Ampicillin For Injection, Usp

Ampicillin For Injection, Usp
SPL v4
SPL
SPL Set ID 06b1c203-600c-4083-986a-d1d471b56e43
Route
INTRAVENOUS
Published
Effective Date 2018-05-31
Document Type 34391-3 HUMAN PRESCRIPTION DRUG LABEL

Drug Facts

Composition & Product

Active Ingredients
Ampicillin (10 g)

Identifiers & Packaging

Marketing Status
ANDA Completed Since 2018-05-31 Until 2026-09-30

Description

PHARMACY BULK PACKAGE - NOT FOR DIRECT INFUSION Athenex Rx only To reduce the development of drug-resistant bacteria and maintain the effectiveness of ampicillin and other antibacterial drugs, Ampicillin for Injection, USP should be used only to treat or prevent infections that are proven or strongly suspected to be caused by bacteria.

Indications and Usage

Ampicillin for Injection, USP is indicated in the treatment of infections caused by susceptible strains of the designated organisms in the following conditions: Respiratory Tract Infections caused by Streptococcus pneumoniae, Staphylococcus aureus (penicillinase and nonpenicillinase-producing), H. influenzae, and Group A beta-hemolytic streptococci. Bacterial Meningitis caused by E. Coli , Group B streptococci, and other Gram-negative bacteria ( Listeria monocytogenes, N. meningitidis ). The addition of an aminoglycoside with ampicillin may increase its effectiveness against Gram-negative bacteria. Septicemia and Endocarditis caused by susceptible Gram-positive organisms including Streptococcus spp ., penicillin G-susceptible staphylococci, and enterococci. Gram-negative sepsis caused by E. Coli, Proteus mirabilis and Salmonella spp. responds to ampicillin. Endocarditis due to enterococcal strains usually respond to intravenous therapy. The addition of an aminoglycoside may enhance the effectiveness of ampicillin when treating streptococcal endocarditis. Urinary Tract Infections caused by sensitive strains of E. Coli and Proteus mirabilis. Gastrointestinal Infections caused by Salmonella typhi (typhoid fever), other Salmonella spp., and Shigella spp. (dysentery) usually respond to oral or intravenous therapy. Bacteriology studies to determine the causative organisms and their susceptibility to ampicillin should be performed. Therapy may be instituted prior to obtaining results of susceptibility testing. It is advisable to reserve the parenteral form of this drug for moderately severe and severe infections and for patients who are unable to take the oral forms. A change to oral ampicillin may be made as soon as appropriate. To reduce the development of drug-resistant bacteria and maintain the effectiveness of Ampicillin for Injection, USP and other antibacterial drugs, Ampicillin for Injection, USP should be used only to treat or prevent infections that are proven or strongly suspected to be caused by susceptible bacteria. When culture and susceptibility information are available, they should be considered in selecting or modifying antibacterial therapy. In the absence of such data, local epidemiology and susceptibility patterns may contribute to the empiric selection of therapy. Indicated surgical procedures should be performed.

Dosage and Administration

This insert is for a Pharmacy Bulk Package and is intended for preparing IV admixtures only. Dosage recommendations for intravenous injection are for informational purposes only. Infections of the respiratory tract and soft tissues. Patients weighing 40 kg (88 lbs) or more: 250 mg to 500 mg every 6 hours. Patients weighing less than 40 kg (88 lbs): 25 to 50 mg/kg/day in equally divided doses at 6- to 8-hour intervals. Infections of the gastrointestinal and genitourinary tracts (including those caused by Neisseria gonorrhoeae in females). Patients weighing 40 kg (88 lbs) or more: 500 mg every 6 hours. Patients weighing less than 40 kg (88 lbs): 50 mg/kg/day in equally divided doses at 6- to 8-hour intervals. In the treatment of chronic urinary tract and intestinal infections, frequent bacteriological and clinical appraisal is necessary. Smaller doses than those recommended above should not be used. Higher doses should be used for stubborn or severe infections. In stubborn infections, therapy may be required for several weeks. It may be necessary to continue clinical and/or bacteriological follow-up for several months after cessation of therapy.

Contraindications

A history of a previous hypersensitivity reaction to any of the penicillins is a contraindication.

Adverse Reactions

As with other penicillins, it may be expected that untoward reactions will be essentially limited to sensitivity phenomena. They are more likely to occur in individuals who have previously demonstrated hypersensitivity to penicillins and in those with a history of allergy, asthma, hay fever, or urticaria. The following adverse reactions have been reported as associated with the use of ampicillin:

Drug Interactions

The concurrent administration of allopurinol and ampicillin increases substantially the incidence of skin rashes in patients receiving both drugs as compared to patients receiving ampicillin alone. It is not known whether this potentiation of ampicillin rashes is due to allopurinol or the hyperuricemia present in these patients.

How Supplied

Ampicillin for Injection, USP is supplied as follows: NDC Ampicillin for Injection, USP Package Factor 70860-118-99 10 gram Pharmacy Bulk Bottle 1 bottle per carton Each Ampicillin for Injection, USP Pharmacy Bulk Package bottle contains ampicillin sodium equivalent to 10 grams of ampicillin.


Medication Information

Indications and Usage

Ampicillin for Injection, USP is indicated in the treatment of infections caused by susceptible strains of the designated organisms in the following conditions:

Respiratory Tract Infectionscaused by Streptococcus pneumoniae, Staphylococcus aureus(penicillinase and nonpenicillinase-producing), H. influenzae,and Group A beta-hemolytic streptococci.

Bacterial Meningitiscaused by E. Coli, Group B streptococci, and other Gram-negative bacteria ( Listeria monocytogenes, N. meningitidis). The addition of an aminoglycoside with ampicillin may increase its effectiveness against Gram-negative bacteria.

