Primaquine

Primaquine
SPL v4
SPL
SPL Set ID 09531382-2e06-4164-a7e1-169a1488788a
Route
ORAL
Published
Effective Date 2025-04-14
Document Type 34391-3 HUMAN PRESCRIPTION DRUG LABEL

Drug Facts

Composition & Product

Active Ingredients
Primaquine (15 mg)
Inactive Ingredients
Lactose Monohydrate Cellulose, Microcrystalline Starch, Pregelatinized Corn Talc Magnesium Stearate Hypromellose 2910 (15 Mpa.s) Fd&c Yellow No. 6 Titanium Dioxide Triacetin

Identifiers & Packaging

Marketing Status
ANDA Active Since 2018-01-23

Description

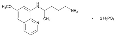
Primaquine phosphate is 8-[(4-amino-1-methylbutyl) amino]-6-methoxyquinoline phosphate, a synthetic compound with potent antimalarial activity. The molecular formula of primaquine phosphate is C 15 H 21 N 3 O·2H 3 PO 4 and its molecular weight is 455.34. The structural formula of primaquine phosphate is: Figure 1: Primaquine phosphate structure. Each Primaquine phosphate tablet, USP contains 26.3 mg of primaquine phosphate (equivalent to 15 mg of primaquine base). The dosage is customarily expressed in terms of the base. Inactive Ingredients: Hypromellose, Lactose Monohydrate, Magnesium Stearate, Microcrystalline Cellulose, Triacetin, Pregelatinized Starch, FD&C Yellow#6/Sunset Yellow FCF Aluminum Lake, Talc, Titanium Dioxide.

Indications and Usage

Primaquine phosphate is indicated for the radical cure (prevention of relapse) of vivax malaria.

Dosage and Administration

Primaquine phosphate tablets are recommended only for the radical cure of vivax malaria, the prevention of relapse in vivax malaria, or following the termination of chloroquine phosphate suppressive therapy in an area where vivax malaria is endemic. Patients suffering from an attack of vivax malaria or having parasitized red blood cells should receive a course of chloroquine phosphate, which quickly destroys the erythrocytic parasites and terminates the paroxysm. Primaquine phosphate tablets should be administered concurrently to eradicate the exoerythrocytic parasites in adults at a dosage of 1 tablet (equivalent to 15 mg base) daily for 14 days. Primaquine phosphate tablets can be taken with or without food. Administration of primaquine phosphate tablets with food may reduce the incidence of gastrointestinal symptoms.

Contraindications

Known hypersensitivity reactions to primaquine phosphate, other 8-­aminoquinolones, or to any component in primaquine. Severe glucose-6-phosphate dehydrogenase (G6PD) deficiency (see WARNINGS, Hemolytic Anemia ). Pregnant women (see WARNINGS, Pregnancy ). Breastfeeding by a lactating woman when the infant is found to be G6PD deficient or if G6PD status is unknown (see WARNINGS, Nursing Mothers ). Because quinacrine hydrochloride appears to potentiate the toxicity of antimalarial compounds which are structurally related to primaquine, the use of quinacrine in patients receiving primaquine is contraindicated. Similarly, primaquine should not be administered to patients who have received quinacrine recently, as toxicity is increased.

Adverse Reactions

To report SUSPECTED ADVERSE REACTIONS, please call Ingenus Pharmaceuticals, LLC at 1-877-748-1970 or FDA at 1-800-FDA-1088 or www.fda.gov/medwatch Gastrointestinal: Nausea, vomiting, epigastric distress, abdominal cramps. Hematologic: Leukopenia, hemolytic anemia, decreased hemoglobin, methemoglobinemia. Hemolytic anemia occurs commonly in patients with G6PD deficiency and may be severe or fatal in patients with severe G6PD deficiency (see WARNINGS ). Methemoglobin levels are usually <10%, but methemoglobinemia may be severe in nicotinamide adenine dinucleotide (NADH) methemoglobin reductase deficient individuals or in patients with other risk factors (see PRECAUTIONS ). Leukopenia was observed in patients with rheumatoid arthritis or lupus erythematosus (see PRECAUTIONS ). Cardiac: Cardiac arrhythmia and QT interval prolongation (see PRECAUTIONS , OVERDOSAGE ). Nervous System: Dizziness. Skin and Soft Tissue: Rash, pruritus.

Drug Interactions

Pharmacodynamics Interactions Quinacrine Concurrent use of quinacrine (mepacrine) and primaquine are contraindicated. Increased toxicity was seen when quinacrine was used with pamaquine, another 8-aminoquinoline (see CONTRAINDICATIONS ). Hemolytic Agents and Methemoglobinemia-Inducing Drugs The concurrent administration of hemolytic agents or methemoglobinemia-inducing drugs and primaquine should be avoided (see PRECAUTIONS ). If the concurrent administration cannot be avoided, close blood monitoring is required. QT Interval Prolonging Drugs The pharmacodynamic interaction potential to prolong the QT interval of the electrocardiogram between primaquine and other drugs that effect cardiac conduction is unknown. If primaquine is used concomitantly with other drugs that prolong the QT interval, close and frequent electrocardiogram monitoring is advised (see PRECAUTIONS , ADVERSE REACTIONS , and OVERDOSAGE ). Effects of Other Drugs on the Pharmacokinetics of Primaquine Potent CYP2D6 Inhibitors Published clinical and non-clinical reports indicate reduced CYP2D6 activity may decrease the formation of active metabolites of primaquine, which may reduce antimalarial efficacy of primaquine. Where possible, consider alternative medications that are not potent CYP2D6 inhibitors. If concurrent use with primaquine is necessary, increase monitoring for possible relapse. Effects of Primaquine on the Pharmacokinetics of Other Drugs CYP1A2 Substrates Published clinical and non-clinical reports indicate primaquine inhibits CYP1A2 enzyme activity and thus may lead to increased exposure of CYP1A2 substrate drugs (e.g., duloxetine, alosetron, theophylline and tizanidine) when co-administered with primaquine. Since data are limited, no predictions can be made regarding the extent of the impact on CYP1A2 substrate drug exposures. Increase monitoring for adverse reactions associated with the CYP1A2 substrate drug when concurrently administered with primaquine. P-gp Substrates with Narrow Therapeutic Index In vitro observations suggest that primaquine inhibits the P-gp membrane transporter. Therefore, there is a potential for increased concentrations of drugs that are P-gp substrates when co-administered with primaquine. Increase monitoring for adverse reactions associated with narrow therapeutic index drugs that are P-gp substrates (e.g., digoxin and dabigatran) when concomitantly administered with primaquine.

How Supplied

Primaquine phosphate tablets, USP are supplied as orange colored, round, biconvex, film-coated tablets of 26.3 mg (= 15 mg base), debossed with a "059" on one side and plain on the other side. Available in bottles of 100 tablets (NDC 50742-191-01) and bottles of 500 tablets (NDC 50742-191-05) Store at 25°C (77°F); excursions permitted to 15°C – 30°C (59°F – 86°F) [see USP Controlled Room Temperature] Dispense in tight, light-resistant container as defined in the USP/NF.


Medication Information

Indications and Usage

Primaquine phosphate is indicated for the radical cure (prevention of relapse) of vivax malaria.

