These Highlights Do Not Include All The Information Needed To Use Metformin Hydrochloride Tablets Safely And Effectively. See Full Prescribing Information For Metformin Hydrochloride Tablets.

These Highlights Do Not Include All The Information Needed To Use Metformin Hydrochloride Tablets Safely And Effectively. See Full Prescribing Information For Metformin Hydrochloride Tablets.
SPL v6
SPL
SPL Set ID 082b4de9-e452-fe71-e063-6394a90ac863
Route
ORAL
Published
Effective Date 2024-01-31
Document Type 34391-3 HUMAN PRESCRIPTION DRUG LABEL

Drug Facts

Composition & Product

Active Ingredients
Metformin (850 mg)
Inactive Ingredients
Povidone, Unspecified Magnesium Stearate Hypromellose, Unspecified Polyethylene Glycol, Unspecified

Identifiers & Packaging

Pill Appearance
Imprint: 10;00 Shape: round Shape: oval Color: white Size: 13 mm Size: 11 mm Size: 19 mm Score: 2
Marketing Status
ANDA Active Since 2024-01-01

Description

Postmarketing cases of metformin-associated lactic acidosis have resulted in death, hypothermia, hypotension, and resistant bradyarrhythmias. The onset of metformin-associated lactic acidosis is often subtle, accompanied only by nonspecific symptoms such as malaise, myalgias, respiratory distress, somnolence, and abdominal pain. Metformin-associated lactic acidosis was characterized by elevated blood lactate levels (> 5 mmol/Liter), anion gap acidosis (without evidence of ketonuria or ketonemia), an increased lactate/pyruvate ratio; and metformin plasma levels generally > 5 mcg/mL [see Warnings and Precautions (5.1) ] . Risk factors for metformin-associated lactic acidosis include renal impairment, concomitant use of certain drugs (e.g. carbonic anhydrase inhibitors such as topiramate), age 65 years old or greater, having a radiological study with contrast, surgery and other procedures, hypoxic states (e.g., acute congestive heart failure), excessive alcohol intake, and hepatic impairment. Steps to reduce the risk of and manage metformin-associated lactic acidosis in these high risk groups are provided [see Dosage and Administration (2.3) , Contraindications (4) , Warnings and Precautions (5.1) ] . If metformin-associated lactic acidosis is suspected, immediately discontinue metformin hydrochloride tablets and institute general supportive measures in a hospital setting. Prompt hemodialysis is recommended [see Warnings and Precautions (5.1) ] .

Indications and Usage

Metformin hydrochloride tablets are indicated as an adjunct to diet and exercise to improve glycemic control in adults and pediatric patients 10 years of age and older with type 2 diabetes mellitus.

Dosage and Administration

Adult Dosage for Metformin Hydrochloride Tablets: Starting dose: 500 mg orally twice a day or 850 mg once a day, with meals ( 2.1 ) Increase the dose in increments of 500 mg weekly or 850 mg every 2 weeks, up to a maximum dose of 2,550 mg per day, given in divided doses ( 2.1 ) Doses above 2,000 mg may be better tolerated given 3 times a day with meals ( 2.1 ) Pediatric Dosage for Metformin Hydrochloride Tablets: Starting dose: 500 mg orally twice a day, with meals ( 2.2 ) Increase dosage in increments of 500 mg weekly up to a maximum of 2,000 mg per day, given in divided doses twice daily ( 2.2 ) Renal Impairment: Prior to initiation, assess renal function with estimated glomerular filtration rate (eGFR) ( 2.3 ) Do not use in patients with eGFR below 30 mL/minute/1.73 m 2 ( 2.3 ) Initiation is not recommended in patients with eGFR between 30 mL/minute/1.73 m 2 and 45 mL/minute/ 1.73 m 2 ( 2.3 ) Assess risk/benefit of continuing if eGFR falls below 45 mL/minute/1.73 m 2 ( 2.3 ) Discontinue if eGFR falls below 30 mL/minute/1.73 m 2 ( 2.3 ) Discontinuation for Iodinated Contrast Imaging Procedures: Metformin hydrochloride tablets may need to be discontinued at time of, or prior to, iodinated contrast imaging procedures ( 2.4 )

Warnings and Precautions

Lactic Acidosis: See boxed warning . ( 5.1 ) Vitamin B 12 Deficiency: Metformin may lower vitamin B 12 levels. Measure hematological parameters annually and vitamin B 12 at 2 to 3 year intervals and manage any abnormalities. ( 5.2 ) Hypoglycemia with Concomitant Use with Insulin and Insulin Secretagogues: Increased risk of hypoglycemia when used in combination with insulin and/or an insulin secretagogue. Lower dose of insulin or insulin secretagogue may be required ( 5.3 )

Contraindications

Metformin hydrochloride tablets are contraindicated in patients with: Severe renal impairment (eGFR below 30 mL/min/1.73 m 2 ) [see Warnings and Precautions (5.1) ]. Hypersensitivity to metformin. Acute or chronic metabolic acidosis, including diabetic ketoacidosis, with or without coma.

Adverse Reactions

The following adverse reactions are also discussed elsewhere in the labeling: Lactic Acidosis [see Boxed Warning and Warnings and Precautions (5.1) ] Vitamin B 12 Deficiency [see Warnings and Precautions (5.2) ] Hypoglycemia [see Warnings and Precautions (5.3) ]

Drug Interactions

Table 2 presents clinically significant drug interactions with metformin hydrochloride tablets. Table 2: Clinically Significant Drug Interactions with Metformin Hydrochloride Tablets Carbonic Anhydrase Inhibitors Clinical Impact: Carbonic anhydrase inhibitors frequently cause a decrease in serum bicarbonate and induce non-anion gap, hyperchloremic metabolic acidosis. Concomitant use of these drugs with metformin hydrochloride tablets may increase the risk for lactic acidosis. Intervention: Consider more frequent monitoring of these patients. Examples: Topiramate, zonisamide, acetazolamide or dichlorphenamide. Drugs that Reduce Metformin Hydrochloride Tablets Clearance Clinical Impact: Concomitant use of drugs that interfere with common renal tubular transport systems involved in the renal elimination of metformin (e.g., organic cationic transporter-2 [OCT2] / multidrug and toxin extrusion [MATE] inhibitors) could increase systemic exposure to metformin and may increase the risk for lactic acidosis [see Clinical Pharmacology (12.3) ]. Intervention: Consider the benefits and risks of concomitant use with metformin hydrochloride tablets. Examples: Ranolazine, vandetanib, dolutegravir, and cimetidine. Alcohol Clinical Impact: Alcohol is known to potentiate the effect of metformin on lactate metabolism. Intervention: Warn patients against excessive alcohol intake while receiving metformin hydrochloride tablets. Insulin Secretagogues or Insulin Clinical Impact: Coadministration of metformin hydrochloride tablets with an insulin secretagogue (e.g., sulfonylurea) or insulin may increase the risk of hypoglycemia. Intervention: Patients receiving an insulin secretagogue or insulin may require lower doses of the insulin secretagogue or insulin. Drugs Affecting Glycemic Control Clinical Impact: Certain drugs tend to produce hyperglycemia and may lead to loss of glycemic control. Intervention: When such drugs are administered to a patient receiving metformin hydrochloride tablets, observe the patient closely for loss of blood glucose control. When such drugs are withdrawn from a patient receiving metformin hydrochloride tablets, observe the patient closely for hypoglycemia. Examples: Thiazides and other diuretics, corticosteroids, phenothiazines, thyroid products, estrogens, oral contraceptives, phenytoin, nicotinic acid, sympathomimetics, calcium channel blockers, and isoniazid.

How Supplied

Metformin hydrochloride tablets USP, 500 mg are round white tablets, debossed with "500" on one side. They are available as follows: Bottles of 100 NDC 83301-0008-1 Bottles of 500 NDC 83301-0008-2 Bottles of 1,000 NDC 83301-0008-3 Metformin hydrochloride tablets USP, 850 mg are round white tablets, debossed with "850" on one side. They are available as follows: Bottles of 100 NDC 83301-0009-1 Bottles of 500 NDC 83301-0009-2 Bottles of 1,000 NDC 83301-0009-3 Metformin hydrochloride tablets USP, 1,000 mg are oval white tablets, debossed with "10|00" on one side. They are available as follows: Bottles of 100 NDC 83301-0010-1 Bottles of 500 NDC 83301-0010-2 Bottles of 1,000 NDC 83301-0010-3