Septicemia and Endocarditiscaused by susceptible Gram-positive organisms including Streptococcus spp., penicillin G-susceptible staphylococci, and enterococci. Gram-negative sepsis caused by E. Coli, Proteus mirabilisand Salmonella spp.responds to ampicillin. Endocarditis due to enterococcal strains usually respond to intravenous therapy. The addition of an aminoglycoside may enhance the effectiveness of ampicillin when treating streptococcal endocarditis.

Urinary Tract Infectionscaused by sensitive strains of E. Coliand Proteus mirabilis.

Gastrointestinal Infectionscaused by Salmonella typhi(typhoid fever), other Salmonella spp.,and Shigella spp.(dysentery) usually respond to oral or intravenous therapy. Bacteriology studies to determine the causative organisms and their susceptibility to ampicillin should be performed. Therapy may be instituted prior to obtaining results of susceptibility testing.

It is advisable to reserve the parenteral form of this drug for moderately severe and severe infections and for patients who are unable to take the oral forms. A change to oral ampicillin may be made as soon as appropriate.

To reduce the development of drug-resistant bacteria and maintain the effectiveness of Ampicillin for Injection, USP and other antibacterial drugs, Ampicillin for Injection, USP should be used only to treat or prevent infections that are proven or strongly suspected to be caused by susceptible bacteria. When culture and susceptibility information are available, they should be considered in selecting or modifying antibacterial therapy. In the absence of such data, local epidemiology and susceptibility patterns may contribute to the empiric selection of therapy.

Indicated surgical procedures should be performed.

Dosage and Administration

This insert is for a Pharmacy Bulk Package and is intended for preparing IV admixtures only. Dosage recommendations for intravenous injection are for informational purposes only.

Infections of the respiratory tract and soft tissues.

Patients weighing 40 kg (88 lbs) or more:250 mg to 500 mg every 6 hours.

Patients weighing less than 40 kg (88 lbs):25 to 50 mg/kg/day in equally divided doses at 6- to 8-hour intervals.

Infections of the gastrointestinal and genitourinary tracts (including those caused by Neisseria gonorrhoeae in females).

Patients weighing 40 kg (88 lbs) or more:500 mg every 6 hours.

Patients weighing less than 40 kg (88 lbs):50 mg/kg/day in equally divided doses at 6- to 8-hour intervals.

In the treatment of chronic urinary tract and intestinal infections, frequent bacteriological and clinical appraisal is necessary. Smaller doses than those recommended above should not be used. Higher doses should be used for stubborn or severe infections. In stubborn infections, therapy may be required for several weeks. It may be necessary to continue clinical and/or bacteriological follow-up for several months after cessation of therapy.

Contraindications

A history of a previous hypersensitivity reaction to any of the penicillins is a contraindication.

Adverse Reactions

As with other penicillins, it may be expected that untoward reactions will be essentially limited to sensitivity phenomena. They are more likely to occur in individuals who have previously demonstrated hypersensitivity to penicillins and in those with a history of allergy, asthma, hay fever, or urticaria.

The following adverse reactions have been reported as associated with the use of ampicillin:

Drug Interactions

The concurrent administration of allopurinol and ampicillin increases substantially the incidence of skin rashes in patients receiving both drugs as compared to patients receiving ampicillin alone. It is not known whether this potentiation of ampicillin rashes is due to allopurinol or the hyperuricemia present in these patients.

How Supplied

Ampicillin for Injection, USP is supplied as follows:

NDC Ampicillin for Injection, USP Package Factor
70860-118-99 10 gram Pharmacy Bulk Bottle 1 bottle per carton

Each Ampicillin for Injection, USP Pharmacy Bulk Package bottle contains ampicillin sodium equivalent to 10 grams of ampicillin.

Description

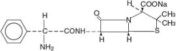
Ampicillin for Injection, USP the monosodium salt of [2S-[2α,5α,6β(S*)]]-6-[(aminophenylacetyl)amino]-3,3-dimethyl-7-oxo-4-thia-1-azabicyclo[3.2.0]heptane-2-carboxylic acid, is a synthetic penicillin for intravenous use. The pharmacy bulk package contains sterile ampicillin sodium equivalent to 10 grams ampicillin. It is an antibacterial agent with a broad spectrum of bactericidal activity against both penicillin-susceptible Gram-positive organisms and many common Gram-negative pathogens.

Ampicillin for Injection, USP is a dry, white to off-white powder. The reconstituted solution is clear, colorless and free from visible particulates.

A Pharmacy Bulk Package is a container of a sterile preparation for parenteral use that contains many single doses. The contents of this pharmacy bulk package are intended for use by a pharmacy admixture service for addition to suitable parenteral fluids in the preparation of admixtures for intravenous infusion (see DOSAGE AND ADMINISTRATION, Directions For Proper Use of Pharmacy Bulk Package ).

It has the following molecular structure:

The molecular formula is C 16H 18N 3NaO 4S, and the molecular weight is 371.39.

The pH range of the reconstituted solution is 8 to 10. Ampicillin for Injection, USP contains 65.83 mg (2.86 milliequivalents) of sodium per 1 gram of drug. Ampicillin for Injection, USP is white to off-white crystalline powder. The solution after constitution is clear and colorless. Each Ampicillin for Injection Pharmacy Bulk Package bottle contains ampicillin sodium equivalent to 10 grams of ampicillin.

Section 42229-5
PHARMACY BULK PACKAGE - NOT FOR DIRECT INFUSION

Athenex

Rx only

To reduce the development of drug-resistant bacteria and maintain the effectiveness of ampicillin and other antibacterial drugs, Ampicillin for Injection, USP should be used only to treat or prevent infections that are proven or strongly suspected to be caused by bacteria.