Dosage and Administration

Primaquine phosphate tablets are recommended only for the radical cure of vivax malaria, the prevention of relapse in vivax malaria, or following the termination of chloroquine phosphate suppressive therapy in an area where vivax malaria is endemic. Patients suffering from an attack of vivax malaria or having parasitized red blood cells should receive a course of chloroquine phosphate, which quickly destroys the erythrocytic parasites and terminates the paroxysm. Primaquine phosphate tablets should be administered concurrently to eradicate the exoerythrocytic parasites in adults at a dosage of 1 tablet (equivalent to 15 mg base) daily for 14 days.

Primaquine phosphate tablets can be taken with or without food. Administration of primaquine phosphate tablets with food may reduce the incidence of gastrointestinal symptoms.

Contraindications

Known hypersensitivity reactions to primaquine phosphate, other 8-­aminoquinolones, or to any component in primaquine.

Severe glucose-6-phosphate dehydrogenase (G6PD) deficiency (see WARNINGS, Hemolytic Anemia).

Pregnant women (see WARNINGS, Pregnancy).

Breastfeeding by a lactating woman when the infant is found to be G6PD deficient or if G6PD status is unknown (see WARNINGS, Nursing Mothers).

Because quinacrine hydrochloride appears to potentiate the toxicity of antimalarial compounds which are structurally related to primaquine, the use of quinacrine in patients receiving primaquine is contraindicated. Similarly, primaquine should not be administered to patients who have received quinacrine recently, as toxicity is increased.

Adverse Reactions

To report SUSPECTED ADVERSE REACTIONS, please call Ingenus Pharmaceuticals, LLC at 1-877-748-1970 or FDA at 1-800-FDA-1088 or www.fda.gov/medwatch

Gastrointestinal: Nausea, vomiting, epigastric distress, abdominal cramps.

Hematologic: Leukopenia, hemolytic anemia, decreased hemoglobin, methemoglobinemia.

Hemolytic anemia occurs commonly in patients with G6PD deficiency and may be severe or fatal in patients with severe G6PD deficiency (see WARNINGS).

Methemoglobin levels are usually <10%, but methemoglobinemia may be severe in nicotinamide adenine dinucleotide (NADH) methemoglobin reductase deficient individuals or in patients with other risk factors (see PRECAUTIONS).

Leukopenia was observed in patients with rheumatoid arthritis or lupus erythematosus (see PRECAUTIONS).

Cardiac: Cardiac arrhythmia and QT interval prolongation (see PRECAUTIONS, OVERDOSAGE).

Nervous System: Dizziness.

Skin and Soft Tissue: Rash, pruritus.

Drug Interactions

Pharmacodynamics Interactions

Quinacrine

Concurrent use of quinacrine (mepacrine) and primaquine are contraindicated. Increased toxicity was seen when quinacrine was used with pamaquine, another 8-aminoquinoline (see CONTRAINDICATIONS).

Hemolytic Agents and Methemoglobinemia-Inducing Drugs

The concurrent administration of hemolytic agents or methemoglobinemia-inducing drugs and primaquine should be avoided (see PRECAUTIONS). If the concurrent administration cannot be avoided, close blood monitoring is required.

QT Interval Prolonging Drugs

The pharmacodynamic interaction potential to prolong the QT interval of the electrocardiogram between primaquine and other drugs that effect cardiac conduction is unknown. If primaquine is used concomitantly with other drugs that prolong the QT interval, close and frequent electrocardiogram monitoring is advised (see PRECAUTIONS, ADVERSE REACTIONS, and OVERDOSAGE).

Effects of Other Drugs on the Pharmacokinetics of Primaquine

Potent CYP2D6 Inhibitors

Published clinical and non-clinical reports indicate reduced CYP2D6 activity may decrease the formation of active metabolites of primaquine, which may reduce antimalarial efficacy of primaquine. Where possible, consider alternative medications that are not potent CYP2D6 inhibitors. If concurrent use with primaquine is necessary, increase monitoring for possible relapse.

Effects of Primaquine on the Pharmacokinetics of Other Drugs

CYP1A2 Substrates

Published clinical and non-clinical reports indicate primaquine inhibits CYP1A2 enzyme activity and thus may lead to increased exposure of CYP1A2 substrate drugs (e.g., duloxetine, alosetron, theophylline and tizanidine) when co-administered with primaquine. Since data are limited, no predictions can be made regarding the extent of the impact on CYP1A2 substrate drug exposures. Increase monitoring for adverse reactions associated with the CYP1A2 substrate drug when concurrently administered with primaquine.

P-gp Substrates with Narrow Therapeutic Index

In vitro observations suggest that primaquine inhibits the P-gp membrane transporter. Therefore, there is a potential for increased concentrations of drugs that are P-gp substrates when co-administered with primaquine. Increase monitoring for adverse reactions associated with narrow therapeutic index drugs that are P-gp substrates (e.g., digoxin and dabigatran) when concomitantly administered with primaquine.

How Supplied

Primaquine phosphate tablets, USP are supplied as orange colored, round, biconvex, film-coated tablets of 26.3 mg (= 15 mg base), debossed with a "059" on one side and plain on the other side.

Available in bottles of 100 tablets (NDC 50742-191-01) and bottles of 500 tablets (NDC 50742-191-05)

Store at 25°C (77°F); excursions permitted to 15°C – 30°C (59°F – 86°F) [see USP Controlled Room Temperature]

Dispense in tight, light-resistant container as defined in the USP/NF.

Description

Primaquine phosphate is 8-[(4-amino-1-methylbutyl) amino]-6-methoxyquinoline phosphate, a synthetic compound with potent antimalarial activity. The molecular formula of primaquine phosphate is C15H21N3O·2H3PO4 and its molecular weight is 455.34. The structural formula of primaquine phosphate is:

Figure 1: Primaquine phosphate structure.

Each Primaquine phosphate tablet, USP contains 26.3 mg of primaquine phosphate (equivalent to 15 mg of primaquine base). The dosage is customarily expressed in terms of the base.

Inactive Ingredients: Hypromellose, Lactose Monohydrate, Magnesium Stearate, Microcrystalline Cellulose, Triacetin, Pregelatinized Starch, FD&C Yellow#6/Sunset Yellow FCF Aluminum Lake, Talc, Titanium Dioxide.

Section 42229-5

Specific Populations

Gender and ethnicity

No gender nor ethnicity effect has been evidenced in studies conducted to date.

Elderly patients

There are no pharmacokinetics studies in patients older than 52 years of age.

Hepatic impairment

Single dose pharmacokinetics study performed in patients with mild or moderate hepatic impairment indicate that only moderate hepatic dysfunction impacted significantly the PK of primaquine with a 3-fold lower primaquine Cmax in patients with moderate hepatic dysfunction as compared to healthy subjects. The primaquine AUC was not significantly modified.

No data are available after repeated dosing in patients with hepatic impairment. It is not known whether in patients with hepatic impairment, accumulation of primaquine and its metabolites could occur or if there could be an impact on generation of metabolites contributing to pharmacological activity.

Renal impairment

Single dose pharmacokinetics studies performed in patients with chronic severe (eGFR 15 to 29 mL/min) or end-stage (< 15 mL/min) renal impairment indicate higher primaquine Cmax (up to 1.7­-fold higher as compared to healthy subjects) but no evidence of major difference in AUC or t1/2. It is not known whether after repeated dosing there could be an accumulation of metabolites that are mainly excreted by renal route.