Patient Information

Read the Patient Information that comes with metformin hydrochloride tablets before you start taking it and each time you get a refill. There may be new information. This leaflet does not take the place of talking with your healthcare provider about your medical condition or treatment. What is the most important information I should know about metformin hydrochloride tablets? Serious side effects can happen in people taking metformin hydrochloride tablets, including: Lactic Acidosis. Metformin hydrochloride, the medicine in metformin hydrochloride tablets, can cause a rare, but serious, side effect called lactic acidosis (a build-up of lactic acid in the blood) that can cause death. Lactic acidosis is a medical emergency and must be treated in a hospital. Stop taking metformin hydrochloride tablets and call your healthcare provider right away if you get any of the following symptoms of lactic acidosis: feel very weak and tired have unusual (not normal) muscle pain have trouble breathing have unusual sleepiness or sleep longer than usual have unexplained stomach or intestinal problems with nausea and vomiting, or diarrhea feel cold, especially in your arms and legs feel dizzy or lightheaded have a slow or irregular heartbeat You have a higher chance of getting lactic acidosis if you: have kidney problems. People whose kidneys are not working properly should not take metformin hydrochloride tablets. have liver problems. have congestive heart failure that requires treatment with medicines. drink a lot of alcohol (very often or short-term "binge" drinking). get dehydrated (lose a large amount of body fluids). This can happen if you are sick with a fever, vomiting, or diarrhea. Dehydration can also happen when you sweat a lot with activity or exercise and do not drink enough fluids. have certain x-ray tests with injectable dyes or contrast agents. have surgery. have a heart attack, severe infection, or stroke. are 80 years of age or older and have not had your kidney function tested. What are metformin hydrochloride tablets? Metformin hydrochloride tablets are prescription medicines that contain metformin hydrochloride. Metformin hydrochloride tablets are used with diet and exercise to help control high blood sugar (hyperglycemia) in adults with type 2 diabetes. Metformin hydrochloride tablets are not for people with type 1 diabetes. Metformin hydrochloride tablets are not for people with diabetic ketoacidosis (increased ketones in your blood or urine). This medicine helps control your blood sugar in a number of ways. These include helping your body respond better to the insulin it makes naturally, decreasing the amount of sugar your liver makes, and decreasing the amount of sugar your intestines absorb. Metformin hydrochloride tablets do not cause your body to make more insulin. Who should not take metformin hydrochloride tablets? Some conditions increase your chance of getting lactic acidosis, or cause other problems if you take either of these medicines. Most of the conditions listed below can increase your chance of getting lactic acidosis. Do not take metformin hydrochloride tablets if you: have kidney problems are allergic to the metformin hydrochloride in metformin hydrochloride tablets or any of the ingredients in metformin hydrochloride tablets. See the end of this leaflet for a complete list of ingredients in metformin hydrochloride tablets. are going to get an injection of dye or contrast agents for an x-ray procedure or if you are going to have surgery and not able to eat or drink much. In these situations, metformin hydrochloride tablets will need to be stopped for a short time. Talk to your healthcare provider about when you should stop metformin hydrochloride tablets and when you should start metformin hydrochloride tablets again. See " What is the most important information I should know about metformin hydrochloride tablets? " What should I tell my healthcare provider before taking metformin hydrochloride tablets? Before taking metformin hydrochloride tablets, tell your healthcare provider if you: have type 1 diabetes. Metformin hydrochloride tablets should not be used to treat people with type 1 diabetes. have a history or risk for diabetic ketoacidosis (high levels of certain acids, known as ketones, in the blood or urine). Metformin hydrochloride tablets should not be used for the treatment of diabetic ketoacidosis. have kidney problems. have liver problems. have heart problems, including congestive heart failure. are older than 80 years. If you are over 80 years old you should not take metformin hydrochloride tablets unless your kidneys have been checked and they are normal. drink alcohol very often, or drink a lot of alcohol in short-term "binge" drinking. are taking insulin. have any other medical conditions. are pregnant or plan to become pregnant. It is not known if metformin hydrochloride will harm your unborn baby. If you are pregnant, talk with your healthcare provider about the best way to control your blood sugar while you are pregnant. are breast-feeding or plan to breast-feed. It is not known if metformin hydrochloride passes into your breast milk. Talk with your healthcare provider about the best way to feed your baby while you take metformin hydrochloride tablets. Tell your healthcare provider about all the medicines you take, including prescription and nonprescription medicines, vitamins, and herbal supplements. Know the medicines you take. Keep a list of them to show your healthcare provider and pharmacist when you get a new medicine. Metformin hydrochloride tablets may affect the way other medicines work, and other medicines may affect how metformin hydrochloride tablets work. Can metformin hydrochloride tablets be used in children? Metformin hydrochloride tablets have been shown to effectively lower glucose levels in children (ages 10 to 16 years) with type 2 diabetes. Metformin hydrochloride tablets have not been studied in children younger than 10 years old. Metformin hydrochloride tablets have not been studied in combination with other oral glucose-control medicines or insulin in children. If you have any questions about the use of metformin hydrochloride tablets in children, talk with your doctor or other healthcare provider. How should I take metformin hydrochloride tablets? Take metformin hydrochloride tablets exactly as your healthcare provider tells you. Metformin hydrochloride tablets should be taken with meals to help lessen an upset stomach side effect. Swallow metformin hydrochloride tablets whole. You may sometimes pass a soft mass in your stools (bowel movement) that looks like metformin hydrochloride tablets. When your body is under some types of stress, such as fever, trauma (such as a car accident), infection, or surgery, the amount of diabetes medicine that you need may change. Tell your healthcare provider right away if you have any of these problems. Your healthcare provider should do blood tests to check how well your kidneys are working before and during your treatment with metformin hydrochloride tablets. Your healthcare provider will check your diabetes with regular blood tests, including your blood sugar levels and your hemoglobin A 1C . Follow your healthcare provider's instructions for treating blood sugar that is too low (hypoglycemia). Talk to your healthcare provider if low blood sugar is a problem for you. See " What are the possible side effects of metformin hydrochloride tablets? " Check your blood sugar as your healthcare provider tells you to. Stay on your prescribed diet and exercise program while taking metformin hydrochloride tablets. If you miss a dose of metformin hydrochloride tablets, take your next dose as prescribed unless your healthcare provider tells you differently. Do not take an extra dose the next day. If you take too many metformin hydrochloride tablets, call your healthcare provider, local Poison Control Center, or go to the nearest hospital emergency room right away. What should I avoid while taking metformin hydrochloride tablets? Do not drink a lot of alcoholic drinks while taking metformin hydrochloride tablets. This means you should not binge drink for short periods, and you should not drink a lot of alcohol on a regular basis. Alcohol can increase the chance of getting lactic acidosis. What are the side effects of metformin hydrochloride tablets? Lactic acidosis. Metformin, the active ingredient in metformin hydrochloride tablets, can cause a rare but serious condition called lactic acidosis (a buildup of an acid in the blood) that can cause death. Lactic acidosis is a medical emergency and must be treated in the hospital. Call your doctor right away if you have any of the following symptoms, which could be signs of lactic acidosis: you feel cold in your hands or feet you feel dizzy or lightheaded you have a slow or irregular heartbeat you feel very weak or tired you have trouble breathing you feel sleepy or drowsy you have stomach pains, nausea or vomiting Most people who have had lactic acidosis with metformin have other things that, combined with the metformin, led to the lactic acidosis. Tell your doctor if you have any of the following, because you have a higher chance for getting lactic acidosis with metformin hydrochloride tablets if you: have severe kidney problems, or your kidneys are affected by certain x-ray tests that use injectable dye have liver problems drink alcohol very often, or drink a lot of alcohol in short-term "binge" drinking get dehydrated (lose a large amount of body fluids). This can happen if you are sick with a fever, vomiting, or diarrhea. Dehydration can also happen when you sweat a lot with activity or exercise and do not drink enough fluids have surgery have a heart attack, severe infection, or stroke Common side effects of metformin hydrochloride tablets include diarrhea, nausea, and upset stomach. These side effects generally go away after you take the medicine for a while. Taking your medicine with meals can help reduce these side effects. Tell your doctor if the side effects bother you a lot, last for more than a few weeks, come back after they've gone away, or start later in therapy. You may need a lower dose or need to stop taking the medicine for a short period or for good. About 3 out of every 100 people who take metformin hydrochloride tablets have an unpleasant metallic taste when they start taking the medicine. It lasts for a short time. Metformin hydrochloride tablets rarely cause hypoglycemia (low blood sugar) by themselves. However, hypoglycemia can happen if you do not eat enough, if you drink alcohol, or if you take other medicines to lower blood sugar. How should I store metformin hydrochloride tablets? Store metformin hydrochloride tablets at 68°F to 77°F (20°C to 25°C). Keep metformin hydrochloride tablets and all medicines out of the reach of children. General information about the use of metformin hydrochloride tablets If you have questions or problems, talk with your doctor or other healthcare provider. You can ask your doctor or pharmacist for the information about metformin hydrochloride tablets that is written for healthcare professionals. Medicines are sometimes prescribed for purposes other than those listed in a patient information leaflet. Do not use metformin hydrochloride tablets for a condition for which it was not prescribed. Do not share your medicine with other people. What are the ingredients of metformin hydrochloride tablets? Active ingredients of metformin hydrochloride tablets: metformin hydrochloride. Inactive ingredients in each metformin hydrochloride tablet: povidone and magnesium stearate. In addition, the coating for the 500 mg, 850 mg and 1,000 mg tablets contains hypromellose and polyethylene glycol. What is type 2 diabetes? Type 2 diabetes is a condition in which your body does not make enough insulin, and the insulin that your body produces does not work as well as it should. Your body can also make too much sugar. When this happens, sugar (glucose) builds up in the blood. This can lead to serious medical problems. The main goal of treating diabetes is to lower your blood sugar to a normal level. High blood sugar can be lowered by diet and exercise, and by certain medicines when necessary. Talk to your healthcare provider about how to prevent, recognize, and take care of low blood sugar (hypoglycemia), high blood sugar (hyperglycemia), and problems you have because of your diabetes. Manufactured by: CSPC Ouyi Pharmaceutical Co., Ltd. Shijiazhuang, Hebei, China, 052160 Distributed by: Mullan Pharmaceutical Inc. 800 E Colorado Blvd., Suite 888 Pasadena, CA 91101, USA Rev. 1/2024


Medication Information

Warnings and Precautions

Lactic Acidosis: See boxed warning . ( 5.1 ) Vitamin B 12 Deficiency: Metformin may lower vitamin B 12 levels. Measure hematological parameters annually and vitamin B 12 at 2 to 3 year intervals and manage any abnormalities. ( 5.2 ) Hypoglycemia with Concomitant Use with Insulin and Insulin Secretagogues: Increased risk of hypoglycemia when used in combination with insulin and/or an insulin secretagogue. Lower dose of insulin or insulin secretagogue may be required ( 5.3 )

Indications and Usage

Metformin hydrochloride tablets are indicated as an adjunct to diet and exercise to improve glycemic control in adults and pediatric patients 10 years of age and older with type 2 diabetes mellitus.

Dosage and Administration

Adult Dosage for Metformin Hydrochloride Tablets: Starting dose: 500 mg orally twice a day or 850 mg once a day, with meals ( 2.1 ) Increase the dose in increments of 500 mg weekly or 850 mg every 2 weeks, up to a maximum dose of 2,550 mg per day, given in divided doses ( 2.1 ) Doses above 2,000 mg may be better tolerated given 3 times a day with meals ( 2.1 ) Pediatric Dosage for Metformin Hydrochloride Tablets: Starting dose: 500 mg orally twice a day, with meals ( 2.2 ) Increase dosage in increments of 500 mg weekly up to a maximum of 2,000 mg per day, given in divided doses twice daily ( 2.2 ) Renal Impairment: Prior to initiation, assess renal function with estimated glomerular filtration rate (eGFR) ( 2.3 ) Do not use in patients with eGFR below 30 mL/minute/1.73 m 2 ( 2.3 ) Initiation is not recommended in patients with eGFR between 30 mL/minute/1.73 m 2 and 45 mL/minute/ 1.73 m 2 ( 2.3 ) Assess risk/benefit of continuing if eGFR falls below 45 mL/minute/1.73 m 2 ( 2.3 ) Discontinue if eGFR falls below 30 mL/minute/1.73 m 2 ( 2.3 ) Discontinuation for Iodinated Contrast Imaging Procedures: Metformin hydrochloride tablets may need to be discontinued at time of, or prior to, iodinated contrast imaging procedures ( 2.4 )

Contraindications

Metformin hydrochloride tablets are contraindicated in patients with: Severe renal impairment (eGFR below 30 mL/min/1.73 m 2 ) [see Warnings and Precautions (5.1) ]. Hypersensitivity to metformin. Acute or chronic metabolic acidosis, including diabetic ketoacidosis, with or without coma.

Adverse Reactions

The following adverse reactions are also discussed elsewhere in the labeling: Lactic Acidosis [see Boxed Warning and Warnings and Precautions (5.1) ] Vitamin B 12 Deficiency [see Warnings and Precautions (5.2) ] Hypoglycemia [see Warnings and Precautions (5.3) ]

Drug Interactions

Table 2 presents clinically significant drug interactions with metformin hydrochloride tablets. Table 2: Clinically Significant Drug Interactions with Metformin Hydrochloride Tablets Carbonic Anhydrase Inhibitors Clinical Impact: Carbonic anhydrase inhibitors frequently cause a decrease in serum bicarbonate and induce non-anion gap, hyperchloremic metabolic acidosis. Concomitant use of these drugs with metformin hydrochloride tablets may increase the risk for lactic acidosis. Intervention: Consider more frequent monitoring of these patients. Examples: Topiramate, zonisamide, acetazolamide or dichlorphenamide. Drugs that Reduce Metformin Hydrochloride Tablets Clearance Clinical Impact: Concomitant use of drugs that interfere with common renal tubular transport systems involved in the renal elimination of metformin (e.g., organic cationic transporter-2 [OCT2] / multidrug and toxin extrusion [MATE] inhibitors) could increase systemic exposure to metformin and may increase the risk for lactic acidosis [see Clinical Pharmacology (12.3) ]. Intervention: Consider the benefits and risks of concomitant use with metformin hydrochloride tablets. Examples: Ranolazine, vandetanib, dolutegravir, and cimetidine. Alcohol Clinical Impact: Alcohol is known to potentiate the effect of metformin on lactate metabolism. Intervention: Warn patients against excessive alcohol intake while receiving metformin hydrochloride tablets. Insulin Secretagogues or Insulin Clinical Impact: Coadministration of metformin hydrochloride tablets with an insulin secretagogue (e.g., sulfonylurea) or insulin may increase the risk of hypoglycemia. Intervention: Patients receiving an insulin secretagogue or insulin may require lower doses of the insulin secretagogue or insulin. Drugs Affecting Glycemic Control Clinical Impact: Certain drugs tend to produce hyperglycemia and may lead to loss of glycemic control. Intervention: When such drugs are administered to a patient receiving metformin hydrochloride tablets, observe the patient closely for loss of blood glucose control. When such drugs are withdrawn from a patient receiving metformin hydrochloride tablets, observe the patient closely for hypoglycemia. Examples: Thiazides and other diuretics, corticosteroids, phenothiazines, thyroid products, estrogens, oral contraceptives, phenytoin, nicotinic acid, sympathomimetics, calcium channel blockers, and isoniazid.

