These Highlights Do Not Include All The Information Needed To Use Binosto®

These Highlights Do Not Include All The Information Needed To Use Binosto®
SPL v6
SPL
SPL Set ID 09765234-01bc-40f7-b9bb-c167056f3909
Route
ORAL
Published
Effective Date 2026-02-02
Document Type 34391-3 HUMAN PRESCRIPTION DRUG LABEL

Drug Facts

Composition & Product

Active Ingredients
Alendronic Acid (91.37 mg)
Inactive Ingredients
Monosodium Citrate Anhydrous Citric Acid Sodium Bicarbonate Sodium Carbonate Water

Identifiers & Packaging

Pill Appearance
Imprint: M Shape: round Color: white Size: 25 mm Score: 1
Marketing Status
NDA Active Since 2012-03-12

Description

Warnings and Precautions, Atypical Fractures Including Femoral Fractures ( 5.5 ) 02/2026

Indications and Usage

BINOSTO is a bisphosphonate indicated for: Treatment of osteoporosis in postmenopausal women ( 1.1 ) Treatment to increase bone mass in men with osteoporosis ( 1.2 ) Limitation of use: Optimal duration of use has not been determined. For patients at low-risk for fracture, consider drug discontinuation after 3 to 5 years of use ( 1.3 )

Dosage and Administration

70 mg BINOSTO effervescent tablet once weekly. ( 2.1 , 2.2 ) Instruct patients to: ( 2.3 ) Dissolve one tablet of BINOSTO in approximately half a glass of plain room temperature water (4 oz). Wait at least 5 minutes after the effervescence stops, stir the solution for approximately 10 seconds and consume contents. Swallow solution at least 30 minutes before the first food, beverage, or medication of the day. Avoid lying down for at least 30 minutes after taking BINOSTO and until after the first food of the day.

Warnings and Precautions

Upper Gastrointestinal Adverse Reactions can occur. Instruct patients to follow dosing instructions. Discontinue if new or worsening symptoms occur. ( 5.1 ) Hypocalcemia can worsen and must be corrected prior to use. ( 5.2 ) Severe Bone, Joint, Muscle Pain may occur. Discontinue use if severe symptoms develop. ( 5.3 ) Osteonecrosis of the Jaw has been reported. ( 5.4 ) Atypical Fractures Including Femoral Fractures have been reported. Patients with new thigh or groin pain should be evaluated to rule out a femoral fracture. Risk/benefit of continuing bisphosphonate therapy should be re-evaluated in these patients and interruption of bisphosphonate therapy should be considered. ( 5.5 ) Sodium Content: Each tablet contains 603 mg sodium, equivalent to 1532 mg NaCl. Use caution in patients on sodium restriction. ( 5.7 )

Contraindications

BINOSTO is contraindicated in patients with the following conditions: Abnormalities of the esophagus which delay esophageal emptying such as stricture or achalasia [see Warnings and Precautions (5.1) ] Inability to stand or sit upright for at least 30 minutes [see Dosage and Administration (2.3) ; Warnings and Precautions (5.1) ] Do not administer BINOSTO to patients at increased risk of aspiration Hypocalcemia [see Warnings and Precautions (5.2) ] Hypersensitivity to any component of this product. Hypersensitivity reactions including urticaria and angioedema have been reported [see Adverse Reactions (6.2) ] .

Adverse Reactions

The following clinically significant adverse drug reactions are described elsewhere in the labeling: Upper Gastrointestinal Adverse Reactions [see Warnings and Precautions (5.1) ] Mineral Metabolism [see Warnings and Precautions (5.2) ] Musculoskeletal Pain [see Warnings and Precautions (5.3) ] Osteonecrosis of the Jaw [see Warnings and Precautions (5.4) ] Atypical Fractures Including Femoral Fractures [see Warnings and Precautions (5.5) ] Renal Impairment [see Warnings and Precautions (5.6) ] Patients sensitive to High Sodium Intake [see Warnings and Precautions (5.7) ]

Drug Interactions

Calcium supplements, antacids or oral medications containing multivalent cations interfere with absorption of alendronate. ( 7.1 ) Use caution when co-prescribing aspirin/nonsteroidal anti- inflammatory drugs that may worsen gastrointestinal irritation. ( 7.2 , 7.3 )

Storage and Handling

BINOSTO effervescent tablets are round, flat faced, white to off-white tablets with beveled edges and "M" debossed on one side. BINOSTO effervescent tablets, 70 mg are provided in blisters made of aluminum foil composite, as follows: NDC 70539-400-04 carton containing 4 units of use blisters

How Supplied

BINOSTO effervescent tablets are round, flat faced, white to off-white tablets with beveled edges and "M" debossed on one side. BINOSTO effervescent tablets, 70 mg are provided in blisters made of aluminum foil composite, as follows: NDC 70539-400-04 carton containing 4 units of use blisters


Medication Information

Warnings and Precautions

Upper Gastrointestinal Adverse Reactions can occur. Instruct patients to follow dosing instructions. Discontinue if new or worsening symptoms occur. ( 5.1 ) Hypocalcemia can worsen and must be corrected prior to use. ( 5.2 ) Severe Bone, Joint, Muscle Pain may occur. Discontinue use if severe symptoms develop. ( 5.3 ) Osteonecrosis of the Jaw has been reported. ( 5.4 ) Atypical Fractures Including Femoral Fractures have been reported. Patients with new thigh or groin pain should be evaluated to rule out a femoral fracture. Risk/benefit of continuing bisphosphonate therapy should be re-evaluated in these patients and interruption of bisphosphonate therapy should be considered. ( 5.5 ) Sodium Content: Each tablet contains 603 mg sodium, equivalent to 1532 mg NaCl. Use caution in patients on sodium restriction. ( 5.7 )

Indications and Usage

BINOSTO is a bisphosphonate indicated for: Treatment of osteoporosis in postmenopausal women ( 1.1 ) Treatment to increase bone mass in men with osteoporosis ( 1.2 ) Limitation of use: Optimal duration of use has not been determined. For patients at low-risk for fracture, consider drug discontinuation after 3 to 5 years of use ( 1.3 )

Dosage and Administration

70 mg BINOSTO effervescent tablet once weekly. ( 2.1 , 2.2 ) Instruct patients to: ( 2.3 ) Dissolve one tablet of BINOSTO in approximately half a glass of plain room temperature water (4 oz). Wait at least 5 minutes after the effervescence stops, stir the solution for approximately 10 seconds and consume contents. Swallow solution at least 30 minutes before the first food, beverage, or medication of the day. Avoid lying down for at least 30 minutes after taking BINOSTO and until after the first food of the day.

Contraindications

BINOSTO is contraindicated in patients with the following conditions: Abnormalities of the esophagus which delay esophageal emptying such as stricture or achalasia [see Warnings and Precautions (5.1) ] Inability to stand or sit upright for at least 30 minutes [see Dosage and Administration (2.3) ; Warnings and Precautions (5.1) ] Do not administer BINOSTO to patients at increased risk of aspiration Hypocalcemia [see Warnings and Precautions (5.2) ] Hypersensitivity to any component of this product. Hypersensitivity reactions including urticaria and angioedema have been reported [see Adverse Reactions (6.2) ] .

Adverse Reactions

The following clinically significant adverse drug reactions are described elsewhere in the labeling: Upper Gastrointestinal Adverse Reactions [see Warnings and Precautions (5.1) ] Mineral Metabolism [see Warnings and Precautions (5.2) ] Musculoskeletal Pain [see Warnings and Precautions (5.3) ] Osteonecrosis of the Jaw [see Warnings and Precautions (5.4) ] Atypical Fractures Including Femoral Fractures [see Warnings and Precautions (5.5) ] Renal Impairment [see Warnings and Precautions (5.6) ] Patients sensitive to High Sodium Intake [see Warnings and Precautions (5.7) ]

Drug Interactions

Calcium supplements, antacids or oral medications containing multivalent cations interfere with absorption of alendronate. ( 7.1 ) Use caution when co-prescribing aspirin/nonsteroidal anti- inflammatory drugs that may worsen gastrointestinal irritation. ( 7.2 , 7.3 )

Storage and Handling

BINOSTO effervescent tablets are round, flat faced, white to off-white tablets with beveled edges and "M" debossed on one side. BINOSTO effervescent tablets, 70 mg are provided in blisters made of aluminum foil composite, as follows: NDC 70539-400-04 carton containing 4 units of use blisters

How Supplied

BINOSTO effervescent tablets are round, flat faced, white to off-white tablets with beveled edges and "M" debossed on one side. BINOSTO effervescent tablets, 70 mg are provided in blisters made of aluminum foil composite, as follows: NDC 70539-400-04 carton containing 4 units of use blisters

Description

Warnings and Precautions, Atypical Fractures Including Femoral Fractures ( 5.5 ) 02/2026

Section 42229-5

Treatment of Osteoporosis in Postmenopausal Women

Section 42231-1
MEDICATION GUIDE

BINOSTO® (BIN-oss-tow)

(alendronate sodium)

effervescent tablets for oral use
This Medication Guide has been approved by the U.S. Food and Drug Administration. Revised: 02/2026              
What is the most important information I should know about BINOSTO?

BINOSTO can cause serious side effects, including:
  • Esophagus problems
  • Low calcium levels in your blood (hypocalcemia)
  • Bone, joint, or muscle pain
  • Severe jaw bone problems (osteonecrosis)
  • Unusual breaks in thigh and other bones
  • 1.
    Esophagus problems.

    Some people who take BINOSTO may develop problems in the esophagus (the tube that connects the mouth and the stomach). These problems include irritation, inflammation, or ulcers of the esophagus which may sometimes bleed.
    • It is important that you take BINOSTO exactly as prescribed to help lower your chance of getting esophagus problems. (See the section "How should I take BINOSTO?")
    • Stop taking BINOSTO and call your healthcare provider right away if you get chest pain, new or worsening heartburn, or have trouble or pain when you swallow.
  • 2.
    Low calcium levels in your blood (hypocalcemia).

    BINOSTO may lower the calcium levels in your blood. If you have low blood calcium before you start taking BINOSTO, it may get worse during treatment. Your low blood calcium must be treated before you take BINOSTO. Most people with low blood calcium levels do not have symptoms, but some people may have symptoms. Call your healthcare provider right away if you have symptoms of low blood calcium such as:
    • Spasms, twitches, or cramps in your muscles
    • Numbness or tingling in your fingers, toes, or around your mouth
    Your healthcare provider may prescribe calcium and vitamin D to help prevent low calcium levels in your blood, while you take BINOSTO. Take calcium and vitamin D as your healthcare provider tells you to.
  • 3.
    Bone, joint, or muscle pain.

