the elderly compared to younger subjects (6.7 ± 2.2 vs. 9.5 ± 2.7 mL/min/kg) [see Use in Specific Populations (8.5)].

1 Indications and Usage

Pyridostigmine bromide is indicated for pretreatment against the lethal effects of soman nerve agent poisoning in adults. Pyridostigmine bromide is intended for use in conjunction with protective garments, including a mask. At the first sign of nerve agent poisoning, pyridostigmine bromide should be stopped, and atropine and pralidoxime therapy started immediately.

The evidence for the effectiveness of pyridostigmine bromide as pretreatment against soman-induced toxicity was derived from animal studies alone [see Clinical Studies (14)].

FOR MILITARY MEDICAL USE ONLY

12.1 Mechanism of Action

Pyridostigmine is a reversible cholinesterase inhibitor.

16.2 Storage and Handling

Store refrigerated between 2°C to 8°C (36°F to 46°F) in carton or foil overwrap to protect from light until the expiration date. Once removed from refrigerator, store at 20°C to 25°C (68°F to 77°F) [see USP controlled room temperature] in carton or foil overwrap for up to 5 years minus half of the time spent under refrigerated storage or until the expiration date, whichever comes first. Following removal of the blister packages from the foil overwrap, discard the contents of the blister package after 14 months or after the expiration date, whichever comes first.

5 Warnings and Precautions
  • At the first sign of soman poisoning, pyridostigmine must be stopped, and atropine and 2-PAM must be administered immediately. (5.1)
  • Use with caution in persons with increased risk of anticholinergic reactions, such as persons with bronchial asthma, chronic obstructive pulmonary disease, bradycardia, cardiac arrhythmias, beta blocker treatment (increased risk of anticholinergic reactions). (5.2)
  • Use with caution in persons with bromide sensitivity. (5.3)
  • In case of serious adverse reactions, advise personnel to temporarily discontinue pyridostigmine and seek immediate medical attention. (5.4)
2 Dosage and Administration
  • The recommended dosage is 30 mg orally every 8 hours, started at least one (1) hour prior to exposure to Soman. (2.2)
  • At the first sign of soman nerve agent poisoning, discontinue pyridostigmine and administer atropine and 2-PAM. (2.2)
  • Evaluate use beyond 14 consecutive days in the context of the likelihood of soman exposure. (2.2)
3 Dosage Forms and Strengths

Tablets: 30 mg of pyridostigmine bromide, round, white and imprinted with the letters "PBT"

8 Use in Specific Populations

Renal impairment: Increased risk of side effects; careful dose selection. In persons with renal impairment, renal function monitoring may be useful. (8.6)

6.1 Clinical Trials Experience

Because clinical trials are conducted under widely varying conditions, adverse reaction rates observed in the clinical trials of a drug cannot be directly compared to rates in the clinical trials of another drug and may not reflect the rates observed in practice.

The adverse reactions to pyridostigmine bromide are typically of two varieties: muscarinic and nicotinic. Muscarinic adverse reactions include abdominal cramps, bloating, flatulence, diarrhea, emesis, increased peristalsis, nausea, hypersalivation, urinary incontinence, increased bronchial secretion, diaphoresis, miosis, and lacrimation. Nicotinic adverse reactions are comprised chiefly of muscle cramps, fasciculations, and weakness.

In a controlled study of 90 healthy volunteers comparing pyridostigmine bromide 30 mg every 8 hours to placebo for 21 days, the adverse reactions that were reported in 2% or more of subjects is included in Table 1. The most common adverse reactions (≥ 3%) are diarrhea, abdominal pain, dysmenorrhea, and twitch.

Table 1: Incidence of Adverse Reactions ≥ 2%
Adverse Reaction Pyridostigmine

N = 60

%
Placebo

N = 30

%
Diarrhea 7 0
Abdominal pain 7 0
Dysmenorrhea 5 0
Twitch 3 0
Myalgia 2 0
Dry skin 2 0
Urinary frequency 2 0
Epistaxis 2 0
Amblyopia 2 0
Hypesthesia 2 0
Neck pain 2 0

Other less common adverse reactions seen during controlled and uncontrolled clinical trials for pyridostigmine include the following:

  • Pulmonary: Exacerbation of acute bronchitis and asthma
  • Cardiovascular: Elevated blood pressure, decreased heart rate (4-6 beats per minute), chest tightness
  • Eyes: Change in vision, eye pain
  • Neurologic: Headache, hypertonia, difficulty in concentrating, confusion, disturbed sleep, tingling of extremities, numbness of the tongue
  • Skin: Increased sweating, rash, alopecia
  • Digestive: Vomiting, borborygmi, nausea, bloating, flatulence
  • General: Warm sensation, lethargy/drowsiness, depressed mood

During safety studies at the recommended dosage, there were two reports of loss of consciousness, one of which was suggestive of a seizure event as it also included urinary and fecal incontinence, stiffness of the upper torso and arms, post-syncopal skin pallor, post-syncopal confusion, and post-syncopal weakness.

Central Nervous System Adverse Reactions

Pyridostigmine bromide is a quaternary ammonium compound and does not readily cross the blood-brain barrier. Compared to the peripheral effects of pyridostigmine bromide, central nervous system (CNS) manifestations are less frequent and less serious, primarily consisting of headache and vertigo, with minor and clinically insignificant changes in heart rate, blood pressure, and respiratory function.

17 Patient Counseling Information

Advise personnel to read the FDA-approved patient labeling (Patient Information).

Indication and Conditions of Use

Advise personnel of the following:

  • Pyridostigmine bromide is approved as a pretreatment against the lethal effects of the chemical nerve agent soman (GD). Pyridostigmine bromide has not been approved for use against other chemical nerve agents including Sarin (GB), Tabun (GA), and VX [see Indications and Usage (1)].

    The approval is based on safety studies in humans and effectiveness studies conducted in animals. It is not ethical to study the efficacy in humans. Human studies would require exposing people to the deadly effects of nerve agents, risking poisoning them or even killing them. Studies in monkeys and guinea pigs show that pretreatment with pyridostigmine bromide makes the antidotes (atropine and 2-PAM) work better against soman (GD) [see Clinical Studies (14)].
  • The main protection against chemical weapons is the chemical protective mask and battle dress overgarments [see Dosage and Administration (2.1, 2.2) and Warnings and Precautions (5.1)].
  • Pyridostigmine bromide is used as a pretreatment against a soman nerve agent attack. Based on the animal studies, it is thought that any potential benefits from use of pyridostigmine bromide occur only if:
    • (1)
      It is taken at least several hours before, but not right before, exposure to the nerve agent soman. If it is taken right before (when the nerve gas attack alarm is given) or during nerve agent exposure, it may not work and may make the effects of soman worse.
    • (2)
      Atropine and 2-PAM are used when symptoms of nerve agent poisoning occur [see Dosage and Administration (2.1, 2.2)].

Dosage and Administration [see Dosage and Administration (2.1, 2.2)]

Inform personnel of the following:

  • The chain of command will instruct when it is time to take pyridostigmine bromide, based on the threat of exposure to soman nerve agents.
  • Take one tablet orally every 8 hours until the chain of command instructs to stop taking pyridostigmine bromide.
  • Take pyridostigmine bromide tablets only as prescribed.
  • If a dose is missed, take the missed dose as soon as possible. Do not take double or extra doses.
  • There is no known advantage to taking extra pyridostigmine bromide right before soman exposure.
  • Discontinue pyridostigmine bromide after nerve agent exposure has occurred, instead:
    • Persons experiencing most or all of the MILD symptoms of nerve agent poisoning (runny nose; watery eyes; small, pinpoint pupils; eye pain; blurred vision; drooling and excessive sweating; cough; chest tightness; rapid breathing; diarrhea; increased urination; confusion; drowsiness; weakness; headache; nausea, vomiting, and/ or abdominal pain; slow or fast heart rate; and/or abnormally low or high blood pressure) should IMMEDIATELY AVOID INHALATION (hold their breath) AND PUT ON THEIR PROTECTIVE MASK.
    • Then atropine and 2-PAM must be administered.
  • Contact their unit medical officer if adverse reactions from pyridostigmine bromide continue and limit duty performance.

