Dicyclomine Hydrochloride

Dicyclomine Hydrochloride
SPL v3
SPL
SPL Set ID 05552560-6986-f9e8-e063-6394a90a4af0
Route
ORAL
Published
Effective Date 2025-06-01
Document Type 34391-3 HUMAN PRESCRIPTION DRUG LABEL

Drug Facts

Composition & Product

Active Ingredients
Dicyclomine (20 mg)
Inactive Ingredients
Silicon Dioxide Fd&c Blue No. 1 Hypromellose 2910 (15 Mpa.s) Sodium Starch Glycolate Type A Potato Stearic Acid Lactose Monohydrate

Identifiers & Packaging

Pill Appearance
Imprint: T;200 Shape: round Color: blue Size: 7 mm Score: 1
Marketing Status
ANDA Active Since 2023-06-01

Description

Dicyclomine hydrochloride is indicated for the treatment of patients with functional bowel/irritable bowel syndrome.

Indications and Usage

Dicyclomine hydrochloride is indicated for the treatment of patients with functional bowel/irritable bowel syndrome.

Dosage and Administration

Dosage must be adjusted to individual patient needs.

Warnings and Precautions

Cardiovascular conditions : worsening of conditions ( 5.2 ) Peripheral and central nervous system : heat prostration can occur with drug use (fever and heat stroke due to decreased sweating); drug should be discontinued and supportive measures instituted ( 5.3 ) Psychosis and delirium have been reported in patients sensitive to anticholinergic drugs (such as elderly patients and/or in patients with mental illness) : signs and symptoms resolve within 12 to 24 hours after discontinuation of dicyclomine hydrochloride ( 5.3 ) Myasthenia Gravis : overdose may lead to muscular weakness and paralysis. Dicyclomine hydrochloride should be given to patients with myasthenia gravis only to reduce adverse muscarinic effects of an anticholinesterase ( 5.4 ) Incomplete intestinal obstruction : diarrhea may be an early symptom especially in patients with ileostomy or colostomy. Treatment with dicyclomine hydrochloride would be inappropriate and possibly fatal ( 5.5 ) Salmonella dysenteric patients : due to risk of toxic megacolon ( 5.6 ) Ulcerative colitis : Dicyclomine hydrochloride should be used with caution in these patients; large doses may suppress intestinal motility or aggravate the serious complications of toxic megacolon ( 5.7 ) Prostatic hypertrophy : Dicyclomine hydrochloride should be used with caution in these patients; may lead to urinary retention ( 5.8 ) Hepatic and renal disease : should be used with caution ( 5.9 ) Geriatric : use with caution in elderly who may be more susceptible to dicyclomine hydrochloride’s adverse events ( 5.10 )

Contraindications

Dicyclomine hydrochloride is contraindicated in infants less than 6 months of age [see  Use in Specific Populations ( 8.4 )] , nursing mothers [see  Use in Specific Populations ( 8.3 )] , and in patients with: unstable cardiovascular status in acute hemorrhage myasthenia gravis [see  Warnings and Precautions ( 5.4 )] glaucoma [see  Adverse Reactions ( 6.3 ) and  Drug Interactions  ( 7.1 )] obstructive uropathy [see  Warnings and Precautions ( 5.8 )] obstructive disease of the gastrointestinal tract [see  Warnings and Precautions ( 5.5 )] severe ulcerative colitis [see  Warnings and Precautions ( 5.7 )] reflux esophagitis

Adverse Reactions

The pattern of adverse effects seen with dicylomine is mostly related to its pharmacological actions at muscarinic receptors  [see Clinical Pharmacology ( 12 )] . They are a consequence of the inhibitory effect on muscarinic receptors within the autonomic nervous system. These effects are dose-related and are usually reversible when treatment is discontinued. The most serious adverse reactions reported with dicyclomine hydrochloride include cardiovascular and central nervous system symptoms [see  Warnings and Precautions ( 5.2 , 5.3 )].

Drug Interactions

Antiglaucoma agents : anticholinergics antagonize antiglaucoma agents and may increase intraocular pressure ( 7 ) Anticholinergic agents : may affect the gastrointestinal absorption of various drugs; may also increase certain actions or side effects of other anticholinergic drugs ( 7 ) Antacids : interfere with the absorption of anticholinergic agents ( 7 )

Storage and Handling

Dicyclomine hydrochloride tablets, USP, 20 mg is supplied as follows: Light blue to blue round tablet with a few white spots and "T 200" engraved on one side, supplied in bottles of 120. To prevent fading, avoid exposure to direct sunlight. Store at 20°-25℃ (68°-77°F). [See USP controlled room temperature]. NDC 51407-821-12

How Supplied

Dicyclomine hydrochloride tablets, USP, 20 mg is supplied as follows: Light blue to blue round tablet with a few white spots and "T 200" engraved on one side, supplied in bottles of 120. To prevent fading, avoid exposure to direct sunlight. Store at 20°-25℃ (68°-77°F). [See USP controlled room temperature]. NDC 51407-821-12


Medication Information

Warnings and Precautions

Cardiovascular conditions : worsening of conditions ( 5.2 ) Peripheral and central nervous system : heat prostration can occur with drug use (fever and heat stroke due to decreased sweating); drug should be discontinued and supportive measures instituted ( 5.3 ) Psychosis and delirium have been reported in patients sensitive to anticholinergic drugs (such as elderly patients and/or in patients with mental illness) : signs and symptoms resolve within 12 to 24 hours after discontinuation of dicyclomine hydrochloride ( 5.3 ) Myasthenia Gravis : overdose may lead to muscular weakness and paralysis. Dicyclomine hydrochloride should be given to patients with myasthenia gravis only to reduce adverse muscarinic effects of an anticholinesterase ( 5.4 ) Incomplete intestinal obstruction : diarrhea may be an early symptom especially in patients with ileostomy or colostomy. Treatment with dicyclomine hydrochloride would be inappropriate and possibly fatal ( 5.5 ) Salmonella dysenteric patients : due to risk of toxic megacolon ( 5.6 ) Ulcerative colitis : Dicyclomine hydrochloride should be used with caution in these patients; large doses may suppress intestinal motility or aggravate the serious complications of toxic megacolon ( 5.7 ) Prostatic hypertrophy : Dicyclomine hydrochloride should be used with caution in these patients; may lead to urinary retention ( 5.8 ) Hepatic and renal disease : should be used with caution ( 5.9 ) Geriatric : use with caution in elderly who may be more susceptible to dicyclomine hydrochloride’s adverse events ( 5.10 )

Indications and Usage

Dicyclomine hydrochloride is indicated for the treatment of patients with functional bowel/irritable bowel syndrome.

Dosage and Administration

Dosage must be adjusted to individual patient needs.

