These Highlights Do Not Include All The Information Needed To Use Sildenafil Tablets Safely And Effectively. See Full Prescribing Information For Sildenafil Tablets.

These Highlights Do Not Include All The Information Needed To Use Sildenafil Tablets Safely And Effectively. See Full Prescribing Information For Sildenafil Tablets.
SPL v2
SPL
SPL Set ID 06571775-b651-4e23-a35b-88392aae7e13
Route
ORAL
Published
Effective Date 2022-08-31
Document Type 34391-3 HUMAN PRESCRIPTION DRUG LABEL

Drug Facts

Composition & Product

Active Ingredients
Sildenafil (20 mg)
Inactive Ingredients
Cellulose, Microcrystalline Croscarmellose Sodium Magnesium Stearate Hypromelloses Titanium Dioxide Triacetin Calcium Phosphate, Dibasic, Dihydrate

Identifiers & Packaging

Pill Appearance
Imprint: C89 Shape: round Color: white Size: 7 mm Score: 1
Marketing Status
ANDA Active Since 2014-01-03

Description

Warnings and Precautions, Visual Loss ( 5.5 )                 07/2017

Warnings and Precautions

• Increased mortality with increasing doses in pediatric patients. Not recommended for use in pediatric patients. ( 5.1 ) • Vasodilation effects may be more common in patients with hypotension or on antihypertensive therapy. ( 5.2 ) • Use in pulmonary veno-occlusive disease may cause pulmonary edema and is not recommended. ( 5.3 ) • Hearing or visual impairment: Seek medical attention if sudden decrease or loss of vision or hearing occurs. ( 5.5 , 5.6 ) • Pulmonary hypertension secondary to sickle cell disease: Sildenafil may cause serious vaso-occlusive crises. ( 5.9 )

Contraindications

Sildenafil tablets are contraindicated in patients with: • Concomitant use of organic nitrates in any form, either regularly or intermittently, because of the greater risk of hypotension [ see  Warnings and Precautions (5.2) ]. • Concomitant use of riociguat, a guanylate cyclase stimulator. PDE-5 inhibitors, including sildenafil, may potentiate the hypotensive effects of riociguat. • Known hypersensitivity to sildenafil or any component of the tablet. Hypersensitivity, including anaphylactic reaction, anaphylactic shock and anaphylactoid reaction, has been reported in association with the use of sildenafil.

Adverse Reactions

The following serious adverse events are discussed elsewhere in the labeling: • Mortality with pediatric use[ see Warnings and Precautions (5.1 ) and Use in Specific Populations (8.4) ] • Hypotension [ see Warnings and Precautions (5.2) ] • Vision loss [ see Warnings and Precautions (5.5) ] • Hearing loss [ see Warnings and Precautions (5.6) ] • Priapism [ see Warnings and Precautions (5.8) ] • Vaso-occlusive crisis [ see Warnings and Precautions (5.9) ]

Drug Interactions

Nitrates Concomitant use of sildenafil with nitrates in any form is contraindicated [ see Contraindications (4) ]. Ritonavir and other Potent CYP3A Inhibitors Concomitant use of sildenafil with ritonavir and other potent CYP3A inhibitors is not recommended [ see Clinical Pharmacology (12.3) ]. Other drugs that reduce blood pressure Alpha blockers . In drug-drug interaction studies, sildenafil (25 mg, 50 mg, or 100 mg) and the alpha-blocker doxazosin (4 mg or 8 mg) were administered simultaneously to patients with benign prostatic hyperplasia (BPH) stabilized on doxazosin therapy. In these study populations, mean additional reductions of supine systolic and diastolic blood pressure of 7/7 mmHg, 9/5 mmHg, and 8/4 mmHg, respectively, were observed. Mean additional reductions of standing blood pressure of 6/6 mmHg, 11/4 mmHg, and 4/5 mmHg, respectively, were also observed. There were infrequent reports of patients who experienced symptomatic postural hypotension. These reports included dizziness and light-headedness, but not syncope. Amlodipine . When sildenafil 100 mg oral was co-administered with amlodipine, 5 mg or 10 mg oral, to hypertensive patients, the mean additional reduction on supine blood pressure was 8 mmHg systolic and 7 mmHg diastolic. Monitor blood pressure when co-administering blood pressure lowering drugs with sildenafil [ see Warnings and Precautions (5.2) ].

Storage and Handling

Sildenafil tablets, USP are supplied as white to off-white, film-coated, round tablets containing sildenafil citrate equivalent to the nominally indicated amount of sildenafil as follows: Sildenafil Tablets Package Configuration Strength NDC Debossing on Tablet Bottle of 30 Tablets  20 mg  76420-061-30 repackaged from NDC 33342-121-10   “C 89”  Bottle of 60 Tablets 20 mg  76420-061-60 repackaged from NDC 33342-121-10 “C 89”  Bottle of 90 Tablets 20 mg 76420-061-90 relabeled from NDC 33342-121-10 “C 89” Recommended Storage for Sildenafil Tablets, USP: Store at controlled room temperature 20º to 25ºC (68º to 77ºF); excursions permitted to 15º to 30ºC (59º to 86ºF) [see USP Controlled Room Temperature]. Dispense in tight containers (USP).

How Supplied

Sildenafil tablets, USP are supplied as white to off-white, film-coated, round tablets containing sildenafil citrate equivalent to the nominally indicated amount of sildenafil as follows: Sildenafil Tablets Package Configuration Strength NDC Debossing on Tablet Bottle of 30 Tablets  20 mg  76420-061-30 repackaged from NDC 33342-121-10   “C 89”  Bottle of 60 Tablets 20 mg  76420-061-60 repackaged from NDC 33342-121-10 “C 89”  Bottle of 90 Tablets 20 mg 76420-061-90 relabeled from NDC 33342-121-10 “C 89” Recommended Storage for Sildenafil Tablets, USP: Store at controlled room temperature 20º to 25ºC (68º to 77ºF); excursions permitted to 15º to 30ºC (59º to 86ºF) [see USP Controlled Room Temperature]. Dispense in tight containers (USP).


Medication Information

Warnings and Precautions

• Increased mortality with increasing doses in pediatric patients. Not recommended for use in pediatric patients. ( 5.1 ) • Vasodilation effects may be more common in patients with hypotension or on antihypertensive therapy. ( 5.2 ) • Use in pulmonary veno-occlusive disease may cause pulmonary edema and is not recommended. ( 5.3 ) • Hearing or visual impairment: Seek medical attention if sudden decrease or loss of vision or hearing occurs. ( 5.5 , 5.6 ) • Pulmonary hypertension secondary to sickle cell disease: Sildenafil may cause serious vaso-occlusive crises. ( 5.9 )

Contraindications

Sildenafil tablets are contraindicated in patients with: • Concomitant use of organic nitrates in any form, either regularly or intermittently, because of the greater risk of hypotension [ see  Warnings and Precautions (5.2) ]. • Concomitant use of riociguat, a guanylate cyclase stimulator. PDE-5 inhibitors, including sildenafil, may potentiate the hypotensive effects of riociguat. • Known hypersensitivity to sildenafil or any component of the tablet. Hypersensitivity, including anaphylactic reaction, anaphylactic shock and anaphylactoid reaction, has been reported in association with the use of sildenafil.

Adverse Reactions

The following serious adverse events are discussed elsewhere in the labeling: • Mortality with pediatric use[ see Warnings and Precautions (5.1 ) and Use in Specific Populations (8.4) ] • Hypotension [ see Warnings and Precautions (5.2) ] • Vision loss [ see Warnings and Precautions (5.5) ] • Hearing loss [ see Warnings and Precautions (5.6) ] • Priapism [ see Warnings and Precautions (5.8) ] • Vaso-occlusive crisis [ see Warnings and Precautions (5.9) ]

Drug Interactions

Nitrates Concomitant use of sildenafil with nitrates in any form is contraindicated [ see Contraindications (4) ]. Ritonavir and other Potent CYP3A Inhibitors Concomitant use of sildenafil with ritonavir and other potent CYP3A inhibitors is not recommended [ see Clinical Pharmacology (12.3) ]. Other drugs that reduce blood pressure Alpha blockers . In drug-drug interaction studies, sildenafil (25 mg, 50 mg, or 100 mg) and the alpha-blocker doxazosin (4 mg or 8 mg) were administered simultaneously to patients with benign prostatic hyperplasia (BPH) stabilized on doxazosin therapy. In these study populations, mean additional reductions of supine systolic and diastolic blood pressure of 7/7 mmHg, 9/5 mmHg, and 8/4 mmHg, respectively, were observed. Mean additional reductions of standing blood pressure of 6/6 mmHg, 11/4 mmHg, and 4/5 mmHg, respectively, were also observed. There were infrequent reports of patients who experienced symptomatic postural hypotension. These reports included dizziness and light-headedness, but not syncope. Amlodipine . When sildenafil 100 mg oral was co-administered with amlodipine, 5 mg or 10 mg oral, to hypertensive patients, the mean additional reduction on supine blood pressure was 8 mmHg systolic and 7 mmHg diastolic. Monitor blood pressure when co-administering blood pressure lowering drugs with sildenafil [ see Warnings and Precautions (5.2) ].

Storage and Handling

Sildenafil tablets, USP are supplied as white to off-white, film-coated, round tablets containing sildenafil citrate equivalent to the nominally indicated amount of sildenafil as follows: Sildenafil Tablets Package Configuration Strength NDC Debossing on Tablet Bottle of 30 Tablets  20 mg  76420-061-30 repackaged from NDC 33342-121-10   “C 89”  Bottle of 60 Tablets 20 mg  76420-061-60 repackaged from NDC 33342-121-10 “C 89”  Bottle of 90 Tablets 20 mg 76420-061-90 relabeled from NDC 33342-121-10 “C 89” Recommended Storage for Sildenafil Tablets, USP: Store at controlled room temperature 20º to 25ºC (68º to 77ºF); excursions permitted to 15º to 30ºC (59º to 86ºF) [see USP Controlled Room Temperature]. Dispense in tight containers (USP).

How Supplied

Sildenafil tablets, USP are supplied as white to off-white, film-coated, round tablets containing sildenafil citrate equivalent to the nominally indicated amount of sildenafil as follows: Sildenafil Tablets Package Configuration Strength NDC Debossing on Tablet Bottle of 30 Tablets  20 mg  76420-061-30 repackaged from NDC 33342-121-10   “C 89”  Bottle of 60 Tablets 20 mg  76420-061-60 repackaged from NDC 33342-121-10 “C 89”  Bottle of 90 Tablets 20 mg 76420-061-90 relabeled from NDC 33342-121-10 “C 89” Recommended Storage for Sildenafil Tablets, USP: Store at controlled room temperature 20º to 25ºC (68º to 77ºF); excursions permitted to 15º to 30ºC (59º to 86ºF) [see USP Controlled Room Temperature]. Dispense in tight containers (USP).

Description

Warnings and Precautions, Visual Loss ( 5.5 )                 07/2017

Section 42229-5

Table 4. Clinical Worsening Events in Study 2



Placebo

(N = 131)


Sildenafil Tablets

(N = 134)

Number of subjects with clinical worsening first event

23

8



First Event

All Events

First Event

All Events

Death, n

3

4

0

0

Lung Transplantation, n

1

1

0

0

Hospitalization due to PAH, n

9

11

8

8

Clinical deterioration resulting in:









  Change of Epoprostenol Dose, n

9

16

0

2

  Initiation of Bosentan, n

1

1

0

0

Proportion Worsened

95% Confidence Interval

0.187

(0.12 – 0.26)

0.062

(0.02 – 0.10)



Section 43683-2

Warnings and Precautions, Visual Loss ( 5.5)                 07/2017



5.8 Priapism


Use sildenafil with caution in patients with anatomical deformation of the penis (e.g., angulation, cavernosal fibrosis, or Peyronie’s disease) or in patients who have conditions, which may predispose them to priapism (e.g., sickle cell anemia, multiple myeloma, or leukemia). In the event of an erection that persists longer than 4 hours, the patient should seek immediate medical assistance. If priapism (painful erection greater than 6 hours in duration) is not treated immediately, penile tissue damage and permanent loss of potency could result.



10 Overdosage


In studies with healthy volunteers of single doses up to 800 mg, adverse events were similar to those seen at lower doses but rates and severities were increased.



In cases of overdose, standard supportive measures should be adopted as required. Renal dialysis is not expected to accelerate clearance as sildenafil is highly bound to plasma proteins and it is not eliminated in the urine.



5.4 Epistaxis


The incidence of epistaxis was 13% in patients taking sildenafil with PAH secondary to CTD. This effect was not seen in idiopathic PAH (sildenafil 3%, placebo 2%) patients. The incidence of epistaxis was also higher in sildenafil-treated patients with a concomitant oral vitamin K antagonist (9% versus 2% in those not treated with concomitant vitamin K antagonist).



The safety of sildenafil is unknown in patients with bleeding disorders or active peptic ulceration.



8.1 Pregnancy

Risk Summary

Limited published data from randomized controlled trials, case-controlled trials, and case series do not report a clear association with sildenafil and major birth defects, miscarriage, or adverse maternal or fetal outcomes when sildenafil is used during pregnancy. There are risks to the mother and fetus from untreated pulmonary arterial hypertension ( see Clinical Considerations). Animal reproduction studies conducted with sildenafil showed no evidence of embryo-fetal toxicity or teratogenicity at doses up to 32-and 65-times the recommended human dose (RHD) of 20 mg three times a day in rats and rabbits, respectively ( See Data).

The estimated background risk of major birth defects and miscarriage for the indicated population is unknown. All pregnancies have a background risk of birth defect, loss, or other adverse outcomes. In the U.S. general population, the estimated background risk of major birth defects and miscarriage in clinically recognized pregnancies is 2-4% and 15-20%, respectively.

