Ampicillin Capsules, Usp

Ampicillin Capsules, Usp
SPL v18
SPL
SPL Set ID 0a66c5c3-63bf-46e3-835e-26b555ab6954
Route
ORAL
Published
Effective Date 2025-07-17
Document Type 34391-3 HUMAN PRESCRIPTION DRUG LABEL

Drug Facts

Composition & Product

Active Ingredients
Ampicillin (250 mg)
Inactive Ingredients
Ammonia Ferrosoferric Oxide Gelatin, Unspecified Magnesium Stearate Potassium Hydroxide Propylene Glycol Shellac Titanium Dioxide

Identifiers & Packaging

Pill Appearance
Imprint: GG851;GG851 Shape: capsule Color: white Size: 18 mm Size: 22 mm Score: 1
Marketing Status
ANDA Completed Since 1995-08-29 Until 2017-06-30

Description

Rx Only To reduce the development of drug-resistant bacteria and maintain the effectiveness of ampicillin and other antibacterial drugs, ampicillin should be used only to treat or prevent infections that are proven or strongly suspected to be caused by bacteria.

Indications and Usage

To reduce the development of drug-resistant bacteria and maintain the effectiveness of ampicillin capsules, ampicillin for oral suspension and other antibacterial drugs, ampicillin capsules and ampicillin for oral suspension should be used only to treat or prevent infections that are proven or strongly suspected to be caused by bacteria. When culture and susceptibility information are available, they should be considered in selecting of modifying antimicrobial therapy, in the absence of such data, local epidemiology and susceptibility patterns contribute to the empiric selection of therapy. Ampicillin capsules and ampicillin for oral suspension are indicated in the treatment of infections caused by susceptible strains of the designated organisms listed below: Infections of the genitourinary tract including gonorrhea: E. coli, P. mirabilis, enterococci , Shigella, S. typhosa and other Salmonella , and nonpenicillinase producing N. gonorrhoeae . Infections of the respiratory tract: Nonpenicillinase- producing H. influenzae and staphylococci, and streptococci including streptococcus pneumoniae . Infections of the gastrointestinal tract: Shigella, S. typhosa and other Salmonella, E. coli, P. mirabilis, and enterococci . Meningitis: N. Meningitides . Bacteriology studies to determine the causative organisms and their susceptibility to ampicillin should be performed. Therapy may be instituted prior to the results of susceptibility testing.

Dosage and Administration

Adults and children weighing over 20 kg: For genitourinary or gastrointestinal tract infections other than gonorrhea in men and women, the usual dose is 500 mg qid in equally spaced doses; severe or chronic infections may require larger doses. For the treatment of gonorrhea in both men and women, a single oral dose of 3.5 grams of ampicillin administered simultaneously with 1 gram of probenecid is recommended. Physicians are cautioned to use no less than the above recommended dosage for the treatment of gonorrhea. Follow-up cultures should be obtained from the original site(s) of infection 7 to 14 days after therapy. In women, it is also desirable to obtain culture test-of-cure from both the endocervical and anal canals. Prolonged intensive therapy is needed for complications such as prostatitis and epididymitis. For respiratory tract infections , the usual dose is 250 mg qid in equally spaced doses. Pediatric patients weighing 20 kg or less: For genitourinary or gastrointestinal tract infections , the usual dose is 100 mg/kg/day total, qid in equally divided and spaced doses. For respiratory tract infections, the usual dose is 50 mg/kg/day total, in equally divided and spaced doses three to four times daily. Doses for children should not exceed doses recommended for adults. All Patients, Irrespective of Age and Weight : Larger doses may be required for severe or chronic infections. Although ampicillin is resistant to degradation by gastric acid, it should be administered at least one-half hour before or two hours after meals for maximal absorption. Except for the single dose regimen for gonorrhea referred to above, therapy should be continued for a minimum of 48 to 72 hours after the patient becomes asymptomatic or evidence of bacterial eradication has been obtained. In infections caused by hemolytic strains of streptococci, a minimum of 10 days’ treatment is recommended to guard against the risk of rheumatic fever or glomerulonephritis (see PRECAUTIONS–Laboratory Tests ). In the treatment of chronic urinary or gastrointestinal infections, frequent bacteriologic and clinical appraisal is necessary during therapy and may be necessary for several months afterwards. Stubborn infections may require treatment for several weeks. Smaller doses than those indicated above should not be used.

Contraindications

The use of Ampicillin is contraindicated in individuals with a history of serious hypersensitivity reactions (e.g., anaphylaxis or Stevens-Johnson syndrome) to ampicillin or to other beta-lactam antibacterial drugs. Ampicillin is also contraindicated in infections caused by penicillinase-producing organisms. Ampicillin is contraindicated in patients with a previous history of cholestatic jaundice/hepatic dysfunction associated with treatment with ampicillin.

Adverse Reactions

As with other penicillins, it may be expected that untoward reactions will be essentially limited to sensitivity phenomena. They are more likely to occur in individuals who have previously demonstrated hypersensitivity to penicillin and in those with a history of allergy, asthma, hay fever, or urticaria. The following adverse reactions have been reported as associated with the use of ampicillin: Infections and Infestations: Clostridioides difficile -associated diarrhea (see WARNINGS section). Gastrointestinal : glossitis, stomatitis, nausea, vomiting, enterocolitis, pseudomembranous colitis, and diarrhea. These reactions are usually associated with oral dosage forms of the drugs. Hypersensitivity Reactions : Severe cutaneous adverse reactions, including Stevens-Johnson syndrome (SJS), toxic epidermal necrolysis (TEN), drug reaction with eosinophilia and systemic symptoms (DRESS), angioedema, and acute generalized exanthematous pustulosis (AGEP) have been reported in beta-lactam antibiotics (see WARNINGS ). An erythematous, mildly pruritic, maculopapular skin rash has been reported fairly frequently. The rash, which usually does not develop within the first week of therapy, may cover the entire body including the soles, palms, and oral mucosa. The eruption usually disappears in three to seven days. Other hypersensitivity reactions that have been reported are: skin rash, pruritus, urticaria, erythema multiforme, and an occasional case of exfoliative dermatitis. Linear IgA bullous dermatosis has been reported. Anaphylaxis is the most serious reaction experienced and has usually been associated with the parenteral dosage form of the drug. NOTE : Urticaria, other skin rashes, and serum sickness-like reactions may be controlled by antihistamines, and, if necessary, systemic corticosteroids. Whenever such reactions occur, ampicillin should be discontinued unless, in the opinion of the physician, the condition being treated is life-threatening, and amenable only to ampicillin therapy. Serious anaphylactic reactions require emergency measures (see WARNINGS ). Liver : Moderate elevation in serum glutamic oxaloacetic transaminase (SGOT) has been noted, but the significance of this finding is unknown. Hemic and Lymphatic Systems : Anemia, thrombocytopenia, thrombocytopenic purpura, eosinophilia, leukopenia, and agranulocytosis have been reported during therapy with penicillins. These reactions are usually reversible on discontinuation of therapy and are believed to be hypersensitivity phenomena. Other adverse reactions that have been reported with the use of ampicillin are laryngeal stridor and high fever. An occasional patient may complain of sore mouth or tongue as with any oral penicillin preparation.