How Supplied

Metformin hydrochloride tablets USP, 500 mg are round white tablets, debossed with "500" on one side. They are available as follows: Bottles of 100 NDC 83301-0008-1 Bottles of 500 NDC 83301-0008-2 Bottles of 1,000 NDC 83301-0008-3 Metformin hydrochloride tablets USP, 850 mg are round white tablets, debossed with "850" on one side. They are available as follows: Bottles of 100 NDC 83301-0009-1 Bottles of 500 NDC 83301-0009-2 Bottles of 1,000 NDC 83301-0009-3 Metformin hydrochloride tablets USP, 1,000 mg are oval white tablets, debossed with "10|00" on one side. They are available as follows: Bottles of 100 NDC 83301-0010-1 Bottles of 500 NDC 83301-0010-2 Bottles of 1,000 NDC 83301-0010-3

Patient Information

Read the Patient Information that comes with metformin hydrochloride tablets before you start taking it and each time you get a refill. There may be new information. This leaflet does not take the place of talking with your healthcare provider about your medical condition or treatment.

What is the most important information I should know about metformin hydrochloride tablets?

Serious side effects can happen in people taking metformin hydrochloride tablets, including:

Lactic Acidosis.Metformin hydrochloride, the medicine in metformin hydrochloride tablets, can cause a rare, but serious, side effect called lactic acidosis (a build-up of lactic acid in the blood) that can cause death. Lactic acidosis is a medical emergency and must be treated in a hospital.

Stop taking metformin hydrochloride tablets and call your healthcare provider right away if you get any of the following symptoms of lactic acidosis:

  • feel very weak and tired
  • have unusual (not normal) muscle pain
  • have trouble breathing
  • have unusual sleepiness or sleep longer than usual
  • have unexplained stomach or intestinal problems with nausea and vomiting, or diarrhea
  • feel cold, especially in your arms and legs
  • feel dizzy or lightheaded
  • have a slow or irregular heartbeat

You have a higher chance of getting lactic acidosis if you:

  • have kidney problems. People whose kidneys are not working properly should not take metformin hydrochloride tablets.
  • have liver problems.
  • have congestive heart failure that requires treatment with medicines.
  • drink a lot of alcohol (very often or short-term "binge" drinking).
  • get dehydrated (lose a large amount of body fluids). This can happen if you are sick with a fever, vomiting, or diarrhea. Dehydration can also happen when you sweat a lot with activity or exercise and do not drink enough fluids.
  • have certain x-ray tests with injectable dyes or contrast agents.
  • have surgery.
  • have a heart attack, severe infection, or stroke.
  • are 80 years of age or older and have not had your kidney function tested.

What are metformin hydrochloride tablets?

  • Metformin hydrochloride tablets are prescription medicines that contain metformin hydrochloride. Metformin hydrochloride tablets are used with diet and exercise to help control high blood sugar (hyperglycemia) in adults with type 2 diabetes.
  • Metformin hydrochloride tablets are not for people with type 1 diabetes.
  • Metformin hydrochloride tablets are not for people with diabetic ketoacidosis (increased ketones in your blood or urine).

This medicine helps control your blood sugar in a number of ways. These include helping your body respond better to the insulin it makes naturally, decreasing the amount of sugar your liver makes, and decreasing the amount of sugar your intestines absorb. Metformin hydrochloride tablets do not cause your body to make more insulin.

Who should not take metformin hydrochloride tablets?

Some conditions increase your chance of getting lactic acidosis, or cause other problems if you take either of these medicines. Most of the conditions listed below can increase your chance of getting lactic acidosis.

Do not take metformin hydrochloride tablets if you:

  • have kidney problems
  • are allergic to the metformin hydrochloride in metformin hydrochloride tablets or any of the ingredients in metformin hydrochloride tablets. See the end of this leaflet for a complete list of ingredients in metformin hydrochloride tablets.
  • are going to get an injection of dye or contrast agents for an x-ray procedure or if you are going to have surgery and not able to eat or drink much. In these situations, metformin hydrochloride tablets will need to be stopped for a short time. Talk to your healthcare provider about when you should stop metformin hydrochloride tablets and when you should start metformin hydrochloride tablets again. See " What is the most important information I should know about metformin hydrochloride tablets? "

What should I tell my healthcare provider before taking metformin hydrochloride tablets?

Before taking metformin hydrochloride tablets, tell your healthcare provider if you:

  • have type 1 diabetes. Metformin hydrochloride tablets should not be used to treat people with type 1 diabetes.
  • have a history or risk for diabetic ketoacidosis (high levels of certain acids, known as ketones, in the blood or urine). Metformin hydrochloride tablets should not be used for the treatment of diabetic ketoacidosis.
  • have kidney problems.
  • have liver problems.
  • have heart problems, including congestive heart failure.
  • are older than 80 years. If you are over 80 years old you should not take metformin hydrochloride tablets unless your kidneys have been checked and they are normal.
  • drink alcohol very often, or drink a lot of alcohol in short-term "binge" drinking.
  • are taking insulin.
  • have any other medical conditions.
  • are pregnant or plan to become pregnant. It is not known if metformin hydrochloride will harm your unborn baby. If you are pregnant, talk with your healthcare provider about the best way to control your blood sugar while you are pregnant.
  • are breast-feeding or plan to breast-feed. It is not known if metformin hydrochloride passes into your breast milk. Talk with your healthcare provider about the best way to feed your baby while you take metformin hydrochloride tablets.

Tell your healthcare provider about all the medicines you take,including prescription and nonprescription medicines, vitamins, and herbal supplements. Know the medicines you take. Keep a list of them to show your healthcare provider and pharmacist when you get a new medicine.

  • Metformin hydrochloride tablets may affect the way other medicines work, and other medicines may affect how metformin hydrochloride tablets work.

Can metformin hydrochloride tablets be used in children?

Metformin hydrochloride tablets have been shown to effectively lower glucose levels in children (ages 10 to 16 years) with type 2 diabetes. Metformin hydrochloride tablets have not been studied in children younger than 10 years old. Metformin hydrochloride tablets have not been studied in combination with other oral glucose-control medicines or insulin in children. If you have any questions about the use of metformin hydrochloride tablets in children, talk with your doctor or other healthcare provider.

How should I take metformin hydrochloride tablets?

  • Take metformin hydrochloride tablets exactly as your healthcare provider tells you.
  • Metformin hydrochloride tablets should be taken with meals to help lessen an upset stomach side effect.
  • Swallow metformin hydrochloride tablets whole.
  • You may sometimes pass a soft mass in your stools (bowel movement) that looks like metformin hydrochloride tablets.
  • When your body is under some types of stress, such as fever, trauma (such as a car accident), infection, or surgery, the amount of diabetes medicine that you need may change. Tell your healthcare provider right away if you have any of these problems.
  • Your healthcare provider should do blood tests to check how well your kidneys are working before and during your treatment with metformin hydrochloride tablets.
  • Your healthcare provider will check your diabetes with regular blood tests, including your blood sugar levels and your hemoglobin A 1C.
  • Follow your healthcare provider's instructions for treating blood sugar that is too low (hypoglycemia). Talk to your healthcare provider if low blood sugar is a problem for you. See " What are the possible side effects of metformin hydrochloride tablets? "
  • Check your blood sugar as your healthcare provider tells you to.
  • Stay on your prescribed diet and exercise program while taking metformin hydrochloride tablets.
  • If you miss a dose of metformin hydrochloride tablets, take your next dose as prescribed unless your healthcare provider tells you differently. Do not take an extra dose the next day.
  • If you take too many metformin hydrochloride tablets, call your healthcare provider, local Poison Control Center, or go to the nearest hospital emergency room right away.

What should I avoid while taking metformin hydrochloride tablets?

Do not drink a lot of alcoholic drinks while taking metformin hydrochloride tablets. This means you should not binge drink for short periods, and you should not drink a lot of alcohol on a regular basis. Alcohol can increase the chance of getting lactic acidosis.

What are the side effects of metformin hydrochloride tablets?

  • Lactic acidosis. Metformin, the active ingredient in metformin hydrochloride tablets, can cause a rare but serious condition called lactic acidosis (a buildup of an acid in the blood) that can cause death. Lactic acidosis is a medical emergency and must be treated in the hospital.

Call your doctor right away if you have any of the following symptoms, which could be signs of lactic acidosis:

  • you feel cold in your hands or feet
  • you feel dizzy or lightheaded
  • you have a slow or irregular heartbeat
  • you feel very weak or tired
  • you have trouble breathing
  • you feel sleepy or drowsy
  • you have stomach pains, nausea or vomiting

Most people who have had lactic acidosis with metformin have other things that, combined with the metformin, led to the lactic acidosis. Tell your doctor if you have any of the following, because you have a higher chance for getting lactic acidosis with metformin hydrochloride tablets if you:

  • have severe kidney problems, or your kidneys are affected by certain x-ray tests that use injectable dye
  • have liver problems
  • drink alcohol very often, or drink a lot of alcohol in short-term "binge" drinking
  • get dehydrated (lose a large amount of body fluids). This can happen if you are sick with a fever, vomiting, or diarrhea. Dehydration can also happen when you sweat a lot with activity or exercise and do not drink enough fluids
  • have surgery
  • have a heart attack, severe infection, or stroke

Common side effects of metformin hydrochloride tablets include diarrhea, nausea, and upset stomach. These side effects generally go away after you take the medicine for a while. Taking your medicine with meals can help reduce these side effects. Tell your doctor if the side effects bother you a lot, last for more than a few weeks, come back after they've gone away, or start later in therapy. You may need a lower dose or need to stop taking the medicine for a short period or for good.

About 3 out of every 100 people who take metformin hydrochloride tablets have an unpleasant metallic taste when they start taking the medicine. It lasts for a short time.

Metformin hydrochloride tablets rarely cause hypoglycemia (low blood sugar) by themselves. However, hypoglycemia can happen if you do not eat enough, if you drink alcohol, or if you take other medicines to lower blood sugar.

How should I store metformin hydrochloride tablets?

Store metformin hydrochloride tablets at 68°F to 77°F (20°C to 25°C).

Keep metformin hydrochloride tablets and all medicines out of the reach of children.

General information about the use of metformin hydrochloride tablets

If you have questions or problems, talk with your doctor or other healthcare provider. You can ask your doctor or pharmacist for the information about metformin hydrochloride tablets that is written for healthcare professionals. Medicines are sometimes prescribed for purposes other than those listed in a patient information leaflet. Do not use metformin hydrochloride tablets for a condition for which it was not prescribed. Do not share your medicine with other people.

What are the ingredients of metformin hydrochloride tablets?Active ingredients of metformin hydrochloride tablets: metformin hydrochloride.

Inactive ingredients in each metformin hydrochloride tablet: povidone and magnesium stearate.

In addition, the coating for the 500 mg, 850 mg and 1,000 mg tablets contains hypromellose and polyethylene glycol.

What is type 2 diabetes?

Type 2 diabetes is a condition in which your body does not make enough insulin, and the insulin that your body produces does not work as well as it should. Your body can also make too much sugar. When this happens, sugar (glucose) builds up in the blood. This can lead to serious medical problems.

The main goal of treating diabetes is to lower your blood sugar to a normal level.

High blood sugar can be lowered by diet and exercise, and by certain medicines when necessary.

