These Highlights Do Not Include All The Information Needed To Use Isoproterenol Hydrochloride Injection Safely And Effectively. See Full Prescribing Information For Isoproterenol Hydrochloride Injection.

These Highlights Do Not Include All The Information Needed To Use Isoproterenol Hydrochloride Injection Safely And Effectively. See Full Prescribing Information For Isoproterenol Hydrochloride Injection.
SPL v2
SPL
SPL Set ID 046f2941-3bc0-4755-861c-71bedb49e706
Routes
INTRAVENOUS INTRAMUSCULAR SUBCUTANEOUS INTRACARDIAC
Published
Effective Date 2021-05-28
Document Type 34391-3 HUMAN PRESCRIPTION DRUG LABEL

Drug Facts

Composition & Product

Active Ingredients
Isoproterenol (0.2 mg)
Inactive Ingredients
Edetate Disodium Sodium Chloride Trisodium Citrate Dihydrate Anhydrous Citric Acid Water Hydrochloric Acid Sodium Hydroxide

Identifiers & Packaging

Marketing Status
ANDA Active Since 2021-08-01

Description

Isoproterenol hydrochloride injection is indicated: To improve hemodynamic status in patients in distributive shock and shock due to reduced cardiac output For bronchospasm occurring during anesthesia

Indications and Usage

Isoproterenol hydrochloride injection is indicated: To improve hemodynamic status in patients in distributive shock and shock due to reduced cardiac output For bronchospasm occurring during anesthesia

Dosage and Administration

Initiate isoproterenol hydrochloride injection at the lowest recommended dose and increase gradually based on patient response ( 2.2 ) Recommended initial dosage: Shock: 0.5 mcg to 5 mcg per minute as an intravenous infusion ( 2.2 ) Bronchospasm: 10 mcg to 20 mcg intravenous injection ( 2.2 )

Warnings and Precautions

Cardiac arrhythmias and ischemia may be induced by isoproterenol hydrochloride injection ( 5.1 ) Sulfite: Isoproterenol hydrochloride injection contains metabisulfite, which may cause allergic reaction ( 5.2 )

Contraindications

Isoproterenol hydrochloride injection is contraindicated in patients with: tachycardia ventricular arrhythmias angina pectoris

Adverse Reactions

The following adverse reactions have been associated with use of isoproterenol. Because these reactions are reported voluntarily from a population of uncertain size, it is not always possible to estimate their frequency reliably or to establish a causal relationship to drug exposure. Nervous system disorders: Nervousness, headache, dizziness, visual blurring Cardiovascular: Tachycardia, tachyarrhythmias, palpitations, angina, ventricular arrhythmias, Adams-Stokes attacks, pulmonary edema Respiratory: Dyspnea Other: Flushing of the skin, sweating, mild tremors, pallor, nausea

Drug Interactions

Table 1. Clinically Relevant Interactions with Isoproterenol  Epinephrine  Clinical Impact  Both drugs are direct cardiac stimulants, and their combined effects may induce serious arrhythmias upon simultaneous administration.  Intervention  Isoproterenol hydrochloride injection and epinephrine should not be administered simultaneously.  Drugs that may potentiate clinical response of Isoproterenol  Clinical Impact The effects of isoproterenol may be potentiated by tricyclic antidepressants, monoamine oxidase inhibitors, levothyroxinesodium, and certain antihistamines, notably chlorpheniramine, tripelennamine, and diphenhydramine.  Intervention Monitor hemodynamic parameters in patients who concurrently are taking tricyclic antidepressants, monoamine oxidase inhibitors, levothyroxine sodium and certain antihistamines. Adjust doses appropriately.  Drugs that may reduce clinical response of Isoproterenol  Clinical Impact  The cardiostimulating and bronchodilating effects of isoproterenol are antagonized by beta-adrenergic blocking drugs, such as propranolol.  Intervention  Monitor for hemodynamic response and relief of bronchospasm and adjust dose appropriately.

Storage and Handling

Isoproterenol hydrochloride injection, USP 0.2 mg/mL and 1 mg/5 mL is supplied as a sterile, clear, colorless solution free from visible particulate matter in 3 mL and 5 mL single-dose glass vials respectively. NDC Container Concentration Fill Quantity 69918-731-10 Single-Dose Vial 0.2 mg/mL 1 mL Carton of 10 Single-Dose Vials 69918-735-10 Single-Dose Vial 1 mg/5 mL (0.2 mg/mL) 5 mL Carton of 10 Single-Dose Vials Protect from light. Keep in opaque container until used. Store at 20º to 25ºC (68º to 77ºF) [See USP Controlled Room Temperature]. Do not use if the injection is pinkish or darker than slightly yellow or contains a precipitate. Discard unused portion. Manufactured for: Nordic Pharma, Inc. Berwyn, PA 19312 USA www.nordicpharmausa.com The Nordic Pharma Logo is a trademark of Nordic Group B.V. Manufactured by: Indoco Remedies Limited Verna, Goa, 403722, India Origin India Revised: 04/2024 2011016