Drug Interactions

When administered concurrently, the following drugs may interact with ampicillin. Allopurinol : Substantially increased incidence of skin rashes in patients receiving both drugs as compared to patients receiving ampicillin alone. It is not known whether this potentiation of ampicillin rashes is due to allopurinol or the hyperuricemia present in these patients. Bacteriostatic Antibiotics : Chloramphenicol, erythromycins, sulfonamides, or tetracyclines may interfere with the bactericidal effect of penicillins. This has been demonstrated in vitro; however, the clinical significance of this interaction is not well-documented. Oral Contraceptives : May be less effective and increased breakthrough bleeding may occur. Probenecid : May decrease renal tubular secretion of ampicillin resulting in increased blood levels and/or ampicillin toxicity.

How Supplied

Ampicillin capsules, USP: Each capsule, for oral administration, contains ampicillin trihydrate equivalent to 250 mg or 500 mg ampicillin, and are supplied as: 250 mg: White, opaque, hard gelatin capsules, imprinted in black ink GG 850/GG 850. NDC 0781-2144-01: 100 capsules in one bottle NDC 0781-2144-05: 500 capsules in one bottle 500 mg: White, opaque, hard gelatin capsules, imprinted in black ink GG 851/GG 851. NDC 0781-2145-01: 100 capsules in one bottle NDC 0781-2145-05: 500 capsules in one bottle


Medication Information

Indications and Usage

To reduce the development of drug-resistant bacteria and maintain the effectiveness of ampicillin capsules, ampicillin for oral suspension and other antibacterial drugs, ampicillin capsules and ampicillin for oral suspension should be used only to treat or prevent infections that are proven or strongly suspected to be caused by bacteria. When culture and susceptibility information are available, they should be considered in selecting of modifying antimicrobial therapy, in the absence of such data, local epidemiology and susceptibility patterns contribute to the empiric selection of therapy.

Ampicillin capsules and ampicillin for oral suspension are indicated in the treatment of infections caused by susceptible strains of the designated organisms listed below:

Infections of the genitourinary tract including gonorrhea: E. coli, P. mirabilis, enterococci, Shigella, S. typhosa and other Salmonella, and nonpenicillinase producing N. gonorrhoeae.

Infections of the respiratory tract: Nonpenicillinase- producing H. influenzae and staphylococci, and streptococci including streptococcus pneumoniae.

Infections of the gastrointestinal tract: Shigella, S. typhosa and other Salmonella, E. coli, P. mirabilis, and enterococci.

Meningitis: N. Meningitides.

Bacteriology studies to determine the causative organisms and their susceptibility to ampicillin should be performed. Therapy may be instituted prior to the results of susceptibility testing.

Dosage and Administration

Adults and children weighing over 20 kg:

For genitourinary or gastrointestinal tract infections other than gonorrhea in men and women, the usual dose is 500 mg qid in equally spaced doses; severe or chronic infections may require larger doses. For the treatment of gonorrhea in both men and women, a single oral dose of 3.5 grams of ampicillin administered simultaneously with 1 gram of probenecid is recommended. Physicians are cautioned to use no less than the above recommended dosage for the treatment of gonorrhea. Follow-up cultures should be obtained from the original site(s) of infection 7 to 14 days after therapy. In women, it is also desirable to obtain culture test-of-cure from both the endocervical and anal canals. Prolonged intensive therapy is needed for complications such as prostatitis and epididymitis.

For respiratory tract infections, the usual dose is 250 mg qid in equally spaced doses.

Pediatric patients weighing 20 kg or less:

For genitourinary or gastrointestinal tract infections, the usual dose is 100 mg/kg/day total, qid in equally divided and spaced doses. For respiratory tract infections, the usual dose is 50 mg/kg/day total, in equally divided and spaced doses three to four times daily. Doses for children should not exceed doses recommended for adults.

All Patients, Irrespective of Age and Weight:

Larger doses may be required for severe or chronic infections. Although ampicillin is resistant to degradation by gastric acid, it should be administered at least one-half hour before or two hours after meals for maximal absorption. Except for the single dose regimen for gonorrhea referred to above, therapy should be continued for a minimum of 48 to 72 hours after the patient becomes asymptomatic or evidence of bacterial eradication has been obtained. In infections caused by hemolytic strains of streptococci, a minimum of 10 days’ treatment is recommended to guard against the risk of rheumatic fever or glomerulonephritis (see PRECAUTIONS–Laboratory Tests ). In the treatment of chronic urinary or gastrointestinal infections, frequent bacteriologic and clinical appraisal is necessary during therapy and may be necessary for several months afterwards. Stubborn infections may require treatment for several weeks. Smaller doses than those indicated above should not be used.

Contraindications

The use of Ampicillin is contraindicated in individuals with a history of serious hypersensitivity reactions (e.g., anaphylaxis or Stevens-Johnson syndrome) to ampicillin or to other beta-lactam antibacterial drugs. Ampicillin is also contraindicated in infections caused by penicillinase-producing organisms.

Ampicillin is contraindicated in patients with a previous history of cholestatic jaundice/hepatic dysfunction associated with treatment with ampicillin.

Adverse Reactions

As with other penicillins, it may be expected that untoward reactions will be essentially limited to sensitivity phenomena. They are more likely to occur in individuals who have previously demonstrated hypersensitivity to penicillin and in those with a history of allergy, asthma, hay fever, or urticaria.