Talk to your healthcare provider about how to prevent, recognize, and take care of low blood sugar (hypoglycemia), high blood sugar (hyperglycemia), and problems you have because of your diabetes.

Manufactured by:

CSPC Ouyi Pharmaceutical Co., Ltd.

Shijiazhuang, Hebei, China, 052160

Distributed by:

Mullan Pharmaceutical Inc.

800 E Colorado Blvd., Suite 888 Pasadena, CA 91101, USA

Rev. 1/2024

Description

Postmarketing cases of metformin-associated lactic acidosis have resulted in death, hypothermia, hypotension, and resistant bradyarrhythmias. The onset of metformin-associated lactic acidosis is often subtle, accompanied only by nonspecific symptoms such as malaise, myalgias, respiratory distress, somnolence, and abdominal pain. Metformin-associated lactic acidosis was characterized by elevated blood lactate levels (> 5 mmol/Liter), anion gap acidosis (without evidence of ketonuria or ketonemia), an increased lactate/pyruvate ratio; and metformin plasma levels generally > 5 mcg/mL [see Warnings and Precautions (5.1) ] . Risk factors for metformin-associated lactic acidosis include renal impairment, concomitant use of certain drugs (e.g. carbonic anhydrase inhibitors such as topiramate), age 65 years old or greater, having a radiological study with contrast, surgery and other procedures, hypoxic states (e.g., acute congestive heart failure), excessive alcohol intake, and hepatic impairment. Steps to reduce the risk of and manage metformin-associated lactic acidosis in these high risk groups are provided [see Dosage and Administration (2.3) , Contraindications (4) , Warnings and Precautions (5.1) ] . If metformin-associated lactic acidosis is suspected, immediately discontinue metformin hydrochloride tablets and institute general supportive measures in a hospital setting. Prompt hemodialysis is recommended [see Warnings and Precautions (5.1) ] .

Section 42229-5

Metformin Hydrochloride Tablets

  • The recommended starting dose of metformin hydrochloride tablets is 500 mg orally twice a day or 850 mg once a day, given with meals.
  • Increase the dose in increments of 500 mg weekly or 850 mg every 2 weeks on the basis of glycemic control and tolerability, up to a maximum dose of 2,550 mg per day, given in divided doses.
  • Doses above 2,000 mg may be better tolerated given 3 times a day with meals.
16.2 Storage

Store at 20° to 25°C (68° to 77°F); excursions permitted from 15° to 30°C (59° to 86°F). [See USP Controlled Room Temperature.]

Dispense in light-resistant containers.

10 Overdosage

Overdose of metformin hydrochloride has occurred, including ingestion of amounts greater than 50 grams. Hypoglycemia was reported in approximately 10% of cases, but no causal association with metformin has been established. Lactic acidosis has been reported in approximately 32% of metformin overdose cases [see Warnings and Precautions (5.1)] . Metformin is dialyzable with a clearance of up to 170 mL/min under good hemodynamic conditions. Therefore, hemodialysis may be useful for removal of accumulated drug from patients in whom metformin overdosage is suspected.

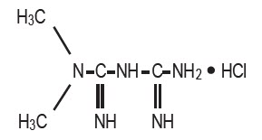
11 Description

Metformin hydrochloride tablets, USP contain the antihyperglycemic agent metformin, which is a biguanide, in the form of monohydrochloride. The chemical name of metformin hydrochloride is N,N-dimethylimidodicarbonimidic diamide hydrochloride. The structural formula is as shown below:

Metformin hydrochloride is a white to off-white crystalline compound with a molecular formula of C 4H 11N 5∙ HCl and a molecular weight of 165.63. It is freely soluble in water and is practically insoluble in acetone, ether, and chloroform. The pKa of metformin is 12.4. The pH of a 1% aqueous solution of metformin hydrochloride is 6.68.

Metformin hydrochloride tablets, USP contain 500 mg, 850 mg or 1,000 mg of metformin hydrochloride, which is equivalent to 389.93 mg, 662.88 mg, 779.86 mg metformin base, respectively. Each tablet contains the inactive ingredients povidone and magnesium stearate. In addition, the coating for the 500 mg, 850 mg and 1,000 mg tablets contains hypromellose and polyethylene glycol.

5.2 Vitamin B 12

In metformin hydrochloride tablets clinical trials of 29-week duration, a decrease to subnormal levels of previously normal serum vitamin B 12levels was observed in approximately 7% of patients. Such decrease, possibly due to interference with B 12absorption from the B 12-intrinsic factor complex, may be associated with anemia but appears to be rapidly reversible with discontinuation of metformin hydrochloride tablets or vitamin B 12supplementation.

Certain individuals (those with inadequate vitamin B 12or calcium intake or absorption) appear to be predisposed to developing subnormal vitamin B 12levels. Measure hematologic parameters on an annual basis and vitamin B 12at 2 to 3 year intervals in patients on metformin hydrochloride tablets and manage any abnormalities [see Adverse Reactions (6.1)] .

16.1 How Supplied

Metformin hydrochloride tablets USP, 500 mgare round white tablets, debossed with "500" on one side.

They are available as follows:

Bottles of 100 NDC 83301-0008-1
Bottles of 500 NDC 83301-0008-2
Bottles of 1,000 NDC 83301-0008-3

Metformin hydrochloride tablets USP, 850 mgare round white tablets, debossed with "850" on one side.

They are available as follows:

Bottles of 100 NDC 83301-0009-1
Bottles of 500 NDC 83301-0009-2
Bottles of 1,000 NDC 83301-0009-3

Metformin hydrochloride tablets USP, 1,000 mgare oval white tablets, debossed with "10|00" on one side.

They are available as follows:

Bottles of 100 NDC 83301-0010-1
Bottles of 500 NDC 83301-0010-2
Bottles of 1,000 NDC 83301-0010-3
8.5 Geriatric Use

Controlled clinical studies of metformin hydrochloride tablets did not include sufficient numbers of elderly patients to determine whether they respond differently from younger patients. In general, dose selection for an elderly patient should be cautious, usually starting at the low end of the dosing range, reflecting the greater frequency of decreased hepatic, renal, or cardiac function, and of concomitant disease or other drug therapy and the higher risk of lactic acidosis. Assess renal function more frequently in elderly patients [see Warnings and Precautions (5.1)] .

4 Contraindications

Metformin hydrochloride tablets are contraindicated in patients with:

  • Severe renal impairment (eGFR below 30 mL/min/1.73 m 2) [see Warnings and Precautions (5.1)].
  • Hypersensitivity to metformin.
  • Acute or chronic metabolic acidosis, including diabetic ketoacidosis, with or without coma.
5.1 Lactic Acidosis

There have been postmarketing cases of metformin-associated lactic acidosis, including fatal cases. These cases had a subtle onset and were accompanied by nonspecific symptoms such as malaise, myalgias, abdominal pain, respiratory distress, or increased somnolence; however, hypotension and resistant bradyarrhythmias have occurred with severe acidosis.

Metformin-associated lactic acidosis was characterized by elevated blood lactate concentrations (> 5 mmol/L), anion gap acidosis (without evidence of ketonuria or ketonemia), and an increased lactate: pyruvate ratio; metformin plasma levels were generally > 5 mcg/mL. Metformin decreases liver uptake of lactate increasing lactate blood levels which may increase the risk of lactic acidosis, especially in patients at risk.

If metformin-associated lactic acidosis is suspected, general supportive measures should be instituted promptly in a hospital setting, along with immediate discontinuation of metformin hydrochloride tablets. In metformin hydrochloride tablets treated patients with a diagnosis or strong suspicion of lactic acidosis, prompt hemodialysis is recommended to correct the acidosis and remove accumulated metformin (metformin hydrochloride is dialyzable with a clearance of up to170 mL/min under good hemodynamic conditions). Hemodialysis has often resulted in reversal of symptoms and recovery.

Educate patients and their families about the symptoms of lactic acidosis and, if these symptoms occur, instruct them to discontinue metformin hydrochloride tablets and report these symptoms to their healthcare provider.

For each of the known and possible risk factors for metformin-associated lactic acidosis, recommendations to reduce the risk of and manage metformin-associated lactic acidosis are provided below:

  • Renal impairment— The postmarketing metformin-associated lactic acidosis cases primarily occurred in patients with significant renal impairment.

    The risk of metformin accumulation and metformin-associated lactic acidosis increases with the severity of renal impairment because metformin is substantially excreted by the kidney. Clinical recommendations based upon the patient's renal function include [see Dosage and Administration (2.1), Clinical Pharmacology (12.3)] :
    • Before initiating metformin hydrochloride tablets, obtain an estimated glomerular filtration rate (eGFR).
    • Metformin hydrochloride tablets are contraindicated in patients with an eGFR less than 30 mL/min/1.73 m 2 [see Contraindications (4)] .
    • Initiation of metformin hydrochloride tablets is not recommended in patients with eGFR between 30 mL/min/1.73 m 2and 45 mL/min/1.73 m 2.
    • Obtain an eGFR at least annually in all patients taking metformin hydrochloride tablets. In patients at risk for the development of renal impairment (e.g., the elderly), renal function should be assessed more frequently.
    • In patients taking metformin hydrochloride tablets whose eGFR falls below 45 mL/min/1.73 m 2, assess the benefit and risk of continuing therapy.
  • Drug interactions— The concomitant use of metformin hydrochloride tablets with specific drugs may increase the risk of metformin-associated lactic acidosis: those that impair renal function, result in significant hemodynamic change, interfere with acid-base balance, or increase metformin accumulation. Consider more frequent monitoring of patients.
  • Age 65 or greater— The risk of metformin-associated lactic acidosis increases with the patient's age because elderly patients have a greater likelihood of having hepatic, renal, or cardiac impairment than younger patients. Assess renal function more frequently in elderly patients.
  • Radiologic studies with contrast— Administration of intravascular iodinated contrast agents in metformin-treated patients has led to an acute decrease in renal function and the occurrence of lactic acidosis. Stop metformin hydrochloride tablets at the time of, or prior to, an iodinated contrast imaging procedure in patients with an eGFR between 30 mL/min/1.73 m 2and 60 mL/min/1.73 m 2; in patients with a history of hepatic impairment, alcoholism or heart failure; or in patients who will be administered intra-arterial iodinated contrast. Re-evaluate eGFR 48 hours after the imaging procedure, and restart metformin hydrochloride tablets if renal function is stable.
  • Surgery and other procedures— Withholding of food and fluids during surgical or other procedures may increase the risk for volume depletion, hypotension, and renal impairment. Metformin hydrochloride tablets should be temporarily discontinued while patients have restricted food and fluid intake.
  • Hypoxic states— Several of the postmarketing cases of metformin-associated lactic acidosis occurred in the setting of acute congestive heart failure (particularly when accompanied by hypoperfusion and hypoxemia). Cardiovascular collapse (shock), acute myocardial infarction, sepsis, and other conditions associated with hypoxemia have been associated with lactic acidosis and may cause prerenal azotemia. When such an event occurs, discontinue metformin hydrochloride tablets.
  • Excessive alcohol intake— Alcohol potentiates the effect of metformin on lactate metabolism. Patients should be warned against excessive alcohol intake while receiving metformin hydrochloride tablets.
  • Hepatic impairment— Patients with hepatic impairment have developed cases of metformin-associated lactic acidosis. This may be due to impaired lactate clearance resulting in higher lactate blood levels. Therefore, avoid use of metformin hydrochloride tablets in patients with clinical or laboratory evidence of hepatic disease.
6 Adverse Reactions

The following adverse reactions are also discussed elsewhere in the labeling:

7 Drug Interactions

Table 2 presents clinically significant drug interactions with metformin hydrochloride tablets.