Clinical Considerations

Disease-Associated Maternal and/or Embryo/Fetal Risk

Pregnant women with untreated pulmonary arterial hypertension are at risk for heart failure, stroke, preterm delivery, and maternal and fetal death.

Data

Animal Data

No evidence of teratogenicity, embryotoxicity, or fetotoxicity was observed in pregnant rats or rabbits dosed with sildenafil 200 mg/kg/day during organogenesis, a level that is, on a mg/m 2 basis, 32-and 65-times, respectively, the recommended human dose (RHD) of 20 mg three times a day. In a rat pre-and postnatal development study, the no-observed-adverse-effect dose was 30 mg/kg/day (equivalent to 5-times the RHD on a mg/m 2 basis).

8.2 Lactation

Risk Summary

Limited published data from a case report describe the presence of sildenafil and its active metabolite in human milk. There is insufficient information about the effects of sildenafil on the breastfed infant and no information on the effects of sildenafil on milk production. Limited clinical data during lactation preclude a clear determination of the risk of sildenafil to an infant during lactation.



11 Description


Sildenafil citrate, USP phosphodiesterase-5 (PDE-5) inhibitor, is the citrate salt of sildenafil, a selective inhibitor of cyclic guanosine monophosphate (cGMP)-specific phosphodiesterase type-5 (PDE-5). Sildenafil is also marketed as VIAGRA ® for erectile dysfunction.



Sildenafil citrate, USP is designated chemically as 1-[[3-(6,7-dihydro-1-methyl-7-oxo-3-propyl-1 H-pyrazolo [4,3- d] pyrimidin-5-yl)-4-ethoxyphenyl] sulfonyl]-4-methylpiperazine citrate and has the following structural formula :





Sildenafil citrate, USP is a white to off-white crystalline powder with a solubility of 3.5 mg/mL in water and a molecular weight of 666.7.

Sildenafil Tablets USP, 20 mg:  Sildenafil tablets are formulated as white, film-coated round tablets for oral administration. Each tablet contains sildenafil citrate equivalent to 20 mg of sildenafil. In addition to the active ingredient, sildenafil citrate, USP each tablet contains the following inactive ingredients: microcrystalline cellulose, dibasic calcium phosphate dihydrate, croscarmellose sodium, magnesium stearate, hypromellose, titanium dioxide and triacetin.

5.2 Hypotension


Sildenafil has vasodilatory properties, resulting in mild and transient decreases in blood pressure. Before prescribing sildenafil, carefully consider whether patients with certain underlying conditions could be adversely affected by such vasodilatory effects (e.g., patients on antihypertensive therapy or with resting hypotension [BP less than 90/50], fluid depletion, severe left ventricular outflow obstruction, or autonomic dysfunction). Monitor blood pressure when co-administering blood pressure lowering drugs with sildenafil.



5.5 Visual Loss


and smoking. Based on published literature, the annual incidence of NAION is 2.5-11.8 cases per 100,000 males aged ≥ 50 per year in the general population. these studies. [ ]. Advise patients to seek immediate medical attention in the event of a sudden loss of vision in one or both eyes while taking PDE-5 inhibitors, including sildenafil. Physicians should also discuss the increased risk of NAION with patients who have already experienced NAION in one eye, including whether such individuals could be adversely affected by use of vasodilators, such as PDE-5 inhibitors. There are no controlled clinical data on the safety or efficacy of sildenafil in patients with retinitis pigmentosa, a minority whom have genetic disorders of retinal phosphodiesterases. Prescribe sildenafil with caution in these patients. When used to treat erectile dysfunction, non-arteritic anterior ischemic optic neuropathy (NAION), a cause of decreased vision including permanent loss of vision, has been reported postmarketing in temporal association with the use of phosphodiesterase type 5 (PDE-5) inhibitors, including sildenafil. Most, but not all, of these patients had underlying anatomic or vascular risk factors for developing NAION, including but not necessarily limited to: low cup to disc ratio (“crowded disc”), age over 50, diabetes, hypertension, coronary artery disease, hyperlipidemia and smoking. Based on published literature, the annual incidence of NAION is 2.5-11.8 cases per 100,000 males aged ≥ 50 per year in the general population.



An observational case-crossover study evaluated the risk of NAION when PDE-5 inhibitor use, as a class, occurred immediately before NAION onset (within 5 half-lives), compared to PDE-5 inhibitor use in a prior time period. The results suggest an approximate 2-fold increase in the risk of NAION, with a risk estimate of 2.15 (95% CI 1.06, 4.34). A similar study reported a consistent result, with a risk estimate of 2.27 (95% CI 0.99, 5.20). Other risk factors for NAION, such as the presence of “crowded” optic disc, may have contributed to the occurrence of NAION in these studies.



Neither the rare postmarketing reports, nor the association of PDE-5 inhibitor use and NAION in the observational studies, substantiate a causal relationship between PDE-5 inhibitor use and NAION [ see Adverse Reactions ( 6.2 ].



Advise patients to seek immediate medical attention in the event of a sudden loss of vision in one or both eyes while taking PDE-5 inhibitors, including sildenafil. Physicians should also discuss the increased risk of NAION with patients who have already experienced NAION in one eye, including whether such individuals could be adversely affected by use of vasodilators, such as PDE-5 inhibitors.



There are no controlled clinical data on the safety or efficacy of sildenafil in patients with retinitis pigmentosa, a minority whom have genetic disorders of retinal phosphodiesterases. Prescribe sildenafil with caution in these patients.

5.6 Hearing Loss


Cases of sudden decrease or loss of hearing, which may be accompanied by tinnitus and dizziness, have been reported in temporal association with the use of PDE-5 inhibitors, including sildenafil. In some of the cases, medical conditions and other factors were reported that may have played a role. In many cases, medical follow-up information was limited. It is not possible to determine whether these reported events are related directly to the use of sildenafil, to the patient's underlying risk factors for hearing loss, a combination of these factors, or to other factors.



Advise patients to seek prompt medical attention in the event of sudden decrease or loss of hearing while taking PDE-5 inhibitors, including sildenafil.

8.4 Pediatric Use


In a randomized, double-blind, multi-center, placebo-controlled, parallel-group, dose-ranging study, 234 patients with PAH, aged 1 to 17 years, body weight greater than or equal to 8 kg, were randomized, on the basis of body weight, to three dose levels of sildenafil, or placebo, for 16 weeks of treatment. Most patients had mild to moderate symptoms at baseline: WHO Functional Class I (32%), II (51%), III (15%), or IV (0.4%). One-third of patients had primary PAH; two-thirds had secondary PAH (systemic-to-pulmonary shunt in 37%; surgical repair in 30%). Sixty-two percent of patients were female. Drug or placebo was administered three times a day.



The primary objective of the study was to assess the effect of sildenafil on exercise capacity as measured by cardiopulmonary exercise testing in pediatric patients developmentally able to perform the test (n = 115). Administration of sildenafil did not result in a statistically significant improvement in exercise capacity in those patients. No patients died during the 16-week controlled study.



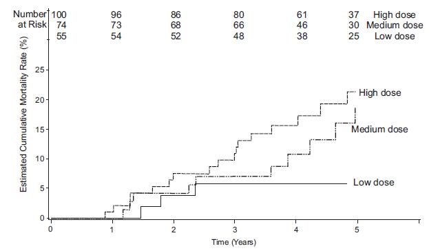
After completing the 16-week controlled study, a patient originally randomized to sildenafil remained on his/her dose of sildenafil or, if originally randomized to placebo, was randomized to low-, medium-, or high-dose sildenafil. After all patients completed 16 weeks of follow-up in the controlled study, the blind was broken and doses were adjusted as clinically indicated. Patients treated with sildenafil were followed for a median of 4.6 years (range 2 days to 8.6 years). Mortality during the long-term study, by originally assigned dose, is shown in Figure 6:



Figure 6: Kaplan-Meier Plot of Mortality by Sildenafil Dose.



During the study, there were 42 reported deaths, with 37 of these deaths reported prior to a decision to titrate subjects to a lower dosage because of a finding of increased mortality with increasing sildenafil doses. For the survival analysis which included 37 deaths, the hazard ratio for high dose compared to low dose was 3.9, p=0.007.  Causes of death were typical of patients with PAH. Use of sildenafil, particularly chronic use, is not recommended in children.



8.5 Geriatric Use


Clinical studies of sildenafil did not include sufficient numbers of subjects aged 65 and over to determine whether they respond differently from younger subjects. Other reported clinical experience has not identified differences in responses between the elderly and younger patients. In general, dose selection for an elderly patient should be cautious, reflecting the greater frequency of decreased hepatic, renal, or cardiac function, and of concomitant disease or other drug therapy [ see Clinical Pharmacology (12.3) ].

14 Clinical Studies

Studies of Adults with Pulmonary Arterial Hypertension

Study 1 (Sildenafil monotherapy (20 mg, 40 mg, and 80 mg three times a day))

A randomized, double-blind, placebo-controlled study of sildenafil (Study 1) was conducted in 277 patients with PAH (defined as a mean pulmonary artery pressure of greater than or equal to 25 mmHg at rest with a pulmonary capillary wedge pressure less than 15 mmHg). Patients were predominantly World Health Organization (WHO) functional classes II-III. Allowed background therapy included a combination of anticoagulants, digoxin, calcium channel blockers, diuretics, and oxygen. The use of prostacyclin analogues, endothelin receptor antagonists, and arginine supplementation were not permitted. Subjects who had failed to respond to bosentan were also excluded. Patients with left ventricular ejection fraction less than 45% or left ventricular shortening fraction less than 0.2 also were not studied.

Patients were randomized to receive placebo (n=70) or sildenafil 20 mg (n = 69), 40 mg (n = 67) or 80 mg (n = 71) three times a day for a period of 12 weeks. They had either primary pulmonary hypertension (PPH) (63%), PAH associated with CTD (30%), or PAH following surgical repair of left-to-right congenital heart lesions (7%). The study population consisted of 25% men and 75% women with a mean age of 49 years (range: 18-81 years) and baseline 6-minute walk distance between 100 and 450 meters (mean 343).

The primary efficacy endpoint was the change from baseline at week 12 (at least 4 hours after the last dose) in the 6 minute walk distance. Placebo-corrected mean increases in walk distance of 45-50 meters were observed with all doses of sildenafil. These increases were significantly different from placebo, but the sildenafil dose groups were not different from each other (see Figure 9), indicating no additional clinical benefit from doses higher than 20 mg three times a day. The improvement in walk distance was apparent after 4 weeks of treatment and was maintained at week 8 and week 12.

Figure 9. Change from Baseline in 6-Minute Walk Distance (meters) at Weeks 4, 8, and 12 in Study 1: Mean (95% Confidence Interval)



Figure 10 displays subgroup efficacy analyses in Study 1 for the change from baseline in 6-Minute Walk Distance at Week 12 including baseline walk distance, disease etiology, functional class, gender, age, and hemodynamic parameters.

Figure 10. Placebo-Corrected Change From Baseline in 6-Minute Walk Distance (meters) at Week 12 by study subpopulation in Study 1: Mean (95% Confidence Interval)



Key: PAH = pulmonary arterial hypertension; CTD = connective tissue disease; PH = pulmonary hypertension; PAP = pulmonary arterial pressure; PVRI = pulmonary vascular resistance index; TID = three times daily.

Of the 277 treated patients, 259 entered a long-term, uncontrolled extension study. At the end of 1 year, 94% of these patients were still alive. Additionally, walk distance and functional class status appeared to be stable in patients taking sildenafil. Without a control group, these data must be interpreted cautiously.

Study 2 (Sildenafil co-administered with epoprostenol)

A randomized, double-blind, placebo controlled study (Study 2) was conducted in 267 patients with PAH who were taking stable doses of intravenous epoprostenol. Patients had to have a mean pulmonary artery pressure (mPAP) greater than or equal to 25 mmHg and a pulmonary capillary wedge pressure (PCWP) less than or equal to 15 mmHg at rest via right heart catheterization within 21 days before randomization, and a baseline 6-minute walk test distance greater than or equal to 100 meters and less than or equal to 450 meters (mean 349 meters). Patients were randomized to placebo or sildenafil (in a fixed titration starting from 20 mg, to 40 mg and then 80 mg, three times a day) and all patients continued intravenous epoprostenol therapy.

At baseline patients had PPH (80%) or PAH secondary to CTD (20%);WHO functional class I (1%), II (26%), III (67%), or IV (6%); and the mean age was 48 years, 80% were female, and 79% were Caucasian.

There was a statistically significant greater increase from baseline in 6-minute walk distance at Week 16 (primary endpoint) for the sildenafil group compared with the placebo group. The mean change from baseline at Week 16 (last observation carried forward) was 30 meters for the sildenafil group compared with 4 meters for the placebo group giving an adjusted treatment difference of 26 meters (95% CI: 10.8, 41.2) (p = 0.0009).

Patients on sildenafil achieved a statistically significant reduction in mPAP compared to those on placebo. A mean placebo-corrected treatment effect of -3.9 mmHg was observed in favor of sildenafil (95% CI: -5.7, -2.1) (p = 0.00003).

Time to clinical worsening of PAH was defined as the time from randomization to the first occurrence of a clinical worsening event (death, lung transplantation, initiation of bosentan therapy, or clinical deterioration requiring a change in epoprostenol therapy). Table 4 displays the number of patients with clinical worsening events in Study 2. Kaplan-Meier estimates and a stratified log-rank test demonstrated that placebo-treated patients were 3 times more likely to experience a clinical worsening event than sildenafil-treated patients and that sildenafil-treated patients experienced a significant delay in time to clinical worsening versus placebo-treated patients (p = 0.0074). Kaplan-Meier plot of time to clinical worsening is presented in Figure 11.