Section 51945-4

Package Label - Principal Display Panel – 26.3 mg 100 Tablets Label

ingenus

NDC 50742-191-01

Primaquine Phosphate Tablets, USP

26.3 mg (=15 mg Base)

Rx Only

100 Film-Coated Tablets

Pregnancy

Safe usage of primaquine in pregnancy has not been established. Primaquine is contraindicated in pregnant women. The use of primaquine during pregnancy may cause hemolytic anemia in a G6PD-deficient fetus. Even if a pregnant woman has normal levels of G6PD, the fetus could be G6PD-deficient (see CONTRAINDICATIONS). Animal data show toxicity to reproduction and embryofetal development. (See PRECAUTIONS, Animal Pharmacology and/or Animal Toxicology).

Nonclinical data from studies conducted in bacteria and in animals treated with primaquine show evidence of gene mutations and chromosomal/DNA damage, teratogenicity, and injury to embryos and developing fetuses when primaquine is administered to pregnant animals. Inform patients of the potential for adverse genetic and reproductive effects associated with primaquine treatment (see PRECAUTIONS, Carcinogenesis, Mutagenesis, and Impairment of Fertility, and Animal Pharmacology and/or Animal Toxicology).

Overdosage

Signs and symptoms

Symptoms of overdosage of primaquine phosphate include abdominal cramps, vomiting, burning epigastric distress, central nervous system disturbances including headache, insomnia, and cardiovascular disturbances, including cardiac arrhythmia and QT interval prolongation, methemoglobinemia (indicated by cyanosis), moderate leukocytosis or leukopenia, granulocytopenia, and anemia. Acute hemolysis may occur with particular severity in G6PD deficient patients.

Management

Treatment of overdosage consists of institution of appropriate symptomatic and/or supportive therapy. Consider contacting a poison center or a medical toxicologist for overdosage management recommendations.

References
  • Shubber EK, Jacobson-Kram D, Williams JR. Comparison of the Ames assay and the induction of sister chromatid exchanges: results with ten pharmaceuticals and five selected agents. Cell Biol Toxicol 1986;2:379-99.
  • Chatterjee T, Muhkopadhyay A, Khan KA, Giri AK. Comparative mutagenic and genotoxic effects of three antimalarial drugs, chloroquine, primaquine and amodiaquine. Mutagenesis . 1998;13:619-24.
  • Marss TC. Bright JE, Morris BC. Methemoglobinogenic potential of primaquine and its mutagenicity in the Ames test. Toxicol Lett . 1987;36:281-7.
  • Ono T, Norimatsu M, Yoshimura H. Mutagenic evaluation of primaquine, pentaquine and pamaquine in the Salmonella/mammalian microsome assay. Mutat Res. 1994;325:7-10.
  • Giovanella F, Ferreira GK, de Prá1 SDT, et al. Effects of primaquine and chloroquine on oxidative stress parameters in rats. An Acad Bras Cienc (Annals of the Brazilian Academy of Sciences). 2015;87:1487-1496.
  • Trutter JA, Reno FE, Durloo RS. Teratogenicity studies with a candidate antileishmanial drug. The Toxicologist. 1983;3:65.
  • Beveridge E, Caldwell IC, Latter VS, Neal RA, Udall V, Waldron MM. The activity against Trypanosoma cruzi and cutaneous leishmaniasis, and toxicity, of moxipraquine (349C59). Trans R Soc Trop Med Hyg. 1980;74:43-51.

Rx Only

Manufactured for:

Ingenus Pharmaceuticals, LLC

Orlando, FL 32811

552002

Rev. 04/2025

Microbiology

Mechanism of Action

Primaquine phosphate is an 8-aminoquinoline antimalarial drug. The mechanism of action has not been fully established. The major assumptions are an inhibition of the mitochondrial system of dormant parasites, and an oxidative stress generated through reactive metabolites in infected cells. In humans, primaquine phosphate activity is probably related to hydroxylated metabolites generated intrahepatically by CYP2D6.

Antimicrobial Activity

Primaquine phosphate is active against the dormant liver forms of P.vivax, namely hypnozoites, as well as exoerythrocytic stages of the parasite. Thereby, it prevents the development of the blood (erythrocytic) forms of the parasite which are responsible for relapses in vivax malaria. Primaquine phosphate is also active against gametocytes of Plasmodium falciparum.

Resistance

Development of resistance to primaquine phosphate in Plasmodium species has not been well studied.

Geriatric Use

Clinical studies of primaquine did not include sufficient numbers of subjects aged 65 and over to determine whether they respond differently from younger subjects. Other reported clinical experience has not identified differences in responses between the elderly and younger patients.

In general, dose selection for an elderly patient should be cautious, usually starting at the low end of the dosing range, reflecting the greater frequency of decreased hepatic, renal, or cardiac function, and of concomitant disease or other drug therapy.

Pediatric Use

Safety and effectiveness in pediatric patients have not been established.

Primaquine is contraindicated in breastfeeding women when the infant is found to be G6PD deficient or the G6PD status of the infant is unknown (see CONTRAINDICATIONS and WARNINGS, Nursing Mothers).

Nursing Mothers

A breastfed infant with G6PD deficiency is at risk for hemolytic anemia from exposure to primaquine. Infant G6PD status should be checked before breastfeeding begins. Primaquine is contraindicated in breastfeeding women when the infant is found to be G6PD deficient or the G6PD status of the infant is unknown (see CONTRAINDICATIONS). Advise the woman with a G6PD-deficient infant or if the G6PD status of the infant is unknown not to breastfeed.

The presence of primaquine and its major metabolite in breast milk and infant plasma were evaluated in a published study of 21 G6PD-normal lactating women and their G6PD-normal infants aged 28 days or older. After repeat administration of a 0.5 mg/kg/day primaquine base dose for 14 days in the lactating women, low concentrations of primaquine and carboxyprimaquine were measured both in breast milk and in infant plasma. The estimated infant ingested dose was found to be less than 1% of a 0.5 mg/kg/day primaquine base dose determined from an observed milk to maternal plasma AUC ratio of 0.34 (range: 0.12 to 0.64) and assuming an infant milk consumption of 150 mL/kg/day. Infant primaquine concentrations in plasma were below measurement thresholds (2.28 ng/mL) in all but 1 infant capillary plasma sample (2.6 ng/mL), and carboxyprimaquine concentrations in plasma were likewise unmeasurable in the majority of infant samples (range, 4.88 ng/mL [measurement threshold] to maximum value 25.8 ng/mL). There is no information on the effects of primquine on the breastfed infant, or the effects on milk production.

Clinical Studies

Persons with acute attacks of vivax malaria, provoked by the release of erythrocytic forms of the parasite, respond readily to therapy, particularly to chloroquine phosphate. Primaquine eliminates tissue (exoerythrocytic) infection and prevents relapses in experimentally induced vivax malaria in human volunteers and in persons with naturally occurring infections and is a valuable adjunct to conventional therapy in vivax malaria.

Hemolytic Anemia

Hemolytic reactions (moderate to severe) may occur in individuals with G6PD deficiency and in individuals with a family or personal history of favism. Areas of high prevalence of G6PD deficiency are Africa, Southern Europe, Mediterranean region, Middle East, South-East Asia, and Oceania. People from these regions have a greater tendency to develop hemolytic anemia due to a congenital deficiency of erythrocytic G6PD while receiving primaquine and related drugs.