    Some people who take BINOSTO develop severe bone, joint, or muscle pain.
  • 4.
    Severe jaw bone problems (osteonecrosis).

    Severe jaw bone problems may happen when you take BINOSTO. Your healthcare provider should examine your mouth before you start BINOSTO. Your healthcare provider may tell you to see your dentist before you start BINOSTO. It is important for you to practice good mouth care during treatment with BINOSTO.
  • 5.
    Unusual breaks in thigh and other bones.

    Some people have had unusual bone breaks, including thigh bone, when taking BINOSTO. A break in the thigh bone can feel like a new pain in your hip, groin, or thigh. People taking BINOSTO can also have breaks in other bones.
Call your healthcare provider right away if you have any of these side effects.
What is BINOSTO?

BINOSTO is a prescription medicine used to:
  • Treat thinning of your bones (osteoporosis) in women after menopause. BINOSTO helps reduce the chance of having a hip or spinal fracture (break).
  • Increase bone mass in men who have osteoporosis.
It is not known how long BINOSTO works for the treatment of osteoporosis. You should see your healthcare provider regularly to determine if BINOSTO is still right for you.

BINOSTO is not for use in children.
Who should not take BINOSTO?

Do not take BINOSTO if you:
  • Have certain problems with your esophagus, the tube that connects your mouth with your stomach
  • Cannot stand or sit upright for at least 30 minutes
  • Have trouble swallowing liquids
  • Have low levels of calcium in your blood
  • Are allergic to BINOSTO or any of its ingredients. See the end of this leaflet for a complete list of ingredients in BINOSTO.
Before taking BINOSTO, tell your healthcare provider about all of your medical conditions, including if you:
  • Have problems with swallowing
  • Have stomach or digestive problems
  • Have low blood calcium
  • Plan to have dental surgery or teeth removed
  • Have kidney problems
  • Have been told you have trouble absorbing minerals in your stomach or intestines (malabsorption syndrome)
  • Have been told to lower your salt intake
  • Are pregnant, planning to become pregnant or suspect that you are pregnant. If you become pregnant while taking BINOSTO, stop taking it and contact your healthcare provider. It is not known if BINOSTO can harm your unborn baby.
  • Are breastfeeding or plan to breastfeed. It is not known if BINOSTO passes into your milk and may harm your baby.
Tell your healthcare provider about all medicines you take, including prescription and non- prescription medicines, vitamins, and herbal supplements.

Especially tell your healthcare provider if you take:
  • Calcium
  • Antacids
  • Aspirin
  • Nonsteroidal Anti-Inflammatory (NSAID) medicines
Know the medicines you take. Keep a list of them and show it to your healthcare provider or pharmacist each time you get a new medicine.
How should I take BINOSTO?
  • Take BINOSTO exactly as your healthcare provider tells you.
  • BINOSTO is taken 1 time each week. Choose the day of the week that best fits your schedule, then take BINOSTO on the same day every week.
  • BINOSTO works only if you take it on an empty stomach.
  • Take BINOSTO after you get up for the day and 30 minutes before taking your first food, drink, or other medicine.
  • Take BINOSTO while you are sitting or standing.
  • Do not swallow, chew or suck on a BINOSTO tablet.
  • Do not dissolve BINOSTO in:
    • Mineral or flavored water
    • Coffee
    • Tea
    • Soda
    • Juice
  • You must dissolve your BINOSTO in plain water at room temperature before you take it. To prepare your BINOSTO liquid medicine:

    Step 1. Place the BINOSTO tablet in about a half glass (4 ounces) of plain water. The water should not be cold or hot, and should be at room temperature.

    Step 2. Wait at least 5 minutes after the bubbling (effervescence) stops for the BINOSTO tablet to completely dissolve in the water.

    Step 3. Stir the liquid medicine for about 10 seconds.

    Step 4. Drink all of the BINOSTO liquid medicine in the glass.
After you take BINOSTO, wait at least 30 minutes before you:
  • Lie down. You may sit, stand or walk, and do normal activities like reading.
  • Take your first food or drink, except for plain water.
  • Take other medicines, including antacids, calcium, and other supplements and vitamins.
Do not lie down until after you eat your first food of the day.
  • If you miss a dose of BINOSTO, do not take it later in the day. Take your missed dose on the next morning after you remember and then return to your normal schedule. Do not take 2 doses on the same day.
  • If you think you took more than your prescribed dose of BINOSTO, drink a full glass of milk and call your healthcare provider right away. Do not try to vomit. Do not lie down.
What should I avoid while taking BINOSTO?

BINOSTO contains a high amount of salt in each tablet. Avoid eating foods with a high amount of salt if your healthcare provider has told you to limit how much salt you eat.
What are the possible side effects of BINOSTO?

BINOSTO may cause serious side effects.
The most common side effects of BINOSTO are:
  • Stomach area (abdominal) pain
  • Heartburn
  • Constipation
  • Diarrhea
  • Upset stomach
  • Pain in your bones, joints, or muscles
  • Nausea
You may get allergic reactions, such as hives, swelling of your face, lips, tongue, or throat.

Tell your healthcare provider about any side effect that bothers you or that does not go away.

These are not all the side effects with BINOSTO. Ask your healthcare provider or pharmacist for more information.

Call your doctor for medical advice about side effects. You may report side effects to FDA at 1-800-FDA-1088.
How should I store BINOSTO?
  • Store BINOSTO at room temperature between 68°F to 77°F (20°C to 25°C).
  • Keep BINOSTO tablets in their original blister pack until you use them.
  • Protect BINOSTO from moisture.
  • Keep BINOSTO and all medicines out of the reach of children.
General information about the safe and effective use of BINOSTO.

Medicines are sometimes prescribed for purposes other than those listed in a Medication Guide. Do not use BINOSTO for a condition for which it was not prescribed. Do not give BINOSTO to other people, even if they have the same symptoms that you have. It may harm them.

You can ask your pharmacist or healthcare provider for information about BINOSTO that is written for health professionals.
What are the ingredients in BINOSTO?

Active ingredient: alendronate sodium

Inactive ingredients: monosodium citrate anhydrous, citric acid anhydrous, sodium hydrogen carbonate, sodium carbonate anhydrous, strawberry flavor, acesulfame potassium, and sucralose.

Radius Health, Inc., 22 Boston Wharf Road, 7th Floor, Boston, MA 02210

US-MG-000400-v2.0

For more information about BINOSTO, visit our website at www.BINOSTO.com or call Radius Health, Inc., at 1-855-672-3487.
Section 43683-2
  • Warnings and Precautions, Atypical Fractures Including Femoral Fractures (5.5)
02/2026
Section 44425-7

Store at 20°C to 25°C (68°F to 77°F), excursions permitted to 15°C to 30°C (59°F to 86°F), [See USP Controlled Room Temperature.] Protect from moisture. Store tablets in original blister package until use.

7.2 Aspirin

In clinical studies, the incidence of upper gastrointestinal adverse events was increased in patients receiving concomitant therapy with daily doses of alendronate sodium greater than 10 mg and aspirin-containing products.

10 Overdosage

Significant lethality after single oral doses was seen in female rats and mice at 552 mg/kg (3256 mg/m2) and 966 mg/kg (2898 mg/m2), respectively. In males, these values were slightly higher, 626 and 1280 mg/kg, respectively. There was no lethality in dogs at oral doses up to 200 mg/kg (4000 mg/m2).

No specific information is available on the treatment of overdosage with BINOSTO. Hypocalcemia, hypophosphatemia, and upper gastrointestinal adverse events, such as upset stomach, heartburn, esophagitis, gastritis, or ulcer, may result from oral overdosage. Milk or antacids should be given to bind alendronate. Due to the risk of esophageal irritation, vomiting should not be induced and the patient should remain fully upright.

Dialysis would not be beneficial.

11 Description

BINOSTO (alendronate sodium) is a bisphosphonate that acts as a specific inhibitor of osteoclast-mediated bone resorption. Bisphosphonates are synthetic analogs of pyrophosphate that bind to the hydroxyapatite found in bone.

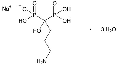
Alendronate sodium is chemically described as (4 amino-1-hydroxybutylidene) bisphosphonic acid, monosodium salt, trihydrate. The molecular formula of alendronate sodium is C4H12NNaO7P2 ∙ 3H2O and its molecular weight is 325.12. The structural formula of alendronate sodium is

Alendronate sodium is a white or almost white crystalline powder that is soluble in water, very slightly soluble in methanol, and practically insoluble in methylene chloride.

BINOSTO for oral administration is an effervescent tablet formulation that must be dissolved in water before use. Each individual tablet contains 91.37 mg of alendronate sodium, which is equivalent to 70 mg of free alendronic acid. Each tablet also contains the following inactive ingredients: monosodium citrate anhydrous, citric acid anhydrous, sodium hydrogen carbonate, and sodium carbonate anhydrous as buffering agents, strawberry flavor, acesulfame potassium, and sucralose.

70 mg of BINOSTO effervescent tablet contains 603 mg of sodium and 17 mg of phosphorus.

Once the effervescent tablet is dissolved in water, the alendronate sodium is present in a citrate-buffered solution of pH 4.8 to 5.4.

7.4 Levothyroxine

The bioavailability of alendronate was slightly decreased when BINOSTO and levothyroxine were co-administered to healthy subjects [see Clinical Pharmacology (12.3)].

8.4 Pediatric Use

BINOSTO is not indicated for use in pediatric patients.

The safety and efficacy of alendronate sodium were examined in a randomized, double-blind, placebo-controlled two-year study of 139 pediatric patients, aged 4-18 years, with severe osteogenesis imperfecta (OI). One-hundred-and-nine patients were randomized to 5 mg alendronate sodium daily (weight less than 40 kg) or 10 mg alendronate sodium daily (weight greater than or equal to 40 kg) and 30 patients to placebo. The mean baseline lumbar spine BMD Z-score of the patients was -4.5. The mean change in lumbar spine BMD Z-score from baseline to Month 24 was 1.3 in the alendronate-treated patients and 0.1 in the placebo- treated patients. Treatment with alendronate sodium did not reduce the risk of fracture. Sixteen percent of the alendronate-treated patients who sustained a radiologically-confirmed fracture by Month 12 of the study had delayed fracture healing (callus remodeling) or fracture non-union when assessed radiographically at Month 24 compared with 9% of the placebo-treated patients. In alendronate-treated patients, bone histomorphometry data obtained at Month 24 demonstrated decreased bone turnover and delayed mineralization time; however, there were no mineralization defects. There were no statistically significant differences between the alendronate sodium and placebo groups in reduction of bone pain. The oral bioavailability in children was similar to that observed in adults.

