These Highlights Do Not Include All The Information Needed To Use Protonix Safely And Effectively. See Full Prescribing Information For Protonix.

These Highlights Do Not Include All The Information Needed To Use Protonix Safely And Effectively. See Full Prescribing Information For Protonix.
SPL v47
SPL
SPL Set ID 08098cb2-c048-4640-f387-6beec4a38936
Route
ORAL
Published
Effective Date 2023-03-08
Document Type 34391-3 HUMAN PRESCRIPTION DRUG LABEL

Drug Facts

Composition & Product

Active Ingredients
Pantoprazole (20 mg)
Inactive Ingredients
Calcium Stearate Crospovidone (120 .mu.m) Mannitol Ferric Oxide Yellow Methacrylic Acid And Ethyl Acrylate Copolymer Polysorbate 80 Povidone K25 Povidone K90 Propylene Glycol Sodium Carbonate Sodium Lauryl Sulfate Titanium Dioxide Triethyl Citrate Hypromellose 2910 (6 Mpa.s) Microcrystalline Cellulose Talc Hypromellose 2910 (3 Mpa.s) Hypromellose 2910 (5 Mpa.s)

Identifiers & Packaging

Pill Appearance
Imprint: PROTONIX Shape: oval Color: yellow Size: 9 mm Size: 12 mm Score: 1
Marketing Status
NDA Active Since 2008-02-29

Description

PROTONIX For Delayed-Release Oral Suspension and PROTONIX Delayed-Release Tablets are indicated for:

Indications and Usage

PROTONIX For Delayed-Release Oral Suspension and PROTONIX Delayed-Release Tablets are indicated for:

Dosage and Administration

Indication Dose Frequency Short-Term Treatment of Erosive Esophagitis Associated With GERD ( 2.1 )   Adults 40 mg Once Daily for up to 8 wks   Children (5 years and older)     ≥ 15 kg to < 40 kg 20 mg Once Daily for up to 8 wks     ≥ 40 kg 40 mg Maintenance of Healing of Erosive Esophagitis ( 2.1 )   Adults 40 mg Once Daily Controlled studies did not extend beyond 12 months Pathological Hypersecretory Conditions Including Zollinger-Ellison Syndrome ( 2.1 )   Adults 40 mg Twice Daily See full prescribing information for administration instructions

Warnings and Precautions

• Gastric Malignancy: In adults, symptomatic response does not preclude presence of gastric malignancy. Consider additional follow-up and diagnostic testing. ( 5.1 ) • Acute Tubulointerstitial Nephritis : Discontinue treatment and evaluate patients. ( 5.2 ) • Clostridium difficile- Associated Diarrhea : PPI therapy may be associated with increased risk of Clostridium difficile- associated diarrhea. ( 5.3 ) • Bone Fracture : Long-term and multiple daily dose PPI therapy may be associated with an increased risk for osteoporosis-related fractures of the hip, wrist or spine. ( 5.4 ) • Severe Cutaneous Adverse Reactions : Discontinue at the first signs or symptoms of severe cutaneous adverse reactions or other signs of hypersensitivity and consider further evaluation. ( 5.5 ) • Cutaneous and Systemic Lupus Erythematosus : Mostly cutaneous; new onset or exacerbation of existing disease; discontinue PROTONIX and refer to specialist for evaluation. ( 5.6 ) • Cyanocobalamin (Vitamin B-12) Deficiency : Daily long-term use (e.g., longer than 3 years) may lead to malabsorption or a deficiency of cyanocobalamin. ( 5.7 ) • Hypomagnesemia and Mineral Metabolism : Reported rarely with prolonged treatment with PPIs. ( 5.8 ) • Fundic Gland Polyps: Risk increases with long-term use, especially beyond one year. Use the shortest duration of therapy. ( 5.10 )

Contraindications

• PROTONIX is contraindicated in patients with known hypersensitivity to any component of the formulation or any substituted benzimidazole. Hypersensitivity reactions may include anaphylaxis, anaphylactic shock, angioedema, bronchospasm, acute tubulointerstitial nephritis, and urticaria [see Warnings and Precautions (5.2) , Adverse Reactions (6) ] . • Proton pump inhibitors (PPIs), including PROTONIX, are contraindicated in patients receiving rilpivirine-containing products [see Drug Interactions (7) ] .

Adverse Reactions

Severe cutaneous adverse reactions, including erythema multiforme, Stevens-Johnson syndrome (SJS), toxic epidermal necrolysis (TEN), drug reaction with eosinophilia and systemic symptoms (DRESS), and acute generalized exanthematous pustulosis (AGEP) have been reported in association with the use of PPIs [see Adverse Reactions (6.2) ] . Discontinue PROTONIX at the first signs or symptoms of severe cutaneous adverse reactions or other signs of hypersensitivity and consider further evaluation.

Drug Interactions

Table 4 includes drugs with clinically important drug interactions and interaction with diagnostics when administered concomitantly with PROTONIX and instructions for preventing or managing them. Consult the labeling of concomitantly used drugs to obtain further information about interactions with PPIs. Table 4: Clinically Relevant Interactions Affecting Drugs Co-Administered with PROTONIX and Interactions with Diagnostics Antiretrovirals Clinical Impact: The effect of PPIs on antiretroviral drugs is variable. The clinical importance and the mechanisms behind these interactions are not always known. • Decreased exposure of some antiretroviral drugs (e.g., rilpivirine atazanavir, and nelfinavir) when used concomitantly with pantoprazole may reduce antiviral effect and promote the development of drug resistance. • Increased exposure of other antiretroviral drugs (e.g., saquinavir) when used concomitantly with pantoprazole may increase toxicity of the antiretroviral drugs . • There are other antiretroviral drugs which do not result in clinically relevant interactions with pantoprazole. Intervention: Rilpivirine-containing products: Concomitant use with PROTONIX is contraindicated [see Contraindications (4) ] . See prescribing information. Atazanavir: See prescribing information for atazanavir for dosing information. Nelfinavir: Avoid concomitant use with PROTONIX. See prescribing information for nelfinavir. Saquinavir: See the prescribing information for saquinavir and monitor for potential saquinavir toxicities. Other antiretrovirals: See prescribing information. Warfarin Clinical Impact: Increased INR and prothrombin time in patients receiving PPIs, including pantoprazole, and warfarin concomitantly. Increases in INR and prothrombin time may lead to abnormal bleeding and even death. Intervention: Monitor INR and prothrombin time. Dose adjustment of warfarin may be needed to maintain target INR range. See prescribing information for warfarin. Clopidogrel Clinical Impact: Concomitant administration of pantoprazole and clopidogrel in healthy subjects had no clinically important effect on exposure to the active metabolite of clopidogrel or clopidogrel-induced platelet inhibition [see Clinical Pharmacology (12.3) ]. Intervention: No dose adjustment of clopidogrel is necessary when administered with an approved dose of PROTONIX. Methotrexate Clinical Impact: Concomitant use of PPIs with methotrexate (primarily at high dose) may elevate and prolong serum concentrations of methotrexate and/or its metabolite hydroxymethotrexate, possibly leading to methotrexate toxicities. No formal drug interaction studies of high-dose methotrexate with PPIs have been conducted [see Warnings and Precautions (5.13) ] . Intervention: A temporary withdrawal of PROTONIX may be considered in some patients receiving high-dose methotrexate. Drugs Dependent on Gastric pH for Absorption (e.g., iron salts, erlotinib, dasatinib, nilotinib, mycophenolate mofetil, ketoconazole/itraconazole) Clinical Impact: Pantoprazole can reduce the absorption of other drugs due to its effect on reducing intragastric acidity. Intervention: Mycophenolate mofetil (MMF): Co-administration of pantoprazole sodium in healthy subjects and in transplant patients receiving MMF has been reported to reduce the exposure to the active metabolite, mycophenolic acid (MPA), possibly due to a decrease in MMF solubility at an increased gastric pH [see Clinical Pharmacology (12.3) ] . The clinical relevance of reduced MPA exposure on organ rejection has not been established in transplant patients receiving PROTONIX and MMF. Use PROTONIX with caution in transplant patients receiving MMF. See the prescribing information for other drugs dependent on gastric pH for absorption. Interactions with Investigations of Neuroendocrine Tumors Clinical Impact: CgA levels increase secondary to PPI-induced decreases in gastric acidity. The increased CgA level may cause false positive results in diagnostic investigations for neuroendocrine tumors [see Warnings and Precautions (5.11) , Clinical Pharmacology (12.2) ] . Intervention: Temporarily stop PROTONIX treatment at least 14 days before assessing CgA levels and consider repeating the test if initial CgA levels are high. If serial tests are performed (e.g., for monitoring), the same commercial laboratory should be used for testing, as reference ranges between tests may vary. False Positive Urine Tests for THC Clinical Impact: There have been reports of false positive urine screening tests for tetrahydrocannabinol (THC) in patients receiving PPIs [see Warnings and Precautions (5.12) ] . Intervention: An alternative confirmatory method should be considered to verify positive results.


Medication Information

Warnings and Precautions

• Gastric Malignancy: In adults, symptomatic response does not preclude presence of gastric malignancy. Consider additional follow-up and diagnostic testing. ( 5.1 ) • Acute Tubulointerstitial Nephritis : Discontinue treatment and evaluate patients. ( 5.2 ) • Clostridium difficile- Associated Diarrhea : PPI therapy may be associated with increased risk of Clostridium difficile- associated diarrhea. ( 5.3 ) • Bone Fracture : Long-term and multiple daily dose PPI therapy may be associated with an increased risk for osteoporosis-related fractures of the hip, wrist or spine. ( 5.4 ) • Severe Cutaneous Adverse Reactions : Discontinue at the first signs or symptoms of severe cutaneous adverse reactions or other signs of hypersensitivity and consider further evaluation. ( 5.5 ) • Cutaneous and Systemic Lupus Erythematosus : Mostly cutaneous; new onset or exacerbation of existing disease; discontinue PROTONIX and refer to specialist for evaluation. ( 5.6 ) • Cyanocobalamin (Vitamin B-12) Deficiency : Daily long-term use (e.g., longer than 3 years) may lead to malabsorption or a deficiency of cyanocobalamin. ( 5.7 ) • Hypomagnesemia and Mineral Metabolism : Reported rarely with prolonged treatment with PPIs. ( 5.8 ) • Fundic Gland Polyps: Risk increases with long-term use, especially beyond one year. Use the shortest duration of therapy. ( 5.10 )

Indications and Usage

PROTONIX For Delayed-Release Oral Suspension and PROTONIX Delayed-Release Tablets are indicated for:

Dosage and Administration

Indication Dose Frequency Short-Term Treatment of Erosive Esophagitis Associated With GERD ( 2.1 )   Adults 40 mg Once Daily for up to 8 wks   Children (5 years and older)     ≥ 15 kg to < 40 kg 20 mg Once Daily for up to 8 wks     ≥ 40 kg 40 mg Maintenance of Healing of Erosive Esophagitis ( 2.1 )   Adults 40 mg Once Daily Controlled studies did not extend beyond 12 months Pathological Hypersecretory Conditions Including Zollinger-Ellison Syndrome ( 2.1 )   Adults 40 mg Twice Daily See full prescribing information for administration instructions

Contraindications

• PROTONIX is contraindicated in patients with known hypersensitivity to any component of the formulation or any substituted benzimidazole. Hypersensitivity reactions may include anaphylaxis, anaphylactic shock, angioedema, bronchospasm, acute tubulointerstitial nephritis, and urticaria [see Warnings and Precautions (5.2) , Adverse Reactions (6) ] . • Proton pump inhibitors (PPIs), including PROTONIX, are contraindicated in patients receiving rilpivirine-containing products [see Drug Interactions (7) ] .

Adverse Reactions

Severe cutaneous adverse reactions, including erythema multiforme, Stevens-Johnson syndrome (SJS), toxic epidermal necrolysis (TEN), drug reaction with eosinophilia and systemic symptoms (DRESS), and acute generalized exanthematous pustulosis (AGEP) have been reported in association with the use of PPIs [see Adverse Reactions (6.2) ] . Discontinue PROTONIX at the first signs or symptoms of severe cutaneous adverse reactions or other signs of hypersensitivity and consider further evaluation.