4 Contraindications


Sildenafil tablets are contraindicated in patients with:

• Concomitant use of organic nitrates in any form, either regularly or intermittently, because of the greater risk of hypotension [ see  Warnings and Precautions (5.2) ].



• Concomitant use of riociguat, a guanylate cyclase stimulator. PDE-5 inhibitors, including sildenafil, may potentiate the hypotensive effects of riociguat.



• Known hypersensitivity to sildenafil or any component of the tablet. Hypersensitivity, including anaphylactic reaction, anaphylactic shock and anaphylactoid reaction, has been reported in association with the use of sildenafil.



6 Adverse Reactions

The following serious adverse events are discussed elsewhere in the labeling:

• Mortality with pediatric use[ see Warnings and Precautions (5.1) and Use in Specific Populations (8.4) ]

• Hypotension [ see Warnings and Precautions (5.2) ]

• Vision loss [ see Warnings and Precautions (5.5) ]

• Hearing loss [ see Warnings and Precautions (5.6) ]

• Priapism [ see Warnings and Precautions (5.8) ]

• Vaso-occlusive crisis [ see Warnings and Precautions (5.9) ]

7 Drug Interactions

Nitrates

Concomitant use of sildenafil with nitrates in any form is contraindicated [ see Contraindications (4) ].



Ritonavir and other Potent CYP3A Inhibitors

Concomitant use of sildenafil with ritonavir and other potent CYP3A inhibitors is not recommended [ see Clinical Pharmacology (12.3) ].



Other drugs that reduce blood pressure



Alpha blockers. In drug-drug interaction studies, sildenafil (25 mg, 50 mg, or 100 mg) and the alpha-blocker doxazosin (4 mg or 8 mg) were administered simultaneously to patients with benign prostatic hyperplasia (BPH) stabilized on doxazosin therapy. In these study populations, mean additional reductions of supine systolic and diastolic blood pressure of 7/7 mmHg, 9/5 mmHg, and 8/4 mmHg, respectively, were observed. Mean additional reductions of standing blood pressure of 6/6 mmHg, 11/4 mmHg, and 4/5 mmHg, respectively, were also observed. There were infrequent reports of patients who experienced symptomatic postural hypotension. These reports included dizziness and light-headedness, but not syncope.



Amlodipine. When sildenafil 100 mg oral was co-administered with amlodipine, 5 mg or 10 mg oral, to hypertensive patients, the mean additional reduction on supine blood pressure was 8 mmHg systolic and 7 mmHg diastolic.



Monitor blood pressure when co-administering blood pressure lowering drugs with sildenafil [ see Warnings and Precautions (5.2) ].



1 Indications & Usage


Sildenafil tablets are indicated for the treatment of pulmonary arterial hypertension (WHO Group I) in adults to improve exercise ability and delay clinical worsening. The delay in clinical worsening was demonstrated when sildenafil tablets were added to background epoprostenol therapy [ see Clinical Studies (14) ].



Studies establishing effectiveness were short-term (12 to 16 weeks), and included predominately patients with New York Heart Association (NYHA) Functional Class II-III symptoms and idiopathic etiology (71%) or associated with connective tissue disease (CTD) (25%).

Limitation of Use: Adding sildenafil to bosentan therapy does not result in any beneficial effect on exercise capacity [ see Clinical Studies ( 14) ].



12.2 Pharmacodynamics


Effects of Sildenafil on Hemodynamic Measures

Patients on all sildenafil doses achieved a statistically significant reduction in mean pulmonary arterial pressure (mPAP) compared to those on placebo in a study with no background vasodilators [Study 1 in Clinical Studies (14)]. Data on other hemodynamic measures for the sildenafil 20 mg three times a day and placebo dosing regimens is displayed in Table 3. The relationship between these effects and improvements in 6-minute walk distance is unknown.

Table 3. Changes from Baseline in Hemodynamic Parameters at Week 12 [mean (95% CI)] for the Sildenafil 20 mg Three Times a Day and Placebo Group



Placebo

(n = 65)* 
Sildenafil 20 mg

three times a day

(n = 65)* 
mPAP (mmHg)  0.6 (-0.8, 2.0)  -2.1 (-4.3, 0.0) 
PVR (dyn.s/cm 5 49 (-54, 153)  -122 (-217, -27) 
SVR (dyn.s/cm 5 -78 (-197, 41)  -167 (-307, -26) 
RAP (mmHg)  0.3 (-0.9, 1.5)  -0.8 (-1.9, 0.3) 
CO (L/min)  -0.1 (-0.4, 0.2)  0.4 (0.1, 0.7) 
HR (beats/min)  -1.3 (-4.1, 1.4)  -3.7 (-5.9, -1.4) 


 mPAP = mean pulmonary arterial pressure; PVR= pulmonary vascular resistance; SVR = systemic vascular resistance; RAP = right atrial pressure; CO = cardiac output; HR = heart rate

* The number of patients per treatment group varied slightly for each parameter due to missing assessments.  

In another study evaluating lower doses of sildenafil 1 mg, 5 mg and 20 mg [ Study 3 in Clinical Studies ( 14) ], there were no significant differences in the effects on hemodynamic variables between doses.



Effects of Sildenafil on Blood Pressure

Single oral doses of sildenafil 100 mg administered to healthy volunteers produced decreases in supine blood pressure (mean maximum decrease in systolic/diastolic blood pressure of 8/5 mmHg). The decrease in blood pressure was most notable approximately 1-2 hours after dosing, and was not different from placebo at 8 hours. Similar effects on blood pressure were noted with 25 mg, 50 mg and 100 mg doses of sildenafil, therefore the effects are not related to dose or plasma levels within this dosage range. Larger effects were recorded among patients receiving concomitant nitrates [ see Contraindications (4) ].









Single oral doses of sildenafil up to 100 mg in healthy volunteers produced no clinically relevant effects on ECG. After chronic dosing of 80 mg three times a day to patients with PAH, no clinically relevant effects on ECG were reported.



After chronic dosing of 80 mg three times a day sildenafil to healthy volunteers, the largest mean change from baseline in supine systolic and supine diastolic blood pressures was a decrease of 9.0 mmHg and 8.4 mmHg, respectively.



After chronic dosing of 80 mg three times a day sildenafil to patients with systemic hypertension, the mean change from baseline in systolic and diastolic blood pressures was a decrease of 9.4 mmHg and 9.1 mmHg, respectively.



After chronic dosing of 80 mg three times a day sildenafil to patients with PAH, lesser reductions than above in systolic and diastolic blood pressures were observed (a decrease in both of 2 mmHg).



Effects of Sildenafil on Vision

At single oral doses of 100 mg and 200 mg, transient dose-related impairment of color discrimination (blue/green) was detected using the Farnsworth-Munsell 100-hue test, with peak effects near the time of peak plasma levels. This finding is consistent with the inhibition of PDE6, which is involved in phototransduction in the retina. An evaluation of visual function at doses up to 200 mg revealed no effects of sildenafil on visual acuity, intraocular pressure, or pupillometry.

12.3 Pharmacokinetics


Absorption and Distribution

Sildenafil is rapidly absorbed after oral administration, with a mean absolute bioavailability of 41% (25-63%). Maximum observed plasma concentrations are reached within 30 to 120 minutes (median 60 minutes) of oral dosing in the fasted state. When sildenafil is taken with a high-fat meal, the rate of absorption is reduced, with a mean delay in T max of 60 minutes and a mean reduction in C max of 29%. The mean steady state volume of distribution (Vss) for sildenafil is 105 L, indicating distribution into the tissues. Sildenafil and its major circulating N-desmethyl metabolite are both approximately 96% bound to plasma proteins. Protein binding is independent of total drug concentrations.

Bioequivalence was established between the 20 mg tablet and the 10 mg/mL oral suspension when administered as a 20 mg single oral dose of sildenafil (as citrate).



Metabolism and Excretion

Sildenafil is cleared predominantly by the CYP3A (major route) and cytochrome P450 2C9 (CYP2C9, minor route) hepatic microsomal isoenzymes. The major circulating metabolite results from N-desmethylation of sildenafil, and is, itself, further metabolized. This metabolite has a phosphodiesterase selectivity profile similar to sildenafil and an in vitro potency for PDE-5 approximately 50% of the parent drug. In healthy volunteers, plasma concentrations of this metabolite are approximately 40% of those seen for sildenafil, so that the metabolite accounts for about 20% of sildenafil's pharmacologic effects. In patients with PAH, however, the ratio of the metabolite to sildenafil is higher. Both sildenafil and the active metabolite have terminal half-lives of about 4 hours.



After either oral or intravenous administration, sildenafil is excreted as metabolites predominantly in the feces (approximately 80% of the administered oral dose) and to a lesser extent in the urine (approximately 13% of the administered oral dose).



Population Pharmacokinetics

Age, gender, race, and renal and hepatic function were included as factors assessed in the population pharmacokinetic model to evaluate sildenafil pharmacokinetics in patients with PAH. The dataset available for the population pharmacokinetic evaluation contained a wide range of demographic data and laboratory parameters associated with hepatic and renal function. None of these factors had a significant impact on sildenafil pharmacokinetics in patients with PAH.



In patients with PAH, the average steady-state concentrations were 20-50% higher when compared to those of healthy volunteers. There was also a doubling of C min levels compared to healthy volunteers. Both findings suggest a lower clearance and/or a higher oral bioavailability of sildenafil in patients with PAH compared to healthy volunteers.



Geriatric Patients

Healthy elderly volunteers (65 years or over) had a reduced clearance of sildenafil, resulting in approximately 84% and 107% higher plasma concentrations of sildenafil and its active N-desmethyl metabolite, respectively, compared to those seen in healthy younger volunteers (18-45 years). Due to age-differences in plasma protein binding, the corresponding increase in the AUC of free (unbound) sildenafil and its active N-desmethyl metabolite were 45% and 57%, respectively.



Renal Impairment

In volunteers with mild (CLcr = 50-80 mL/min) and moderate (CLcr = 30-49 mL/min) renal impairment, the pharmacokinetics of a single oral dose of sildenafil (50 mg) was not altered. In volunteers with severe (CLcr less than 30 mL/min) renal impairment, sildenafil clearance was reduced, resulting in approximately doubling of AUC and C max compared to age-matched volunteers with no renal impairment. In addition, N-desmethyl metabolite AUC and C max values were significantly increased 200 % and 79 %, respectively, in subjects with severe renal impairment compared to subjects with normal renal function.



Hepatic Impairment

In volunteers with mild to moderate hepatic cirrhosis (Child-Pugh class A and B), sildenafil clearance was reduced, resulting in increases in AUC (84%) and C max (47%) compared to age-matched volunteers with no hepatic impairment. Patients with severe hepatic impairment (Child-Pugh class C) have not been studied.



Drug Interaction Studies

In vitro studies

Sildenafil metabolism is principally mediated by the CYP3A (major route) and CYP2C9 (minor route) cytochrome P450 isoforms. Therefore, inhibitors of these isoenzymes may reduce sildenafil clearance and inducers of these isoenzymes may increase sildenafil clearance.



Sildenafil is a weak inhibitor of the cytochrome P450 isoforms 1A2, 2C9, 2C19, 2D6, 2E1 and 3A (IC50 greater than150 µM).

Sildenafil is not expected to affect the pharmacokinetics of compounds which are substrates of these CYP enzymes at clinically relevant concentrations.



In vivo studies

The effects of other drugs on sildenafil pharmacokinetics and the effects of sildenafil on the exposure to other drugs are shown in Figure 7 and Figure 8, respectively.



Figure 7. Effects of Other Drugs on Sildenafil Pharmacokinetics



Figure 8: Effects of Sildenafil on Other Drugs



CYP3A Inhibitors and Beta Blockers



Population pharmacokinetic analysis of data from patients in clinical trials indicated an approximately 30% reduction in sildenafil clearance when it was co-administered with mild/moderate CYP3A inhibitors and an approximately 34% reductions in sildenafil clearance when co-administered with beta-blockers. Sildenafil exposure exposure at a dose of 80 mg three times a day without concomitant medication is shown to be 5-fold the exposure at a dose of 20 mg three times a day. This concentration range covers the same increased sildenafil exposure observed in specifically-designed drug interaction studies with CYP3A inhibitors (except for potent inhibitors such as ketoconazole, itraconazole, and ritonavir).







CYP3A4 inducers including bosentan

Concomitant administration of potent CYP3A inducers is expected to cause substantial decreases in plasma levels of sildenafil.

Population pharmacokinetic analysis of data from patients in clinical trials indicated approximately 3-fold the sildenafil clearance when it was co-administered with mild CYP3A inducers.



Epoprostenol

The mean reduction of sildenafil (80 mg three times a day) bioavailability when co-administration with epoprostenol was 28%, resulting in about 22% lower mean average steady state concentrations. Therefore, the slight decrease of sildenafil exposure in the presence of epoprostenol is not considered clinically relevant. The effect of sildenafil on epoprostenol pharmacokinetics is not known.



No significant interactions were shown with tolbutamide (250 mg) or warfarin (40 mg), both of which are metabolized by CYP2C9.





Alcohol

Sildenafil (50 mg) did not potentiate the hypotensive effect of alcohol in healthy volunteers with mean maximum blood alcohol levels of 0.08%.

2.1 Sildenafil Tablets


The recommended dose of sildenafil tablets is 20 mg three times a day. Administer sildenafil tablets doses 4-6 hours apart.





In the clinical trial no greater efficacy was achieved with the use of higher doses. Treatment with doses higher than 20 mg three times a day is not recommended.