The overall safety profile of alendronate sodium in osteogenesis imperfecta patients treated for up to 24 months was generally similar to that of adults with osteoporosis treated with alendronate sodium. However, there was an increased occurrence of vomiting in osteogenesis imperfecta patients treated with alendronate sodium compared to placebo. During the 24-month treatment period, vomiting was observed in 32 of 109 (29.4%) patients treated with alendronate sodium and 3 of 30 (10%) patients treated with placebo.

In a pharmacokinetic study, 6 of 24 pediatric osteogenesis imperfecta patients who received a single oral dose of alendronate sodium 35 or 70 mg developed fever, flu-like symptoms, and/or mild lymphocytopenia within 24 to 48 hours after administration. These events, lasting no more than 2 to 3 days and responding to acetaminophen, are consistent with an acute-phase response that has been reported in patients receiving bisphosphonates, including alendronate sodium. [See Adverse Reactions (6.2).]

8.5 Geriatric Use

Of the patients receiving alendronate sodium in the Fracture Intervention Trial (FIT), 71% (n=2302) were greater than or equal to 65 years of age and 17% (n=550) were greater than or equal to 75 years of age. Of the patients receiving alendronate sodium in the United States and Multinational osteoporosis treatment studies in women and osteoporosis studies in men, [see Clinical Studies (14.1), (14.2)], 45% and 54%, respectively, were 65 years of age or over. No overall differences in efficacy or safety were observed between these patients and younger patients, but greater sensitivity of some older individuals cannot be ruled out.

4 Contraindications

BINOSTO is contraindicated in patients with the following conditions:

Do not administer BINOSTO to patients at increased risk of aspiration

6 Adverse Reactions

The following clinically significant adverse drug reactions are described elsewhere in the labeling:

7 Drug Interactions
  • Calcium supplements, antacids or oral medications containing multivalent cations interfere with absorption of alendronate. (7.1)
  • Use caution when co-prescribing aspirin/nonsteroidal anti- inflammatory drugs that may worsen gastrointestinal irritation. (7.2, 7.3)
5.6 Renal Impairment

BINOSTO is not recommended for patients with creatinine clearance <35 mL/min.

8.6 Renal Impairment

BINOSTO is not recommended for patients with creatinine clearance less than 35 mL/min. No dosage adjustment is necessary in patients with creatinine clearance values between 35-60 mL/min [see Clinical Pharmacology (12.3)].

12.2 Pharmacodynamics

Alendronate is a bisphosphonate that binds to bone hydroxyapatite and specifically inhibits the activity of osteoclasts, the bone-resorbing cells. Alendronate reduces bone resorption with no direct effect on bone formation, although the latter process is ultimately reduced because bone resorption and formation are coupled during bone turnover.

5.2 Mineral Metabolism

Hypocalcemia must be corrected before initiating therapy with BINOSTO [see Contraindications (4)]. Other disorders affecting mineral metabolism (such as vitamin D deficiency) should also be effectively treated. In patients with these conditions, serum calcium and symptoms of hypocalcemia should be monitored during therapy with BINOSTO.

Presumably due to the effects of BINOSTO on increasing bone mineral, small, asymptomatic decreases in serum calcium and phosphate may occur. Patients should receive adequate calcium and vitamin D intake.

8.7 Hepatic Impairment

As there is evidence that alendronate is not metabolized or excreted in the bile, no studies were conducted in patients with hepatic impairment. No dosage adjustment is necessary [see Clinical Pharmacology (12.3)].

1 Indications and Usage

BINOSTO is a bisphosphonate indicated for:

  • Treatment of osteoporosis in postmenopausal women (1.1)
  • Treatment to increase bone mass in men with osteoporosis (1.2)

Limitation of use: Optimal duration of use has not been determined. For patients at low-risk for fracture, consider drug discontinuation after 3 to 5 years of use (1.3)

12.1 Mechanism of Action

Animal studies have indicated the following mode of action. At the cellular level, alendronate shows preferential localization to sites of bone resorption, specifically under osteoclasts. The osteoclasts adhere normally to the bone surface but lack the ruffled border that is indicative of active resorption. Alendronate does not interfere with osteoclast recruitment or attachment, but it does inhibit osteoclast activity. Studies in mice on the localization of radioactive [3H]alendronate in bone showed about 10-fold higher uptake on osteoclast surfaces than on osteoblast surfaces. Bones examined 6 and 49 days after [3H]alendronate administration in rats and mice, respectively, showed that normal bone was formed on top of the alendronate, which was incorporated inside the matrix. While incorporated in bone matrix, alendronate is not pharmacologically active. Thus, alendronate must be continuously administered to suppress osteoclasts on newly formed resorption surfaces. Histomorphometry in baboons and rats showed that alendronate treatment reduces bone turnover (i.e., the number of sites at which bone is remodeled). In addition, bone formation exceeds bone resorption at these remodeling sites, leading to progressive gains in bone mass.

17.2 Dosing Instructions

Instruct patients that it is necessary to follow all dosing instructions for BINOSTO:

  • BINOSTO should only be taken upon arising for the day and must be taken at least 30 minutes before the first food, beverage, or medication of the day. Instruct patients not to attempt to swallow, chew, or suck on the tablet because of a potential for oropharyngeal ulceration.
  • Instruct patients to dissolve the effervescent tablet in 4 ounces room temperature plain water only (not mineral water or flavored water).
  • Instruct patients to wait at least 5 minutes after the effervescence stops and then stir the solution for approximately 10 seconds and then consume the contents.
  • Instruct patients to avoid lying down for at least 30 minutes after taking BINOSTO and until after their first food of the day.
  • Instruct patients not to take BINOSTO at bedtime or before arising for the day.
  • Instruct patients that waiting less than 30 minutes, or taking BINOSTO with food, beverages (other than plain water) or other medications will lessen the effect of BINOSTO by decreasing its absorption into the body [see Drug Interactions (7.1)]. Even dosing with orange juice or coffee has been shown to markedly reduce the absorption of BINOSTO [see Clinical Pharmacology (12.3)].
  • Inform patients that failure to follow these instructions may increase their risk of esophageal problems. [see Warnings and Precautions (5.1)].

Instruct patients that if they develop symptoms of esophageal disease (such as difficulty or pain upon swallowing, retrosternal pain or new or worsening heartburn) they should stop taking BINOSTO and consult their physician. [see Warnings and Precautions (5.1)].

Instruct patients that if they miss a dose of once weekly BINOSTO, they should take one dose on the morning after they remember. They should not take 2 doses on the same day but should return to taking one dose once a week, as originally scheduled on their chosen day.

5.3 Musculoskeletal Pain

In post-marketing experience, severe and occasionally incapacitating bone, joint, and/or muscle pain has been reported in patients taking bisphosphonates that are approved for the treatment of osteoporosis [see Adverse Reactions (6.2)]. This category of drugs includes BINOSTO. Most of the patients were postmenopausal women. The time to onset of symptoms varied from one day to several months after starting the drug. Discontinue use if severe symptoms develop. Most patients had relief of symptoms after stopping. A subset had recurrence of symptoms when rechallenged with the same drug or another bisphosphonate.

In placebo-controlled clinical studies of alendronate sodium, the percentages of patients with these symptoms were similar in the alendronate sodium and placebo groups.

5 Warnings and Precautions
  • Upper Gastrointestinal Adverse Reactions can occur. Instruct patients to follow dosing instructions. Discontinue if new or worsening symptoms occur. (5.1)
  • Hypocalcemia can worsen and must be corrected prior to use. (5.2)
  • Severe Bone, Joint, Muscle Pain may occur. Discontinue use if severe symptoms develop. (5.3)
  • Osteonecrosis of the Jaw has been reported. (5.4)
  • Atypical Fractures Including Femoral Fractures have been reported. Patients with new thigh or groin pain should be evaluated to rule out a femoral fracture. Risk/benefit of continuing bisphosphonate therapy should be re-evaluated in these patients and interruption of bisphosphonate therapy should be considered. (5.5)
  • Sodium Content: Each tablet contains 603 mg sodium, equivalent to 1532 mg NaCl. Use caution in patients on sodium restriction. (5.7)
2 Dosage and Administration
  • 70 mg BINOSTO effervescent tablet once weekly. (2.1, 2.2)
  • Instruct patients to: (2.3)
    • Dissolve one tablet of BINOSTO in approximately half a glass of plain room temperature water (4 oz). Wait at least 5 minutes after the effervescence stops, stir the solution for approximately 10 seconds and consume contents.
    • Swallow solution at least 30 minutes before the first food, beverage, or medication of the day.
    • Avoid lying down for at least 30 minutes after taking BINOSTO and until after the first food of the day.
3 Dosage Forms and Strengths

BINOSTO effervescent tablets are round, flat-faced, white to off-white tablets, 25 mm in diameter, with beveled edges, with "M" debossed on one side, containing 91.37 mg of alendronate sodium, which is equivalent to 70 mg of free alendronic acid. After dissolution the solution has a pH of 4.8-5.4.

5.4 Osteonecrosis of the Jaw

Osteonecrosis of the jaw (ONJ), which can occur spontaneously, is generally associated with tooth extraction and/or local infection with delayed healing, and has been reported in patients taking bisphosphonates, including alendronate sodium. Known risk factors for osteonecrosis of the jaw include invasive dental procedures (e.g., tooth extraction, dental implants, boney surgery), diagnosis of cancer, concomitant therapies (e.g., chemotherapy, corticosteroids, angiogenesis inhibitors), poor oral hygiene, and co-morbid disorders (e.g., periodontal and/or other pre-existing dental disease, anemia, coagulopathy, infection, ill-fitting dentures). The risk of ONJ may increase with duration of exposure to bisphosphonates.

For patients requiring invasive dental procedures, discontinuation of bisphosphonate treatment may reduce the risk for ONJ. Clinical judgment of the treating physician and/or oral surgeon should guide the management plan of each patient based on individual benefit/risk assessment.