Contraindications

Dicyclomine hydrochloride is contraindicated in infants less than 6 months of age [see  Use in Specific Populations ( 8.4 )] , nursing mothers [see  Use in Specific Populations ( 8.3 )] , and in patients with: unstable cardiovascular status in acute hemorrhage myasthenia gravis [see  Warnings and Precautions ( 5.4 )] glaucoma [see  Adverse Reactions ( 6.3 ) and  Drug Interactions  ( 7.1 )] obstructive uropathy [see  Warnings and Precautions ( 5.8 )] obstructive disease of the gastrointestinal tract [see  Warnings and Precautions ( 5.5 )] severe ulcerative colitis [see  Warnings and Precautions ( 5.7 )] reflux esophagitis

Adverse Reactions

The pattern of adverse effects seen with dicylomine is mostly related to its pharmacological actions at muscarinic receptors  [see Clinical Pharmacology ( 12 )] . They are a consequence of the inhibitory effect on muscarinic receptors within the autonomic nervous system. These effects are dose-related and are usually reversible when treatment is discontinued. The most serious adverse reactions reported with dicyclomine hydrochloride include cardiovascular and central nervous system symptoms [see  Warnings and Precautions ( 5.2 , 5.3 )].

Drug Interactions

Antiglaucoma agents : anticholinergics antagonize antiglaucoma agents and may increase intraocular pressure ( 7 ) Anticholinergic agents : may affect the gastrointestinal absorption of various drugs; may also increase certain actions or side effects of other anticholinergic drugs ( 7 ) Antacids : interfere with the absorption of anticholinergic agents ( 7 )

Storage and Handling

Dicyclomine hydrochloride tablets, USP, 20 mg is supplied as follows: Light blue to blue round tablet with a few white spots and "T 200" engraved on one side, supplied in bottles of 120. To prevent fading, avoid exposure to direct sunlight. Store at 20°-25℃ (68°-77°F). [See USP controlled room temperature]. NDC 51407-821-12

How Supplied

Dicyclomine hydrochloride tablets, USP, 20 mg is supplied as follows: Light blue to blue round tablet with a few white spots and "T 200" engraved on one side, supplied in bottles of 120. To prevent fading, avoid exposure to direct sunlight. Store at 20°-25℃ (68°-77°F). [See USP controlled room temperature]. NDC 51407-821-12

Description

Dicyclomine hydrochloride is indicated for the treatment of patients with functional bowel/irritable bowel syndrome.

10 Overdosage

In case of an overdose, patients should contact a physician, poison control center (1-800-222-1222), or emergency room.

The signs and symptoms of overdosage include: headache; nausea; vomiting; blurred vision; dilated pupils; hot, dry skin; dizziness; dryness of the mouth; difficulty in swallowing; and CNS stimulation including convulsion. A curare-like action may occur (i.e., neuromuscular blockade leading to muscular weakness and possible paralysis).

One reported event included a 37-year-old who reported numbness on the left side, cold fingertips, blurred vision, abdominal and flank pain, decreased appetite, dry mouth, and nervousness following ingestion of 320 mg daily (four 20 mg tablets four times daily). These events resolved after discontinuing the dicyclomine.

The acute oral LD 50of the drug is 625 mg/kg in mice.

The amount of drug in a single dose that is ordinarily associated with symptoms of overdosage or that is likely to be life-threatening, has not been defined. The maximum human oral dose recorded was 600 mg by mouth in a 10-month-old child and approximately 1500 mg in an adult, each of whom survived. In three of the infants who died following administration of dicyclomine hydrochloride tablets  [see  Warnings and Precautions(5.1)], the blood concentrations of drug were 200, 220, and 505 ng/mL.

It is not known if dicyclomine hydrochloride is dialyzable.

Treatment should consist of gastric lavage, emetics, and activated charcoal. Sedatives (e.g., short-acting barbiturates, benzodiazepines) may be used for management of overt signs of excitement. If indicated, an appropriate parenteral cholinergic agent may be used as an antidote.

8.1 Pregnancy

Pregnancy Category B

Adequate and well-controlled studies have not been conducted with dicyclomine hydrochloride in pregnant women at the recommended doses of 80 to 160 mg/day. However, epidemiologic studies did not show an increased risk of structural malformations among babies born to women who took products containing dicyclomine hydrochloride tablets at doses up to 40 mg/day during the first trimester of pregnancy. Reproduction studies have been performed in rats and rabbits at doses up to 33 times the maximum recommended human dose based on 160 mg/day (3 mg/kg) and have revealed no evidence of harm to the fetus due to dicyclomine. Because animal reproduction studies are not always predictive of human response, this drug should be used during pregnancy only if clearly needed.

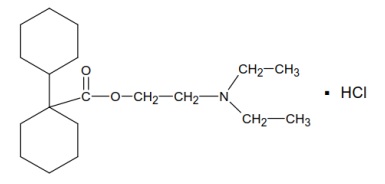
11 Description

Dicyclomine hydrochloride, USP is an antispasmodic and anticholinergic (antimuscarinic) agent available in the following dosage forms:

  • Dicyclomine hydrochloride tablets, USP, 20 mg for oral use contain 20 mg dicyclomine hydrochloride, USP. Dicyclomine hydrochloride tanlets, USP, 20 mg also contain inactive ingredients: colloidal silicon dioxide, FD&C Blue #1, hypromellose, lactose monohydrate, sodium starch glycolate, and stearic acid.

Dicyclomine hydrochloride, USP is [bicyclohexyl]-1-carboxylic acid, 2-(diethylamino) ethyl ester, hydrochloride, with a molecular formula of C 19H 35NO 2•HCl and the following structural formula:

Molecular weight: 345.95

Dicyclomine hydrochloride, USP occurs as a fine, white, crystalline, practically odorless powder with a bitter taste. It is soluble in water, freely soluble in alcohol and chloroform, and very slightly soluble in ether.

8.4 Pediatric Use

Safety and effectiveness in pediatric patients have not been established.

Dicyclomine hydrochloride is contraindicated in infants less than 6 months of age [see  Contraindications( 4)] . There are published cases reporting that the administration of dicyclomine hydrochloride tablets syrup to infants has been followed by serious respiratory symptoms (dyspnea, shortness of breath, breathlessness, respiratory collapse, apnea and asphyxia), seizures, syncope, pulse rate fluctuations, muscular hypotonia, and coma, and death, however; no causal relationship has been established.

8.5 Geriatric Use

Clinical studies of dicyclomine hydrochloride did not include sufficient numbers of subjects aged 65 and over to determine whether they respond differently from younger subjects. Other reported clinical experience has not identified differences in responses between the elderly and younger patients. In general, dose selection for an elderly patient should be cautious, usually starting at the low end of the dosing range in adults, reflecting the greater frequency of decreased hepatic, renal, or cardiac function, and of concomitant disease or other drug therapy .

Because elderly patients are more likely to have decreased renal function, care should be taken in dose selection, and it may be useful to monitor renal function.

14 Clinical Studies

In controlled clinical trials involving over 100 patients who received drug, 82% of patients treated for functional bowel/irritable bowel syndrome with dicyclomine hydrochloride tablets at initial doses of 160 mg daily (40 mg four times daily) demonstrated a favorable clinical response compared with 55% treated with placebo (p<0.05).