Drug Interactions

Table 4 includes drugs with clinically important drug interactions and interaction with diagnostics when administered concomitantly with PROTONIX and instructions for preventing or managing them. Consult the labeling of concomitantly used drugs to obtain further information about interactions with PPIs. Table 4: Clinically Relevant Interactions Affecting Drugs Co-Administered with PROTONIX and Interactions with Diagnostics Antiretrovirals Clinical Impact: The effect of PPIs on antiretroviral drugs is variable. The clinical importance and the mechanisms behind these interactions are not always known. • Decreased exposure of some antiretroviral drugs (e.g., rilpivirine atazanavir, and nelfinavir) when used concomitantly with pantoprazole may reduce antiviral effect and promote the development of drug resistance. • Increased exposure of other antiretroviral drugs (e.g., saquinavir) when used concomitantly with pantoprazole may increase toxicity of the antiretroviral drugs . • There are other antiretroviral drugs which do not result in clinically relevant interactions with pantoprazole. Intervention: Rilpivirine-containing products: Concomitant use with PROTONIX is contraindicated [see Contraindications (4) ] . See prescribing information. Atazanavir: See prescribing information for atazanavir for dosing information. Nelfinavir: Avoid concomitant use with PROTONIX. See prescribing information for nelfinavir. Saquinavir: See the prescribing information for saquinavir and monitor for potential saquinavir toxicities. Other antiretrovirals: See prescribing information. Warfarin Clinical Impact: Increased INR and prothrombin time in patients receiving PPIs, including pantoprazole, and warfarin concomitantly. Increases in INR and prothrombin time may lead to abnormal bleeding and even death. Intervention: Monitor INR and prothrombin time. Dose adjustment of warfarin may be needed to maintain target INR range. See prescribing information for warfarin. Clopidogrel Clinical Impact: Concomitant administration of pantoprazole and clopidogrel in healthy subjects had no clinically important effect on exposure to the active metabolite of clopidogrel or clopidogrel-induced platelet inhibition [see Clinical Pharmacology (12.3) ]. Intervention: No dose adjustment of clopidogrel is necessary when administered with an approved dose of PROTONIX. Methotrexate Clinical Impact: Concomitant use of PPIs with methotrexate (primarily at high dose) may elevate and prolong serum concentrations of methotrexate and/or its metabolite hydroxymethotrexate, possibly leading to methotrexate toxicities. No formal drug interaction studies of high-dose methotrexate with PPIs have been conducted [see Warnings and Precautions (5.13) ] . Intervention: A temporary withdrawal of PROTONIX may be considered in some patients receiving high-dose methotrexate. Drugs Dependent on Gastric pH for Absorption (e.g., iron salts, erlotinib, dasatinib, nilotinib, mycophenolate mofetil, ketoconazole/itraconazole) Clinical Impact: Pantoprazole can reduce the absorption of other drugs due to its effect on reducing intragastric acidity. Intervention: Mycophenolate mofetil (MMF): Co-administration of pantoprazole sodium in healthy subjects and in transplant patients receiving MMF has been reported to reduce the exposure to the active metabolite, mycophenolic acid (MPA), possibly due to a decrease in MMF solubility at an increased gastric pH [see Clinical Pharmacology (12.3) ] . The clinical relevance of reduced MPA exposure on organ rejection has not been established in transplant patients receiving PROTONIX and MMF. Use PROTONIX with caution in transplant patients receiving MMF. See the prescribing information for other drugs dependent on gastric pH for absorption. Interactions with Investigations of Neuroendocrine Tumors Clinical Impact: CgA levels increase secondary to PPI-induced decreases in gastric acidity. The increased CgA level may cause false positive results in diagnostic investigations for neuroendocrine tumors [see Warnings and Precautions (5.11) , Clinical Pharmacology (12.2) ] . Intervention: Temporarily stop PROTONIX treatment at least 14 days before assessing CgA levels and consider repeating the test if initial CgA levels are high. If serial tests are performed (e.g., for monitoring), the same commercial laboratory should be used for testing, as reference ranges between tests may vary. False Positive Urine Tests for THC Clinical Impact: There have been reports of false positive urine screening tests for tetrahydrocannabinol (THC) in patients receiving PPIs [see Warnings and Precautions (5.12) ] . Intervention: An alternative confirmatory method should be considered to verify positive results.

Description

PROTONIX For Delayed-Release Oral Suspension and PROTONIX Delayed-Release Tablets are indicated for:

Section 42229-5

PROTONIX Delayed-Release Tablets

Swallow PROTONIX Delayed-Release Tablets whole, with or without food in the stomach. For patients unable to swallow a 40 mg tablet, two 20 mg tablets may be taken. Concomitant administration of antacids does not affect the absorption of PROTONIX Delayed-Release Tablets.

Section 42231-1

MEDICATION GUIDE

PROTONIX (pro-TAH-nix)

(pantoprazole sodium)

delayed-release tablets

and

PROTONIX (pro-TAH-nix)

(pantoprazole sodium)

for delayed-release oral suspension

What is the most important information I should know about PROTONIX?

You should take PROTONIX exactly as prescribed, at the lowest dose possible and for the shortest time needed.

PROTONIX may help your acid-related symptoms, but you could still have serious stomach problems. Talk with your doctor.

PROTONIX can cause serious side effects, including:

  • A type of kidney problem (acute tubulointerstitial nephritis). Some people who take proton pump inhibitor (PPI) medicines, including PROTONIX, may develop a kidney problem called acute tubulointerstitial nephritis that can happen at any time during treatment with PROTONIX. Call your doctor right away if you have a decrease in the amount that you urinate or if you have blood in your urine.
  • Diarrhea caused by an infection (Clostridium difficile) in your intestines. Call your doctor right away if you have watery stools or stomach pain that does not go away. You may or may not have a fever.
  • Bone fractures (hip, wrist, or spine). Bone fractures in the hip, wrist, or spine may happen in people who take multiple daily doses of PPI medicines and for a long period of time (a year or longer). Tell your doctor if you have a bone fracture, especially in the hip, wrist, or spine.
  • Certain types of lupus erythematosus. Lupus erythematosus is an autoimmune disorder (the body's immune cells attack other cells or organs in the body). Some people who take PPI medicines, including PROTONIX, may develop certain types of lupus erythematosus or have worsening of the lupus they already have. Call your doctor right away if you have new or worsening joint pain or a rash on your cheeks or arms that gets worse in the sun.
  • Low magnesium and other mineral levels in your body can happen in people who have taken PROTONIX for at least 3 months. Tell your doctor if you have symptoms of low magnesium levels, including seizures, dizziness, irregular heartbeat, jitteriness, muscle aches or weakness, and spasms of hands, feet or voice.

Talk to your doctor about your risk of these serious side effects.

PROTONIX can have other serious side effects. See "What are the possible side effects of PROTONIX?"

What is PROTONIX?

A prescription medicine called a proton pump inhibitor (PPI) used to reduce the amount of acid in your stomach.

In adults, PROTONIX is used for:

  • up to 8 weeks for the healing and symptom relief of acid-related damage to the lining of the esophagus (called erosive esophagitis or EE). Your doctor may prescribe another 8 weeks of PROTONIX in patients whose EE does not heal.
  • maintaining healing of EE and to help prevent the return of heartburn symptoms caused by GERD. It is not known if PROTONIX is safe and effective when used for longer than 12 months for this purpose.
  • the long-term treatment of conditions where your stomach makes too much acid. This includes a rare condition called Zollinger-Ellison Syndrome.

In children 5 years of age and older, PROTONIX is used for:

  • up to 8 weeks for the healing and symptom relief of EE.

    It is not known if PROTONIX is safe if used longer than 8 weeks in children.

PROTONIX is not for use in children under 5 years of age.

It is not known if PROTONIX is safe and effective in children for treatment other than EE.

Do not take PROTONIX if you are:

  • allergic to pantoprazole sodium, any other PPI medicine, or any of the ingredients in PROTONIX. See the end of this Medication Guide for a complete list of ingredients.
  • taking a medicine that contains rilpivirine (EDURANT, COMPLERA, ODEFSEY, JULUCA) used to treat HIV-1 (Human Immunodeficiency Virus).

Before taking PROTONIX, tell your doctor about all of your medical conditions, including if you:

  • have low magnesium levels, low calcium levels and low potassium levels in your blood.
  • are pregnant or plan to become pregnant. PROTONIX may harm your unborn baby. Tell your doctor if you become pregnant or think you may be pregnant during treatment with PROTONIX.
  • are breastfeeding or plan to breastfeed. PROTONIX can pass into your breast milk. Talk with your doctor about the best way to feed your baby if you take PROTONIX.

Tell your doctor about all the medicines you take, including prescription and over-the-counter medicines, vitamins and herbal supplements. Especially tell your doctor if you take methotrexate (Otrexup, Rasuvo, Trexall, XATMEP), digoxin (LANOXIN), or a water pill (diuretic).

How should I take PROTONIX?

  • Take PROTONIX exactly as prescribed by your doctor.

    PROTONIX delayed-release tablets (PROTONIX tablets):
    • o
      Do not split, chew, or crush PROTONIX tablets.
    • o
      Swallow PROTONIX tablets whole, with or without food.
    • o
      Tell your doctor if you are not able to swallow your PROTONIX tablet.
  •  
    PROTONIX for delayed-release oral suspension (PROTONIX for oral suspension):
    • o
      You may use antacids while taking PROTONIX tablets.
    • o
      Do not split, chew, or crush PROTONIX for oral suspension.
    • o
      Take PROTONIX for oral suspension about 30 minutes before a meal.
    • o
      PROTONIX for oral suspension should only be given by mouth mixed in apple juice or applesauce or through a nasogastric (NG) tube or gastrostomy tube mixed in apple juice. Do not mix PROTONIX for oral suspension in liquids other than apple juice or foods other than applesauce.
    • o
      Do not divide a packet of PROTONIX for oral suspension to make a smaller dose.
    • o
      See the "Instructions for Use" at the end of this Medication Guide for instructions on how to mix and take PROTONIX for oral suspension by mouth in applesauce or apple juice or how to mix and give the suspension through an NG tube or gastrostomy tube mixed in apple juice.
  • If you miss a dose of PROTONIX, take it as soon as possible. If it is almost time for your next dose, do not take the missed dose. Take the next dose at your regular time. Do not take 2 doses at the same time.
  • If you take too much PROTONIX, call your doctor or your poison control center at 1-800-222-1222 right away or go to the nearest emergency room.

What are the possible side effects of PROTONIX?

PROTONIX can cause serious side effects, including:

  • See "What is the most important information I should know about PROTONIX?"
  • Low vitamin B-12 levels in your body can happen in people who have taken PROTONIX for a long time (more than 3 years). Tell your doctor if you have symptoms of low vitamin B-12 levels, including shortness of breath, lightheadedness, irregular heartbeat, muscle weakness, pale skin, feeling tired, mood changes, and tingling or numbness in the arms and legs.
  • Stomach growths (fundic gland polyps). People who take PPI medicines for a long time have an increased risk of developing a certain type of stomach growths called fundic gland polyps, especially after taking PPI medicines for more than 1 year.
  • Severe skin reactions. PROTONIX can cause rare but severe skin reactions that may affect any part of your body. These serious skin reactions may need to be treated in a hospital and may be life threatening:
    • o
      Skin rash which may have blistering, peeling or bleeding on any part of your skin (including your lips, eyes, mouth, nose, genitals, hands or feet).
    • o
      You may also have fever, chills, body aches, shortness of breath, or enlarged lymph nodes.

Stop taking PROTONIX and call your doctor right away. These symptoms may be the first sign of a severe skin reaction.

The most common side effects of PROTONIX in adults include: headache, diarrhea, nausea, stomach-area (abdominal) pain, vomiting, gas, dizziness, and joint pain.

The most common side effects of PROTONIX in children include: upper respiratory infection, headache, fever, diarrhea, vomiting, rash, and stomach-area (abdominal) pain.

These are not all the possible side effects of PROTONIX. Call your doctor for medical advice about side effects. You may report side effects to FDA at 1-800-FDA-1088.

How should I store PROTONIX?

Store PROTONIX at room temperature between 68°F to 77°F (20°C to 25°C).

Keep PROTONIX and all medicines out of the reach of children.

General information about the safe and effective use of PROTONIX.

Medicines are sometimes prescribed for purposes other than those listed in a Medication Guide. Do not use PROTONIX for a condition for which it was not prescribed. Do not give PROTONIX to other people, even if they have the same symptoms that you have. It may harm them. You can ask your doctor or pharmacist for information about PROTONIX that is written for health professionals.

What are the ingredients in PROTONIX?

Active ingredient: pantoprazole sodium sesquihydrate

Inactive ingredients in PROTONIX delayed-release tablets: calcium stearate, crospovidone, hypromellose, iron oxide, mannitol, methacrylic acid copolymer, polysorbate 80, povidone, propylene glycol, sodium carbonate, sodium lauryl sulfate, titanium dioxide, and triethyl citrate.

Inactive ingredients in PROTONIX for delayed-release oral suspension: crospovidone, hypromellose, methacrylic acid copolymer, microcrystalline cellulose, polysorbate 80, povidone, sodium carbonate, sodium lauryl sulfate, talc, titanium dioxide, triethyl citrate, and yellow ferric oxide.

For more information go to www.pfizer.com or call 1-800-438-1985.

This Medication Guide has been approved by the U.S. Food and Drug Administration.

This product's label may have been updated. For the most recent prescribing information, please go to www.pfizer.com.

under license from

Takeda GmbH

D78467 Konstanz, Germany

LAB-0574-16.0

Revised: March 2022

Section 44425-7

Storage

Store PROTONIX For Delayed-Release Oral Suspension and PROTONIX Delayed-Release Tablets at 20° to 25°C (68° to 77°F); excursions permitted to 15° to 30°C (59° to 86°F) [see USP Controlled Room Temperature].

10 Overdosage

Experience in patients taking very high doses of PROTONIX (greater than 240 mg) is limited. Spontaneous post-marketing reports of overdose are generally within the known safety profile of PROTONIX.

Pantoprazole is not removed by hemodialysis. In case of overdosage, treatment should be symptomatic and supportive.

Single oral doses of pantoprazole at 709 mg/kg, 798 mg/kg, and 887 mg/kg were lethal to mice, rats, and dogs, respectively. The symptoms of acute toxicity were hypoactivity, ataxia, hunched sitting, limb-splay, lateral position, segregation, absence of ear reflex, and tremor.

If overexposure to PROTONIX occurs, call your Poison Control Center at 1-800-222-1222 for current information on the management of poisoning or overdosage.

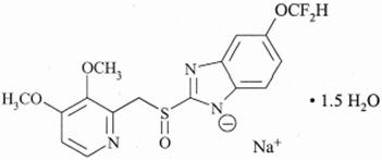
11 Description

The active ingredient in PROTONIX (pantoprazole sodium) For Delayed-Release Oral Suspension and PROTONIX (pantoprazole sodium) Delayed-Release Tablets, a PPI, is a substituted benzimidazole, sodium 5-(difluoromethoxy)-2-[[(3,4-dimethoxy-2-pyridinyl)methyl] sulfinyl]-1H-benzimidazole sesquihydrate, a compound that inhibits gastric acid secretion. Its empirical formula is C16H14F2N3NaO4S × 1.5 H2O, with a molecular weight of 432.4. The structural formula is:

Pantoprazole sodium sesquihydrate is a white to off-white crystalline powder and is racemic. Pantoprazole has weakly basic and acidic properties. Pantoprazole sodium sesquihydrate is freely soluble in water, very slightly soluble in phosphate buffer at pH 7.4, and practically insoluble in n-hexane.

The stability of the compound in aqueous solution is pH-dependent. The rate of degradation increases with decreasing pH. At ambient temperature, the degradation half-life is approximately 2.8 hours at pH 5 and approximately 220 hours at pH 7.8.