The following adverse reactions have been reported as associated with the use of ampicillin:

Infections and Infestations: Clostridioides difficile-associated diarrhea (see WARNINGS section).

Gastrointestinal: glossitis, stomatitis, nausea, vomiting, enterocolitis, pseudomembranous colitis, and diarrhea. These reactions are usually associated with oral dosage forms of the drugs.

Hypersensitivity Reactions: Severe cutaneous adverse reactions, including Stevens-Johnson syndrome

(SJS), toxic epidermal necrolysis (TEN), drug reaction with eosinophilia and systemic symptoms

(DRESS), angioedema, and acute generalized exanthematous pustulosis (AGEP) have been reported in

beta-lactam antibiotics (see WARNINGS ). An erythematous, mildly pruritic, maculopapular skin rash has been reported fairly frequently. The rash, which usually does not develop within the first week of therapy, may cover the entire body including the soles, palms, and oral mucosa. The eruption usually disappears in three to seven days. Other hypersensitivity reactions that have been reported are: skin rash, pruritus, urticaria, erythema multiforme, and an occasional case of exfoliative dermatitis. Linear IgA bullous dermatosis has been reported. Anaphylaxis is the most serious reaction experienced and has usually been associated with the parenteral dosage form of the drug.

NOTE: Urticaria, other skin rashes, and serum sickness-like reactions may be controlled by antihistamines, and, if necessary, systemic corticosteroids. Whenever such reactions occur, ampicillin should be discontinued unless, in the opinion of the physician, the condition being treated is life-threatening, and amenable only to ampicillin therapy. Serious anaphylactic reactions require emergency measures (see WARNINGS ).

Liver: Moderate elevation in serum glutamic oxaloacetic transaminase (SGOT) has been noted, but the significance of this finding is unknown.

Hemic and Lymphatic Systems: Anemia, thrombocytopenia, thrombocytopenic purpura, eosinophilia, leukopenia, and agranulocytosis have been reported during therapy with penicillins. These reactions are usually reversible on discontinuation of therapy and are believed to be hypersensitivity phenomena.

Other adverse reactions that have been reported with the use of ampicillin are laryngeal stridor and high fever. An occasional patient may complain of sore mouth or tongue as with any oral penicillin preparation.

Drug Interactions

When administered concurrently, the following drugs may interact with ampicillin.

Allopurinol : Substantially increased incidence of skin rashes in patients receiving both drugs as compared

to patients receiving ampicillin alone. It is not known whether this potentiation of ampicillin rashes is due

to allopurinol or the hyperuricemia present in these patients.

Bacteriostatic Antibiotics : Chloramphenicol, erythromycins, sulfonamides, or tetracyclines may interfere with the bactericidal effect of penicillins. This has been demonstrated in vitro; however, the clinical significance of this interaction is not well-documented.

Oral Contraceptives : May be less effective and increased breakthrough bleeding may occur.

Probenecid : May decrease renal tubular secretion of ampicillin resulting in increased blood levels and/or ampicillin toxicity.

How Supplied

Ampicillin capsules, USP: Each capsule, for oral administration, contains ampicillin trihydrate equivalent to 250 mg or 500 mg ampicillin, and are supplied as:

250 mg: White, opaque, hard gelatin capsules, imprinted in black ink GG 850/GG 850.

NDC 0781-2144-01: 100 capsules in one bottle

NDC 0781-2144-05: 500 capsules in one bottle

500 mg: White, opaque, hard gelatin capsules, imprinted in black ink GG 851/GG 851.

NDC 0781-2145-01: 100 capsules in one bottle

NDC 0781-2145-05: 500 capsules in one bottle

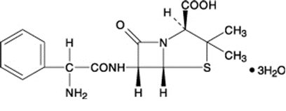
Description

Ampicillin trihydrate is a semisynthetic penicillin derived from the basic penicillin nucleus, 6- aminopenicillanic acid. Ampicillin is designated chemically as (2S, 5R, 6R)-6-[(R)-2-Amino-2-phenylacetamido]-3,3- dimethyl-7-oxo-4-thia-1-azabicyclo [3.2.0] heptane-2- carboxylic acid. Its structural formula is:

Molecular formula: C16H19N3O4S · 3 H2O

Molecular weight: 403.5

Ampicillin capsules, USP for oral administration provide ampicillin trihydrate equivalent to 250 mg and 500 mg ampicillin. Inactive ingredients: black iron oxide, gelatin, magnesium stearate, titanium dioxide, shellac, propylene glycol, ammonium hydroxide, and potassium hydroxide.

Section 42229-5

Rx Only

To reduce the development of drug-resistant bacteria and maintain the effectiveness of ampicillin and other antibacterial drugs, ampicillin should be used only to treat or prevent infections that are proven or strongly suspected to be caused by bacteria.

Section 44425-7

Store at 20°C to 25°C (68°F to 77°F) [see USP Controlled Room Temperature].

Dispense in a tight container.

Clinitest® is a registered trademark of Miles, Inc.

Clinistix® is a registered trademark of Bayer Corporation.

Tes-Tape® is a registered trademark of Eli Lilly Company.

Revised: 07/2025

Manufactured by Sandoz GmbH., Austria for

Sandoz Inc., Princeton, NJ 08540

General

A high percentage of patients with mononucleosis who receive ampicillin develop a skin rash. Thus,

ampicillin class antibacterial should not be administered to patients with mononucleosis. In patients

treated with ampicillin the possibility of superinfections with mycotic or bacterial pathogens should be

kept in mind during therapy. If superinfections occur (usually involving Pseudomonas or Candida), the

drug should be discontinued and/or appropriate therapy instituted.

Prescribing ampicillin in the absence of a proven or strongly suspected bacterial infection or a prophylactic indication is unlikely to provide benefit to the patient and increases the risk of the development of drug-resistant bacteria.

Prolonged use of antibiotics may promote the overgrowth of nonsusceptible organisms, including fungi. Should superinfection occur, appropriate measures should be taken.

Patients with gonorrhea who also have syphilis should be given additional appropriate parenteral penicillin treatment.

Treatment with ampicillin does not preclude the need for surgical procedures, particularly in staphylococcal infections.