Risks in Individuals with Certain Conditions [see Contraindications (4), Warnings and Precautions (5.2), and Use in Specific Populations (8.1)]

Instruct personnel to inform their healthcare provider before taking pyridostigmine bromide if they:

  • Are pregnant
  • Have asthma
  • Are allergic to bromide, pyridostigmine, or anticholinesterase drugs
  • Take a beta blocker (a medicine to treat, e.g., high blood pressure)
  • Have high eye pressure (glaucoma)
  • Have any other medical condition, including heart problems, genitourinary or gastrointestinal obstruction, or reflux esophagitis (GERD)

Collection of Information

The Department of Defense (DoD) may collect information on the use of pyridostigmine bromide to help decide how best to protect deployed forces in the future. Information that identifies individual persons will remain confidential. However, the FDA may review any data collected by DoD for the purpose of evaluating pyridostigmine bromide.

Questions and Requests for Information

Questions about personnel rights and welfare should be directed to the unit medical officer or e-mailed to [email protected].

Personnel can receive information about pyridostigmine bromide from unit medical officers or medics. Questions about pyridostigmine bromide can also be e-mailed directly to the US Army Medical Research and Development Command at address

[email protected]. .

7.2 Other Anticholinesterase Drugs

Concomitant use of anticholinesterase drugs used in the treatment of glaucoma and pyridostigmine bromide may have an additive effect that may cause or exacerbate problems with night vision.

7.5 Drugs Converted to Pantothenic Acid

Concomitant use of drugs that are converted to pantothenic acid in vivo (e.g., dexpanthenol) and pyridostigmine bromide may have additive effects by increasing production of acetylcholine.

2.1 Important Administration Information

For Military Medical Use Only.

Treatment and Protection for Soman Exposure

Pyridostigmine bromide is for use as a pretreatment for exposure to soman nerve agent (see Treatment Timing). Pyridostigmine bromide alone will not protect against exposure to soman.

Atropine and Pralidoxime

The efficacy of pyridostigmine bromide is dependent upon the rapid use of atropine and pralidoxime (2-PAM) after soman exposure.

Primary Protection

The primary protection against exposure to chemical nerve agents consists of wearing protective garments including masks, hoods, and overgarments designed specifically for this use.

Do not rely solely upon pretreatment with pyridostigmine bromide and the antidotes atropine and pralidoxime to provide complete protection from poisoning by soman nerve agent.

Treatment Timing

Pyridostigmine bromide is to be administered as pretreatment before exposure to soman nerve agent [see Dosage and Administration (2.2)]. If pyridostigmine bromide is taken immediately before exposure (e.g., when the gas attack alarm is given) or at the same time as poisoning by soman, it is not expected to be effective and may exacerbate the effects of a sublethal exposure to soman [see Clinical Pharmacology (12.2)]. Do not take pyridostigmine bromide after exposure to soman.

5.3 Use in Bromide Sensitive Individuals

Caution should be taken when administering pyridostigmine bromide to individuals with known bromide sensitivity. As with any compound containing bromide, a skin rash may be observed in bromide-sensitive patients, which usually subsides promptly upon discontinuance of the medication.

The risks and benefits of administration must be weighed against the potential for rash or other adverse reactions in these individuals.

Principal Display Panel 21 Tablet Blister Pack

00000000X

NDC 72458-128-03

Rx Only

Quantity: 21 Tablets

NSN 6505-01-178-7903

PYRIDOSTIGMINE BROMIDE TABLETS USP, 30 MG

[Soman Nerve Agent Pretreatment Pyridostgimine (SNAPP)]

Date removed from the overwrap ____ /____ /____

Discard contents 14 months after removal from the

overwrap or after expiration date, whichever comes first.

Stop Taking Pyridostigmine Tablets:

  • If You Are Exposed to Soman Nerve Agent
  • If You Hear a Gas Attack Alarm

When stored refrigerated (2°C to 8°C)(36°F to 46°F)

Manufactured by

Bausch Health

Companies Inc.,

Laval, Quebec

H7L 4A8 for

US Department

of Defense

LOT: 0000000

EXP: YYYY/MM

5.1 Risk of Improper Use of Pyridostigmine Bromide

Risk of Not Stopping Pyridostigmine Bromide and Using Atropine and Pralidoxime in the Event of Soman Exposure

Pyridostigmine bromide is for use as pretreatment for exposure to soman nerve agent and must not be taken after exposure to soman nerve agent [see Dosage and Administration (2.1, 2.2)]. Pyridostigmine bromide pretreatment offers no benefit against the nerve agent soman unless the nerve agent antidotes, atropine and pralidoxime (2-PAM), are administered once symptoms of poisoning appear.

Discontinue pyridostigmine at the first sign of nerve agent poisoning because it may exacerbate the effects of a sublethal exposure to soman if taken immediately before exposure (e.g., when the gas attack alarm is given) or at the same time as poisoning by soman [see Clinical Pharmacology (12.2)]. Signs of nerve agent poisoning can include runny nose; watery eyes; small, pinpoint pupils; eye pain; blurred vision; drooling and excessive sweating; cough; chest tightness; rapid breathing; diarrhea; increased urination; confusion; drowsiness; weakness; headache; nausea, vomiting, and/or abdominal pain; slow or fast heart rate; and/or abnormally low or high blood pressure.

Risk of Not Wearing Protective Garments

Pyridostigmine bromide is not the primary protection against exposure to soman nerve agent.

The primary protection against exposure to chemical nerve agents is the wearing of protective garments including masks, hoods, and overgarments designed specifically for this use. Individuals must not rely solely upon pretreatment with pyridostigmine bromide and on the antidotes, atropine and pralidoxime (2-PAM), to provide complete protection from poisoning by soman nerve agent.

2.2 Recommended Dosage, Administration, and Duration

Dosage

The recommended dosage of pyridostigmine bromide is one 30-mg tablet by mouth every 8 hours, started at least several hours prior to exposure to soman.

Timing and Duration of Treatment

Timing

Pyridostigmine is a pretreatment for exposure to soman nerve agent. There is no known advantage to taking pyridostigmine bromide just prior to or concurrent with soman exposure. According to the mechanism of action of pyridostigmine bromide [see Clinical Pharmacology (12.1, 12.2)], pyridostigmine bromide is effective when it is given sufficiently in advance of soman poisoning to provide a pool of protected enzyme. Therefore, it is expected that pyridostigmine bromide will not be effective if administered just prior to or during exposure to soman.

Duration

At the first sign of nerve agent poisoning, discontinue pyridostigmine bromide and administer pretreatment with atropine and pralidoxime immediately [see Warnings and Precautions (5.1)].

The benefits and risks of use beyond 14 consecutive days have not been definitively established; therefore, evaluate continued use beyond 14 consecutive days in the context of the likelihood of exposure to soman nerve agent.

Missed Dose

If a dose is missed, take the missed dose as soon as possible. Do not take double or extra doses.

Principal Display Panel 21 Tablet Blister Pack Label

NSN 6505-01-178-7903

PYRIDOSTIGMINE BROMIDE TABLETS, USP, 30 mg

(Soman Nerve Agent Pretreatment Pyridostigmine (SNAPP)) Each Tablet contains 30 mg

Quantity: 1 Blister Pack of 21 Tablets

Lot: LLLLLLL

Exp Date: YYYY/MM

When stored refrigerated (2°C to 8°C) (36°F to 46°F)

Discard contents 14 months after removal from the overwrap or after expiration date, whichever comes first.

