These Highlights Do Not Include All The Information Needed To Use Xaciato Safely And Effectively. See Full Prescribing Information For Xaciato

These Highlights Do Not Include All The Information Needed To Use Xaciato Safely And Effectively. See Full Prescribing Information For Xaciato
SPL v13
SPL
SPL Set ID 0423007f-28fa-4159-bf58-9174626d2347
Route
VAGINAL
Published
Effective Date 2025-12-19
Document Type 34391-3 HUMAN PRESCRIPTION DRUG LABEL

Drug Facts

Composition & Product

Active Ingredients
Clindamycin (100 mg)
Inactive Ingredients
Benzyl Alcohol Citric Acid Monohydrate Poloxamer 407 Water Trisodium Citrate Dihydrate Xanthan Gum

Identifiers & Packaging

Marketing Status
NDA Active Since 2023-10-13

Description

XACIATO is a lincosamide antibacterial indicated for the treatment of bacterial vaginosis in female patients 12 years of age and older. ( 1.1 )

Indications and Usage

XACIATO is a lincosamide antibacterial indicated for the treatment of bacterial vaginosis in female patients 12 years of age and older. ( 1.1 )

Dosage and Administration

The recommended dosage of XACIATO is one applicatorful (5 g of vaginal gel containing 100 mg of clindamycin) administered once intravaginally as a single dose at any time of the day [see Clinical Studies ( 14 )] . Place the used tube with any remaining gel and used applicator in the container box and deposit in a trash container after use [see Instructions for Use ] . XACIATO is not for ophthalmic, dermal, or oral use.

Warnings and Precautions

Clostridioides difficile -Associated Diarrhea: Discontinue and evaluate if diarrhea occurs. ( 5.1 ) Use with Polyurethane Condoms: Polyurethane condoms are not recommended during treatment with XACIATO or for 7 days following treatment. During this time period, polyurethane condoms may not be reliable for preventing pregnancy or for protecting against transmission of HIV and other sexually transmitted diseases. Latex or polyisoprene condoms should be used ( 5.2 )

Contraindications

History of hypersensitivity to clindamycin or lincomycin. ( 4.1 )

Adverse Reactions

The following clinically significant adverse reactions are described elsewhere in the labeling: Clostridioides difficile -Associated Diarrhea (CDAD) [see Warnings and Precautions ( 5.1 )] Use with Polyurethane Condoms [see Warnings and Precautions ( 5.2 )] Vaginal Candida Infections [see Warnings and Precautions ( 5.3 )]

Storage and Handling

XACIATO vaginal gel, 2% is a clear, colorless, viscous gel supplied in a carton containing one 8-gram tube of vaginal gel and one vaginal applicator. One single-dose, user-filled disposable applicator delivers 5 g of gel containing 100 mg of clindamycin. NDC 78206-189-01. Store at 68ºF to 77ºF (20ºC to 25ºC); excursions permitted to 59ºF to 86ºF (15ºC to 30ºC). [See USP Controlled Room temperature].

How Supplied

XACIATO vaginal gel, 2% is a clear, colorless, viscous gel supplied in a carton containing one 8-gram tube of vaginal gel and one vaginal applicator. One single-dose, user-filled disposable applicator delivers 5 g of gel containing 100 mg of clindamycin. NDC 78206-189-01. Store at 68ºF to 77ºF (20ºC to 25ºC); excursions permitted to 59ºF to 86ºF (15ºC to 30ºC). [See USP Controlled Room temperature].


Medication Information

Warnings and Precautions

Clostridioides difficile -Associated Diarrhea: Discontinue and evaluate if diarrhea occurs. ( 5.1 ) Use with Polyurethane Condoms: Polyurethane condoms are not recommended during treatment with XACIATO or for 7 days following treatment. During this time period, polyurethane condoms may not be reliable for preventing pregnancy or for protecting against transmission of HIV and other sexually transmitted diseases. Latex or polyisoprene condoms should be used ( 5.2 )

Indications and Usage

XACIATO is a lincosamide antibacterial indicated for the treatment of bacterial vaginosis in female patients 12 years of age and older. ( 1.1 )

Dosage and Administration

The recommended dosage of XACIATO is one applicatorful (5 g of vaginal gel containing 100 mg of clindamycin) administered once intravaginally as a single dose at any time of the day [see Clinical Studies ( 14 )] . Place the used tube with any remaining gel and used applicator in the container box and deposit in a trash container after use [see Instructions for Use ] . XACIATO is not for ophthalmic, dermal, or oral use.