12.1 Mechanism of Action


Sildenafil is an inhibitor of cGMP specific phosphodiesterase type-5 (PDE-5) in the smooth muscle of the pulmonary vasculature, where PDE-5 is responsible for degradation of cGMP. Sildenafil, therefore, increases cGMP within pulmonary vascular smooth muscle cells resulting in relaxation. In patients with PAH, this can lead to vasodilation of the pulmonary vascular bed and, to a lesser degree, vasodilatation in the systemic circulation.



Studies in vitro have shown that sildenafil is selective for PDE-5. Its effect is more potent on PDE-5 than on other known phosphodiesterases (10-fold for PDE6, greater than 80-fold for PDE1, greater than 700-fold for PDE2, PDE3, PDE4, PDE7, PDE8, PDE9, PDE10, and PDE11). The approximately 4,000-fold selectivity for PDE-5 versus PDE3 is important because PDE3 is involved in control of cardiac contractility. Sildenafil is only about 10-fold as potent for PDE-5 compared to PDE6, an enzyme found in the retina and involved in the phototransduction pathway of the retina. This lower selectivity is thought to be the basis for abnormalities related to color vision observed with higher doses or plasma levels [ see Clinical Pharmacology (12.2) ].



In addition to pulmonary vascular smooth muscle and the corpus cavernosum, PDE-5 is also found in other tissues including vascular and visceral smooth muscle and in platelets. The inhibition of PDE-5 in these tissues by sildenafil may be the basis for the enhanced platelet anti-aggregatory activity of nitric oxide observed in vitro, and the mild peripheral arterial-venous dilatation in vivo.

2 Dosage & Administration


  • Tablet: 20 mg three times a day, 4-6 hours apart ( 2.1)
3 Dosage Forms & Strengths

Sildenafil Tablets, USP

Sildenafil tablets, USP are supplied as white to white-off, film-coated, round tablets debossed with "C 89" on one side and plain on the other side containing sildenafil citrate equivalent to 20 mg of sildenafil.

5 Warnings and Precautions


• Increased mortality with increasing doses in pediatric patients. Not recommended for use in pediatric patients. ( 5.1)

• Vasodilation effects may be more common in patients with hypotension or on antihypertensive therapy. ( 5.2)

• Use in pulmonary veno-occlusive disease may cause pulmonary edema and is not recommended. ( 5.3)

• Hearing or visual impairment: Seek medical attention if sudden decrease or loss of vision or hearing occurs. ( 5.5, 5.6)

• Pulmonary hypertension secondary to sickle cell disease: Sildenafil may cause serious vaso-occlusive crises. ( 5.9)

6.2 Postmarketing Experience


The following adverse reactions have been identified during post approval use of sildenafil (marketed for both PAH and erectile dysfunction). Because these reactions are reported voluntarily from a population of uncertain size, it is not always possible to reliably estimate their frequency or establish a causal relationship to drug exposure.



Cardiovascular Events

In postmarketing experience with sildenafil at doses indicated for erectile dysfunction, serious cardiovascular, cerebrovascular, and vascular events, including myocardial infarction, sudden cardiac death, ventricular arrhythmia, cerebrovascular hemorrhage, transient ischemic attack, hypertension, pulmonary hemorrhage, and subarachnoid and intracerebral hemorrhages have been reported in temporal association with the use of the drug. Most, but not all, of these patients had preexisting cardiovascular risk factors. Many of these events were reported to occur during or shortly after sexual activity, and a few were reported to occur shortly after the use of sildenafil without sexual activity. Others were reported to have occurred hours to days after use concurrent with sexual activity. It is not possible to determine whether these events are related directly to sildenafil, to sexual activity, to the patient’s underlying cardiovascular disease, or to a combination of these or other factors.



Nervous system

Seizure, seizure recurrence



Ophthalmologic

NAION [ see Warnings and Precautions ( 5.5) and Patient Counseling Information ( 17) ].



6.1 Clinical Trials Experience

Because clinical trials are conducted under widely varying conditions, adverse reaction rates observed in the clinical trials of a drug cannot be directly compared to rates in the clinical trials of another drug and may not reflect the rates observed in practice.

Safety data of sildenafil in adults were obtained from the 12-week, placebo-controlled clinical study (Study 1) and an open-label extension study in 277 sildenafil-treated patients with PAH, WHO Group I [see Clinical Studies (14)].

The overall frequency of discontinuation in sildenafil-treated patients on 20 mg three times a day was 3% and was the same for the placebo group.

In Study 1, the adverse reactions that were reported by at least 3% of sildenafil-treated patients (20 mg three times a day) and were more frequent in sildenafil-treated patients than in placebo-treated patients are shown in Table 1. Adverse reactions were generally transient and mild to moderate in nature.



Table 1. Most Common Adverse Reactions in Patients with PAH in Study 1 (More Frequent in Sildenafil-Treated Patients than Placebo-Treated Patients and Incidence ≥3% in Sildenafil-Treated Patients)



Placebo, %

(n = 70)
Sildenafil tablets 20 mg three times a day, %

(n = 69)
Placebo-Subtracted, %
Epistaxis 1 9 8
Headache 39 46 7
Dyspepsia 7 13 6
Flushing 4 10 6
Insomnia 1 7 6
Erythema 1 6 5
Dyspnea exacerbated 3 7 4
Rhinitis 0 4 4
Diarrhea 6 9 3
Myalgia 4 7 3
Pyrexia 3 6 3
Gastritis 0 3 3
Sinusitis 0 3 3
Paresthesia 0 3 3




At doses higher than the recommended 20 mg three times a day, there was a greater incidence of some adverse reactions including flushing, diarrhea, myalgia and visual disturbances. Visual disturbances were identified as mild and transient, and were predominately color-tinge to vision, but also increased sensitivity to light or blurred vision.



The incidence of retinal hemorrhage with sildenafil 20 mg three times a day was 1.4% versus 0% placebo and for all sildenafil doses studied was 1.9% versus 0% placebo. The incidence of eye hemorrhage at both 20 mg three times a day and at all doses studied was 1.4% for sildenafil versus 1.4% for placebo. The patients experiencing these reactions had risk factors for hemorrhage including concurrent anticoagulant therapy.



In a placebo-controlled fixed dose titration study (Study 2) of sildenafil (starting with recommended dose of 20 mg and increased to 40 mg and then 80 mg all three times a day) as an adjunct to intravenous epoprostenol in patients with PAH, the adverse reactions that were more frequent in the sildenafil + epoprostenol group than in the epoprostenol group (greater than 6% difference) are shown in Table 2 [see Clinical Studies (14) ].



Table 2. Adverse Reactions (%) in patients with PAH in Study 2 (incidence in Sildenafil + Epoprostenol group at least 6% greater than Epoprostenol group)



Sildenafil + Epoprostenol

(n = 134)
Epoprostenol

(n = 131)
(Sildenafil + Epoprostenol)minus Epoprostenol

%
Headache 57 34 23
Edema
includes peripheral edema
25 13 14
Dyspepsia 16 2 14
Pain in extremity 17 6 11
Diarrhea 25 18 7
Nausea 25 18 7
Nasal congestion 9 2 7




5.1 Mortality With Pediatric Use


In a long-term trial in pediatric patients with PAH, an increase in mortality with increasing sildenafil dose was observed. Deaths were first observed after about 1 year and causes of death were typical of patients with PAH. Use of sildenafil, particularly chronic use, is not recommended in children [ see Use in Specific Populations (8.4) ].

17 Patient Counseling Information

See FDA-approved patient labeling (Patient Information).



  • Inform patients of contraindication of sildenafil tablets 20 mg with regular and/or intermittent use of organic nitrates.
  • Inform patients that sildenafil is also marketed as VIAGRA for erectile dysfunction. Advise patients taking sildenafil tablets 20 mg not to take VIAGRA or other PDE-5 inhibitors.
  • Advise patients to seek immediate medical attention for a sudden loss of vision in one or both eyes while taking sildenafil tablets 20 mg. Such an event may be a sign of NAION.
  • Advise patients to seek prompt medical attention in the event of sudden decrease or loss of hearing while taking sildenafil tablets 20 mg. These events may be accompanied by tinnitus and dizziness.

VIAGRA® is registered trademark of Pfizer Inc. All other trademarks herein are the property of their respective owners.



Manufactured for:

Macleods Pharma USA, Inc.Plainsboro, NJ 08536

Manufactured by:

Macleods Pharmaceutical Ltd.Baddi, Himachal Pradesh, India

Repackaged and Relabeled by:

Enovachem PHARMACEUTICALS

Torrance, CA 90501



PATIENT INFORMATION

Sildenafil (sil-DEN-a-fil) Tablets

Read this Patient Information before you start taking sildenafil tablets and each time you get a refill. There may be new information. This information does not take the place of talking with your doctor about your medical condition or treatment. If you have any questions about sildenafil tablets, ask your doctor or pharmacist.

What is the most important information I should know about sildenafil tablets?



Never take sildenafil tablets with any nitrate or guanylate cyclase stimulator medicines. Your blood pressure could drop quickly to an unsafe level. Nitrate medicines include: 



• Medicines that treat chest pain (angina)

• Nitroglycerin in any form including tablets, patches, sprays, and ointments

• Isosorbide mononitrate or dinitrate

• Street drugs called “poppers” (amyl nitrate or nitrite)



Guanylate cyclase stimulators include:

• Riociguat (Adempas)



Ask your doctor or pharmacist if you are not sure if you are taking a nitrate or a guanylate cyclase stimulator medicine.



What are sildenafil tablets?



Sildenafil tablets are a prescription medicine used in adults to treat pulmonary arterial hypertension (PAH). With PAH, the blood pressure in your lungs is too high. Your heart has to work hard to pump blood into your lungs.



Sildenafil tablets improve the ability to exercise and can slow down worsening changes in your physical condition.



• Sildenafil tablets are not for use in children

• Adding sildenafil tablets to another medication used to treat PAH, bosentan (Tracleer ®), does not result in improvement in your ability to exercise.



Sildenafil tablets 20 mg contain the same medicine as VIAGRA® (sildenafil), which is used to treat erectile dysfunction (impotence). Do not take sildenafil tablets 20 mg with VIAGRA or other PDE-5 inhibitors.



Who should not take sildenafil tablets?



Do not take sildenafil tablets if you:

• take nitrate medicines. See “ What is the most important information I should know about sildenafil tablets?”• take guanylate cyclase stimulator medicines. See “What is the most important information I should know about sildenafil tablets?” • are allergic to sildenafil or any other ingredient in sildenafil tablets. See “ What are the ingredients in sildenafil tablets?” at the end of this leaflet.



What should I tell my doctor before taking sildenafil tablets?

Tell your doctor about all of your medical conditions, including if you

• have heart problems such as angina (chest pain), heart failure, irregular heartbeats, or have had a heart attack

• have a disease called pulmonary veno-occlusive disease (PVOD)

• have high or low blood pressure or blood circulation problems

• have an eye problem called retinitis pigmentosa

• have or had loss of sight in one or both eyes

• have any problem with the shape of your penis or Peyronie’s disease

• have any blood cell problems such sickle cell anemia

• have a stomach ulcer or any bleeding problems

• are pregnant or planning to become pregnant. It is not known if sildenafil tablets could harm your unborn baby.

• are breastfeeding. Sildenafil passes into your breast milk, it is not known if it could harm your baby.



Tell your doctor about all of the medicines you take, including prescription and non-prescription medicines, vitamins, and herbal products. Sildenafil tablets and certain other medicines can cause side effects if you take them together. The doses of some of your medicines may need to be adjusted while you take sildenafil tablets.



Especially tell your doctor if you take

• Nitrate medicines. See “ What is the most important information I should know about sildenafil tablets?

 • Riociguat (Adempas). See “What is the most important information I should know about sildenafil tablets?”• Ritonavir (Norvir®) or other medicines used to treat HIV infection

• Ketoconazole (Nizoral®)

• Itraconazole (Sporanox)

• High blood pressure medicine



Know the medicines you take. Keep a list of your medicines and show it to your doctor and pharmacist when you get a new medicine.



How should I take sildenafil tablets? • Take sildenafil tablets exactly as your doctor tells you.



Sildenafil may be prescribed to you as



• Sildenafil tablets

• Take sildenafil tablet 3 times a day about 4 to 6 hours apart.

• Take sildenafil tablets at the same times every day.

• If you miss a dose, take it as soon as you remember. If it is close to your next dose, skip the missed dose, and take your next dose at the regular time.

• Do not take more than one dose of sildenafil tablets at a time.

• Do not change your dose or stop taking sildenafil tablets on your own. Talk to your doctor first.

If you take too much sildenafil, call your doctor or go to the nearest hospital emergency room.



What are the possible side effects of sildenafil tablets?


low blood pressure. Low blood pressure may cause you to feel faint or dizzy. Lie down if you feel faint or dizzy.

more shortness of breath than usual. Tell your doctor if you get more short of breath after you start sildenafil tablets. More shortness of breath than usual may be due to your underlying medical condition.

decreased eyesight or loss of sight in one or both eyes (NAION). If you notice a sudden decrease or loss of eyesight, talk to your doctor right away.

sudden decrease or loss of hearing. If you notice a sudden decrease or loss of hearing, talk to your doctor right away. It is not possible to determine whether these events are related directly to this class of oral medicines, including sildenafil tablets, or to other diseases or medicines, to other factors, or to a combination of factors.

heart attack, stroke, irregular heartbeats, and death. Most of these happened in men who already had heart problems.

erections that last several hours. If you have an erection that lasts more than 4 hours, get medical help right away. If it is not treated right away, priapism can permanently damage your penis.

The most common side effects with sildenafil tablets include:



Nosebleed, headache, upset stomach, getting red or hot in the face (flushing), trouble sleeping, as well as fever, erection increased, respiratory infection, nausea, vomiting, bronchitis, pharyngitis, runny nose, and pneumonia in children.



