Ciloxan®

Ciloxan®
SPL v2
SPL
SPL Set ID 09ca5374-2a16-4a95-91b3-70591d78254e
Route
OPHTHALMIC
Published
Effective Date 2024-07-30
Document Type 34391-3 HUMAN PRESCRIPTION DRUG LABEL

Drug Facts

Composition & Product

Active Ingredients
Ciprofloxacin (3 mg)
Inactive Ingredients
Mineral Oil Petrolatum

Identifiers & Packaging

Marketing Status
NDA Active Since 1998-06-02

Description

Sterile Ophthalmic Ointment

Indications and Usage

CILOXAN ® (ciprofloxacin ophthalmic ointment) 0.3% is indicated for the treatment of bacterial conjunctivitis caused by susceptible strains of the microorganisms listed below:   Gram-Positive: Staphylococcus aureus Staphylococcus epidermidis Streptococcus pneumoniae Streptococcus Viridans Group Gram-Negative: Haemophilus influenzae

Dosage and Administration

Apply a ½ inch ribbon into the conjunctival sac three times a day on the first two days, then apply a ½ inch ribbon two times a day for the next five days.

Contraindications

A history of hypersensitivity to ciprofloxacin or any other component of the medication is a contraindication to its use. A history of hypersensitivity to other quinolones may also contraindicate the use of ciprofloxacin.

Adverse Reactions

The following adverse reactions (incidences) were reported in 2% of the patients in clinical studies for CILOXAN ® (ciprofloxacin ophthalmic ointment) 0.3%: discomfort and keratopathy. Other reactions associated with ciprofloxacin therapy occurring in less than 1% of patients included allergic reactions, blurred vision, corneal staining, decreased visual acuity, dry eye, edema, epitheliopathy, eye pain, foreign body sensation, hyperemia, irritation, keratoconjunctivitis, lid erythema, lid margin hyperemia, photophobia, pruritus, and tearing. Systemic adverse reactions related to ciprofloxacin therapy occurred at an incidence below 1% and included dermatitis, nausea and taste perversion.

How Supplied

3.5 g STERILE ointment supplied in an aluminum tube with a white polyethylene tip and white polyethylene cap. 3.5 g     NDC 66758-071-38   Storage: Store at 2°C to 25°C (36°F to 77°F).


Medication Information

Indications and Usage

CILOXAN ® (ciprofloxacin ophthalmic ointment) 0.3% is indicated for the treatment of bacterial conjunctivitis caused by susceptible strains of the microorganisms listed below:   Gram-Positive: Staphylococcus aureus Staphylococcus epidermidis Streptococcus pneumoniae Streptococcus Viridans Group Gram-Negative: Haemophilus influenzae

Dosage and Administration

Apply a ½ inch ribbon into the conjunctival sac three times a day on the first two days, then apply a ½ inch ribbon two times a day for the next five days.

Contraindications

A history of hypersensitivity to ciprofloxacin or any other component of the medication is a contraindication to its use. A history of hypersensitivity to other quinolones may also contraindicate the use of ciprofloxacin.

Adverse Reactions

The following adverse reactions (incidences) were reported in 2% of the patients in clinical studies for CILOXAN ® (ciprofloxacin ophthalmic ointment) 0.3%: discomfort and keratopathy. Other reactions associated with ciprofloxacin therapy occurring in less than 1% of patients included allergic reactions, blurred vision, corneal staining, decreased visual acuity, dry eye, edema, epitheliopathy, eye pain, foreign body sensation, hyperemia, irritation, keratoconjunctivitis, lid erythema, lid margin hyperemia, photophobia, pruritus, and tearing. Systemic adverse reactions related to ciprofloxacin therapy occurred at an incidence below 1% and included dermatitis, nausea and taste perversion.

How Supplied

3.5 g STERILE ointment supplied in an aluminum tube with a white polyethylene tip and white polyethylene cap. 3.5 g     NDC 66758-071-38   Storage: Store at 2°C to 25°C (36°F to 77°F).