Due to the risk of hemolytic anemia in patients with G6PD deficiency, G6PD testing must be performed before using primaquine. Before initiating treatment, obtain baseline hemoglobin and hematocrit. In case of severe anemia, postpone the G6PD test and decision on treatment with primaquine until recovery.

Due to the limitations of G6PD tests, physicians need to be aware of residual risk of hemolysis and adequate medical support and follow-up to manage hemolytic risk should be available. This is of particular importance in individuals with a personal or family history of hemolytic anemia.

Patients with G6PD Deficiency

Primaquine is contraindicated in patients with severe G6PD deficiency (see CONTRAINDICATIONS).

In case of mild to moderate G6PD deficiency, a decision to prescribe primaquine must be based on an assessment of the risks and benefits of using primaquine. If primaquine administration is considered, baseline hematocrit and hemoglobin must be checked before treatment and close hematological monitoring (e.g., at day 3 and 8) is required. Adequate medical support to manage hemolytic risk should be available.

Patients with Unknown G6PD Status

When the G6PD status is unknown and G6PD testing is not available, a decision to prescribe primaquine must be based on an assessment of the risks and benefits of using primaquine. Risk factors for G6PD deficiency or favism must be assessed. Baseline hematocrit and hemoglobin must be checked before treatment and close hematological monitoring (e.g., at day 3 and 8) is required. Adequate medical support to manage hemolytic risk should be available.

Patients without G6PD Deficiency

In G6PD normal patients it is also advisable to perform routine blood examinations (particularly blood cell counts and hemoglobin determinations) during therapy.

Risk of Hemolysis with Other Drugs

Avoid the concurrent administration of hemolytic agents in all patients (see CLINICAL PHARMACOLOGY, Drug Interactions). Warn patients to discontinue the use of primaquine promptly if signs suggestive of hemolytic anemia occur (such as darkening of the urine, pale skin, shortness of breath, dizziness, and fatigue) and to contact their healthcare professional immediately. 

Pharmacokinetics

Following single oral dosing, the Cmax and AUC of primaquine increase approximately dose-proportionally over a primaquine base dose range of 15 mg to 45 mg (3 times the approved dose).

The pharmacokinetic parameters and properties of primaquine and carboxyprimaquine (main circulating metabolite not expected to be active) in patients with P. vivax malaria following Oral Administration of primaquine are provided in TABLE 1.

 TABLE 1: Summary of Pharmacokinetic Parameters and Properties (Mean ± SD) in Patients with P. vivax malaria.
 PK Parameter
15 mg once daily in adult patients (18 years of age and older) with P. vivax malaria, unless otherwise specified
Day   Primaquine  Carboxyprimaquine
 Cmax (ng/mL)  1  50.7 ± 21.2  291 ± 52
 Cmax (ng/mL)  14  49.7 ± 14.4  432 ±112
 AUC or AUC0-24 (μg/mL*h)
AUC for primaquine, AUC0-24 for carboxyprimaquine
 1  0.48 ± 0.26  5.15 ± 1.01
 AUC or AUC0-24 (μg/mL*h)  14  0.49 ± 0.19  7.24 ± 1.82
 Primaquine
 Absorption
 Bioavailability
Healthy participants
  >70 %
 Tmax   2.3 ± 1.1 hours
 Effect of food on primaquine (relative to fasting)
Values refer to increase in mean systemic exposure with bread and butter: 82% fat, ~28g fat after single dose of 30 mg primaquine in healthy participants
Geometric mean [95% confidence interval] 
 ↑ 14% [3, 27] (AUC); ↑ 26% [12, 40] (Cmax)
 Distribution
 % Bound to human plasma proteins    74% (mainly to alpha 1 acid glycoprotein)
 Volume of distribution (V)
IV dose administration of [14C]-primaquine in healthy participants
  243 ± 69 L
Metabolism
 Metabolic pathways  -Oxidative deamination, MAO-A

-Hydroxylation of the quinoline ring, CYP2D6

-Direct conjugations
 Elimination
 Major route of elimination    Metabolism
 Apparent Clearance (CL/F)    37.6 ± 14.7 L/hr
 Mean terminal half-life (t1/2)
The mean terminal half-life of carboxyprimaquine is approximately 22 hours
  5.6 ± 1.0 hours
 % of dose excreted in urine
The main circulating metabolite, carboxyprimaquine is subjected to further metabolism and not eliminated through urine
,
Oral administration of [14C]-primaquine in healthy participants; no data in feces
 64%, (including 3.6% of primaquine, the remnant being metabolites other than carboxyprimaquine)
Cmax=maximum plasma concentration; AUC=area under the plasma concentration-time curve from time zero up to infinity; MAO-A = monoamine oxidase A

Renal Impairment

The efficacy and safety of primaquine after repeated dosing have not been assessed in patients with renal impairment. Because of limited data, there is no specific dosing adjustment. If primaquine is administered to such patients, monitoring of efficacy and for primaquine-related adverse reactions is needed, in particular in patients with severe renal impairment (see CLINICAL PHARMACOLOGY).

Methemoglobinemia

Primaquine may cause a transient increase in methemoglobin levels up to 10% in patients without risk factors (see ADVERSE REACTIONS). Methemoglobinemia may be severe in patients who are deficient in nicotinamide adenine dinucleotide (NADH), methemoglobin reductase or treated with methemoglobinemia-inducing drugs such as dapsone or sulfonamide, (see PRECAUTIONS, Drug Interactions). Monitor methemoglobin levels closely in these cases.

Advise all patients to seek immediate medical attention if signs of methemoglobinemia occur such as bluish lips or nails.

Leukopenia

Primaquine may cause leukopenia in patients with established granulocytopenia, such as rheumatoid arthritis and lupus erythematosus. Avoid concurrent administration of bone-marrow depressants. Discontinue the use of primaquine promptly if there is a sudden decrease in leukocyte count.

Hepatic Impairment

Efficacy and safety of primaquine after repeated dosing have not been assessed in patients with hepatic impairment. Primaquine is metabolized in the liver to generate active metabolites, and it is not known if efficacy could be affected in patients with hepatic impairment. Because of limited data, there is no specific dosing adjustment. If primaquine is administered to such patients, monitoring of efficacy and for primaquine-related adverse reactions is needed, in particular in patients with severe hepatic impairment (see CLINICAL PHARMACOLOGY).

Clinical Pharmacology

Potential Prolongation of Qt Interval

Due to potential for QT interval prolongation, monitor ECG when using primaquine in patients with cardiac disease, long QT syndrome, a history of ventricular arrhythmias, uncorrected hypokalemia and/or hypomagnesemia, or bradycardia (<50 bpm), and during concomitant administration with QT interval prolonging agents (see PRECAUTIONS, Drug Interactions, ADVERSE REACTIONS, and OVERDOSAGE).

Animal Pharmacology And/or Animal Toxicology

Literature data on reproductive toxicology identified embryo-fetal development toxicity. In studies in rats, teratogenic effects on fetus were observed (see WARNINGS, Usage in Pregnancy).

In the first reproductive toxicity study6, primaquine was administered orally to rats between gestation day (GD) 6 and GD15 at dose levels of 10.3, 30.8 and 61.5 mg/kg/day (as base) (representing approximatively 7, 20 and 40 times the human dose [HD] on a body surface area comparison) when considering a human body weight of 60 kg). High dose levels induced death of pregnant females in almost all cases, while lower dose levels caused maternal toxicity. At cesarean section, embryo resorption, a decrease in fetal survival rate and body size, internal abnormalities (including hydrocephalia, heterotaxia), and an increase in skeletal variations were observed at the mid dose-level. There were no fetal abnormalities at the low dose level providing a potential safety margin of at least 7 times the recommended clinical dose.