Tell your doctor if you have any side effect that bothers you or doesn’t go away. These are not all the possible side effects of sildenafil tablets. For more information, ask your doctor or pharmacist.

Call your doctor for medical advice about side effects. You may report side effects to FDA at 1-800-FDA-1088.



How should I store sildenafil tablets?

• Store sildenafil tablets at controlled room temperature, between 20° to 25°C (68° to 77°F).

Keep sildenafil tablets and all medicines away from children.



General information about sildenafil tablets

Medicines are sometimes prescribed for purposes that are not in the patient leaflet. Do not use sildenafil tablets for a condition for which it was not prescribed. Do not give sildenafil tablets to other people, even if they have the same symptoms you have. It could harm them.



This patient leaflet summarizes the most important information about sildenafil tablets. If you would like more information about sildenafil tablets talk with your doctor. You can ask your doctor or pharmacist for information about sildenafil tablets that is written for health professionals. For more information call 1-888-943-3210.



What are the ingredients in sildenafil tablets?



Active ingredients:
sildenafil citrate



Inactive ingredients: microcrystalline cellulose, dibasic calcium phosphate dihydrate, croscarmellose sodium, magnesium stearate, hypromellose, titanium dioxide, triacetin



This Patient Information has been approved by the U.S. Food and Drug Administration.

VIAGRA® is registered trademark of Pfizer Inc. All other trademarks herein are the property of their respective owners.



Manufactured for:

Macleods Pharma USA, Inc.Plainsboro, NJ 08536

Manufactured by:

Macleods Pharmaceutical Ltd.Baddi, Himachal Pradesh, India

Repackaged and Relabeled by:

Enovachem PHARMACEUTICALS

Torrance, CA 90501



8.7 Patients With Renal Impairment

No dose adjustment is required (including severe impairment CLcr < 30 mL/min) [ see Clinical Pharmacology (12.3) ].

16 How Supplied/storage and Handling

Sildenafil tablets, USP are supplied as white to off-white, film-coated, round tablets containing sildenafil citrate equivalent to the nominally indicated amount of sildenafil as follows:

Sildenafil Tablets
Package Configuration Strength NDC Debossing on Tablet
Bottle of 30 Tablets  20 mg 

76420-061-30 repackaged from NDC 33342-121-10  

“C 89” 
Bottle of 60 Tablets 20 mg  76420-061-60 repackaged from NDC 33342-121-10 “C 89” 
Bottle of 90 Tablets 20 mg 76420-061-90 relabeled from NDC 33342-121-10 “C 89”

Recommended Storage for Sildenafil Tablets, USP: Store at controlled room temperature 20º to 25ºC (68º to 77ºF); excursions permitted to 15º to 30ºC (59º to 86ºF) [see USP Controlled Room Temperature]. Dispense in tight containers (USP).

8.6 Patients With Hepatic Impairment


No dose adjustment for mild to moderate impairment is required. Severe impairment has not been studied [see Clinical Pharmacology 12.3)].

Package Label.principal Display Panel

5.7 Combination With Other Pde 5 Inhibitors


Sildenafil is also marketed as VIAGRA®. The safety and efficacy of combinations of sildenafil with VIAGRA or other PDE-5 inhibitors have not been studied. Inform patients taking sildenafil not to take VIAGRA or other PDE-5 inhibitors.

5.3 Worsening Pulmonary Vascular Occlusive Disease


Pulmonary vasodilators may significantly worsen the cardiovascular status of patients with pulmonary veno-occlusive disease (PVOD). Since there are no clinical data on administration of sildenafil to patients with veno-occlusive disease, administration of sildenafil to such patients is not recommended. Should signs of pulmonary edema occur when sildenafil is administered, consider the possibility of associated PVOD.

13.1 Carcinogenesis, Mutagenesis, Impairment of Fertility


Sildenafil was not carcinogenic when administered to rats for up to 24 months at 60 mg/kg/day, a dose resulting in total systemic exposure (AUC) to unbound sildenafil and its major metabolite 33 and 37 times, for male and female rats respectively, the human exposure at the RHD of 20 mg three times a day. Sildenafil was not carcinogenic when administered to male and female mice for up to 21 and 18 months, respectively, at doses up to a maximally tolerated level of 10 mg/kg/day, a dose equivalent to the RHD on a mg/m 2 basis.



Sildenafil was negative in in vitro bacterial and Chinese hamster ovary cell assays to detect mutagenicity, and in vitro human lymphocytes and in vivo mouse micronucleus assays to detect clastogenicity.



There was no impairment of fertility in male or female rats given up to 60 mg sildenafil/kg/day, a dose producing a total systemic exposure (AUC) to unbound sildenafil and its major metabolite of 19 and 38 times for males and females, respectively, the human exposure at the RHD of 20 mg three times a day.



5.9 Vaso Occlusive Crisis in Patients With Pulmonary Hypertension Secondary to Sickle Cell Anemia


In a small, prematurely terminated study of patients with pulmonary hypertension (PH) secondary to sickle cell disease, vaso-occlusive crises requiring hospitalization were more commonly reported by patients who received sildenafil than by those randomized to placebo. The effectiveness and safety of sildenafil in the treatment of PAH secondary to sickle cell anemia has not been established.


Structured Label Content

Section 42229-5 (42229-5)

Table 4. Clinical Worsening Events in Study 2



Placebo

(N = 131)


Sildenafil Tablets

(N = 134)

Number of subjects with clinical worsening first event

23

8



First Event

All Events

First Event

All Events

Death, n

3

4

0

0

Lung Transplantation, n

1

1

0

0

Hospitalization due to PAH, n

9

11

8

8

Clinical deterioration resulting in:









  Change of Epoprostenol Dose, n

9

16

0

2

  Initiation of Bosentan, n

1

1

0

0

Proportion Worsened

95% Confidence Interval

0.187

(0.12 – 0.26)

0.062

(0.02 – 0.10)



Section 43683-2 (43683-2)

Warnings and Precautions, Visual Loss ( 5.5)                 07/2017



5.8 Priapism


Use sildenafil with caution in patients with anatomical deformation of the penis (e.g., angulation, cavernosal fibrosis, or Peyronie’s disease) or in patients who have conditions, which may predispose them to priapism (e.g., sickle cell anemia, multiple myeloma, or leukemia). In the event of an erection that persists longer than 4 hours, the patient should seek immediate medical assistance. If priapism (painful erection greater than 6 hours in duration) is not treated immediately, penile tissue damage and permanent loss of potency could result.



10 Overdosage (10 OVERDOSAGE)


In studies with healthy volunteers of single doses up to 800 mg, adverse events were similar to those seen at lower doses but rates and severities were increased.



In cases of overdose, standard supportive measures should be adopted as required. Renal dialysis is not expected to accelerate clearance as sildenafil is highly bound to plasma proteins and it is not eliminated in the urine.



5.4 Epistaxis


The incidence of epistaxis was 13% in patients taking sildenafil with PAH secondary to CTD. This effect was not seen in idiopathic PAH (sildenafil 3%, placebo 2%) patients. The incidence of epistaxis was also higher in sildenafil-treated patients with a concomitant oral vitamin K antagonist (9% versus 2% in those not treated with concomitant vitamin K antagonist).



The safety of sildenafil is unknown in patients with bleeding disorders or active peptic ulceration.



8.1 Pregnancy

Risk Summary

Limited published data from randomized controlled trials, case-controlled trials, and case series do not report a clear association with sildenafil and major birth defects, miscarriage, or adverse maternal or fetal outcomes when sildenafil is used during pregnancy. There are risks to the mother and fetus from untreated pulmonary arterial hypertension ( see Clinical Considerations). Animal reproduction studies conducted with sildenafil showed no evidence of embryo-fetal toxicity or teratogenicity at doses up to 32-and 65-times the recommended human dose (RHD) of 20 mg three times a day in rats and rabbits, respectively ( See Data).

The estimated background risk of major birth defects and miscarriage for the indicated population is unknown. All pregnancies have a background risk of birth defect, loss, or other adverse outcomes. In the U.S. general population, the estimated background risk of major birth defects and miscarriage in clinically recognized pregnancies is 2-4% and 15-20%, respectively.

Clinical Considerations

Disease-Associated Maternal and/or Embryo/Fetal Risk

Pregnant women with untreated pulmonary arterial hypertension are at risk for heart failure, stroke, preterm delivery, and maternal and fetal death.

Data

Animal Data

No evidence of teratogenicity, embryotoxicity, or fetotoxicity was observed in pregnant rats or rabbits dosed with sildenafil 200 mg/kg/day during organogenesis, a level that is, on a mg/m 2 basis, 32-and 65-times, respectively, the recommended human dose (RHD) of 20 mg three times a day. In a rat pre-and postnatal development study, the no-observed-adverse-effect dose was 30 mg/kg/day (equivalent to 5-times the RHD on a mg/m 2 basis).

8.2 Lactation

Risk Summary

Limited published data from a case report describe the presence of sildenafil and its active metabolite in human milk. There is insufficient information about the effects of sildenafil on the breastfed infant and no information on the effects of sildenafil on milk production. Limited clinical data during lactation preclude a clear determination of the risk of sildenafil to an infant during lactation.



11 Description (11 DESCRIPTION)


Sildenafil citrate, USP phosphodiesterase-5 (PDE-5) inhibitor, is the citrate salt of sildenafil, a selective inhibitor of cyclic guanosine monophosphate (cGMP)-specific phosphodiesterase type-5 (PDE-5). Sildenafil is also marketed as VIAGRA ® for erectile dysfunction.



Sildenafil citrate, USP is designated chemically as 1-[[3-(6,7-dihydro-1-methyl-7-oxo-3-propyl-1 H-pyrazolo [4,3- d] pyrimidin-5-yl)-4-ethoxyphenyl] sulfonyl]-4-methylpiperazine citrate and has the following structural formula :





Sildenafil citrate, USP is a white to off-white crystalline powder with a solubility of 3.5 mg/mL in water and a molecular weight of 666.7.

Sildenafil Tablets USP, 20 mg:  Sildenafil tablets are formulated as white, film-coated round tablets for oral administration. Each tablet contains sildenafil citrate equivalent to 20 mg of sildenafil. In addition to the active ingredient, sildenafil citrate, USP each tablet contains the following inactive ingredients: microcrystalline cellulose, dibasic calcium phosphate dihydrate, croscarmellose sodium, magnesium stearate, hypromellose, titanium dioxide and triacetin.

5.2 Hypotension


Sildenafil has vasodilatory properties, resulting in mild and transient decreases in blood pressure. Before prescribing sildenafil, carefully consider whether patients with certain underlying conditions could be adversely affected by such vasodilatory effects (e.g., patients on antihypertensive therapy or with resting hypotension [BP less than 90/50], fluid depletion, severe left ventricular outflow obstruction, or autonomic dysfunction). Monitor blood pressure when co-administering blood pressure lowering drugs with sildenafil.



5.5 Visual Loss


and smoking. Based on published literature, the annual incidence of NAION is 2.5-11.8 cases per 100,000 males aged ≥ 50 per year in the general population. these studies. [ ]. Advise patients to seek immediate medical attention in the event of a sudden loss of vision in one or both eyes while taking PDE-5 inhibitors, including sildenafil. Physicians should also discuss the increased risk of NAION with patients who have already experienced NAION in one eye, including whether such individuals could be adversely affected by use of vasodilators, such as PDE-5 inhibitors. There are no controlled clinical data on the safety or efficacy of sildenafil in patients with retinitis pigmentosa, a minority whom have genetic disorders of retinal phosphodiesterases. Prescribe sildenafil with caution in these patients. When used to treat erectile dysfunction, non-arteritic anterior ischemic optic neuropathy (NAION), a cause of decreased vision including permanent loss of vision, has been reported postmarketing in temporal association with the use of phosphodiesterase type 5 (PDE-5) inhibitors, including sildenafil. Most, but not all, of these patients had underlying anatomic or vascular risk factors for developing NAION, including but not necessarily limited to: low cup to disc ratio (“crowded disc”), age over 50, diabetes, hypertension, coronary artery disease, hyperlipidemia and smoking. Based on published literature, the annual incidence of NAION is 2.5-11.8 cases per 100,000 males aged ≥ 50 per year in the general population.



An observational case-crossover study evaluated the risk of NAION when PDE-5 inhibitor use, as a class, occurred immediately before NAION onset (within 5 half-lives), compared to PDE-5 inhibitor use in a prior time period. The results suggest an approximate 2-fold increase in the risk of NAION, with a risk estimate of 2.15 (95% CI 1.06, 4.34). A similar study reported a consistent result, with a risk estimate of 2.27 (95% CI 0.99, 5.20). Other risk factors for NAION, such as the presence of “crowded” optic disc, may have contributed to the occurrence of NAION in these studies.



Neither the rare postmarketing reports, nor the association of PDE-5 inhibitor use and NAION in the observational studies, substantiate a causal relationship between PDE-5 inhibitor use and NAION [ see Adverse Reactions ( 6.2 ].



Advise patients to seek immediate medical attention in the event of a sudden loss of vision in one or both eyes while taking PDE-5 inhibitors, including sildenafil. Physicians should also discuss the increased risk of NAION with patients who have already experienced NAION in one eye, including whether such individuals could be adversely affected by use of vasodilators, such as PDE-5 inhibitors.



There are no controlled clinical data on the safety or efficacy of sildenafil in patients with retinitis pigmentosa, a minority whom have genetic disorders of retinal phosphodiesterases. Prescribe sildenafil with caution in these patients.

5.6 Hearing Loss


Cases of sudden decrease or loss of hearing, which may be accompanied by tinnitus and dizziness, have been reported in temporal association with the use of PDE-5 inhibitors, including sildenafil. In some of the cases, medical conditions and other factors were reported that may have played a role. In many cases, medical follow-up information was limited. It is not possible to determine whether these reported events are related directly to the use of sildenafil, to the patient's underlying risk factors for hearing loss, a combination of these factors, or to other factors.