Manufactured by Bausch Health Companies Inc., Laval, Quebec H7L 4A8 for US Department of Defense

NSN 6505-01-178-7903

PYRIDOSTIGMINE BROMIDE TABLETS, USP, 30 mg

(Soman Nerve Agent Pretreatment Pyridostigmine (SNAPP)) Each Tablet contains 30 mg

Quantity: 1 Blister Pack of 21 Tablets

Lot: LLLLLLL

Exp Date: YYYY/MM

When stored refrigerated (2°C to 8°C) (36°F to 46°F)

Discard contents 14 months after removal from the overwrap or after expiration date, whichever comes first.

Manufactured by Bausch Health Companies Inc., Laval, Quebec H7L 4A8 for US Department of Defense

7.4 Drugs That Interfere With Neuromuscular Transmission

Particular caution should be observed in the administration of depolarizing neuromuscular blocking agents (e.g., succinylcholine) during surgery since the degree of neuromuscular blockade that ensues may be enhanced by previously administered pyridostigmine bromide. Doses of nondepolarizing neuromuscular blocking agents (e.g., pancuronium bromide) may need to be increased in patients previously administered pyridostigmine bromide. Atropine antagonizes the muscarinic effects of pyridostigmine bromide, and this interaction is utilized to counteract the muscarinic symptoms of pyridostigmine bromide toxicity. Anticholinesterase agents are sometimes effective in reversing neuromuscular block induced by aminoglycoside antibiotics. However, aminoglycoside antibiotics, local and some general anesthetics, antiarrhythmic agents, and other drugs that interfere with neuromuscular transmission should be used cautiously, if at all, during treatment with pyridostigmine bromide.

13.1 Carcinogenesis, Mutagenesis, Impairment of Fertility

Carcinogenicity

Studies to evaluate the carcinogenic potential of pyridostigmine bromide have not been conducted.

Mutagenicity

Pyridostigmine bromide was negative in in vitro (bacterial reverse mutation, mammalian gene mutation in Chinese hamster ovary (CHO) cells, clastogenicity in CHO cells) and in vivo (mouse micronucleus) assays. Pyridostigmine bromide was mutagenic and clastogenic in an in vitro mammalian gene mutation assay in mouse lymphoma cells, in the presence of metabolic activation.

Impairment of Fertility

Pyridostigmine bromide did not impair fertility in male or female rats given oral doses of up to 45 mg/kg/day (5 times the recommended human daily dose of 90 mg on a mg/m2 basis) beginning at 10 (males) or 2 (females) weeks prior to mating.

Warning: Risks With Improper Use of Pyridostigmine Bromide

After Exposure to Soman, Use Atropine and Pralidoxime

  • Pyridostigmine bromide is for use as a pretreatment for exposure to soman nerve agent. Pyridostigmine bromide alone will not protect against exposure to soman. The efficacy of pyridostigmine bromide is dependent upon the rapid use of atropine and pralidoxime (2-PAM) after soman exposure [see Dosage and Administration (2.1) and Warnings and Precautions (5.1)].

Always Use Protective Garment(s)

  • Primary protection against exposure to chemical nerve agents is the wearing of protective garments including masks, hoods, and overgarments designed specifically for this use.
  • Individuals must not rely solely upon pretreatment with pyridostigmine bromide and on the antidotes atropine and pralidoxime (2-PAM) to provide complete protection from poisoning by soman nerve agent [see Dosage and Administration (2.1)].

Pyridostigmine Bromide as Pretreatment Only

  • If pyridostigmine bromide is taken immediately before exposure (e.g., when the gas attack alarm is given) or at the same time as poisoning by soman, it is not expected to be effective and may exacerbate the effects of a sublethal exposure to soman. Do not take pyridostigmine bromide after exposure to soman.[see Clinical Pharmacology (12.2)].

FOR MILITARY MEDICAL USE ONLY

Principal Display Panel 2100 Tablet Blister Pack Bag Label

NSN 6505-01-178-7903

PYRIDOSTIGMINE BROMIDE TABLETS, USP, 30 mg

(Soman Nerve Agent Pretreatment Pyridostigmine Bromide (SNAPP))

Each Tablet Contains 30 mg of Pyridostigmine Bromide

Unit of Issue: 1 0 Packages of 1 0 Blister Packs Each

Quantity: 2100 Tablets

Rx only

Lot No.: LLLLLL

Expiration Date:YYYY/MM

Store refrigerated (2°C to 8°C) (36°F to 46°F) in carton or foil overwrap to protect

from light until the expiration date.

Once removed from refrigerator, store at controlled room temperature

(20°C to 25°C) (68°F to 77°F) in carton or foil overwrap for up to 5 years minus

half of the time spent under refrigerated storage or the expiration date,

whichever comes first.

Date removed from refrigerator ____ /____ /____

Manufactured by Bausch Health Companies Inc., Laval, Quebec H7L 4A8 for US Department of Defense

draft_SHL_FRG_24_09-11

Principal Display Panel 210 Tablet Blister Pack Package Label

NDC 72458-128-04

Rx Only

NSN 6505-01-178-7903

PYRIDOSTIGMINE BROMIDE

TABLETS, USP, 30 MG

[Soman Nerve Agent Pretreatment

Pyridostigmine (SNAPP)]

Unit of Issue: 1 Package of 10 Blister Packs

Quantity: 210 Tablets

Store refrigerated (2°C to 8°C) (36°F to 46°F), in foil

overwrap to protect from light, until the expiration date.

Once removed from refrigerator store at controlled room

temperature (20°C to 25°C) (68°F to 77°F) in foil overwrap for

up to 5 years minus half of the time spent under refrigerated

storage or until the expiration date, whichever comes first.

Following removal of the blister packages from the foil

overwrap, discard the contents of each blister package after

14 months or the expiration date, whichever comes first.

Date removed from refrigerator _____/_____/_____

Manufactured by Bausch Health Companies Inc.,

Laval, Quebec H7L 4A8 for US Department of Defense

LOT: 0000000

EXP: YYYY/MM

00000000X

5.2 Increased Risk of Anticholinergic Adverse Reactions in Individuals With Certain Conditions

Pulmonary Conditions

Drugs that increase cholinergic activity, including pyridostigmine bromide, should be used with caution in persons with bronchial asthma or chronic obstructive pulmonary disease.

Cardiovascular Conditions

Because pyridostigmine bromide increases cholinergic activity, it may have vagotonic effects on heart rate, which can lead to bradycardia or cardiac arrhythmias.

Genitourinary Tract or Gastrointestinal Tract Obstruction

Drugs that increase cholinergic agents, including pyridostigmine bromide, could cause symptoms in persons susceptible to genitourinary tract or gastrointestinal tract obstruction.

Conditions Treated with Beta Adrenergic Receptor Blockers

Pyridostigmine bromide should be used with caution in people being treated for hypertension or glaucoma with beta adrenergic receptor blockers [see Drug Interactions (7.2)].

5.4 Serious Adverse Reactions, Such As Difficulty Breathing, Severe Dizziness, Loss of Consciousness

Pyridostigmine bromide can cause serious adverse reactions such as difficulty breathing, severe dizziness, or loss of consciousness. If these adverse reactions occur, patients should temporarily discontinue use of pyridostigmine bromide and seek immediate medical attention. Personnel should report serious adverse events to their commander and responsible medical officer.