Warnings

SERIOUS AND OCCASIONALLY FATAL HYPERSENSITIVITY (ANAPHYLACTIC) REACTIONS HAVE BEEN REPORTED IN PATIENTS ON PENICILLIN THERAPY. ALTHOUGH ANAPHYLAXIS IS MORE FREQUENT FOLLOWING PARENTERAL THERAPY, IT HAS OCCURRED IN PATIENTS ON ORAL PENICILLINS. THESE REACTIONS ARE MORE LIKELY TO OCCUR IN INDIVIDUALS WITH A HISTORY OF SENSITIVITY TO MULTIPLE ALLERGENS.

THERE HAVE BEEN REPORTS OF INDIVIDUALS WITH A HISTORY OF PENICILLIN HYPERSENSITIVITY WHO HAVE EXPERIENCED SEVERE REACTIONS WHEN TREATED WITH CEPHALOSPORINS. BEFORE THERAPY WITH ANY PENICILLIN, CAREFUL INQUIRY SHOULD BE MADE CONCERNING PREVIOUS HYPERSENSITIVITY REACTIONS TO PENICILLINS, CEPHALOSPORINS OR OTHER ALLERGENS. IF AN ALLERGIC REACTION OCCURS, APPROPRIATE THERAPY SHOULD BE CONSIDERED.

SERIOUS ANAPHYLACTIC REACTIONS REQUIRE IMMEDIATE EMERGENCY TREATMENT WITH EPINEPHRINE. OXYGEN, INTRAVENOUS STEROIDS, AND AIRWAY MANAGEMENT, INCLUDING INTUBATION, SHOULD ALSO BE ADMINISTERED AS INDICATED.

Severe Cutaneous Adverse Reactions

Ampicillin may cause severe cutaneous adverse reactions (SCARs), such as toxic epidermal necrolysis

(TEN), Stevens-Johnson syndrome (SJS), drug reaction with eosinophilia and systemic symptoms

(DRESS), exfoliative dermatitis, erythema multiforme, and acute generalized exanthematous pustulosis

(AGEP). If patients develop a skin rash, they should be monitored closely, and ampicillin discontinued if

lesions progress.

Hepatotoxicity

Hepatic dysfunction, including hepatitis and cholestatic jaundice has been associated with the use of

ampicillin. Hepatic toxicity is usually reversible; however, deaths have been reported. Hepatic function

should be monitored at regular intervals in patients with hepatic impairment.

Clostridioides difficile-Associated Diarrhea

Clostridioides difficile-associated diarrhea (CDAD) has been reported with use of nearly all antibacterial

agents, including ampicillin, and may range in severity from mild diarrhea to fatal colitis. Treatment with

antibacterial agents alters the normal flora of the colon leading to overgrowth of C. difficile.

C. difficile produces toxins A and B which contribute to the development of CDAD. Hypertoxin

producing strains of C. difficile cause increased morbidity and mortality, as these infections can be

refractory to antimicrobial therapy and may require colectomy. CDAD must be considered in all patients

who present with diarrhea following antibacterial drug use. Careful medical history is necessary since

CDAD has been reported to occur over two months after the administration of antibacterial agents.

If CDAD is suspected or confirmed, ongoing antibacterial drug use not directed against C. difficile may

need to be discontinued. Appropriate fluid and electrolyte management, protein supplementation,

antibacterial treatment of C. difficile, and surgical evaluation should be instituted as clinically indicated.

Pregnancy

Teratogenic Effects

Reproduction studies in animals have revealed no evidence of impaired fertility or harm to the fetus due to penicillin. There are, however, no adequate and well-controlled studies in pregnant women. Because animal reproduction studies are not always predictive of human response, penicillin should be used during pregnancy only if clearly needed. (See PRECAUTIONS-Drug/Laboratory Test Interactions .)

Overdosage

In case of overdosage, discontinue medication, treat symptomatically and institute supportive measures as required. In patients with renal function impairment, ampicillin-class antibiotics can be removed by hemodialysis but not by peritoneal dialysis.

500 Mg Label

NDC 0781-2145-01

Ampicillin

Capsules, USP

500 mg

Rx only

100 Capsules

SANDOZ

Pediatric Use

Penicillins are excreted primarily unchanged by the kidney; therefore, the incompletely developed renal function in neonates and young infants will delay the excretion of penicillin. Administration to neonates and young infants should be limited to the lowest dosage compatible with an effective therapeutic regimen (see DOSAGE AND ADMINISTRATION ).

Nursing Mothers

Ampicillin-class antibiotics are excreted in milk. Ampicillin used by nursing mothers may lead to sensitization of infants; therefore, caution should be exercised when ampicillin is administered to a nursing woman.

Laboratory Tests

In prolonged therapy, and particularly with high dosage regimens, periodic evaluation of the renal, hepatic, and hematopoietic systems is recommended.

In streptococcal infections, therapy, must be sufficient to eliminate the organism (10 days minimum); otherwise the sequelae of streptococcal disease may occur. Cultures should be taken following completion of treatment to determine whether streptococci have been eradicated.

Cases of gonococcal infection with a suspected lesion of syphilis should have darkfield examinations ruling out syphilis before receiving ampicillin. Patients who do not have suspected lesions of syphilis and are treated with ampicillin should have a follow-up serologic test for syphilis each month for four months to detect syphilis that may have been masked from treatment for gonorrhea.

Labor and Delivery

Oral ampicillin-class antibiotics are poorly absorbed during labor. Studies in guinea pigs showed that intravenous administration of ampicillin slightly decreased the uterine tone and frequency of contractions, but moderately increased the height and duration of contractions. However, it is not known whether use of these drugs in humans during labor or delivery has immediate or delayed adverse effects on the fetus, prolongs the duration of labor, or increases the likelihood that forceps delivery or other obstetrical intervention or resuscitation of the newborn will be necessary.

Mechanism of Action

Ampicillin is similar to penicillin in its bactericidal action against susceptible bacteria during the stage of active multiplication. It acts through the inhibition of cell wall biosynthesis that leads to the death of the bacteria.

Clinical Pharmacology

Ampicillin is bactericidal at low concentrations and is clinically effective not only against the gram-positive organisms usually susceptible to penicillin G but also against a variety of gram-negative organisms. It is stable in the presence of gastric acid and is well absorbed from the gastrointestinal tract. It diffuses readily into most body tissues and fluids; however, penetration into the cerebrospinal fluid and brain occurs only with meningeal inflammation. Ampicillin is excreted largely unchanged in the urine; its excretion can be delayed by concurrent administration of probenecid which inhibits the renal tubular secretion of ampicillin. In blood serum, ampicillin is the least bound of all the penicillins; an average of about 20 percent of the drug is bound to plasma proteins as compared to 60 to 90 percent of the other penicillins. The administration of 500 mg dose of ampicillin capsules results in an average peak blood serum level of approximately 3.0 mcg/mL.