Advise patients to seek prompt medical attention in the event of sudden decrease or loss of hearing while taking PDE-5 inhibitors, including sildenafil.

8.4 Pediatric Use


In a randomized, double-blind, multi-center, placebo-controlled, parallel-group, dose-ranging study, 234 patients with PAH, aged 1 to 17 years, body weight greater than or equal to 8 kg, were randomized, on the basis of body weight, to three dose levels of sildenafil, or placebo, for 16 weeks of treatment. Most patients had mild to moderate symptoms at baseline: WHO Functional Class I (32%), II (51%), III (15%), or IV (0.4%). One-third of patients had primary PAH; two-thirds had secondary PAH (systemic-to-pulmonary shunt in 37%; surgical repair in 30%). Sixty-two percent of patients were female. Drug or placebo was administered three times a day.



The primary objective of the study was to assess the effect of sildenafil on exercise capacity as measured by cardiopulmonary exercise testing in pediatric patients developmentally able to perform the test (n = 115). Administration of sildenafil did not result in a statistically significant improvement in exercise capacity in those patients. No patients died during the 16-week controlled study.



After completing the 16-week controlled study, a patient originally randomized to sildenafil remained on his/her dose of sildenafil or, if originally randomized to placebo, was randomized to low-, medium-, or high-dose sildenafil. After all patients completed 16 weeks of follow-up in the controlled study, the blind was broken and doses were adjusted as clinically indicated. Patients treated with sildenafil were followed for a median of 4.6 years (range 2 days to 8.6 years). Mortality during the long-term study, by originally assigned dose, is shown in Figure 6:



Figure 6: Kaplan-Meier Plot of Mortality by Sildenafil Dose.



During the study, there were 42 reported deaths, with 37 of these deaths reported prior to a decision to titrate subjects to a lower dosage because of a finding of increased mortality with increasing sildenafil doses. For the survival analysis which included 37 deaths, the hazard ratio for high dose compared to low dose was 3.9, p=0.007.  Causes of death were typical of patients with PAH. Use of sildenafil, particularly chronic use, is not recommended in children.



8.5 Geriatric Use


Clinical studies of sildenafil did not include sufficient numbers of subjects aged 65 and over to determine whether they respond differently from younger subjects. Other reported clinical experience has not identified differences in responses between the elderly and younger patients. In general, dose selection for an elderly patient should be cautious, reflecting the greater frequency of decreased hepatic, renal, or cardiac function, and of concomitant disease or other drug therapy [ see Clinical Pharmacology (12.3) ].

14 Clinical Studies (14 CLINICAL STUDIES)

Studies of Adults with Pulmonary Arterial Hypertension

Study 1 (Sildenafil monotherapy (20 mg, 40 mg, and 80 mg three times a day))

A randomized, double-blind, placebo-controlled study of sildenafil (Study 1) was conducted in 277 patients with PAH (defined as a mean pulmonary artery pressure of greater than or equal to 25 mmHg at rest with a pulmonary capillary wedge pressure less than 15 mmHg). Patients were predominantly World Health Organization (WHO) functional classes II-III. Allowed background therapy included a combination of anticoagulants, digoxin, calcium channel blockers, diuretics, and oxygen. The use of prostacyclin analogues, endothelin receptor antagonists, and arginine supplementation were not permitted. Subjects who had failed to respond to bosentan were also excluded. Patients with left ventricular ejection fraction less than 45% or left ventricular shortening fraction less than 0.2 also were not studied.

Patients were randomized to receive placebo (n=70) or sildenafil 20 mg (n = 69), 40 mg (n = 67) or 80 mg (n = 71) three times a day for a period of 12 weeks. They had either primary pulmonary hypertension (PPH) (63%), PAH associated with CTD (30%), or PAH following surgical repair of left-to-right congenital heart lesions (7%). The study population consisted of 25% men and 75% women with a mean age of 49 years (range: 18-81 years) and baseline 6-minute walk distance between 100 and 450 meters (mean 343).

The primary efficacy endpoint was the change from baseline at week 12 (at least 4 hours after the last dose) in the 6 minute walk distance. Placebo-corrected mean increases in walk distance of 45-50 meters were observed with all doses of sildenafil. These increases were significantly different from placebo, but the sildenafil dose groups were not different from each other (see Figure 9), indicating no additional clinical benefit from doses higher than 20 mg three times a day. The improvement in walk distance was apparent after 4 weeks of treatment and was maintained at week 8 and week 12.

Figure 9. Change from Baseline in 6-Minute Walk Distance (meters) at Weeks 4, 8, and 12 in Study 1: Mean (95% Confidence Interval)



Figure 10 displays subgroup efficacy analyses in Study 1 for the change from baseline in 6-Minute Walk Distance at Week 12 including baseline walk distance, disease etiology, functional class, gender, age, and hemodynamic parameters.

Figure 10. Placebo-Corrected Change From Baseline in 6-Minute Walk Distance (meters) at Week 12 by study subpopulation in Study 1: Mean (95% Confidence Interval)



Key: PAH = pulmonary arterial hypertension; CTD = connective tissue disease; PH = pulmonary hypertension; PAP = pulmonary arterial pressure; PVRI = pulmonary vascular resistance index; TID = three times daily.

Of the 277 treated patients, 259 entered a long-term, uncontrolled extension study. At the end of 1 year, 94% of these patients were still alive. Additionally, walk distance and functional class status appeared to be stable in patients taking sildenafil. Without a control group, these data must be interpreted cautiously.

Study 2 (Sildenafil co-administered with epoprostenol)

A randomized, double-blind, placebo controlled study (Study 2) was conducted in 267 patients with PAH who were taking stable doses of intravenous epoprostenol. Patients had to have a mean pulmonary artery pressure (mPAP) greater than or equal to 25 mmHg and a pulmonary capillary wedge pressure (PCWP) less than or equal to 15 mmHg at rest via right heart catheterization within 21 days before randomization, and a baseline 6-minute walk test distance greater than or equal to 100 meters and less than or equal to 450 meters (mean 349 meters). Patients were randomized to placebo or sildenafil (in a fixed titration starting from 20 mg, to 40 mg and then 80 mg, three times a day) and all patients continued intravenous epoprostenol therapy.

At baseline patients had PPH (80%) or PAH secondary to CTD (20%);WHO functional class I (1%), II (26%), III (67%), or IV (6%); and the mean age was 48 years, 80% were female, and 79% were Caucasian.

There was a statistically significant greater increase from baseline in 6-minute walk distance at Week 16 (primary endpoint) for the sildenafil group compared with the placebo group. The mean change from baseline at Week 16 (last observation carried forward) was 30 meters for the sildenafil group compared with 4 meters for the placebo group giving an adjusted treatment difference of 26 meters (95% CI: 10.8, 41.2) (p = 0.0009).

Patients on sildenafil achieved a statistically significant reduction in mPAP compared to those on placebo. A mean placebo-corrected treatment effect of -3.9 mmHg was observed in favor of sildenafil (95% CI: -5.7, -2.1) (p = 0.00003).

Time to clinical worsening of PAH was defined as the time from randomization to the first occurrence of a clinical worsening event (death, lung transplantation, initiation of bosentan therapy, or clinical deterioration requiring a change in epoprostenol therapy). Table 4 displays the number of patients with clinical worsening events in Study 2. Kaplan-Meier estimates and a stratified log-rank test demonstrated that placebo-treated patients were 3 times more likely to experience a clinical worsening event than sildenafil-treated patients and that sildenafil-treated patients experienced a significant delay in time to clinical worsening versus placebo-treated patients (p = 0.0074). Kaplan-Meier plot of time to clinical worsening is presented in Figure 11.

4 Contraindications (4 CONTRAINDICATIONS)


Sildenafil tablets are contraindicated in patients with:

• Concomitant use of organic nitrates in any form, either regularly or intermittently, because of the greater risk of hypotension [ see  Warnings and Precautions (5.2) ].



• Concomitant use of riociguat, a guanylate cyclase stimulator. PDE-5 inhibitors, including sildenafil, may potentiate the hypotensive effects of riociguat.



• Known hypersensitivity to sildenafil or any component of the tablet. Hypersensitivity, including anaphylactic reaction, anaphylactic shock and anaphylactoid reaction, has been reported in association with the use of sildenafil.



6 Adverse Reactions (6 ADVERSE REACTIONS)

The following serious adverse events are discussed elsewhere in the labeling:

• Mortality with pediatric use[ see Warnings and Precautions (5.1) and Use in Specific Populations (8.4) ]

• Hypotension [ see Warnings and Precautions (5.2) ]

• Vision loss [ see Warnings and Precautions (5.5) ]

• Hearing loss [ see Warnings and Precautions (5.6) ]

• Priapism [ see Warnings and Precautions (5.8) ]

• Vaso-occlusive crisis [ see Warnings and Precautions (5.9) ]

7 Drug Interactions (7 DRUG INTERACTIONS)

Nitrates

Concomitant use of sildenafil with nitrates in any form is contraindicated [ see Contraindications (4) ].



Ritonavir and other Potent CYP3A Inhibitors

Concomitant use of sildenafil with ritonavir and other potent CYP3A inhibitors is not recommended [ see Clinical Pharmacology (12.3) ].



Other drugs that reduce blood pressure



Alpha blockers. In drug-drug interaction studies, sildenafil (25 mg, 50 mg, or 100 mg) and the alpha-blocker doxazosin (4 mg or 8 mg) were administered simultaneously to patients with benign prostatic hyperplasia (BPH) stabilized on doxazosin therapy. In these study populations, mean additional reductions of supine systolic and diastolic blood pressure of 7/7 mmHg, 9/5 mmHg, and 8/4 mmHg, respectively, were observed. Mean additional reductions of standing blood pressure of 6/6 mmHg, 11/4 mmHg, and 4/5 mmHg, respectively, were also observed. There were infrequent reports of patients who experienced symptomatic postural hypotension. These reports included dizziness and light-headedness, but not syncope.



Amlodipine. When sildenafil 100 mg oral was co-administered with amlodipine, 5 mg or 10 mg oral, to hypertensive patients, the mean additional reduction on supine blood pressure was 8 mmHg systolic and 7 mmHg diastolic.



Monitor blood pressure when co-administering blood pressure lowering drugs with sildenafil [ see Warnings and Precautions (5.2) ].



1 Indications & Usage (1 INDICATIONS & USAGE)


Sildenafil tablets are indicated for the treatment of pulmonary arterial hypertension (WHO Group I) in adults to improve exercise ability and delay clinical worsening. The delay in clinical worsening was demonstrated when sildenafil tablets were added to background epoprostenol therapy [ see Clinical Studies (14) ].



Studies establishing effectiveness were short-term (12 to 16 weeks), and included predominately patients with New York Heart Association (NYHA) Functional Class II-III symptoms and idiopathic etiology (71%) or associated with connective tissue disease (CTD) (25%).

Limitation of Use: Adding sildenafil to bosentan therapy does not result in any beneficial effect on exercise capacity [ see Clinical Studies ( 14) ].



12.2 Pharmacodynamics


Effects of Sildenafil on Hemodynamic Measures

Patients on all sildenafil doses achieved a statistically significant reduction in mean pulmonary arterial pressure (mPAP) compared to those on placebo in a study with no background vasodilators [Study 1 in Clinical Studies (14)]. Data on other hemodynamic measures for the sildenafil 20 mg three times a day and placebo dosing regimens is displayed in Table 3. The relationship between these effects and improvements in 6-minute walk distance is unknown.

Table 3. Changes from Baseline in Hemodynamic Parameters at Week 12 [mean (95% CI)] for the Sildenafil 20 mg Three Times a Day and Placebo Group



Placebo

(n = 65)* 
Sildenafil 20 mg

three times a day

(n = 65)* 
mPAP (mmHg)  0.6 (-0.8, 2.0)  -2.1 (-4.3, 0.0) 
PVR (dyn.s/cm 5 49 (-54, 153)  -122 (-217, -27) 
SVR (dyn.s/cm 5 -78 (-197, 41)  -167 (-307, -26) 
RAP (mmHg)  0.3 (-0.9, 1.5)  -0.8 (-1.9, 0.3) 
CO (L/min)  -0.1 (-0.4, 0.2)  0.4 (0.1, 0.7) 
HR (beats/min)  -1.3 (-4.1, 1.4)  -3.7 (-5.9, -1.4) 


 mPAP = mean pulmonary arterial pressure; PVR= pulmonary vascular resistance; SVR = systemic vascular resistance; RAP = right atrial pressure; CO = cardiac output; HR = heart rate

* The number of patients per treatment group varied slightly for each parameter due to missing assessments.  

In another study evaluating lower doses of sildenafil 1 mg, 5 mg and 20 mg [ Study 3 in Clinical Studies ( 14) ], there were no significant differences in the effects on hemodynamic variables between doses.



Effects of Sildenafil on Blood Pressure

Single oral doses of sildenafil 100 mg administered to healthy volunteers produced decreases in supine blood pressure (mean maximum decrease in systolic/diastolic blood pressure of 8/5 mmHg). The decrease in blood pressure was most notable approximately 1-2 hours after dosing, and was not different from placebo at 8 hours. Similar effects on blood pressure were noted with 25 mg, 50 mg and 100 mg doses of sildenafil, therefore the effects are not related to dose or plasma levels within this dosage range. Larger effects were recorded among patients receiving concomitant nitrates [ see Contraindications (4) ].









Single oral doses of sildenafil up to 100 mg in healthy volunteers produced no clinically relevant effects on ECG. After chronic dosing of 80 mg three times a day to patients with PAH, no clinically relevant effects on ECG were reported.