PROTONIX is supplied as a for delayed-release oral suspension in unit dose packets, available in one strength 40 mg pantoprazole, (equivalent to 45.1 mg of pantoprazole sodium), and as a delayed-release tablet, available in two strengths 20 mg pantoprazole (equivalent to 22.56 mg of pantoprazole sodium) and 40 mg pantoprazole (equivalent to 45.1 mg of pantoprazole sodium).

PROTONIX Delayed-Release Tablets contains the following inactive ingredients: calcium stearate, crospovidone, hypromellose, iron oxide, mannitol, methacrylic acid copolymer, polysorbate 80, povidone, propylene glycol, sodium carbonate, sodium lauryl sulfate, titanium dioxide, and triethyl citrate. PROTONIX Delayed-Release Tablets (40 mg and 20 mg) complies with USP dissolution test 2.

PROTONIX For Delayed-Release Oral Suspension contains the following inactive ingredients: crospovidone, hypromellose, methacrylic acid copolymer, microcrystalline cellulose, polysorbate 80, povidone, sodium carbonate, sodium lauryl sulfate, talc, titanium dioxide, triethyl citrate, and yellow ferric oxide.

5.4 Bone Fracture

Several published observational studies suggest that PPI therapy may be associated with an increased risk for osteoporosis-related fractures of the hip, wrist, or spine. The risk of fracture was increased in patients who received high-dose, defined as multiple daily doses, and long-term PPI therapy (a year or longer). Patients should use the lowest dose and shortest duration of PPI therapy appropriate to the condition being treated. Patients at risk for osteoporosis-related fractures should be managed according to established treatment guidelines [see Dosage and Administration (2), Adverse Reactions (6.2)].

8.4 Pediatric Use

The safety and effectiveness of PROTONIX for short-term treatment (up to eight weeks) of EE associated with GERD have been established in pediatric patients 1 year through 16 years of age. Effectiveness for EE has not been demonstrated in patients less than 1 year of age. In addition, for patients less than 5 years of age, there is no appropriate dosage strength in an age-appropriate formulation available. Therefore, PROTONIX is indicated for the short-term treatment of EE associated with GERD for patients 5 years and older. The safety and effectiveness of PROTONIX for pediatric uses other than EE have not been established.

8.5 Geriatric Use

In short-term US clinical trials, EE healing rates in the 107 elderly patients (≥65 years old) treated with PROTONIX were similar to those found in patients under the age of 65. The incidence rates of adverse reactions and laboratory abnormalities in patients aged 65 years and older were similar to those associated with patients younger than 65 years of age.

5.9 Tumorigenicity

Due to the chronic nature of GERD, there may be a potential for prolonged administration of PROTONIX. In long-term rodent studies, pantoprazole was carcinogenic and caused rare types of gastrointestinal tumors. The relevance of these findings to tumor development in humans is unknown [see Nonclinical Toxicology (13.1)].

14 Clinical Studies

PROTONIX Delayed-Release Tablets were used in the following clinical trials.

4 Contraindications
  • PROTONIX is contraindicated in patients with known hypersensitivity to any component of the formulation or any substituted benzimidazole. Hypersensitivity reactions may include anaphylaxis, anaphylactic shock, angioedema, bronchospasm, acute tubulointerstitial nephritis, and urticaria [see Warnings and Precautions (5.2), Adverse Reactions (6)].
  • Proton pump inhibitors (PPIs), including PROTONIX, are contraindicated in patients receiving rilpivirine-containing products [see Drug Interactions (7)].
6 Adverse Reactions

The following serious adverse reactions are described below and elsewhere in labeling:

7 Drug Interactions

Table 4 includes drugs with clinically important drug interactions and interaction with diagnostics when administered concomitantly with PROTONIX and instructions for preventing or managing them.

Consult the labeling of concomitantly used drugs to obtain further information about interactions with PPIs.

Table 4: Clinically Relevant Interactions Affecting Drugs Co-Administered with PROTONIX and Interactions with Diagnostics

Antiretrovirals

Clinical Impact:

The effect of PPIs on antiretroviral drugs is variable. The clinical importance and the mechanisms behind these interactions are not always known.

  • Decreased exposure of some antiretroviral drugs (e.g., rilpivirine atazanavir, and nelfinavir) when used concomitantly with pantoprazole may reduce antiviral effect and promote the development of drug resistance.
  • Increased exposure of other antiretroviral drugs (e.g., saquinavir) when used concomitantly with pantoprazole may increase toxicity of the antiretroviral drugs.
  • There are other antiretroviral drugs which do not result in clinically relevant interactions with pantoprazole.

Intervention:

Rilpivirine-containing products: Concomitant use with PROTONIX is contraindicated [see Contraindications (4)]. See prescribing information.

Atazanavir: See prescribing information for atazanavir for dosing information.

Nelfinavir: Avoid concomitant use with PROTONIX. See prescribing information for nelfinavir.

Saquinavir: See the prescribing information for saquinavir and monitor for potential saquinavir toxicities.

Other antiretrovirals: See prescribing information.

Warfarin

Clinical Impact:

Increased INR and prothrombin time in patients receiving PPIs, including pantoprazole, and warfarin concomitantly. Increases in INR and prothrombin time may lead to abnormal bleeding and even death.

Intervention:

Monitor INR and prothrombin time. Dose adjustment of warfarin may be needed to maintain target INR range. See prescribing information for warfarin.

Clopidogrel

Clinical Impact:

Concomitant administration of pantoprazole and clopidogrel in healthy subjects had no clinically important effect on exposure to the active metabolite of clopidogrel or clopidogrel-induced platelet inhibition [see Clinical Pharmacology (12.3)].

Intervention:

No dose adjustment of clopidogrel is necessary when administered with an approved dose of PROTONIX.

Methotrexate

Clinical Impact:

Concomitant use of PPIs with methotrexate (primarily at high dose) may elevate and prolong serum concentrations of methotrexate and/or its metabolite hydroxymethotrexate, possibly leading to methotrexate toxicities. No formal drug interaction studies of high-dose methotrexate with PPIs have been conducted [see Warnings and Precautions (5.13)].

Intervention:

A temporary withdrawal of PROTONIX may be considered in some patients receiving high-dose methotrexate.

Drugs Dependent on Gastric pH for Absorption (e.g., iron salts, erlotinib, dasatinib, nilotinib, mycophenolate mofetil, ketoconazole/itraconazole)

Clinical Impact:

Pantoprazole can reduce the absorption of other drugs due to its effect on reducing intragastric acidity.

Intervention:

Mycophenolate mofetil (MMF): Co-administration of pantoprazole sodium in healthy subjects and in transplant patients receiving MMF has been reported to reduce the exposure to the active metabolite, mycophenolic acid (MPA), possibly due to a decrease in MMF solubility at an increased gastric pH [see Clinical Pharmacology (12.3)]. The clinical relevance of reduced MPA exposure on organ rejection has not been established in transplant patients receiving PROTONIX and MMF. Use PROTONIX with caution in transplant patients receiving MMF.

See the prescribing information for other drugs dependent on gastric pH for absorption.

Interactions with Investigations of Neuroendocrine Tumors

Clinical Impact:

CgA levels increase secondary to PPI-induced decreases in gastric acidity. The increased CgA level may cause false positive results in diagnostic investigations for neuroendocrine tumors [see Warnings and Precautions (5.11), Clinical Pharmacology (12.2)].

Intervention:

Temporarily stop PROTONIX treatment at least 14 days before assessing CgA levels and consider repeating the test if initial CgA levels are high. If serial tests are performed (e.g., for monitoring), the same commercial laboratory should be used for testing, as reference ranges between tests may vary.

False Positive Urine Tests for THC

Clinical Impact:

There have been reports of false positive urine screening tests for tetrahydrocannabinol (THC) in patients receiving PPIs [see Warnings and Precautions (5.12)].

Intervention:

An alternative confirmatory method should be considered to verify positive results.

Instructions for Use

PROTONIX for delayed-release oral suspension (PROTONIX for oral suspension):

Important information:

  • Do not split, chew, or crush PROTONIX for oral suspension.
  • Take PROTONIX for oral suspension about 30 minutes before a meal.
  • PROTONIX for oral suspension:
    • o
      should only be taken with applesauce or apple juice.
    • o
      should not be mixed in water or other liquids, or other foods.
    • o
      packet should not be divided to make a smaller dose.
  • Taking PROTONIX for oral suspension with applesauce:
    • 1.
      Open the packet of PROTONIX for oral suspension.
    • 2.
      Sprinkle all of the granules in the packet on 1 teaspoon of applesauce.
    • 3.
      Swallow the granules and applesauce within 10 minutes of putting the granules on the teaspoon of applesauce.
    • 4.
      Take sips of water to make sure the granules are washed down into the stomach. Take more sips of water as needed.
  • Taking PROTONIX for oral suspension with apple juice:
    • 1.
      Open the packet of PROTONIX for oral suspension.
    • 2.
      Empty all of the granules in the packet into a small cup that contains 1 teaspoon of apple juice.
    • 3.
      Stir the granules-apple juice mixture for 5 seconds. The granules will not break up.
    • 4.
      Swallow the mixture right away.
    • 5.
      To make sure that the entire dose is taken, add more apple juice to the cup, stir and swallow the apple juice right away.
    • 6.
      Repeat step 5 if there are granules left in the cup.
  • Giving PROTONIX for oral suspension through a nasogastric (NG) tube or gastrostomy tube:
    • PROTONIX for oral suspension may be given through an NG tube or gastrostomy tube that is size 16 French or larger. Do not give PROTONIX for oral suspension through an NG tube or gastrostomy tube smaller than size 16 French.
    • Mix PROTONIX for oral suspension only in apple juice when giving through an NG tube or gastrostomy tube.
      • 1.
        Remove the plunger from a 60 mL (2 ounce) catheter-tip syringe. Throw away the plunger.
      • 2.
        Connect the tip of the catheter-tip syringe to the NG tube or gastrostomy tube.
      • 3.
        Hold the syringe attached to the NG tube or gastrostomy tube as high as possible while giving PROTONIX for oral suspension to prevent the tubing from bending.
      • 4.
        Open the packet of PROTONIX for oral suspension.
      • 5.
        Empty all the granules in the packet into the catheter-tip syringe.
      • 6.
        Add 10 mL (2 teaspoons) of apple juice into the catheter-tip syringe and gently tap or shake the syringe to help empty the syringe.
      • 7.
        Repeat step 6 at least 2 more times until there are no granules left in the catheter-tip syringe.

How should I store PROTONIX?

Store PROTONIX at room temperature between 68°F to 77°F (20°C to 25°C).

Keep PROTONIX and all medicines out of the reach of children.

This Instructions for Use has been approved by the U.S. Food and Drug Administration.

This product's label may have been updated. For the most recent prescribing information, please go to www.pfizer.com.

under license from

Takeda GmbH

D78467 Konstanz, Germany

LAB-1511-1.0

Revised: March 2022

12.2 Pharmacodynamics

PROTONIX For Delayed-Release Oral Suspension, 40 mg has been shown to be comparable to PROTONIX Delayed-Release Tablets in suppressing pentagastrin-stimulated MAO in patients (n = 49) with GERD and a history of EE. In this multicenter, pharmacodynamic crossover study, a 40 mg oral dose of PROTONIX For Delayed-Release Oral Suspension administered in a teaspoonful of applesauce was compared with a 40 mg oral dose of PROTONIX Delayed-Release Tablets after administration of each formulation once daily for 7 days. Both medications were administered thirty minutes before breakfast. Pentagastrin-stimulated (MAO) was assessed from hour 23 to 24 at steady state.

12.3 Pharmacokinetics

PROTONIX Delayed-Release Tablets are prepared as enteric-coated tablets so that absorption of pantoprazole begins only after the tablet leaves the stomach. Peak serum concentration (Cmax) and area under the serum concentration time curve (AUC) increase in a manner proportional to oral and intravenous doses from 10 mg to 80 mg. Pantoprazole does not accumulate, and its pharmacokinetics are unaltered with multiple daily dosing. Following oral or intravenous administration, the serum concentration of pantoprazole declines biexponentially, with a terminal elimination half-life of approximately one hour.

In extensive metabolizers with normal liver function receiving an oral dose of the enteric-coated 40 mg pantoprazole tablet, the peak concentration (Cmax) is 2.5 μg/mL; the time to reach the peak concentration (tmax) is 2.5 h, and the mean total area under the plasma concentration versus time curve (AUC) is 4.8 μg∙h/mL (range 1.4 to 13.3 μg∙h/mL). Following intravenous administration of pantoprazole to extensive metabolizers, its total clearance is 7.6–14.0 L/h, and its apparent volume of distribution is 11.0–23.6 L.

A single oral dose of PROTONIX For Delayed-Release Oral Suspension, 40 mg, was shown to be bioequivalent when administered to healthy subjects (N = 22) as granules sprinkled over a teaspoonful of applesauce, as granules mixed with apple juice, or mixed with apple juice followed by administration through a nasogastric tube. The plasma pharmacokinetic parameters from a crossover study in healthy subjects are summarized in Table 6.

Table 6: Pharmacokinetics Parameters (mean ± SD) of PROTONIX For Delayed-Release Oral Suspension at 40 mg
Pharmacokinetic Parameters Granules in Applesauce Granules in Apple Juice Granules in Nasogastric Tube

AUC (µg∙hr/mL)

4.0 ± 1.5

4.0 ± 1.5

4.1 ± 1.7

Cmax (µg/mL)

2.0 ± 0.7

1.9 ± 0.5

2.2 ± 0.7

Tmax (hr)

Median values are reported for Tmax.

2.0

2.5

2.0

12.5 Pharmacogenomics

CYP2C19 displays a known genetic polymorphism due to its deficiency in some subpopulations (e.g., approximately 3% of Caucasians and African-Americans and 17% to 23% of Asians are poor metabolizers). Although these subpopulations of pantoprazole poor metabolizers have elimination half-life values of 3.5 to 10 hours in adults, they still have minimal accumulation (23% or less) with once-daily dosing. For adult patients who are CYP2C19 poor metabolizers, no dosage adjustment is needed.

