Hydrocortisone Cream Usp

Hydrocortisone Cream Usp
SPL v100
SPL
SPL Set ID 04758c46-0ca4-4852-acdc-1f8553ce2e6e
Route
TOPICAL
Published
Effective Date 2011-12-30
Document Type 34391-3 HUMAN PRESCRIPTION DRUG LABEL

Drug Facts

Composition & Product

Active Ingredients
Hydrocortisone (10 mg)
Inactive Ingredients
Water Cetyl Alcohol Stearyl Alcohol Glycerin Propylene Glycol Sodium Lauryl Sulfate Cetyl Palmitate Sorbic Acid

Identifiers & Packaging

Marketing Status
ANDA Active Since 2016-04-01

Description

For external use only. Not for ophthalmic use. Rx only

Indications and Usage

Topical corticosteroids are indicated for the relief of the inflammatory and pruritic manifestations of corticosteroid-responsive dermatoses.

Dosage and Administration

Apply to the affected area as a thin film from two to four times daily depending on the severity of the condition. Occlusive dressings may be used for the management of psoriasis or recalcitrant conditions. If an infection develops, the use of occlusive dressings should be discontinued and appropriate antimicrobial therapy instituted.

Contraindications

Topical corticosteroids are contraindicated in those patients with a history of hypersensitivity to any of the components of the preparation.

Adverse Reactions

The following local adverse reactions are reported infrequently with topical corticosteroids, but may occur more frequently with the use of occlusive dressings. These reactions are listed in an approximate decreasing order of occurrence: burning, itching, irritation, dryness, folliculitis, hypertrichosis, acneiform eruptions, hypopigmentation, perioral dermatitis, allergic contact dermatitis, maceration of the skin, secondary infection, skin atrophy, striae, and miliaria. To report SUSPECTED ADVERSE REACTIONS, contact ANI Pharmaceuticals, Inc. at 1-800-308-6755 or FDA at 1-800-FDA-1088 or www.fda.gov/medwatch.

How Supplied

Hydrocortisone Cream USP, 1% is supplied in: NDC: 72162-1763-2: 1 oz (28.4 grams) in a TUBE Repackaged/Relabeled by: Bryant Ranch Prepack, Inc. Burbank, CA 91504


Medication Information

Indications and Usage

Topical corticosteroids are indicated for the relief of the inflammatory and pruritic manifestations of corticosteroid-responsive dermatoses.

Dosage and Administration

Apply to the affected area as a thin film from two to four times daily depending on the severity of the condition.

Occlusive dressings may be used for the management of psoriasis or recalcitrant conditions. If an infection develops, the use of occlusive dressings should be discontinued and appropriate antimicrobial therapy instituted.

Contraindications

Topical corticosteroids are contraindicated in those patients with a history of hypersensitivity to any of the components of the preparation.

Adverse Reactions

The following local adverse reactions are reported infrequently with topical corticosteroids, but may occur more frequently with the use of occlusive dressings. These reactions are listed in an approximate decreasing order of occurrence: burning, itching, irritation, dryness, folliculitis, hypertrichosis, acneiform eruptions, hypopigmentation, perioral dermatitis, allergic contact dermatitis, maceration of the skin, secondary infection, skin atrophy, striae, and miliaria.

To report SUSPECTED ADVERSE REACTIONS, contact ANI Pharmaceuticals, Inc. at 1-800-308-6755 or FDA at 1-800-FDA-1088 or www.fda.gov/medwatch.

How Supplied

Hydrocortisone Cream USP, 1% is supplied in:

NDC: 72162-1763-2: 1 oz (28.4 grams) in a TUBE

Repackaged/Relabeled by:

Bryant Ranch Prepack, Inc.

Burbank, CA 91504

Description

For external use only. Not for ophthalmic use. Rx only

Section 42229-5

For external use only.

Not for ophthalmic use.