Patients who develop osteonecrosis of the jaw while on bisphosphonate therapy should receive care by an oral surgeon. In these patients, extensive dental surgery to treat ONJ may exacerbate the condition. Discontinuation of bisphosphonate therapy should be considered based on individual benefit/risk assessment.

6.2 Post Marketing Experience

The following adverse reactions have been identified during post-approval use of alendronate sodium or bisphosphonate products. Because these reactions are reported voluntarily from a population of uncertain size, it is not always possible to reliably estimate their frequency or establish a causal relationship to drug exposure.

Body as a Whole: hypersensitivity reactions including urticaria and angioedema. Transient symptoms of myalgia, malaise, asthenia and fever have been reported with alendronate, typically in association with initiation of treatment. Symptomatic hypocalcemia has occurred, generally in association with predisposing conditions. Peripheral edema.

Gastrointestinal: esophagitis, esophageal erosions, esophageal ulcers, esophageal stricture or perforation, and oropharyngeal ulceration. Gastric or duodenal ulcers, some severe and with complications have also been reported [see Dosage and Administration (2.3); Warnings and Precautions (5.1)].

Dental: Localized osteonecrosis of the jaw, generally associated with tooth extraction and/or local infection with delayed healing, has been reported [see Warnings and Precautions (5.4)].

Musculoskeletal: bone, joint, and/or muscle pain, occasionally severe and incapacitating [see Warnings and Precautions (5.3)]; joint swelling; low-energy femoral shaft and subtrochanteric fractures, and atypical fractures of other bones [see Warnings and Precautions (5.5].

Nervous system: dizziness and vertigo.

Pulmonary: acute asthma exacerbations

Skin: rash (occasionally with photosensitivity), pruritus, alopecia, severe skin reactions, including Stevens-Johnson syndrome and toxic epidermal necrolysis.

Special Senses: uveitis, scleritis or episcleritis. Cholesteatoma of the external auditory canal (focal osteonecrosis).

8 Use in Specific Populations
  • Pregnancy: Discontinue when pregnancy is recognized. (8.1)
  • BINOSTO is not indicated for use in pediatric patients. (8.4)
  • BINOSTO is not recommended in patients with renal impairment (creatinine clearance less than 35 mL/min). (5.6, 8.6)
6.1 Clinical Trials Experience

Because clinical trials are conducted under widely varying conditions, adverse reaction rates observed in the clinical trials of a drug cannot be directly compared to rates in the clinical trials of another drug and may not reflect the rates observed in clinical practice.

The safety of BINOSTO (alendronate sodium) effervescent tablet 70 mg is based on clinical trial data of alendronate sodium 10 mg daily and alendronate sodium 70 mg weekly.

1.3 Important Limitations of Use

The optimal duration of use has not been determined. The safety and effectiveness of BINOSTO for the treatment of osteoporosis are based on clinical data of four years duration. All patients on bisphosphonate therapy should have the need for continued therapy re-evaluated on a periodic basis. Patients at low-risk for fracture should be considered for drug discontinuation after 3 to 5 years of use. Patients who discontinue therapy should have their risk for fracture re-evaluated periodically.

7.1 Calcium Supplements/antacids

Co-administration of BINOSTO and calcium, antacids, or oral medications containing multivalent cations will interfere with absorption of BINOSTO. Therefore, instruct patients to wait at least one-half hour after taking BINOSTO before taking any other oral medications.

17 Patient Counseling Information

See FDA-approved patient labeling (Medication Guide).

Instruct patients to read the Medication Guide before starting therapy with BINOSTO and to reread it each time the prescription is renewed.

17.3 Patients On Sodium Restriction

Inform patients who are prescribed sodium restricted diets that BINOSTO contains 603 mg of sodium which is equivalent to approximately 1532 mg NaCl per tablet.

16 How Supplied/storage and Handling

BINOSTO effervescent tablets are round, flat faced, white to off-white tablets with beveled edges and "M" debossed on one side. BINOSTO effervescent tablets, 70 mg are provided in blisters made of aluminum foil composite, as follows:

NDC 70539-400-04 carton containing 4 units of use blisters

2.3 Important Administration Instructions

Instruct patients to do the following to assure adequate drug absorption and to decrease the risk of esophageal adverse reactions:

  • Take BINOSTO upon arising for the day and at least 30 minutes before the first food, beverage, or medication of the day.
  • Patients should not swallow the undissolved effervescent tablet, should not chew the effervescent tablet or allow the effervescent tablet to dissolve in their mouths because of the risk for oropharyngeal irritation [see Warnings and Precautions (5.1)].
  • Dissolve the effervescent tablet in 4 ounces room temperature plain water only (not mineral water or flavored water).
  • Wait at least 5 minutes after the effervescence stops and then stir the buffered solution for approximately 10 seconds and ingest.
  • Avoid lying down for at least 30 minutes after taking BINOSTO and until after their first food of the day.
  • Do not take BINOSTO at bedtime or before arising for the day.

    Failure to follow these instructions may increase the risk of esophageal adverse reactions [see Warnings and Precautions (5.1)].
13.2 Animal Toxicology And/or Pharmacology

The relative inhibitory activities on bone resorption and mineralization of alendronate and etidronate were compared in the Schenk assay, which is based on histological examination of the epiphyses of growing rats. In this assay, the lowest dose of alendronate that interfered with bone mineralization (leading to osteomalacia) was 6000-fold the antiresorptive dose. The corresponding ratio for etidronate was one to one. These data suggest that alendronate administered in therapeutic doses is highly unlikely to induce osteomalacia.

5.1 Upper Gastrointestinal Adverse Reactions

BINOSTO, like other bisphosphonates administered orally, may cause local irritation of the upper gastrointestinal mucosa. Because of these possible irritant effects and a potential for worsening of the underlying disease, caution should be used when BINOSTO is given to patients with active upper gastrointestinal problems (such as known Barrett's esophagus, dysphagia, other esophageal diseases, gastritis, duodenitis, or ulcers).

Esophageal adverse experiences, such as esophagitis, esophageal ulcers and esophageal erosions, occasionally with bleeding and rarely followed by esophageal stricture or perforation, have been reported in patients receiving treatment with oral bisphosphonates including alendronate sodium. In some cases these have been severe and required hospitalization. Physicians should therefore be alert to any signs or symptoms signaling a possible esophageal reaction and patients should be instructed to discontinue BINOSTO and seek medical attention if they develop dysphagia, odynophagia, retrosternal pain or new or worsening heartburn.

The risk of severe esophageal adverse experiences appears to be greater in patients who lie down after taking oral bisphosphonates including alendronate sodium, and/or who continue to take oral bisphosphonates including alendronate sodium after developing symptoms suggestive of esophageal irritation. Therefore, it is very important that the full dosing instructions are provided to, and understood by, the patient [see Dosage and Administration (2.3)]. In patients who cannot comply with dosing instructions due to mental disability, therapy with BINOSTO should be used under appropriate supervision.

There have been post-marketing reports of gastric and duodenal ulcers with oral bisphosphonate use, some severe and with complications, although no increased risk was observed in controlled clinical trials [see Adverse Reactions (6.2)].

5.7 Patients Sensitive to High Sodium Intake

Each BINOSTO effervescent tablet contains 603 mg of sodium, equivalent to approximately 1532 mg of salt (NaCl). Use caution in patients who must restrict their sodium intake, including some patients with a history of heart failure, hypertension, or other cardiovascular diseases [see Patient Counseling Information (17.3)].

Principal Display Panel 4 Tablet Blister Pack

Fold and tear at

notch or cut

NDC 70539-400-00

Binosto®

(alendronate sodium) effervescent

tablet for oral solution

70 mg

Rx only

This blister contains 1 complete week of treatment

2023-BIN-0001

Manufactured for:

Radius Health, Inc.

22 Boston Wharf Road, 7th Floor

Boston, MA 02210 USA

2.5 Administration Instructions for Missed Doses

If the once-weekly dose is missed, instruct patients to take one dose on the morning after they remember. They should not take 2 doses on the same day but should return to taking one dose once a week, as originally scheduled on their chosen day.

7.3 Nonsteroidal Anti Inflammatory Drugs (nsaids)

BINOSTO may be administered to patients taking NSAIDs. In a 3-year, controlled, clinical study (n=2027) during which a majority of patients received concomitant NSAIDs, the incidence of upper gastrointestinal adverse events was similar in patients taking alendronate sodium 5 or 10 mg/day compared to those taking placebo. However, since NSAID use is associated with gastrointestinal irritation, caution should be used during concomitant use with BINOSTO.

5.5 Atypical Fractures Including Femoral Fractures

Atypical, low-energy, or low trauma fractures of the femoral shaft have been reported during treatment with bisphosphonates, including alendronate sodium, in patients with osteoporosis. Atypical femur and other fractures most commonly occur with minimal or no trauma to the affected area. These fractures occurred anywhere in the femoral shaft from just below the lesser trochanter to above the supracondylar flare and are transverse or short oblique in orientation without evidence of comminution. Atypical fractures of other bones have also been reported. They may be bilateral. These fractures can also occur in osteoporotic patients who have not been treated with bisphosphonates. Concomitant treatment with glucocorticoids may also induce these fractures.

Prodromal pain in the affected area, usually presenting as dull, aching pain, weeks to months before a complete fracture occurs was reported by patients.

Any patient with a history of bisphosphonate exposure who presents with thigh or groin pain should be suspected of having an atypical fracture and should be evaluated to rule out an incomplete femur fracture. Bone pain in other locations should also be considered for evaluation of atypical fracture. Patients presenting with an atypical fracture should also be assessed for symptoms and signs of fracture in the contralateral limb. Risk/benefit of continuing bisphosphonate therapy should be re-evaluated in these patients and interruption of bisphosphonate therapy should be considered.

1.1 Treatment of Osteoporosis in Postmenopausal Women

BINOSTO effervescent tablet 70 mg is indicated for the treatment of osteoporosis in postmenopausal women. For the treatment of osteoporosis, alendronate sodium increases bone mass and reduces the incidence of fractures, including those of the hip and spine (vertebral compression fractures). [See Clinical Studies (14.1).]

2.1 Treatment of Osteoporosis in Postmenopausal Women

The recommended dosage is one 70 mg effervescent tablet once weekly.

14.1 Treatment of Osteoporosis in Postmenopausal Women

BINOSTO (alendronate sodium) effervescent tablet 70 mg is bioequivalent to alendronate sodium tablet 70 mg. The fracture reduction efficacy and bone mineral density changes attributed to BINOSTO are based on clinical trial data of alendronate sodium 10 mg daily and alendronate sodium 70 mg weekly.