Description

Sterile Ophthalmic Ointment

Section 34072-9

General: As with other antibacterial preparations, prolonged use of ciprofloxacin may result in overgrowth of nonsusceptible organisms, including fungi. If superinfection occurs, appropriate therapy should be initiated. Whenever clinical judgment dictates, the patient should be examined with the aid of magnification, such as slit lamp biomicroscopy and, where appropriate, fluorescein staining. Ciprofloxacin should be discontinued at the first appearance of a skin rash or any other sign of hypersensitivity reaction. Ophthalmic ointments may retard corneal healing and cause visual blurring. Patients should be advised not to wear contact lenses if they have signs and symptoms of bacterial conjunctivitis.

Section 34073-7
  •  
    Drug Interactions: Specific drug interaction studies have not been conducted with ophthalmic ciprofloxacin. However, the systemic administration of some quinolones has been shown to elevate plasma concentrations of theophylline, interfere with the metabolism of caffeine, enhance the effects of the oral anticoagulant, warfarin, and its derivatives, and has been associated with transient elevations in serum creatinine in patients receiving cyclosporine concomitantly.
Section 34076-0

Information for Patients: Do not touch tip to any surface as this may contaminate the ointment. Do not use the product if the imprinted carton seals have been damaged, or removed.

Section 34080-2

Nursing Mothers: It is not known whether topically applied ciprofloxacin is excreted in human milk. However, it is known that orally administered ciprofloxacin is excreted in the milk of lactating rats and oral ciprofloxacin has been reported in human breast milk after a single 500 mg dose. Caution should be exercised when CILOXAN® (ciprofloxacin ophthalmic ointment) 0.3% is administered to a nursing mother.

Section 34081-0

Pediatric Use: Safety and effectiveness of CILOXAN® (ciprofloxacin ophthalmic ointment) 0.3% in pediatric patients below the age of two years have not been established. Although ciprofloxacin and other quinolones may cause arthropathy in immature Beagle dogs after oral administration, topical ocular administration of ciprofloxacin to immature animals did not cause any arthropathy and there is no evidence that the ophthalmic dosage form has any effect on the weight bearing joints.

Section 34082-8

Geriatric Use: No overall clinical differences in safety or effectiveness have been observed between the elderly and other adult patients.

Section 34083-6

Carcinogenesis, Mutagenesis, Impairment of Fertility: Eight in vitro mutagenicity tests have been conducted with ciprofloxacin and the test results are listed below:

  • Salmonella/Microsome Test (Negative)
  • E. coli DNA Repair Assay (Negative)
  • Mouse Lymphoma Cell Forward Mutation Assay (Positive)
  • Chinese Hamster V79 Cell HGPRT Test (Negative)
  • Syrian Hamster Embryo Cell Transformation Assay (Negative)
  • Saccharomyces cerevisiae Point Mutation Assay (Negative)
  • Saccharomyces cerevisiae Mitotic Crossover and Gene Conversion Assay (Negative)
  • Rat Hepatocyte DNA Repair Assay (Positive)

Thus, two of the eight tests were positive, but the results of the following three in vivo test systems gave negative results:

  • Rat Hepatocyte DNA Repair Assay
  • Micronucleus Test (Mice)
  • Dominant Lethal Test (Mice)

Long-term carcinogenicity studies in mice and rats have been completed. After daily oral dosing for up to two years, there is no evidence that ciprofloxacin had any carcinogenic or tumorigenic effects in these species.