After chronic dosing of 80 mg three times a day sildenafil to healthy volunteers, the largest mean change from baseline in supine systolic and supine diastolic blood pressures was a decrease of 9.0 mmHg and 8.4 mmHg, respectively.



After chronic dosing of 80 mg three times a day sildenafil to patients with systemic hypertension, the mean change from baseline in systolic and diastolic blood pressures was a decrease of 9.4 mmHg and 9.1 mmHg, respectively.



After chronic dosing of 80 mg three times a day sildenafil to patients with PAH, lesser reductions than above in systolic and diastolic blood pressures were observed (a decrease in both of 2 mmHg).



Effects of Sildenafil on Vision

At single oral doses of 100 mg and 200 mg, transient dose-related impairment of color discrimination (blue/green) was detected using the Farnsworth-Munsell 100-hue test, with peak effects near the time of peak plasma levels. This finding is consistent with the inhibition of PDE6, which is involved in phototransduction in the retina. An evaluation of visual function at doses up to 200 mg revealed no effects of sildenafil on visual acuity, intraocular pressure, or pupillometry.

12.3 Pharmacokinetics


Absorption and Distribution

Sildenafil is rapidly absorbed after oral administration, with a mean absolute bioavailability of 41% (25-63%). Maximum observed plasma concentrations are reached within 30 to 120 minutes (median 60 minutes) of oral dosing in the fasted state. When sildenafil is taken with a high-fat meal, the rate of absorption is reduced, with a mean delay in T max of 60 minutes and a mean reduction in C max of 29%. The mean steady state volume of distribution (Vss) for sildenafil is 105 L, indicating distribution into the tissues. Sildenafil and its major circulating N-desmethyl metabolite are both approximately 96% bound to plasma proteins. Protein binding is independent of total drug concentrations.

Bioequivalence was established between the 20 mg tablet and the 10 mg/mL oral suspension when administered as a 20 mg single oral dose of sildenafil (as citrate).



Metabolism and Excretion

Sildenafil is cleared predominantly by the CYP3A (major route) and cytochrome P450 2C9 (CYP2C9, minor route) hepatic microsomal isoenzymes. The major circulating metabolite results from N-desmethylation of sildenafil, and is, itself, further metabolized. This metabolite has a phosphodiesterase selectivity profile similar to sildenafil and an in vitro potency for PDE-5 approximately 50% of the parent drug. In healthy volunteers, plasma concentrations of this metabolite are approximately 40% of those seen for sildenafil, so that the metabolite accounts for about 20% of sildenafil's pharmacologic effects. In patients with PAH, however, the ratio of the metabolite to sildenafil is higher. Both sildenafil and the active metabolite have terminal half-lives of about 4 hours.



After either oral or intravenous administration, sildenafil is excreted as metabolites predominantly in the feces (approximately 80% of the administered oral dose) and to a lesser extent in the urine (approximately 13% of the administered oral dose).



Population Pharmacokinetics

Age, gender, race, and renal and hepatic function were included as factors assessed in the population pharmacokinetic model to evaluate sildenafil pharmacokinetics in patients with PAH. The dataset available for the population pharmacokinetic evaluation contained a wide range of demographic data and laboratory parameters associated with hepatic and renal function. None of these factors had a significant impact on sildenafil pharmacokinetics in patients with PAH.



In patients with PAH, the average steady-state concentrations were 20-50% higher when compared to those of healthy volunteers. There was also a doubling of C min levels compared to healthy volunteers. Both findings suggest a lower clearance and/or a higher oral bioavailability of sildenafil in patients with PAH compared to healthy volunteers.



Geriatric Patients

Healthy elderly volunteers (65 years or over) had a reduced clearance of sildenafil, resulting in approximately 84% and 107% higher plasma concentrations of sildenafil and its active N-desmethyl metabolite, respectively, compared to those seen in healthy younger volunteers (18-45 years). Due to age-differences in plasma protein binding, the corresponding increase in the AUC of free (unbound) sildenafil and its active N-desmethyl metabolite were 45% and 57%, respectively.



Renal Impairment

In volunteers with mild (CLcr = 50-80 mL/min) and moderate (CLcr = 30-49 mL/min) renal impairment, the pharmacokinetics of a single oral dose of sildenafil (50 mg) was not altered. In volunteers with severe (CLcr less than 30 mL/min) renal impairment, sildenafil clearance was reduced, resulting in approximately doubling of AUC and C max compared to age-matched volunteers with no renal impairment. In addition, N-desmethyl metabolite AUC and C max values were significantly increased 200 % and 79 %, respectively, in subjects with severe renal impairment compared to subjects with normal renal function.



Hepatic Impairment

In volunteers with mild to moderate hepatic cirrhosis (Child-Pugh class A and B), sildenafil clearance was reduced, resulting in increases in AUC (84%) and C max (47%) compared to age-matched volunteers with no hepatic impairment. Patients with severe hepatic impairment (Child-Pugh class C) have not been studied.



Drug Interaction Studies

In vitro studies

Sildenafil metabolism is principally mediated by the CYP3A (major route) and CYP2C9 (minor route) cytochrome P450 isoforms. Therefore, inhibitors of these isoenzymes may reduce sildenafil clearance and inducers of these isoenzymes may increase sildenafil clearance.



Sildenafil is a weak inhibitor of the cytochrome P450 isoforms 1A2, 2C9, 2C19, 2D6, 2E1 and 3A (IC50 greater than150 µM).

Sildenafil is not expected to affect the pharmacokinetics of compounds which are substrates of these CYP enzymes at clinically relevant concentrations.



In vivo studies

The effects of other drugs on sildenafil pharmacokinetics and the effects of sildenafil on the exposure to other drugs are shown in Figure 7 and Figure 8, respectively.



Figure 7. Effects of Other Drugs on Sildenafil Pharmacokinetics



Figure 8: Effects of Sildenafil on Other Drugs



CYP3A Inhibitors and Beta Blockers



Population pharmacokinetic analysis of data from patients in clinical trials indicated an approximately 30% reduction in sildenafil clearance when it was co-administered with mild/moderate CYP3A inhibitors and an approximately 34% reductions in sildenafil clearance when co-administered with beta-blockers. Sildenafil exposure exposure at a dose of 80 mg three times a day without concomitant medication is shown to be 5-fold the exposure at a dose of 20 mg three times a day. This concentration range covers the same increased sildenafil exposure observed in specifically-designed drug interaction studies with CYP3A inhibitors (except for potent inhibitors such as ketoconazole, itraconazole, and ritonavir).







CYP3A4 inducers including bosentan

Concomitant administration of potent CYP3A inducers is expected to cause substantial decreases in plasma levels of sildenafil.

Population pharmacokinetic analysis of data from patients in clinical trials indicated approximately 3-fold the sildenafil clearance when it was co-administered with mild CYP3A inducers.



Epoprostenol

The mean reduction of sildenafil (80 mg three times a day) bioavailability when co-administration with epoprostenol was 28%, resulting in about 22% lower mean average steady state concentrations. Therefore, the slight decrease of sildenafil exposure in the presence of epoprostenol is not considered clinically relevant. The effect of sildenafil on epoprostenol pharmacokinetics is not known.



No significant interactions were shown with tolbutamide (250 mg) or warfarin (40 mg), both of which are metabolized by CYP2C9.





Alcohol

Sildenafil (50 mg) did not potentiate the hypotensive effect of alcohol in healthy volunteers with mean maximum blood alcohol levels of 0.08%.

2.1 Sildenafil Tablets


The recommended dose of sildenafil tablets is 20 mg three times a day. Administer sildenafil tablets doses 4-6 hours apart.





In the clinical trial no greater efficacy was achieved with the use of higher doses. Treatment with doses higher than 20 mg three times a day is not recommended.

12.1 Mechanism of Action


Sildenafil is an inhibitor of cGMP specific phosphodiesterase type-5 (PDE-5) in the smooth muscle of the pulmonary vasculature, where PDE-5 is responsible for degradation of cGMP. Sildenafil, therefore, increases cGMP within pulmonary vascular smooth muscle cells resulting in relaxation. In patients with PAH, this can lead to vasodilation of the pulmonary vascular bed and, to a lesser degree, vasodilatation in the systemic circulation.



Studies in vitro have shown that sildenafil is selective for PDE-5. Its effect is more potent on PDE-5 than on other known phosphodiesterases (10-fold for PDE6, greater than 80-fold for PDE1, greater than 700-fold for PDE2, PDE3, PDE4, PDE7, PDE8, PDE9, PDE10, and PDE11). The approximately 4,000-fold selectivity for PDE-5 versus PDE3 is important because PDE3 is involved in control of cardiac contractility. Sildenafil is only about 10-fold as potent for PDE-5 compared to PDE6, an enzyme found in the retina and involved in the phototransduction pathway of the retina. This lower selectivity is thought to be the basis for abnormalities related to color vision observed with higher doses or plasma levels [ see Clinical Pharmacology (12.2) ].



In addition to pulmonary vascular smooth muscle and the corpus cavernosum, PDE-5 is also found in other tissues including vascular and visceral smooth muscle and in platelets. The inhibition of PDE-5 in these tissues by sildenafil may be the basis for the enhanced platelet anti-aggregatory activity of nitric oxide observed in vitro, and the mild peripheral arterial-venous dilatation in vivo.

2 Dosage & Administration (2 DOSAGE & ADMINISTRATION)


  • Tablet: 20 mg three times a day, 4-6 hours apart ( 2.1)
3 Dosage Forms & Strengths (3 DOSAGE FORMS & STRENGTHS)

Sildenafil Tablets, USP

Sildenafil tablets, USP are supplied as white to white-off, film-coated, round tablets debossed with "C 89" on one side and plain on the other side containing sildenafil citrate equivalent to 20 mg of sildenafil.

5 Warnings and Precautions (5 WARNINGS AND PRECAUTIONS)


• Increased mortality with increasing doses in pediatric patients. Not recommended for use in pediatric patients. ( 5.1)

• Vasodilation effects may be more common in patients with hypotension or on antihypertensive therapy. ( 5.2)

• Use in pulmonary veno-occlusive disease may cause pulmonary edema and is not recommended. ( 5.3)

• Hearing or visual impairment: Seek medical attention if sudden decrease or loss of vision or hearing occurs. ( 5.5, 5.6)

• Pulmonary hypertension secondary to sickle cell disease: Sildenafil may cause serious vaso-occlusive crises. ( 5.9)

6.2 Postmarketing Experience


The following adverse reactions have been identified during post approval use of sildenafil (marketed for both PAH and erectile dysfunction). Because these reactions are reported voluntarily from a population of uncertain size, it is not always possible to reliably estimate their frequency or establish a causal relationship to drug exposure.



Cardiovascular Events

In postmarketing experience with sildenafil at doses indicated for erectile dysfunction, serious cardiovascular, cerebrovascular, and vascular events, including myocardial infarction, sudden cardiac death, ventricular arrhythmia, cerebrovascular hemorrhage, transient ischemic attack, hypertension, pulmonary hemorrhage, and subarachnoid and intracerebral hemorrhages have been reported in temporal association with the use of the drug. Most, but not all, of these patients had preexisting cardiovascular risk factors. Many of these events were reported to occur during or shortly after sexual activity, and a few were reported to occur shortly after the use of sildenafil without sexual activity. Others were reported to have occurred hours to days after use concurrent with sexual activity. It is not possible to determine whether these events are related directly to sildenafil, to sexual activity, to the patient’s underlying cardiovascular disease, or to a combination of these or other factors.



Nervous system

Seizure, seizure recurrence



Ophthalmologic

NAION [ see Warnings and Precautions ( 5.5) and Patient Counseling Information ( 17) ].



6.1 Clinical Trials Experience

Because clinical trials are conducted under widely varying conditions, adverse reaction rates observed in the clinical trials of a drug cannot be directly compared to rates in the clinical trials of another drug and may not reflect the rates observed in practice.

Safety data of sildenafil in adults were obtained from the 12-week, placebo-controlled clinical study (Study 1) and an open-label extension study in 277 sildenafil-treated patients with PAH, WHO Group I [see Clinical Studies (14)].

The overall frequency of discontinuation in sildenafil-treated patients on 20 mg three times a day was 3% and was the same for the placebo group.

In Study 1, the adverse reactions that were reported by at least 3% of sildenafil-treated patients (20 mg three times a day) and were more frequent in sildenafil-treated patients than in placebo-treated patients are shown in Table 1. Adverse reactions were generally transient and mild to moderate in nature.



Table 1. Most Common Adverse Reactions in Patients with PAH in Study 1 (More Frequent in Sildenafil-Treated Patients than Placebo-Treated Patients and Incidence ≥3% in Sildenafil-Treated Patients)



Placebo, %

(n = 70)
Sildenafil tablets 20 mg three times a day, %

(n = 69)
Placebo-Subtracted, %
Epistaxis 1 9 8
Headache 39 46 7
Dyspepsia 7 13 6
Flushing 4 10 6
Insomnia 1 7 6
Erythema 1 6 5
Dyspnea exacerbated 3 7 4
Rhinitis 0 4 4
Diarrhea 6 9 3
Myalgia 4 7 3
Pyrexia 3 6 3
Gastritis 0 3 3
Sinusitis 0 3 3
Paresthesia 0 3 3




At doses higher than the recommended 20 mg three times a day, there was a greater incidence of some adverse reactions including flushing, diarrhea, myalgia and visual disturbances. Visual disturbances were identified as mild and transient, and were predominately color-tinge to vision, but also increased sensitivity to light or blurred vision.



The incidence of retinal hemorrhage with sildenafil 20 mg three times a day was 1.4% versus 0% placebo and for all sildenafil doses studied was 1.9% versus 0% placebo. The incidence of eye hemorrhage at both 20 mg three times a day and at all doses studied was 1.4% for sildenafil versus 1.4% for placebo. The patients experiencing these reactions had risk factors for hemorrhage including concurrent anticoagulant therapy.