Table 2: Clinically Significant Drug Interactions with Metformin Hydrochloride Tablets
Carbonic Anhydrase Inhibitors
Clinical Impact: Carbonic anhydrase inhibitors frequently cause a decrease in serum bicarbonate and induce non-anion gap, hyperchloremic metabolic acidosis. Concomitant use of these drugs with metformin hydrochloride tablets may increase the risk for lactic acidosis.
Intervention: Consider more frequent monitoring of these patients.
Examples: Topiramate, zonisamide, acetazolamide or dichlorphenamide.
Drugs that Reduce Metformin Hydrochloride Tablets Clearance
Clinical Impact: Concomitant use of drugs that interfere with common renal tubular transport systems involved in the renal elimination of metformin (e.g., organic cationic transporter-2 [OCT2] / multidrug and toxin extrusion [MATE] inhibitors) could increase systemic exposure to metformin and may increase the risk for lactic acidosis [see Clinical Pharmacology (12.3)].
Intervention: Consider the benefits and risks of concomitant use with metformin hydrochloride tablets.
Examples: Ranolazine, vandetanib, dolutegravir, and cimetidine.
Alcohol
Clinical Impact: Alcohol is known to potentiate the effect of metformin on lactate metabolism.
Intervention: Warn patients against excessive alcohol intake while receiving metformin hydrochloride tablets.
Insulin Secretagogues or Insulin
Clinical Impact: Coadministration of metformin hydrochloride tablets with an insulin secretagogue (e.g., sulfonylurea) or insulin may increase the risk of hypoglycemia.
Intervention: Patients receiving an insulin secretagogue or insulin may require lower doses of the insulin secretagogue or insulin.
Drugs Affecting Glycemic Control
Clinical Impact: Certain drugs tend to produce hyperglycemia and may lead to loss of glycemic control.
Intervention: When such drugs are administered to a patient receiving metformin hydrochloride tablets, observe the patient closely for loss of blood glucose control. When such drugs are withdrawn from a patient receiving metformin hydrochloride tablets, observe the patient closely for hypoglycemia.
Examples: Thiazides and other diuretics, corticosteroids, phenothiazines, thyroid products, estrogens, oral contraceptives, phenytoin, nicotinic acid, sympathomimetics, calcium channel blockers, and isoniazid.
8.6 Renal Impairment

Metformin is substantially excreted by the kidney, and the risk of metformin accumulation and lactic acidosis increases with the degree of renal impairment. Metformin hydrochloride tablets are contraindicated in severe renal impairment, patients with an estimated glomerular filtration rate (eGFR) below 30 mL/min/1.73 m 2 [see Dosage and Administration (2.3), Contraindications (4), Warnings and Precautions (5.1), and Clinical Pharmacology (12.3)] .

8.7 Hepatic Impairment

Use of metformin in patients with hepatic impairment has been associated with some cases of lactic acidosis. Metformin hydrochloride tablets are not recommended in patients with hepatic impairment. [see Warnings and Precautions (5.1)] .

1 Indications and Usage

Metformin hydrochloride tablets are indicated as an adjunct to diet and exercise to improve glycemic control in adults and pediatric patients 10 years of age and older with type 2 diabetes mellitus.

12.1 Mechanism of Action

Metformin is an antihyperglycemic agent which improves glucose tolerance in patients with type 2 diabetes mellitus, lowering both basal and postprandial plasma glucose. Metformin decreases hepatic glucose production, decreases intestinal absorption of glucose, and improves insulin sensitivity by increasing peripheral glucose uptake and utilization. With metformin therapy, insulin secretion remains unchanged while fasting insulin levels and day-long plasma insulin response may decrease.

Warning: Lactic Acidosis

Postmarketing cases of metformin-associated lactic acidosis have resulted in death, hypothermia, hypotension, and resistant bradyarrhythmias. The onset of metformin-associated lactic acidosis is often subtle, accompanied only by nonspecific symptoms such as malaise, myalgias, respiratory distress, somnolence, and abdominal pain. Metformin-associated lactic acidosis was characterized by elevated blood lactate levels (> 5 mmol/Liter), anion gap acidosis (without evidence of ketonuria or ketonemia), an increased lactate/pyruvate ratio; and metformin plasma levels generally > 5 mcg/mL [see Warnings and Precautions (5.1)] .

Risk factors for metformin-associated lactic acidosis include renal impairment, concomitant use of certain drugs (e.g. carbonic anhydrase inhibitors such as topiramate), age 65 years old or greater, having a radiological study with contrast, surgery and other procedures, hypoxic states (e.g., acute congestive heart failure), excessive alcohol intake, and hepatic impairment.

Steps to reduce the risk of and manage metformin-associated lactic acidosis in these high risk groups are provided [see Dosage and Administration (2.3), Contraindications (4), Warnings and Precautions (5.1)] .

If metformin-associated lactic acidosis is suspected, immediately discontinue metformin hydrochloride tablets and institute general supportive measures in a hospital setting. Prompt hemodialysis is recommended [see Warnings and Precautions (5.1)] .

5 Warnings and Precautions
  • Lactic Acidosis:See boxed warning .( 5.1)
  • Vitamin B 12Deficiency: Metformin may lower vitamin B 12levels. Measure hematological parameters annually and vitamin B 12at 2 to 3 year intervals and manage any abnormalities. ( 5.2)
  • Hypoglycemia with Concomitant Use with Insulin and Insulin Secretagogues:Increased risk of hypoglycemia when used in combination with insulin and/or an insulin secretagogue. Lower dose of insulin or insulin secretagogue may be required ( 5.3)
5.4 Macrovascular Outcomes

There have been no clinical studies establishing conclusive evidence of macrovascular risk reduction with metformin hydrochloride tablets.

2 Dosage and Administration

Adult Dosage for Metformin Hydrochloride Tablets:

  • Starting dose: 500 mg orally twice a day or 850 mg once a day, with meals ( 2.1)
  • Increase the dose in increments of 500 mg weekly or 850 mg every 2 weeks, up to a maximum dose of 2,550 mg per day, given in divided doses ( 2.1)
  • Doses above 2,000 mg may be better tolerated given 3 times a day with meals ( 2.1)

Pediatric Dosage for Metformin Hydrochloride Tablets:

  • Starting dose: 500 mg orally twice a day, with meals ( 2.2)
  • Increase dosage in increments of 500 mg weekly up to a maximum of 2,000 mg per day, given in divided doses twice daily ( 2.2)

Renal Impairment:

  • Prior to initiation, assess renal function with estimated glomerular filtration rate (eGFR) ( 2.3)
    • Do not use in patients with eGFR below 30 mL/minute/1.73 m 2( 2.3)
    • Initiation is not recommended in patients with eGFR between 30 mL/minute/1.73 m 2and 45 mL/minute/ 1.73 m 2( 2.3)
    • Assess risk/benefit of continuing if eGFR falls below 45 mL/minute/1.73 m 2( 2.3)
    • Discontinue if eGFR falls below 30 mL/minute/1.73 m 2( 2.3)

Discontinuation for Iodinated Contrast Imaging Procedures:

  • Metformin hydrochloride tablets may need to be discontinued at time of, or prior to, iodinated contrast imaging procedures ( 2.4)
3 Dosage Forms and Strengths

Metformin hydrochloride tablets, USP are available as:

  • Metformin hydrochloride tablets USP, 500 mg are round white tablets, debossed with "500" on one side.
  • Metformin hydrochloride tablets USP, 850 mg are round white tablets, debossed with "850" on one side.
  • Metformin hydrochloride tablets USP, 1,000 mg are oval white tablets, debossed with "10|00" on one side.
6.2 Postmarketing Experience

The following adverse reactions have been identified during post approval use of metformin. Because these reactions are reported voluntarily from a population of uncertain size, it is not always possible to reliably estimate their frequency or establish a causal relationship to drug exposure.

Cholestatic, hepatocellular, and mixed hepatocellular liver injury have been reported with postmarketing use of metformin.

8 Use in Specific Populations
  • Females and Males of Reproductive Potential: Advise premenopausal females of the potential for an unintended pregnancy. ( 8.3)
  • Geriatric Use: Assess renal function more frequently. ( 8.5)
  • Hepatic Impairment: Avoid use in patients with hepatic impairment. ( 8.7)
6.1 Clinical Studies Experience

Because clinical trials are conducted under widely varying conditions, adverse reaction rates observed in the clinical trials of a drug cannot be directly compared to rates in the clinical trials of another drug and may not reflect the rates observed in practice.

17 Patient Counseling Information

Advise the patient to read the FDA-approved patient labeling (Patient Information).

2.3 Recommendations for Use in Renal Impairment
  • Assess renal function prior to initiation of metformin hydrochloride tablets and periodically thereafter.
  • Metformin hydrochloride tablets are contraindicated in patients with an estimated glomerular filtration rate (eGFR) below 30 mL/minute/1.73 m 2.
  • Initiation of metformin hydrochloride tablets in patients with an eGFR between 30 mL/minute/1.73 m 2and 45 mL/minute/1.73 m 2is not recommended.
  • In patients taking metformin hydrochloride tablets whose eGFR later falls below 45 mL/min/1.73 m 2, assess the benefit risk of continuing therapy.
  • Discontinue metformin hydrochloride tablets if the patient's eGFR later falls below 30 mL/minute/1.73 m 2 [see Warnings and Precautions (5.1)] .
8.3 Females and Males of Reproductive Potential

Discuss the potential for unintended pregnancy with premenopausal women as therapy with metformin hydrochloride tablets may result in ovulation in some anovulatory women.

Principal Display Panel 500 Mg Tablet Bottle Label

NDC 83301-0008-1

Metformin Hydrochloride

Tablets, USP

500 mg

MULLAN

Rx only

100 Tablets

MULLAN

More choices for all

Principal Display Panel 850 Mg Tablet Bottle Label

NDC 83301-0009-1

Metformin Hydrochloride

Tablets, USP

850 mg

MULLAN

Rx only

100 Tablets

MULLAN

More choices for all

Principal Display Panel 1,000 Mg Tablet Bottle Label

NDC 83301-0010-1

Metformin Hydrochloride

Tablets, USP

1,000 mg

MULLAN

Rx only

100 Tablets

MULLAN

More choices for all

2.2 Pediatric Dosage for Metformin Hydrochloride Tablets
  • The recommended starting dose of metformin hydrochloride tablets for pediatric patients 10 years of age and older is 500 mg orally twice a day, given with meals.
  • Increase dosage in increments of 500 mg weekly on the basis of glycemic control and tolerability, up to a maximum of 2,000 mg per day, given in divided doses twice daily.
13.1 Carcinogenesis, Mutagenesis, Impairment of Fertility

Long-term carcinogenicity studies have been performed in rats (dosing duration of 104 weeks) and mice (dosing duration of 91 weeks) at doses up to and including 900 mg/kg/day and 1,500 mg/kg/day, respectively. These doses are both approximately 3 times the maximum recommended human daily dose of 2,550 mg based on body surface area comparisons. No evidence of carcinogenicity with metformin was found in either male or female mice. Similarly, there was no tumorigenic potential observed with metformin in male rats. There was, however, an increased incidence of benign stromal uterine polyps in female rats treated with 900 mg/kg/day.

There was no evidence of a mutagenic potential of metformin in the following in vitrotests: Ames test ( S. typhimurium), gene mutation test (mouse lymphoma cells), or chromosomal aberrations test (human lymphocytes). Results in the in vivomouse micronucleus test were also negative.

Fertility of male or female rats was unaffected by metformin when administered at doses as high as 600 mg/kg/ day, which is approximately 2 times the maximum recommended human daily dose of 2,550 mg based on body surface area comparisons.