Similar to adults, pediatric patients who have the poor metabolizer genotype of CYP2C19 (CYP2C19 *2/*2) exhibited greater than a 6-fold increase in AUC compared to pediatric extensive (CYP2C19 *1/*1) and intermediate (CYP2C19 *1/*x) metabolizers. Poor metabolizers exhibited approximately 10-fold lower apparent oral clearance compared to extensive metabolizers.

For known pediatric poor metabolizers, a dose reduction should be considered.

1 Indications and Usage

PROTONIX For Delayed-Release Oral Suspension and PROTONIX Delayed-Release Tablets are indicated for:

12.1 Mechanism of Action

Pantoprazole is a PPI that suppresses the final step in gastric acid production by covalently binding to the (H+, K+)-ATPase enzyme system at the secretory surface of the gastric parietal cell. This effect leads to inhibition of both basal and stimulated gastric acid secretion, irrespective of the stimulus. The binding to the (H+, K+)-ATPase results in a duration of antisecretory effect that persists longer than 24 hours for all doses tested (20 mg to 120 mg).

5.10 Fundic Gland Polyps

PPI use is associated with an increased risk of fundic gland polyps that increases with long-term use, especially beyond one year. Most PPI users who developed fundic gland polyps were asymptomatic and fundic gland polyps were identified incidentally on endoscopy. Use the shortest duration of PPI therapy appropriate to the condition being treated.

5 Warnings and Precautions
  • Gastric Malignancy: In adults, symptomatic response does not preclude presence of gastric malignancy. Consider additional follow-up and diagnostic testing. (5.1)
  • Acute Tubulointerstitial Nephritis: Discontinue treatment and evaluate patients. (5.2)
  • Clostridium difficile-Associated Diarrhea: PPI therapy may be associated with increased risk of Clostridium difficile-associated diarrhea. (5.3)
  • Bone Fracture: Long-term and multiple daily dose PPI therapy may be associated with an increased risk for osteoporosis-related fractures of the hip, wrist or spine. (5.4)
  • Severe Cutaneous Adverse Reactions: Discontinue at the first signs or symptoms of severe cutaneous adverse reactions or other signs of hypersensitivity and consider further evaluation. (5.5)
  • Cutaneous and Systemic Lupus Erythematosus: Mostly cutaneous; new onset or exacerbation of existing disease; discontinue PROTONIX and refer to specialist for evaluation. (5.6)
  • Cyanocobalamin (Vitamin B-12) Deficiency: Daily long-term use (e.g., longer than 3 years) may lead to malabsorption or a deficiency of cyanocobalamin. (5.7)
  • Hypomagnesemia and Mineral Metabolism: Reported rarely with prolonged treatment with PPIs. (5.8)
  • Fundic Gland Polyps: Risk increases with long-term use, especially beyond one year. Use the shortest duration of therapy. (5.10)
5.3 Clostridium Difficile

Published observational studies suggest that PPI therapy like PROTONIX may be associated with an increased risk of Clostridium difficile associated diarrhea, especially in hospitalized patients. This diagnosis should be considered for diarrhea that does not improve [see Adverse Reactions (6.2)].

Patients should use the lowest dose and shortest duration of PPI therapy appropriate to the condition being treated.

2 Dosage and Administration
Indication Dose Frequency

Short-Term Treatment of Erosive Esophagitis Associated With GERD (2.1)

  Adults

40 mg

Once Daily for up to 8 wks

  Children (5 years and older)

    ≥ 15 kg to < 40 kg

20 mg

Once Daily for up to 8 wks

    ≥ 40 kg

40 mg

Maintenance of Healing of Erosive Esophagitis (2.1)

  Adults

40 mg

Once Daily

Controlled studies did not extend beyond 12 months

Pathological Hypersecretory Conditions Including Zollinger-Ellison Syndrome (2.1)

  Adults

40 mg

Twice Daily

See full prescribing information for administration instructions

3 Dosage Forms and Strengths

Delayed-Release Tablets:

  • 40 mg pantoprazole, yellow oval biconvex tablets imprinted with PROTONIX (brown ink) on one side
  • 20 mg pantoprazole, yellow oval biconvex tablets imprinted with P20 (brown ink) on one side

For Delayed-Release Oral Suspension:

  • 40 mg pantoprazole, pale yellowish to dark brownish, enteric-coated granules in a unit dose packet
6.2 Postmarketing Experience

The following adverse reactions have been identified during postapproval use of PROTONIX. Because these reactions are reported voluntarily from a population of uncertain size, it is not always possible to reliably estimate their frequency or establish a causal relationship to drug exposure.

These adverse reactions are listed below by body system:

Gastrointestinal Disorders: fundic gland polyps

General Disorders and Administration Conditions: asthenia, fatigue, malaise

Hematologic: pancytopenia, agranulocytosis

Hepatobiliary Disorders: hepatocellular damage leading to jaundice and hepatic failure

Immune System Disorders: anaphylaxis (including anaphylactic shock), systemic lupus erythematosus

Infections and Infestations: Clostridium difficile associated diarrhea

Investigations: weight changes

Metabolism and Nutritional Disorders: hypomagnesemia, hypocalcemia, hypokalemia, hyponatremia

Musculoskeletal Disorders: rhabdomyolysis, bone fracture

Nervous: ageusia, dysgeusia

Psychiatric Disorders: hallucination, confusion, insomnia, somnolence

Renal and Genitourinary Disorders: acute tubulointerstitial nephritis, erectile dysfunction

Skin and Subcutaneous Tissue Disorders: severe dermatologic reactions (some fatal), including erythema multiforme, SJS/TEN, DRESS, AGEP, angioedema (Quincke's edema) and cutaneous lupus erythematosus

8 Use in Specific Populations

Pregnancy: Based on animal data, may cause fetal harm. (8.1)

6.1 Clinical Trials Experience

The adverse reaction profiles for PROTONIX (pantoprazole sodium) For Delayed-Release Oral Suspension and PROTONIX (pantoprazole sodium) Delayed-Release Tablets are similar.

Because clinical trials are conducted under widely varying conditions, adverse reaction rates observed in the clinical trials of a drug cannot be directly compared to rates in the clinical trials of another drug and may not reflect the rates observed in clinical practice.

2.1 Recommended Dosing Schedule

PROTONIX is supplied as delayed-release granules in packets for preparation of oral suspensions or as delayed-release tablets. The recommended dosages are outlined in Table 1.

Table 1: Recommended Dosing Schedule for PROTONIX
Indication Dose Frequency

Short-Term Treatment of Erosive Esophagitis Associated With GERD

  Adults

40 mg

Once daily for up to 8 weeks

For adult patients who have not healed after 8 weeks of treatment, an additional 8-week course of PROTONIX may be considered.

  Children (5 years and older)

    ≥ 15 kg to < 40 kg

20 mg

Once daily for up to 8 weeks

    ≥ 40 kg

40 mg

Maintenance of Healing of Erosive Esophagitis

  Adults

40 mg

Once daily

Controlled studies did not extend beyond 12 months

Pathological Hypersecretory Conditions Including Zollinger-Ellison Syndrome

  Adults

40 mg

Twice daily

Dosage regimens should be adjusted to individual patient needs and should continue for as long as clinically indicated. Doses up to 240 mg daily have been administered.

2.2 Administration Instructions

Directions for method of administration for each dosage form are presented in Table 2.

Table 2: Administration Instructions
Formulation Route Instructions
Do not split, chew, or crush PROTONIX Delayed-Release Tablets and PROTONIX For Delayed-Release Oral Suspension.

Delayed-Release Tablets

Oral

Swallowed whole, with or without food

For Delayed-Release Oral Suspension

Oral

Administered in 1 teaspoonful of applesauce or apple juice approximately 30 minutes prior to a meal

For Delayed-Release Oral Suspension

Nasogastric tube

See instructions below

Take a missed dose as soon as possible. If it is almost time for the next dose, skip the missed dose and take the next dose at the regular scheduled time. Do not take 2 doses at the same time.

17 Patient Counseling Information

Advise the patient to read the FDA-approved patient labeling (Medication Guide and Instructions for Use).

5.1 Presence of Gastric Malignancy

In adults, symptomatic response to therapy with PROTONIX does not preclude the presence of gastric malignancy. Consider additional follow-up and diagnostic testing in adult patients who have a suboptimal response or an early symptomatic relapse after completing treatment with a PPI. In older patients, also consider an endoscopy.

5.2 Acute Tubulointerstitial Nephritis

Acute tubulointerstitial nephritis (TIN) has been observed in patients taking PPIs and may occur at any point during PPI therapy. Patients may present with varying signs and symptoms from symptomatic hypersensitivity reactions to non-specific symptoms of decreased renal function (e.g., malaise, nausea, anorexia). In reported case series, some patients were diagnosed on biopsy and in the absence of extra-renal manifestations (e.g., fever, rash or arthralgia). Discontinue PROTONIX and evaluate patients with suspected acute TIN [see Contraindications (4)].

5.5 Severe Cutaneous Adverse Reactions

Severe cutaneous adverse reactions, including erythema multiforme, Stevens-Johnson syndrome (SJS), toxic epidermal necrolysis (TEN), drug reaction with eosinophilia and systemic symptoms (DRESS), and acute generalized exanthematous pustulosis (AGEP) have been reported in association with the use of PPIs [see Adverse Reactions (6.2)]. Discontinue PROTONIX at the first signs or symptoms of severe cutaneous adverse reactions or other signs of hypersensitivity and consider further evaluation.

Principal Display Panel 40 Mg Packet

Pfizer

Protonix®

(pantoprazole sodium)

40 mg

NDC 0008-0844-01

For Delayed-Release Oral Suspension*

*suspension in apple juice or applesauce only

Each packet contains:

Pantoprazole

40 mg

(equivalent to 45.1 mg of pantoprazole sodium)

F.3/0422/6103546

Code 90

Rx only

5.8 Hypomagnesemia and Mineral Metabolism

Hypomagnesemia, symptomatic and asymptomatic, has been reported rarely in patients treated with PPIs for at least three months, and in most cases after a year of therapy. Serious adverse events include tetany, arrhythmias, and seizures. Hypomagnesemia may lead to hypocalcemia and/or hypokalemia and may exacerbate underlying hypocalcemia in at-risk patients. In most patients, treatment of hypomagnesemia required magnesium replacement and discontinuation of the PPI.

For patients expected to be on prolonged treatment or who take PPIs with medications such as digoxin or drugs that may cause hypomagnesemia (e.g., diuretics), health care professionals may consider monitoring magnesium levels prior to initiation of PPI treatment and periodically [see Adverse Reactions (6.2)].

Consider monitoring magnesium and calcium levels prior to initiation of PROTONIX and periodically while on treatment in patients with a preexisting risk of hypocalcemia (e.g., hypoparathyroidism). Supplement with magnesium and/or calcium as necessary. If hypocalcemia is refractory to treatment, consider discontinuing the PPI.

5.12 Interference With Urine Screen for Thc

There have been reports of false-positive urine screening tests for tetrahydrocannabinol (THC) in patients receiving PPIs, including PROTONIX [see Drug Interactions (7)].

5.7 Cyanocobalamin (vitamin B 12) Deficiency

Generally, daily treatment with any acid-suppressing medications over a long period of time (e.g., longer than 3 years) may lead to malabsorption of cyanocobalamin (Vitamin B-12) caused by hypo- or achlorhydria. Rare reports of cyanocobalamin deficiency occurring with acid-suppressing therapy have been reported in the literature. This diagnosis should be considered if clinical symptoms consistent with cyanocobalamin deficiency are observed.

Principal Display Panel 40 Mg Packet Carton

Pfizer

NDC 0008-0844-02

ALWAYS DISPENSE WITH MEDICATION GUIDE

Protonix®

40 mg

(pantoprazole sodium)

For Delayed-Release Oral Suspension*

*suspension in apple juice or applesauce only

Rx only

30 Packets

5.6 Cutaneous and Systemic Lupus Erythematosus

Cutaneous lupus erythematosus (CLE) and systemic lupus erythematosus (SLE) have been reported in patients taking PPIs, including pantoprazole sodium. These events have occurred as both new onset and an exacerbation of existing autoimmune disease. The majority of PPI-induced lupus erythematous cases were CLE.

The most common form of CLE reported in patients treated with PPIs was subacute CLE (SCLE) and occurred within weeks to years after continuous drug therapy in patients ranging from infants to the elderly. Generally, histological findings were observed without organ involvement.

Systemic lupus erythematosus (SLE) is less commonly reported than CLE in patients receiving PPIs. PPI associated SLE is usually milder than non-drug induced SLE. Onset of SLE typically occurred within days to years after initiating treatment primarily in patients ranging from young adults to the elderly. The majority of patients presented with rash; however, arthralgia and cytopenia were also reported.

Avoid administration of PPIs for longer than medically indicated. If signs or symptoms consistent with CLE or SLE are noted in patients receiving PROTONIX, discontinue the drug and refer the patient to the appropriate specialist for evaluation. Most patients improve with discontinuation of the PPI alone in 4 to 12 weeks. Serological testing (e.g., ANA) may be positive and elevated serological test results may take longer to resolve than clinical manifestations.

1.2 Maintenance of Healing of Erosive Esophagitis

PROTONIX is indicated for maintenance of healing of EE and reduction in relapse rates of daytime and nighttime heartburn symptoms in adult patients with GERD. Controlled studies did not extend beyond 12 months.

5.13 Concomitant Use of Protonix With Methotrexate

Literature suggests that concomitant use of PPIs with methotrexate (primarily at high dose; see methotrexate prescribing information) may elevate and prolong serum levels of methotrexate and/or its metabolite, possibly leading to methotrexate toxicities. In high-dose methotrexate administration, a temporary withdrawal of the PPI may be considered in some patients [see Drug Interactions (7)].

Principal Display Panel 20 Mg Tablet Bottle Label

ALWAYS DISPENSE WITH

MEDICATION GUIDE

Pfizer

NDC 0008-0843-81

Protonix ®

(pantoprazole sodium)

delayed-release tablets

20 mg

Swallow tablets whole. Do NOT

split, chew, or crush tablets.

90 Tablets

Rx only

Principal Display Panel 40 Mg Tablet Bottle Label

ALWAYS DISPENSE WITH

MEDICATION GUIDE

Pfizer

NDC 0008-0841-81

Protonix ®

(pantoprazole sodium)

delayed-release tablets

40 mg

Swallow tablets whole. Do NOT

split, chew, or crush tablets.