Section 51945-4

PACKAGE LABEL – PRINCIPAL DISPLAY PANEL – BOTTLE LABEL

NDC 70860-118-99

Ampicillin for Injection, USP

10 grams per Pharmacy Bulk Package

PHARMACY BULK PACKAGE - NOT FOR DIRECT INFUSION

NOT TO BE DISPENSED AS A UNIT

Rx only

For Intravenous Use

General

The possibility of superinfections with mycotic organisms or bacterial pathogens should be kept in mind during therapy. In such cases, discontinue the drug and substitute appropriate treatment.

A high percentage (43 to 100 percent) of patients with infectious mononucleosis who receive ampicillin develop a skin rash. Typically, the rash appears 7 to 10 days after the start of oral ampicillin therapy and remains for a few days to a week after the drug is discontinued. In most cases, the rash is maculopapular, pruritic, and generalized. Therefore, the administration of ampicillin is not recommended in patients with mononucleosis. It is not known whether these patients are truly allergic to ampicillin.

Prescribing Ampicillin for Injection, USP in the absence of a proven or strongly suspected bacterial infection or a prophylactic indication is unlikely to provide benefit to the patient and increases the risk of the development of drug resistant bacteria.

Warnings

Serious and occasionally fatal hypersensitivity (anaphylactoid) reactions have been reported in patients on penicillin therapy. Although anaphylaxis is more frequent following parenteral therapy, it has occurred in patients on oral penicillins. These reactions are more apt to occur in individuals with a history of penicillin hypersensitivity and/or a history of sensitivity to multiple allergens. There have been well-documented reports of individuals with a history of penicillin hypersensitivity reactions who have experienced severe hypersensitivity reactions when treated with a cephalosporin. Before initiating therapy with a penicillin, careful inquiry should be made concerning previous hypersensitivity reactions to penicillins, cephalosporins, and other allergens. If an allergic reaction occurs, the drug should be discontinued and appropriate therapy instituted.

SERIOUS ANAPHYLACTOID REACTIONS REQUIRE IMMEDIATE EMERGENCY TREATMENT WITH EPINEPHRINE, OXYGEN, INTRAVENOUS STEROIDS, AND AIRWAY MANAGEMENT, INCLUDING INTUBATION, SHOULD ALSO BE ADMINISTERED AS INDICATED.

Clostridium difficileassociated diarrhea (CDAD) has been reported with use of nearly all antibacterial agents, including ampicillin for injection, and may range in severity from mild diarrhea to fatal colitis. Treatment with antibacterial agents alters the normal flora of the colon leading to over-growth of C. difficile.

C. difficileproduces toxins A and B which contribute to the development of CDAD. Hypertoxin producing strains of C. difficilecause increased morbidity and mortality, as these infections can be refractory to antimicrobial therapy and may require colectomy. CDAD must be considered in all patients who present with diarrhea following antibiotic use. Careful medical history is necessary since CDAD has been reported to occur over two months after the administration of antibacterial agents.

If CDAD is suspected or confirmed, ongoing antibiotic use not directed against C. difficilemay need to be discontinued. Appropriate fluid and electrolyte management, protein supplementation, antibiotic treatment of C. difficile, and surgical evaluation should be instituted as clinically indicated.

Overdosage

In cases of overdose, discontinue medication, treat symptomatically, and institute supportive measures as required. In patients with renal function impairment, ampicillin-class antibiotics can be removed by hemodialysis but not peritoneal dialysis.

Microbiology

While in vitrostudies have demonstrated the susceptibility of most strains of the following organisms, clinical efficacy for infections other than those included in the INDICATIONS AND USAGE section has not been demonstrated.

Pediatric Use

Guidelines for the administration of these drugs to children, including neonates are presented in DOSAGE AND ADMINISTRATION section.

Nursing Mothers

Ampicillin is excreted in trace amounts in human milk. Therefore, caution should be exercised when ampicillin-class antibiotics are administered to a nursing woman.

Gastrointestinal

Glossitis, stomatitis, black “hairy” tongue, nausea, vomiting, enterocolitis, pseudomembranous colitis, and diarrhea. (These reactions are usually associated with oral dosage forms.)

Laboratory Tests

As with any potent drug, periodic assessment of organ system function, including renal, hepatic, and hematopoietic, should be made during prolonged therapy.

Transient elevation of serum transaminase has been observed following administration of ampicillin. The significance of this finding is not known.

Labor and Delivery

Oral ampicillin-class antibiotics are poorly absorbed during labor. Studies in guinea pigs showed that intravenous administration of ampicillin slightly decreased the uterine tone and frequency of contractions, but moderately increased the height and duration of contractions. However, it is not known whether use of these drugs in humans during labor or delivery has immediate or delayed adverse effects on the fetus, prolongs the duration of labor, or increases the likelihood that forceps delivery or other obstetrical intervention or resuscitation of the newborn will be necessary.

Storage Conditions

Store dry powder at 20º to 25ºC (68º to 77ºF). [See USP Controlled Room Temperature.]

Sterile, Nonpyrogenic, Preservative-free.

The container closure is not made with natural rubber latex.

Athenex

Mfd. for Athenex

Schaumburg, IL 60173 (USA)

Mfd. by Istituto Biochimico Italiano

Made in Italy

©2018 Athenex.

Revised: September 2018

Pregnancy Category B

Reproduction studies have been performed in laboratory animals at doses several times the human dose and have revealed no evidence of adverse effects due to ampicillin. There are, however, no adequate and well-controlled studies in pregnant women. Because animal reproduction studies are not always predictive of human response, this drug should be used during pregnancy only if clearly needed.