Structured Label Content

Section 42229-5 (42229-5)

Distributed by:

Defense Logistics Agency Troop Support,

  Philadelphia Medical Directorate

  700 Robbins Ave

  Philadelphia, PA 19111

For:

Defense Health Agency

Research & Development - Medical Research and Development Command

ATTN: FCMR-ORA

1541 Porter Street

Fort Detrick, MD 21702-9247

Section 43683-2 (43683-2)
Contraindications (4) 09/2025
Warnings and Precautions (5.2) 09/2025
10 Overdosage (10 OVERDOSAGE)

Overdosage of pyridostigmine bromide may result in cholinergic crisis, a state characterized by increasing muscle weakness that, through involvement of the muscles of respiration, may lead to death. Overdosage with pyridostigmine bromide must be differentiated from the acute manifestations of nerve agent poisoning, which may also be characterized by a cholinergic crisis.

Extremely high doses of pyridostigmine bromide may also produce CNS symptoms of agitation, restlessness, confusion, visual hallucinations, and paranoid delusions. Electrolyte abnormalities, possibly resulting from high serum bromide concentrations, also have been reported. Death may result from cardiac arrest or respiratory paralysis and pulmonary edema.

In the treatment of pyridostigmine bromide overdosage, maintaining adequate respiration is of primary importance. Tracheostomy, bronchial aspiration, and postural drainage may be required to maintain an adequate airway; respiration can be assisted mechanically if required. Supplemental oxygen may be necessary. Pyridostigmine bromide should be discontinued immediately and 1 mg to 4 mg of atropine sulfate administered intravenously. Additional doses of atropine may be given every 5 to 30 minutes as needed to control muscarinic symptoms. Atropine overdosage should be avoided, as tenacious secretions and bronchial plugs may result. It should be kept in mind that unlike muscarinic effects, the skeletal muscle effects and consequent respiratory paralysis (nicotinic effects) which can occur following pyridostigmine overdosage, are not alleviated by atropine.

7.3 Narcotics

The bradycardia associated with the use of narcotics may exacerbate pyridostigmine-induced bradycardia.

8.1 Pregnancy

Risk Summary

Available data from case reports and case series over decades of use with pyridostigmine bromide have not identified a drug-associated risk of major birth defects, miscarriage, or other adverse maternal or fetal outcomes. Treatment with pyridostigmine bromide for soman nerve agent poisoning during pregnancy should not be delayed because exposure to soman during pregnancy may increase the risk of maternal and fetal morbidity and mortality.

In animal studies, oral administration of pyridostigmine during organogenesis resulted in adverse developmental effects (increased embryofetal mortality and fetal structural abnormalities) at clinically relevant doses (see Data ).

The background risk for major birth defects and miscarriage for the indicated population is unknown. All pregnancies have a background risk of birth defect, loss, or other adverse outcomes. In the U.S. general population, the estimated background risk of major birth defects and miscarriage in clinically recognized pregnancies is 2% to 4% and 15% to 20%, respectively.

Data

Animal Data

Oral administration of pyridostigmine to pregnant rats during organogenesis resulted in increases in embryofetal deaths and incidences of fetal skeletal variations at the highest dose tested (30 mg/kg/day), which was also maternally toxic. A slight increase in the incidence of hydronephrosis was observed at all dose levels (lowest dose tested was 3 mg/kg/day). A no-effect dose for adverse effects on embryofetal development in the rat was not identified. The lowest dose tested (3 mg/kg/day) is less than the recommended human dose (105 mg) on a body surface area (mg/m2) basis.

Oral administration of pyridostigmine to pregnant rabbits during organogenesis resulted in an increase in the incidence of visceral variations at the highest dose tested (45 mg/kg/day), which was also maternally toxic. An increased incidence of blood vessel variations was observed at all doses (lowest dose tested was 5 mg/kg/day). A no-effect dose for adverse effects on embryofetal development in the rabbit was not identified. The lowest dose tested (5 mg/kg/day) is less than the recommended human dose on a body surface area (mg/m2) basis.

8.2 Lactation

Risk Summary

Pyridostigmine bromide is present in human milk. Based on limited data, pyridostigmine bromide was not detected in the plasma of infants who were breastfed by mothers taking pyridostigmine bromide. There are no data on the effects on milk production. The developmental and health benefits of breastfeeding should be considered along with the mother's clinical need for pyridostigmine bromide and any potential adverse effects on the breastfed infant from pyridostigmine bromide or from the underlying maternal condition.

11 Description (11 DESCRIPTION)

Pyridostigmine bromide is an orally active, reversible cholinesterase inhibitor. Pyridostigmine bromide is a white or almost white, crystalline, deliquescent powder, very soluble in water and alcohol, and practically insoluble in ether.

CAS registration number is 101-26-8.

Pyridostigmine bromide has a molecular formula of C9H13BrN2O2, with a molecular weight of 261.12. Its chemical name is: 3-hydroxy-1-methylpyridinium bromide dimethylcarbamate, and its structural formula is:

Pyridostigmine bromide tablets, USP contain 30 mg of pyridostigmine bromide (equivalent to 20.8 mg of pyridostigmine base) for oral administration. The inactive ingredients included in the tablet formula are colloidal silicon dioxide, lactose anhydrous, and stearic acid or, alternatively; lactose, magnesium stearate, silica precipitated, starch, and talc.

7.1 Mefloquine

Concomitant use of mefloquine and pyridostigmine bromide may have additive effects on the gastrointestinal tract, the most common of which is loose bowels. Additive effects on the atrial rate may also occur with concomitant use of mefloquine and pyridostigmine bromide.

16.1 How Supplied

Pyridostigmine bromide tablets, USP, 30 mg, are round, white tablets imprinted with the letters "PBT."

Immediate Container: Individually sealed blister or strip package containing twenty-one (21) tablets which is supplied in a protective sleeve.

NDC 72458-128-03

Secondary Container: A protective foil overwrap containing ten (10) immediate containers (sleaved blister of strip packages) containing 210 tablets total.

NDC 72458-128-04

  NSN 6505-01-178-7903. The NSN refers to the secondary container unit that is ordered from supply (1 of this stock number is one foil overwrap of 10 blister packs).

Shipping Carton Contents: Ten (10) foil overwrap packages containing ten (10) blister or strip packages containing 2,100 tablets total.

8.4 Pediatric Use

Safety and effectiveness in pediatric patients have not been established.

8.5 Geriatric Use

Clinical studies of pyridostigmine bromide did not contain sufficient numbers of subjects aged 65 and over to determine whether they respond differently than younger subjects. In general, dose selection for an elderly patient should be cautious, reflecting the greater frequency of decreased hepatic, renal, or cardiac function, and of concomitant disease or other drug therapy.

This drug is known to be substantially excreted by the kidney, and the risk of toxic reactions to this drug may be greater in patients with impaired renal function. Because elderly patients are more likely to have decreased renal function [see Clinical Pharmacology (12.3)], care should be taken in dose selection, and it may be useful to monitor renal function.

14 Clinical Studies (14 CLINICAL STUDIES)

The effectiveness of pyridostigmine bromide as a pretreatment against the lethal effects of soman nerve agent poisoning has not been determined in humans because adequate and well-controlled field trials have not been feasible and inducing soman nerve agent poisoning in humans to study the drug's efficacy is not ethical. Therefore, the effectiveness of pyridostigmine bromide as a pretreatment against the lethal effects of soman nerve agent poisoning was established based on the results of the following adequate and well-controlled animal efficacy studies.

While the results of these animal studies cannot be extrapolated to humans with certainty, the extrapolation is supported by the reasonably well understood pathophysiologic mechanisms of the toxicity of soman and the mechanism of the protective effect of pyridostigmine bromide pretreatment, as examined in various animal species. In addition, the results of these animal studies establish that pyridostigmine bromide is reasonably likely to produce clinical benefit in humans. The section below explains the current understanding of the mechanism of soman toxicity and the beneficial effect of pyridostigmine bromide pretreatment, as well as the basis for extrapolating the animal findings to humans.