90 Tablets

Rx only

13.1 Carcinogenesis, Mutagenesis, Impairment of Fertility

In a 24-month carcinogenicity study, Sprague-Dawley rats were treated orally with pantoprazole doses of 0.5 to 200 mg/kg/day, about 0.1 to 40 times the exposure on a body surface area basis of a 50 kg person dosed with 40 mg/day. In the gastric fundus, treatment with 0.5 to 200 mg/kg/day produced enterochromaffin-like (ECL) cell hyperplasia and benign and malignant neuroendocrine cell tumors in a dose-related manner. In the forestomach, treatment with 50 and 200 mg/kg/day (about 10 and 40 times the recommended human dose on a body surface area basis) produced benign squamous cell papillomas and malignant squamous cell carcinomas. Rare gastrointestinal tumors associated with pantoprazole treatment included an adenocarcinoma of the duodenum with 50 mg/kg/day and benign polyps and adenocarcinomas of the gastric fundus with 200 mg/kg/day. In the liver, treatment with 0.5 to 200 mg/kg/day produced dose-related increases in the incidences of hepatocellular adenomas and carcinomas. In the thyroid gland, treatment with 200 mg/kg/day produced increased incidences of follicular cell adenomas and carcinomas for both male and female rats.

In a 24-month carcinogenicity study, Fischer 344 rats were treated orally with doses of 5 to 50 mg/kg/day of pantoprazole, approximately 1 to 10 times the recommended human dose based on body surface area. In the gastric fundus, treatment with 5 to 50 mg/kg/day produced enterochromaffin-like (ECL) cell hyperplasia and benign and malignant neuroendocrine cell tumors. Dose selection for this study may not have been adequate to comprehensively evaluate the carcinogenic potential of pantoprazole.

In a 24-month carcinogenicity study, B6C3F1 mice were treated orally with doses of 5 to 150 mg/kg/day of pantoprazole, 0.5 to 15 times the recommended human dose based on body surface area. In the liver, treatment with 150 mg/kg/day produced increased incidences of hepatocellular adenomas and carcinomas in female mice. Treatment with 5 to 150 mg/kg/day also produced gastric-fundic ECL cell hyperplasia.

A 26-week p53 +/- transgenic mouse carcinogenicity study was not positive.

Pantoprazole was positive in the in vitro human lymphocyte chromosomal aberration assays, in one of two mouse micronucleus tests for clastogenic effects, and in the in vitro Chinese hamster ovarian cell/HGPRT forward mutation assay for mutagenic effects. Equivocal results were observed in the in vivo rat liver DNA covalent binding assay. Pantoprazole was negative in the in vitro Ames mutation assay, the in vitro unscheduled DNA synthesis (UDS) assay with rat hepatocytes, the in vitro AS52/GPT mammalian cell-forward gene mutation assay, the in vitro thymidine kinase mutation test with mouse lymphoma L5178Y cells, and the in vivo rat bone marrow cell chromosomal aberration assay.

There were no effects on fertility or reproductive performance when pantoprazole was given at oral doses up to 500 mg/kg/day in male rats (98 times the recommended human dose based on body surface area) and 450 mg/kg/day in female rats (88 times the recommended human dose based on body surface area).

14.2 Long Term Maintenance of Healing of Erosive Esophagitis

Two independent, multicenter, randomized, double-blind, comparator-controlled trials of identical design were conducted in adult GERD patients with endoscopically confirmed healed EE to demonstrate efficacy of PROTONIX in long-term maintenance of healing. The two US studies enrolled 386 and 404 patients, respectively, to receive either 10 mg, 20 mg, or 40 mg of PROTONIX Delayed-Release Tablets once daily or 150 mg of ranitidine twice daily. As demonstrated in Table 10, PROTONIX 40 mg and 20 mg were significantly superior to ranitidine at every timepoint with respect to the maintenance of healing. In addition, PROTONIX 40 mg was superior to all other treatments studied.

Table 10: Long-Term Maintenance of Healing of Erosive Gastroesophageal Reflux Disease (GERD Maintenance): Percentage of Patients Who Remained Healed
PROTONIX

20 mg daily
PROTONIX

40 mg daily
Ranitidine

150 mg twice daily
Note: PROTONIX 10 mg was superior (p <0.05) to ranitidine in Study 2, but not Study 1.

Study 1

n = 75

n = 74

n = 75

Month 1

91

(p <0.05 vs. ranitidine)

99

68

Month 3

82

93

(p <0.05 vs. PROTONIX 20 mg)

54

Month 6

76

90

44

Month 12

70

86

35

Study 2

n = 74

n = 88

n = 84

Month 1

89

92

62

Month 3

78

91

47

Month 6

72

88

39

Month 12

72

83

37

PROTONIX 40 mg was superior to ranitidine in reducing the number of daytime and nighttime heartburn episodes from the first through the twelfth month of treatment. PROTONIX 20 mg, administered once daily, was also effective in reducing episodes of daytime and nighttime heartburn in one trial, as presented in Table 11.

Table 11: Number of Episodes of Heartburn (mean ± SD)
PROTONIX

40 mg daily
Ranitidine

150 mg twice daily

Month 1

Daytime

5.1 ± 1.6

(p <0.001 vs. ranitidine, combined data from the two US studies)

18.3 ± 1.6

Nighttime

3.9 ± 1.1

11.9 ± 1.1

Month 12

Daytime

2.9 ± 1.5

17.5 ± 1.5

Nighttime

2.5 ± 1.2

13.8 ± 1.3

5.11 Interference With Investigations for Neuroendocrine Tumors

Serum chromogranin A (CgA) levels increase secondary to drug-induced decreases in gastric acidity. The increased CgA level may cause false positive results in diagnostic investigations for neuroendocrine tumors. Healthcare providers should temporarily stop PROTONIX treatment at least 14 days before assessing CgA levels and consider repeating the test if initial CgA levels are high. If serial tests are performed (e.g., for monitoring), the same commercial laboratory should be used for testing, as reference ranges between tests may vary [see Clinical Pharmacology (12.2)].

1.3 Pathological Hypersecretory Conditions Including Zollinger Ellison Syndrome

PROTONIX is indicated for the long-term treatment of pathological hypersecretory conditions, including Zollinger-Ellison (ZE) Syndrome.

14.3 Pathological Hypersecretory Conditions Including Zollinger Ellison Syndrome

In a multicenter, open-label trial of 35 patients with pathological hypersecretory conditions, such as Zollinger-Ellison Syndrome, with or without multiple endocrine neoplasia-type I, PROTONIX successfully controlled gastric acid secretion. Doses ranging from 80 mg daily to 240 mg daily maintained gastric acid output below 10 mEq/h in patients without prior acid-reducing surgery and below 5 mEq/h in patients with prior acid-reducing surgery.

Doses were initially titrated to the individual patient needs, and adjusted in some patients based on the clinical response with time [see Dosage and Administration (2)]. PROTONIX was well tolerated at these dose levels for prolonged periods (greater than 2 years in some patients).

1.1 Short Term Treatment of Erosive Esophagitis Associated With Gastroesophageal Reflux Disease (gerd)

PROTONIX is indicated in adults and pediatric patients five years of age and older for the short-term treatment (up to 8 weeks) in the healing and symptomatic relief of erosive esophagitis (EE). For those adult patients who have not healed after 8 weeks of treatment, an additional 8-week course of PROTONIX may be considered. Safety of treatment beyond 8 weeks in pediatric patients has not been established.


Structured Label Content

Section 42229-5 (42229-5)

PROTONIX Delayed-Release Tablets

Swallow PROTONIX Delayed-Release Tablets whole, with or without food in the stomach. For patients unable to swallow a 40 mg tablet, two 20 mg tablets may be taken. Concomitant administration of antacids does not affect the absorption of PROTONIX Delayed-Release Tablets.

Section 42231-1 (42231-1)

MEDICATION GUIDE

PROTONIX (pro-TAH-nix)

(pantoprazole sodium)

delayed-release tablets

and

PROTONIX (pro-TAH-nix)

(pantoprazole sodium)

for delayed-release oral suspension

What is the most important information I should know about PROTONIX?

You should take PROTONIX exactly as prescribed, at the lowest dose possible and for the shortest time needed.

PROTONIX may help your acid-related symptoms, but you could still have serious stomach problems. Talk with your doctor.

PROTONIX can cause serious side effects, including:

  • A type of kidney problem (acute tubulointerstitial nephritis). Some people who take proton pump inhibitor (PPI) medicines, including PROTONIX, may develop a kidney problem called acute tubulointerstitial nephritis that can happen at any time during treatment with PROTONIX. Call your doctor right away if you have a decrease in the amount that you urinate or if you have blood in your urine.
  • Diarrhea caused by an infection (Clostridium difficile) in your intestines. Call your doctor right away if you have watery stools or stomach pain that does not go away. You may or may not have a fever.
  • Bone fractures (hip, wrist, or spine). Bone fractures in the hip, wrist, or spine may happen in people who take multiple daily doses of PPI medicines and for a long period of time (a year or longer). Tell your doctor if you have a bone fracture, especially in the hip, wrist, or spine.
  • Certain types of lupus erythematosus. Lupus erythematosus is an autoimmune disorder (the body's immune cells attack other cells or organs in the body). Some people who take PPI medicines, including PROTONIX, may develop certain types of lupus erythematosus or have worsening of the lupus they already have. Call your doctor right away if you have new or worsening joint pain or a rash on your cheeks or arms that gets worse in the sun.
  • Low magnesium and other mineral levels in your body can happen in people who have taken PROTONIX for at least 3 months. Tell your doctor if you have symptoms of low magnesium levels, including seizures, dizziness, irregular heartbeat, jitteriness, muscle aches or weakness, and spasms of hands, feet or voice.

Talk to your doctor about your risk of these serious side effects.

PROTONIX can have other serious side effects. See "What are the possible side effects of PROTONIX?"

What is PROTONIX?

A prescription medicine called a proton pump inhibitor (PPI) used to reduce the amount of acid in your stomach.

In adults, PROTONIX is used for:

  • up to 8 weeks for the healing and symptom relief of acid-related damage to the lining of the esophagus (called erosive esophagitis or EE). Your doctor may prescribe another 8 weeks of PROTONIX in patients whose EE does not heal.
  • maintaining healing of EE and to help prevent the return of heartburn symptoms caused by GERD. It is not known if PROTONIX is safe and effective when used for longer than 12 months for this purpose.
  • the long-term treatment of conditions where your stomach makes too much acid. This includes a rare condition called Zollinger-Ellison Syndrome.

In children 5 years of age and older, PROTONIX is used for:

  • up to 8 weeks for the healing and symptom relief of EE.

    It is not known if PROTONIX is safe if used longer than 8 weeks in children.

PROTONIX is not for use in children under 5 years of age.

It is not known if PROTONIX is safe and effective in children for treatment other than EE.

Do not take PROTONIX if you are:

  • allergic to pantoprazole sodium, any other PPI medicine, or any of the ingredients in PROTONIX. See the end of this Medication Guide for a complete list of ingredients.
  • taking a medicine that contains rilpivirine (EDURANT, COMPLERA, ODEFSEY, JULUCA) used to treat HIV-1 (Human Immunodeficiency Virus).

Before taking PROTONIX, tell your doctor about all of your medical conditions, including if you:

  • have low magnesium levels, low calcium levels and low potassium levels in your blood.
  • are pregnant or plan to become pregnant. PROTONIX may harm your unborn baby. Tell your doctor if you become pregnant or think you may be pregnant during treatment with PROTONIX.
  • are breastfeeding or plan to breastfeed. PROTONIX can pass into your breast milk. Talk with your doctor about the best way to feed your baby if you take PROTONIX.

Tell your doctor about all the medicines you take, including prescription and over-the-counter medicines, vitamins and herbal supplements. Especially tell your doctor if you take methotrexate (Otrexup, Rasuvo, Trexall, XATMEP), digoxin (LANOXIN), or a water pill (diuretic).

How should I take PROTONIX?

  • Take PROTONIX exactly as prescribed by your doctor.

    PROTONIX delayed-release tablets (PROTONIX tablets):
    • o
      Do not split, chew, or crush PROTONIX tablets.
    • o
      Swallow PROTONIX tablets whole, with or without food.
    • o
      Tell your doctor if you are not able to swallow your PROTONIX tablet.
  •  
    PROTONIX for delayed-release oral suspension (PROTONIX for oral suspension):
    • o
      You may use antacids while taking PROTONIX tablets.
    • o
      Do not split, chew, or crush PROTONIX for oral suspension.
    • o
      Take PROTONIX for oral suspension about 30 minutes before a meal.
    • o
      PROTONIX for oral suspension should only be given by mouth mixed in apple juice or applesauce or through a nasogastric (NG) tube or gastrostomy tube mixed in apple juice. Do not mix PROTONIX for oral suspension in liquids other than apple juice or foods other than applesauce.
    • o
      Do not divide a packet of PROTONIX for oral suspension to make a smaller dose.
    • o
      See the "Instructions for Use" at the end of this Medication Guide for instructions on how to mix and take PROTONIX for oral suspension by mouth in applesauce or apple juice or how to mix and give the suspension through an NG tube or gastrostomy tube mixed in apple juice.
  • If you miss a dose of PROTONIX, take it as soon as possible. If it is almost time for your next dose, do not take the missed dose. Take the next dose at your regular time. Do not take 2 doses at the same time.
  • If you take too much PROTONIX, call your doctor or your poison control center at 1-800-222-1222 right away or go to the nearest emergency room.

What are the possible side effects of PROTONIX?