2.4 Discontinuation for Iodinated Contrast Imaging Procedures

Discontinue metformin hydrochloride tablets at the time of, or prior to, an iodinated contrast imaging procedure in patients with an eGFR between 30 mL/min/1.73 m 2and 60 mL/min/1.73 m 2; in patients with a history of liver disease, alcoholism, or heart failure; or in patients who will be administered intra-arterial iodinated contrast. Re-evaluate eGFR 48 hours after the imaging procedure; restart metformin hydrochloride tablets if renal function is stable.

5.3 Hypoglycemia With Concomitant Use With Insulin and Insulin Secretagogues

Insulin and insulin secretagogues (e.g., sulfonylurea) are known to cause hypoglycemia. Metformin hydrochloride tablets may increase the risk of hypoglycemia when combined with insulin and/or an insulin secretagogue.

Therefore, a lower dose of insulin or insulin secretagogue may be required to minimize the risk of hypoglycemia when used in combination with metformin hydrochloride tablets [see Drug Interactions (7)].


Structured Label Content

Section 42229-5 (42229-5)

Metformin Hydrochloride Tablets

  • The recommended starting dose of metformin hydrochloride tablets is 500 mg orally twice a day or 850 mg once a day, given with meals.
  • Increase the dose in increments of 500 mg weekly or 850 mg every 2 weeks on the basis of glycemic control and tolerability, up to a maximum dose of 2,550 mg per day, given in divided doses.
  • Doses above 2,000 mg may be better tolerated given 3 times a day with meals.
16.2 Storage

Store at 20° to 25°C (68° to 77°F); excursions permitted from 15° to 30°C (59° to 86°F). [See USP Controlled Room Temperature.]

Dispense in light-resistant containers.

10 Overdosage (10 OVERDOSAGE)

Overdose of metformin hydrochloride has occurred, including ingestion of amounts greater than 50 grams. Hypoglycemia was reported in approximately 10% of cases, but no causal association with metformin has been established. Lactic acidosis has been reported in approximately 32% of metformin overdose cases [see Warnings and Precautions (5.1)] . Metformin is dialyzable with a clearance of up to 170 mL/min under good hemodynamic conditions. Therefore, hemodialysis may be useful for removal of accumulated drug from patients in whom metformin overdosage is suspected.

11 Description (11 DESCRIPTION)

Metformin hydrochloride tablets, USP contain the antihyperglycemic agent metformin, which is a biguanide, in the form of monohydrochloride. The chemical name of metformin hydrochloride is N,N-dimethylimidodicarbonimidic diamide hydrochloride. The structural formula is as shown below:

Metformin hydrochloride is a white to off-white crystalline compound with a molecular formula of C 4H 11N 5∙ HCl and a molecular weight of 165.63. It is freely soluble in water and is practically insoluble in acetone, ether, and chloroform. The pKa of metformin is 12.4. The pH of a 1% aqueous solution of metformin hydrochloride is 6.68.

Metformin hydrochloride tablets, USP contain 500 mg, 850 mg or 1,000 mg of metformin hydrochloride, which is equivalent to 389.93 mg, 662.88 mg, 779.86 mg metformin base, respectively. Each tablet contains the inactive ingredients povidone and magnesium stearate. In addition, the coating for the 500 mg, 850 mg and 1,000 mg tablets contains hypromellose and polyethylene glycol.

5.2 Vitamin B 12

In metformin hydrochloride tablets clinical trials of 29-week duration, a decrease to subnormal levels of previously normal serum vitamin B 12levels was observed in approximately 7% of patients. Such decrease, possibly due to interference with B 12absorption from the B 12-intrinsic factor complex, may be associated with anemia but appears to be rapidly reversible with discontinuation of metformin hydrochloride tablets or vitamin B 12supplementation.

Certain individuals (those with inadequate vitamin B 12or calcium intake or absorption) appear to be predisposed to developing subnormal vitamin B 12levels. Measure hematologic parameters on an annual basis and vitamin B 12at 2 to 3 year intervals in patients on metformin hydrochloride tablets and manage any abnormalities [see Adverse Reactions (6.1)] .

16.1 How Supplied

Metformin hydrochloride tablets USP, 500 mgare round white tablets, debossed with "500" on one side.

They are available as follows:

Bottles of 100 NDC 83301-0008-1
Bottles of 500 NDC 83301-0008-2
Bottles of 1,000 NDC 83301-0008-3

Metformin hydrochloride tablets USP, 850 mgare round white tablets, debossed with "850" on one side.

They are available as follows:

Bottles of 100 NDC 83301-0009-1
Bottles of 500 NDC 83301-0009-2
Bottles of 1,000 NDC 83301-0009-3

Metformin hydrochloride tablets USP, 1,000 mgare oval white tablets, debossed with "10|00" on one side.

They are available as follows:

Bottles of 100 NDC 83301-0010-1
Bottles of 500 NDC 83301-0010-2
Bottles of 1,000 NDC 83301-0010-3
8.5 Geriatric Use

Controlled clinical studies of metformin hydrochloride tablets did not include sufficient numbers of elderly patients to determine whether they respond differently from younger patients. In general, dose selection for an elderly patient should be cautious, usually starting at the low end of the dosing range, reflecting the greater frequency of decreased hepatic, renal, or cardiac function, and of concomitant disease or other drug therapy and the higher risk of lactic acidosis. Assess renal function more frequently in elderly patients [see Warnings and Precautions (5.1)] .

4 Contraindications (4 CONTRAINDICATIONS)

Metformin hydrochloride tablets are contraindicated in patients with:

  • Severe renal impairment (eGFR below 30 mL/min/1.73 m 2) [see Warnings and Precautions (5.1)].
  • Hypersensitivity to metformin.
  • Acute or chronic metabolic acidosis, including diabetic ketoacidosis, with or without coma.
5.1 Lactic Acidosis

There have been postmarketing cases of metformin-associated lactic acidosis, including fatal cases. These cases had a subtle onset and were accompanied by nonspecific symptoms such as malaise, myalgias, abdominal pain, respiratory distress, or increased somnolence; however, hypotension and resistant bradyarrhythmias have occurred with severe acidosis.

Metformin-associated lactic acidosis was characterized by elevated blood lactate concentrations (> 5 mmol/L), anion gap acidosis (without evidence of ketonuria or ketonemia), and an increased lactate: pyruvate ratio; metformin plasma levels were generally > 5 mcg/mL. Metformin decreases liver uptake of lactate increasing lactate blood levels which may increase the risk of lactic acidosis, especially in patients at risk.

If metformin-associated lactic acidosis is suspected, general supportive measures should be instituted promptly in a hospital setting, along with immediate discontinuation of metformin hydrochloride tablets. In metformin hydrochloride tablets treated patients with a diagnosis or strong suspicion of lactic acidosis, prompt hemodialysis is recommended to correct the acidosis and remove accumulated metformin (metformin hydrochloride is dialyzable with a clearance of up to170 mL/min under good hemodynamic conditions). Hemodialysis has often resulted in reversal of symptoms and recovery.

Educate patients and their families about the symptoms of lactic acidosis and, if these symptoms occur, instruct them to discontinue metformin hydrochloride tablets and report these symptoms to their healthcare provider.

For each of the known and possible risk factors for metformin-associated lactic acidosis, recommendations to reduce the risk of and manage metformin-associated lactic acidosis are provided below:

  • Renal impairment— The postmarketing metformin-associated lactic acidosis cases primarily occurred in patients with significant renal impairment.

    The risk of metformin accumulation and metformin-associated lactic acidosis increases with the severity of renal impairment because metformin is substantially excreted by the kidney. Clinical recommendations based upon the patient's renal function include [see Dosage and Administration (2.1), Clinical Pharmacology (12.3)] :
    • Before initiating metformin hydrochloride tablets, obtain an estimated glomerular filtration rate (eGFR).
    • Metformin hydrochloride tablets are contraindicated in patients with an eGFR less than 30 mL/min/1.73 m 2 [see Contraindications (4)] .
    • Initiation of metformin hydrochloride tablets is not recommended in patients with eGFR between 30 mL/min/1.73 m 2and 45 mL/min/1.73 m 2.
    • Obtain an eGFR at least annually in all patients taking metformin hydrochloride tablets. In patients at risk for the development of renal impairment (e.g., the elderly), renal function should be assessed more frequently.
    • In patients taking metformin hydrochloride tablets whose eGFR falls below 45 mL/min/1.73 m 2, assess the benefit and risk of continuing therapy.
  • Drug interactions— The concomitant use of metformin hydrochloride tablets with specific drugs may increase the risk of metformin-associated lactic acidosis: those that impair renal function, result in significant hemodynamic change, interfere with acid-base balance, or increase metformin accumulation. Consider more frequent monitoring of patients.
  • Age 65 or greater— The risk of metformin-associated lactic acidosis increases with the patient's age because elderly patients have a greater likelihood of having hepatic, renal, or cardiac impairment than younger patients. Assess renal function more frequently in elderly patients.
  • Radiologic studies with contrast— Administration of intravascular iodinated contrast agents in metformin-treated patients has led to an acute decrease in renal function and the occurrence of lactic acidosis. Stop metformin hydrochloride tablets at the time of, or prior to, an iodinated contrast imaging procedure in patients with an eGFR between 30 mL/min/1.73 m 2and 60 mL/min/1.73 m 2; in patients with a history of hepatic impairment, alcoholism or heart failure; or in patients who will be administered intra-arterial iodinated contrast. Re-evaluate eGFR 48 hours after the imaging procedure, and restart metformin hydrochloride tablets if renal function is stable.
  • Surgery and other procedures— Withholding of food and fluids during surgical or other procedures may increase the risk for volume depletion, hypotension, and renal impairment. Metformin hydrochloride tablets should be temporarily discontinued while patients have restricted food and fluid intake.
  • Hypoxic states— Several of the postmarketing cases of metformin-associated lactic acidosis occurred in the setting of acute congestive heart failure (particularly when accompanied by hypoperfusion and hypoxemia). Cardiovascular collapse (shock), acute myocardial infarction, sepsis, and other conditions associated with hypoxemia have been associated with lactic acidosis and may cause prerenal azotemia. When such an event occurs, discontinue metformin hydrochloride tablets.
  • Excessive alcohol intake— Alcohol potentiates the effect of metformin on lactate metabolism. Patients should be warned against excessive alcohol intake while receiving metformin hydrochloride tablets.
  • Hepatic impairment— Patients with hepatic impairment have developed cases of metformin-associated lactic acidosis. This may be due to impaired lactate clearance resulting in higher lactate blood levels. Therefore, avoid use of metformin hydrochloride tablets in patients with clinical or laboratory evidence of hepatic disease.
6 Adverse Reactions (6 ADVERSE REACTIONS)

The following adverse reactions are also discussed elsewhere in the labeling:

7 Drug Interactions (7 DRUG INTERACTIONS)

Table 2 presents clinically significant drug interactions with metformin hydrochloride tablets.