Section 42228-7
  •  
    Pregnancy: Reproduction studies have been performed in rats and mice at doses up to six times the usual daily human oral dose and have revealed no evidence of impaired fertility or harm to the fetus due to ciprofloxacin. In rabbits, as with most antimicrobial agents, ciprofloxacin (30 and 100 mg/kg orally) produced gastrointestinal disturbances resulting in maternal weight loss and an increased incidence of abortion. No teratogenicity was observed at either dose. After intravenous administration, at doses up to 20 mg/kg, no maternal toxicity was produced and no embryotoxicity or teratogenicity was observed. There are no adequate and well controlled studies in pregnant women. CILOXAN® (ciprofloxacin ophthalmic ointment) 0.3% should be used during pregnancy only if the potential benefit justifies the potential risk to the fetus.
Section 42229-5

Sterile Ophthalmic Ointment

Warnings:

FOR EYE USE ONLY

NOT FOR INJECTION INTO THE EYE

  •  
    Serious and occasionally fatal hypersensitivity (anaphylactic) reactions, some following the first dose, have been reported in patients receiving systemic quinolone therapy. Some reactions were accompanied by cardiovascular collapse, loss of consciousness, tingling, pharyngeal or facial edema, dyspnea, urticaria, and itching. Only a few patients had a history of hypersensitivity reactions. Serious anaphylactic reactions require immediate emergency treatment with epinephrine and other resuscitation measures, including oxygen, intravenous fluids, intravenous antihistamines, corticosteroids, pressor amines, and airway management, as clinically indicated.
Description:

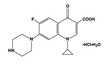
CILOXAN® (ciprofloxacin ophthalmic ointment) 0.3% is a synthetic, sterile, multiple dose, antimicrobial for topical use. Ciprofloxacin is a fluoroquinolone antibacterial. It is available as the monohydrochloride monohydrate salt of 1-cyclopropyl-6-fluoro-1,4-dihydro-4-oxo-7-(1-piperazinyl)-3-quinolinecarboxylic acid. Ciprofloxacin is a faint to light yellow crystalline powder with a molecular weight of 385.82 g/mol. Its empirical formula is C17H18FN3O3•HCl•H2O and its chemical structure is as follows:

Ciprofloxacin differs from other quinolones in that it has a fluorine atom at the 6-position, a piperazine moiety at the 7-position, and a cyclopropyl ring at the 1-position.

Each gram of CILOXAN® (ciprofloxacin ophthalmic ointment) 0.3% contains: Active: ciprofloxacin HCl 3.33 mg equivalent to 3 mg base. Inactives: mineral oil, white petrolatum.

How Supplied:

3.5 g STERILE ointment supplied in an aluminum tube with a white polyethylene tip and white polyethylene cap.

3.5 g     NDC 66758-071-38

  •  
    Storage: Store at 2°C to 25°C (36°F to 77°F).
Adverse Reactions:

The following adverse reactions (incidences) were reported in 2% of the patients in clinical studies for CILOXAN® (ciprofloxacin ophthalmic ointment) 0.3%: discomfort and keratopathy. Other reactions associated with ciprofloxacin therapy occurring in less than 1% of patients included allergic reactions, blurred vision, corneal staining, decreased visual acuity, dry eye, edema, epitheliopathy, eye pain, foreign body sensation, hyperemia, irritation, keratoconjunctivitis, lid erythema, lid margin hyperemia, photophobia, pruritus, and tearing. Systemic adverse reactions related to ciprofloxacin therapy occurred at an incidence below 1% and included dermatitis, nausea and taste perversion.

Contraindications:

A history of hypersensitivity to ciprofloxacin or any other component of the medication is a contraindication to its use. A history of hypersensitivity to other quinolones may also contraindicate the use of ciprofloxacin.

Animal Pharmacology:

Ciprofloxacin and related drugs have been shown to cause arthropathy in immature animals of most species tested following oral administration. However, a one month topical ocular study using immature Beagle dogs did not demonstrate any articular lesions.

Manufactured by

Novartis Manufacturing NV

Puurs-Sint-Amands, Belgium for

Sandoz Inc., Princeton, NJ 08540

Rev: 07/2024

9103380 US

Clinical Pharmacology:

Systemic Absorption: Absorption studies in humans with the ciprofloxacin ointment have not been conducted, however, based on studies with ciprofloxacin solution, 0.3%, mean maximal concentrations are expected to be less than 2.5 ng/mL.