Pyridostigmine bromide pretreatment has been shown in animals to decrease the lethality of the soman nerve agent, provided atropine and pralidoxime (2-PAM) are administered immediately after exposure to soman.

Rhesus monkeys were given oral doses of pyridostigmine bromide every 8 hours for a total of 6 doses and were challenged with soman given intramuscularly 5 hours after the last pyridostigmine bromide dose. Two dosage groups of pyridostigmine bromide were used: a low-dose group given 1.2 mg/kg for all 6 doses and a high-dose group given 1.2 and 1.8 mg/kg for the first and second doses, respectively, and 2.4 mg/kg for the final 4 doses. These animals were also given atropine and 2-PAM after exposure to soman. An untreated control group and a group given atropine and 2-PAM (but not pyridostigmine bromide) were also used. The primary endpoint in this study was a decrease in the lethality of soman expressed as an increase in the LD50 (the dose of soman that killed 50 % of the animals). The atropine/2-PAM control group showed a small but statistically significant 1.6-fold increase in the soman LD50 compared to the untreated control group. The groups given pyridostigmine bromide as well as atropine and 2-PAM showed increases in the soman LD50 of at least 40-fold compared to the untreated control group and at least 25-fold compared to the atropine/2-PAM group. The two dose levels of pyridostigmine bromide showed similar effectiveness.

Additional studies in rhesus monkeys and guinea pigs also showed effectiveness of pyridostigmine bromide (in the presence of post-soman administration of atropine and 2-PAM). The magnitude of effect in guinea pigs was smaller than that in monkeys (soman LD50 increased 4- to 7-fold compared to untreated control and 2- to 4-fold compared to atropine/ 2-PAM alone).

Pyridostigmine bromide produced only small and inconsistent effects in studies in rats, mice, and rabbits. It is thought that the effect of pyridostigmine bromide in rats and mice is masked by high blood levels of the enzyme carboxylesterase, which eliminates soman from blood and makes those species highly resistant to soman. In a study in which rats were given an inhibitor of carboxylesterase, pretreatment with pyridostigmine bromide plus atropine and 2-PAM increased the LD50 of soman 8.5-fold compared to untreated controls. Humans have little or no carboxylesterase in blood.

Animal studies have shown that pyridostigmine bromide pretreatment was effective only when animals were given atropine and 2-PAM after exposure to soman.

4 Contraindications (4 CONTRAINDICATIONS)

Pyridostigmine bromide is contraindicated in patients with:

  • Mechanical intestinal or urinary obstruction
  • Known hypersensitivity to pyridostigmine or other anticholinesterase agents
6 Adverse Reactions (6 ADVERSE REACTIONS)

The following serious adverse reactions are discussed elsewhere in the labeling:

7 Drug Interactions (7 DRUG INTERACTIONS)
  • Mefloquine: Additive effect on gastrointestinal tract and atrial rate. (7.1)
  • Anticholinesterase drugs for glaucoma treatment: Additive effects. (7.2)
  • Narcotics: Exacerbation of bradycardia possible. (7.3)
  • Depolarizing neuromuscular blocking agents: Increased effect. (7.4)
  • Non-depolarizing neuromuscular blocking agents: Dose may need to be increased. (7.4)
  • Aminoglycoside antibiotics, local and some general anesthetics, anti-arrhythmic agents, and other drugs that interfere with neuromuscular transmission should be used cautiously, if at all. (7.4)
  • Drugs converted to pantothenic acid (e.g., dexpanthenol): Additive effect. (7.5)
8.6 Renal Impairment

This drug is known to be substantially excreted by the kidney, and the risk of toxic reactions to this drug may be greater in patients with impaired renal function. Caution should be observed, and dosage be selected carefully, when administering pyridostigmine bromide to patients with impaired renal function [see Clinical Pharmacology (12.3)]. It may be useful to monitor renal function.

12.2 Pharmacodynamics

The mechanism of soman-induced death is reasonably well understood. Death is believed to result primarily from respiratory failure due to irreversible inhibition of the enzyme acetylcholinesterase and the consequent increase in the level of the neurotransmitter acetylcholine 1) at nicotinic receptors at the neuromuscular junction, resulting in pathological stimulation and ultimate failure of the muscles of respiration, 2) at muscarinic receptors in secretory glands and smooth muscle, resulting in excessive respiratory secretions and bronchoconstriction, and 3) at cholinergic receptors in the brain, resulting in central respiratory depression.

The effect of pyridostigmine is presumed to result from its reversible inhibition of a critical number of acetylcholinesterase active sites in the peripheral nervous system, protecting them from irreversible inhibition by soman. (Pyridostigmine bromide is not thought to enter the brain in significant amounts.) When the pyridostigmine bromide-induced inhibition of the enzyme is subsequently reversed, there is a small residual amount of enzyme activity that is adequate to sustain life (provided atropine and 2-PAM are subsequently administered). An implication of this presumed mechanism is that it is not helpful to give pyridostigmine bromide either just before or during exposure to soman [see Dosage and Administration (2.1, 2.2)].

12.3 Pharmacokinetics

Absorption

Pyridostigmine bromide is poorly absorbed from the gastrointestinal tract with an absolute bioavailability of 10% to 20%. Following a single oral dose of 30 mg pyridostigmine bromide in the fasting state, the Tmax was 2.2 ± 1.0 hours. The pharmacokinetics of pyridostigmine bromide is linear over the dose range of 30 mg to 60 mg. Following multiple doses of pyridostigmine bromide (30 mg every 8 hours for 21 days), the average steady-state trough concentration of pyridostigmine bromide was about ¼ of the peak concentration after a single dose.

Distribution

The volume of distribution was about 19 ± 12 liters, indicating that pyridostigmine bromide distributes into tissues. No information on protein binding of pyridostigmine bromide is available.

Elimination

Metabolism

Pyridostigmine bromide undergoes hydrolysis by cholinesterases and is metabolized in the liver.

Excretion

Pyridostigmine bromide is excreted in the urine as both unchanged drug and its metabolites. The systemic clearance of pyridostigmine bromide is 830 mL/min and the elimination half-life of pyridostigmine bromide is approximately 3 hours.

Specific Populations

Patients with Renal Impairment: In anephric patients (n = 4), the elimination half-life increased 3-fold and the systemic clearance decreased by 75% [see Use in Specific Populations (8.6)].

Patients with Hepatic Impairment: No information is available on the pharmacokinetics of pyridostigmine bromide in hepatic impaired patients.

Male and Female Patients: The clearance of pyridostigmine bromide is not influenced by sex.

Geriatric Patients: In a pyridostigmine bromide study in elderly subjects (71 to 85 years of age), the elimination half-life and volume of distribution (central and steady-state) of pyridostigmine were comparable with younger subjects (21 to 51 years of age). However, the systemic plasma clearance was 30% lower in the elderly compared to younger subjects (6.7 ± 2.2 vs. 9.5 ± 2.7 mL/min/kg) [see Use in Specific Populations (8.5)].

1 Indications and Usage (1 INDICATIONS AND USAGE)

Pyridostigmine bromide is indicated for pretreatment against the lethal effects of soman nerve agent poisoning in adults. Pyridostigmine bromide is intended for use in conjunction with protective garments, including a mask. At the first sign of nerve agent poisoning, pyridostigmine bromide should be stopped, and atropine and pralidoxime therapy started immediately.

The evidence for the effectiveness of pyridostigmine bromide as pretreatment against soman-induced toxicity was derived from animal studies alone [see Clinical Studies (14)].

FOR MILITARY MEDICAL USE ONLY

12.1 Mechanism of Action

Pyridostigmine is a reversible cholinesterase inhibitor.