For the second reproductive toxicity study7, 6 to10 animals per group were used. Dose levels of 0.57, 5.7, 11.4 and 34 mg/kg/day of primaquine (as base) (representing approximatively 0.4, 4, 7 and 22 times the HD on a body surface area comparison) were administered orally to Sprague Dawley rats between GD8 and GD16, or of 57 mg/kg only once on GD13 (representing more than 37 times the HD on a body surface area comparison). A total of 1/7 and 4/6 pregnant females at 34 mg/kg/day and at 57 mg/kg, respectively, died. Primaquine-associated teratogenic malformations (including cleft palate and small chin) were observed in 4/54 fetuses in the 57 mg/kg single-dose group.

Use in Females and Males of Reproductive Potential

Pregnancy Testing

Sexually active females of reproductive potential should have a pregnancy test prior to starting treatment with primaquine.

Contraception

Patients should avoid pregnancy during treatment. The use of effective contraception is recommended during treatment and after the end of treatment as follows: Advise sexually active females of childbearing potential to use effective contraception (methods that result in less than 1% pregnancy rates) when using primaquine and after stopping treatment until 2 menses have elapsed). Advise treated males whose partners may become pregnant, to use a condom while on treatment and for 3 months after stopping treatment with primaquine.

Carcinogenesis, Mutagenesis, Impairment of Fertility

No carcinogenicity studies have been conducted with primaquine. No fertility studies have been conducted with primaquine. Primaquine is reported in the literature to be a weak genotoxic agent which elicits both gene mutations1, chromosomal damage and DNA strand breaks2. The publications reported positive results in the in vitro reverse gene mutation assays using bacteria (Ames test) 3,4 and in the in vivo studies using rodents (mouse bone marrow cell sister chromatid exchange, mouse bone marrow cell chromosome abnormality, and rat DNA strand breaks in multiple organs) 2,5· The genotoxicity data obtained in vitro and in rodent models are suggestive of a human risk for genotoxicity with primaquine administration (see WARNINGS, Usage in Pregnancy).

Cyp2d6 Potent Inhibitors, Cyp2d6 Poor Metabolizers and Treatment Failure

Based on published non-clinical reports, primaquine activity probably depends on the formation of CYP2D6 metabolite(s). Therefore, CYP2D6 polymorphism or drugs that impact CYP2D6 activity may be associated with variability in clinical response to primaquine.

Limited published clinical data reported more elevated treatment failure rates in patients with CYP2D6 poor or intermediate metabolizer status than in patients with normal/extensive metabolizer status (see CLINICAL PHARMACOLOGY).

Where possible, consider alternative medications that are not potent CYP2D6 inhibitors. If concurrent use with primaquine is necessary, increase monitoring for possible relapse (see PRECAUTIONS, Drug Interactions).

In case of treatment failure, after checking patient’s compliance to treatment, reassess use of CYP2D6 inhibitors and assess the patient’s CYP2D6 status, if feasible. For poor CYP2D6 metabolizers, alternative treatment should be considered.


Structured Label Content

Section 42229-5 (42229-5)

Specific Populations

Gender and ethnicity

No gender nor ethnicity effect has been evidenced in studies conducted to date.

Elderly patients

There are no pharmacokinetics studies in patients older than 52 years of age.

Hepatic impairment

Single dose pharmacokinetics study performed in patients with mild or moderate hepatic impairment indicate that only moderate hepatic dysfunction impacted significantly the PK of primaquine with a 3-fold lower primaquine Cmax in patients with moderate hepatic dysfunction as compared to healthy subjects. The primaquine AUC was not significantly modified.

No data are available after repeated dosing in patients with hepatic impairment. It is not known whether in patients with hepatic impairment, accumulation of primaquine and its metabolites could occur or if there could be an impact on generation of metabolites contributing to pharmacological activity.

Renal impairment

Single dose pharmacokinetics studies performed in patients with chronic severe (eGFR 15 to 29 mL/min) or end-stage (< 15 mL/min) renal impairment indicate higher primaquine Cmax (up to 1.7­-fold higher as compared to healthy subjects) but no evidence of major difference in AUC or t1/2. It is not known whether after repeated dosing there could be an accumulation of metabolites that are mainly excreted by renal route.

Section 51945-4 (51945-4)

Package Label - Principal Display Panel – 26.3 mg 100 Tablets Label

ingenus

NDC 50742-191-01

Primaquine Phosphate Tablets, USP

26.3 mg (=15 mg Base)

Rx Only

100 Film-Coated Tablets

Pregnancy

Safe usage of primaquine in pregnancy has not been established. Primaquine is contraindicated in pregnant women. The use of primaquine during pregnancy may cause hemolytic anemia in a G6PD-deficient fetus. Even if a pregnant woman has normal levels of G6PD, the fetus could be G6PD-deficient (see CONTRAINDICATIONS). Animal data show toxicity to reproduction and embryofetal development. (See PRECAUTIONS, Animal Pharmacology and/or Animal Toxicology).

Nonclinical data from studies conducted in bacteria and in animals treated with primaquine show evidence of gene mutations and chromosomal/DNA damage, teratogenicity, and injury to embryos and developing fetuses when primaquine is administered to pregnant animals. Inform patients of the potential for adverse genetic and reproductive effects associated with primaquine treatment (see PRECAUTIONS, Carcinogenesis, Mutagenesis, and Impairment of Fertility, and Animal Pharmacology and/or Animal Toxicology).

Overdosage (OVERDOSAGE)

Signs and symptoms

Symptoms of overdosage of primaquine phosphate include abdominal cramps, vomiting, burning epigastric distress, central nervous system disturbances including headache, insomnia, and cardiovascular disturbances, including cardiac arrhythmia and QT interval prolongation, methemoglobinemia (indicated by cyanosis), moderate leukocytosis or leukopenia, granulocytopenia, and anemia. Acute hemolysis may occur with particular severity in G6PD deficient patients.

Management

Treatment of overdosage consists of institution of appropriate symptomatic and/or supportive therapy. Consider contacting a poison center or a medical toxicologist for overdosage management recommendations.

References (REFERENCES)
  • Shubber EK, Jacobson-Kram D, Williams JR. Comparison of the Ames assay and the induction of sister chromatid exchanges: results with ten pharmaceuticals and five selected agents. Cell Biol Toxicol 1986;2:379-99.
  • Chatterjee T, Muhkopadhyay A, Khan KA, Giri AK. Comparative mutagenic and genotoxic effects of three antimalarial drugs, chloroquine, primaquine and amodiaquine. Mutagenesis . 1998;13:619-24.
  • Marss TC. Bright JE, Morris BC. Methemoglobinogenic potential of primaquine and its mutagenicity in the Ames test. Toxicol Lett . 1987;36:281-7.
  • Ono T, Norimatsu M, Yoshimura H. Mutagenic evaluation of primaquine, pentaquine and pamaquine in the Salmonella/mammalian microsome assay. Mutat Res. 1994;325:7-10.
  • Giovanella F, Ferreira GK, de Prá1 SDT, et al. Effects of primaquine and chloroquine on oxidative stress parameters in rats. An Acad Bras Cienc (Annals of the Brazilian Academy of Sciences). 2015;87:1487-1496.
  • Trutter JA, Reno FE, Durloo RS. Teratogenicity studies with a candidate antileishmanial drug. The Toxicologist. 1983;3:65.
  • Beveridge E, Caldwell IC, Latter VS, Neal RA, Udall V, Waldron MM. The activity against Trypanosoma cruzi and cutaneous leishmaniasis, and toxicity, of moxipraquine (349C59). Trans R Soc Trop Med Hyg. 1980;74:43-51.