Microbiology: Ciprofloxacin has in vitro activity against a wide range of gram-negative and gram-positive organisms. The bactericidal action of ciprofloxacin results from interference with the enzyme DNA gyrase which is needed for the synthesis of bacterial DNA.

Ciprofloxacin has been shown to be active against most strains of the following microorganisms both in vitro and in clinical infections (see INDICATIONS AND USAGE section).

Aerobic gram-positive microorganisms:

Staphylococcus aureus (methicillin-susceptible strains)

Staphylococcus epidermidis (methicillin-susceptible strains)

Streptococcus pneumoniae

Streptococcus Viridans Group

Aerobic gram-negative microorganisms:

Haemophilus influenzae

The following in vitro data are available; but their clinical significance in ophthalmologic infections is unknown . The safety and effectiveness of ciprofloxacin in treating conjunctivitis due to these microorganisms have not been established in adequate and well-controlled trials.

The following organisms are considered susceptible when evaluated using systemic breakpoints. However, a correlation between the in vitro systemic breakpoint and ophthalmological efficacy has not been established. Ciprofloxacin exhibits in vitro minimal inhibitory concentrations (MIC’s) of 1 mcg/mL or less (systemic susceptible breakpoint) against most (greater than or equal to 90%) strains of the following ocular pathogens.

Aerobic gram-positive microorganisms:

Bacillus species

Corynebacterium species

Staphylococcus haemolyticus

Staphylococcus hominis

Aerobic gram-negative microorganisms:

Acinetobacter calcoaceticus

Enterobacter aerogenes

Escherichia coli

Haemophilus parainfluenzae

Klebsielle pneumoniae

Moraxella catarrhalis

Neisseria gonorrhoeae

Proteus mirabilis

Pseudomonas aeruginosa

Serratia marcesens

Most strains of Burkholderia cepacia and some strains of Stenotrophomonas maltophilia are resistant to ciprofloxacin as are most anaerobic bacteria, including Bacteroides fragilis and Clostridium difficile.

The minimal bactericidal concentration (MBC) generally does not exceed the minimal inhibitory concentration (MIC) by more than a factor of 2. Resistance to ciprofloxacin in vitro usually develops slowly (multiple-step mutation). Ciprofloxacin does not cross-react with other antimicrobial agents such as beta-lactams or aminoglycosides; therefore, organisms resistant to these drugs may be susceptible to ciprofloxacin. Organisms resistant to ciprofloxacin may be susceptible to beta-lactams or aminoglycosides.

Clinical Studies: In multi-center clinical trials, approximately 75% of the patients with signs and symptoms of bacterial conjunctivitis and positive conjunctival cultures were clinically cured and approximately 80% had presumed pathogens eradicated by the end of treatment (Day 7).

Indications and Usage:

CILOXAN® (ciprofloxacin ophthalmic ointment) 0.3% is indicated for the treatment of bacterial conjunctivitis caused by susceptible strains of the microorganisms listed below:

  •  
    Gram-Positive:

    Staphylococcus aureus

    Staphylococcus epidermidis

    Streptococcus pneumoniae

    Streptococcus Viridans Group

Gram-Negative:

Haemophilus influenzae

Principal Display Panel

NDC 66758-071-38 Rx Only

Ciloxan®

(ciprofloxacin

ophthalmic ointment)

0.3%

Net Wt. 3.5 g Sterile

SANDOZ

Dosage and Administration:

Apply a ½ inch ribbon into the conjunctival sac three times a day on the first two days, then apply a ½ inch ribbon two times a day for the next five days.