17.2 Use in Infants

Inform parents and caregivers not to administer dicyclomine hydrochloride in infants less than 6 months of age [see  Use in Specific Populations ( 8.4 ) ].

4 Contraindications

Dicyclomine hydrochloride is contraindicated in infants less than 6 months of age [see  Use in Specific Populations( 8.4)] , nursing mothers [see  Use in Specific Populations ( 8.3)] , and in patients with:

6 Adverse Reactions

The pattern of adverse effects seen with dicylomine is mostly related to its pharmacological actions at muscarinic receptors  [see Clinical Pharmacology( 12)] . They are a consequence of the inhibitory effect on muscarinic receptors within the autonomic nervous system. These effects are dose-related and are usually reversible when treatment is discontinued.

The most serious adverse reactions reported with dicyclomine hydrochloride include cardiovascular and central nervous system symptoms [see  Warnings and Precautions( 5.2, 5.3)].

7 Drug Interactions
  • Antiglaucoma agents: anticholinergics antagonize antiglaucoma agents and may increase intraocular pressure ( 7)
  • Anticholinergic agents: may affect the gastrointestinal absorption of various drugs; may also increase certain actions or side effects of other anticholinergic drugs ( 7)
  • Antacids: interfere with the absorption of anticholinergic agents ( 7)
8.3 Nursing Mothers

Dicyclomine hydrochloride is contraindicated in women who are breastfeeding. Dicyclomine hydrochloride is excreted in breastmilk. Because of the potential for serious adverse reactions in breastfed infants from dicyclomine hydrochloride, a decision should be made whether to discontinue nursing or to discontinue the drug, taking into account the importance of the drug to the mother [see  Use in Specific Populations( 8.4)] .

8.6 Renal Impairment

Effects of renal impairment on PK, safety and efficacy of dicyclomine hydrochloride has not been studied. Dicyclomine hydrochloride drug is known to be substantially excreted by the kidney, and the risk of toxic reactions to this drug may be greater in patients with impaired renal function. Dicyclomine hydrochloride should be administered with caution in patients with renal impairment.  

12.2 Pharmacodynamics

Dicyclomine hydrochloride can inhibit the secretion of saliva and sweat, decrease gastrointestinal secretions and motility, cause drowsiness, dilate the pupils, increase heart rate, and depress motor function

12.3 Pharmacokinetics

Absorption and Distribution

In man, dicyclomine is rapidly absorbed after oral administration, reaching peak values within 60-90 minutes. Mean volume of distribution for a 20 mg oral dose is approximately 3.65 L/kg suggesting extensive distribution in tissues.

Elimination

The metabolism of dicyclomine was not studied. The principal route of excretion is via the urine (79.5% of the dose). Excretion also occurs in the feces, but to a lesser extent (8.4%). Mean half-life of plasma elimination in one study was determined to be approximately 1.8 hours when plasma concentrations were measured for 9 hours after a single dose. In subsequent studies, plasma concentrations were followed for up to 24 hours after a single dose, showing a secondary phase of elimination with a somewhat longer half-life. 

5.4 Myasthenia Gravis

With overdosage, a curare-like action may occur (i.e., neuromuscular blockade leading to muscular weakness and possible paralysis). It should not be given to patients with myasthenia gravis except to reduce adverse muscarinic effects of an anticholinesterase [see  Contraindications( 4)].

5.7 Ulcerative Colitis

Caution should be taken in patients with ulcerative colitis. Large doses may suppress intestinal motility to the point of producing a paralytic ileus and the use of this drug may precipitate or aggravate the serious complication of toxic megacolon [see  Adverse Reactions( 6.3)] . Dicyclomine hydrochloride is contraindicated in patients with severe ulcerative colitis [see  Contraindications( 4)].

7.4 Effect of Antacids

Because antacids may interfere with the absorption of anticholinergic agents including dicyclomine hydrochloride, simultaneous use of these drugs should be avoided.

8.7 Hepatic Impairment

Effects of renal impairment on PK, safety and efficacy of dicyclomine hydrochloride have not been studied. Dicyclomine hydrochloride should be administered with caution in patients with hepatic impairment.

1 Indications and Usage

Dicyclomine hydrochloride is indicated for the treatment of patients with functional bowel/irritable bowel syndrome.

7.1 Antiglaucoma Agents

Anticholinergics antagonize the effects of antiglaucoma agents. Anticholinergic drugs in the presence of increased intraocular pressure may be hazardous when taken concurrently with agents such as corticosteroids. Use of dicyclomine hydrochloride in patients with glaucoma is not recommended [see  Contraindications( 4)].

12.1 Mechanism of Action

Dicyclomine relieves smooth muscle spasm of the gastrointestinal tract. Animal studies indicate that this action is achieved via a dual mechanism:

  • a specific anticholinergic effect (antimuscarinic) at the acetylcholine-receptor sites with approximately 1/8 the milligram potency of atropine ( in vitro, guinea pig ileum); and
  • a direct effect upon smooth muscle (musculotropic) as evidenced by dicyclomine’s antagonism of bradykinin- and histamine-induced spasms of the isolated guinea pig ileum.

Atropine did not affect responses to these two agonists. In vivostudies in cats and dogs showed dicyclomine to be equally potent against acetylcholine (ACh)- or barium chloride (BaCl 2)-induced intestinal spasm while atropine was at least 200 times more potent against effects of ACh than BaCl 2. Tests for mydriatic effects in mice showed that dicyclomine was approximately 1/500 as potent as atropine; antisialagogue tests in rabbits showed dicyclomine to be 1/300 as potent as atropine.

5.10 Geriatric Population

Dicyclomine hydrochloride should be used with caution in elderly who may be more susceptible to its adverse effects.

5.8 Prostatic Hypertrophy

Dicyclomine hydrochloride should be used with caution in patients with known or suspected prostatic enlargement, in whom prostatic enlargement may lead to urinary retention [see  Adverse Reactions( 6.3)]

5 Warnings and Precautions
  • Cardiovascular conditions: worsening of conditions ( 5.2)
  • Peripheral and central nervous system: heat prostration can occur with drug use (fever and heat stroke due to decreased sweating); drug should be discontinued and supportive measures instituted ( 5.3)
  • Psychosis and delirium have been reported in patients sensitive to anticholinergic drugs (such as elderly patients and/or in patients with mental illness): signs and symptoms resolve within 12 to 24 hours after discontinuation of dicyclomine hydrochloride ( 5.3)
  • Myasthenia Gravis: overdose may lead to muscular weakness and paralysis. Dicyclomine hydrochloride should be given to patients with myasthenia gravis only to reduce adverse muscarinic effects of an anticholinesterase ( 5.4)
  • Incomplete intestinal obstruction: diarrhea may be an early symptom especially in patients with ileostomy or colostomy. Treatment with dicyclomine hydrochloride would be inappropriate and possibly fatal ( 5.5)
  • Salmonella dysenteric patients: due to risk of toxic megacolon ( 5.6)
  • Ulcerative colitis: Dicyclomine hydrochloride should be used with caution in these patients; large doses may suppress intestinal motility or aggravate the serious complications of toxic megacolon ( 5.7)
  • Prostatic hypertrophy: Dicyclomine hydrochloride should be used with caution in these patients; may lead to urinary retention ( 5.8)
  • Hepatic and renal disease: should be used with caution ( 5.9)
  • Geriatric: use with caution in elderly who may be more susceptible to dicyclomine hydrochloride’s adverse events ( 5.10)
5.5 Intestinal Obstruction

Diarrhea may be an early symptom of incomplete intestinal obstruction, especially in patients with ileostomy or colostomy. In this instance, treatment with this drug would be inappropriate and possibly harmful [see  Contraindications( 4)].