Principal Display Panel 4 Tablet Blister Pack Carton

NDC 70539-400-04

Rx only

Binosto®

(alendronate sodium) effervescent

tablet for oral solution

70 mg*

* Each effervescent tablet contains 91.37 mg

alendronate sodium (70 mg free acid equivalent)

4 Effervescent Tablets

ATTENTION PHARMACIST:

Each patient is required to

receive the medication guide.

13.1 Carcinogenesis, Mutagenesis, Impairment of Fertility

Harderian gland (a retro-orbital gland not present in humans) adenomas were increased in high-dose female mice (p=0.003) in a 92-week oral carcinogenicity study at doses of alendronate of 1, 3, and 10 mg/kg/day (males) or 1, 2, and 5 mg/kg/day (females). These doses are equivalent to 0.12 to 1.2 times a maximum recommended daily dose of 40 mg, based on surface area, mg/m2. The relevance of this finding to humans is unknown.

Parafollicular cell (thyroid) adenomas were increased in high-dose male rats (p=0.003) in a 2-year oral carcinogenicity study at doses of 1 and 3.75 mg/kg body weight. These doses are equivalent to 0.26 and 1 times a 40 mg human daily dose based on surface area, mg/m2. The relevance of this finding to humans is unknown.

Alendronate sodium was not genotoxic in the in vitro microbial mutagenesis assay with and without metabolic activation, in an in vitro mammalian cell mutagenesis assay, in an in vitro alkaline elution assay in rat hepatocytes, and in an in vivo chromosomal aberration assay in mice. In an in vitro chromosomal aberration assay in Chinese hamster ovary cells, however, alendronate gave equivocal results.

Alendronate sodium had no effect on fertility (male or female) in rats at oral doses up to 5 mg/kg/day (1.3 times a 40 mg human daily dose based on surface area, mg/m2).

1.2 Treatment to Increase Bone Mass in Men With Osteoporosis

BINOSTO is indicated for treatment to increase bone mass in men with osteoporosis [see Clinical Studies (14.2)].

2.2 Treatment to Increase Bone Mass in Men With Osteoporosis

The recommended dosage is one 70 mg effervescent tablet once weekly.

14.2 Treatment to Increase Bone Mass in Men With Osteoporosis

The efficacy of alendronate sodium in men with hypogonadal or idiopathic osteoporosis was demonstrated in two clinical studies.

2.4 Recommendations for Calcium and Vitamin D Supplementation

Instruct patients to take supplemental calcium and vitamin D if dietary intake is inadequate [see Warnings and Precautions (5.2)]. Patients at increased risk for vitamin D insufficiency (e.g., over the age of 70 years, nursing home-bound, or chronically ill) may need vitamin D supplementation. Patients with gastrointestinal malabsorption syndromes may require higher doses of vitamin D supplementation and measurement of 25-hydroxyvitamin D should be considered.

Principal Display Panel 4 Tablet Blister Sample Pack Carton

NDC 70539-400-94

Rx only

SAMPLE—NOT FOR SALE

Binosto®

(alendronate sodium) effervescent

tablet for oral solution

70 mg*

* Each effervescent tablet contains 91.37 mg

alendronate sodium (70 mg free acid equivalent)

4 Effervescent Tablets

ATTENTION PHARMACIST:

Each patient is required to

receive the medication guide.

17.1 Osteoporosis Recommendations, Including Calcium and Vitamin D Supplementation

Instruct patients to take supplemental calcium and vitamin D, if daily dietary intake is inadequate. Weight-bearing exercise should be considered along with the modification of certain behavioral factors, such as cigarette smoking and/or excessive alcohol consumption, if these factors exist.


Structured Label Content

Section 42229-5 (42229-5)

Treatment of Osteoporosis in Postmenopausal Women

Section 42231-1 (42231-1)
MEDICATION GUIDE

BINOSTO® (BIN-oss-tow)

(alendronate sodium)

effervescent tablets for oral use
This Medication Guide has been approved by the U.S. Food and Drug Administration. Revised: 02/2026              
What is the most important information I should know about BINOSTO?

BINOSTO can cause serious side effects, including:
  • Esophagus problems
  • Low calcium levels in your blood (hypocalcemia)
  • Bone, joint, or muscle pain
  • Severe jaw bone problems (osteonecrosis)
  • Unusual breaks in thigh and other bones
  • 1.
    Esophagus problems.

    Some people who take BINOSTO may develop problems in the esophagus (the tube that connects the mouth and the stomach). These problems include irritation, inflammation, or ulcers of the esophagus which may sometimes bleed.
    • It is important that you take BINOSTO exactly as prescribed to help lower your chance of getting esophagus problems. (See the section "How should I take BINOSTO?")
    • Stop taking BINOSTO and call your healthcare provider right away if you get chest pain, new or worsening heartburn, or have trouble or pain when you swallow.
  • 2.
    Low calcium levels in your blood (hypocalcemia).

    BINOSTO may lower the calcium levels in your blood. If you have low blood calcium before you start taking BINOSTO, it may get worse during treatment. Your low blood calcium must be treated before you take BINOSTO. Most people with low blood calcium levels do not have symptoms, but some people may have symptoms. Call your healthcare provider right away if you have symptoms of low blood calcium such as:
    • Spasms, twitches, or cramps in your muscles
    • Numbness or tingling in your fingers, toes, or around your mouth
    Your healthcare provider may prescribe calcium and vitamin D to help prevent low calcium levels in your blood, while you take BINOSTO. Take calcium and vitamin D as your healthcare provider tells you to.
  • 3.
    Bone, joint, or muscle pain.

    Some people who take BINOSTO develop severe bone, joint, or muscle pain.
  • 4.
    Severe jaw bone problems (osteonecrosis).

    Severe jaw bone problems may happen when you take BINOSTO. Your healthcare provider should examine your mouth before you start BINOSTO. Your healthcare provider may tell you to see your dentist before you start BINOSTO. It is important for you to practice good mouth care during treatment with BINOSTO.
  • 5.
    Unusual breaks in thigh and other bones.

    Some people have had unusual bone breaks, including thigh bone, when taking BINOSTO. A break in the thigh bone can feel like a new pain in your hip, groin, or thigh. People taking BINOSTO can also have breaks in other bones.
Call your healthcare provider right away if you have any of these side effects.
What is BINOSTO?

BINOSTO is a prescription medicine used to:
  • Treat thinning of your bones (osteoporosis) in women after menopause. BINOSTO helps reduce the chance of having a hip or spinal fracture (break).
  • Increase bone mass in men who have osteoporosis.
It is not known how long BINOSTO works for the treatment of osteoporosis. You should see your healthcare provider regularly to determine if BINOSTO is still right for you.

BINOSTO is not for use in children.
Who should not take BINOSTO?

Do not take BINOSTO if you:
  • Have certain problems with your esophagus, the tube that connects your mouth with your stomach
  • Cannot stand or sit upright for at least 30 minutes
  • Have trouble swallowing liquids
  • Have low levels of calcium in your blood
  • Are allergic to BINOSTO or any of its ingredients. See the end of this leaflet for a complete list of ingredients in BINOSTO.
Before taking BINOSTO, tell your healthcare provider about all of your medical conditions, including if you:
  • Have problems with swallowing
  • Have stomach or digestive problems
  • Have low blood calcium
  • Plan to have dental surgery or teeth removed
  • Have kidney problems
  • Have been told you have trouble absorbing minerals in your stomach or intestines (malabsorption syndrome)
  • Have been told to lower your salt intake
  • Are pregnant, planning to become pregnant or suspect that you are pregnant. If you become pregnant while taking BINOSTO, stop taking it and contact your healthcare provider. It is not known if BINOSTO can harm your unborn baby.
  • Are breastfeeding or plan to breastfeed. It is not known if BINOSTO passes into your milk and may harm your baby.
Tell your healthcare provider about all medicines you take, including prescription and non- prescription medicines, vitamins, and herbal supplements.

Especially tell your healthcare provider if you take:
  • Calcium
  • Antacids
  • Aspirin
  • Nonsteroidal Anti-Inflammatory (NSAID) medicines
Know the medicines you take. Keep a list of them and show it to your healthcare provider or pharmacist each time you get a new medicine.
How should I take BINOSTO?
  • Take BINOSTO exactly as your healthcare provider tells you.
  • BINOSTO is taken 1 time each week. Choose the day of the week that best fits your schedule, then take BINOSTO on the same day every week.
  • BINOSTO works only if you take it on an empty stomach.
  • Take BINOSTO after you get up for the day and 30 minutes before taking your first food, drink, or other medicine.
  • Take BINOSTO while you are sitting or standing.
  • Do not swallow, chew or suck on a BINOSTO tablet.
  • Do not dissolve BINOSTO in:
    • Mineral or flavored water
    • Coffee
    • Tea
    • Soda
    • Juice
  • You must dissolve your BINOSTO in plain water at room temperature before you take it. To prepare your BINOSTO liquid medicine:

    Step 1. Place the BINOSTO tablet in about a half glass (4 ounces) of plain water. The water should not be cold or hot, and should be at room temperature.

    Step 2. Wait at least 5 minutes after the bubbling (effervescence) stops for the BINOSTO tablet to completely dissolve in the water.

    Step 3. Stir the liquid medicine for about 10 seconds.

    Step 4. Drink all of the BINOSTO liquid medicine in the glass.
After you take BINOSTO, wait at least 30 minutes before you:
  • Lie down. You may sit, stand or walk, and do normal activities like reading.
  • Take your first food or drink, except for plain water.
  • Take other medicines, including antacids, calcium, and other supplements and vitamins.
Do not lie down until after you eat your first food of the day.
  • If you miss a dose of BINOSTO, do not take it later in the day. Take your missed dose on the next morning after you remember and then return to your normal schedule. Do not take 2 doses on the same day.
  • If you think you took more than your prescribed dose of BINOSTO, drink a full glass of milk and call your healthcare provider right away. Do not try to vomit. Do not lie down.
What should I avoid while taking BINOSTO?

BINOSTO contains a high amount of salt in each tablet. Avoid eating foods with a high amount of salt if your healthcare provider has told you to limit how much salt you eat.
What are the possible side effects of BINOSTO?