Rx only

Section 51945-4

Hydrocortisone cream 1% 28.4 gm

General

Systemic absorption of topical corticosteroids has produced reversible hypothalamic-pituitary-adrenal (HPA) axis suppression, manifestations of Cushing’s syndrome, hyperglycemia, and glucosuria in some patients.

Conditions which augment systemic absorption include the application of the more potent steroids, use over large surface areas, prolonged use, and the addition of occlusive dressings.

Therefore, patients receiving a large dose of a potent topical steroid applied to a large surface area or under an occlusive dressing should be evaluated periodically for evidence of HPA axis suppression by using the urinary free cortisol and ACTH stimulation tests. If HPA axis suppression is noted, an attempt should be made to withdraw the drug, to reduce the frequency of application, or to substitute a less potent steroid.

Recovery of HPA axis function is generally prompt and complete upon discontinuation of the drug. Infrequently, signs and symptoms of steroid withdrawal may occur, requiring supplemental systemic corticosteroids.

Children may absorb proportionally larger amounts of topical corticosteroids and thus be more susceptible to systemic toxicity (See PRECAUTIONS-Pediatric Use).

If irritation develops, topical corticosteroids should be discontinued and appropriate therapy instituted.

In the presence of dermatological infections, the use of an appropriate antifungal or antibacterial agent should be instituted. If a favorable response does not occur promptly, the corticosteroid should be discontinued until the infection has been adequately controlled.

Overdosage

Topically applied corticosteroids can be absorbed in sufficient amounts to produce systems effects (See PRECAUTIONS).

Description:

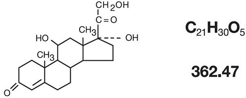
The topical corticosteroids constitute a class of primarily synthetic steroids used as anti-inflammatory and antipruritic agents. Hydrocortisone is a member of this class. Chemically hydrocortisone is pregn-4-ene-3, 20-dione, 11, 17, 21-trihydroxy-, (11β)-. Its molecular formula is C21H30O5 and molecular weight is 362.47. Its structural formula is:

Each gram of Hydrocortisone Cream USP, 1% contains 10 mg hydrocortisone USP in a cream base consisting of purified water, cetyl alcohol, glycerin, stearyl alcohol, propylene glycol, sodium lauryl sulfate, cetyl palmitate and sorbic acid.

Each gram of Hydrocortisone Cream USP, 2.5% contains 25 mg hydrocortisone USP in a cream base consisting of purified water, cetyl alcohol, glycerin, stearyl alcohol, propylene glycol, sodium lauryl sulfate, cetyl palmitate and sorbic acid.

Pediatric Use

Pediatric patients may demonstrate greater susceptibility to topical corticosteroid-induced HPA axis suppression and Cushing’s syndrome than mature patients because of a larger skin surface area to body weight ratio.

Hypothalamic-pituitary-adrenal (HPA) axis suppression, Cushing’s syndrome, and intracranial hypertension have been reported in pediatric patients receiving topical corticosteroids. Manifestations of adrenal suppression in pediatric patients include linear growth retardation, delayed weight gain, low plasma cortisol levels, and absence of response to ACTH stimulation. Manifestations of intracranial hypertension include bulging fontanelles, headaches, and bilateral papilledema.

Administration of topical corticosteroids to pediatric patients should be limited to the least amount compatible with an effective therapeutic regimen. Chronic corticosteroid therapy may interfere with the growth and development of pediatric patients.

Nursing Mothers

It is not known whether topical administration of corticosteroids could result in sufficient systemic absorption to produce detectable quantities in breast milk. Systemically administered corticosteroids are secreted into breast milk in quantities not likely to have a deleterious effect on the infant. Nevertheless, caution should be exercised when topical corticosteroids are administered to a nursing woman.

Laboratory Tests

The following tests may be helpful in evaluating the HPA axis suppression: Urinary free cortisol test; ACTH stimulation test.