How Supplied

Isoproterenol hydrochloride injection, USP 0.2 mg/mL and 1 mg/5 mL is supplied as a sterile, clear, colorless solution free from visible particulate matter in 3 mL and 5 mL single-dose glass vials respectively. NDC Container Concentration Fill Quantity 69918-731-10 Single-Dose Vial 0.2 mg/mL 1 mL Carton of 10 Single-Dose Vials 69918-735-10 Single-Dose Vial 1 mg/5 mL (0.2 mg/mL) 5 mL Carton of 10 Single-Dose Vials Protect from light. Keep in opaque container until used. Store at 20º to 25ºC (68º to 77ºF) [See USP Controlled Room Temperature]. Do not use if the injection is pinkish or darker than slightly yellow or contains a precipitate. Discard unused portion. Manufactured for: Nordic Pharma, Inc. Berwyn, PA 19312 USA www.nordicpharmausa.com The Nordic Pharma Logo is a trademark of Nordic Group B.V. Manufactured by: Indoco Remedies Limited Verna, Goa, 403722, India Origin India Revised: 04/2024 2011016


Medication Information

Warnings and Precautions

Cardiac arrhythmias and ischemia may be induced by isoproterenol hydrochloride injection ( 5.1 ) Sulfite: Isoproterenol hydrochloride injection contains metabisulfite, which may cause allergic reaction ( 5.2 )

Indications and Usage

Isoproterenol hydrochloride injection is indicated: To improve hemodynamic status in patients in distributive shock and shock due to reduced cardiac output For bronchospasm occurring during anesthesia

Dosage and Administration

Initiate isoproterenol hydrochloride injection at the lowest recommended dose and increase gradually based on patient response ( 2.2 ) Recommended initial dosage: Shock: 0.5 mcg to 5 mcg per minute as an intravenous infusion ( 2.2 ) Bronchospasm: 10 mcg to 20 mcg intravenous injection ( 2.2 )

Contraindications

Isoproterenol hydrochloride injection is contraindicated in patients with: tachycardia ventricular arrhythmias angina pectoris

Adverse Reactions

The following adverse reactions have been associated with use of isoproterenol. Because these reactions are reported voluntarily from a population of uncertain size, it is not always possible to estimate their frequency reliably or to establish a causal relationship to drug exposure. Nervous system disorders: Nervousness, headache, dizziness, visual blurring Cardiovascular: Tachycardia, tachyarrhythmias, palpitations, angina, ventricular arrhythmias, Adams-Stokes attacks, pulmonary edema Respiratory: Dyspnea Other: Flushing of the skin, sweating, mild tremors, pallor, nausea

Drug Interactions

Table 1. Clinically Relevant Interactions with Isoproterenol  Epinephrine  Clinical Impact  Both drugs are direct cardiac stimulants, and their combined effects may induce serious arrhythmias upon simultaneous administration.  Intervention  Isoproterenol hydrochloride injection and epinephrine should not be administered simultaneously.  Drugs that may potentiate clinical response of Isoproterenol  Clinical Impact The effects of isoproterenol may be potentiated by tricyclic antidepressants, monoamine oxidase inhibitors, levothyroxinesodium, and certain antihistamines, notably chlorpheniramine, tripelennamine, and diphenhydramine.  Intervention Monitor hemodynamic parameters in patients who concurrently are taking tricyclic antidepressants, monoamine oxidase inhibitors, levothyroxine sodium and certain antihistamines. Adjust doses appropriately.  Drugs that may reduce clinical response of Isoproterenol  Clinical Impact  The cardiostimulating and bronchodilating effects of isoproterenol are antagonized by beta-adrenergic blocking drugs, such as propranolol.  Intervention  Monitor for hemodynamic response and relief of bronchospasm and adjust dose appropriately.

Storage and Handling

Isoproterenol hydrochloride injection, USP 0.2 mg/mL and 1 mg/5 mL is supplied as a sterile, clear, colorless solution free from visible particulate matter in 3 mL and 5 mL single-dose glass vials respectively. NDC Container Concentration Fill Quantity 69918-731-10 Single-Dose Vial 0.2 mg/mL 1 mL Carton of 10 Single-Dose Vials 69918-735-10 Single-Dose Vial 1 mg/5 mL (0.2 mg/mL) 5 mL Carton of 10 Single-Dose Vials Protect from light. Keep in opaque container until used. Store at 20º to 25ºC (68º to 77ºF) [See USP Controlled Room Temperature]. Do not use if the injection is pinkish or darker than slightly yellow or contains a precipitate. Discard unused portion. Manufactured for: Nordic Pharma, Inc. Berwyn, PA 19312 USA www.nordicpharmausa.com The Nordic Pharma Logo is a trademark of Nordic Group B.V. Manufactured by: Indoco Remedies Limited Verna, Goa, 403722, India Origin India Revised: 04/2024 2011016