Clinical Pharmacology

Ampicillin for Injection, USP diffuses readily into most body tissues and fluids. However, penetration into the cerebrospinal fluid and brain occurs only when the meninges are inflamed. Ampicillin is excreted largely unchanged in the urine and its excretion can be delayed by concurrent administration of probenecid. Due to maturational changes in renal function, ampicillin half-life decreases as postmenstrual age (a sum of gestational age and postnatal age) increases for infants with postnatal age of less than 28 days. The active form appears in the bile in higher concentrations than those found in serum. Ampicillin is the least serum-bound of all the penicillins, averaging about 20% compared to approximately 60 to 90% for other penicillins. Ampicillin for Injection, USP is well tolerated by most patients and has been given in doses of 2 grams daily for many weeks without adverse reactions.

Antibacterial Activity

The following bacteria have been shown in in vitrostudies to be susceptible to Ampicillin for Injection, USP:

Gram-positive Bacteria

Hemolytic and nonhemolytic streptococci

Streptococcus pneumonia

Nonpenicillinase-producing staphylococci

Clostridiumspp.

B. anthracis

Listeria monocytogenes

Most strains of enterococci.

Gram-negative Bacteria

H. influenzae

N. gonorrhoeae

N. meningitides

Proteus mirabilis

Many strains of Salmonella, Shigella, and E. coli.

AMPICILLIN does not resist destruction by penicillinase.

Information for Patients

Patients should be counseled that antibacterial drugs including Ampicillin for Injection, USP should only be used to treat bacterial infections. They do not treat viral infections (e.g., the common cold). When Ampicillin for Injection, USP is prescribed to treat a bacterial infection, patients should be told that although it is common to feel better early in the course of therapy, the medication should be taken exactly as directed. Skipping doses or not completing the full course of therapy may: (1) decrease the effectiveness of the immediate treatment, and (2) increase the likelihood that bacteria will develop resistance and will not be treatable by Ampicillin for Injection, USP or other antibacterial drugs in the future.

Diarrhea is a common problem caused by antibiotics which usually ends when the antibiotic is discontinued. Sometimes after starting treatment with antibiotics, patients can develop watery and bloody stools (with or without stomach cramps and fever) even as late as two or more months after having taken the last dose of the antibiotic. If this occurs, patients should contact their physician as soon as possible.

Hypersensitivity Reactions

Skin rashes and urticaria have been reported frequently. A few cases of exfoliative dermatitis and erythema multiforme have been reported. Anaphylaxis is the most serious reaction experienced and has usually been associated with the parenteral dosage form.

Note:Urticaria, other skin rashes, and serum sickness-like reactions may be controlled with antihistamines and, if necessary, systemic corticosteroids. Whenever such reactions occur, ampicillin should be discontinued, unless, in the opinion of the physician, the condition being treated is life-threatening and amenable only to ampicillin therapy. Serious anaphylactic reactions require the immediate use of epinephrine, oxygen, and intravenous steroids.

Liver -A moderate rise in serum glutamic oxaloacetic transaminase (SGOT) has been noted, particularly in infants, but the significance of this finding is unknown. Mild transitory SGOT elevations have been observed in individuals receiving larger (two to four times) than usual and oft-repeated intramuscular injections. Evidence indicates that glutamic oxaloacetic transaminase (GOT) is released at the site of intramuscular injection of ampicillin sodium and that the presence of increased amounts of this enzyme in the blood does not necessarily indicate liver involvement.

Hemic and Lymphatic Systems -Anemia, thrombocytopenia, thrombocytopenic purpura, eosinophilia, leukopenia, and agranulocytosis have been reported during therapy with the penicillins. These reactions are usually reversible on discontinuation of therapy and are believed to be hypersensitivity phenomena.

Central Nervous System -Seizures

To report SUSPECTED ADVERSE REACTIONS, contact Athenex Pharmaceutical Division, LLC. at 1-855-273-0154 or FDA at 1-800-FDA-1088 or www.fda.gov/medwatch .

Susceptibility Test Methods

For specific information regarding susceptibility test interpretive criteria and associated test methods and quality control standards recognized by FDA for this drug, please see: https://www.fda.gov/STIC.

Drug/laboratory Test Interactions

With high urine concentrations of ampicillin, false-positive glucose reactions may occur if Clinitest, Benedict's Solution, or Fehling's Solution are used. Therefore, it is recommended that glucose tests based on enzymatic glucose oxidase reactions (such as Clinistix or Tes-Tape) be used.

For Administration By Intravenous Infusion

Reconstitute as directed below ( Directions for Proper Use of Pharmacy Bulk Package ) prior to diluting with an intravenous solution.

IMPORTANT: This chemical stability information in no way indicates that it would be acceptable practice to use this product well after the preparation time. Good professional practice suggests that compounded admixtures should be administered as soon after preparation as is feasible.

Stability studies on ampicillin sodium at several concentrations in various intravenous solutions indicate the drug will lose less than 10% activity at the temperatures noted for the time periods stated.