Antimicrobial Activity

Ampicillin has been shown to be active against most isolates of the following bacteria, both in vitro and in clinical infections, as described in the INDICATIONS AND USAGE section.

Gram-positive Bacteria

Enterococcus spp.

Staphylococcus spp. (non-penicillinase-producing)

Streptococcus pneumoniae

Streptococcus pyogenes

Viridans group streptococci

Gram-negative Bacteria

Escherichia coli

Haemophilus influenzae (non-penicillinase-producing)

Neisseria gonorrhoeae

Neisseria meningitidis

Proteus mirabilis

Salmonella spp.

Shigella spp.

The following in vitro data are available, but their clinical significance is unknown. At least 90 percent of the following bacteria exhibit an in vitro minimum inhibitory concentration (MIC) less than or equal to 0.12 mcg/mL for ampicillin. However the efficacy of ampicillin in treating clinical infections due to these bacteria has not been established in adequate and well-controlled trials.

Gram-positive Bacteria

Bacillus anthracis

Corynebacterium xerosis

Anaerobic Bacteria

Clostridium spp.

Susceptibility Testing

For specific information regarding susceptibility test interpretive criteria and associated test methods and quality control standards recognized by FDA for this drug, please see: https://www.fda.gov/STIC.

Mechanism of Resistance

Resistance to ampicillin is mediated primarily through enzymes called beta-lactamases that cleave the beta-lactam ring of ampicillin, rendering it inactive.

Information for the Patient
  • 1.
    The patient should inform the physician of any history of sensitivity to allergens, including previous hypersensitivity reactions to penicillins and cephalosporins (see WARNINGS ).
  • 2.
    Advise patients about the signs and symptoms of serious skin manifestations. Instruct patients to stop
  •  
    taking ampicillin immediately and promptly report the first signs or symptoms of skin rash, mucosal
  •  
    lesions, or any other sign of hypersensitivity [see WARNINGS ].
  • 3.
    Diarrhea is a common problem caused by antibacterials which usually ends when the antibacterial is
  •  
    discontinued. Sometimes after starting treatment with antibacterials, patients can develop watery and
  •  
    bloody stools (with or without stomach cramps and fever) even as late as two or more months after
  •  
    having taken the last dose of the antibacterial. If this occurs, patients should contact their physician
  •  
    as soon as possible.
  • 4.
    Ampicillin should be taken with a full glass (8 oz) of water, one-half hour before or two hours after meals.
  • 5.
    Diabetic patients should consult with the physician before changing diet or dosage of diabetes medication (see PRECAUTIONS–Drug/Laboratory Test Interactions ).
  • 6.
    Patients should be counseled that antibacterial drugs including ampicillin should only be used to treat bacterial infections. They do not treat viral infections (e.g., the common cold). When ampicillin is prescribed to treat a bacterial infection, patients should be told that although it is common to feel better early in the course of therapy, the medication should be taken exactly as directed. Skipping doses or not completing the full course of therapy may: (1) decrease the effectiveness of the immediate treatment, and (2) increase the likelihood that bacteria will develop resistance and will not be treatable by ampicillin or other antibacterial drugs in the future.
Drug/laboratory Test Interactions

After treatment with ampicillin, a false-positive reaction for glucose in the urine may occur with copper sulfate tests (Benedict’s solution, Fehling’s solution, or Clinitest® tablets) but not with enzyme based tests such as Clinistix® and Tes-Tape®. Following administration of ampicillin to pregnant women, a transient

decrease in plasma concentration of total conjugated estriol, estriol-glucuronide, conjugated estrone and

estradiol has been noted.

Carcinogenesis, Mutagenesis, Impairment of Fertility

Long-term studies in animals have not been performed to evaluate carcinogenesis, mutagenesis, or impairment of fertility in males or females.


Structured Label Content

Section 42229-5 (42229-5)

Rx Only

To reduce the development of drug-resistant bacteria and maintain the effectiveness of ampicillin and other antibacterial drugs, ampicillin should be used only to treat or prevent infections that are proven or strongly suspected to be caused by bacteria.

Section 44425-7 (44425-7)

Store at 20°C to 25°C (68°F to 77°F) [see USP Controlled Room Temperature].

Dispense in a tight container.

Clinitest® is a registered trademark of Miles, Inc.

Clinistix® is a registered trademark of Bayer Corporation.

Tes-Tape® is a registered trademark of Eli Lilly Company.

Revised: 07/2025

Manufactured by Sandoz GmbH., Austria for

Sandoz Inc., Princeton, NJ 08540

General

A high percentage of patients with mononucleosis who receive ampicillin develop a skin rash. Thus,

ampicillin class antibacterial should not be administered to patients with mononucleosis. In patients

treated with ampicillin the possibility of superinfections with mycotic or bacterial pathogens should be

kept in mind during therapy. If superinfections occur (usually involving Pseudomonas or Candida), the

drug should be discontinued and/or appropriate therapy instituted.

Prescribing ampicillin in the absence of a proven or strongly suspected bacterial infection or a prophylactic indication is unlikely to provide benefit to the patient and increases the risk of the development of drug-resistant bacteria.

Prolonged use of antibiotics may promote the overgrowth of nonsusceptible organisms, including fungi. Should superinfection occur, appropriate measures should be taken.

Patients with gonorrhea who also have syphilis should be given additional appropriate parenteral penicillin treatment.

Treatment with ampicillin does not preclude the need for surgical procedures, particularly in staphylococcal infections.

Warnings (WARNINGS)

SERIOUS AND OCCASIONALLY FATAL HYPERSENSITIVITY (ANAPHYLACTIC) REACTIONS HAVE BEEN REPORTED IN PATIENTS ON PENICILLIN THERAPY. ALTHOUGH ANAPHYLAXIS IS MORE FREQUENT FOLLOWING PARENTERAL THERAPY, IT HAS OCCURRED IN PATIENTS ON ORAL PENICILLINS. THESE REACTIONS ARE MORE LIKELY TO OCCUR IN INDIVIDUALS WITH A HISTORY OF SENSITIVITY TO MULTIPLE ALLERGENS.