How Supplied

Isoproterenol hydrochloride injection, USP 0.2 mg/mL and 1 mg/5 mL is supplied as a sterile, clear, colorless solution free from visible particulate matter in 3 mL and 5 mL single-dose glass vials respectively. NDC Container Concentration Fill Quantity 69918-731-10 Single-Dose Vial 0.2 mg/mL 1 mL Carton of 10 Single-Dose Vials 69918-735-10 Single-Dose Vial 1 mg/5 mL (0.2 mg/mL) 5 mL Carton of 10 Single-Dose Vials Protect from light. Keep in opaque container until used. Store at 20º to 25ºC (68º to 77ºF) [See USP Controlled Room Temperature]. Do not use if the injection is pinkish or darker than slightly yellow or contains a precipitate. Discard unused portion. Manufactured for: Nordic Pharma, Inc. Berwyn, PA 19312 USA www.nordicpharmausa.com The Nordic Pharma Logo is a trademark of Nordic Group B.V. Manufactured by: Indoco Remedies Limited Verna, Goa, 403722, India Origin India Revised: 04/2024 2011016

Description

Isoproterenol hydrochloride injection is indicated: To improve hemodynamic status in patients in distributive shock and shock due to reduced cardiac output For bronchospasm occurring during anesthesia

10 Overdosage

Overdosage of isoproterenol can cause tachycardia or other arrhythmias, palpitations, angina, hypotension, or hypertension. In case of overdosage, reduce the rate of administration or discontinue isoproterenol hydrochloride injection until patient’s condition stabilizes. Monitor blood pressure, pulse, respiration, and EKG.

It is not known whether isoproterenol hydrochloride is dialyzable.

8.1 Pregnancy

Risk Summary

Prolonged experience with isoproterenol use in pregnant women over several decades, based on published literature, do not identify a drug associated risk of major birth defects, miscarriage or adverse maternal or fetal outcomes. However, there are risks to the mother and fetus associated with isoproterenol use during labor or delivery (see Clinical Considerations).

The estimated background risk of major birth defects and miscarriage for the indicated population is unknown. All pregnancies have a background risk of birth defect, loss, or other adverse outcomes. In the United States general population, the estimated background risk of major birth defects and miscarriage in clinically recognized pregnancies is 2-4% and 15-20%, respectively.

Clinical Considerations

Hypotension associated with shock is a medical emergency in pregnancy which can be fatal if left untreated. Delaying treatment in pregnant women with hypotension associated with shock may increase the risk of maternal and fetal morbidity and mortality. Life-sustaining therapy for the pregnant woman should not be withheld due to potential concerns regarding the effects of isoproterenol on the fetus.

Labor and Delivery

Isoproterenol usually inhibits spontaneous or oxytocin induced contractions of the pregnant human uterus and may delay the second stage of labor. Avoid isoproterenol during the second stage of labor. Avoid isoproterenol in obstetrics when maternal blood pressure exceeds 130/80 mmHg.

Although isoproterenol may improve maternal hypotension associated with shock, it may result in uterine vasoconstriction, decreased uterine blood flow, uterine atony with hemorrhage, and fetal anoxia.

8.2 Lactation

Risk Summary

There is no information regarding the presence of isoproterenol in milk or the effects of isoproterenol on the breastfed infant or on milk production. However, due to its short half-life, isoproterenol exposure is expected to be very low in the breastfed infant.

11 Description

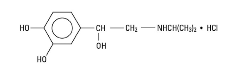
Isoproterenol hydrochloride, USP is 3,4-Dihydroxy-α-[(isopropylamino)methyl] benzyl alcohol hydrochloride, a synthetic sympathomimetic amine that is structurally related to epinephrine but acts almost exclusively on beta receptors. The molecular formula is C11H17NO3 • HCl. It has a molecular weight of 247.72 and the following structural formula:

Isoproterenol hydrochloride, USP is a racemic compound.

Each milliliter of the sterile solution contains:
Isoproterenol Hydrochloride, USP 0.2 mg
Edetate Disodium (EDTA) 0.2 mg
Sodium Chloride 7.0 mg
Sodium Citrate, Dihydrate 2.07 mg
Citric Acid, Anhydrous 2.5 mg
Water for Injection 1.0 mL

The pH is adjusted between 2.5 and 4.5 with hydrochloric acid or sodium hydroxide.

The sterile solution is nonpyrogenic and can be administered by the intravenous, intramuscular, subcutaneous, or intracardiac routes.

8.4 Pediatric Use

Safety and efficacy of isoproterenol in pediatric patients have not been established.

Intravenous infusions of isoproterenol in refractory asthmatic children at rates of 0.05-2.7 μg/kg/min have caused clinical deterioration, myocardial necrosis, congestive heart failure and death. The risks of cardiac toxicity appear to be increased by some factors [acidosis, hypoxemia, coadministration of corticosteroids, coadministration of methylxanthines (theophylline, theobromine) or aminophylline] that are especially likely to be present in these patients. If I.V. isoproterenol is used in children with refractory asthma, patient monitoring must include continuous assessment of vital signs, frequent electrocardiography, and daily measurements of cardiac enzymes, including CPK-MB.