Pharmacokinetics

The extent of percutaneous absorption of topical corticosteroids is determined by many factors including the vehicle, the integrity of the epidermal barrier, and the use of occlusive dressings.

Topical corticosteroids can be absorbed from normal intact skin. Inflammation and/or other disease processes in the skin increase percutaneous absorption. Occlusive dressings substantially increase the percutaneous absorption of topical corticosteroids. Thus, occlusive dressings may be a valuable therapeutic adjunct for treatment of resistant dermatoses. (See DOSAGE AND ADMINISTRATION).

Once absorbed through the skin, topical corticosteroids are handled through pharmacokinetic pathways similar to systemically administered corticosteroids. Corticosteroids are bound to plasma proteins in varying degrees. Corticosteroids are metabolized primarily in the liver and are then excreted by the kidneys. Some of the topical corticosteroids and their metabolites are also excreted into the bile.

Clinical Pharmacology

Topical corticosteroids share anti-inflammatory, antipruritic and vasoconstrictive actions.

The mechanism of anti-inflammatory activity of the topical corticosteroids is unclear. Various laboratory methods, including vasoconstrictor assays, are used to compare and predict potencies and/or clinical efficacies of the topical corticosteroids. There is some evidence to suggest that a recognizable correlation exists between vasoconstrictor potency and therapeutic efficacy in man.

Packaging and Storage

Store at 20° to 25°C (68° to 77°F) [see USP Controlled Room Temperature].

Information for the Patient

Patients using topical corticosteroids should receive the following information and instructions:

  • 1.
    This medication is to be used as directed by the physician. It is for external use only. Avoid contact with the eyes.
  • 2.
    Patients should be advised not to use this medication for any disorder other than for which it was prescribed.
  • 3.
    The treated skin area should not be bandaged or otherwise covered or wrapped as to be occlusive unless directed by the physician.
  • 4.
    Patients should report any signs of local adverse reactions especially under occlusive dressing.
  • 5.
    Parents of pediatric patients should be advised not to use tight-fitting diapers or plastic pants on a child being treated in the diaper area, as these garments may constitute occlusive dressings.
Pregnancy: Teratogenic Effects Pregnancy Category C

Corticosteroids are generally teratogenic in laboratory animals when administered systemically at relatively low dosage levels. The more potent corticosteroids have been shown to be teratogenic after dermal application in laboratory animals. There are no adequate and well-controlled studies in pregnant women on teratogenic effects from topically applied corticosteroids. Therefore, topical corticosteroids should be used during pregnancy only if the potential benefit justifies the potential risk to the fetus. Drugs of this class should not be used extensively on pregnant patients, in large amounts, or for prolonged periods of time.

Carcinogenesis, Mutagenesis, and Impairment of Fertility

Long-term animal studies have not been performed to evaluate the carcinogenic potential or the effect on fertility of topical corticosteroids.

Studies to determine mutagenicity with prednisolone and hydrocortisone have revealed negative results.


Structured Label Content

Section 42229-5 (42229-5)

For external use only.

Not for ophthalmic use.

Rx only

Section 51945-4 (51945-4)

Hydrocortisone cream 1% 28.4 gm

General

Systemic absorption of topical corticosteroids has produced reversible hypothalamic-pituitary-adrenal (HPA) axis suppression, manifestations of Cushing’s syndrome, hyperglycemia, and glucosuria in some patients.

Conditions which augment systemic absorption include the application of the more potent steroids, use over large surface areas, prolonged use, and the addition of occlusive dressings.

Therefore, patients receiving a large dose of a potent topical steroid applied to a large surface area or under an occlusive dressing should be evaluated periodically for evidence of HPA axis suppression by using the urinary free cortisol and ACTH stimulation tests. If HPA axis suppression is noted, an attempt should be made to withdraw the drug, to reduce the frequency of application, or to substitute a less potent steroid.