Contraindications

History of hypersensitivity to clindamycin or lincomycin. ( 4.1 )

Adverse Reactions

The following clinically significant adverse reactions are described elsewhere in the labeling: Clostridioides difficile -Associated Diarrhea (CDAD) [see Warnings and Precautions ( 5.1 )] Use with Polyurethane Condoms [see Warnings and Precautions ( 5.2 )] Vaginal Candida Infections [see Warnings and Precautions ( 5.3 )]

Storage and Handling

XACIATO vaginal gel, 2% is a clear, colorless, viscous gel supplied in a carton containing one 8-gram tube of vaginal gel and one vaginal applicator. One single-dose, user-filled disposable applicator delivers 5 g of gel containing 100 mg of clindamycin. NDC 78206-189-01. Store at 68ºF to 77ºF (20ºC to 25ºC); excursions permitted to 59ºF to 86ºF (15ºC to 30ºC). [See USP Controlled Room temperature].

How Supplied

XACIATO vaginal gel, 2% is a clear, colorless, viscous gel supplied in a carton containing one 8-gram tube of vaginal gel and one vaginal applicator. One single-dose, user-filled disposable applicator delivers 5 g of gel containing 100 mg of clindamycin. NDC 78206-189-01. Store at 68ºF to 77ºF (20ºC to 25ºC); excursions permitted to 59ºF to 86ºF (15ºC to 30ºC). [See USP Controlled Room temperature].

Description

XACIATO is a lincosamide antibacterial indicated for the treatment of bacterial vaginosis in female patients 12 years of age and older. ( 1.1 )

Section 42229-5

INSTRUCTIONS FOR USE

XACIATO® [zah-she-AH-toe]

(clindamycin phosphate vaginal gel 2%)

For vaginal use only. Do not use in the eyes or mouth, or on your skin.

Read these Instructions for Use before you use XACIATO® and each time you get a refill as there may be new information. This information does not take the place of talking to your healthcare provider about your medical condition or treatment.

Important Information

  • Use XACIATO exactly as your healthcare provider tells you to use it.
  • Use 1 filled applicator of XACIATO gel in your vagina.
  • Do not use any medicine from the tube or applicator more than 1 time. The XACIATO gel is for 1 time (single-use) only.
  • Do not have vaginal sex or use vaginal products (such as tampons or douches) during treatment with XACIATO gel and for 3 days after using XACIATO gel.
  • Do not use polyurethane condoms during treatment with XACIATO gel and for 7 days after using XACIATO gel. XACIATO gel may weaken polyurethane condoms. Latex or polyisoprene condoms should be used.
  • If you have questions or if your vaginal symptoms do not go away, contact your healthcare provider.

How do I store XACIATO?

  • Store XACIATO gel at room temperature between 68ºF to 77ºF (20ºC to 25ºC).
  • Do not store in the refrigerator or freezer.

Store XACIATO gel and all medicines out of the reach of children.

Section 42230-3

PATIENT INFORMATION

XACIATO® (zah-she-AH-toe)

(clindamycin phosphate)

vaginal gel

Important Information: XACIATO is for intravaginal use only. Do not use in the eyes, mouth, or on your skin.

What is XACIATO?

  • XACIATO vaginal gel is a prescription medicine used to treat bacterial vaginal infections in females 12 years of age and older.
  • It is not known if XACIATO is safe and effective in children under 12 years of age.

Do not use XACIATO if you are:

  • allergic to clindamycin or lincomycin.