8.5 Geriatric Use

Clinical studies of isoproterenol hydrochloride injection did not include sufficient numbers of subjects aged 65 and over to determine whether they respond differently from younger subjects in clinical circumstances. There are, however, some data that suggest that elderly healthy or hypertensive patients are less responsive to beta-adrenergic stimulation than are younger subjects. In general, dose selection for elderly patients should be cautious, usually starting at the low end of the dosing range, reflecting the greater frequency of decreased hepatic, renal or cardiac function and of concomitant diseases or other drug therapy.

4 Contraindications

Isoproterenol hydrochloride injection is contraindicated in patients with:

  • tachycardia
  • ventricular arrhythmias
  • angina pectoris
6 Adverse Reactions

The following adverse reactions have been associated with use of isoproterenol. Because these reactions are reported voluntarily from a population of uncertain size, it is not always possible to estimate their frequency reliably or to establish a causal relationship to drug exposure.

Nervous system disorders: Nervousness, headache, dizziness, visual blurring

Cardiovascular: Tachycardia, tachyarrhythmias, palpitations, angina, ventricular arrhythmias, Adams-Stokes attacks, pulmonary edema

Respiratory: Dyspnea

Other: Flushing of the skin, sweating, mild tremors, pallor, nausea

7 Drug Interactions
Table 1. Clinically Relevant Interactions with Isoproterenol

 Epinephrine

 Clinical Impact  Both drugs are direct cardiac stimulants, and their combined effects may induce serious arrhythmias upon simultaneous administration.
 Intervention  Isoproterenol hydrochloride injection and epinephrine should not be administered simultaneously.

 Drugs that may potentiate clinical response of Isoproterenol

 Clinical Impact The effects of isoproterenol may be potentiated by tricyclic antidepressants, monoamine oxidase inhibitors, levothyroxinesodium, and certain antihistamines, notably chlorpheniramine, tripelennamine, and diphenhydramine.
 Intervention Monitor hemodynamic parameters in patients who concurrently are taking tricyclic antidepressants, monoamine oxidase inhibitors, levothyroxine sodium and certain antihistamines. Adjust doses appropriately.

 Drugs that may reduce clinical response of Isoproterenol

 Clinical Impact  The cardiostimulating and bronchodilating effects of isoproterenol are antagonized by beta-adrenergic blocking drugs, such as propranolol.
 Intervention  Monitor for hemodynamic response and relief of bronchospasm and adjust dose appropriately.

12.2 Pharmacodynamics

Intravenous infusion of isoproterenol in man lowers peripheral vascular resistance, primarily in skeletal muscle but also in renal and mesenteric vascular beds. Diastolic pressure falls. Renal blood flow is decreased in normotensive subjects but is increased markedly in shock. Systolic blood pressure may remain unchanged or rise, although mean arterial pressure typically falls. Cardiac output is increased because of the positive inotropic and chronotropic effects of the drug in the face of diminished peripheral vascular resistance.

Isoproterenol relaxes almost all varieties of smooth muscle when the tone is high, but this action is most pronounced on bronchial and gastrointestinal smooth muscle. It prevents or relieves bronchoconstriction, but tolerance to this effect develops with overuse of the drug.

In man, isoproterenol causes less hyperglycemia than does epinephrine. Isoproterenol and epinephrine are equally effective in stimulating the release of free fatty acids and energy production.

12.3 Pharmacokinetics

Absorption

Isoproterenol is readily absorbed when given parenterally or as an aerosol.

Elimination

Isoproterenol is metabolized primarily in the liver and other tissues by COMT. Isoproterenol is a relatively poor substrate for MAO and is not taken up by sympathetic neurons to the same extent as are epinephrine and norepinephrine. The duration of action of isoproterenol may therefore be longer than that of epinephrine but is still brief.

2.2 Recommended Dosage

Dosage should generally be started at the lowest recommended dose and increased gradually based on patient response.

Recommended dosage for adults with shock and hypoperfusion states:
Route of Administration          Preparation of Dilution
Concentrations up to 10 times greater have been used when limitation of volume is essential.
         Infusion Rate
Rates over 30 mcg per minute have been used in advanced stages of shock.
Intravenous infusion Dilute 5 mL (1 mg) in 500 mL of 5%

Dextrose Injection, USP
0.5 mcg to 5 mcg per minute (0.25 mL to 2.5 mL of diluted solution)

Adjust the rate of infusion based on heart rate, central venous pressure, systemic blood pressure, and urine flow. If the heart rate exceeds 110 beats per minute, consider decreasing or temporarily discontinuing the infusion.