Recovery of HPA axis function is generally prompt and complete upon discontinuation of the drug. Infrequently, signs and symptoms of steroid withdrawal may occur, requiring supplemental systemic corticosteroids.

Children may absorb proportionally larger amounts of topical corticosteroids and thus be more susceptible to systemic toxicity (See PRECAUTIONS-Pediatric Use).

If irritation develops, topical corticosteroids should be discontinued and appropriate therapy instituted.

In the presence of dermatological infections, the use of an appropriate antifungal or antibacterial agent should be instituted. If a favorable response does not occur promptly, the corticosteroid should be discontinued until the infection has been adequately controlled.

Overdosage (OVERDOSAGE)

Topically applied corticosteroids can be absorbed in sufficient amounts to produce systems effects (See PRECAUTIONS).

Description: (DESCRIPTION:)

The topical corticosteroids constitute a class of primarily synthetic steroids used as anti-inflammatory and antipruritic agents. Hydrocortisone is a member of this class. Chemically hydrocortisone is pregn-4-ene-3, 20-dione, 11, 17, 21-trihydroxy-, (11β)-. Its molecular formula is C21H30O5 and molecular weight is 362.47. Its structural formula is:

Each gram of Hydrocortisone Cream USP, 1% contains 10 mg hydrocortisone USP in a cream base consisting of purified water, cetyl alcohol, glycerin, stearyl alcohol, propylene glycol, sodium lauryl sulfate, cetyl palmitate and sorbic acid.

Each gram of Hydrocortisone Cream USP, 2.5% contains 25 mg hydrocortisone USP in a cream base consisting of purified water, cetyl alcohol, glycerin, stearyl alcohol, propylene glycol, sodium lauryl sulfate, cetyl palmitate and sorbic acid.

How Supplied (HOW SUPPLIED)

Hydrocortisone Cream USP, 1% is supplied in:

NDC: 72162-1763-2: 1 oz (28.4 grams) in a TUBE

Repackaged/Relabeled by:

Bryant Ranch Prepack, Inc.

Burbank, CA 91504

Pediatric Use

Pediatric patients may demonstrate greater susceptibility to topical corticosteroid-induced HPA axis suppression and Cushing’s syndrome than mature patients because of a larger skin surface area to body weight ratio.

Hypothalamic-pituitary-adrenal (HPA) axis suppression, Cushing’s syndrome, and intracranial hypertension have been reported in pediatric patients receiving topical corticosteroids. Manifestations of adrenal suppression in pediatric patients include linear growth retardation, delayed weight gain, low plasma cortisol levels, and absence of response to ACTH stimulation. Manifestations of intracranial hypertension include bulging fontanelles, headaches, and bilateral papilledema.

Administration of topical corticosteroids to pediatric patients should be limited to the least amount compatible with an effective therapeutic regimen. Chronic corticosteroid therapy may interfere with the growth and development of pediatric patients.

Nursing Mothers

It is not known whether topical administration of corticosteroids could result in sufficient systemic absorption to produce detectable quantities in breast milk. Systemically administered corticosteroids are secreted into breast milk in quantities not likely to have a deleterious effect on the infant. Nevertheless, caution should be exercised when topical corticosteroids are administered to a nursing woman.

Laboratory Tests

The following tests may be helpful in evaluating the HPA axis suppression: Urinary free cortisol test; ACTH stimulation test.

Pharmacokinetics

The extent of percutaneous absorption of topical corticosteroids is determined by many factors including the vehicle, the integrity of the epidermal barrier, and the use of occlusive dressings.

Topical corticosteroids can be absorbed from normal intact skin. Inflammation and/or other disease processes in the skin increase percutaneous absorption. Occlusive dressings substantially increase the percutaneous absorption of topical corticosteroids. Thus, occlusive dressings may be a valuable therapeutic adjunct for treatment of resistant dermatoses. (See DOSAGE AND ADMINISTRATION).