In a placebo-controlled fixed dose titration study (Study 2) of sildenafil (starting with recommended dose of 20 mg and increased to 40 mg and then 80 mg all three times a day) as an adjunct to intravenous epoprostenol in patients with PAH, the adverse reactions that were more frequent in the sildenafil + epoprostenol group than in the epoprostenol group (greater than 6% difference) are shown in Table 2 [see Clinical Studies (14) ].



Table 2. Adverse Reactions (%) in patients with PAH in Study 2 (incidence in Sildenafil + Epoprostenol group at least 6% greater than Epoprostenol group)



Sildenafil + Epoprostenol

(n = 134)
Epoprostenol

(n = 131)
(Sildenafil + Epoprostenol)minus Epoprostenol

%
Headache 57 34 23
Edema
includes peripheral edema
25 13 14
Dyspepsia 16 2 14
Pain in extremity 17 6 11
Diarrhea 25 18 7
Nausea 25 18 7
Nasal congestion 9 2 7




5.1 Mortality With Pediatric Use (5.1 Mortality with Pediatric Use)


In a long-term trial in pediatric patients with PAH, an increase in mortality with increasing sildenafil dose was observed. Deaths were first observed after about 1 year and causes of death were typical of patients with PAH. Use of sildenafil, particularly chronic use, is not recommended in children [ see Use in Specific Populations (8.4) ].

17 Patient Counseling Information (17 PATIENT COUNSELING INFORMATION)

See FDA-approved patient labeling (Patient Information).



  • Inform patients of contraindication of sildenafil tablets 20 mg with regular and/or intermittent use of organic nitrates.
  • Inform patients that sildenafil is also marketed as VIAGRA for erectile dysfunction. Advise patients taking sildenafil tablets 20 mg not to take VIAGRA or other PDE-5 inhibitors.
  • Advise patients to seek immediate medical attention for a sudden loss of vision in one or both eyes while taking sildenafil tablets 20 mg. Such an event may be a sign of NAION.
  • Advise patients to seek prompt medical attention in the event of sudden decrease or loss of hearing while taking sildenafil tablets 20 mg. These events may be accompanied by tinnitus and dizziness.

VIAGRA® is registered trademark of Pfizer Inc. All other trademarks herein are the property of their respective owners.



Manufactured for:

Macleods Pharma USA, Inc.Plainsboro, NJ 08536

Manufactured by:

Macleods Pharmaceutical Ltd.Baddi, Himachal Pradesh, India

Repackaged and Relabeled by:

Enovachem PHARMACEUTICALS

Torrance, CA 90501



PATIENT INFORMATION

Sildenafil (sil-DEN-a-fil) Tablets

Read this Patient Information before you start taking sildenafil tablets and each time you get a refill. There may be new information. This information does not take the place of talking with your doctor about your medical condition or treatment. If you have any questions about sildenafil tablets, ask your doctor or pharmacist.

What is the most important information I should know about sildenafil tablets?



Never take sildenafil tablets with any nitrate or guanylate cyclase stimulator medicines. Your blood pressure could drop quickly to an unsafe level. Nitrate medicines include: 



• Medicines that treat chest pain (angina)

• Nitroglycerin in any form including tablets, patches, sprays, and ointments

• Isosorbide mononitrate or dinitrate

• Street drugs called “poppers” (amyl nitrate or nitrite)



Guanylate cyclase stimulators include:

• Riociguat (Adempas)



Ask your doctor or pharmacist if you are not sure if you are taking a nitrate or a guanylate cyclase stimulator medicine.



What are sildenafil tablets?



Sildenafil tablets are a prescription medicine used in adults to treat pulmonary arterial hypertension (PAH). With PAH, the blood pressure in your lungs is too high. Your heart has to work hard to pump blood into your lungs.



Sildenafil tablets improve the ability to exercise and can slow down worsening changes in your physical condition.



• Sildenafil tablets are not for use in children

• Adding sildenafil tablets to another medication used to treat PAH, bosentan (Tracleer ®), does not result in improvement in your ability to exercise.



Sildenafil tablets 20 mg contain the same medicine as VIAGRA® (sildenafil), which is used to treat erectile dysfunction (impotence). Do not take sildenafil tablets 20 mg with VIAGRA or other PDE-5 inhibitors.



Who should not take sildenafil tablets?



Do not take sildenafil tablets if you:

• take nitrate medicines. See “ What is the most important information I should know about sildenafil tablets?”• take guanylate cyclase stimulator medicines. See “What is the most important information I should know about sildenafil tablets?” • are allergic to sildenafil or any other ingredient in sildenafil tablets. See “ What are the ingredients in sildenafil tablets?” at the end of this leaflet.



What should I tell my doctor before taking sildenafil tablets?

Tell your doctor about all of your medical conditions, including if you

• have heart problems such as angina (chest pain), heart failure, irregular heartbeats, or have had a heart attack

• have a disease called pulmonary veno-occlusive disease (PVOD)

• have high or low blood pressure or blood circulation problems

• have an eye problem called retinitis pigmentosa

• have or had loss of sight in one or both eyes

• have any problem with the shape of your penis or Peyronie’s disease

• have any blood cell problems such sickle cell anemia

• have a stomach ulcer or any bleeding problems

• are pregnant or planning to become pregnant. It is not known if sildenafil tablets could harm your unborn baby.

• are breastfeeding. Sildenafil passes into your breast milk, it is not known if it could harm your baby.



Tell your doctor about all of the medicines you take, including prescription and non-prescription medicines, vitamins, and herbal products. Sildenafil tablets and certain other medicines can cause side effects if you take them together. The doses of some of your medicines may need to be adjusted while you take sildenafil tablets.



Especially tell your doctor if you take

• Nitrate medicines. See “ What is the most important information I should know about sildenafil tablets?

 • Riociguat (Adempas). See “What is the most important information I should know about sildenafil tablets?”• Ritonavir (Norvir®) or other medicines used to treat HIV infection

• Ketoconazole (Nizoral®)

• Itraconazole (Sporanox)

• High blood pressure medicine



Know the medicines you take. Keep a list of your medicines and show it to your doctor and pharmacist when you get a new medicine.



How should I take sildenafil tablets? • Take sildenafil tablets exactly as your doctor tells you.



Sildenafil may be prescribed to you as



• Sildenafil tablets

• Take sildenafil tablet 3 times a day about 4 to 6 hours apart.

• Take sildenafil tablets at the same times every day.

• If you miss a dose, take it as soon as you remember. If it is close to your next dose, skip the missed dose, and take your next dose at the regular time.

• Do not take more than one dose of sildenafil tablets at a time.

• Do not change your dose or stop taking sildenafil tablets on your own. Talk to your doctor first.

If you take too much sildenafil, call your doctor or go to the nearest hospital emergency room.



What are the possible side effects of sildenafil tablets?


low blood pressure. Low blood pressure may cause you to feel faint or dizzy. Lie down if you feel faint or dizzy.

more shortness of breath than usual. Tell your doctor if you get more short of breath after you start sildenafil tablets. More shortness of breath than usual may be due to your underlying medical condition.

decreased eyesight or loss of sight in one or both eyes (NAION). If you notice a sudden decrease or loss of eyesight, talk to your doctor right away.

sudden decrease or loss of hearing. If you notice a sudden decrease or loss of hearing, talk to your doctor right away. It is not possible to determine whether these events are related directly to this class of oral medicines, including sildenafil tablets, or to other diseases or medicines, to other factors, or to a combination of factors.

heart attack, stroke, irregular heartbeats, and death. Most of these happened in men who already had heart problems.

erections that last several hours. If you have an erection that lasts more than 4 hours, get medical help right away. If it is not treated right away, priapism can permanently damage your penis.

The most common side effects with sildenafil tablets include:



Nosebleed, headache, upset stomach, getting red or hot in the face (flushing), trouble sleeping, as well as fever, erection increased, respiratory infection, nausea, vomiting, bronchitis, pharyngitis, runny nose, and pneumonia in children.



Tell your doctor if you have any side effect that bothers you or doesn’t go away. These are not all the possible side effects of sildenafil tablets. For more information, ask your doctor or pharmacist.

Call your doctor for medical advice about side effects. You may report side effects to FDA at 1-800-FDA-1088.



How should I store sildenafil tablets?

• Store sildenafil tablets at controlled room temperature, between 20° to 25°C (68° to 77°F).

Keep sildenafil tablets and all medicines away from children.



General information about sildenafil tablets

Medicines are sometimes prescribed for purposes that are not in the patient leaflet. Do not use sildenafil tablets for a condition for which it was not prescribed. Do not give sildenafil tablets to other people, even if they have the same symptoms you have. It could harm them.



This patient leaflet summarizes the most important information about sildenafil tablets. If you would like more information about sildenafil tablets talk with your doctor. You can ask your doctor or pharmacist for information about sildenafil tablets that is written for health professionals. For more information call 1-888-943-3210.



What are the ingredients in sildenafil tablets?



Active ingredients:
sildenafil citrate



Inactive ingredients: microcrystalline cellulose, dibasic calcium phosphate dihydrate, croscarmellose sodium, magnesium stearate, hypromellose, titanium dioxide, triacetin



This Patient Information has been approved by the U.S. Food and Drug Administration.

VIAGRA® is registered trademark of Pfizer Inc. All other trademarks herein are the property of their respective owners.



Manufactured for:

Macleods Pharma USA, Inc.Plainsboro, NJ 08536

Manufactured by:

Macleods Pharmaceutical Ltd.Baddi, Himachal Pradesh, India

Repackaged and Relabeled by:

Enovachem PHARMACEUTICALS

Torrance, CA 90501



8.7 Patients With Renal Impairment (8.7 Patients with Renal Impairment)

No dose adjustment is required (including severe impairment CLcr < 30 mL/min) [ see Clinical Pharmacology (12.3) ].

16 How Supplied/storage and Handling (16 HOW SUPPLIED/STORAGE AND HANDLING)

Sildenafil tablets, USP are supplied as white to off-white, film-coated, round tablets containing sildenafil citrate equivalent to the nominally indicated amount of sildenafil as follows:

Sildenafil Tablets
Package Configuration Strength NDC Debossing on Tablet
Bottle of 30 Tablets  20 mg 

76420-061-30 repackaged from NDC 33342-121-10  

“C 89” 
Bottle of 60 Tablets 20 mg  76420-061-60 repackaged from NDC 33342-121-10 “C 89” 
Bottle of 90 Tablets 20 mg 76420-061-90 relabeled from NDC 33342-121-10 “C 89”

Recommended Storage for Sildenafil Tablets, USP: Store at controlled room temperature 20º to 25ºC (68º to 77ºF); excursions permitted to 15º to 30ºC (59º to 86ºF) [see USP Controlled Room Temperature]. Dispense in tight containers (USP).

8.6 Patients With Hepatic Impairment (8.6 Patients with Hepatic Impairment)


No dose adjustment for mild to moderate impairment is required. Severe impairment has not been studied [see Clinical Pharmacology 12.3)].

Package Label.principal Display Panel (PACKAGE LABEL.PRINCIPAL DISPLAY PANEL)

5.7 Combination With Other Pde 5 Inhibitors (5.7 Combination with other PDE-5 inhibitors)


Sildenafil is also marketed as VIAGRA®. The safety and efficacy of combinations of sildenafil with VIAGRA or other PDE-5 inhibitors have not been studied. Inform patients taking sildenafil not to take VIAGRA or other PDE-5 inhibitors.

5.3 Worsening Pulmonary Vascular Occlusive Disease


Pulmonary vasodilators may significantly worsen the cardiovascular status of patients with pulmonary veno-occlusive disease (PVOD). Since there are no clinical data on administration of sildenafil to patients with veno-occlusive disease, administration of sildenafil to such patients is not recommended. Should signs of pulmonary edema occur when sildenafil is administered, consider the possibility of associated PVOD.

13.1 Carcinogenesis, Mutagenesis, Impairment of Fertility (13.1 Carcinogenesis, Mutagenesis, Impairment Of Fertility)


Sildenafil was not carcinogenic when administered to rats for up to 24 months at 60 mg/kg/day, a dose resulting in total systemic exposure (AUC) to unbound sildenafil and its major metabolite 33 and 37 times, for male and female rats respectively, the human exposure at the RHD of 20 mg three times a day. Sildenafil was not carcinogenic when administered to male and female mice for up to 21 and 18 months, respectively, at doses up to a maximally tolerated level of 10 mg/kg/day, a dose equivalent to the RHD on a mg/m 2 basis.



Sildenafil was negative in in vitro bacterial and Chinese hamster ovary cell assays to detect mutagenicity, and in vitro human lymphocytes and in vivo mouse micronucleus assays to detect clastogenicity.



There was no impairment of fertility in male or female rats given up to 60 mg sildenafil/kg/day, a dose producing a total systemic exposure (AUC) to unbound sildenafil and its major metabolite of 19 and 38 times for males and females, respectively, the human exposure at the RHD of 20 mg three times a day.



5.9 Vaso Occlusive Crisis in Patients With Pulmonary Hypertension Secondary to Sickle Cell Anemia (5.9 Vaso-occlusive Crisis in Patients with Pulmonary Hypertension Secondary to Sickle Cell Anemia)


In a small, prematurely terminated study of patients with pulmonary hypertension (PH) secondary to sickle cell disease, vaso-occlusive crises requiring hospitalization were more commonly reported by patients who received sildenafil than by those randomized to placebo. The effectiveness and safety of sildenafil in the treatment of PAH secondary to sickle cell anemia has not been established.


Advanced Ingredient Data


Raw Label Data

All Sections (JSON)