Structured Label Content

Section 34072-9 (34072-9)

General: As with other antibacterial preparations, prolonged use of ciprofloxacin may result in overgrowth of nonsusceptible organisms, including fungi. If superinfection occurs, appropriate therapy should be initiated. Whenever clinical judgment dictates, the patient should be examined with the aid of magnification, such as slit lamp biomicroscopy and, where appropriate, fluorescein staining. Ciprofloxacin should be discontinued at the first appearance of a skin rash or any other sign of hypersensitivity reaction. Ophthalmic ointments may retard corneal healing and cause visual blurring. Patients should be advised not to wear contact lenses if they have signs and symptoms of bacterial conjunctivitis.

Section 34073-7 (34073-7)
  •  
    Drug Interactions: Specific drug interaction studies have not been conducted with ophthalmic ciprofloxacin. However, the systemic administration of some quinolones has been shown to elevate plasma concentrations of theophylline, interfere with the metabolism of caffeine, enhance the effects of the oral anticoagulant, warfarin, and its derivatives, and has been associated with transient elevations in serum creatinine in patients receiving cyclosporine concomitantly.
Section 34076-0 (34076-0)

Information for Patients: Do not touch tip to any surface as this may contaminate the ointment. Do not use the product if the imprinted carton seals have been damaged, or removed.

Section 34080-2 (34080-2)

Nursing Mothers: It is not known whether topically applied ciprofloxacin is excreted in human milk. However, it is known that orally administered ciprofloxacin is excreted in the milk of lactating rats and oral ciprofloxacin has been reported in human breast milk after a single 500 mg dose. Caution should be exercised when CILOXAN® (ciprofloxacin ophthalmic ointment) 0.3% is administered to a nursing mother.

Section 34081-0 (34081-0)

Pediatric Use: Safety and effectiveness of CILOXAN® (ciprofloxacin ophthalmic ointment) 0.3% in pediatric patients below the age of two years have not been established. Although ciprofloxacin and other quinolones may cause arthropathy in immature Beagle dogs after oral administration, topical ocular administration of ciprofloxacin to immature animals did not cause any arthropathy and there is no evidence that the ophthalmic dosage form has any effect on the weight bearing joints.

Section 34082-8 (34082-8)

Geriatric Use: No overall clinical differences in safety or effectiveness have been observed between the elderly and other adult patients.

Section 34083-6 (34083-6)

Carcinogenesis, Mutagenesis, Impairment of Fertility: Eight in vitro mutagenicity tests have been conducted with ciprofloxacin and the test results are listed below:

  • Salmonella/Microsome Test (Negative)
  • E. coli DNA Repair Assay (Negative)
  • Mouse Lymphoma Cell Forward Mutation Assay (Positive)
  • Chinese Hamster V79 Cell HGPRT Test (Negative)
  • Syrian Hamster Embryo Cell Transformation Assay (Negative)
  • Saccharomyces cerevisiae Point Mutation Assay (Negative)
  • Saccharomyces cerevisiae Mitotic Crossover and Gene Conversion Assay (Negative)
  • Rat Hepatocyte DNA Repair Assay (Positive)

Thus, two of the eight tests were positive, but the results of the following three in vivo test systems gave negative results:

  • Rat Hepatocyte DNA Repair Assay
  • Micronucleus Test (Mice)
  • Dominant Lethal Test (Mice)

Long-term carcinogenicity studies in mice and rats have been completed. After daily oral dosing for up to two years, there is no evidence that ciprofloxacin had any carcinogenic or tumorigenic effects in these species.

Section 42228-7 (42228-7)
  •  
    Pregnancy: Reproduction studies have been performed in rats and mice at doses up to six times the usual daily human oral dose and have revealed no evidence of impaired fertility or harm to the fetus due to ciprofloxacin. In rabbits, as with most antimicrobial agents, ciprofloxacin (30 and 100 mg/kg orally) produced gastrointestinal disturbances resulting in maternal weight loss and an increased incidence of abortion. No teratogenicity was observed at either dose. After intravenous administration, at doses up to 20 mg/kg, no maternal toxicity was produced and no embryotoxicity or teratogenicity was observed. There are no adequate and well controlled studies in pregnant women. CILOXAN® (ciprofloxacin ophthalmic ointment) 0.3% should be used during pregnancy only if the potential benefit justifies the potential risk to the fetus.
Section 42229-5 (42229-5)