THERE HAVE BEEN REPORTS OF INDIVIDUALS WITH A HISTORY OF PENICILLIN HYPERSENSITIVITY WHO HAVE EXPERIENCED SEVERE REACTIONS WHEN TREATED WITH CEPHALOSPORINS. BEFORE THERAPY WITH ANY PENICILLIN, CAREFUL INQUIRY SHOULD BE MADE CONCERNING PREVIOUS HYPERSENSITIVITY REACTIONS TO PENICILLINS, CEPHALOSPORINS OR OTHER ALLERGENS. IF AN ALLERGIC REACTION OCCURS, APPROPRIATE THERAPY SHOULD BE CONSIDERED.

SERIOUS ANAPHYLACTIC REACTIONS REQUIRE IMMEDIATE EMERGENCY TREATMENT WITH EPINEPHRINE. OXYGEN, INTRAVENOUS STEROIDS, AND AIRWAY MANAGEMENT, INCLUDING INTUBATION, SHOULD ALSO BE ADMINISTERED AS INDICATED.

Severe Cutaneous Adverse Reactions

Ampicillin may cause severe cutaneous adverse reactions (SCARs), such as toxic epidermal necrolysis

(TEN), Stevens-Johnson syndrome (SJS), drug reaction with eosinophilia and systemic symptoms

(DRESS), exfoliative dermatitis, erythema multiforme, and acute generalized exanthematous pustulosis

(AGEP). If patients develop a skin rash, they should be monitored closely, and ampicillin discontinued if

lesions progress.

Hepatotoxicity

Hepatic dysfunction, including hepatitis and cholestatic jaundice has been associated with the use of

ampicillin. Hepatic toxicity is usually reversible; however, deaths have been reported. Hepatic function

should be monitored at regular intervals in patients with hepatic impairment.

Clostridioides difficile-Associated Diarrhea

Clostridioides difficile-associated diarrhea (CDAD) has been reported with use of nearly all antibacterial

agents, including ampicillin, and may range in severity from mild diarrhea to fatal colitis. Treatment with

antibacterial agents alters the normal flora of the colon leading to overgrowth of C. difficile.

C. difficile produces toxins A and B which contribute to the development of CDAD. Hypertoxin

producing strains of C. difficile cause increased morbidity and mortality, as these infections can be

refractory to antimicrobial therapy and may require colectomy. CDAD must be considered in all patients

who present with diarrhea following antibacterial drug use. Careful medical history is necessary since

CDAD has been reported to occur over two months after the administration of antibacterial agents.

If CDAD is suspected or confirmed, ongoing antibacterial drug use not directed against C. difficile may

need to be discontinued. Appropriate fluid and electrolyte management, protein supplementation,

antibacterial treatment of C. difficile, and surgical evaluation should be instituted as clinically indicated.

Pregnancy

Teratogenic Effects

Reproduction studies in animals have revealed no evidence of impaired fertility or harm to the fetus due to penicillin. There are, however, no adequate and well-controlled studies in pregnant women. Because animal reproduction studies are not always predictive of human response, penicillin should be used during pregnancy only if clearly needed. (See PRECAUTIONS-Drug/Laboratory Test Interactions .)

Overdosage (OVERDOSAGE)

In case of overdosage, discontinue medication, treat symptomatically and institute supportive measures as required. In patients with renal function impairment, ampicillin-class antibiotics can be removed by hemodialysis but not by peritoneal dialysis.

Description (DESCRIPTION)

Ampicillin trihydrate is a semisynthetic penicillin derived from the basic penicillin nucleus, 6- aminopenicillanic acid. Ampicillin is designated chemically as (2S, 5R, 6R)-6-[(R)-2-Amino-2-phenylacetamido]-3,3- dimethyl-7-oxo-4-thia-1-azabicyclo [3.2.0] heptane-2- carboxylic acid. Its structural formula is:

Molecular formula: C16H19N3O4S · 3 H2O

Molecular weight: 403.5

Ampicillin capsules, USP for oral administration provide ampicillin trihydrate equivalent to 250 mg and 500 mg ampicillin. Inactive ingredients: black iron oxide, gelatin, magnesium stearate, titanium dioxide, shellac, propylene glycol, ammonium hydroxide, and potassium hydroxide.

500 Mg Label (500 mg Label)

NDC 0781-2145-01

Ampicillin

Capsules, USP

500 mg

Rx only

100 Capsules

SANDOZ

How Supplied (HOW SUPPLIED)

Ampicillin capsules, USP: Each capsule, for oral administration, contains ampicillin trihydrate equivalent to 250 mg or 500 mg ampicillin, and are supplied as:

250 mg: White, opaque, hard gelatin capsules, imprinted in black ink GG 850/GG 850.

NDC 0781-2144-01: 100 capsules in one bottle

NDC 0781-2144-05: 500 capsules in one bottle

500 mg: White, opaque, hard gelatin capsules, imprinted in black ink GG 851/GG 851.

NDC 0781-2145-01: 100 capsules in one bottle

NDC 0781-2145-05: 500 capsules in one bottle

Pediatric Use

Penicillins are excreted primarily unchanged by the kidney; therefore, the incompletely developed renal function in neonates and young infants will delay the excretion of penicillin. Administration to neonates and young infants should be limited to the lowest dosage compatible with an effective therapeutic regimen (see DOSAGE AND ADMINISTRATION ).

Nursing Mothers

Ampicillin-class antibiotics are excreted in milk. Ampicillin used by nursing mothers may lead to sensitization of infants; therefore, caution should be exercised when ampicillin is administered to a nursing woman.

Laboratory Tests

In prolonged therapy, and particularly with high dosage regimens, periodic evaluation of the renal, hepatic, and hematopoietic systems is recommended.

In streptococcal infections, therapy, must be sufficient to eliminate the organism (10 days minimum); otherwise the sequelae of streptococcal disease may occur. Cultures should be taken following completion of treatment to determine whether streptococci have been eradicated.

Cases of gonococcal infection with a suspected lesion of syphilis should have darkfield examinations ruling out syphilis before receiving ampicillin. Patients who do not have suspected lesions of syphilis and are treated with ampicillin should have a follow-up serologic test for syphilis each month for four months to detect syphilis that may have been masked from treatment for gonorrhea.