Recommended dosage for adults with bronchospasm occurring during anesthesia:
Route of Administration          Preparation of Dilution          Initial Dose          Subsequent Dose
Bolus

intravenous injection
Dilute 1 mL (0.2 mg) to 10 mL with Sodium

Chloride Injection, USP, or 5% Dextrose

Injection, USP
10 mcg to 20 mcg (0.5 mL to 1 mL

of diluted solution)
The initial dose may be repeated when necessary       

There are no well-controlled studies in children to establish appropriate dosing; however, the American Heart Association recommends an initial infusion rate of 0.1 mcg/kg/min, with the usual range being 0.1 mcg/kg/min to 1 mcg/kg/min.

1 Indications and Usage

Isoproterenol hydrochloride injection is indicated:

  • To improve hemodynamic status in patients in distributive shock and shock due to reduced cardiac output
  • For bronchospasm occurring during anesthesia
12 Clinical Pharmacology

12.1 Mechanism of Action

Isoproterenol is a potent nonselective beta-adrenergic agonist with very low affinity for alpha-adrenergic receptors.

2.1 General Considerations

Inspect visually for particulate matter and discoloration prior to administration, whenever solution and container permit. Do not use if the injection is pinkish or darker than slightly yellow or contains a precipitate. Discard any unused portion.

Diluted solution should be used immediately. Unused material should be discarded.

5 Warnings and Precautions

2 Dosage and Administration
  • Initiate isoproterenol hydrochloride injection at the lowest recommended dose and increase gradually based on patient response (2.2)

Recommended initial dosage:

  • Shock: 0.5 mcg to 5 mcg per minute as an intravenous infusion (2.2)
  • Bronchospasm: 10 mcg to 20 mcg intravenous injection (2.2 )
3 Dosage Forms and Strengths

Injection solution: single dose, clear glass vials containing isoproterenol in a clear, colorless solution;

  • 1 mL containing 0.2 mg/1 mL (0.2 mg/mL)
  • 5 mL containing 1 mg/5 mL (0.2 mg/mL)
8 Use in Specific Populations

16 How Supplied/storage and Handling

Isoproterenol hydrochloride injection, USP 0.2 mg/mL and 1 mg/5 mL is supplied as a sterile, clear, colorless solution free from visible particulate matter in 3 mL and 5 mL single-dose glass vials respectively.

NDC Container Concentration Fill Quantity
69918-731-10 Single-Dose Vial 0.2 mg/mL 1 mL Carton of 10 Single-Dose Vials
69918-735-10 Single-Dose Vial 1 mg/5 mL (0.2 mg/mL) 5 mL Carton of 10 Single-Dose Vials

Protect from light. Keep in opaque container until used.

Store at 20º to 25ºC (68º to 77ºF) [See USP Controlled Room Temperature].

Do not use if the injection is pinkish or darker than slightly yellow or contains a precipitate.

Discard unused portion.

Manufactured for:

Nordic Pharma, Inc.

Berwyn, PA 19312 USA

www.nordicpharmausa.com

The Nordic Pharma Logo is a trademark of Nordic Group B.V.

Manufactured by:

Indoco Remedies Limited

Verna, Goa, 403722, India

Origin India

Revised: 04/2024

2011016

5.1 Cardiac Arrhythmias and Ischemia

Isoproterenol may induce cardiac arrhythmias and myocardial ischemia in patients, especially patients with coronary artery disease, or cardiomyopathy.

5.2 Allergic Reactions Associated With Sulfite

Isoproterenol hydrochloride injection contains sodium metabisulfite, which may cause mild to severe allergic reactions including anaphylaxis or asthmatic episodes, particularly in patients with a history of allergies. However, the presence of metabisulfite in this product should not preclude its use for treatment in emergency situations, even if the patient is sulfite-sensitive, as the alternatives to using isoproterenol in a life-threatening situation may not be satisfactory.

13.1 Carcinogenesis, Mutagenesis, Impairment of Fertility

Long-term studies in animals to evaluate the carcinogenic potential of isoproterenol hydrochloride have not been done. Mutagenic potential and effect on fertility have not been determined. There is no evidence from human experience that isoproterenol hydrochloride injection may be carcinogenic or mutagenic or that it impairs fertility.

Principal Display Panel Isoproterenol Hydrochloride Injection Labels

NDC 69918-731-01                                    Rx Only

Isoproterenol HCl

Injection, USP

0.2 mg/mL

Protect from light.

Nordic Pharma, Inc.                  Rev 04/2024

NDC 69918-731-10                                    Rx Only

Isoproterenol Hydrochloride

Injection, USP

0.2 mg/mL

Intravenous, Subcutaneous, Intramuscular

or Intracardiac Use Only

10 x 1 mL Single-Dose Vials

NDC 69918-735-01                                    Rx Only

Isoproterenol HCl

Injection, USP

1 mg/5 mL (0.2 mg/mL)

Intravenous, Subcutaneous,

Intramuscular or Intracardiac Use Only

Protect from light.

See package insert.

Manufactured for:

Nordic Pharma, Inc.