PROTONIX can cause serious side effects, including:

  • See "What is the most important information I should know about PROTONIX?"
  • Low vitamin B-12 levels in your body can happen in people who have taken PROTONIX for a long time (more than 3 years). Tell your doctor if you have symptoms of low vitamin B-12 levels, including shortness of breath, lightheadedness, irregular heartbeat, muscle weakness, pale skin, feeling tired, mood changes, and tingling or numbness in the arms and legs.
  • Stomach growths (fundic gland polyps). People who take PPI medicines for a long time have an increased risk of developing a certain type of stomach growths called fundic gland polyps, especially after taking PPI medicines for more than 1 year.
  • Severe skin reactions. PROTONIX can cause rare but severe skin reactions that may affect any part of your body. These serious skin reactions may need to be treated in a hospital and may be life threatening:
    • o
      Skin rash which may have blistering, peeling or bleeding on any part of your skin (including your lips, eyes, mouth, nose, genitals, hands or feet).
    • o
      You may also have fever, chills, body aches, shortness of breath, or enlarged lymph nodes.

Stop taking PROTONIX and call your doctor right away. These symptoms may be the first sign of a severe skin reaction.

The most common side effects of PROTONIX in adults include: headache, diarrhea, nausea, stomach-area (abdominal) pain, vomiting, gas, dizziness, and joint pain.

The most common side effects of PROTONIX in children include: upper respiratory infection, headache, fever, diarrhea, vomiting, rash, and stomach-area (abdominal) pain.

These are not all the possible side effects of PROTONIX. Call your doctor for medical advice about side effects. You may report side effects to FDA at 1-800-FDA-1088.

How should I store PROTONIX?

Store PROTONIX at room temperature between 68°F to 77°F (20°C to 25°C).

Keep PROTONIX and all medicines out of the reach of children.

General information about the safe and effective use of PROTONIX.

Medicines are sometimes prescribed for purposes other than those listed in a Medication Guide. Do not use PROTONIX for a condition for which it was not prescribed. Do not give PROTONIX to other people, even if they have the same symptoms that you have. It may harm them. You can ask your doctor or pharmacist for information about PROTONIX that is written for health professionals.

What are the ingredients in PROTONIX?

Active ingredient: pantoprazole sodium sesquihydrate

Inactive ingredients in PROTONIX delayed-release tablets: calcium stearate, crospovidone, hypromellose, iron oxide, mannitol, methacrylic acid copolymer, polysorbate 80, povidone, propylene glycol, sodium carbonate, sodium lauryl sulfate, titanium dioxide, and triethyl citrate.

Inactive ingredients in PROTONIX for delayed-release oral suspension: crospovidone, hypromellose, methacrylic acid copolymer, microcrystalline cellulose, polysorbate 80, povidone, sodium carbonate, sodium lauryl sulfate, talc, titanium dioxide, triethyl citrate, and yellow ferric oxide.

For more information go to www.pfizer.com or call 1-800-438-1985.

This Medication Guide has been approved by the U.S. Food and Drug Administration.

This product's label may have been updated. For the most recent prescribing information, please go to www.pfizer.com.

under license from

Takeda GmbH

D78467 Konstanz, Germany

LAB-0574-16.0

Revised: March 2022

Section 44425-7 (44425-7)

Storage

Store PROTONIX For Delayed-Release Oral Suspension and PROTONIX Delayed-Release Tablets at 20° to 25°C (68° to 77°F); excursions permitted to 15° to 30°C (59° to 86°F) [see USP Controlled Room Temperature].

10 Overdosage (10 OVERDOSAGE)

Experience in patients taking very high doses of PROTONIX (greater than 240 mg) is limited. Spontaneous post-marketing reports of overdose are generally within the known safety profile of PROTONIX.

Pantoprazole is not removed by hemodialysis. In case of overdosage, treatment should be symptomatic and supportive.

Single oral doses of pantoprazole at 709 mg/kg, 798 mg/kg, and 887 mg/kg were lethal to mice, rats, and dogs, respectively. The symptoms of acute toxicity were hypoactivity, ataxia, hunched sitting, limb-splay, lateral position, segregation, absence of ear reflex, and tremor.

If overexposure to PROTONIX occurs, call your Poison Control Center at 1-800-222-1222 for current information on the management of poisoning or overdosage.

11 Description (11 DESCRIPTION)

The active ingredient in PROTONIX (pantoprazole sodium) For Delayed-Release Oral Suspension and PROTONIX (pantoprazole sodium) Delayed-Release Tablets, a PPI, is a substituted benzimidazole, sodium 5-(difluoromethoxy)-2-[[(3,4-dimethoxy-2-pyridinyl)methyl] sulfinyl]-1H-benzimidazole sesquihydrate, a compound that inhibits gastric acid secretion. Its empirical formula is C16H14F2N3NaO4S × 1.5 H2O, with a molecular weight of 432.4. The structural formula is:

Pantoprazole sodium sesquihydrate is a white to off-white crystalline powder and is racemic. Pantoprazole has weakly basic and acidic properties. Pantoprazole sodium sesquihydrate is freely soluble in water, very slightly soluble in phosphate buffer at pH 7.4, and practically insoluble in n-hexane.

The stability of the compound in aqueous solution is pH-dependent. The rate of degradation increases with decreasing pH. At ambient temperature, the degradation half-life is approximately 2.8 hours at pH 5 and approximately 220 hours at pH 7.8.

PROTONIX is supplied as a for delayed-release oral suspension in unit dose packets, available in one strength 40 mg pantoprazole, (equivalent to 45.1 mg of pantoprazole sodium), and as a delayed-release tablet, available in two strengths 20 mg pantoprazole (equivalent to 22.56 mg of pantoprazole sodium) and 40 mg pantoprazole (equivalent to 45.1 mg of pantoprazole sodium).

PROTONIX Delayed-Release Tablets contains the following inactive ingredients: calcium stearate, crospovidone, hypromellose, iron oxide, mannitol, methacrylic acid copolymer, polysorbate 80, povidone, propylene glycol, sodium carbonate, sodium lauryl sulfate, titanium dioxide, and triethyl citrate. PROTONIX Delayed-Release Tablets (40 mg and 20 mg) complies with USP dissolution test 2.

PROTONIX For Delayed-Release Oral Suspension contains the following inactive ingredients: crospovidone, hypromellose, methacrylic acid copolymer, microcrystalline cellulose, polysorbate 80, povidone, sodium carbonate, sodium lauryl sulfate, talc, titanium dioxide, triethyl citrate, and yellow ferric oxide.

5.4 Bone Fracture

Several published observational studies suggest that PPI therapy may be associated with an increased risk for osteoporosis-related fractures of the hip, wrist, or spine. The risk of fracture was increased in patients who received high-dose, defined as multiple daily doses, and long-term PPI therapy (a year or longer). Patients should use the lowest dose and shortest duration of PPI therapy appropriate to the condition being treated. Patients at risk for osteoporosis-related fractures should be managed according to established treatment guidelines [see Dosage and Administration (2), Adverse Reactions (6.2)].

8.4 Pediatric Use

The safety and effectiveness of PROTONIX for short-term treatment (up to eight weeks) of EE associated with GERD have been established in pediatric patients 1 year through 16 years of age. Effectiveness for EE has not been demonstrated in patients less than 1 year of age. In addition, for patients less than 5 years of age, there is no appropriate dosage strength in an age-appropriate formulation available. Therefore, PROTONIX is indicated for the short-term treatment of EE associated with GERD for patients 5 years and older. The safety and effectiveness of PROTONIX for pediatric uses other than EE have not been established.

8.5 Geriatric Use

In short-term US clinical trials, EE healing rates in the 107 elderly patients (≥65 years old) treated with PROTONIX were similar to those found in patients under the age of 65. The incidence rates of adverse reactions and laboratory abnormalities in patients aged 65 years and older were similar to those associated with patients younger than 65 years of age.

5.9 Tumorigenicity

Due to the chronic nature of GERD, there may be a potential for prolonged administration of PROTONIX. In long-term rodent studies, pantoprazole was carcinogenic and caused rare types of gastrointestinal tumors. The relevance of these findings to tumor development in humans is unknown [see Nonclinical Toxicology (13.1)].

14 Clinical Studies (14 CLINICAL STUDIES)

PROTONIX Delayed-Release Tablets were used in the following clinical trials.

4 Contraindications (4 CONTRAINDICATIONS)
  • PROTONIX is contraindicated in patients with known hypersensitivity to any component of the formulation or any substituted benzimidazole. Hypersensitivity reactions may include anaphylaxis, anaphylactic shock, angioedema, bronchospasm, acute tubulointerstitial nephritis, and urticaria [see Warnings and Precautions (5.2), Adverse Reactions (6)].
  • Proton pump inhibitors (PPIs), including PROTONIX, are contraindicated in patients receiving rilpivirine-containing products [see Drug Interactions (7)].
6 Adverse Reactions (6 ADVERSE REACTIONS)

The following serious adverse reactions are described below and elsewhere in labeling:

7 Drug Interactions (7 DRUG INTERACTIONS)

Table 4 includes drugs with clinically important drug interactions and interaction with diagnostics when administered concomitantly with PROTONIX and instructions for preventing or managing them.

Consult the labeling of concomitantly used drugs to obtain further information about interactions with PPIs.

Table 4: Clinically Relevant Interactions Affecting Drugs Co-Administered with PROTONIX and Interactions with Diagnostics

Antiretrovirals

Clinical Impact:

The effect of PPIs on antiretroviral drugs is variable. The clinical importance and the mechanisms behind these interactions are not always known.

  • Decreased exposure of some antiretroviral drugs (e.g., rilpivirine atazanavir, and nelfinavir) when used concomitantly with pantoprazole may reduce antiviral effect and promote the development of drug resistance.
  • Increased exposure of other antiretroviral drugs (e.g., saquinavir) when used concomitantly with pantoprazole may increase toxicity of the antiretroviral drugs.
  • There are other antiretroviral drugs which do not result in clinically relevant interactions with pantoprazole.

Intervention:

Rilpivirine-containing products: Concomitant use with PROTONIX is contraindicated [see Contraindications (4)]. See prescribing information.

Atazanavir: See prescribing information for atazanavir for dosing information.

Nelfinavir: Avoid concomitant use with PROTONIX. See prescribing information for nelfinavir.

Saquinavir: See the prescribing information for saquinavir and monitor for potential saquinavir toxicities.

Other antiretrovirals: See prescribing information.

Warfarin

Clinical Impact:

Increased INR and prothrombin time in patients receiving PPIs, including pantoprazole, and warfarin concomitantly. Increases in INR and prothrombin time may lead to abnormal bleeding and even death.

Intervention:

Monitor INR and prothrombin time. Dose adjustment of warfarin may be needed to maintain target INR range. See prescribing information for warfarin.

Clopidogrel

Clinical Impact:

Concomitant administration of pantoprazole and clopidogrel in healthy subjects had no clinically important effect on exposure to the active metabolite of clopidogrel or clopidogrel-induced platelet inhibition [see Clinical Pharmacology (12.3)].

Intervention:

No dose adjustment of clopidogrel is necessary when administered with an approved dose of PROTONIX.

Methotrexate

Clinical Impact:

Concomitant use of PPIs with methotrexate (primarily at high dose) may elevate and prolong serum concentrations of methotrexate and/or its metabolite hydroxymethotrexate, possibly leading to methotrexate toxicities. No formal drug interaction studies of high-dose methotrexate with PPIs have been conducted [see Warnings and Precautions (5.13)].

Intervention:

A temporary withdrawal of PROTONIX may be considered in some patients receiving high-dose methotrexate.

Drugs Dependent on Gastric pH for Absorption (e.g., iron salts, erlotinib, dasatinib, nilotinib, mycophenolate mofetil, ketoconazole/itraconazole)

Clinical Impact:

Pantoprazole can reduce the absorption of other drugs due to its effect on reducing intragastric acidity.

Intervention:

Mycophenolate mofetil (MMF): Co-administration of pantoprazole sodium in healthy subjects and in transplant patients receiving MMF has been reported to reduce the exposure to the active metabolite, mycophenolic acid (MPA), possibly due to a decrease in MMF solubility at an increased gastric pH [see Clinical Pharmacology (12.3)]. The clinical relevance of reduced MPA exposure on organ rejection has not been established in transplant patients receiving PROTONIX and MMF. Use PROTONIX with caution in transplant patients receiving MMF.

See the prescribing information for other drugs dependent on gastric pH for absorption.

Interactions with Investigations of Neuroendocrine Tumors

Clinical Impact:

CgA levels increase secondary to PPI-induced decreases in gastric acidity. The increased CgA level may cause false positive results in diagnostic investigations for neuroendocrine tumors [see Warnings and Precautions (5.11), Clinical Pharmacology (12.2)].

Intervention:

Temporarily stop PROTONIX treatment at least 14 days before assessing CgA levels and consider repeating the test if initial CgA levels are high. If serial tests are performed (e.g., for monitoring), the same commercial laboratory should be used for testing, as reference ranges between tests may vary.

False Positive Urine Tests for THC

Clinical Impact:

There have been reports of false positive urine screening tests for tetrahydrocannabinol (THC) in patients receiving PPIs [see Warnings and Precautions (5.12)].

Intervention:

An alternative confirmatory method should be considered to verify positive results.