Adverse Reactions (ADVERSE REACTIONS)

As with other penicillins, it may be expected that untoward reactions will be essentially limited to sensitivity phenomena. They are more likely to occur in individuals who have previously demonstrated hypersensitivity to penicillin and in those with a history of allergy, asthma, hay fever, or urticaria.

The following adverse reactions have been reported as associated with the use of ampicillin:

Infections and Infestations: Clostridioides difficile-associated diarrhea (see WARNINGS section).

Gastrointestinal: glossitis, stomatitis, nausea, vomiting, enterocolitis, pseudomembranous colitis, and diarrhea. These reactions are usually associated with oral dosage forms of the drugs.

Hypersensitivity Reactions: Severe cutaneous adverse reactions, including Stevens-Johnson syndrome

(SJS), toxic epidermal necrolysis (TEN), drug reaction with eosinophilia and systemic symptoms

(DRESS), angioedema, and acute generalized exanthematous pustulosis (AGEP) have been reported in

beta-lactam antibiotics (see WARNINGS ). An erythematous, mildly pruritic, maculopapular skin rash has been reported fairly frequently. The rash, which usually does not develop within the first week of therapy, may cover the entire body including the soles, palms, and oral mucosa. The eruption usually disappears in three to seven days. Other hypersensitivity reactions that have been reported are: skin rash, pruritus, urticaria, erythema multiforme, and an occasional case of exfoliative dermatitis. Linear IgA bullous dermatosis has been reported. Anaphylaxis is the most serious reaction experienced and has usually been associated with the parenteral dosage form of the drug.

NOTE: Urticaria, other skin rashes, and serum sickness-like reactions may be controlled by antihistamines, and, if necessary, systemic corticosteroids. Whenever such reactions occur, ampicillin should be discontinued unless, in the opinion of the physician, the condition being treated is life-threatening, and amenable only to ampicillin therapy. Serious anaphylactic reactions require emergency measures (see WARNINGS ).

Liver: Moderate elevation in serum glutamic oxaloacetic transaminase (SGOT) has been noted, but the significance of this finding is unknown.

Hemic and Lymphatic Systems: Anemia, thrombocytopenia, thrombocytopenic purpura, eosinophilia, leukopenia, and agranulocytosis have been reported during therapy with penicillins. These reactions are usually reversible on discontinuation of therapy and are believed to be hypersensitivity phenomena.

Other adverse reactions that have been reported with the use of ampicillin are laryngeal stridor and high fever. An occasional patient may complain of sore mouth or tongue as with any oral penicillin preparation.

Contraindications (CONTRAINDICATIONS)

The use of Ampicillin is contraindicated in individuals with a history of serious hypersensitivity reactions (e.g., anaphylaxis or Stevens-Johnson syndrome) to ampicillin or to other beta-lactam antibacterial drugs. Ampicillin is also contraindicated in infections caused by penicillinase-producing organisms.

Ampicillin is contraindicated in patients with a previous history of cholestatic jaundice/hepatic dysfunction associated with treatment with ampicillin.

Drug Interactions

When administered concurrently, the following drugs may interact with ampicillin.

Allopurinol : Substantially increased incidence of skin rashes in patients receiving both drugs as compared

to patients receiving ampicillin alone. It is not known whether this potentiation of ampicillin rashes is due

to allopurinol or the hyperuricemia present in these patients.

Bacteriostatic Antibiotics : Chloramphenicol, erythromycins, sulfonamides, or tetracyclines may interfere with the bactericidal effect of penicillins. This has been demonstrated in vitro; however, the clinical significance of this interaction is not well-documented.

Oral Contraceptives : May be less effective and increased breakthrough bleeding may occur.

Probenecid : May decrease renal tubular secretion of ampicillin resulting in increased blood levels and/or ampicillin toxicity.

Labor and Delivery

Oral ampicillin-class antibiotics are poorly absorbed during labor. Studies in guinea pigs showed that intravenous administration of ampicillin slightly decreased the uterine tone and frequency of contractions, but moderately increased the height and duration of contractions. However, it is not known whether use of these drugs in humans during labor or delivery has immediate or delayed adverse effects on the fetus, prolongs the duration of labor, or increases the likelihood that forceps delivery or other obstetrical intervention or resuscitation of the newborn will be necessary.

Mechanism of Action

Ampicillin is similar to penicillin in its bactericidal action against susceptible bacteria during the stage of active multiplication. It acts through the inhibition of cell wall biosynthesis that leads to the death of the bacteria.

Clinical Pharmacology (CLINICAL PHARMACOLOGY)

Ampicillin is bactericidal at low concentrations and is clinically effective not only against the gram-positive organisms usually susceptible to penicillin G but also against a variety of gram-negative organisms. It is stable in the presence of gastric acid and is well absorbed from the gastrointestinal tract. It diffuses readily into most body tissues and fluids; however, penetration into the cerebrospinal fluid and brain occurs only with meningeal inflammation. Ampicillin is excreted largely unchanged in the urine; its excretion can be delayed by concurrent administration of probenecid which inhibits the renal tubular secretion of ampicillin. In blood serum, ampicillin is the least bound of all the penicillins; an average of about 20 percent of the drug is bound to plasma proteins as compared to 60 to 90 percent of the other penicillins. The administration of 500 mg dose of ampicillin capsules results in an average peak blood serum level of approximately 3.0 mcg/mL.

Indications and Usage (INDICATIONS AND USAGE)

To reduce the development of drug-resistant bacteria and maintain the effectiveness of ampicillin capsules, ampicillin for oral suspension and other antibacterial drugs, ampicillin capsules and ampicillin for oral suspension should be used only to treat or prevent infections that are proven or strongly suspected to be caused by bacteria. When culture and susceptibility information are available, they should be considered in selecting of modifying antimicrobial therapy, in the absence of such data, local epidemiology and susceptibility patterns contribute to the empiric selection of therapy.

Ampicillin capsules and ampicillin for oral suspension are indicated in the treatment of infections caused by susceptible strains of the designated organisms listed below:

Infections of the genitourinary tract including gonorrhea: E. coli, P. mirabilis, enterococci, Shigella, S. typhosa and other Salmonella, and nonpenicillinase producing N. gonorrhoeae.