Table 2: Clinically Significant Drug Interactions with Metformin Hydrochloride Tablets
Carbonic Anhydrase Inhibitors
Clinical Impact: Carbonic anhydrase inhibitors frequently cause a decrease in serum bicarbonate and induce non-anion gap, hyperchloremic metabolic acidosis. Concomitant use of these drugs with metformin hydrochloride tablets may increase the risk for lactic acidosis.
Intervention: Consider more frequent monitoring of these patients.
Examples: Topiramate, zonisamide, acetazolamide or dichlorphenamide.
Drugs that Reduce Metformin Hydrochloride Tablets Clearance
Clinical Impact: Concomitant use of drugs that interfere with common renal tubular transport systems involved in the renal elimination of metformin (e.g., organic cationic transporter-2 [OCT2] / multidrug and toxin extrusion [MATE] inhibitors) could increase systemic exposure to metformin and may increase the risk for lactic acidosis [see Clinical Pharmacology (12.3)].
Intervention: Consider the benefits and risks of concomitant use with metformin hydrochloride tablets.
Examples: Ranolazine, vandetanib, dolutegravir, and cimetidine.
Alcohol
Clinical Impact: Alcohol is known to potentiate the effect of metformin on lactate metabolism.
Intervention: Warn patients against excessive alcohol intake while receiving metformin hydrochloride tablets.
Insulin Secretagogues or Insulin
Clinical Impact: Coadministration of metformin hydrochloride tablets with an insulin secretagogue (e.g., sulfonylurea) or insulin may increase the risk of hypoglycemia.
Intervention: Patients receiving an insulin secretagogue or insulin may require lower doses of the insulin secretagogue or insulin.
Drugs Affecting Glycemic Control
Clinical Impact: Certain drugs tend to produce hyperglycemia and may lead to loss of glycemic control.
Intervention: When such drugs are administered to a patient receiving metformin hydrochloride tablets, observe the patient closely for loss of blood glucose control. When such drugs are withdrawn from a patient receiving metformin hydrochloride tablets, observe the patient closely for hypoglycemia.
Examples: Thiazides and other diuretics, corticosteroids, phenothiazines, thyroid products, estrogens, oral contraceptives, phenytoin, nicotinic acid, sympathomimetics, calcium channel blockers, and isoniazid.
Patient Information (PATIENT INFORMATION)

Read the Patient Information that comes with metformin hydrochloride tablets before you start taking it and each time you get a refill. There may be new information. This leaflet does not take the place of talking with your healthcare provider about your medical condition or treatment.

What is the most important information I should know about metformin hydrochloride tablets?

Serious side effects can happen in people taking metformin hydrochloride tablets, including:

Lactic Acidosis.Metformin hydrochloride, the medicine in metformin hydrochloride tablets, can cause a rare, but serious, side effect called lactic acidosis (a build-up of lactic acid in the blood) that can cause death. Lactic acidosis is a medical emergency and must be treated in a hospital.

Stop taking metformin hydrochloride tablets and call your healthcare provider right away if you get any of the following symptoms of lactic acidosis:

  • feel very weak and tired
  • have unusual (not normal) muscle pain
  • have trouble breathing
  • have unusual sleepiness or sleep longer than usual
  • have unexplained stomach or intestinal problems with nausea and vomiting, or diarrhea
  • feel cold, especially in your arms and legs
  • feel dizzy or lightheaded
  • have a slow or irregular heartbeat

You have a higher chance of getting lactic acidosis if you:

  • have kidney problems. People whose kidneys are not working properly should not take metformin hydrochloride tablets.
  • have liver problems.
  • have congestive heart failure that requires treatment with medicines.
  • drink a lot of alcohol (very often or short-term "binge" drinking).
  • get dehydrated (lose a large amount of body fluids). This can happen if you are sick with a fever, vomiting, or diarrhea. Dehydration can also happen when you sweat a lot with activity or exercise and do not drink enough fluids.
  • have certain x-ray tests with injectable dyes or contrast agents.
  • have surgery.
  • have a heart attack, severe infection, or stroke.
  • are 80 years of age or older and have not had your kidney function tested.

What are metformin hydrochloride tablets?

  • Metformin hydrochloride tablets are prescription medicines that contain metformin hydrochloride. Metformin hydrochloride tablets are used with diet and exercise to help control high blood sugar (hyperglycemia) in adults with type 2 diabetes.
  • Metformin hydrochloride tablets are not for people with type 1 diabetes.
  • Metformin hydrochloride tablets are not for people with diabetic ketoacidosis (increased ketones in your blood or urine).

This medicine helps control your blood sugar in a number of ways. These include helping your body respond better to the insulin it makes naturally, decreasing the amount of sugar your liver makes, and decreasing the amount of sugar your intestines absorb. Metformin hydrochloride tablets do not cause your body to make more insulin.

Who should not take metformin hydrochloride tablets?

Some conditions increase your chance of getting lactic acidosis, or cause other problems if you take either of these medicines. Most of the conditions listed below can increase your chance of getting lactic acidosis.

Do not take metformin hydrochloride tablets if you:

  • have kidney problems
  • are allergic to the metformin hydrochloride in metformin hydrochloride tablets or any of the ingredients in metformin hydrochloride tablets. See the end of this leaflet for a complete list of ingredients in metformin hydrochloride tablets.
  • are going to get an injection of dye or contrast agents for an x-ray procedure or if you are going to have surgery and not able to eat or drink much. In these situations, metformin hydrochloride tablets will need to be stopped for a short time. Talk to your healthcare provider about when you should stop metformin hydrochloride tablets and when you should start metformin hydrochloride tablets again. See " What is the most important information I should know about metformin hydrochloride tablets? "

What should I tell my healthcare provider before taking metformin hydrochloride tablets?

Before taking metformin hydrochloride tablets, tell your healthcare provider if you:

  • have type 1 diabetes. Metformin hydrochloride tablets should not be used to treat people with type 1 diabetes.
  • have a history or risk for diabetic ketoacidosis (high levels of certain acids, known as ketones, in the blood or urine). Metformin hydrochloride tablets should not be used for the treatment of diabetic ketoacidosis.
  • have kidney problems.
  • have liver problems.
  • have heart problems, including congestive heart failure.
  • are older than 80 years. If you are over 80 years old you should not take metformin hydrochloride tablets unless your kidneys have been checked and they are normal.
  • drink alcohol very often, or drink a lot of alcohol in short-term "binge" drinking.
  • are taking insulin.
  • have any other medical conditions.
  • are pregnant or plan to become pregnant. It is not known if metformin hydrochloride will harm your unborn baby. If you are pregnant, talk with your healthcare provider about the best way to control your blood sugar while you are pregnant.
  • are breast-feeding or plan to breast-feed. It is not known if metformin hydrochloride passes into your breast milk. Talk with your healthcare provider about the best way to feed your baby while you take metformin hydrochloride tablets.

Tell your healthcare provider about all the medicines you take,including prescription and nonprescription medicines, vitamins, and herbal supplements. Know the medicines you take. Keep a list of them to show your healthcare provider and pharmacist when you get a new medicine.

  • Metformin hydrochloride tablets may affect the way other medicines work, and other medicines may affect how metformin hydrochloride tablets work.

Can metformin hydrochloride tablets be used in children?

Metformin hydrochloride tablets have been shown to effectively lower glucose levels in children (ages 10 to 16 years) with type 2 diabetes. Metformin hydrochloride tablets have not been studied in children younger than 10 years old. Metformin hydrochloride tablets have not been studied in combination with other oral glucose-control medicines or insulin in children. If you have any questions about the use of metformin hydrochloride tablets in children, talk with your doctor or other healthcare provider.

How should I take metformin hydrochloride tablets?

  • Take metformin hydrochloride tablets exactly as your healthcare provider tells you.
  • Metformin hydrochloride tablets should be taken with meals to help lessen an upset stomach side effect.
  • Swallow metformin hydrochloride tablets whole.
  • You may sometimes pass a soft mass in your stools (bowel movement) that looks like metformin hydrochloride tablets.
  • When your body is under some types of stress, such as fever, trauma (such as a car accident), infection, or surgery, the amount of diabetes medicine that you need may change. Tell your healthcare provider right away if you have any of these problems.
  • Your healthcare provider should do blood tests to check how well your kidneys are working before and during your treatment with metformin hydrochloride tablets.
  • Your healthcare provider will check your diabetes with regular blood tests, including your blood sugar levels and your hemoglobin A 1C.
  • Follow your healthcare provider's instructions for treating blood sugar that is too low (hypoglycemia). Talk to your healthcare provider if low blood sugar is a problem for you. See " What are the possible side effects of metformin hydrochloride tablets? "
  • Check your blood sugar as your healthcare provider tells you to.
  • Stay on your prescribed diet and exercise program while taking metformin hydrochloride tablets.
  • If you miss a dose of metformin hydrochloride tablets, take your next dose as prescribed unless your healthcare provider tells you differently. Do not take an extra dose the next day.
  • If you take too many metformin hydrochloride tablets, call your healthcare provider, local Poison Control Center, or go to the nearest hospital emergency room right away.

What should I avoid while taking metformin hydrochloride tablets?

Do not drink a lot of alcoholic drinks while taking metformin hydrochloride tablets. This means you should not binge drink for short periods, and you should not drink a lot of alcohol on a regular basis. Alcohol can increase the chance of getting lactic acidosis.

What are the side effects of metformin hydrochloride tablets?

  • Lactic acidosis. Metformin, the active ingredient in metformin hydrochloride tablets, can cause a rare but serious condition called lactic acidosis (a buildup of an acid in the blood) that can cause death. Lactic acidosis is a medical emergency and must be treated in the hospital.

Call your doctor right away if you have any of the following symptoms, which could be signs of lactic acidosis:

  • you feel cold in your hands or feet
  • you feel dizzy or lightheaded
  • you have a slow or irregular heartbeat
  • you feel very weak or tired
  • you have trouble breathing
  • you feel sleepy or drowsy
  • you have stomach pains, nausea or vomiting

Most people who have had lactic acidosis with metformin have other things that, combined with the metformin, led to the lactic acidosis. Tell your doctor if you have any of the following, because you have a higher chance for getting lactic acidosis with metformin hydrochloride tablets if you:

  • have severe kidney problems, or your kidneys are affected by certain x-ray tests that use injectable dye
  • have liver problems
  • drink alcohol very often, or drink a lot of alcohol in short-term "binge" drinking
  • get dehydrated (lose a large amount of body fluids). This can happen if you are sick with a fever, vomiting, or diarrhea. Dehydration can also happen when you sweat a lot with activity or exercise and do not drink enough fluids
  • have surgery
  • have a heart attack, severe infection, or stroke

Common side effects of metformin hydrochloride tablets include diarrhea, nausea, and upset stomach. These side effects generally go away after you take the medicine for a while. Taking your medicine with meals can help reduce these side effects. Tell your doctor if the side effects bother you a lot, last for more than a few weeks, come back after they've gone away, or start later in therapy. You may need a lower dose or need to stop taking the medicine for a short period or for good.

About 3 out of every 100 people who take metformin hydrochloride tablets have an unpleasant metallic taste when they start taking the medicine. It lasts for a short time.

Metformin hydrochloride tablets rarely cause hypoglycemia (low blood sugar) by themselves. However, hypoglycemia can happen if you do not eat enough, if you drink alcohol, or if you take other medicines to lower blood sugar.

How should I store metformin hydrochloride tablets?

Store metformin hydrochloride tablets at 68°F to 77°F (20°C to 25°C).

Keep metformin hydrochloride tablets and all medicines out of the reach of children.

General information about the use of metformin hydrochloride tablets

If you have questions or problems, talk with your doctor or other healthcare provider. You can ask your doctor or pharmacist for the information about metformin hydrochloride tablets that is written for healthcare professionals. Medicines are sometimes prescribed for purposes other than those listed in a patient information leaflet. Do not use metformin hydrochloride tablets for a condition for which it was not prescribed. Do not share your medicine with other people.

What are the ingredients of metformin hydrochloride tablets?Active ingredients of metformin hydrochloride tablets: metformin hydrochloride.

Inactive ingredients in each metformin hydrochloride tablet: povidone and magnesium stearate.

In addition, the coating for the 500 mg, 850 mg and 1,000 mg tablets contains hypromellose and polyethylene glycol.

What is type 2 diabetes?

Type 2 diabetes is a condition in which your body does not make enough insulin, and the insulin that your body produces does not work as well as it should. Your body can also make too much sugar. When this happens, sugar (glucose) builds up in the blood. This can lead to serious medical problems.

The main goal of treating diabetes is to lower your blood sugar to a normal level.