Rarely development of Ogilvie’s syndrome (colonic pseudo-obstruction) has been reported. Ogilvie’s syndrome is a clinical disorder with signs, symptoms, and radiographic appearance of an acute large bowel obstruction but with no evidence of distal colonic obstruction

17.3 Use in Nursing Mothers

Advise lactating women that dicyclomine hydrochloride should not be used while breastfeeding their infants [see  Use in Specific Populations( 8.3, 8.4)] .

2 Dosage and Administration

Dosage must be adjusted to individual patient needs.

3 Dosage Forms and Strengths
  • Dicyclomine hydrochloride tablets, USP, 20 mg: Light blue to blue round tablet with a few white spots and "T 200" engraved on one side.
6.2 Postmarketing Experience

The following adverse reactions, presented by system organ class in alphabetical order, have been identified during post approval use of dicyclomine hydrochloride. Because these reactions are reported voluntarily from a population of uncertain size, it is not always possible to reliably estimate their frequency or establish a causal relationship to drug exposure.

  • Cardiac disorders: palpitations, tachyarrhythmias
  • Eye disorders: cycloplegia, mydriasis, vision blurred
  • Gastrointestinal disorders: abdominal distension, abdominal pain, constipation, dry mouth, dyspepsia, nausea, vomiting
  • General disorders and administration site conditions: fatigue, malaise
  • Immune System Disorders: drug hypersensitivity including face oedema, angioedema, anaphylactic shock
  • Nervous system disorders: dizziness, headache, hallucinations insomnia, somnolence, syncope
  • Psychiatric disorders: As with the other anti-cholinergic drugs, cases of delirium or symptoms of delirium such as amnesia (or transient global amnesia), agitation, confusional state, delusion, disorientation, hallucination (including visual hallucination) as well as mania, mood altered and pseudodementia, have been reported with the use of Dicyclomine. Nervousness and insomnia have also been reported.
  • Reproductive system and breast disorders: suppressed lactation
  • Respiratory, thoracic and mediastinal disorders: dyspnoea, nasal congestion
  • Skin and subcutaneous tissue disorder: dermatitis allergic, erythema, rash
5.2 Cardiovascular Conditions

Dicyclomine hydrochloride tablets needs to be used with caution in conditions characterized by tachyarrhythmia such as thyrotoxicosis, congestive heart failure and in cardiac surgery, where they may further accelerate the heart rate. Investigate any tachycardia before administration of dicyclomine hydrochloride tablets. Care is required in patients with coronary heart disease, as ischemia and infarction may be worsened, and in patients with hypertension [see  Adverse Reactions( 6.3)] .

5.9 Hepatic and Renal Disease

Dicyclomine hydrochloride should be used with caution in patients with known hepatic and renal impairment. 

8 Use in Specific Populations
  • Pregnancy: use only if clearly needed ( 8.1)
  • Pediatric Use: Safety and effectiveness not established ( 8.4)
  • Hepatic and renal impairment: caution must be taken with patients with significantly impaired hepatic and renal function ( 8.6)
6.1 Clinical Trials Experience

Because clinical trials are conducted under widely varying conditions, adverse reaction rates observed in the clinical trials of a drug cannot be directly compared to rates in the clinical trials of another drug and may not reflect the rates observed in practice.

The data described below reflect exposure in controlled clinical trials involving over 100 patients treated for functional bowel/irritable bowel syndrome with dicyclomine hydrochloride tablets at initial doses of 160 mg daily (40 mg four times a day)

In these trials most of the side effects were typically anticholinergic in nature and were reported by 61% of the patients. Table 1 presents adverse reactions ( MedDRA 13.0preferred terms) by decreasing order of frequency in a side-by-side comparison with placebo.

Table 1: Adverse reactions experienced in controlled clinical trials with decreasing order of frequency

MedDRA Preferred Term

Dicyclomine Hydrochloride (40 mg four times a day)

%

Placebo %

Dry Mouth

33

5

Dizziness

40

5

Vision blurred

27

2

Nausea

14

6

Somnolence

9

1

Asthenia

7

1

Nervousness

6

2

Nine percent (9%) of patients were discontinued from dicyclomine hydrochloride because of one or more of these side effects (compared with 2% in the placebo group). In 41% of the patients with side effects, side effects disappeared or were tolerated at the 160 mg daily dose without reduction. A dose reduction from 160 mg daily to an average daily dose of 90 mg was required in 46% of the patients with side effects who then continued to experience a favorable clinical response; their side effects either disappeared or were tolerated.

16 How Supplied/storage and Handling

Dicyclomine hydrochloride tablets, USP, 20 mg is supplied as follows:

Light blue to blue round tablet with a few white spots and "T 200" engraved on one side, supplied in bottles of 120. To prevent fading, avoid exposure to direct sunlight. Store at 20°-25℃ (68°-77°F). [See USP controlled room temperature].



NDC 51407-821-12

7.6 Effect On Gastric Acid Secretion

The inhibiting effects of anticholinergic drugs on gastric hydrochloric acid secretion are antagonized by agents used to treat achlorhydria and those used to test gastric secretion.

Package Label Principal Display Panel

NDC 51407-821-12

Dicyclomine Hydrochloride Tablets, USP

20 mg

Rx only

120 Tablets

7.5 Effect On Absorption of Other Drugs

Anticholinergic agents may affect gastrointestinal absorption of various drugs by affecting on gastrointestinal motility, such as slowly dissolving dosage forms of digoxin; increased serum digoxin concentration may result.

5.3 Peripheral and Central Nervous System

The peripheral effects of dicyclomine hydrochloride tablets are a consequence of their inhibitory effect on muscarinic receptors of the autonomic nervous system. They include dryness of the mouth with difficulty in swallowing and talking, thirst, reduced bronchial secretions, dilatation of the pupils (mydriasis) with loss of accommodation (cycloplegia) and photophobia, flushing and dryness of the skin, transient bradycardia followed by tachycardia, with palpitations and arrhythmias, and difficulty in micturition, as well as reduction in the tone and motility of the gastrointestinal tract leading to constipation [see  Adverse Reactions( 6)] .