Room Temperature (25°C)
Diluent Concentrations Stability Periods
Sterile Water for Injection up to 30 mg/mL 8 hours
0.9% Sodium Chloride Injection, USP up to 30 mg/mL 8 hours
5% Dextrose Injection, USP 10 to 20 mg/mL 1 hour
5% Dextrose Injection, USP up to 2 mg/mL 2 hours
5% Dextrose and 0.45% Sodium Chloride Injection, USP up to 2 mg/mL 2 hours
Lactated Ringer's Injection, USP up to 30 mg/mL 8 hours
Refrigerated (4°C)
Sterile Water for Injection 30 mg/mL 48 hours
Sterile Water for Injection up to 20 mg/mL 72 hours
0.9% Sodium Chloride Injection, USP 30 mg/mL 24 hours
0.9% Sodium Chloride Injection, USP up to 20 mg/mL 48 hours
Lactated Ringer's Injection, USP up to 30 mg/mL 24 hours
5% Dextrose Injection, USP up to 20 mg/mL 1 hour
5% Dextrose and 0.45% Sodium Chloride Injection, USP up to 10 mg/mL 1 hour

Only those solutions listed above should be used for the intravenous infusion of Ampicillin for Injection, USP. The concentrations should fall within the range specified. The drug concentration and the rate and volume of the infusion should be adjusted so that the total dose of ampicillin is administered before the drug loses its stability in the solution in use.

Directions for Proper Use of Pharmacy Bulk Package

This glass Pharmacy Bulk Package bottle contains 10 grams ampicillin and is designed for use in the pharmacy in preparing IV admixtures.

  • Add 94 mL Sterile Water for Injection, USP. The resulting solution will contain 100 milligrams ampicillin activity per mL, and is stable up to ONE HOURat room temperature.
  • Dilute further within ONE HOURto a concentration of 5 mg to 10 mg per mL. See Table for suitable fluid. Use promptly. This chemical stability information in no way indicates that it would be acceptable practice to use this product well after preparation time. Good professional practice suggests that compounded admixtures should be administered as soon after preparation as is feasible.
  • Using aseptic technique under a laminar flow hood, the closure should be penetrated only one time after reconstitution using a suitable sterile dispensing set; which allows measured dispensing of the contents. Use of a syringe and needle is not recommended as it may cause leakage.
  • After entry, use entire contents of Pharmacy Bulk Package bottle promptly. The entire contents of the Pharmacy Bulk Package bottle must be dispensed within ONE HOURof reconstitution. This time limit should begin with the introduction of solvent or diluent into the Pharmacy Bulk Package bottle.
  • A plastic ball attached to the pharmacy bulk package provides a suitable hanging device while dispensing contents.

Use of this product is restricted to a suitable work area, such as a laminar flow hood. Parenteral drug products should be inspected visually for particulate matter and discoloration prior to administration, whenever solution and container permit.

Carcinogenesis, Mutagenesis, and Impairment of Fertility

No long-term animal studies have been conducted with this drug.


Structured Label Content

Section 42229-5 (42229-5)
PHARMACY BULK PACKAGE - NOT FOR DIRECT INFUSION

Athenex

Rx only

To reduce the development of drug-resistant bacteria and maintain the effectiveness of ampicillin and other antibacterial drugs, Ampicillin for Injection, USP should be used only to treat or prevent infections that are proven or strongly suspected to be caused by bacteria.

Section 51945-4 (51945-4)

PACKAGE LABEL – PRINCIPAL DISPLAY PANEL – BOTTLE LABEL

NDC 70860-118-99

Ampicillin for Injection, USP

10 grams per Pharmacy Bulk Package

PHARMACY BULK PACKAGE - NOT FOR DIRECT INFUSION

NOT TO BE DISPENSED AS A UNIT

Rx only

For Intravenous Use

General

The possibility of superinfections with mycotic organisms or bacterial pathogens should be kept in mind during therapy. In such cases, discontinue the drug and substitute appropriate treatment.

A high percentage (43 to 100 percent) of patients with infectious mononucleosis who receive ampicillin develop a skin rash. Typically, the rash appears 7 to 10 days after the start of oral ampicillin therapy and remains for a few days to a week after the drug is discontinued. In most cases, the rash is maculopapular, pruritic, and generalized. Therefore, the administration of ampicillin is not recommended in patients with mononucleosis. It is not known whether these patients are truly allergic to ampicillin.

Prescribing Ampicillin for Injection, USP in the absence of a proven or strongly suspected bacterial infection or a prophylactic indication is unlikely to provide benefit to the patient and increases the risk of the development of drug resistant bacteria.

Warnings (WARNINGS)

Serious and occasionally fatal hypersensitivity (anaphylactoid) reactions have been reported in patients on penicillin therapy. Although anaphylaxis is more frequent following parenteral therapy, it has occurred in patients on oral penicillins. These reactions are more apt to occur in individuals with a history of penicillin hypersensitivity and/or a history of sensitivity to multiple allergens. There have been well-documented reports of individuals with a history of penicillin hypersensitivity reactions who have experienced severe hypersensitivity reactions when treated with a cephalosporin. Before initiating therapy with a penicillin, careful inquiry should be made concerning previous hypersensitivity reactions to penicillins, cephalosporins, and other allergens. If an allergic reaction occurs, the drug should be discontinued and appropriate therapy instituted.

SERIOUS ANAPHYLACTOID REACTIONS REQUIRE IMMEDIATE EMERGENCY TREATMENT WITH EPINEPHRINE, OXYGEN, INTRAVENOUS STEROIDS, AND AIRWAY MANAGEMENT, INCLUDING INTUBATION, SHOULD ALSO BE ADMINISTERED AS INDICATED.

Clostridium difficileassociated diarrhea (CDAD) has been reported with use of nearly all antibacterial agents, including ampicillin for injection, and may range in severity from mild diarrhea to fatal colitis. Treatment with antibacterial agents alters the normal flora of the colon leading to over-growth of C. difficile.

C. difficileproduces toxins A and B which contribute to the development of CDAD. Hypertoxin producing strains of C. difficilecause increased morbidity and mortality, as these infections can be refractory to antimicrobial therapy and may require colectomy. CDAD must be considered in all patients who present with diarrhea following antibiotic use. Careful medical history is necessary since CDAD has been reported to occur over two months after the administration of antibacterial agents.