BINOSTO may cause serious side effects.
The most common side effects of BINOSTO are:
  • Stomach area (abdominal) pain
  • Heartburn
  • Constipation
  • Diarrhea
  • Upset stomach
  • Pain in your bones, joints, or muscles
  • Nausea
You may get allergic reactions, such as hives, swelling of your face, lips, tongue, or throat.

Tell your healthcare provider about any side effect that bothers you or that does not go away.

These are not all the side effects with BINOSTO. Ask your healthcare provider or pharmacist for more information.

Call your doctor for medical advice about side effects. You may report side effects to FDA at 1-800-FDA-1088.
How should I store BINOSTO?
  • Store BINOSTO at room temperature between 68°F to 77°F (20°C to 25°C).
  • Keep BINOSTO tablets in their original blister pack until you use them.
  • Protect BINOSTO from moisture.
  • Keep BINOSTO and all medicines out of the reach of children.
General information about the safe and effective use of BINOSTO.

Medicines are sometimes prescribed for purposes other than those listed in a Medication Guide. Do not use BINOSTO for a condition for which it was not prescribed. Do not give BINOSTO to other people, even if they have the same symptoms that you have. It may harm them.

You can ask your pharmacist or healthcare provider for information about BINOSTO that is written for health professionals.
What are the ingredients in BINOSTO?

Active ingredient: alendronate sodium

Inactive ingredients: monosodium citrate anhydrous, citric acid anhydrous, sodium hydrogen carbonate, sodium carbonate anhydrous, strawberry flavor, acesulfame potassium, and sucralose.

Radius Health, Inc., 22 Boston Wharf Road, 7th Floor, Boston, MA 02210

US-MG-000400-v2.0

For more information about BINOSTO, visit our website at www.BINOSTO.com or call Radius Health, Inc., at 1-855-672-3487.
Section 43683-2 (43683-2)
  • Warnings and Precautions, Atypical Fractures Including Femoral Fractures (5.5)
02/2026
Section 44425-7 (44425-7)

Store at 20°C to 25°C (68°F to 77°F), excursions permitted to 15°C to 30°C (59°F to 86°F), [See USP Controlled Room Temperature.] Protect from moisture. Store tablets in original blister package until use.

7.2 Aspirin

In clinical studies, the incidence of upper gastrointestinal adverse events was increased in patients receiving concomitant therapy with daily doses of alendronate sodium greater than 10 mg and aspirin-containing products.

10 Overdosage (10 OVERDOSAGE)

Significant lethality after single oral doses was seen in female rats and mice at 552 mg/kg (3256 mg/m2) and 966 mg/kg (2898 mg/m2), respectively. In males, these values were slightly higher, 626 and 1280 mg/kg, respectively. There was no lethality in dogs at oral doses up to 200 mg/kg (4000 mg/m2).

No specific information is available on the treatment of overdosage with BINOSTO. Hypocalcemia, hypophosphatemia, and upper gastrointestinal adverse events, such as upset stomach, heartburn, esophagitis, gastritis, or ulcer, may result from oral overdosage. Milk or antacids should be given to bind alendronate. Due to the risk of esophageal irritation, vomiting should not be induced and the patient should remain fully upright.

Dialysis would not be beneficial.

11 Description (11 DESCRIPTION)

BINOSTO (alendronate sodium) is a bisphosphonate that acts as a specific inhibitor of osteoclast-mediated bone resorption. Bisphosphonates are synthetic analogs of pyrophosphate that bind to the hydroxyapatite found in bone.

Alendronate sodium is chemically described as (4 amino-1-hydroxybutylidene) bisphosphonic acid, monosodium salt, trihydrate. The molecular formula of alendronate sodium is C4H12NNaO7P2 ∙ 3H2O and its molecular weight is 325.12. The structural formula of alendronate sodium is

Alendronate sodium is a white or almost white crystalline powder that is soluble in water, very slightly soluble in methanol, and practically insoluble in methylene chloride.

BINOSTO for oral administration is an effervescent tablet formulation that must be dissolved in water before use. Each individual tablet contains 91.37 mg of alendronate sodium, which is equivalent to 70 mg of free alendronic acid. Each tablet also contains the following inactive ingredients: monosodium citrate anhydrous, citric acid anhydrous, sodium hydrogen carbonate, and sodium carbonate anhydrous as buffering agents, strawberry flavor, acesulfame potassium, and sucralose.

70 mg of BINOSTO effervescent tablet contains 603 mg of sodium and 17 mg of phosphorus.

Once the effervescent tablet is dissolved in water, the alendronate sodium is present in a citrate-buffered solution of pH 4.8 to 5.4.

7.4 Levothyroxine

The bioavailability of alendronate was slightly decreased when BINOSTO and levothyroxine were co-administered to healthy subjects [see Clinical Pharmacology (12.3)].

8.4 Pediatric Use

BINOSTO is not indicated for use in pediatric patients.

The safety and efficacy of alendronate sodium were examined in a randomized, double-blind, placebo-controlled two-year study of 139 pediatric patients, aged 4-18 years, with severe osteogenesis imperfecta (OI). One-hundred-and-nine patients were randomized to 5 mg alendronate sodium daily (weight less than 40 kg) or 10 mg alendronate sodium daily (weight greater than or equal to 40 kg) and 30 patients to placebo. The mean baseline lumbar spine BMD Z-score of the patients was -4.5. The mean change in lumbar spine BMD Z-score from baseline to Month 24 was 1.3 in the alendronate-treated patients and 0.1 in the placebo- treated patients. Treatment with alendronate sodium did not reduce the risk of fracture. Sixteen percent of the alendronate-treated patients who sustained a radiologically-confirmed fracture by Month 12 of the study had delayed fracture healing (callus remodeling) or fracture non-union when assessed radiographically at Month 24 compared with 9% of the placebo-treated patients. In alendronate-treated patients, bone histomorphometry data obtained at Month 24 demonstrated decreased bone turnover and delayed mineralization time; however, there were no mineralization defects. There were no statistically significant differences between the alendronate sodium and placebo groups in reduction of bone pain. The oral bioavailability in children was similar to that observed in adults.

The overall safety profile of alendronate sodium in osteogenesis imperfecta patients treated for up to 24 months was generally similar to that of adults with osteoporosis treated with alendronate sodium. However, there was an increased occurrence of vomiting in osteogenesis imperfecta patients treated with alendronate sodium compared to placebo. During the 24-month treatment period, vomiting was observed in 32 of 109 (29.4%) patients treated with alendronate sodium and 3 of 30 (10%) patients treated with placebo.

In a pharmacokinetic study, 6 of 24 pediatric osteogenesis imperfecta patients who received a single oral dose of alendronate sodium 35 or 70 mg developed fever, flu-like symptoms, and/or mild lymphocytopenia within 24 to 48 hours after administration. These events, lasting no more than 2 to 3 days and responding to acetaminophen, are consistent with an acute-phase response that has been reported in patients receiving bisphosphonates, including alendronate sodium. [See Adverse Reactions (6.2).]

8.5 Geriatric Use

Of the patients receiving alendronate sodium in the Fracture Intervention Trial (FIT), 71% (n=2302) were greater than or equal to 65 years of age and 17% (n=550) were greater than or equal to 75 years of age. Of the patients receiving alendronate sodium in the United States and Multinational osteoporosis treatment studies in women and osteoporosis studies in men, [see Clinical Studies (14.1), (14.2)], 45% and 54%, respectively, were 65 years of age or over. No overall differences in efficacy or safety were observed between these patients and younger patients, but greater sensitivity of some older individuals cannot be ruled out.

4 Contraindications (4 CONTRAINDICATIONS)

BINOSTO is contraindicated in patients with the following conditions:

Do not administer BINOSTO to patients at increased risk of aspiration

6 Adverse Reactions (6 ADVERSE REACTIONS)

The following clinically significant adverse drug reactions are described elsewhere in the labeling:

7 Drug Interactions (7 DRUG INTERACTIONS)
  • Calcium supplements, antacids or oral medications containing multivalent cations interfere with absorption of alendronate. (7.1)
  • Use caution when co-prescribing aspirin/nonsteroidal anti- inflammatory drugs that may worsen gastrointestinal irritation. (7.2, 7.3)
5.6 Renal Impairment

BINOSTO is not recommended for patients with creatinine clearance <35 mL/min.

8.6 Renal Impairment

BINOSTO is not recommended for patients with creatinine clearance less than 35 mL/min. No dosage adjustment is necessary in patients with creatinine clearance values between 35-60 mL/min [see Clinical Pharmacology (12.3)].

12.2 Pharmacodynamics

Alendronate is a bisphosphonate that binds to bone hydroxyapatite and specifically inhibits the activity of osteoclasts, the bone-resorbing cells. Alendronate reduces bone resorption with no direct effect on bone formation, although the latter process is ultimately reduced because bone resorption and formation are coupled during bone turnover.

5.2 Mineral Metabolism

Hypocalcemia must be corrected before initiating therapy with BINOSTO [see Contraindications (4)]. Other disorders affecting mineral metabolism (such as vitamin D deficiency) should also be effectively treated. In patients with these conditions, serum calcium and symptoms of hypocalcemia should be monitored during therapy with BINOSTO.

Presumably due to the effects of BINOSTO on increasing bone mineral, small, asymptomatic decreases in serum calcium and phosphate may occur. Patients should receive adequate calcium and vitamin D intake.

8.7 Hepatic Impairment

As there is evidence that alendronate is not metabolized or excreted in the bile, no studies were conducted in patients with hepatic impairment. No dosage adjustment is necessary [see Clinical Pharmacology (12.3)].

1 Indications and Usage (1 INDICATIONS AND USAGE)

BINOSTO is a bisphosphonate indicated for:

  • Treatment of osteoporosis in postmenopausal women (1.1)
  • Treatment to increase bone mass in men with osteoporosis (1.2)

Limitation of use: Optimal duration of use has not been determined. For patients at low-risk for fracture, consider drug discontinuation after 3 to 5 years of use (1.3)

12.1 Mechanism of Action

Animal studies have indicated the following mode of action. At the cellular level, alendronate shows preferential localization to sites of bone resorption, specifically under osteoclasts. The osteoclasts adhere normally to the bone surface but lack the ruffled border that is indicative of active resorption. Alendronate does not interfere with osteoclast recruitment or attachment, but it does inhibit osteoclast activity. Studies in mice on the localization of radioactive [3H]alendronate in bone showed about 10-fold higher uptake on osteoclast surfaces than on osteoblast surfaces. Bones examined 6 and 49 days after [3H]alendronate administration in rats and mice, respectively, showed that normal bone was formed on top of the alendronate, which was incorporated inside the matrix. While incorporated in bone matrix, alendronate is not pharmacologically active. Thus, alendronate must be continuously administered to suppress osteoclasts on newly formed resorption surfaces. Histomorphometry in baboons and rats showed that alendronate treatment reduces bone turnover (i.e., the number of sites at which bone is remodeled). In addition, bone formation exceeds bone resorption at these remodeling sites, leading to progressive gains in bone mass.