In the presence of high environmental temperature heat prostration can occur with drug use (fever and heat stroke due to decreased sweating). It should also be used cautiously in patients with fever. If symptoms occur, the drug should be discontinued and supportive measures instituted. Because of the inhibitory effect on muscarinic receptors within the autonomic nervous system, caution should be taken in patients with autonomic neuropathy. Central nervous system (CNS) signs and symptoms include confusional state, disorientation, amnesia, hallucinations, dysarthria, ataxia, coma, euphoria, fatigue, insomnia, agitation and mannerisms, and inappropriate affect.

Psychosis and delirium have been reported in sensitive individuals (such as elderly patients and/or in patients with mental illness) given anticholinergic drugs. These CNS signs and symptoms usually resolve within 12 to 24 hours after discontinuation of the drug.

Dicyclomine hydrochloride may produce drowsiness, dizziness or blurred vision. The patient should be warned not to engage in activities requiring mental alertness, such as operating a motor vehicle or other machinery or performing hazardous work while taking dicyclomine hydrochloride. 

7.3 Other Gastrointestinal Motility Drugs

Interaction with other gastrointestinal motility drugs may antagonize the effects of drugs that alter gastrointestinal motility, such as metoclopramide.

17.4 Peripheral and Central Nervous System

In the presence of a high environmental temperature, heat prostration can occur with dicyclomine hydrochloride use (fever and heat stroke due to decreased sweating). If symptoms occur, the drug should be discontinued and a physician contacted. Dicyclomine hydrochloride may produce drowsiness or blurred vision. The patient should be warned not to engage in activities requiring mental alertness, such as operating a motor vehicle or other machinery or to perform hazardous work while taking dicyclomine hydrochloride [see Warnings and Precautions( 5.3)].

Distributed by

UPSHER-SMITH LABORATORIES, LLCMaple Grove, MN 55369

Made in Taiwan

LA-3055-03 Revised: 6/2025

Marketed by:

GSMS, Inc.

Camarillo, CA 93012 USA

5.6 Toxic Dilatation of Intestine Megacolon

Toxic dilatation of intestine and intestinal perforation is possible when anticholinergic agents are administered in patients with Salmonella dysentery.

2.1 Oral Dosage and Administration in Adults

The recommended initial dose is 20 mg four times a day.

After one week treatment with the initial dose, the dose may be increased to 40 mg four times a day unless side effects limit dosage escalation.

If efficacy is not achieved within 2 weeks or side effects require doses below 80 mg per day, the drug should be discontinued. Documented safety data are not available for doses above 80 mg daily for periods longer than 2 weeks.

7.2 Other Drugs With Anticholinergic Activity

The following agents may increase certain actions or side effects of anticholinergic drugs including dicyclomine hydrochloride: amantadine, antiarrhythmic agents of Class I (e.g., quinidine), antihistamines, antipsychotic agents (e.g., phenothiazines), benzodiazepines, MAO inhibitors, narcotic analgesics (e.g., meperidine), nitrates and nitrites, sympathomimetic agents, tricyclic antidepressants, and other drugs having anticholinergic activity.

13.1 Carcinogenesis, Mutagenesis, Impairment of Fertility

Long-term animal studies have not been conducted to evaluate the carcinogenic potential of dicyclomine. In studies in rats at doses of up to 100 mg/kg/day, dicyclomine produced no deleterious effects on breeding, conception, or parturition.

6.3 Adverse Reactions Reported With Similar Drugs With Anticholinergic/antispasmodic Action

Gastrointestinal: anorexia,



Central Nervous System: tingling, numbness, dyskinesia, speech disturbance, insomnia



Peripheral Nervous System: With overdosage, a curare-like action may occur (i.e., neuromuscular blockade leading to muscular weakness and possible paralysis)



Ophthalmologic: diplopia, increased ocular tension



Dermatologic/Allergic: urticaria, itching, and other dermal manifestations



Genitourinary: urinary hesitancy, urinary retention in patients with prostatic hypertrophy



Cardiovascular: hypertension



Respiratory: apnea



Other: decreased sweating, sneezing, throat congestion, impotence. With the injectable form, there may be temporary sensation of light-headedness. Some local irritation and focal coagulation necrosis may occur following the intramuscular injection of dicyclomine hydrochloride.


Structured Label Content

10 Overdosage (10 OVERDOSAGE)

In case of an overdose, patients should contact a physician, poison control center (1-800-222-1222), or emergency room.

The signs and symptoms of overdosage include: headache; nausea; vomiting; blurred vision; dilated pupils; hot, dry skin; dizziness; dryness of the mouth; difficulty in swallowing; and CNS stimulation including convulsion. A curare-like action may occur (i.e., neuromuscular blockade leading to muscular weakness and possible paralysis).

One reported event included a 37-year-old who reported numbness on the left side, cold fingertips, blurred vision, abdominal and flank pain, decreased appetite, dry mouth, and nervousness following ingestion of 320 mg daily (four 20 mg tablets four times daily). These events resolved after discontinuing the dicyclomine.

The acute oral LD 50of the drug is 625 mg/kg in mice.

The amount of drug in a single dose that is ordinarily associated with symptoms of overdosage or that is likely to be life-threatening, has not been defined. The maximum human oral dose recorded was 600 mg by mouth in a 10-month-old child and approximately 1500 mg in an adult, each of whom survived. In three of the infants who died following administration of dicyclomine hydrochloride tablets  [see  Warnings and Precautions(5.1)], the blood concentrations of drug were 200, 220, and 505 ng/mL.

It is not known if dicyclomine hydrochloride is dialyzable.

Treatment should consist of gastric lavage, emetics, and activated charcoal. Sedatives (e.g., short-acting barbiturates, benzodiazepines) may be used for management of overt signs of excitement. If indicated, an appropriate parenteral cholinergic agent may be used as an antidote.

8.1 Pregnancy

Pregnancy Category B

Adequate and well-controlled studies have not been conducted with dicyclomine hydrochloride in pregnant women at the recommended doses of 80 to 160 mg/day. However, epidemiologic studies did not show an increased risk of structural malformations among babies born to women who took products containing dicyclomine hydrochloride tablets at doses up to 40 mg/day during the first trimester of pregnancy. Reproduction studies have been performed in rats and rabbits at doses up to 33 times the maximum recommended human dose based on 160 mg/day (3 mg/kg) and have revealed no evidence of harm to the fetus due to dicyclomine. Because animal reproduction studies are not always predictive of human response, this drug should be used during pregnancy only if clearly needed.

11 Description (11 DESCRIPTION)

Dicyclomine hydrochloride, USP is an antispasmodic and anticholinergic (antimuscarinic) agent available in the following dosage forms:

  • Dicyclomine hydrochloride tablets, USP, 20 mg for oral use contain 20 mg dicyclomine hydrochloride, USP. Dicyclomine hydrochloride tanlets, USP, 20 mg also contain inactive ingredients: colloidal silicon dioxide, FD&C Blue #1, hypromellose, lactose monohydrate, sodium starch glycolate, and stearic acid.