If CDAD is suspected or confirmed, ongoing antibiotic use not directed against C. difficilemay need to be discontinued. Appropriate fluid and electrolyte management, protein supplementation, antibiotic treatment of C. difficile, and surgical evaluation should be instituted as clinically indicated.

Overdosage (OVERDOSAGE)

In cases of overdose, discontinue medication, treat symptomatically, and institute supportive measures as required. In patients with renal function impairment, ampicillin-class antibiotics can be removed by hemodialysis but not peritoneal dialysis.

Description (DESCRIPTION)

Ampicillin for Injection, USP the monosodium salt of [2S-[2α,5α,6β(S*)]]-6-[(aminophenylacetyl)amino]-3,3-dimethyl-7-oxo-4-thia-1-azabicyclo[3.2.0]heptane-2-carboxylic acid, is a synthetic penicillin for intravenous use. The pharmacy bulk package contains sterile ampicillin sodium equivalent to 10 grams ampicillin. It is an antibacterial agent with a broad spectrum of bactericidal activity against both penicillin-susceptible Gram-positive organisms and many common Gram-negative pathogens.

Ampicillin for Injection, USP is a dry, white to off-white powder. The reconstituted solution is clear, colorless and free from visible particulates.

A Pharmacy Bulk Package is a container of a sterile preparation for parenteral use that contains many single doses. The contents of this pharmacy bulk package are intended for use by a pharmacy admixture service for addition to suitable parenteral fluids in the preparation of admixtures for intravenous infusion (see DOSAGE AND ADMINISTRATION, Directions For Proper Use of Pharmacy Bulk Package ).

It has the following molecular structure:

The molecular formula is C 16H 18N 3NaO 4S, and the molecular weight is 371.39.

The pH range of the reconstituted solution is 8 to 10. Ampicillin for Injection, USP contains 65.83 mg (2.86 milliequivalents) of sodium per 1 gram of drug. Ampicillin for Injection, USP is white to off-white crystalline powder. The solution after constitution is clear and colorless. Each Ampicillin for Injection Pharmacy Bulk Package bottle contains ampicillin sodium equivalent to 10 grams of ampicillin.

How Supplied (HOW SUPPLIED)

Ampicillin for Injection, USP is supplied as follows:

NDC Ampicillin for Injection, USP Package Factor
70860-118-99 10 gram Pharmacy Bulk Bottle 1 bottle per carton

Each Ampicillin for Injection, USP Pharmacy Bulk Package bottle contains ampicillin sodium equivalent to 10 grams of ampicillin.

Microbiology

While in vitrostudies have demonstrated the susceptibility of most strains of the following organisms, clinical efficacy for infections other than those included in the INDICATIONS AND USAGE section has not been demonstrated.

Pediatric Use

Guidelines for the administration of these drugs to children, including neonates are presented in DOSAGE AND ADMINISTRATION section.

Nursing Mothers

Ampicillin is excreted in trace amounts in human milk. Therefore, caution should be exercised when ampicillin-class antibiotics are administered to a nursing woman.

Gastrointestinal

Glossitis, stomatitis, black “hairy” tongue, nausea, vomiting, enterocolitis, pseudomembranous colitis, and diarrhea. (These reactions are usually associated with oral dosage forms.)

Laboratory Tests

As with any potent drug, periodic assessment of organ system function, including renal, hepatic, and hematopoietic, should be made during prolonged therapy.

Transient elevation of serum transaminase has been observed following administration of ampicillin. The significance of this finding is not known.

Adverse Reactions (ADVERSE REACTIONS)

As with other penicillins, it may be expected that untoward reactions will be essentially limited to sensitivity phenomena. They are more likely to occur in individuals who have previously demonstrated hypersensitivity to penicillins and in those with a history of allergy, asthma, hay fever, or urticaria.

The following adverse reactions have been reported as associated with the use of ampicillin:

Contraindications (CONTRAINDICATIONS)

A history of a previous hypersensitivity reaction to any of the penicillins is a contraindication.

Drug Interactions

The concurrent administration of allopurinol and ampicillin increases substantially the incidence of skin rashes in patients receiving both drugs as compared to patients receiving ampicillin alone. It is not known whether this potentiation of ampicillin rashes is due to allopurinol or the hyperuricemia present in these patients.

Labor and Delivery

Oral ampicillin-class antibiotics are poorly absorbed during labor. Studies in guinea pigs showed that intravenous administration of ampicillin slightly decreased the uterine tone and frequency of contractions, but moderately increased the height and duration of contractions. However, it is not known whether use of these drugs in humans during labor or delivery has immediate or delayed adverse effects on the fetus, prolongs the duration of labor, or increases the likelihood that forceps delivery or other obstetrical intervention or resuscitation of the newborn will be necessary.

Storage Conditions

Store dry powder at 20º to 25ºC (68º to 77ºF). [See USP Controlled Room Temperature.]

Sterile, Nonpyrogenic, Preservative-free.

The container closure is not made with natural rubber latex.

Athenex

Mfd. for Athenex

Schaumburg, IL 60173 (USA)

Mfd. by Istituto Biochimico Italiano

Made in Italy

©2018 Athenex.

Revised: September 2018

Pregnancy Category B

Reproduction studies have been performed in laboratory animals at doses several times the human dose and have revealed no evidence of adverse effects due to ampicillin. There are, however, no adequate and well-controlled studies in pregnant women. Because animal reproduction studies are not always predictive of human response, this drug should be used during pregnancy only if clearly needed.