16.2 Storage and Handling

Store refrigerated between 2°C to 8°C (36°F to 46°F) in carton or foil overwrap to protect from light until the expiration date. Once removed from refrigerator, store at 20°C to 25°C (68°F to 77°F) [see USP controlled room temperature] in carton or foil overwrap for up to 5 years minus half of the time spent under refrigerated storage or until the expiration date, whichever comes first. Following removal of the blister packages from the foil overwrap, discard the contents of the blister package after 14 months or after the expiration date, whichever comes first.

5 Warnings and Precautions (5 WARNINGS AND PRECAUTIONS)
  • At the first sign of soman poisoning, pyridostigmine must be stopped, and atropine and 2-PAM must be administered immediately. (5.1)
  • Use with caution in persons with increased risk of anticholinergic reactions, such as persons with bronchial asthma, chronic obstructive pulmonary disease, bradycardia, cardiac arrhythmias, beta blocker treatment (increased risk of anticholinergic reactions). (5.2)
  • Use with caution in persons with bromide sensitivity. (5.3)
  • In case of serious adverse reactions, advise personnel to temporarily discontinue pyridostigmine and seek immediate medical attention. (5.4)
2 Dosage and Administration (2 DOSAGE AND ADMINISTRATION)
  • The recommended dosage is 30 mg orally every 8 hours, started at least one (1) hour prior to exposure to Soman. (2.2)
  • At the first sign of soman nerve agent poisoning, discontinue pyridostigmine and administer atropine and 2-PAM. (2.2)
  • Evaluate use beyond 14 consecutive days in the context of the likelihood of soman exposure. (2.2)
3 Dosage Forms and Strengths (3 DOSAGE FORMS AND STRENGTHS)

Tablets: 30 mg of pyridostigmine bromide, round, white and imprinted with the letters "PBT"

8 Use in Specific Populations (8 USE IN SPECIFIC POPULATIONS)

Renal impairment: Increased risk of side effects; careful dose selection. In persons with renal impairment, renal function monitoring may be useful. (8.6)

6.1 Clinical Trials Experience

Because clinical trials are conducted under widely varying conditions, adverse reaction rates observed in the clinical trials of a drug cannot be directly compared to rates in the clinical trials of another drug and may not reflect the rates observed in practice.

The adverse reactions to pyridostigmine bromide are typically of two varieties: muscarinic and nicotinic. Muscarinic adverse reactions include abdominal cramps, bloating, flatulence, diarrhea, emesis, increased peristalsis, nausea, hypersalivation, urinary incontinence, increased bronchial secretion, diaphoresis, miosis, and lacrimation. Nicotinic adverse reactions are comprised chiefly of muscle cramps, fasciculations, and weakness.

In a controlled study of 90 healthy volunteers comparing pyridostigmine bromide 30 mg every 8 hours to placebo for 21 days, the adverse reactions that were reported in 2% or more of subjects is included in Table 1. The most common adverse reactions (≥ 3%) are diarrhea, abdominal pain, dysmenorrhea, and twitch.

Table 1: Incidence of Adverse Reactions ≥ 2%
Adverse Reaction Pyridostigmine

N = 60

%
Placebo

N = 30

%
Diarrhea 7 0
Abdominal pain 7 0
Dysmenorrhea 5 0
Twitch 3 0
Myalgia 2 0
Dry skin 2 0
Urinary frequency 2 0
Epistaxis 2 0
Amblyopia 2 0
Hypesthesia 2 0
Neck pain 2 0

Other less common adverse reactions seen during controlled and uncontrolled clinical trials for pyridostigmine include the following:

  • Pulmonary: Exacerbation of acute bronchitis and asthma
  • Cardiovascular: Elevated blood pressure, decreased heart rate (4-6 beats per minute), chest tightness
  • Eyes: Change in vision, eye pain
  • Neurologic: Headache, hypertonia, difficulty in concentrating, confusion, disturbed sleep, tingling of extremities, numbness of the tongue
  • Skin: Increased sweating, rash, alopecia
  • Digestive: Vomiting, borborygmi, nausea, bloating, flatulence
  • General: Warm sensation, lethargy/drowsiness, depressed mood

During safety studies at the recommended dosage, there were two reports of loss of consciousness, one of which was suggestive of a seizure event as it also included urinary and fecal incontinence, stiffness of the upper torso and arms, post-syncopal skin pallor, post-syncopal confusion, and post-syncopal weakness.

Central Nervous System Adverse Reactions

Pyridostigmine bromide is a quaternary ammonium compound and does not readily cross the blood-brain barrier. Compared to the peripheral effects of pyridostigmine bromide, central nervous system (CNS) manifestations are less frequent and less serious, primarily consisting of headache and vertigo, with minor and clinically insignificant changes in heart rate, blood pressure, and respiratory function.

17 Patient Counseling Information (17 PATIENT COUNSELING INFORMATION)

Advise personnel to read the FDA-approved patient labeling (Patient Information).

Indication and Conditions of Use

Advise personnel of the following:

  • Pyridostigmine bromide is approved as a pretreatment against the lethal effects of the chemical nerve agent soman (GD). Pyridostigmine bromide has not been approved for use against other chemical nerve agents including Sarin (GB), Tabun (GA), and VX [see Indications and Usage (1)].

    The approval is based on safety studies in humans and effectiveness studies conducted in animals. It is not ethical to study the efficacy in humans. Human studies would require exposing people to the deadly effects of nerve agents, risking poisoning them or even killing them. Studies in monkeys and guinea pigs show that pretreatment with pyridostigmine bromide makes the antidotes (atropine and 2-PAM) work better against soman (GD) [see Clinical Studies (14)].
  • The main protection against chemical weapons is the chemical protective mask and battle dress overgarments [see Dosage and Administration (2.1, 2.2) and Warnings and Precautions (5.1)].
  • Pyridostigmine bromide is used as a pretreatment against a soman nerve agent attack. Based on the animal studies, it is thought that any potential benefits from use of pyridostigmine bromide occur only if:
    • (1)
      It is taken at least several hours before, but not right before, exposure to the nerve agent soman. If it is taken right before (when the nerve gas attack alarm is given) or during nerve agent exposure, it may not work and may make the effects of soman worse.
    • (2)
      Atropine and 2-PAM are used when symptoms of nerve agent poisoning occur [see Dosage and Administration (2.1, 2.2)].

Dosage and Administration [see Dosage and Administration (2.1, 2.2)]

Inform personnel of the following:

  • The chain of command will instruct when it is time to take pyridostigmine bromide, based on the threat of exposure to soman nerve agents.
  • Take one tablet orally every 8 hours until the chain of command instructs to stop taking pyridostigmine bromide.
  • Take pyridostigmine bromide tablets only as prescribed.
  • If a dose is missed, take the missed dose as soon as possible. Do not take double or extra doses.
  • There is no known advantage to taking extra pyridostigmine bromide right before soman exposure.
  • Discontinue pyridostigmine bromide after nerve agent exposure has occurred, instead:
    • Persons experiencing most or all of the MILD symptoms of nerve agent poisoning (runny nose; watery eyes; small, pinpoint pupils; eye pain; blurred vision; drooling and excessive sweating; cough; chest tightness; rapid breathing; diarrhea; increased urination; confusion; drowsiness; weakness; headache; nausea, vomiting, and/ or abdominal pain; slow or fast heart rate; and/or abnormally low or high blood pressure) should IMMEDIATELY AVOID INHALATION (hold their breath) AND PUT ON THEIR PROTECTIVE MASK.
    • Then atropine and 2-PAM must be administered.
  • Contact their unit medical officer if adverse reactions from pyridostigmine bromide continue and limit duty performance.