Instructions for Use

PROTONIX for delayed-release oral suspension (PROTONIX for oral suspension):

Important information:

  • Do not split, chew, or crush PROTONIX for oral suspension.
  • Take PROTONIX for oral suspension about 30 minutes before a meal.
  • PROTONIX for oral suspension:
    • o
      should only be taken with applesauce or apple juice.
    • o
      should not be mixed in water or other liquids, or other foods.
    • o
      packet should not be divided to make a smaller dose.
  • Taking PROTONIX for oral suspension with applesauce:
    • 1.
      Open the packet of PROTONIX for oral suspension.
    • 2.
      Sprinkle all of the granules in the packet on 1 teaspoon of applesauce.
    • 3.
      Swallow the granules and applesauce within 10 minutes of putting the granules on the teaspoon of applesauce.
    • 4.
      Take sips of water to make sure the granules are washed down into the stomach. Take more sips of water as needed.
  • Taking PROTONIX for oral suspension with apple juice:
    • 1.
      Open the packet of PROTONIX for oral suspension.
    • 2.
      Empty all of the granules in the packet into a small cup that contains 1 teaspoon of apple juice.
    • 3.
      Stir the granules-apple juice mixture for 5 seconds. The granules will not break up.
    • 4.
      Swallow the mixture right away.
    • 5.
      To make sure that the entire dose is taken, add more apple juice to the cup, stir and swallow the apple juice right away.
    • 6.
      Repeat step 5 if there are granules left in the cup.
  • Giving PROTONIX for oral suspension through a nasogastric (NG) tube or gastrostomy tube:
    • PROTONIX for oral suspension may be given through an NG tube or gastrostomy tube that is size 16 French or larger. Do not give PROTONIX for oral suspension through an NG tube or gastrostomy tube smaller than size 16 French.
    • Mix PROTONIX for oral suspension only in apple juice when giving through an NG tube or gastrostomy tube.
      • 1.
        Remove the plunger from a 60 mL (2 ounce) catheter-tip syringe. Throw away the plunger.
      • 2.
        Connect the tip of the catheter-tip syringe to the NG tube or gastrostomy tube.
      • 3.
        Hold the syringe attached to the NG tube or gastrostomy tube as high as possible while giving PROTONIX for oral suspension to prevent the tubing from bending.
      • 4.
        Open the packet of PROTONIX for oral suspension.
      • 5.
        Empty all the granules in the packet into the catheter-tip syringe.
      • 6.
        Add 10 mL (2 teaspoons) of apple juice into the catheter-tip syringe and gently tap or shake the syringe to help empty the syringe.
      • 7.
        Repeat step 6 at least 2 more times until there are no granules left in the catheter-tip syringe.

How should I store PROTONIX?

Store PROTONIX at room temperature between 68°F to 77°F (20°C to 25°C).

Keep PROTONIX and all medicines out of the reach of children.

This Instructions for Use has been approved by the U.S. Food and Drug Administration.

This product's label may have been updated. For the most recent prescribing information, please go to www.pfizer.com.

under license from

Takeda GmbH

D78467 Konstanz, Germany

LAB-1511-1.0

Revised: March 2022

12.2 Pharmacodynamics

PROTONIX For Delayed-Release Oral Suspension, 40 mg has been shown to be comparable to PROTONIX Delayed-Release Tablets in suppressing pentagastrin-stimulated MAO in patients (n = 49) with GERD and a history of EE. In this multicenter, pharmacodynamic crossover study, a 40 mg oral dose of PROTONIX For Delayed-Release Oral Suspension administered in a teaspoonful of applesauce was compared with a 40 mg oral dose of PROTONIX Delayed-Release Tablets after administration of each formulation once daily for 7 days. Both medications were administered thirty minutes before breakfast. Pentagastrin-stimulated (MAO) was assessed from hour 23 to 24 at steady state.

12.3 Pharmacokinetics

PROTONIX Delayed-Release Tablets are prepared as enteric-coated tablets so that absorption of pantoprazole begins only after the tablet leaves the stomach. Peak serum concentration (Cmax) and area under the serum concentration time curve (AUC) increase in a manner proportional to oral and intravenous doses from 10 mg to 80 mg. Pantoprazole does not accumulate, and its pharmacokinetics are unaltered with multiple daily dosing. Following oral or intravenous administration, the serum concentration of pantoprazole declines biexponentially, with a terminal elimination half-life of approximately one hour.

In extensive metabolizers with normal liver function receiving an oral dose of the enteric-coated 40 mg pantoprazole tablet, the peak concentration (Cmax) is 2.5 μg/mL; the time to reach the peak concentration (tmax) is 2.5 h, and the mean total area under the plasma concentration versus time curve (AUC) is 4.8 μg∙h/mL (range 1.4 to 13.3 μg∙h/mL). Following intravenous administration of pantoprazole to extensive metabolizers, its total clearance is 7.6–14.0 L/h, and its apparent volume of distribution is 11.0–23.6 L.

A single oral dose of PROTONIX For Delayed-Release Oral Suspension, 40 mg, was shown to be bioequivalent when administered to healthy subjects (N = 22) as granules sprinkled over a teaspoonful of applesauce, as granules mixed with apple juice, or mixed with apple juice followed by administration through a nasogastric tube. The plasma pharmacokinetic parameters from a crossover study in healthy subjects are summarized in Table 6.

Table 6: Pharmacokinetics Parameters (mean ± SD) of PROTONIX For Delayed-Release Oral Suspension at 40 mg
Pharmacokinetic Parameters Granules in Applesauce Granules in Apple Juice Granules in Nasogastric Tube

AUC (µg∙hr/mL)

4.0 ± 1.5

4.0 ± 1.5

4.1 ± 1.7

Cmax (µg/mL)

2.0 ± 0.7

1.9 ± 0.5

2.2 ± 0.7

Tmax (hr)

Median values are reported for Tmax.

2.0

2.5

2.0

12.5 Pharmacogenomics

CYP2C19 displays a known genetic polymorphism due to its deficiency in some subpopulations (e.g., approximately 3% of Caucasians and African-Americans and 17% to 23% of Asians are poor metabolizers). Although these subpopulations of pantoprazole poor metabolizers have elimination half-life values of 3.5 to 10 hours in adults, they still have minimal accumulation (23% or less) with once-daily dosing. For adult patients who are CYP2C19 poor metabolizers, no dosage adjustment is needed.

Similar to adults, pediatric patients who have the poor metabolizer genotype of CYP2C19 (CYP2C19 *2/*2) exhibited greater than a 6-fold increase in AUC compared to pediatric extensive (CYP2C19 *1/*1) and intermediate (CYP2C19 *1/*x) metabolizers. Poor metabolizers exhibited approximately 10-fold lower apparent oral clearance compared to extensive metabolizers.

For known pediatric poor metabolizers, a dose reduction should be considered.

1 Indications and Usage (1 INDICATIONS AND USAGE)

PROTONIX For Delayed-Release Oral Suspension and PROTONIX Delayed-Release Tablets are indicated for:

12.1 Mechanism of Action

Pantoprazole is a PPI that suppresses the final step in gastric acid production by covalently binding to the (H+, K+)-ATPase enzyme system at the secretory surface of the gastric parietal cell. This effect leads to inhibition of both basal and stimulated gastric acid secretion, irrespective of the stimulus. The binding to the (H+, K+)-ATPase results in a duration of antisecretory effect that persists longer than 24 hours for all doses tested (20 mg to 120 mg).

5.10 Fundic Gland Polyps

PPI use is associated with an increased risk of fundic gland polyps that increases with long-term use, especially beyond one year. Most PPI users who developed fundic gland polyps were asymptomatic and fundic gland polyps were identified incidentally on endoscopy. Use the shortest duration of PPI therapy appropriate to the condition being treated.

5 Warnings and Precautions (5 WARNINGS AND PRECAUTIONS)
  • Gastric Malignancy: In adults, symptomatic response does not preclude presence of gastric malignancy. Consider additional follow-up and diagnostic testing. (5.1)
  • Acute Tubulointerstitial Nephritis: Discontinue treatment and evaluate patients. (5.2)
  • Clostridium difficile-Associated Diarrhea: PPI therapy may be associated with increased risk of Clostridium difficile-associated diarrhea. (5.3)
  • Bone Fracture: Long-term and multiple daily dose PPI therapy may be associated with an increased risk for osteoporosis-related fractures of the hip, wrist or spine. (5.4)
  • Severe Cutaneous Adverse Reactions: Discontinue at the first signs or symptoms of severe cutaneous adverse reactions or other signs of hypersensitivity and consider further evaluation. (5.5)
  • Cutaneous and Systemic Lupus Erythematosus: Mostly cutaneous; new onset or exacerbation of existing disease; discontinue PROTONIX and refer to specialist for evaluation. (5.6)
  • Cyanocobalamin (Vitamin B-12) Deficiency: Daily long-term use (e.g., longer than 3 years) may lead to malabsorption or a deficiency of cyanocobalamin. (5.7)
  • Hypomagnesemia and Mineral Metabolism: Reported rarely with prolonged treatment with PPIs. (5.8)
  • Fundic Gland Polyps: Risk increases with long-term use, especially beyond one year. Use the shortest duration of therapy. (5.10)
5.3 Clostridium Difficile (5.3 Clostridium difficile-)

Published observational studies suggest that PPI therapy like PROTONIX may be associated with an increased risk of Clostridium difficile associated diarrhea, especially in hospitalized patients. This diagnosis should be considered for diarrhea that does not improve [see Adverse Reactions (6.2)].

Patients should use the lowest dose and shortest duration of PPI therapy appropriate to the condition being treated.

2 Dosage and Administration (2 DOSAGE AND ADMINISTRATION)
Indication Dose Frequency

Short-Term Treatment of Erosive Esophagitis Associated With GERD (2.1)

  Adults

40 mg

Once Daily for up to 8 wks

  Children (5 years and older)

    ≥ 15 kg to < 40 kg

20 mg

Once Daily for up to 8 wks

    ≥ 40 kg

40 mg

Maintenance of Healing of Erosive Esophagitis (2.1)

  Adults

40 mg

Once Daily

Controlled studies did not extend beyond 12 months

Pathological Hypersecretory Conditions Including Zollinger-Ellison Syndrome (2.1)

  Adults

40 mg

Twice Daily

See full prescribing information for administration instructions

3 Dosage Forms and Strengths (3 DOSAGE FORMS AND STRENGTHS)

Delayed-Release Tablets:

  • 40 mg pantoprazole, yellow oval biconvex tablets imprinted with PROTONIX (brown ink) on one side
  • 20 mg pantoprazole, yellow oval biconvex tablets imprinted with P20 (brown ink) on one side

For Delayed-Release Oral Suspension:

  • 40 mg pantoprazole, pale yellowish to dark brownish, enteric-coated granules in a unit dose packet
6.2 Postmarketing Experience

The following adverse reactions have been identified during postapproval use of PROTONIX. Because these reactions are reported voluntarily from a population of uncertain size, it is not always possible to reliably estimate their frequency or establish a causal relationship to drug exposure.

These adverse reactions are listed below by body system:

Gastrointestinal Disorders: fundic gland polyps

General Disorders and Administration Conditions: asthenia, fatigue, malaise

Hematologic: pancytopenia, agranulocytosis

Hepatobiliary Disorders: hepatocellular damage leading to jaundice and hepatic failure

Immune System Disorders: anaphylaxis (including anaphylactic shock), systemic lupus erythematosus

Infections and Infestations: Clostridium difficile associated diarrhea

Investigations: weight changes

Metabolism and Nutritional Disorders: hypomagnesemia, hypocalcemia, hypokalemia, hyponatremia

Musculoskeletal Disorders: rhabdomyolysis, bone fracture

Nervous: ageusia, dysgeusia

Psychiatric Disorders: hallucination, confusion, insomnia, somnolence

Renal and Genitourinary Disorders: acute tubulointerstitial nephritis, erectile dysfunction

Skin and Subcutaneous Tissue Disorders: severe dermatologic reactions (some fatal), including erythema multiforme, SJS/TEN, DRESS, AGEP, angioedema (Quincke's edema) and cutaneous lupus erythematosus

8 Use in Specific Populations (8 USE IN SPECIFIC POPULATIONS)

Pregnancy: Based on animal data, may cause fetal harm. (8.1)

6.1 Clinical Trials Experience

The adverse reaction profiles for PROTONIX (pantoprazole sodium) For Delayed-Release Oral Suspension and PROTONIX (pantoprazole sodium) Delayed-Release Tablets are similar.

Because clinical trials are conducted under widely varying conditions, adverse reaction rates observed in the clinical trials of a drug cannot be directly compared to rates in the clinical trials of another drug and may not reflect the rates observed in clinical practice.

2.1 Recommended Dosing Schedule

PROTONIX is supplied as delayed-release granules in packets for preparation of oral suspensions or as delayed-release tablets. The recommended dosages are outlined in Table 1.

Table 1: Recommended Dosing Schedule for PROTONIX
Indication Dose Frequency

Short-Term Treatment of Erosive Esophagitis Associated With GERD

  Adults

40 mg

Once daily for up to 8 weeks

For adult patients who have not healed after 8 weeks of treatment, an additional 8-week course of PROTONIX may be considered.

  Children (5 years and older)

    ≥ 15 kg to < 40 kg

20 mg

Once daily for up to 8 weeks

    ≥ 40 kg

40 mg

Maintenance of Healing of Erosive Esophagitis

  Adults

40 mg

Once daily

Controlled studies did not extend beyond 12 months

Pathological Hypersecretory Conditions Including Zollinger-Ellison Syndrome

  Adults

40 mg

Twice daily

Dosage regimens should be adjusted to individual patient needs and should continue for as long as clinically indicated. Doses up to 240 mg daily have been administered.

2.2 Administration Instructions

Directions for method of administration for each dosage form are presented in Table 2.

Table 2: Administration Instructions
Formulation Route Instructions
Do not split, chew, or crush PROTONIX Delayed-Release Tablets and PROTONIX For Delayed-Release Oral Suspension.

Delayed-Release Tablets

Oral

Swallowed whole, with or without food

For Delayed-Release Oral Suspension

Oral

Administered in 1 teaspoonful of applesauce or apple juice approximately 30 minutes prior to a meal

For Delayed-Release Oral Suspension

Nasogastric tube

See instructions below

Take a missed dose as soon as possible. If it is almost time for the next dose, skip the missed dose and take the next dose at the regular scheduled time. Do not take 2 doses at the same time.

17 Patient Counseling Information (17 PATIENT COUNSELING INFORMATION)

Advise the patient to read the FDA-approved patient labeling (Medication Guide and Instructions for Use).

5.1 Presence of Gastric Malignancy

In adults, symptomatic response to therapy with PROTONIX does not preclude the presence of gastric malignancy. Consider additional follow-up and diagnostic testing in adult patients who have a suboptimal response or an early symptomatic relapse after completing treatment with a PPI. In older patients, also consider an endoscopy.

5.2 Acute Tubulointerstitial Nephritis

Acute tubulointerstitial nephritis (TIN) has been observed in patients taking PPIs and may occur at any point during PPI therapy. Patients may present with varying signs and symptoms from symptomatic hypersensitivity reactions to non-specific symptoms of decreased renal function (e.g., malaise, nausea, anorexia). In reported case series, some patients were diagnosed on biopsy and in the absence of extra-renal manifestations (e.g., fever, rash or arthralgia). Discontinue PROTONIX and evaluate patients with suspected acute TIN [see Contraindications (4)].