Clinical Pharmacology (CLINICAL PHARMACOLOGY)

Ampicillin for Injection, USP diffuses readily into most body tissues and fluids. However, penetration into the cerebrospinal fluid and brain occurs only when the meninges are inflamed. Ampicillin is excreted largely unchanged in the urine and its excretion can be delayed by concurrent administration of probenecid. Due to maturational changes in renal function, ampicillin half-life decreases as postmenstrual age (a sum of gestational age and postnatal age) increases for infants with postnatal age of less than 28 days. The active form appears in the bile in higher concentrations than those found in serum. Ampicillin is the least serum-bound of all the penicillins, averaging about 20% compared to approximately 60 to 90% for other penicillins. Ampicillin for Injection, USP is well tolerated by most patients and has been given in doses of 2 grams daily for many weeks without adverse reactions.

Indications and Usage (INDICATIONS AND USAGE)

Ampicillin for Injection, USP is indicated in the treatment of infections caused by susceptible strains of the designated organisms in the following conditions:

Respiratory Tract Infectionscaused by Streptococcus pneumoniae, Staphylococcus aureus(penicillinase and nonpenicillinase-producing), H. influenzae,and Group A beta-hemolytic streptococci.

Bacterial Meningitiscaused by E. Coli, Group B streptococci, and other Gram-negative bacteria ( Listeria monocytogenes, N. meningitidis). The addition of an aminoglycoside with ampicillin may increase its effectiveness against Gram-negative bacteria.

Septicemia and Endocarditiscaused by susceptible Gram-positive organisms including Streptococcus spp., penicillin G-susceptible staphylococci, and enterococci. Gram-negative sepsis caused by E. Coli, Proteus mirabilisand Salmonella spp.responds to ampicillin. Endocarditis due to enterococcal strains usually respond to intravenous therapy. The addition of an aminoglycoside may enhance the effectiveness of ampicillin when treating streptococcal endocarditis.

Urinary Tract Infectionscaused by sensitive strains of E. Coliand Proteus mirabilis.

Gastrointestinal Infectionscaused by Salmonella typhi(typhoid fever), other Salmonella spp.,and Shigella spp.(dysentery) usually respond to oral or intravenous therapy. Bacteriology studies to determine the causative organisms and their susceptibility to ampicillin should be performed. Therapy may be instituted prior to obtaining results of susceptibility testing.

It is advisable to reserve the parenteral form of this drug for moderately severe and severe infections and for patients who are unable to take the oral forms. A change to oral ampicillin may be made as soon as appropriate.

To reduce the development of drug-resistant bacteria and maintain the effectiveness of Ampicillin for Injection, USP and other antibacterial drugs, Ampicillin for Injection, USP should be used only to treat or prevent infections that are proven or strongly suspected to be caused by susceptible bacteria. When culture and susceptibility information are available, they should be considered in selecting or modifying antibacterial therapy. In the absence of such data, local epidemiology and susceptibility patterns may contribute to the empiric selection of therapy.

Indicated surgical procedures should be performed.

Antibacterial Activity

The following bacteria have been shown in in vitrostudies to be susceptible to Ampicillin for Injection, USP:

Gram-positive Bacteria

Hemolytic and nonhemolytic streptococci

Streptococcus pneumonia

Nonpenicillinase-producing staphylococci

Clostridiumspp.

B. anthracis

Listeria monocytogenes

Most strains of enterococci.

Gram-negative Bacteria

H. influenzae

N. gonorrhoeae

N. meningitides

Proteus mirabilis

Many strains of Salmonella, Shigella, and E. coli.

AMPICILLIN does not resist destruction by penicillinase.

Information for Patients

Patients should be counseled that antibacterial drugs including Ampicillin for Injection, USP should only be used to treat bacterial infections. They do not treat viral infections (e.g., the common cold). When Ampicillin for Injection, USP is prescribed to treat a bacterial infection, patients should be told that although it is common to feel better early in the course of therapy, the medication should be taken exactly as directed. Skipping doses or not completing the full course of therapy may: (1) decrease the effectiveness of the immediate treatment, and (2) increase the likelihood that bacteria will develop resistance and will not be treatable by Ampicillin for Injection, USP or other antibacterial drugs in the future.

Diarrhea is a common problem caused by antibiotics which usually ends when the antibiotic is discontinued. Sometimes after starting treatment with antibiotics, patients can develop watery and bloody stools (with or without stomach cramps and fever) even as late as two or more months after having taken the last dose of the antibiotic. If this occurs, patients should contact their physician as soon as possible.

Dosage and Administration (DOSAGE AND ADMINISTRATION)

This insert is for a Pharmacy Bulk Package and is intended for preparing IV admixtures only. Dosage recommendations for intravenous injection are for informational purposes only.

Infections of the respiratory tract and soft tissues.

Patients weighing 40 kg (88 lbs) or more:250 mg to 500 mg every 6 hours.

Patients weighing less than 40 kg (88 lbs):25 to 50 mg/kg/day in equally divided doses at 6- to 8-hour intervals.

Infections of the gastrointestinal and genitourinary tracts (including those caused by Neisseria gonorrhoeae in females).

Patients weighing 40 kg (88 lbs) or more:500 mg every 6 hours.

Patients weighing less than 40 kg (88 lbs):50 mg/kg/day in equally divided doses at 6- to 8-hour intervals.

In the treatment of chronic urinary tract and intestinal infections, frequent bacteriological and clinical appraisal is necessary. Smaller doses than those recommended above should not be used. Higher doses should be used for stubborn or severe infections. In stubborn infections, therapy may be required for several weeks. It may be necessary to continue clinical and/or bacteriological follow-up for several months after cessation of therapy.

Hypersensitivity Reactions

Skin rashes and urticaria have been reported frequently. A few cases of exfoliative dermatitis and erythema multiforme have been reported. Anaphylaxis is the most serious reaction experienced and has usually been associated with the parenteral dosage form.