Risks in Individuals with Certain Conditions [see Contraindications (4), Warnings and Precautions (5.2), and Use in Specific Populations (8.1)]

Instruct personnel to inform their healthcare provider before taking pyridostigmine bromide if they:

  • Are pregnant
  • Have asthma
  • Are allergic to bromide, pyridostigmine, or anticholinesterase drugs
  • Take a beta blocker (a medicine to treat, e.g., high blood pressure)
  • Have high eye pressure (glaucoma)
  • Have any other medical condition, including heart problems, genitourinary or gastrointestinal obstruction, or reflux esophagitis (GERD)

Collection of Information

The Department of Defense (DoD) may collect information on the use of pyridostigmine bromide to help decide how best to protect deployed forces in the future. Information that identifies individual persons will remain confidential. However, the FDA may review any data collected by DoD for the purpose of evaluating pyridostigmine bromide.

Questions and Requests for Information

Questions about personnel rights and welfare should be directed to the unit medical officer or e-mailed to [email protected].

Personnel can receive information about pyridostigmine bromide from unit medical officers or medics. Questions about pyridostigmine bromide can also be e-mailed directly to the US Army Medical Research and Development Command at address

[email protected]. .

7.2 Other Anticholinesterase Drugs

Concomitant use of anticholinesterase drugs used in the treatment of glaucoma and pyridostigmine bromide may have an additive effect that may cause or exacerbate problems with night vision.

7.5 Drugs Converted to Pantothenic Acid

Concomitant use of drugs that are converted to pantothenic acid in vivo (e.g., dexpanthenol) and pyridostigmine bromide may have additive effects by increasing production of acetylcholine.

2.1 Important Administration Information

For Military Medical Use Only.

Treatment and Protection for Soman Exposure

Pyridostigmine bromide is for use as a pretreatment for exposure to soman nerve agent (see Treatment Timing). Pyridostigmine bromide alone will not protect against exposure to soman.

Atropine and Pralidoxime

The efficacy of pyridostigmine bromide is dependent upon the rapid use of atropine and pralidoxime (2-PAM) after soman exposure.

Primary Protection

The primary protection against exposure to chemical nerve agents consists of wearing protective garments including masks, hoods, and overgarments designed specifically for this use.

Do not rely solely upon pretreatment with pyridostigmine bromide and the antidotes atropine and pralidoxime to provide complete protection from poisoning by soman nerve agent.

Treatment Timing

Pyridostigmine bromide is to be administered as pretreatment before exposure to soman nerve agent [see Dosage and Administration (2.2)]. If pyridostigmine bromide is taken immediately before exposure (e.g., when the gas attack alarm is given) or at the same time as poisoning by soman, it is not expected to be effective and may exacerbate the effects of a sublethal exposure to soman [see Clinical Pharmacology (12.2)]. Do not take pyridostigmine bromide after exposure to soman.

5.3 Use in Bromide Sensitive Individuals (5.3 Use in Bromide-Sensitive Individuals)

Caution should be taken when administering pyridostigmine bromide to individuals with known bromide sensitivity. As with any compound containing bromide, a skin rash may be observed in bromide-sensitive patients, which usually subsides promptly upon discontinuance of the medication.

The risks and benefits of administration must be weighed against the potential for rash or other adverse reactions in these individuals.

Principal Display Panel 21 Tablet Blister Pack (PRINCIPAL DISPLAY PANEL - 21 Tablet Blister Pack)

00000000X

NDC 72458-128-03

Rx Only

Quantity: 21 Tablets

NSN 6505-01-178-7903

PYRIDOSTIGMINE BROMIDE TABLETS USP, 30 MG

[Soman Nerve Agent Pretreatment Pyridostgimine (SNAPP)]

Date removed from the overwrap ____ /____ /____

Discard contents 14 months after removal from the

overwrap or after expiration date, whichever comes first.

Stop Taking Pyridostigmine Tablets:

  • If You Are Exposed to Soman Nerve Agent
  • If You Hear a Gas Attack Alarm

When stored refrigerated (2°C to 8°C)(36°F to 46°F)

Manufactured by

Bausch Health

Companies Inc.,

Laval, Quebec

H7L 4A8 for

US Department

of Defense

LOT: 0000000

EXP: YYYY/MM

5.1 Risk of Improper Use of Pyridostigmine Bromide

Risk of Not Stopping Pyridostigmine Bromide and Using Atropine and Pralidoxime in the Event of Soman Exposure

Pyridostigmine bromide is for use as pretreatment for exposure to soman nerve agent and must not be taken after exposure to soman nerve agent [see Dosage and Administration (2.1, 2.2)]. Pyridostigmine bromide pretreatment offers no benefit against the nerve agent soman unless the nerve agent antidotes, atropine and pralidoxime (2-PAM), are administered once symptoms of poisoning appear.

Discontinue pyridostigmine at the first sign of nerve agent poisoning because it may exacerbate the effects of a sublethal exposure to soman if taken immediately before exposure (e.g., when the gas attack alarm is given) or at the same time as poisoning by soman [see Clinical Pharmacology (12.2)]. Signs of nerve agent poisoning can include runny nose; watery eyes; small, pinpoint pupils; eye pain; blurred vision; drooling and excessive sweating; cough; chest tightness; rapid breathing; diarrhea; increased urination; confusion; drowsiness; weakness; headache; nausea, vomiting, and/or abdominal pain; slow or fast heart rate; and/or abnormally low or high blood pressure.

Risk of Not Wearing Protective Garments

Pyridostigmine bromide is not the primary protection against exposure to soman nerve agent.

The primary protection against exposure to chemical nerve agents is the wearing of protective garments including masks, hoods, and overgarments designed specifically for this use. Individuals must not rely solely upon pretreatment with pyridostigmine bromide and on the antidotes, atropine and pralidoxime (2-PAM), to provide complete protection from poisoning by soman nerve agent.

2.2 Recommended Dosage, Administration, and Duration

Dosage

The recommended dosage of pyridostigmine bromide is one 30-mg tablet by mouth every 8 hours, started at least several hours prior to exposure to soman.

Timing and Duration of Treatment

Timing

Pyridostigmine is a pretreatment for exposure to soman nerve agent. There is no known advantage to taking pyridostigmine bromide just prior to or concurrent with soman exposure. According to the mechanism of action of pyridostigmine bromide [see Clinical Pharmacology (12.1, 12.2)], pyridostigmine bromide is effective when it is given sufficiently in advance of soman poisoning to provide a pool of protected enzyme. Therefore, it is expected that pyridostigmine bromide will not be effective if administered just prior to or during exposure to soman.

Duration

At the first sign of nerve agent poisoning, discontinue pyridostigmine bromide and administer pretreatment with atropine and pralidoxime immediately [see Warnings and Precautions (5.1)].

The benefits and risks of use beyond 14 consecutive days have not been definitively established; therefore, evaluate continued use beyond 14 consecutive days in the context of the likelihood of exposure to soman nerve agent.

Missed Dose

If a dose is missed, take the missed dose as soon as possible. Do not take double or extra doses.

Principal Display Panel 21 Tablet Blister Pack Label (PRINCIPAL DISPLAY PANEL - 21 Tablet Blister Pack Label)

NSN 6505-01-178-7903

PYRIDOSTIGMINE BROMIDE TABLETS, USP, 30 mg

(Soman Nerve Agent Pretreatment Pyridostigmine (SNAPP)) Each Tablet contains 30 mg

Quantity: 1 Blister Pack of 21 Tablets

Lot: LLLLLLL

Exp Date: YYYY/MM

When stored refrigerated (2°C to 8°C) (36°F to 46°F)

Discard contents 14 months after removal from the overwrap or after expiration date, whichever comes first.