5.5 Severe Cutaneous Adverse Reactions

Severe cutaneous adverse reactions, including erythema multiforme, Stevens-Johnson syndrome (SJS), toxic epidermal necrolysis (TEN), drug reaction with eosinophilia and systemic symptoms (DRESS), and acute generalized exanthematous pustulosis (AGEP) have been reported in association with the use of PPIs [see Adverse Reactions (6.2)]. Discontinue PROTONIX at the first signs or symptoms of severe cutaneous adverse reactions or other signs of hypersensitivity and consider further evaluation.

Principal Display Panel 40 Mg Packet (PRINCIPAL DISPLAY PANEL - 40 mg Packet)

Pfizer

Protonix®

(pantoprazole sodium)

40 mg

NDC 0008-0844-01

For Delayed-Release Oral Suspension*

*suspension in apple juice or applesauce only

Each packet contains:

Pantoprazole

40 mg

(equivalent to 45.1 mg of pantoprazole sodium)

F.3/0422/6103546

Code 90

Rx only

5.8 Hypomagnesemia and Mineral Metabolism

Hypomagnesemia, symptomatic and asymptomatic, has been reported rarely in patients treated with PPIs for at least three months, and in most cases after a year of therapy. Serious adverse events include tetany, arrhythmias, and seizures. Hypomagnesemia may lead to hypocalcemia and/or hypokalemia and may exacerbate underlying hypocalcemia in at-risk patients. In most patients, treatment of hypomagnesemia required magnesium replacement and discontinuation of the PPI.

For patients expected to be on prolonged treatment or who take PPIs with medications such as digoxin or drugs that may cause hypomagnesemia (e.g., diuretics), health care professionals may consider monitoring magnesium levels prior to initiation of PPI treatment and periodically [see Adverse Reactions (6.2)].

Consider monitoring magnesium and calcium levels prior to initiation of PROTONIX and periodically while on treatment in patients with a preexisting risk of hypocalcemia (e.g., hypoparathyroidism). Supplement with magnesium and/or calcium as necessary. If hypocalcemia is refractory to treatment, consider discontinuing the PPI.

5.12 Interference With Urine Screen for Thc (5.12 Interference with Urine Screen for THC)

There have been reports of false-positive urine screening tests for tetrahydrocannabinol (THC) in patients receiving PPIs, including PROTONIX [see Drug Interactions (7)].

5.7 Cyanocobalamin (vitamin B 12) Deficiency (5.7 Cyanocobalamin (Vitamin B-12) Deficiency)

Generally, daily treatment with any acid-suppressing medications over a long period of time (e.g., longer than 3 years) may lead to malabsorption of cyanocobalamin (Vitamin B-12) caused by hypo- or achlorhydria. Rare reports of cyanocobalamin deficiency occurring with acid-suppressing therapy have been reported in the literature. This diagnosis should be considered if clinical symptoms consistent with cyanocobalamin deficiency are observed.

Principal Display Panel 40 Mg Packet Carton (PRINCIPAL DISPLAY PANEL - 40 mg Packet Carton)

Pfizer

NDC 0008-0844-02

ALWAYS DISPENSE WITH MEDICATION GUIDE

Protonix®

40 mg

(pantoprazole sodium)

For Delayed-Release Oral Suspension*

*suspension in apple juice or applesauce only

Rx only

30 Packets

5.6 Cutaneous and Systemic Lupus Erythematosus

Cutaneous lupus erythematosus (CLE) and systemic lupus erythematosus (SLE) have been reported in patients taking PPIs, including pantoprazole sodium. These events have occurred as both new onset and an exacerbation of existing autoimmune disease. The majority of PPI-induced lupus erythematous cases were CLE.

The most common form of CLE reported in patients treated with PPIs was subacute CLE (SCLE) and occurred within weeks to years after continuous drug therapy in patients ranging from infants to the elderly. Generally, histological findings were observed without organ involvement.

Systemic lupus erythematosus (SLE) is less commonly reported than CLE in patients receiving PPIs. PPI associated SLE is usually milder than non-drug induced SLE. Onset of SLE typically occurred within days to years after initiating treatment primarily in patients ranging from young adults to the elderly. The majority of patients presented with rash; however, arthralgia and cytopenia were also reported.

Avoid administration of PPIs for longer than medically indicated. If signs or symptoms consistent with CLE or SLE are noted in patients receiving PROTONIX, discontinue the drug and refer the patient to the appropriate specialist for evaluation. Most patients improve with discontinuation of the PPI alone in 4 to 12 weeks. Serological testing (e.g., ANA) may be positive and elevated serological test results may take longer to resolve than clinical manifestations.

1.2 Maintenance of Healing of Erosive Esophagitis

PROTONIX is indicated for maintenance of healing of EE and reduction in relapse rates of daytime and nighttime heartburn symptoms in adult patients with GERD. Controlled studies did not extend beyond 12 months.

5.13 Concomitant Use of Protonix With Methotrexate (5.13 Concomitant Use of PROTONIX with Methotrexate)

Literature suggests that concomitant use of PPIs with methotrexate (primarily at high dose; see methotrexate prescribing information) may elevate and prolong serum levels of methotrexate and/or its metabolite, possibly leading to methotrexate toxicities. In high-dose methotrexate administration, a temporary withdrawal of the PPI may be considered in some patients [see Drug Interactions (7)].

Principal Display Panel 20 Mg Tablet Bottle Label (PRINCIPAL DISPLAY PANEL - 20 mg Tablet Bottle Label)

ALWAYS DISPENSE WITH

MEDICATION GUIDE

Pfizer

NDC 0008-0843-81

Protonix ®

(pantoprazole sodium)

delayed-release tablets

20 mg

Swallow tablets whole. Do NOT

split, chew, or crush tablets.

90 Tablets

Rx only

Principal Display Panel 40 Mg Tablet Bottle Label (PRINCIPAL DISPLAY PANEL - 40 mg Tablet Bottle Label)

ALWAYS DISPENSE WITH

MEDICATION GUIDE

Pfizer

NDC 0008-0841-81

Protonix ®

(pantoprazole sodium)

delayed-release tablets

40 mg

Swallow tablets whole. Do NOT

split, chew, or crush tablets.

90 Tablets

Rx only

13.1 Carcinogenesis, Mutagenesis, Impairment of Fertility

In a 24-month carcinogenicity study, Sprague-Dawley rats were treated orally with pantoprazole doses of 0.5 to 200 mg/kg/day, about 0.1 to 40 times the exposure on a body surface area basis of a 50 kg person dosed with 40 mg/day. In the gastric fundus, treatment with 0.5 to 200 mg/kg/day produced enterochromaffin-like (ECL) cell hyperplasia and benign and malignant neuroendocrine cell tumors in a dose-related manner. In the forestomach, treatment with 50 and 200 mg/kg/day (about 10 and 40 times the recommended human dose on a body surface area basis) produced benign squamous cell papillomas and malignant squamous cell carcinomas. Rare gastrointestinal tumors associated with pantoprazole treatment included an adenocarcinoma of the duodenum with 50 mg/kg/day and benign polyps and adenocarcinomas of the gastric fundus with 200 mg/kg/day. In the liver, treatment with 0.5 to 200 mg/kg/day produced dose-related increases in the incidences of hepatocellular adenomas and carcinomas. In the thyroid gland, treatment with 200 mg/kg/day produced increased incidences of follicular cell adenomas and carcinomas for both male and female rats.

In a 24-month carcinogenicity study, Fischer 344 rats were treated orally with doses of 5 to 50 mg/kg/day of pantoprazole, approximately 1 to 10 times the recommended human dose based on body surface area. In the gastric fundus, treatment with 5 to 50 mg/kg/day produced enterochromaffin-like (ECL) cell hyperplasia and benign and malignant neuroendocrine cell tumors. Dose selection for this study may not have been adequate to comprehensively evaluate the carcinogenic potential of pantoprazole.

In a 24-month carcinogenicity study, B6C3F1 mice were treated orally with doses of 5 to 150 mg/kg/day of pantoprazole, 0.5 to 15 times the recommended human dose based on body surface area. In the liver, treatment with 150 mg/kg/day produced increased incidences of hepatocellular adenomas and carcinomas in female mice. Treatment with 5 to 150 mg/kg/day also produced gastric-fundic ECL cell hyperplasia.

A 26-week p53 +/- transgenic mouse carcinogenicity study was not positive.

Pantoprazole was positive in the in vitro human lymphocyte chromosomal aberration assays, in one of two mouse micronucleus tests for clastogenic effects, and in the in vitro Chinese hamster ovarian cell/HGPRT forward mutation assay for mutagenic effects. Equivocal results were observed in the in vivo rat liver DNA covalent binding assay. Pantoprazole was negative in the in vitro Ames mutation assay, the in vitro unscheduled DNA synthesis (UDS) assay with rat hepatocytes, the in vitro AS52/GPT mammalian cell-forward gene mutation assay, the in vitro thymidine kinase mutation test with mouse lymphoma L5178Y cells, and the in vivo rat bone marrow cell chromosomal aberration assay.

There were no effects on fertility or reproductive performance when pantoprazole was given at oral doses up to 500 mg/kg/day in male rats (98 times the recommended human dose based on body surface area) and 450 mg/kg/day in female rats (88 times the recommended human dose based on body surface area).

14.2 Long Term Maintenance of Healing of Erosive Esophagitis (14.2 Long-Term Maintenance of Healing of Erosive Esophagitis)

Two independent, multicenter, randomized, double-blind, comparator-controlled trials of identical design were conducted in adult GERD patients with endoscopically confirmed healed EE to demonstrate efficacy of PROTONIX in long-term maintenance of healing. The two US studies enrolled 386 and 404 patients, respectively, to receive either 10 mg, 20 mg, or 40 mg of PROTONIX Delayed-Release Tablets once daily or 150 mg of ranitidine twice daily. As demonstrated in Table 10, PROTONIX 40 mg and 20 mg were significantly superior to ranitidine at every timepoint with respect to the maintenance of healing. In addition, PROTONIX 40 mg was superior to all other treatments studied.

Table 10: Long-Term Maintenance of Healing of Erosive Gastroesophageal Reflux Disease (GERD Maintenance): Percentage of Patients Who Remained Healed
PROTONIX

20 mg daily
PROTONIX

40 mg daily
Ranitidine

150 mg twice daily
Note: PROTONIX 10 mg was superior (p <0.05) to ranitidine in Study 2, but not Study 1.

Study 1

n = 75

n = 74

n = 75

Month 1

91

(p <0.05 vs. ranitidine)

99

68

Month 3

82

93

(p <0.05 vs. PROTONIX 20 mg)

54

Month 6

76

90

44

Month 12

70

86

35

Study 2

n = 74

n = 88

n = 84

Month 1

89

92

62

Month 3

78

91

47

Month 6

72

88

39

Month 12

72

83

37

PROTONIX 40 mg was superior to ranitidine in reducing the number of daytime and nighttime heartburn episodes from the first through the twelfth month of treatment. PROTONIX 20 mg, administered once daily, was also effective in reducing episodes of daytime and nighttime heartburn in one trial, as presented in Table 11.

Table 11: Number of Episodes of Heartburn (mean ± SD)
PROTONIX

40 mg daily
Ranitidine

150 mg twice daily

Month 1

Daytime

5.1 ± 1.6

(p <0.001 vs. ranitidine, combined data from the two US studies)

18.3 ± 1.6

Nighttime

3.9 ± 1.1

11.9 ± 1.1

Month 12

Daytime

2.9 ± 1.5

17.5 ± 1.5

Nighttime

2.5 ± 1.2

13.8 ± 1.3

5.11 Interference With Investigations for Neuroendocrine Tumors (5.11 Interference with Investigations for Neuroendocrine Tumors)

Serum chromogranin A (CgA) levels increase secondary to drug-induced decreases in gastric acidity. The increased CgA level may cause false positive results in diagnostic investigations for neuroendocrine tumors. Healthcare providers should temporarily stop PROTONIX treatment at least 14 days before assessing CgA levels and consider repeating the test if initial CgA levels are high. If serial tests are performed (e.g., for monitoring), the same commercial laboratory should be used for testing, as reference ranges between tests may vary [see Clinical Pharmacology (12.2)].

1.3 Pathological Hypersecretory Conditions Including Zollinger Ellison Syndrome (1.3 Pathological Hypersecretory Conditions Including Zollinger-Ellison Syndrome)

PROTONIX is indicated for the long-term treatment of pathological hypersecretory conditions, including Zollinger-Ellison (ZE) Syndrome.

14.3 Pathological Hypersecretory Conditions Including Zollinger Ellison Syndrome (14.3 Pathological Hypersecretory Conditions Including Zollinger-Ellison Syndrome)

In a multicenter, open-label trial of 35 patients with pathological hypersecretory conditions, such as Zollinger-Ellison Syndrome, with or without multiple endocrine neoplasia-type I, PROTONIX successfully controlled gastric acid secretion. Doses ranging from 80 mg daily to 240 mg daily maintained gastric acid output below 10 mEq/h in patients without prior acid-reducing surgery and below 5 mEq/h in patients with prior acid-reducing surgery.

Doses were initially titrated to the individual patient needs, and adjusted in some patients based on the clinical response with time [see Dosage and Administration (2)]. PROTONIX was well tolerated at these dose levels for prolonged periods (greater than 2 years in some patients).

1.1 Short Term Treatment of Erosive Esophagitis Associated With Gastroesophageal Reflux Disease (gerd) (1.1 Short-Term Treatment of Erosive Esophagitis Associated With Gastroesophageal Reflux Disease (GERD))

PROTONIX is indicated in adults and pediatric patients five years of age and older for the short-term treatment (up to 8 weeks) in the healing and symptomatic relief of erosive esophagitis (EE). For those adult patients who have not healed after 8 weeks of treatment, an additional 8-week course of PROTONIX may be considered. Safety of treatment beyond 8 weeks in pediatric patients has not been established.


Advanced Ingredient Data


Raw Label Data

All Sections (JSON)