Sterile Ophthalmic Ointment

Warnings: (WARNINGS:)

FOR EYE USE ONLY

NOT FOR INJECTION INTO THE EYE

  •  
    Serious and occasionally fatal hypersensitivity (anaphylactic) reactions, some following the first dose, have been reported in patients receiving systemic quinolone therapy. Some reactions were accompanied by cardiovascular collapse, loss of consciousness, tingling, pharyngeal or facial edema, dyspnea, urticaria, and itching. Only a few patients had a history of hypersensitivity reactions. Serious anaphylactic reactions require immediate emergency treatment with epinephrine and other resuscitation measures, including oxygen, intravenous fluids, intravenous antihistamines, corticosteroids, pressor amines, and airway management, as clinically indicated.
Description: (DESCRIPTION:)

CILOXAN® (ciprofloxacin ophthalmic ointment) 0.3% is a synthetic, sterile, multiple dose, antimicrobial for topical use. Ciprofloxacin is a fluoroquinolone antibacterial. It is available as the monohydrochloride monohydrate salt of 1-cyclopropyl-6-fluoro-1,4-dihydro-4-oxo-7-(1-piperazinyl)-3-quinolinecarboxylic acid. Ciprofloxacin is a faint to light yellow crystalline powder with a molecular weight of 385.82 g/mol. Its empirical formula is C17H18FN3O3•HCl•H2O and its chemical structure is as follows:

Ciprofloxacin differs from other quinolones in that it has a fluorine atom at the 6-position, a piperazine moiety at the 7-position, and a cyclopropyl ring at the 1-position.

Each gram of CILOXAN® (ciprofloxacin ophthalmic ointment) 0.3% contains: Active: ciprofloxacin HCl 3.33 mg equivalent to 3 mg base. Inactives: mineral oil, white petrolatum.

How Supplied: (HOW SUPPLIED:)

3.5 g STERILE ointment supplied in an aluminum tube with a white polyethylene tip and white polyethylene cap.

3.5 g     NDC 66758-071-38

  •  
    Storage: Store at 2°C to 25°C (36°F to 77°F).
Adverse Reactions: (ADVERSE REACTIONS:)

The following adverse reactions (incidences) were reported in 2% of the patients in clinical studies for CILOXAN® (ciprofloxacin ophthalmic ointment) 0.3%: discomfort and keratopathy. Other reactions associated with ciprofloxacin therapy occurring in less than 1% of patients included allergic reactions, blurred vision, corneal staining, decreased visual acuity, dry eye, edema, epitheliopathy, eye pain, foreign body sensation, hyperemia, irritation, keratoconjunctivitis, lid erythema, lid margin hyperemia, photophobia, pruritus, and tearing. Systemic adverse reactions related to ciprofloxacin therapy occurred at an incidence below 1% and included dermatitis, nausea and taste perversion.

Contraindications: (CONTRAINDICATIONS:)

A history of hypersensitivity to ciprofloxacin or any other component of the medication is a contraindication to its use. A history of hypersensitivity to other quinolones may also contraindicate the use of ciprofloxacin.

Animal Pharmacology: (ANIMAL PHARMACOLOGY:)

Ciprofloxacin and related drugs have been shown to cause arthropathy in immature animals of most species tested following oral administration. However, a one month topical ocular study using immature Beagle dogs did not demonstrate any articular lesions.

Manufactured by

Novartis Manufacturing NV

Puurs-Sint-Amands, Belgium for

Sandoz Inc., Princeton, NJ 08540

Rev: 07/2024

9103380 US

Clinical Pharmacology: (CLINICAL PHARMACOLOGY:)

Systemic Absorption: Absorption studies in humans with the ciprofloxacin ointment have not been conducted, however, based on studies with ciprofloxacin solution, 0.3%, mean maximal concentrations are expected to be less than 2.5 ng/mL.