Manufactured by Bausch Health Companies Inc., Laval, Quebec H7L 4A8 for US Department of Defense

NSN 6505-01-178-7903

PYRIDOSTIGMINE BROMIDE TABLETS, USP, 30 mg

(Soman Nerve Agent Pretreatment Pyridostigmine (SNAPP)) Each Tablet contains 30 mg

Quantity: 1 Blister Pack of 21 Tablets

Lot: LLLLLLL

Exp Date: YYYY/MM

When stored refrigerated (2°C to 8°C) (36°F to 46°F)

Discard contents 14 months after removal from the overwrap or after expiration date, whichever comes first.

Manufactured by Bausch Health Companies Inc., Laval, Quebec H7L 4A8 for US Department of Defense

7.4 Drugs That Interfere With Neuromuscular Transmission (7.4 Drugs that Interfere with Neuromuscular Transmission)

Particular caution should be observed in the administration of depolarizing neuromuscular blocking agents (e.g., succinylcholine) during surgery since the degree of neuromuscular blockade that ensues may be enhanced by previously administered pyridostigmine bromide. Doses of nondepolarizing neuromuscular blocking agents (e.g., pancuronium bromide) may need to be increased in patients previously administered pyridostigmine bromide. Atropine antagonizes the muscarinic effects of pyridostigmine bromide, and this interaction is utilized to counteract the muscarinic symptoms of pyridostigmine bromide toxicity. Anticholinesterase agents are sometimes effective in reversing neuromuscular block induced by aminoglycoside antibiotics. However, aminoglycoside antibiotics, local and some general anesthetics, antiarrhythmic agents, and other drugs that interfere with neuromuscular transmission should be used cautiously, if at all, during treatment with pyridostigmine bromide.

13.1 Carcinogenesis, Mutagenesis, Impairment of Fertility

Carcinogenicity

Studies to evaluate the carcinogenic potential of pyridostigmine bromide have not been conducted.

Mutagenicity

Pyridostigmine bromide was negative in in vitro (bacterial reverse mutation, mammalian gene mutation in Chinese hamster ovary (CHO) cells, clastogenicity in CHO cells) and in vivo (mouse micronucleus) assays. Pyridostigmine bromide was mutagenic and clastogenic in an in vitro mammalian gene mutation assay in mouse lymphoma cells, in the presence of metabolic activation.

Impairment of Fertility

Pyridostigmine bromide did not impair fertility in male or female rats given oral doses of up to 45 mg/kg/day (5 times the recommended human daily dose of 90 mg on a mg/m2 basis) beginning at 10 (males) or 2 (females) weeks prior to mating.

Warning: Risks With Improper Use of Pyridostigmine Bromide (WARNING: RISKS WITH IMPROPER USE OF PYRIDOSTIGMINE BROMIDE)

After Exposure to Soman, Use Atropine and Pralidoxime

  • Pyridostigmine bromide is for use as a pretreatment for exposure to soman nerve agent. Pyridostigmine bromide alone will not protect against exposure to soman. The efficacy of pyridostigmine bromide is dependent upon the rapid use of atropine and pralidoxime (2-PAM) after soman exposure [see Dosage and Administration (2.1) and Warnings and Precautions (5.1)].

Always Use Protective Garment(s)

  • Primary protection against exposure to chemical nerve agents is the wearing of protective garments including masks, hoods, and overgarments designed specifically for this use.
  • Individuals must not rely solely upon pretreatment with pyridostigmine bromide and on the antidotes atropine and pralidoxime (2-PAM) to provide complete protection from poisoning by soman nerve agent [see Dosage and Administration (2.1)].

Pyridostigmine Bromide as Pretreatment Only

  • If pyridostigmine bromide is taken immediately before exposure (e.g., when the gas attack alarm is given) or at the same time as poisoning by soman, it is not expected to be effective and may exacerbate the effects of a sublethal exposure to soman. Do not take pyridostigmine bromide after exposure to soman.[see Clinical Pharmacology (12.2)].

FOR MILITARY MEDICAL USE ONLY

Principal Display Panel 2100 Tablet Blister Pack Bag Label (PRINCIPAL DISPLAY PANEL - 2100 Tablet Blister Pack Bag Label)

NSN 6505-01-178-7903

PYRIDOSTIGMINE BROMIDE TABLETS, USP, 30 mg

(Soman Nerve Agent Pretreatment Pyridostigmine Bromide (SNAPP))

Each Tablet Contains 30 mg of Pyridostigmine Bromide

Unit of Issue: 1 0 Packages of 1 0 Blister Packs Each

Quantity: 2100 Tablets

Rx only

Lot No.: LLLLLL

Expiration Date:YYYY/MM

Store refrigerated (2°C to 8°C) (36°F to 46°F) in carton or foil overwrap to protect

from light until the expiration date.

Once removed from refrigerator, store at controlled room temperature

(20°C to 25°C) (68°F to 77°F) in carton or foil overwrap for up to 5 years minus

half of the time spent under refrigerated storage or the expiration date,

whichever comes first.

Date removed from refrigerator ____ /____ /____

Manufactured by Bausch Health Companies Inc., Laval, Quebec H7L 4A8 for US Department of Defense

draft_SHL_FRG_24_09-11

Principal Display Panel 210 Tablet Blister Pack Package Label (PRINCIPAL DISPLAY PANEL - 210 Tablet Blister Pack Package Label)

NDC 72458-128-04

Rx Only

NSN 6505-01-178-7903

PYRIDOSTIGMINE BROMIDE

TABLETS, USP, 30 MG

[Soman Nerve Agent Pretreatment

Pyridostigmine (SNAPP)]

Unit of Issue: 1 Package of 10 Blister Packs

Quantity: 210 Tablets

Store refrigerated (2°C to 8°C) (36°F to 46°F), in foil

overwrap to protect from light, until the expiration date.

Once removed from refrigerator store at controlled room

temperature (20°C to 25°C) (68°F to 77°F) in foil overwrap for

up to 5 years minus half of the time spent under refrigerated

storage or until the expiration date, whichever comes first.

Following removal of the blister packages from the foil

overwrap, discard the contents of each blister package after

14 months or the expiration date, whichever comes first.

Date removed from refrigerator _____/_____/_____

Manufactured by Bausch Health Companies Inc.,

Laval, Quebec H7L 4A8 for US Department of Defense

LOT: 0000000

EXP: YYYY/MM

00000000X

5.2 Increased Risk of Anticholinergic Adverse Reactions in Individuals With Certain Conditions (5.2 Increased Risk of Anticholinergic Adverse Reactions in Individuals with Certain Conditions)

Pulmonary Conditions

Drugs that increase cholinergic activity, including pyridostigmine bromide, should be used with caution in persons with bronchial asthma or chronic obstructive pulmonary disease.

Cardiovascular Conditions

Because pyridostigmine bromide increases cholinergic activity, it may have vagotonic effects on heart rate, which can lead to bradycardia or cardiac arrhythmias.

Genitourinary Tract or Gastrointestinal Tract Obstruction

Drugs that increase cholinergic agents, including pyridostigmine bromide, could cause symptoms in persons susceptible to genitourinary tract or gastrointestinal tract obstruction.

Conditions Treated with Beta Adrenergic Receptor Blockers

Pyridostigmine bromide should be used with caution in people being treated for hypertension or glaucoma with beta adrenergic receptor blockers [see Drug Interactions (7.2)].

5.4 Serious Adverse Reactions, Such As Difficulty Breathing, Severe Dizziness, Loss of Consciousness (5.4 Serious Adverse Reactions, Such as Difficulty Breathing, Severe Dizziness, Loss of Consciousness)

Pyridostigmine bromide can cause serious adverse reactions such as difficulty breathing, severe dizziness, or loss of consciousness. If these adverse reactions occur, patients should temporarily discontinue use of pyridostigmine bromide and seek immediate medical attention. Personnel should report serious adverse events to their commander and responsible medical officer.


Advanced Ingredient Data


Raw Label Data

All Sections (JSON)