Once absorbed through the skin, topical corticosteroids are handled through pharmacokinetic pathways similar to systemically administered corticosteroids. Corticosteroids are bound to plasma proteins in varying degrees. Corticosteroids are metabolized primarily in the liver and are then excreted by the kidneys. Some of the topical corticosteroids and their metabolites are also excreted into the bile.

Adverse Reactions (ADVERSE REACTIONS)

The following local adverse reactions are reported infrequently with topical corticosteroids, but may occur more frequently with the use of occlusive dressings. These reactions are listed in an approximate decreasing order of occurrence: burning, itching, irritation, dryness, folliculitis, hypertrichosis, acneiform eruptions, hypopigmentation, perioral dermatitis, allergic contact dermatitis, maceration of the skin, secondary infection, skin atrophy, striae, and miliaria.

To report SUSPECTED ADVERSE REACTIONS, contact ANI Pharmaceuticals, Inc. at 1-800-308-6755 or FDA at 1-800-FDA-1088 or www.fda.gov/medwatch.

Contraindications (CONTRAINDICATIONS)

Topical corticosteroids are contraindicated in those patients with a history of hypersensitivity to any of the components of the preparation.

Clinical Pharmacology (CLINICAL PHARMACOLOGY)

Topical corticosteroids share anti-inflammatory, antipruritic and vasoconstrictive actions.

The mechanism of anti-inflammatory activity of the topical corticosteroids is unclear. Various laboratory methods, including vasoconstrictor assays, are used to compare and predict potencies and/or clinical efficacies of the topical corticosteroids. There is some evidence to suggest that a recognizable correlation exists between vasoconstrictor potency and therapeutic efficacy in man.

Indications and Usage (INDICATIONS AND USAGE)

Topical corticosteroids are indicated for the relief of the inflammatory and pruritic manifestations of corticosteroid-responsive dermatoses.

Packaging and Storage (PACKAGING AND STORAGE)

Store at 20° to 25°C (68° to 77°F) [see USP Controlled Room Temperature].

Dosage and Administration (DOSAGE AND ADMINISTRATION)

Apply to the affected area as a thin film from two to four times daily depending on the severity of the condition.

Occlusive dressings may be used for the management of psoriasis or recalcitrant conditions. If an infection develops, the use of occlusive dressings should be discontinued and appropriate antimicrobial therapy instituted.

Information for the Patient

Patients using topical corticosteroids should receive the following information and instructions:

  • 1.
    This medication is to be used as directed by the physician. It is for external use only. Avoid contact with the eyes.
  • 2.
    Patients should be advised not to use this medication for any disorder other than for which it was prescribed.
  • 3.
    The treated skin area should not be bandaged or otherwise covered or wrapped as to be occlusive unless directed by the physician.
  • 4.
    Patients should report any signs of local adverse reactions especially under occlusive dressing.
  • 5.
    Parents of pediatric patients should be advised not to use tight-fitting diapers or plastic pants on a child being treated in the diaper area, as these garments may constitute occlusive dressings.
Pregnancy: Teratogenic Effects Pregnancy Category C (Pregnancy: Teratogenic effects - Pregnancy Category C)

Corticosteroids are generally teratogenic in laboratory animals when administered systemically at relatively low dosage levels. The more potent corticosteroids have been shown to be teratogenic after dermal application in laboratory animals. There are no adequate and well-controlled studies in pregnant women on teratogenic effects from topically applied corticosteroids. Therefore, topical corticosteroids should be used during pregnancy only if the potential benefit justifies the potential risk to the fetus. Drugs of this class should not be used extensively on pregnant patients, in large amounts, or for prolonged periods of time.

Carcinogenesis, Mutagenesis, and Impairment of Fertility

Long-term animal studies have not been performed to evaluate the carcinogenic potential or the effect on fertility of topical corticosteroids.

Studies to determine mutagenicity with prednisolone and hydrocortisone have revealed negative results.


Advanced Ingredient Data


Raw Label Data

All Sections (JSON)