Rx Only

Manufactured for:

Ingenus Pharmaceuticals, LLC

Orlando, FL 32811

552002

Rev. 04/2025

Description (DESCRIPTION)

Primaquine phosphate is 8-[(4-amino-1-methylbutyl) amino]-6-methoxyquinoline phosphate, a synthetic compound with potent antimalarial activity. The molecular formula of primaquine phosphate is C15H21N3O·2H3PO4 and its molecular weight is 455.34. The structural formula of primaquine phosphate is:

Figure 1: Primaquine phosphate structure.

Each Primaquine phosphate tablet, USP contains 26.3 mg of primaquine phosphate (equivalent to 15 mg of primaquine base). The dosage is customarily expressed in terms of the base.

Inactive Ingredients: Hypromellose, Lactose Monohydrate, Magnesium Stearate, Microcrystalline Cellulose, Triacetin, Pregelatinized Starch, FD&C Yellow#6/Sunset Yellow FCF Aluminum Lake, Talc, Titanium Dioxide.

How Supplied (HOW SUPPLIED)

Primaquine phosphate tablets, USP are supplied as orange colored, round, biconvex, film-coated tablets of 26.3 mg (= 15 mg base), debossed with a "059" on one side and plain on the other side.

Available in bottles of 100 tablets (NDC 50742-191-01) and bottles of 500 tablets (NDC 50742-191-05)

Store at 25°C (77°F); excursions permitted to 15°C – 30°C (59°F – 86°F) [see USP Controlled Room Temperature]

Dispense in tight, light-resistant container as defined in the USP/NF.

Microbiology

Mechanism of Action

Primaquine phosphate is an 8-aminoquinoline antimalarial drug. The mechanism of action has not been fully established. The major assumptions are an inhibition of the mitochondrial system of dormant parasites, and an oxidative stress generated through reactive metabolites in infected cells. In humans, primaquine phosphate activity is probably related to hydroxylated metabolites generated intrahepatically by CYP2D6.

Antimicrobial Activity

Primaquine phosphate is active against the dormant liver forms of P.vivax, namely hypnozoites, as well as exoerythrocytic stages of the parasite. Thereby, it prevents the development of the blood (erythrocytic) forms of the parasite which are responsible for relapses in vivax malaria. Primaquine phosphate is also active against gametocytes of Plasmodium falciparum.

Resistance

Development of resistance to primaquine phosphate in Plasmodium species has not been well studied.

Geriatric Use

Clinical studies of primaquine did not include sufficient numbers of subjects aged 65 and over to determine whether they respond differently from younger subjects. Other reported clinical experience has not identified differences in responses between the elderly and younger patients.

In general, dose selection for an elderly patient should be cautious, usually starting at the low end of the dosing range, reflecting the greater frequency of decreased hepatic, renal, or cardiac function, and of concomitant disease or other drug therapy.

Pediatric Use

Safety and effectiveness in pediatric patients have not been established.

Primaquine is contraindicated in breastfeeding women when the infant is found to be G6PD deficient or the G6PD status of the infant is unknown (see CONTRAINDICATIONS and WARNINGS, Nursing Mothers).

Nursing Mothers

A breastfed infant with G6PD deficiency is at risk for hemolytic anemia from exposure to primaquine. Infant G6PD status should be checked before breastfeeding begins. Primaquine is contraindicated in breastfeeding women when the infant is found to be G6PD deficient or the G6PD status of the infant is unknown (see CONTRAINDICATIONS). Advise the woman with a G6PD-deficient infant or if the G6PD status of the infant is unknown not to breastfeed.

The presence of primaquine and its major metabolite in breast milk and infant plasma were evaluated in a published study of 21 G6PD-normal lactating women and their G6PD-normal infants aged 28 days or older. After repeat administration of a 0.5 mg/kg/day primaquine base dose for 14 days in the lactating women, low concentrations of primaquine and carboxyprimaquine were measured both in breast milk and in infant plasma. The estimated infant ingested dose was found to be less than 1% of a 0.5 mg/kg/day primaquine base dose determined from an observed milk to maternal plasma AUC ratio of 0.34 (range: 0.12 to 0.64) and assuming an infant milk consumption of 150 mL/kg/day. Infant primaquine concentrations in plasma were below measurement thresholds (2.28 ng/mL) in all but 1 infant capillary plasma sample (2.6 ng/mL), and carboxyprimaquine concentrations in plasma were likewise unmeasurable in the majority of infant samples (range, 4.88 ng/mL [measurement threshold] to maximum value 25.8 ng/mL). There is no information on the effects of primquine on the breastfed infant, or the effects on milk production.

Clinical Studies (CLINICAL STUDIES)

Persons with acute attacks of vivax malaria, provoked by the release of erythrocytic forms of the parasite, respond readily to therapy, particularly to chloroquine phosphate. Primaquine eliminates tissue (exoerythrocytic) infection and prevents relapses in experimentally induced vivax malaria in human volunteers and in persons with naturally occurring infections and is a valuable adjunct to conventional therapy in vivax malaria.

Hemolytic Anemia

Hemolytic reactions (moderate to severe) may occur in individuals with G6PD deficiency and in individuals with a family or personal history of favism. Areas of high prevalence of G6PD deficiency are Africa, Southern Europe, Mediterranean region, Middle East, South-East Asia, and Oceania. People from these regions have a greater tendency to develop hemolytic anemia due to a congenital deficiency of erythrocytic G6PD while receiving primaquine and related drugs.

Due to the risk of hemolytic anemia in patients with G6PD deficiency, G6PD testing must be performed before using primaquine. Before initiating treatment, obtain baseline hemoglobin and hematocrit. In case of severe anemia, postpone the G6PD test and decision on treatment with primaquine until recovery.

Due to the limitations of G6PD tests, physicians need to be aware of residual risk of hemolysis and adequate medical support and follow-up to manage hemolytic risk should be available. This is of particular importance in individuals with a personal or family history of hemolytic anemia.

Patients with G6PD Deficiency

Primaquine is contraindicated in patients with severe G6PD deficiency (see CONTRAINDICATIONS).

In case of mild to moderate G6PD deficiency, a decision to prescribe primaquine must be based on an assessment of the risks and benefits of using primaquine. If primaquine administration is considered, baseline hematocrit and hemoglobin must be checked before treatment and close hematological monitoring (e.g., at day 3 and 8) is required. Adequate medical support to manage hemolytic risk should be available.

Patients with Unknown G6PD Status

When the G6PD status is unknown and G6PD testing is not available, a decision to prescribe primaquine must be based on an assessment of the risks and benefits of using primaquine. Risk factors for G6PD deficiency or favism must be assessed. Baseline hematocrit and hemoglobin must be checked before treatment and close hematological monitoring (e.g., at day 3 and 8) is required. Adequate medical support to manage hemolytic risk should be available.