Berwyn, PA 19312

5 mL Single-Dose Vial                   Rev 04/2024

NDC 69918-735-10                                    Rx Only

Isoproterenol Hydrochloride

Injection, USP

1 mg/5 mL (0.2 mg/mL)

Intravenous, Subcutaneous, Intramuscular

or Intracardiac Use Only

10 x 5 mL Single-Dose Vials


Structured Label Content

10 Overdosage (10 OVERDOSAGE)

Overdosage of isoproterenol can cause tachycardia or other arrhythmias, palpitations, angina, hypotension, or hypertension. In case of overdosage, reduce the rate of administration or discontinue isoproterenol hydrochloride injection until patient’s condition stabilizes. Monitor blood pressure, pulse, respiration, and EKG.

It is not known whether isoproterenol hydrochloride is dialyzable.

8.1 Pregnancy

Risk Summary

Prolonged experience with isoproterenol use in pregnant women over several decades, based on published literature, do not identify a drug associated risk of major birth defects, miscarriage or adverse maternal or fetal outcomes. However, there are risks to the mother and fetus associated with isoproterenol use during labor or delivery (see Clinical Considerations).

The estimated background risk of major birth defects and miscarriage for the indicated population is unknown. All pregnancies have a background risk of birth defect, loss, or other adverse outcomes. In the United States general population, the estimated background risk of major birth defects and miscarriage in clinically recognized pregnancies is 2-4% and 15-20%, respectively.

Clinical Considerations

Hypotension associated with shock is a medical emergency in pregnancy which can be fatal if left untreated. Delaying treatment in pregnant women with hypotension associated with shock may increase the risk of maternal and fetal morbidity and mortality. Life-sustaining therapy for the pregnant woman should not be withheld due to potential concerns regarding the effects of isoproterenol on the fetus.

Labor and Delivery

Isoproterenol usually inhibits spontaneous or oxytocin induced contractions of the pregnant human uterus and may delay the second stage of labor. Avoid isoproterenol during the second stage of labor. Avoid isoproterenol in obstetrics when maternal blood pressure exceeds 130/80 mmHg.

Although isoproterenol may improve maternal hypotension associated with shock, it may result in uterine vasoconstriction, decreased uterine blood flow, uterine atony with hemorrhage, and fetal anoxia.

8.2 Lactation

Risk Summary

There is no information regarding the presence of isoproterenol in milk or the effects of isoproterenol on the breastfed infant or on milk production. However, due to its short half-life, isoproterenol exposure is expected to be very low in the breastfed infant.

11 Description (11 DESCRIPTION)

Isoproterenol hydrochloride, USP is 3,4-Dihydroxy-α-[(isopropylamino)methyl] benzyl alcohol hydrochloride, a synthetic sympathomimetic amine that is structurally related to epinephrine but acts almost exclusively on beta receptors. The molecular formula is C11H17NO3 • HCl. It has a molecular weight of 247.72 and the following structural formula:

Isoproterenol hydrochloride, USP is a racemic compound.

Each milliliter of the sterile solution contains:
Isoproterenol Hydrochloride, USP 0.2 mg
Edetate Disodium (EDTA) 0.2 mg
Sodium Chloride 7.0 mg
Sodium Citrate, Dihydrate 2.07 mg
Citric Acid, Anhydrous 2.5 mg
Water for Injection 1.0 mL

The pH is adjusted between 2.5 and 4.5 with hydrochloric acid or sodium hydroxide.

The sterile solution is nonpyrogenic and can be administered by the intravenous, intramuscular, subcutaneous, or intracardiac routes.

8.4 Pediatric Use

Safety and efficacy of isoproterenol in pediatric patients have not been established.

Intravenous infusions of isoproterenol in refractory asthmatic children at rates of 0.05-2.7 μg/kg/min have caused clinical deterioration, myocardial necrosis, congestive heart failure and death. The risks of cardiac toxicity appear to be increased by some factors [acidosis, hypoxemia, coadministration of corticosteroids, coadministration of methylxanthines (theophylline, theobromine) or aminophylline] that are especially likely to be present in these patients. If I.V. isoproterenol is used in children with refractory asthma, patient monitoring must include continuous assessment of vital signs, frequent electrocardiography, and daily measurements of cardiac enzymes, including CPK-MB.

8.5 Geriatric Use

Clinical studies of isoproterenol hydrochloride injection did not include sufficient numbers of subjects aged 65 and over to determine whether they respond differently from younger subjects in clinical circumstances. There are, however, some data that suggest that elderly healthy or hypertensive patients are less responsive to beta-adrenergic stimulation than are younger subjects. In general, dose selection for elderly patients should be cautious, usually starting at the low end of the dosing range, reflecting the greater frequency of decreased hepatic, renal or cardiac function and of concomitant diseases or other drug therapy.

4 Contraindications (4 CONTRAINDICATIONS)

Isoproterenol hydrochloride injection is contraindicated in patients with:

  • tachycardia
  • ventricular arrhythmias
  • angina pectoris
6 Adverse Reactions (6 ADVERSE REACTIONS)

The following adverse reactions have been associated with use of isoproterenol. Because these reactions are reported voluntarily from a population of uncertain size, it is not always possible to estimate their frequency reliably or to establish a causal relationship to drug exposure.