High blood sugar can be lowered by diet and exercise, and by certain medicines when necessary.

Talk to your healthcare provider about how to prevent, recognize, and take care of low blood sugar (hypoglycemia), high blood sugar (hyperglycemia), and problems you have because of your diabetes.

Manufactured by:

CSPC Ouyi Pharmaceutical Co., Ltd.

Shijiazhuang, Hebei, China, 052160

Distributed by:

Mullan Pharmaceutical Inc.

800 E Colorado Blvd., Suite 888 Pasadena, CA 91101, USA

Rev. 1/2024

8.6 Renal Impairment

Metformin is substantially excreted by the kidney, and the risk of metformin accumulation and lactic acidosis increases with the degree of renal impairment. Metformin hydrochloride tablets are contraindicated in severe renal impairment, patients with an estimated glomerular filtration rate (eGFR) below 30 mL/min/1.73 m 2 [see Dosage and Administration (2.3), Contraindications (4), Warnings and Precautions (5.1), and Clinical Pharmacology (12.3)] .

8.7 Hepatic Impairment

Use of metformin in patients with hepatic impairment has been associated with some cases of lactic acidosis. Metformin hydrochloride tablets are not recommended in patients with hepatic impairment. [see Warnings and Precautions (5.1)] .

1 Indications and Usage (1 INDICATIONS AND USAGE)

Metformin hydrochloride tablets are indicated as an adjunct to diet and exercise to improve glycemic control in adults and pediatric patients 10 years of age and older with type 2 diabetes mellitus.

12.1 Mechanism of Action

Metformin is an antihyperglycemic agent which improves glucose tolerance in patients with type 2 diabetes mellitus, lowering both basal and postprandial plasma glucose. Metformin decreases hepatic glucose production, decreases intestinal absorption of glucose, and improves insulin sensitivity by increasing peripheral glucose uptake and utilization. With metformin therapy, insulin secretion remains unchanged while fasting insulin levels and day-long plasma insulin response may decrease.

Warning: Lactic Acidosis (WARNING: LACTIC ACIDOSIS)

Postmarketing cases of metformin-associated lactic acidosis have resulted in death, hypothermia, hypotension, and resistant bradyarrhythmias. The onset of metformin-associated lactic acidosis is often subtle, accompanied only by nonspecific symptoms such as malaise, myalgias, respiratory distress, somnolence, and abdominal pain. Metformin-associated lactic acidosis was characterized by elevated blood lactate levels (> 5 mmol/Liter), anion gap acidosis (without evidence of ketonuria or ketonemia), an increased lactate/pyruvate ratio; and metformin plasma levels generally > 5 mcg/mL [see Warnings and Precautions (5.1)] .

Risk factors for metformin-associated lactic acidosis include renal impairment, concomitant use of certain drugs (e.g. carbonic anhydrase inhibitors such as topiramate), age 65 years old or greater, having a radiological study with contrast, surgery and other procedures, hypoxic states (e.g., acute congestive heart failure), excessive alcohol intake, and hepatic impairment.

Steps to reduce the risk of and manage metformin-associated lactic acidosis in these high risk groups are provided [see Dosage and Administration (2.3), Contraindications (4), Warnings and Precautions (5.1)] .

If metformin-associated lactic acidosis is suspected, immediately discontinue metformin hydrochloride tablets and institute general supportive measures in a hospital setting. Prompt hemodialysis is recommended [see Warnings and Precautions (5.1)] .

5 Warnings and Precautions (5 WARNINGS AND PRECAUTIONS)
  • Lactic Acidosis:See boxed warning .( 5.1)
  • Vitamin B 12Deficiency: Metformin may lower vitamin B 12levels. Measure hematological parameters annually and vitamin B 12at 2 to 3 year intervals and manage any abnormalities. ( 5.2)
  • Hypoglycemia with Concomitant Use with Insulin and Insulin Secretagogues:Increased risk of hypoglycemia when used in combination with insulin and/or an insulin secretagogue. Lower dose of insulin or insulin secretagogue may be required ( 5.3)
5.4 Macrovascular Outcomes

There have been no clinical studies establishing conclusive evidence of macrovascular risk reduction with metformin hydrochloride tablets.

2 Dosage and Administration (2 DOSAGE AND ADMINISTRATION)

Adult Dosage for Metformin Hydrochloride Tablets:

  • Starting dose: 500 mg orally twice a day or 850 mg once a day, with meals ( 2.1)
  • Increase the dose in increments of 500 mg weekly or 850 mg every 2 weeks, up to a maximum dose of 2,550 mg per day, given in divided doses ( 2.1)
  • Doses above 2,000 mg may be better tolerated given 3 times a day with meals ( 2.1)

Pediatric Dosage for Metformin Hydrochloride Tablets:

  • Starting dose: 500 mg orally twice a day, with meals ( 2.2)
  • Increase dosage in increments of 500 mg weekly up to a maximum of 2,000 mg per day, given in divided doses twice daily ( 2.2)

Renal Impairment:

  • Prior to initiation, assess renal function with estimated glomerular filtration rate (eGFR) ( 2.3)
    • Do not use in patients with eGFR below 30 mL/minute/1.73 m 2( 2.3)
    • Initiation is not recommended in patients with eGFR between 30 mL/minute/1.73 m 2and 45 mL/minute/ 1.73 m 2( 2.3)
    • Assess risk/benefit of continuing if eGFR falls below 45 mL/minute/1.73 m 2( 2.3)
    • Discontinue if eGFR falls below 30 mL/minute/1.73 m 2( 2.3)

Discontinuation for Iodinated Contrast Imaging Procedures:

  • Metformin hydrochloride tablets may need to be discontinued at time of, or prior to, iodinated contrast imaging procedures ( 2.4)
3 Dosage Forms and Strengths (3 DOSAGE FORMS AND STRENGTHS)

Metformin hydrochloride tablets, USP are available as:

  • Metformin hydrochloride tablets USP, 500 mg are round white tablets, debossed with "500" on one side.
  • Metformin hydrochloride tablets USP, 850 mg are round white tablets, debossed with "850" on one side.
  • Metformin hydrochloride tablets USP, 1,000 mg are oval white tablets, debossed with "10|00" on one side.
6.2 Postmarketing Experience

The following adverse reactions have been identified during post approval use of metformin. Because these reactions are reported voluntarily from a population of uncertain size, it is not always possible to reliably estimate their frequency or establish a causal relationship to drug exposure.

Cholestatic, hepatocellular, and mixed hepatocellular liver injury have been reported with postmarketing use of metformin.

8 Use in Specific Populations (8 USE IN SPECIFIC POPULATIONS)
  • Females and Males of Reproductive Potential: Advise premenopausal females of the potential for an unintended pregnancy. ( 8.3)
  • Geriatric Use: Assess renal function more frequently. ( 8.5)
  • Hepatic Impairment: Avoid use in patients with hepatic impairment. ( 8.7)
6.1 Clinical Studies Experience

Because clinical trials are conducted under widely varying conditions, adverse reaction rates observed in the clinical trials of a drug cannot be directly compared to rates in the clinical trials of another drug and may not reflect the rates observed in practice.

17 Patient Counseling Information (17 PATIENT COUNSELING INFORMATION)

Advise the patient to read the FDA-approved patient labeling (Patient Information).

2.3 Recommendations for Use in Renal Impairment
  • Assess renal function prior to initiation of metformin hydrochloride tablets and periodically thereafter.
  • Metformin hydrochloride tablets are contraindicated in patients with an estimated glomerular filtration rate (eGFR) below 30 mL/minute/1.73 m 2.
  • Initiation of metformin hydrochloride tablets in patients with an eGFR between 30 mL/minute/1.73 m 2and 45 mL/minute/1.73 m 2is not recommended.
  • In patients taking metformin hydrochloride tablets whose eGFR later falls below 45 mL/min/1.73 m 2, assess the benefit risk of continuing therapy.
  • Discontinue metformin hydrochloride tablets if the patient's eGFR later falls below 30 mL/minute/1.73 m 2 [see Warnings and Precautions (5.1)] .
8.3 Females and Males of Reproductive Potential

Discuss the potential for unintended pregnancy with premenopausal women as therapy with metformin hydrochloride tablets may result in ovulation in some anovulatory women.

Principal Display Panel 500 Mg Tablet Bottle Label (PRINCIPAL DISPLAY PANEL - 500 mg Tablet Bottle Label)

NDC 83301-0008-1

Metformin Hydrochloride

Tablets, USP

500 mg

MULLAN

Rx only

100 Tablets

MULLAN

More choices for all

Principal Display Panel 850 Mg Tablet Bottle Label (PRINCIPAL DISPLAY PANEL - 850 mg Tablet Bottle Label)

NDC 83301-0009-1

Metformin Hydrochloride

Tablets, USP

850 mg

MULLAN

Rx only

100 Tablets

MULLAN

More choices for all

Principal Display Panel 1,000 Mg Tablet Bottle Label (PRINCIPAL DISPLAY PANEL - 1,000 mg Tablet Bottle Label)

NDC 83301-0010-1

Metformin Hydrochloride

Tablets, USP

1,000 mg

MULLAN

Rx only

100 Tablets

MULLAN

More choices for all

2.2 Pediatric Dosage for Metformin Hydrochloride Tablets
  • The recommended starting dose of metformin hydrochloride tablets for pediatric patients 10 years of age and older is 500 mg orally twice a day, given with meals.
  • Increase dosage in increments of 500 mg weekly on the basis of glycemic control and tolerability, up to a maximum of 2,000 mg per day, given in divided doses twice daily.
13.1 Carcinogenesis, Mutagenesis, Impairment of Fertility

Long-term carcinogenicity studies have been performed in rats (dosing duration of 104 weeks) and mice (dosing duration of 91 weeks) at doses up to and including 900 mg/kg/day and 1,500 mg/kg/day, respectively. These doses are both approximately 3 times the maximum recommended human daily dose of 2,550 mg based on body surface area comparisons. No evidence of carcinogenicity with metformin was found in either male or female mice. Similarly, there was no tumorigenic potential observed with metformin in male rats. There was, however, an increased incidence of benign stromal uterine polyps in female rats treated with 900 mg/kg/day.

There was no evidence of a mutagenic potential of metformin in the following in vitrotests: Ames test ( S. typhimurium), gene mutation test (mouse lymphoma cells), or chromosomal aberrations test (human lymphocytes). Results in the in vivomouse micronucleus test were also negative.

Fertility of male or female rats was unaffected by metformin when administered at doses as high as 600 mg/kg/ day, which is approximately 2 times the maximum recommended human daily dose of 2,550 mg based on body surface area comparisons.

2.4 Discontinuation for Iodinated Contrast Imaging Procedures

Discontinue metformin hydrochloride tablets at the time of, or prior to, an iodinated contrast imaging procedure in patients with an eGFR between 30 mL/min/1.73 m 2and 60 mL/min/1.73 m 2; in patients with a history of liver disease, alcoholism, or heart failure; or in patients who will be administered intra-arterial iodinated contrast. Re-evaluate eGFR 48 hours after the imaging procedure; restart metformin hydrochloride tablets if renal function is stable.

5.3 Hypoglycemia With Concomitant Use With Insulin and Insulin Secretagogues (5.3 Hypoglycemia with Concomitant Use with Insulin and Insulin Secretagogues)

Insulin and insulin secretagogues (e.g., sulfonylurea) are known to cause hypoglycemia. Metformin hydrochloride tablets may increase the risk of hypoglycemia when combined with insulin and/or an insulin secretagogue.

Therefore, a lower dose of insulin or insulin secretagogue may be required to minimize the risk of hypoglycemia when used in combination with metformin hydrochloride tablets [see Drug Interactions (7)].


Advanced Ingredient Data


Raw Label Data

All Sections (JSON)