Dicyclomine hydrochloride, USP is [bicyclohexyl]-1-carboxylic acid, 2-(diethylamino) ethyl ester, hydrochloride, with a molecular formula of C 19H 35NO 2•HCl and the following structural formula:

Molecular weight: 345.95

Dicyclomine hydrochloride, USP occurs as a fine, white, crystalline, practically odorless powder with a bitter taste. It is soluble in water, freely soluble in alcohol and chloroform, and very slightly soluble in ether.

8.4 Pediatric Use

Safety and effectiveness in pediatric patients have not been established.

Dicyclomine hydrochloride is contraindicated in infants less than 6 months of age [see  Contraindications( 4)] . There are published cases reporting that the administration of dicyclomine hydrochloride tablets syrup to infants has been followed by serious respiratory symptoms (dyspnea, shortness of breath, breathlessness, respiratory collapse, apnea and asphyxia), seizures, syncope, pulse rate fluctuations, muscular hypotonia, and coma, and death, however; no causal relationship has been established.

8.5 Geriatric Use

Clinical studies of dicyclomine hydrochloride did not include sufficient numbers of subjects aged 65 and over to determine whether they respond differently from younger subjects. Other reported clinical experience has not identified differences in responses between the elderly and younger patients. In general, dose selection for an elderly patient should be cautious, usually starting at the low end of the dosing range in adults, reflecting the greater frequency of decreased hepatic, renal, or cardiac function, and of concomitant disease or other drug therapy .

Because elderly patients are more likely to have decreased renal function, care should be taken in dose selection, and it may be useful to monitor renal function.

14 Clinical Studies (14 CLINICAL STUDIES)

In controlled clinical trials involving over 100 patients who received drug, 82% of patients treated for functional bowel/irritable bowel syndrome with dicyclomine hydrochloride tablets at initial doses of 160 mg daily (40 mg four times daily) demonstrated a favorable clinical response compared with 55% treated with placebo (p<0.05).

17.2 Use in Infants

Inform parents and caregivers not to administer dicyclomine hydrochloride in infants less than 6 months of age [see  Use in Specific Populations ( 8.4 ) ].

4 Contraindications (4 CONTRAINDICATIONS)

Dicyclomine hydrochloride is contraindicated in infants less than 6 months of age [see  Use in Specific Populations( 8.4)] , nursing mothers [see  Use in Specific Populations ( 8.3)] , and in patients with:

6 Adverse Reactions (6 ADVERSE REACTIONS)

The pattern of adverse effects seen with dicylomine is mostly related to its pharmacological actions at muscarinic receptors  [see Clinical Pharmacology( 12)] . They are a consequence of the inhibitory effect on muscarinic receptors within the autonomic nervous system. These effects are dose-related and are usually reversible when treatment is discontinued.

The most serious adverse reactions reported with dicyclomine hydrochloride include cardiovascular and central nervous system symptoms [see  Warnings and Precautions( 5.2, 5.3)].

7 Drug Interactions (7 DRUG INTERACTIONS)
  • Antiglaucoma agents: anticholinergics antagonize antiglaucoma agents and may increase intraocular pressure ( 7)
  • Anticholinergic agents: may affect the gastrointestinal absorption of various drugs; may also increase certain actions or side effects of other anticholinergic drugs ( 7)
  • Antacids: interfere with the absorption of anticholinergic agents ( 7)
8.3 Nursing Mothers

Dicyclomine hydrochloride is contraindicated in women who are breastfeeding. Dicyclomine hydrochloride is excreted in breastmilk. Because of the potential for serious adverse reactions in breastfed infants from dicyclomine hydrochloride, a decision should be made whether to discontinue nursing or to discontinue the drug, taking into account the importance of the drug to the mother [see  Use in Specific Populations( 8.4)] .

8.6 Renal Impairment

Effects of renal impairment on PK, safety and efficacy of dicyclomine hydrochloride has not been studied. Dicyclomine hydrochloride drug is known to be substantially excreted by the kidney, and the risk of toxic reactions to this drug may be greater in patients with impaired renal function. Dicyclomine hydrochloride should be administered with caution in patients with renal impairment.  

12.2 Pharmacodynamics

Dicyclomine hydrochloride can inhibit the secretion of saliva and sweat, decrease gastrointestinal secretions and motility, cause drowsiness, dilate the pupils, increase heart rate, and depress motor function

12.3 Pharmacokinetics

Absorption and Distribution

In man, dicyclomine is rapidly absorbed after oral administration, reaching peak values within 60-90 minutes. Mean volume of distribution for a 20 mg oral dose is approximately 3.65 L/kg suggesting extensive distribution in tissues.

Elimination

The metabolism of dicyclomine was not studied. The principal route of excretion is via the urine (79.5% of the dose). Excretion also occurs in the feces, but to a lesser extent (8.4%). Mean half-life of plasma elimination in one study was determined to be approximately 1.8 hours when plasma concentrations were measured for 9 hours after a single dose. In subsequent studies, plasma concentrations were followed for up to 24 hours after a single dose, showing a secondary phase of elimination with a somewhat longer half-life. 

5.4 Myasthenia Gravis

With overdosage, a curare-like action may occur (i.e., neuromuscular blockade leading to muscular weakness and possible paralysis). It should not be given to patients with myasthenia gravis except to reduce adverse muscarinic effects of an anticholinesterase [see  Contraindications( 4)].

5.7 Ulcerative Colitis

Caution should be taken in patients with ulcerative colitis. Large doses may suppress intestinal motility to the point of producing a paralytic ileus and the use of this drug may precipitate or aggravate the serious complication of toxic megacolon [see  Adverse Reactions( 6.3)] . Dicyclomine hydrochloride is contraindicated in patients with severe ulcerative colitis [see  Contraindications( 4)].

7.4 Effect of Antacids

Because antacids may interfere with the absorption of anticholinergic agents including dicyclomine hydrochloride, simultaneous use of these drugs should be avoided.

8.7 Hepatic Impairment

Effects of renal impairment on PK, safety and efficacy of dicyclomine hydrochloride have not been studied. Dicyclomine hydrochloride should be administered with caution in patients with hepatic impairment.

1 Indications and Usage (1 INDICATIONS AND USAGE)

Dicyclomine hydrochloride is indicated for the treatment of patients with functional bowel/irritable bowel syndrome.

7.1 Antiglaucoma Agents

Anticholinergics antagonize the effects of antiglaucoma agents. Anticholinergic drugs in the presence of increased intraocular pressure may be hazardous when taken concurrently with agents such as corticosteroids. Use of dicyclomine hydrochloride in patients with glaucoma is not recommended [see  Contraindications( 4)].

12.1 Mechanism of Action

Dicyclomine relieves smooth muscle spasm of the gastrointestinal tract. Animal studies indicate that this action is achieved via a dual mechanism:

  • a specific anticholinergic effect (antimuscarinic) at the acetylcholine-receptor sites with approximately 1/8 the milligram potency of atropine ( in vitro, guinea pig ileum); and
  • a direct effect upon smooth muscle (musculotropic) as evidenced by dicyclomine’s antagonism of bradykinin- and histamine-induced spasms of the isolated guinea pig ileum.