17.2 Dosing Instructions

Instruct patients that it is necessary to follow all dosing instructions for BINOSTO:

  • BINOSTO should only be taken upon arising for the day and must be taken at least 30 minutes before the first food, beverage, or medication of the day. Instruct patients not to attempt to swallow, chew, or suck on the tablet because of a potential for oropharyngeal ulceration.
  • Instruct patients to dissolve the effervescent tablet in 4 ounces room temperature plain water only (not mineral water or flavored water).
  • Instruct patients to wait at least 5 minutes after the effervescence stops and then stir the solution for approximately 10 seconds and then consume the contents.
  • Instruct patients to avoid lying down for at least 30 minutes after taking BINOSTO and until after their first food of the day.
  • Instruct patients not to take BINOSTO at bedtime or before arising for the day.
  • Instruct patients that waiting less than 30 minutes, or taking BINOSTO with food, beverages (other than plain water) or other medications will lessen the effect of BINOSTO by decreasing its absorption into the body [see Drug Interactions (7.1)]. Even dosing with orange juice or coffee has been shown to markedly reduce the absorption of BINOSTO [see Clinical Pharmacology (12.3)].
  • Inform patients that failure to follow these instructions may increase their risk of esophageal problems. [see Warnings and Precautions (5.1)].

Instruct patients that if they develop symptoms of esophageal disease (such as difficulty or pain upon swallowing, retrosternal pain or new or worsening heartburn) they should stop taking BINOSTO and consult their physician. [see Warnings and Precautions (5.1)].

Instruct patients that if they miss a dose of once weekly BINOSTO, they should take one dose on the morning after they remember. They should not take 2 doses on the same day but should return to taking one dose once a week, as originally scheduled on their chosen day.

5.3 Musculoskeletal Pain

In post-marketing experience, severe and occasionally incapacitating bone, joint, and/or muscle pain has been reported in patients taking bisphosphonates that are approved for the treatment of osteoporosis [see Adverse Reactions (6.2)]. This category of drugs includes BINOSTO. Most of the patients were postmenopausal women. The time to onset of symptoms varied from one day to several months after starting the drug. Discontinue use if severe symptoms develop. Most patients had relief of symptoms after stopping. A subset had recurrence of symptoms when rechallenged with the same drug or another bisphosphonate.

In placebo-controlled clinical studies of alendronate sodium, the percentages of patients with these symptoms were similar in the alendronate sodium and placebo groups.

5 Warnings and Precautions (5 WARNINGS AND PRECAUTIONS)
  • Upper Gastrointestinal Adverse Reactions can occur. Instruct patients to follow dosing instructions. Discontinue if new or worsening symptoms occur. (5.1)
  • Hypocalcemia can worsen and must be corrected prior to use. (5.2)
  • Severe Bone, Joint, Muscle Pain may occur. Discontinue use if severe symptoms develop. (5.3)
  • Osteonecrosis of the Jaw has been reported. (5.4)
  • Atypical Fractures Including Femoral Fractures have been reported. Patients with new thigh or groin pain should be evaluated to rule out a femoral fracture. Risk/benefit of continuing bisphosphonate therapy should be re-evaluated in these patients and interruption of bisphosphonate therapy should be considered. (5.5)
  • Sodium Content: Each tablet contains 603 mg sodium, equivalent to 1532 mg NaCl. Use caution in patients on sodium restriction. (5.7)
2 Dosage and Administration (2 DOSAGE AND ADMINISTRATION)
  • 70 mg BINOSTO effervescent tablet once weekly. (2.1, 2.2)
  • Instruct patients to: (2.3)
    • Dissolve one tablet of BINOSTO in approximately half a glass of plain room temperature water (4 oz). Wait at least 5 minutes after the effervescence stops, stir the solution for approximately 10 seconds and consume contents.
    • Swallow solution at least 30 minutes before the first food, beverage, or medication of the day.
    • Avoid lying down for at least 30 minutes after taking BINOSTO and until after the first food of the day.
3 Dosage Forms and Strengths (3 DOSAGE FORMS AND STRENGTHS)

BINOSTO effervescent tablets are round, flat-faced, white to off-white tablets, 25 mm in diameter, with beveled edges, with "M" debossed on one side, containing 91.37 mg of alendronate sodium, which is equivalent to 70 mg of free alendronic acid. After dissolution the solution has a pH of 4.8-5.4.

5.4 Osteonecrosis of the Jaw

Osteonecrosis of the jaw (ONJ), which can occur spontaneously, is generally associated with tooth extraction and/or local infection with delayed healing, and has been reported in patients taking bisphosphonates, including alendronate sodium. Known risk factors for osteonecrosis of the jaw include invasive dental procedures (e.g., tooth extraction, dental implants, boney surgery), diagnosis of cancer, concomitant therapies (e.g., chemotherapy, corticosteroids, angiogenesis inhibitors), poor oral hygiene, and co-morbid disorders (e.g., periodontal and/or other pre-existing dental disease, anemia, coagulopathy, infection, ill-fitting dentures). The risk of ONJ may increase with duration of exposure to bisphosphonates.

For patients requiring invasive dental procedures, discontinuation of bisphosphonate treatment may reduce the risk for ONJ. Clinical judgment of the treating physician and/or oral surgeon should guide the management plan of each patient based on individual benefit/risk assessment.

Patients who develop osteonecrosis of the jaw while on bisphosphonate therapy should receive care by an oral surgeon. In these patients, extensive dental surgery to treat ONJ may exacerbate the condition. Discontinuation of bisphosphonate therapy should be considered based on individual benefit/risk assessment.

6.2 Post Marketing Experience (6.2 Post-Marketing Experience)

The following adverse reactions have been identified during post-approval use of alendronate sodium or bisphosphonate products. Because these reactions are reported voluntarily from a population of uncertain size, it is not always possible to reliably estimate their frequency or establish a causal relationship to drug exposure.

Body as a Whole: hypersensitivity reactions including urticaria and angioedema. Transient symptoms of myalgia, malaise, asthenia and fever have been reported with alendronate, typically in association with initiation of treatment. Symptomatic hypocalcemia has occurred, generally in association with predisposing conditions. Peripheral edema.

Gastrointestinal: esophagitis, esophageal erosions, esophageal ulcers, esophageal stricture or perforation, and oropharyngeal ulceration. Gastric or duodenal ulcers, some severe and with complications have also been reported [see Dosage and Administration (2.3); Warnings and Precautions (5.1)].

Dental: Localized osteonecrosis of the jaw, generally associated with tooth extraction and/or local infection with delayed healing, has been reported [see Warnings and Precautions (5.4)].

Musculoskeletal: bone, joint, and/or muscle pain, occasionally severe and incapacitating [see Warnings and Precautions (5.3)]; joint swelling; low-energy femoral shaft and subtrochanteric fractures, and atypical fractures of other bones [see Warnings and Precautions (5.5].

Nervous system: dizziness and vertigo.

Pulmonary: acute asthma exacerbations

Skin: rash (occasionally with photosensitivity), pruritus, alopecia, severe skin reactions, including Stevens-Johnson syndrome and toxic epidermal necrolysis.

Special Senses: uveitis, scleritis or episcleritis. Cholesteatoma of the external auditory canal (focal osteonecrosis).

8 Use in Specific Populations (8 USE IN SPECIFIC POPULATIONS)
  • Pregnancy: Discontinue when pregnancy is recognized. (8.1)
  • BINOSTO is not indicated for use in pediatric patients. (8.4)
  • BINOSTO is not recommended in patients with renal impairment (creatinine clearance less than 35 mL/min). (5.6, 8.6)
6.1 Clinical Trials Experience

Because clinical trials are conducted under widely varying conditions, adverse reaction rates observed in the clinical trials of a drug cannot be directly compared to rates in the clinical trials of another drug and may not reflect the rates observed in clinical practice.

The safety of BINOSTO (alendronate sodium) effervescent tablet 70 mg is based on clinical trial data of alendronate sodium 10 mg daily and alendronate sodium 70 mg weekly.

1.3 Important Limitations of Use

The optimal duration of use has not been determined. The safety and effectiveness of BINOSTO for the treatment of osteoporosis are based on clinical data of four years duration. All patients on bisphosphonate therapy should have the need for continued therapy re-evaluated on a periodic basis. Patients at low-risk for fracture should be considered for drug discontinuation after 3 to 5 years of use. Patients who discontinue therapy should have their risk for fracture re-evaluated periodically.

7.1 Calcium Supplements/antacids (7.1 Calcium Supplements/Antacids)

Co-administration of BINOSTO and calcium, antacids, or oral medications containing multivalent cations will interfere with absorption of BINOSTO. Therefore, instruct patients to wait at least one-half hour after taking BINOSTO before taking any other oral medications.

17 Patient Counseling Information (17 PATIENT COUNSELING INFORMATION)

See FDA-approved patient labeling (Medication Guide).

Instruct patients to read the Medication Guide before starting therapy with BINOSTO and to reread it each time the prescription is renewed.

17.3 Patients On Sodium Restriction (17.3 Patients on Sodium Restriction)

Inform patients who are prescribed sodium restricted diets that BINOSTO contains 603 mg of sodium which is equivalent to approximately 1532 mg NaCl per tablet.

16 How Supplied/storage and Handling (16 HOW SUPPLIED/STORAGE AND HANDLING)

BINOSTO effervescent tablets are round, flat faced, white to off-white tablets with beveled edges and "M" debossed on one side. BINOSTO effervescent tablets, 70 mg are provided in blisters made of aluminum foil composite, as follows:

NDC 70539-400-04 carton containing 4 units of use blisters

2.3 Important Administration Instructions

Instruct patients to do the following to assure adequate drug absorption and to decrease the risk of esophageal adverse reactions:

  • Take BINOSTO upon arising for the day and at least 30 minutes before the first food, beverage, or medication of the day.
  • Patients should not swallow the undissolved effervescent tablet, should not chew the effervescent tablet or allow the effervescent tablet to dissolve in their mouths because of the risk for oropharyngeal irritation [see Warnings and Precautions (5.1)].
  • Dissolve the effervescent tablet in 4 ounces room temperature plain water only (not mineral water or flavored water).
  • Wait at least 5 minutes after the effervescence stops and then stir the buffered solution for approximately 10 seconds and ingest.
  • Avoid lying down for at least 30 minutes after taking BINOSTO and until after their first food of the day.
  • Do not take BINOSTO at bedtime or before arising for the day.