Note:Urticaria, other skin rashes, and serum sickness-like reactions may be controlled with antihistamines and, if necessary, systemic corticosteroids. Whenever such reactions occur, ampicillin should be discontinued, unless, in the opinion of the physician, the condition being treated is life-threatening and amenable only to ampicillin therapy. Serious anaphylactic reactions require the immediate use of epinephrine, oxygen, and intravenous steroids.

Liver -A moderate rise in serum glutamic oxaloacetic transaminase (SGOT) has been noted, particularly in infants, but the significance of this finding is unknown. Mild transitory SGOT elevations have been observed in individuals receiving larger (two to four times) than usual and oft-repeated intramuscular injections. Evidence indicates that glutamic oxaloacetic transaminase (GOT) is released at the site of intramuscular injection of ampicillin sodium and that the presence of increased amounts of this enzyme in the blood does not necessarily indicate liver involvement.

Hemic and Lymphatic Systems -Anemia, thrombocytopenia, thrombocytopenic purpura, eosinophilia, leukopenia, and agranulocytosis have been reported during therapy with the penicillins. These reactions are usually reversible on discontinuation of therapy and are believed to be hypersensitivity phenomena.

Central Nervous System -Seizures

To report SUSPECTED ADVERSE REACTIONS, contact Athenex Pharmaceutical Division, LLC. at 1-855-273-0154 or FDA at 1-800-FDA-1088 or www.fda.gov/medwatch .

Susceptibility Test Methods

For specific information regarding susceptibility test interpretive criteria and associated test methods and quality control standards recognized by FDA for this drug, please see: https://www.fda.gov/STIC.

Drug/laboratory Test Interactions (Drug/Laboratory Test Interactions)

With high urine concentrations of ampicillin, false-positive glucose reactions may occur if Clinitest, Benedict's Solution, or Fehling's Solution are used. Therefore, it is recommended that glucose tests based on enzymatic glucose oxidase reactions (such as Clinistix or Tes-Tape) be used.

For Administration By Intravenous Infusion (For Administration by Intravenous Infusion)

Reconstitute as directed below ( Directions for Proper Use of Pharmacy Bulk Package ) prior to diluting with an intravenous solution.

IMPORTANT: This chemical stability information in no way indicates that it would be acceptable practice to use this product well after the preparation time. Good professional practice suggests that compounded admixtures should be administered as soon after preparation as is feasible.

Stability studies on ampicillin sodium at several concentrations in various intravenous solutions indicate the drug will lose less than 10% activity at the temperatures noted for the time periods stated.

Room Temperature (25°C)
Diluent Concentrations Stability Periods
Sterile Water for Injection up to 30 mg/mL 8 hours
0.9% Sodium Chloride Injection, USP up to 30 mg/mL 8 hours
5% Dextrose Injection, USP 10 to 20 mg/mL 1 hour
5% Dextrose Injection, USP up to 2 mg/mL 2 hours
5% Dextrose and 0.45% Sodium Chloride Injection, USP up to 2 mg/mL 2 hours
Lactated Ringer's Injection, USP up to 30 mg/mL 8 hours
Refrigerated (4°C)
Sterile Water for Injection 30 mg/mL 48 hours
Sterile Water for Injection up to 20 mg/mL 72 hours
0.9% Sodium Chloride Injection, USP 30 mg/mL 24 hours
0.9% Sodium Chloride Injection, USP up to 20 mg/mL 48 hours
Lactated Ringer's Injection, USP up to 30 mg/mL 24 hours
5% Dextrose Injection, USP up to 20 mg/mL 1 hour
5% Dextrose and 0.45% Sodium Chloride Injection, USP up to 10 mg/mL 1 hour

Only those solutions listed above should be used for the intravenous infusion of Ampicillin for Injection, USP. The concentrations should fall within the range specified. The drug concentration and the rate and volume of the infusion should be adjusted so that the total dose of ampicillin is administered before the drug loses its stability in the solution in use.

Directions for Proper Use of Pharmacy Bulk Package (Directions For Proper Use Of Pharmacy Bulk Package)

This glass Pharmacy Bulk Package bottle contains 10 grams ampicillin and is designed for use in the pharmacy in preparing IV admixtures.

  • Add 94 mL Sterile Water for Injection, USP. The resulting solution will contain 100 milligrams ampicillin activity per mL, and is stable up to ONE HOURat room temperature.
  • Dilute further within ONE HOURto a concentration of 5 mg to 10 mg per mL. See Table for suitable fluid. Use promptly. This chemical stability information in no way indicates that it would be acceptable practice to use this product well after preparation time. Good professional practice suggests that compounded admixtures should be administered as soon after preparation as is feasible.
  • Using aseptic technique under a laminar flow hood, the closure should be penetrated only one time after reconstitution using a suitable sterile dispensing set; which allows measured dispensing of the contents. Use of a syringe and needle is not recommended as it may cause leakage.
  • After entry, use entire contents of Pharmacy Bulk Package bottle promptly. The entire contents of the Pharmacy Bulk Package bottle must be dispensed within ONE HOURof reconstitution. This time limit should begin with the introduction of solvent or diluent into the Pharmacy Bulk Package bottle.
  • A plastic ball attached to the pharmacy bulk package provides a suitable hanging device while dispensing contents.

Use of this product is restricted to a suitable work area, such as a laminar flow hood. Parenteral drug products should be inspected visually for particulate matter and discoloration prior to administration, whenever solution and container permit.

Carcinogenesis, Mutagenesis, and Impairment of Fertility

No long-term animal studies have been conducted with this drug.


Advanced Ingredient Data


Raw Label Data

All Sections (JSON)