Atropine did not affect responses to these two agonists. In vivostudies in cats and dogs showed dicyclomine to be equally potent against acetylcholine (ACh)- or barium chloride (BaCl 2)-induced intestinal spasm while atropine was at least 200 times more potent against effects of ACh than BaCl 2. Tests for mydriatic effects in mice showed that dicyclomine was approximately 1/500 as potent as atropine; antisialagogue tests in rabbits showed dicyclomine to be 1/300 as potent as atropine.

5.10 Geriatric Population

Dicyclomine hydrochloride should be used with caution in elderly who may be more susceptible to its adverse effects.

5.8 Prostatic Hypertrophy

Dicyclomine hydrochloride should be used with caution in patients with known or suspected prostatic enlargement, in whom prostatic enlargement may lead to urinary retention [see  Adverse Reactions( 6.3)]

5 Warnings and Precautions (5 WARNINGS AND PRECAUTIONS)
  • Cardiovascular conditions: worsening of conditions ( 5.2)
  • Peripheral and central nervous system: heat prostration can occur with drug use (fever and heat stroke due to decreased sweating); drug should be discontinued and supportive measures instituted ( 5.3)
  • Psychosis and delirium have been reported in patients sensitive to anticholinergic drugs (such as elderly patients and/or in patients with mental illness): signs and symptoms resolve within 12 to 24 hours after discontinuation of dicyclomine hydrochloride ( 5.3)
  • Myasthenia Gravis: overdose may lead to muscular weakness and paralysis. Dicyclomine hydrochloride should be given to patients with myasthenia gravis only to reduce adverse muscarinic effects of an anticholinesterase ( 5.4)
  • Incomplete intestinal obstruction: diarrhea may be an early symptom especially in patients with ileostomy or colostomy. Treatment with dicyclomine hydrochloride would be inappropriate and possibly fatal ( 5.5)
  • Salmonella dysenteric patients: due to risk of toxic megacolon ( 5.6)
  • Ulcerative colitis: Dicyclomine hydrochloride should be used with caution in these patients; large doses may suppress intestinal motility or aggravate the serious complications of toxic megacolon ( 5.7)
  • Prostatic hypertrophy: Dicyclomine hydrochloride should be used with caution in these patients; may lead to urinary retention ( 5.8)
  • Hepatic and renal disease: should be used with caution ( 5.9)
  • Geriatric: use with caution in elderly who may be more susceptible to dicyclomine hydrochloride’s adverse events ( 5.10)
5.5 Intestinal Obstruction

Diarrhea may be an early symptom of incomplete intestinal obstruction, especially in patients with ileostomy or colostomy. In this instance, treatment with this drug would be inappropriate and possibly harmful [see  Contraindications( 4)].

Rarely development of Ogilvie’s syndrome (colonic pseudo-obstruction) has been reported. Ogilvie’s syndrome is a clinical disorder with signs, symptoms, and radiographic appearance of an acute large bowel obstruction but with no evidence of distal colonic obstruction

17.3 Use in Nursing Mothers

Advise lactating women that dicyclomine hydrochloride should not be used while breastfeeding their infants [see  Use in Specific Populations( 8.3, 8.4)] .

2 Dosage and Administration (2 DOSAGE AND ADMINISTRATION)

Dosage must be adjusted to individual patient needs.

3 Dosage Forms and Strengths (3 DOSAGE FORMS AND STRENGTHS)
  • Dicyclomine hydrochloride tablets, USP, 20 mg: Light blue to blue round tablet with a few white spots and "T 200" engraved on one side.
6.2 Postmarketing Experience

The following adverse reactions, presented by system organ class in alphabetical order, have been identified during post approval use of dicyclomine hydrochloride. Because these reactions are reported voluntarily from a population of uncertain size, it is not always possible to reliably estimate their frequency or establish a causal relationship to drug exposure.

  • Cardiac disorders: palpitations, tachyarrhythmias
  • Eye disorders: cycloplegia, mydriasis, vision blurred
  • Gastrointestinal disorders: abdominal distension, abdominal pain, constipation, dry mouth, dyspepsia, nausea, vomiting
  • General disorders and administration site conditions: fatigue, malaise
  • Immune System Disorders: drug hypersensitivity including face oedema, angioedema, anaphylactic shock
  • Nervous system disorders: dizziness, headache, hallucinations insomnia, somnolence, syncope
  • Psychiatric disorders: As with the other anti-cholinergic drugs, cases of delirium or symptoms of delirium such as amnesia (or transient global amnesia), agitation, confusional state, delusion, disorientation, hallucination (including visual hallucination) as well as mania, mood altered and pseudodementia, have been reported with the use of Dicyclomine. Nervousness and insomnia have also been reported.
  • Reproductive system and breast disorders: suppressed lactation
  • Respiratory, thoracic and mediastinal disorders: dyspnoea, nasal congestion
  • Skin and subcutaneous tissue disorder: dermatitis allergic, erythema, rash
5.2 Cardiovascular Conditions

Dicyclomine hydrochloride tablets needs to be used with caution in conditions characterized by tachyarrhythmia such as thyrotoxicosis, congestive heart failure and in cardiac surgery, where they may further accelerate the heart rate. Investigate any tachycardia before administration of dicyclomine hydrochloride tablets. Care is required in patients with coronary heart disease, as ischemia and infarction may be worsened, and in patients with hypertension [see  Adverse Reactions( 6.3)] .

5.9 Hepatic and Renal Disease

Dicyclomine hydrochloride should be used with caution in patients with known hepatic and renal impairment. 

8 Use in Specific Populations (8 USE IN SPECIFIC POPULATIONS)
  • Pregnancy: use only if clearly needed ( 8.1)
  • Pediatric Use: Safety and effectiveness not established ( 8.4)
  • Hepatic and renal impairment: caution must be taken with patients with significantly impaired hepatic and renal function ( 8.6)
6.1 Clinical Trials Experience

Because clinical trials are conducted under widely varying conditions, adverse reaction rates observed in the clinical trials of a drug cannot be directly compared to rates in the clinical trials of another drug and may not reflect the rates observed in practice.

The data described below reflect exposure in controlled clinical trials involving over 100 patients treated for functional bowel/irritable bowel syndrome with dicyclomine hydrochloride tablets at initial doses of 160 mg daily (40 mg four times a day)

In these trials most of the side effects were typically anticholinergic in nature and were reported by 61% of the patients. Table 1 presents adverse reactions ( MedDRA 13.0preferred terms) by decreasing order of frequency in a side-by-side comparison with placebo.