Patients without G6PD Deficiency

In G6PD normal patients it is also advisable to perform routine blood examinations (particularly blood cell counts and hemoglobin determinations) during therapy.

Risk of Hemolysis with Other Drugs

Avoid the concurrent administration of hemolytic agents in all patients (see CLINICAL PHARMACOLOGY, Drug Interactions). Warn patients to discontinue the use of primaquine promptly if signs suggestive of hemolytic anemia occur (such as darkening of the urine, pale skin, shortness of breath, dizziness, and fatigue) and to contact their healthcare professional immediately. 

Pharmacokinetics

Following single oral dosing, the Cmax and AUC of primaquine increase approximately dose-proportionally over a primaquine base dose range of 15 mg to 45 mg (3 times the approved dose).

The pharmacokinetic parameters and properties of primaquine and carboxyprimaquine (main circulating metabolite not expected to be active) in patients with P. vivax malaria following Oral Administration of primaquine are provided in TABLE 1.

 TABLE 1: Summary of Pharmacokinetic Parameters and Properties (Mean ± SD) in Patients with P. vivax malaria.
 PK Parameter
15 mg once daily in adult patients (18 years of age and older) with P. vivax malaria, unless otherwise specified
Day   Primaquine  Carboxyprimaquine
 Cmax (ng/mL)  1  50.7 ± 21.2  291 ± 52
 Cmax (ng/mL)  14  49.7 ± 14.4  432 ±112
 AUC or AUC0-24 (μg/mL*h)
AUC for primaquine, AUC0-24 for carboxyprimaquine
 1  0.48 ± 0.26  5.15 ± 1.01
 AUC or AUC0-24 (μg/mL*h)  14  0.49 ± 0.19  7.24 ± 1.82
 Primaquine
 Absorption
 Bioavailability
Healthy participants
  >70 %
 Tmax   2.3 ± 1.1 hours
 Effect of food on primaquine (relative to fasting)
Values refer to increase in mean systemic exposure with bread and butter: 82% fat, ~28g fat after single dose of 30 mg primaquine in healthy participants
Geometric mean [95% confidence interval] 
 ↑ 14% [3, 27] (AUC); ↑ 26% [12, 40] (Cmax)
 Distribution
 % Bound to human plasma proteins    74% (mainly to alpha 1 acid glycoprotein)
 Volume of distribution (V)
IV dose administration of [14C]-primaquine in healthy participants
  243 ± 69 L
Metabolism
 Metabolic pathways  -Oxidative deamination, MAO-A

-Hydroxylation of the quinoline ring, CYP2D6

-Direct conjugations
 Elimination
 Major route of elimination    Metabolism
 Apparent Clearance (CL/F)    37.6 ± 14.7 L/hr
 Mean terminal half-life (t1/2)
The mean terminal half-life of carboxyprimaquine is approximately 22 hours
  5.6 ± 1.0 hours
 % of dose excreted in urine
The main circulating metabolite, carboxyprimaquine is subjected to further metabolism and not eliminated through urine
,
Oral administration of [14C]-primaquine in healthy participants; no data in feces
 64%, (including 3.6% of primaquine, the remnant being metabolites other than carboxyprimaquine)
Cmax=maximum plasma concentration; AUC=area under the plasma concentration-time curve from time zero up to infinity; MAO-A = monoamine oxidase A

Renal Impairment

The efficacy and safety of primaquine after repeated dosing have not been assessed in patients with renal impairment. Because of limited data, there is no specific dosing adjustment. If primaquine is administered to such patients, monitoring of efficacy and for primaquine-related adverse reactions is needed, in particular in patients with severe renal impairment (see CLINICAL PHARMACOLOGY).

Adverse Reactions (ADVERSE REACTIONS)

To report SUSPECTED ADVERSE REACTIONS, please call Ingenus Pharmaceuticals, LLC at 1-877-748-1970 or FDA at 1-800-FDA-1088 or www.fda.gov/medwatch

Gastrointestinal: Nausea, vomiting, epigastric distress, abdominal cramps.

Hematologic: Leukopenia, hemolytic anemia, decreased hemoglobin, methemoglobinemia.

Hemolytic anemia occurs commonly in patients with G6PD deficiency and may be severe or fatal in patients with severe G6PD deficiency (see WARNINGS).

Methemoglobin levels are usually <10%, but methemoglobinemia may be severe in nicotinamide adenine dinucleotide (NADH) methemoglobin reductase deficient individuals or in patients with other risk factors (see PRECAUTIONS).

Leukopenia was observed in patients with rheumatoid arthritis or lupus erythematosus (see PRECAUTIONS).

Cardiac: Cardiac arrhythmia and QT interval prolongation (see PRECAUTIONS, OVERDOSAGE).

Nervous System: Dizziness.

Skin and Soft Tissue: Rash, pruritus.

Contraindications (CONTRAINDICATIONS)

Known hypersensitivity reactions to primaquine phosphate, other 8-­aminoquinolones, or to any component in primaquine.

Severe glucose-6-phosphate dehydrogenase (G6PD) deficiency (see WARNINGS, Hemolytic Anemia).

Pregnant women (see WARNINGS, Pregnancy).

Breastfeeding by a lactating woman when the infant is found to be G6PD deficient or if G6PD status is unknown (see WARNINGS, Nursing Mothers).

Because quinacrine hydrochloride appears to potentiate the toxicity of antimalarial compounds which are structurally related to primaquine, the use of quinacrine in patients receiving primaquine is contraindicated. Similarly, primaquine should not be administered to patients who have received quinacrine recently, as toxicity is increased.

Drug Interactions

Pharmacodynamics Interactions

Quinacrine

Concurrent use of quinacrine (mepacrine) and primaquine are contraindicated. Increased toxicity was seen when quinacrine was used with pamaquine, another 8-aminoquinoline (see CONTRAINDICATIONS).

Hemolytic Agents and Methemoglobinemia-Inducing Drugs

The concurrent administration of hemolytic agents or methemoglobinemia-inducing drugs and primaquine should be avoided (see PRECAUTIONS). If the concurrent administration cannot be avoided, close blood monitoring is required.

QT Interval Prolonging Drugs

The pharmacodynamic interaction potential to prolong the QT interval of the electrocardiogram between primaquine and other drugs that effect cardiac conduction is unknown. If primaquine is used concomitantly with other drugs that prolong the QT interval, close and frequent electrocardiogram monitoring is advised (see PRECAUTIONS, ADVERSE REACTIONS, and OVERDOSAGE).

Effects of Other Drugs on the Pharmacokinetics of Primaquine

Potent CYP2D6 Inhibitors

Published clinical and non-clinical reports indicate reduced CYP2D6 activity may decrease the formation of active metabolites of primaquine, which may reduce antimalarial efficacy of primaquine. Where possible, consider alternative medications that are not potent CYP2D6 inhibitors. If concurrent use with primaquine is necessary, increase monitoring for possible relapse.

Effects of Primaquine on the Pharmacokinetics of Other Drugs

CYP1A2 Substrates

Published clinical and non-clinical reports indicate primaquine inhibits CYP1A2 enzyme activity and thus may lead to increased exposure of CYP1A2 substrate drugs (e.g., duloxetine, alosetron, theophylline and tizanidine) when co-administered with primaquine. Since data are limited, no predictions can be made regarding the extent of the impact on CYP1A2 substrate drug exposures. Increase monitoring for adverse reactions associated with the CYP1A2 substrate drug when concurrently administered with primaquine.