Nervous system disorders: Nervousness, headache, dizziness, visual blurring

Cardiovascular: Tachycardia, tachyarrhythmias, palpitations, angina, ventricular arrhythmias, Adams-Stokes attacks, pulmonary edema

Respiratory: Dyspnea

Other: Flushing of the skin, sweating, mild tremors, pallor, nausea

7 Drug Interactions (7 DRUG INTERACTIONS)
Table 1. Clinically Relevant Interactions with Isoproterenol

 Epinephrine

 Clinical Impact  Both drugs are direct cardiac stimulants, and their combined effects may induce serious arrhythmias upon simultaneous administration.
 Intervention  Isoproterenol hydrochloride injection and epinephrine should not be administered simultaneously.

 Drugs that may potentiate clinical response of Isoproterenol

 Clinical Impact The effects of isoproterenol may be potentiated by tricyclic antidepressants, monoamine oxidase inhibitors, levothyroxinesodium, and certain antihistamines, notably chlorpheniramine, tripelennamine, and diphenhydramine.
 Intervention Monitor hemodynamic parameters in patients who concurrently are taking tricyclic antidepressants, monoamine oxidase inhibitors, levothyroxine sodium and certain antihistamines. Adjust doses appropriately.

 Drugs that may reduce clinical response of Isoproterenol

 Clinical Impact  The cardiostimulating and bronchodilating effects of isoproterenol are antagonized by beta-adrenergic blocking drugs, such as propranolol.
 Intervention  Monitor for hemodynamic response and relief of bronchospasm and adjust dose appropriately.

12.2 Pharmacodynamics

Intravenous infusion of isoproterenol in man lowers peripheral vascular resistance, primarily in skeletal muscle but also in renal and mesenteric vascular beds. Diastolic pressure falls. Renal blood flow is decreased in normotensive subjects but is increased markedly in shock. Systolic blood pressure may remain unchanged or rise, although mean arterial pressure typically falls. Cardiac output is increased because of the positive inotropic and chronotropic effects of the drug in the face of diminished peripheral vascular resistance.

Isoproterenol relaxes almost all varieties of smooth muscle when the tone is high, but this action is most pronounced on bronchial and gastrointestinal smooth muscle. It prevents or relieves bronchoconstriction, but tolerance to this effect develops with overuse of the drug.

In man, isoproterenol causes less hyperglycemia than does epinephrine. Isoproterenol and epinephrine are equally effective in stimulating the release of free fatty acids and energy production.

12.3 Pharmacokinetics

Absorption

Isoproterenol is readily absorbed when given parenterally or as an aerosol.

Elimination

Isoproterenol is metabolized primarily in the liver and other tissues by COMT. Isoproterenol is a relatively poor substrate for MAO and is not taken up by sympathetic neurons to the same extent as are epinephrine and norepinephrine. The duration of action of isoproterenol may therefore be longer than that of epinephrine but is still brief.

2.2 Recommended Dosage

Dosage should generally be started at the lowest recommended dose and increased gradually based on patient response.

Recommended dosage for adults with shock and hypoperfusion states:
Route of Administration          Preparation of Dilution
Concentrations up to 10 times greater have been used when limitation of volume is essential.
         Infusion Rate
Rates over 30 mcg per minute have been used in advanced stages of shock.
Intravenous infusion Dilute 5 mL (1 mg) in 500 mL of 5%

Dextrose Injection, USP
0.5 mcg to 5 mcg per minute (0.25 mL to 2.5 mL of diluted solution)

Adjust the rate of infusion based on heart rate, central venous pressure, systemic blood pressure, and urine flow. If the heart rate exceeds 110 beats per minute, consider decreasing or temporarily discontinuing the infusion.

Recommended dosage for adults with bronchospasm occurring during anesthesia:
Route of Administration          Preparation of Dilution          Initial Dose          Subsequent Dose
Bolus

intravenous injection
Dilute 1 mL (0.2 mg) to 10 mL with Sodium

Chloride Injection, USP, or 5% Dextrose

Injection, USP
10 mcg to 20 mcg (0.5 mL to 1 mL

of diluted solution)
The initial dose may be repeated when necessary       

There are no well-controlled studies in children to establish appropriate dosing; however, the American Heart Association recommends an initial infusion rate of 0.1 mcg/kg/min, with the usual range being 0.1 mcg/kg/min to 1 mcg/kg/min.

1 Indications and Usage (1 INDICATIONS AND USAGE)

Isoproterenol hydrochloride injection is indicated:

  • To improve hemodynamic status in patients in distributive shock and shock due to reduced cardiac output
  • For bronchospasm occurring during anesthesia
12 Clinical Pharmacology (12 CLINICAL PHARMACOLOGY)

12.1 Mechanism of Action

Isoproterenol is a potent nonselective beta-adrenergic agonist with very low affinity for alpha-adrenergic receptors.