    Failure to follow these instructions may increase the risk of esophageal adverse reactions [see Warnings and Precautions (5.1)].
13.2 Animal Toxicology And/or Pharmacology (13.2 Animal Toxicology and/or Pharmacology)

The relative inhibitory activities on bone resorption and mineralization of alendronate and etidronate were compared in the Schenk assay, which is based on histological examination of the epiphyses of growing rats. In this assay, the lowest dose of alendronate that interfered with bone mineralization (leading to osteomalacia) was 6000-fold the antiresorptive dose. The corresponding ratio for etidronate was one to one. These data suggest that alendronate administered in therapeutic doses is highly unlikely to induce osteomalacia.

5.1 Upper Gastrointestinal Adverse Reactions

BINOSTO, like other bisphosphonates administered orally, may cause local irritation of the upper gastrointestinal mucosa. Because of these possible irritant effects and a potential for worsening of the underlying disease, caution should be used when BINOSTO is given to patients with active upper gastrointestinal problems (such as known Barrett's esophagus, dysphagia, other esophageal diseases, gastritis, duodenitis, or ulcers).

Esophageal adverse experiences, such as esophagitis, esophageal ulcers and esophageal erosions, occasionally with bleeding and rarely followed by esophageal stricture or perforation, have been reported in patients receiving treatment with oral bisphosphonates including alendronate sodium. In some cases these have been severe and required hospitalization. Physicians should therefore be alert to any signs or symptoms signaling a possible esophageal reaction and patients should be instructed to discontinue BINOSTO and seek medical attention if they develop dysphagia, odynophagia, retrosternal pain or new or worsening heartburn.

The risk of severe esophageal adverse experiences appears to be greater in patients who lie down after taking oral bisphosphonates including alendronate sodium, and/or who continue to take oral bisphosphonates including alendronate sodium after developing symptoms suggestive of esophageal irritation. Therefore, it is very important that the full dosing instructions are provided to, and understood by, the patient [see Dosage and Administration (2.3)]. In patients who cannot comply with dosing instructions due to mental disability, therapy with BINOSTO should be used under appropriate supervision.

There have been post-marketing reports of gastric and duodenal ulcers with oral bisphosphonate use, some severe and with complications, although no increased risk was observed in controlled clinical trials [see Adverse Reactions (6.2)].

5.7 Patients Sensitive to High Sodium Intake

Each BINOSTO effervescent tablet contains 603 mg of sodium, equivalent to approximately 1532 mg of salt (NaCl). Use caution in patients who must restrict their sodium intake, including some patients with a history of heart failure, hypertension, or other cardiovascular diseases [see Patient Counseling Information (17.3)].

Principal Display Panel 4 Tablet Blister Pack (PRINCIPAL DISPLAY PANEL - 4 Tablet Blister Pack)

Fold and tear at

notch or cut

NDC 70539-400-00

Binosto®

(alendronate sodium) effervescent

tablet for oral solution

70 mg

Rx only

This blister contains 1 complete week of treatment

2023-BIN-0001

Manufactured for:

Radius Health, Inc.

22 Boston Wharf Road, 7th Floor

Boston, MA 02210 USA

2.5 Administration Instructions for Missed Doses

If the once-weekly dose is missed, instruct patients to take one dose on the morning after they remember. They should not take 2 doses on the same day but should return to taking one dose once a week, as originally scheduled on their chosen day.

7.3 Nonsteroidal Anti Inflammatory Drugs (nsaids) (7.3 Nonsteroidal Anti-inflammatory Drugs (NSAIDs))

BINOSTO may be administered to patients taking NSAIDs. In a 3-year, controlled, clinical study (n=2027) during which a majority of patients received concomitant NSAIDs, the incidence of upper gastrointestinal adverse events was similar in patients taking alendronate sodium 5 or 10 mg/day compared to those taking placebo. However, since NSAID use is associated with gastrointestinal irritation, caution should be used during concomitant use with BINOSTO.

5.5 Atypical Fractures Including Femoral Fractures

Atypical, low-energy, or low trauma fractures of the femoral shaft have been reported during treatment with bisphosphonates, including alendronate sodium, in patients with osteoporosis. Atypical femur and other fractures most commonly occur with minimal or no trauma to the affected area. These fractures occurred anywhere in the femoral shaft from just below the lesser trochanter to above the supracondylar flare and are transverse or short oblique in orientation without evidence of comminution. Atypical fractures of other bones have also been reported. They may be bilateral. These fractures can also occur in osteoporotic patients who have not been treated with bisphosphonates. Concomitant treatment with glucocorticoids may also induce these fractures.

Prodromal pain in the affected area, usually presenting as dull, aching pain, weeks to months before a complete fracture occurs was reported by patients.

Any patient with a history of bisphosphonate exposure who presents with thigh or groin pain should be suspected of having an atypical fracture and should be evaluated to rule out an incomplete femur fracture. Bone pain in other locations should also be considered for evaluation of atypical fracture. Patients presenting with an atypical fracture should also be assessed for symptoms and signs of fracture in the contralateral limb. Risk/benefit of continuing bisphosphonate therapy should be re-evaluated in these patients and interruption of bisphosphonate therapy should be considered.

1.1 Treatment of Osteoporosis in Postmenopausal Women

BINOSTO effervescent tablet 70 mg is indicated for the treatment of osteoporosis in postmenopausal women. For the treatment of osteoporosis, alendronate sodium increases bone mass and reduces the incidence of fractures, including those of the hip and spine (vertebral compression fractures). [See Clinical Studies (14.1).]

2.1 Treatment of Osteoporosis in Postmenopausal Women

The recommended dosage is one 70 mg effervescent tablet once weekly.

14.1 Treatment of Osteoporosis in Postmenopausal Women

BINOSTO (alendronate sodium) effervescent tablet 70 mg is bioequivalent to alendronate sodium tablet 70 mg. The fracture reduction efficacy and bone mineral density changes attributed to BINOSTO are based on clinical trial data of alendronate sodium 10 mg daily and alendronate sodium 70 mg weekly.

Principal Display Panel 4 Tablet Blister Pack Carton (PRINCIPAL DISPLAY PANEL - 4 Tablet Blister Pack Carton)

NDC 70539-400-04

Rx only

Binosto®

(alendronate sodium) effervescent

tablet for oral solution

70 mg*

* Each effervescent tablet contains 91.37 mg

alendronate sodium (70 mg free acid equivalent)

4 Effervescent Tablets

ATTENTION PHARMACIST:

Each patient is required to

receive the medication guide.

13.1 Carcinogenesis, Mutagenesis, Impairment of Fertility

Harderian gland (a retro-orbital gland not present in humans) adenomas were increased in high-dose female mice (p=0.003) in a 92-week oral carcinogenicity study at doses of alendronate of 1, 3, and 10 mg/kg/day (males) or 1, 2, and 5 mg/kg/day (females). These doses are equivalent to 0.12 to 1.2 times a maximum recommended daily dose of 40 mg, based on surface area, mg/m2. The relevance of this finding to humans is unknown.

Parafollicular cell (thyroid) adenomas were increased in high-dose male rats (p=0.003) in a 2-year oral carcinogenicity study at doses of 1 and 3.75 mg/kg body weight. These doses are equivalent to 0.26 and 1 times a 40 mg human daily dose based on surface area, mg/m2. The relevance of this finding to humans is unknown.

Alendronate sodium was not genotoxic in the in vitro microbial mutagenesis assay with and without metabolic activation, in an in vitro mammalian cell mutagenesis assay, in an in vitro alkaline elution assay in rat hepatocytes, and in an in vivo chromosomal aberration assay in mice. In an in vitro chromosomal aberration assay in Chinese hamster ovary cells, however, alendronate gave equivocal results.

Alendronate sodium had no effect on fertility (male or female) in rats at oral doses up to 5 mg/kg/day (1.3 times a 40 mg human daily dose based on surface area, mg/m2).

1.2 Treatment to Increase Bone Mass in Men With Osteoporosis

BINOSTO is indicated for treatment to increase bone mass in men with osteoporosis [see Clinical Studies (14.2)].

2.2 Treatment to Increase Bone Mass in Men With Osteoporosis

The recommended dosage is one 70 mg effervescent tablet once weekly.

14.2 Treatment to Increase Bone Mass in Men With Osteoporosis (14.2 Treatment to Increase Bone Mass in Men with Osteoporosis)

The efficacy of alendronate sodium in men with hypogonadal or idiopathic osteoporosis was demonstrated in two clinical studies.

2.4 Recommendations for Calcium and Vitamin D Supplementation

Instruct patients to take supplemental calcium and vitamin D if dietary intake is inadequate [see Warnings and Precautions (5.2)]. Patients at increased risk for vitamin D insufficiency (e.g., over the age of 70 years, nursing home-bound, or chronically ill) may need vitamin D supplementation. Patients with gastrointestinal malabsorption syndromes may require higher doses of vitamin D supplementation and measurement of 25-hydroxyvitamin D should be considered.

Principal Display Panel 4 Tablet Blister Sample Pack Carton (PRINCIPAL DISPLAY PANEL - 4 Tablet Blister Sample Pack Carton)

NDC 70539-400-94

Rx only

SAMPLE—NOT FOR SALE

Binosto®

(alendronate sodium) effervescent

tablet for oral solution

70 mg*

* Each effervescent tablet contains 91.37 mg

alendronate sodium (70 mg free acid equivalent)

4 Effervescent Tablets

ATTENTION PHARMACIST:

Each patient is required to

receive the medication guide.

17.1 Osteoporosis Recommendations, Including Calcium and Vitamin D Supplementation

Instruct patients to take supplemental calcium and vitamin D, if daily dietary intake is inadequate. Weight-bearing exercise should be considered along with the modification of certain behavioral factors, such as cigarette smoking and/or excessive alcohol consumption, if these factors exist.


Advanced Ingredient Data


Raw Label Data

All Sections (JSON)