Microbiology: Ciprofloxacin has in vitro activity against a wide range of gram-negative and gram-positive organisms. The bactericidal action of ciprofloxacin results from interference with the enzyme DNA gyrase which is needed for the synthesis of bacterial DNA.

Ciprofloxacin has been shown to be active against most strains of the following microorganisms both in vitro and in clinical infections (see INDICATIONS AND USAGE section).

Aerobic gram-positive microorganisms:

Staphylococcus aureus (methicillin-susceptible strains)

Staphylococcus epidermidis (methicillin-susceptible strains)

Streptococcus pneumoniae

Streptococcus Viridans Group

Aerobic gram-negative microorganisms:

Haemophilus influenzae

The following in vitro data are available; but their clinical significance in ophthalmologic infections is unknown . The safety and effectiveness of ciprofloxacin in treating conjunctivitis due to these microorganisms have not been established in adequate and well-controlled trials.

The following organisms are considered susceptible when evaluated using systemic breakpoints. However, a correlation between the in vitro systemic breakpoint and ophthalmological efficacy has not been established. Ciprofloxacin exhibits in vitro minimal inhibitory concentrations (MIC’s) of 1 mcg/mL or less (systemic susceptible breakpoint) against most (greater than or equal to 90%) strains of the following ocular pathogens.

Aerobic gram-positive microorganisms:

Bacillus species

Corynebacterium species

Staphylococcus haemolyticus

Staphylococcus hominis

Aerobic gram-negative microorganisms:

Acinetobacter calcoaceticus

Enterobacter aerogenes

Escherichia coli

Haemophilus parainfluenzae

Klebsielle pneumoniae

Moraxella catarrhalis

Neisseria gonorrhoeae

Proteus mirabilis

Pseudomonas aeruginosa

Serratia marcesens

Most strains of Burkholderia cepacia and some strains of Stenotrophomonas maltophilia are resistant to ciprofloxacin as are most anaerobic bacteria, including Bacteroides fragilis and Clostridium difficile.

The minimal bactericidal concentration (MBC) generally does not exceed the minimal inhibitory concentration (MIC) by more than a factor of 2. Resistance to ciprofloxacin in vitro usually develops slowly (multiple-step mutation). Ciprofloxacin does not cross-react with other antimicrobial agents such as beta-lactams or aminoglycosides; therefore, organisms resistant to these drugs may be susceptible to ciprofloxacin. Organisms resistant to ciprofloxacin may be susceptible to beta-lactams or aminoglycosides.

Clinical Studies: In multi-center clinical trials, approximately 75% of the patients with signs and symptoms of bacterial conjunctivitis and positive conjunctival cultures were clinically cured and approximately 80% had presumed pathogens eradicated by the end of treatment (Day 7).

Indications and Usage: (INDICATIONS AND USAGE:)

CILOXAN® (ciprofloxacin ophthalmic ointment) 0.3% is indicated for the treatment of bacterial conjunctivitis caused by susceptible strains of the microorganisms listed below:

  •  
    Gram-Positive:

    Staphylococcus aureus

    Staphylococcus epidermidis

    Streptococcus pneumoniae

    Streptococcus Viridans Group

Gram-Negative:

Haemophilus influenzae

Principal Display Panel (PRINCIPAL DISPLAY PANEL)

NDC 66758-071-38 Rx Only

Ciloxan®

(ciprofloxacin

ophthalmic ointment)

0.3%

Net Wt. 3.5 g Sterile

SANDOZ

Dosage and Administration: (DOSAGE AND ADMINISTRATION:)

Apply a ½ inch ribbon into the conjunctival sac three times a day on the first two days, then apply a ½ inch ribbon two times a day for the next five days.


Advanced Ingredient Data


Raw Label Data

All Sections (JSON)