P-gp Substrates with Narrow Therapeutic Index

In vitro observations suggest that primaquine inhibits the P-gp membrane transporter. Therefore, there is a potential for increased concentrations of drugs that are P-gp substrates when co-administered with primaquine. Increase monitoring for adverse reactions associated with narrow therapeutic index drugs that are P-gp substrates (e.g., digoxin and dabigatran) when concomitantly administered with primaquine.

Methemoglobinemia

Primaquine may cause a transient increase in methemoglobin levels up to 10% in patients without risk factors (see ADVERSE REACTIONS). Methemoglobinemia may be severe in patients who are deficient in nicotinamide adenine dinucleotide (NADH), methemoglobin reductase or treated with methemoglobinemia-inducing drugs such as dapsone or sulfonamide, (see PRECAUTIONS, Drug Interactions). Monitor methemoglobin levels closely in these cases.

Advise all patients to seek immediate medical attention if signs of methemoglobinemia occur such as bluish lips or nails.

Leukopenia

Primaquine may cause leukopenia in patients with established granulocytopenia, such as rheumatoid arthritis and lupus erythematosus. Avoid concurrent administration of bone-marrow depressants. Discontinue the use of primaquine promptly if there is a sudden decrease in leukocyte count.

Hepatic Impairment

Efficacy and safety of primaquine after repeated dosing have not been assessed in patients with hepatic impairment. Primaquine is metabolized in the liver to generate active metabolites, and it is not known if efficacy could be affected in patients with hepatic impairment. Because of limited data, there is no specific dosing adjustment. If primaquine is administered to such patients, monitoring of efficacy and for primaquine-related adverse reactions is needed, in particular in patients with severe hepatic impairment (see CLINICAL PHARMACOLOGY).

Clinical Pharmacology (CLINICAL PHARMACOLOGY)

Indications and Usage (INDICATIONS AND USAGE)

Primaquine phosphate is indicated for the radical cure (prevention of relapse) of vivax malaria.

Dosage and Administration (DOSAGE AND ADMINISTRATION)

Primaquine phosphate tablets are recommended only for the radical cure of vivax malaria, the prevention of relapse in vivax malaria, or following the termination of chloroquine phosphate suppressive therapy in an area where vivax malaria is endemic. Patients suffering from an attack of vivax malaria or having parasitized red blood cells should receive a course of chloroquine phosphate, which quickly destroys the erythrocytic parasites and terminates the paroxysm. Primaquine phosphate tablets should be administered concurrently to eradicate the exoerythrocytic parasites in adults at a dosage of 1 tablet (equivalent to 15 mg base) daily for 14 days.

Primaquine phosphate tablets can be taken with or without food. Administration of primaquine phosphate tablets with food may reduce the incidence of gastrointestinal symptoms.

Potential Prolongation of Qt Interval (Potential Prolongation of QT Interval)

Due to potential for QT interval prolongation, monitor ECG when using primaquine in patients with cardiac disease, long QT syndrome, a history of ventricular arrhythmias, uncorrected hypokalemia and/or hypomagnesemia, or bradycardia (<50 bpm), and during concomitant administration with QT interval prolonging agents (see PRECAUTIONS, Drug Interactions, ADVERSE REACTIONS, and OVERDOSAGE).

Animal Pharmacology And/or Animal Toxicology (Animal Pharmacology and/or Animal Toxicology)

Literature data on reproductive toxicology identified embryo-fetal development toxicity. In studies in rats, teratogenic effects on fetus were observed (see WARNINGS, Usage in Pregnancy).

In the first reproductive toxicity study6, primaquine was administered orally to rats between gestation day (GD) 6 and GD15 at dose levels of 10.3, 30.8 and 61.5 mg/kg/day (as base) (representing approximatively 7, 20 and 40 times the human dose [HD] on a body surface area comparison) when considering a human body weight of 60 kg). High dose levels induced death of pregnant females in almost all cases, while lower dose levels caused maternal toxicity. At cesarean section, embryo resorption, a decrease in fetal survival rate and body size, internal abnormalities (including hydrocephalia, heterotaxia), and an increase in skeletal variations were observed at the mid dose-level. There were no fetal abnormalities at the low dose level providing a potential safety margin of at least 7 times the recommended clinical dose.

For the second reproductive toxicity study7, 6 to10 animals per group were used. Dose levels of 0.57, 5.7, 11.4 and 34 mg/kg/day of primaquine (as base) (representing approximatively 0.4, 4, 7 and 22 times the HD on a body surface area comparison) were administered orally to Sprague Dawley rats between GD8 and GD16, or of 57 mg/kg only once on GD13 (representing more than 37 times the HD on a body surface area comparison). A total of 1/7 and 4/6 pregnant females at 34 mg/kg/day and at 57 mg/kg, respectively, died. Primaquine-associated teratogenic malformations (including cleft palate and small chin) were observed in 4/54 fetuses in the 57 mg/kg single-dose group.

Use in Females and Males of Reproductive Potential

Pregnancy Testing

Sexually active females of reproductive potential should have a pregnancy test prior to starting treatment with primaquine.

Contraception

Patients should avoid pregnancy during treatment. The use of effective contraception is recommended during treatment and after the end of treatment as follows: Advise sexually active females of childbearing potential to use effective contraception (methods that result in less than 1% pregnancy rates) when using primaquine and after stopping treatment until 2 menses have elapsed). Advise treated males whose partners may become pregnant, to use a condom while on treatment and for 3 months after stopping treatment with primaquine.

Carcinogenesis, Mutagenesis, Impairment of Fertility

No carcinogenicity studies have been conducted with primaquine. No fertility studies have been conducted with primaquine. Primaquine is reported in the literature to be a weak genotoxic agent which elicits both gene mutations1, chromosomal damage and DNA strand breaks2. The publications reported positive results in the in vitro reverse gene mutation assays using bacteria (Ames test) 3,4 and in the in vivo studies using rodents (mouse bone marrow cell sister chromatid exchange, mouse bone marrow cell chromosome abnormality, and rat DNA strand breaks in multiple organs) 2,5· The genotoxicity data obtained in vitro and in rodent models are suggestive of a human risk for genotoxicity with primaquine administration (see WARNINGS, Usage in Pregnancy).

Cyp2d6 Potent Inhibitors, Cyp2d6 Poor Metabolizers and Treatment Failure (CYP2D6 Potent Inhibitors, CYP2D6 Poor Metabolizers and Treatment Failure)

Based on published non-clinical reports, primaquine activity probably depends on the formation of CYP2D6 metabolite(s). Therefore, CYP2D6 polymorphism or drugs that impact CYP2D6 activity may be associated with variability in clinical response to primaquine.

Limited published clinical data reported more elevated treatment failure rates in patients with CYP2D6 poor or intermediate metabolizer status than in patients with normal/extensive metabolizer status (see CLINICAL PHARMACOLOGY).

Where possible, consider alternative medications that are not potent CYP2D6 inhibitors. If concurrent use with primaquine is necessary, increase monitoring for possible relapse (see PRECAUTIONS, Drug Interactions).

In case of treatment failure, after checking patient’s compliance to treatment, reassess use of CYP2D6 inhibitors and assess the patient’s CYP2D6 status, if feasible. For poor CYP2D6 metabolizers, alternative treatment should be considered.


Advanced Ingredient Data


Raw Label Data

All Sections (JSON)