Table 1: Adverse reactions experienced in controlled clinical trials with decreasing order of frequency

MedDRA Preferred Term

Dicyclomine Hydrochloride (40 mg four times a day)

%

Placebo %

Dry Mouth

33

5

Dizziness

40

5

Vision blurred

27

2

Nausea

14

6

Somnolence

9

1

Asthenia

7

1

Nervousness

6

2

Nine percent (9%) of patients were discontinued from dicyclomine hydrochloride because of one or more of these side effects (compared with 2% in the placebo group). In 41% of the patients with side effects, side effects disappeared or were tolerated at the 160 mg daily dose without reduction. A dose reduction from 160 mg daily to an average daily dose of 90 mg was required in 46% of the patients with side effects who then continued to experience a favorable clinical response; their side effects either disappeared or were tolerated.

16 How Supplied/storage and Handling (16 HOW SUPPLIED/STORAGE AND HANDLING)

Dicyclomine hydrochloride tablets, USP, 20 mg is supplied as follows:

Light blue to blue round tablet with a few white spots and "T 200" engraved on one side, supplied in bottles of 120. To prevent fading, avoid exposure to direct sunlight. Store at 20°-25℃ (68°-77°F). [See USP controlled room temperature].



NDC 51407-821-12

7.6 Effect On Gastric Acid Secretion (7.6 Effect on Gastric Acid Secretion)

The inhibiting effects of anticholinergic drugs on gastric hydrochloric acid secretion are antagonized by agents used to treat achlorhydria and those used to test gastric secretion.

Package Label Principal Display Panel (PACKAGE LABEL PRINCIPAL DISPLAY PANEL)

NDC 51407-821-12

Dicyclomine Hydrochloride Tablets, USP

20 mg

Rx only

120 Tablets

7.5 Effect On Absorption of Other Drugs (7.5 Effect on Absorption of Other Drugs)

Anticholinergic agents may affect gastrointestinal absorption of various drugs by affecting on gastrointestinal motility, such as slowly dissolving dosage forms of digoxin; increased serum digoxin concentration may result.

5.3 Peripheral and Central Nervous System

The peripheral effects of dicyclomine hydrochloride tablets are a consequence of their inhibitory effect on muscarinic receptors of the autonomic nervous system. They include dryness of the mouth with difficulty in swallowing and talking, thirst, reduced bronchial secretions, dilatation of the pupils (mydriasis) with loss of accommodation (cycloplegia) and photophobia, flushing and dryness of the skin, transient bradycardia followed by tachycardia, with palpitations and arrhythmias, and difficulty in micturition, as well as reduction in the tone and motility of the gastrointestinal tract leading to constipation [see  Adverse Reactions( 6)] .

In the presence of high environmental temperature heat prostration can occur with drug use (fever and heat stroke due to decreased sweating). It should also be used cautiously in patients with fever. If symptoms occur, the drug should be discontinued and supportive measures instituted. Because of the inhibitory effect on muscarinic receptors within the autonomic nervous system, caution should be taken in patients with autonomic neuropathy. Central nervous system (CNS) signs and symptoms include confusional state, disorientation, amnesia, hallucinations, dysarthria, ataxia, coma, euphoria, fatigue, insomnia, agitation and mannerisms, and inappropriate affect.

Psychosis and delirium have been reported in sensitive individuals (such as elderly patients and/or in patients with mental illness) given anticholinergic drugs. These CNS signs and symptoms usually resolve within 12 to 24 hours after discontinuation of the drug.

Dicyclomine hydrochloride may produce drowsiness, dizziness or blurred vision. The patient should be warned not to engage in activities requiring mental alertness, such as operating a motor vehicle or other machinery or performing hazardous work while taking dicyclomine hydrochloride. 

7.3 Other Gastrointestinal Motility Drugs

Interaction with other gastrointestinal motility drugs may antagonize the effects of drugs that alter gastrointestinal motility, such as metoclopramide.

17.4 Peripheral and Central Nervous System

In the presence of a high environmental temperature, heat prostration can occur with dicyclomine hydrochloride use (fever and heat stroke due to decreased sweating). If symptoms occur, the drug should be discontinued and a physician contacted. Dicyclomine hydrochloride may produce drowsiness or blurred vision. The patient should be warned not to engage in activities requiring mental alertness, such as operating a motor vehicle or other machinery or to perform hazardous work while taking dicyclomine hydrochloride [see Warnings and Precautions( 5.3)].

Distributed by

UPSHER-SMITH LABORATORIES, LLCMaple Grove, MN 55369

Made in Taiwan

LA-3055-03 Revised: 6/2025

Marketed by:

GSMS, Inc.

Camarillo, CA 93012 USA

5.6 Toxic Dilatation of Intestine Megacolon (5.6 Toxic Dilatation of Intestine megacolon)

Toxic dilatation of intestine and intestinal perforation is possible when anticholinergic agents are administered in patients with Salmonella dysentery.

2.1 Oral Dosage and Administration in Adults

The recommended initial dose is 20 mg four times a day.

After one week treatment with the initial dose, the dose may be increased to 40 mg four times a day unless side effects limit dosage escalation.

If efficacy is not achieved within 2 weeks or side effects require doses below 80 mg per day, the drug should be discontinued. Documented safety data are not available for doses above 80 mg daily for periods longer than 2 weeks.

7.2 Other Drugs With Anticholinergic Activity (7.2 Other Drugs with Anticholinergic Activity)

The following agents may increase certain actions or side effects of anticholinergic drugs including dicyclomine hydrochloride: amantadine, antiarrhythmic agents of Class I (e.g., quinidine), antihistamines, antipsychotic agents (e.g., phenothiazines), benzodiazepines, MAO inhibitors, narcotic analgesics (e.g., meperidine), nitrates and nitrites, sympathomimetic agents, tricyclic antidepressants, and other drugs having anticholinergic activity.

13.1 Carcinogenesis, Mutagenesis, Impairment of Fertility

Long-term animal studies have not been conducted to evaluate the carcinogenic potential of dicyclomine. In studies in rats at doses of up to 100 mg/kg/day, dicyclomine produced no deleterious effects on breeding, conception, or parturition.

6.3 Adverse Reactions Reported With Similar Drugs With Anticholinergic/antispasmodic Action (6.3 Adverse Reactions Reported with Similar Drugs with Anticholinergic/Antispasmodic Action)

Gastrointestinal: anorexia,



Central Nervous System: tingling, numbness, dyskinesia, speech disturbance, insomnia



Peripheral Nervous System: With overdosage, a curare-like action may occur (i.e., neuromuscular blockade leading to muscular weakness and possible paralysis)



Ophthalmologic: diplopia, increased ocular tension



Dermatologic/Allergic: urticaria, itching, and other dermal manifestations



Genitourinary: urinary hesitancy, urinary retention in patients with prostatic hypertrophy



Cardiovascular: hypertension



Respiratory: apnea



Other: decreased sweating, sneezing, throat congestion, impotence. With the injectable form, there may be temporary sensation of light-headedness. Some local irritation and focal coagulation necrosis may occur following the intramuscular injection of dicyclomine hydrochloride.


Advanced Ingredient Data


Raw Label Data

All Sections (JSON)