2.1 General Considerations

Inspect visually for particulate matter and discoloration prior to administration, whenever solution and container permit. Do not use if the injection is pinkish or darker than slightly yellow or contains a precipitate. Discard any unused portion.

Diluted solution should be used immediately. Unused material should be discarded.

5 Warnings and Precautions (5 WARNINGS AND PRECAUTIONS)

2 Dosage and Administration (2 DOSAGE AND ADMINISTRATION)
  • Initiate isoproterenol hydrochloride injection at the lowest recommended dose and increase gradually based on patient response (2.2)

Recommended initial dosage:

  • Shock: 0.5 mcg to 5 mcg per minute as an intravenous infusion (2.2)
  • Bronchospasm: 10 mcg to 20 mcg intravenous injection (2.2 )
3 Dosage Forms and Strengths (3 DOSAGE FORMS AND STRENGTHS)

Injection solution: single dose, clear glass vials containing isoproterenol in a clear, colorless solution;

  • 1 mL containing 0.2 mg/1 mL (0.2 mg/mL)
  • 5 mL containing 1 mg/5 mL (0.2 mg/mL)
8 Use in Specific Populations (8 USE IN SPECIFIC POPULATIONS)

16 How Supplied/storage and Handling (16 HOW SUPPLIED/STORAGE AND HANDLING)

Isoproterenol hydrochloride injection, USP 0.2 mg/mL and 1 mg/5 mL is supplied as a sterile, clear, colorless solution free from visible particulate matter in 3 mL and 5 mL single-dose glass vials respectively.

NDC Container Concentration Fill Quantity
69918-731-10 Single-Dose Vial 0.2 mg/mL 1 mL Carton of 10 Single-Dose Vials
69918-735-10 Single-Dose Vial 1 mg/5 mL (0.2 mg/mL) 5 mL Carton of 10 Single-Dose Vials

Protect from light. Keep in opaque container until used.

Store at 20º to 25ºC (68º to 77ºF) [See USP Controlled Room Temperature].

Do not use if the injection is pinkish or darker than slightly yellow or contains a precipitate.

Discard unused portion.

Manufactured for:

Nordic Pharma, Inc.

Berwyn, PA 19312 USA

www.nordicpharmausa.com

The Nordic Pharma Logo is a trademark of Nordic Group B.V.

Manufactured by:

Indoco Remedies Limited

Verna, Goa, 403722, India

Origin India

Revised: 04/2024

2011016

5.1 Cardiac Arrhythmias and Ischemia

Isoproterenol may induce cardiac arrhythmias and myocardial ischemia in patients, especially patients with coronary artery disease, or cardiomyopathy.

5.2 Allergic Reactions Associated With Sulfite (5.2 Allergic Reactions associated with Sulfite)

Isoproterenol hydrochloride injection contains sodium metabisulfite, which may cause mild to severe allergic reactions including anaphylaxis or asthmatic episodes, particularly in patients with a history of allergies. However, the presence of metabisulfite in this product should not preclude its use for treatment in emergency situations, even if the patient is sulfite-sensitive, as the alternatives to using isoproterenol in a life-threatening situation may not be satisfactory.

13.1 Carcinogenesis, Mutagenesis, Impairment of Fertility

Long-term studies in animals to evaluate the carcinogenic potential of isoproterenol hydrochloride have not been done. Mutagenic potential and effect on fertility have not been determined. There is no evidence from human experience that isoproterenol hydrochloride injection may be carcinogenic or mutagenic or that it impairs fertility.

Principal Display Panel Isoproterenol Hydrochloride Injection Labels (PRINCIPAL DISPLAY PANEL - ISOPROTERENOL HYDROCHLORIDE INJECTION LABELS)

NDC 69918-731-01                                    Rx Only

Isoproterenol HCl

Injection, USP

0.2 mg/mL

Protect from light.

Nordic Pharma, Inc.                  Rev 04/2024

NDC 69918-731-10                                    Rx Only

Isoproterenol Hydrochloride

Injection, USP

0.2 mg/mL

Intravenous, Subcutaneous, Intramuscular

or Intracardiac Use Only

10 x 1 mL Single-Dose Vials

NDC 69918-735-01                                    Rx Only

Isoproterenol HCl

Injection, USP

1 mg/5 mL (0.2 mg/mL)

Intravenous, Subcutaneous,

Intramuscular or Intracardiac Use Only

Protect from light.

See package insert.

Manufactured for:

Nordic Pharma, Inc.

Berwyn, PA 19312

5 mL Single-Dose Vial                   Rev 04/2024

NDC 69918-735-10                                    Rx Only

Isoproterenol Hydrochloride

Injection, USP

1 mg/5 mL (0.2 mg/mL)

Intravenous, Subcutaneous, Intramuscular

or Intracardiac Use Only

10 x 5 mL Single-Dose Vials


Advanced Ingredient Data


Raw Label Data

All Sections (JSON)