Infections of the respiratory tract: Nonpenicillinase- producing H. influenzae and staphylococci, and streptococci including streptococcus pneumoniae.

Infections of the gastrointestinal tract: Shigella, S. typhosa and other Salmonella, E. coli, P. mirabilis, and enterococci.

Meningitis: N. Meningitides.

Bacteriology studies to determine the causative organisms and their susceptibility to ampicillin should be performed. Therapy may be instituted prior to the results of susceptibility testing.

Antimicrobial Activity

Ampicillin has been shown to be active against most isolates of the following bacteria, both in vitro and in clinical infections, as described in the INDICATIONS AND USAGE section.

Gram-positive Bacteria

Enterococcus spp.

Staphylococcus spp. (non-penicillinase-producing)

Streptococcus pneumoniae

Streptococcus pyogenes

Viridans group streptococci

Gram-negative Bacteria

Escherichia coli

Haemophilus influenzae (non-penicillinase-producing)

Neisseria gonorrhoeae

Neisseria meningitidis

Proteus mirabilis

Salmonella spp.

Shigella spp.

The following in vitro data are available, but their clinical significance is unknown. At least 90 percent of the following bacteria exhibit an in vitro minimum inhibitory concentration (MIC) less than or equal to 0.12 mcg/mL for ampicillin. However the efficacy of ampicillin in treating clinical infections due to these bacteria has not been established in adequate and well-controlled trials.

Gram-positive Bacteria

Bacillus anthracis

Corynebacterium xerosis

Anaerobic Bacteria

Clostridium spp.

Susceptibility Testing

For specific information regarding susceptibility test interpretive criteria and associated test methods and quality control standards recognized by FDA for this drug, please see: https://www.fda.gov/STIC.

Mechanism of Resistance

Resistance to ampicillin is mediated primarily through enzymes called beta-lactamases that cleave the beta-lactam ring of ampicillin, rendering it inactive.

Dosage and Administration (DOSAGE AND ADMINISTRATION)

Adults and children weighing over 20 kg:

For genitourinary or gastrointestinal tract infections other than gonorrhea in men and women, the usual dose is 500 mg qid in equally spaced doses; severe or chronic infections may require larger doses. For the treatment of gonorrhea in both men and women, a single oral dose of 3.5 grams of ampicillin administered simultaneously with 1 gram of probenecid is recommended. Physicians are cautioned to use no less than the above recommended dosage for the treatment of gonorrhea. Follow-up cultures should be obtained from the original site(s) of infection 7 to 14 days after therapy. In women, it is also desirable to obtain culture test-of-cure from both the endocervical and anal canals. Prolonged intensive therapy is needed for complications such as prostatitis and epididymitis.

For respiratory tract infections, the usual dose is 250 mg qid in equally spaced doses.

Pediatric patients weighing 20 kg or less:

For genitourinary or gastrointestinal tract infections, the usual dose is 100 mg/kg/day total, qid in equally divided and spaced doses. For respiratory tract infections, the usual dose is 50 mg/kg/day total, in equally divided and spaced doses three to four times daily. Doses for children should not exceed doses recommended for adults.

All Patients, Irrespective of Age and Weight:

Larger doses may be required for severe or chronic infections. Although ampicillin is resistant to degradation by gastric acid, it should be administered at least one-half hour before or two hours after meals for maximal absorption. Except for the single dose regimen for gonorrhea referred to above, therapy should be continued for a minimum of 48 to 72 hours after the patient becomes asymptomatic or evidence of bacterial eradication has been obtained. In infections caused by hemolytic strains of streptococci, a minimum of 10 days’ treatment is recommended to guard against the risk of rheumatic fever or glomerulonephritis (see PRECAUTIONS–Laboratory Tests ). In the treatment of chronic urinary or gastrointestinal infections, frequent bacteriologic and clinical appraisal is necessary during therapy and may be necessary for several months afterwards. Stubborn infections may require treatment for several weeks. Smaller doses than those indicated above should not be used.

Information for the Patient
  • 1.
    The patient should inform the physician of any history of sensitivity to allergens, including previous hypersensitivity reactions to penicillins and cephalosporins (see WARNINGS ).
  • 2.
    Advise patients about the signs and symptoms of serious skin manifestations. Instruct patients to stop
  •  
    taking ampicillin immediately and promptly report the first signs or symptoms of skin rash, mucosal
  •  
    lesions, or any other sign of hypersensitivity [see WARNINGS ].
  • 3.
    Diarrhea is a common problem caused by antibacterials which usually ends when the antibacterial is
  •  
    discontinued. Sometimes after starting treatment with antibacterials, patients can develop watery and
  •  
    bloody stools (with or without stomach cramps and fever) even as late as two or more months after
  •  
    having taken the last dose of the antibacterial. If this occurs, patients should contact their physician
  •  
    as soon as possible.
  • 4.
    Ampicillin should be taken with a full glass (8 oz) of water, one-half hour before or two hours after meals.
  • 5.
    Diabetic patients should consult with the physician before changing diet or dosage of diabetes medication (see PRECAUTIONS–Drug/Laboratory Test Interactions ).
  • 6.
    Patients should be counseled that antibacterial drugs including ampicillin should only be used to treat bacterial infections. They do not treat viral infections (e.g., the common cold). When ampicillin is prescribed to treat a bacterial infection, patients should be told that although it is common to feel better early in the course of therapy, the medication should be taken exactly as directed. Skipping doses or not completing the full course of therapy may: (1) decrease the effectiveness of the immediate treatment, and (2) increase the likelihood that bacteria will develop resistance and will not be treatable by ampicillin or other antibacterial drugs in the future.
Drug/laboratory Test Interactions (Drug/Laboratory Test Interactions)

After treatment with ampicillin, a false-positive reaction for glucose in the urine may occur with copper sulfate tests (Benedict’s solution, Fehling’s solution, or Clinitest® tablets) but not with enzyme based tests such as Clinistix® and Tes-Tape®. Following administration of ampicillin to pregnant women, a transient

decrease in plasma concentration of total conjugated estriol, estriol-glucuronide, conjugated estrone and

estradiol has been noted.

Carcinogenesis, Mutagenesis, Impairment of Fertility

Long-term studies in animals have not been performed to evaluate carcinogenesis, mutagenesis, or impairment of fertility in males or females.


Advanced Ingredient Data


Raw Label Data

All Sections (JSON)