Before using XACIATO, tell your healthcare provider about all of your medical conditions, including if you:

  • have inflammatory bowel disease, including ulcerative colitis and Crohn’s disease.
  • are pregnant or plan to become pregnant. It is not known if XACIATO will harm your unborn baby. Tell your healthcare provider if you become pregnant during treatment with XACIATO.
  • are breastfeeding or plan to breastfeed. The amount of XACIATO which passes into your breast milk is low and is not expected to harm your baby. Talk with your healthcare provider about the best way to feed your baby while using XACIATO.

Tell your healthcare provider about all the medicines you take, including prescription and over-the-counter medicines, vitamins, and herbal supplements.

How should I use XACIATO?

  • Use XACIATO exactly as your healthcare provider tells you to use it.
  • Use 1 filled applicator of XACIATO in the vagina.
  • Do not use any medicine from the tube or applicator more than 1 time. XACIATO is for 1 time (single-use) only.
  • Do not use in the eyes, mouth, or on your skin.
  • See the Instructions for Use at the end of this Patient Information leaflet for more information about how to fill the applicator and use XACIATO.

What should I avoid while using XACIATO?

After you insert XACIATO:

  • Do not have vaginal sex or use vaginal products (such as tampons or douches) during treatment with XACIATO and for 3 days after using XACIATO.
  • You should not use polyurethane condoms during treatment with XACIATO and for 7 days after using XACIATO. XACIATO may weaken polyurethane condoms and they may not work well for preventing pregnancy or protecting against Human Immunodeficiency Virus (HIV) and other sexually transmitted diseases (STDs). Latex or polyisoprene condoms should be used.

What are the possible side effects of XACIATO?

XACIATO may cause serious side effects, including diarrhea. One type of diarrhea is caused by an infection in your intestines called Clostridioides  difficile-associated diarrhea (CDAD), which may range in severity from mild diarrhea to colitis that can lead to death. If you have diarrhea after you use XACIATO, call your healthcare provider.

The most common side effects of XACIATO include:

  • Yeast infection in your vagina that may require treatment with an antifungal medicine.
  • Vaginal discomfort including itching, burning, redness and dryness.

Tell your healthcare provider if you have any side effect that bothers you or that does not go away. These are not all the possible side effects of XACIATO. For more information, ask your healthcare provider or pharmacist. 

Call your doctor for medical advice about side effects. You may report side effects to FDA at 1-800-FDA-1088.

How should I store XACIATO?

  • Store XACIATO at room temperature between 68ºF and 77ºF (20ºC to 25ºC).

Keep XACIATO and all medicines out of the reach of children.

General information about the safe and effective use of XACIATO.

Medicines are sometimes prescribed for purposes other than those listed in a Patient Information leaflet. Do not use XACIATO for a condition for which it was not prescribed. Do not give XACIATO to other people, even if they have the same symptoms that you have. It may harm them. You can ask your pharmacist or healthcare provider for information about XACIATO that is written for health professionals.

What are the ingredients in XACIATO?

Active ingredient: clindamycin phosphate

Inactive ingredients: benzyl alcohol, citric acid monohydrate or citric acid anhydrous, poloxamer 407, purified water, sodium citrate dihydrate and xanthan gum.

Distributed by: Organon LLC, a subsidiary of

ORGANON & Co.,

Jersey City, NJ 07302, USA

For patent information: www.organon.com/our-solutions/patent/

© 2025 Organon group of companies. All rights reserved.

For more information, go to www.xaciato.com or call 1-844-674-3200

usppi-og9423-gl-2512r001

This Patient Information has been approved by the U.S. Food and Drug Administration.    Revised: 12/2025

8.1 Pregnancy

Risk Summary

Other clindamycin vaginal products have been used to treat pregnant women during the second and third trimester. XACIATO has not been studied in pregnant women. However, based on the low systemic absorption of XACIATO following the intravaginal route of administration in nonpregnant women, maternal use is not likely to result in significant fetal exposure to the drug [see Clinical Pharmacology (12.3)]. Available data from published observational studies, based on first trimester exposure to oral and IV clindamycin, did not identify consistent increases in the rate of major birth defects. Available data from published observational studies and randomized controlled trials, based on second and third trimester exposure to oral and IV clindamycin, did not identify an increased risk of miscarriage or other adverse maternal or fetal outcomes. Most of the reported exposures to clindamycin occurred during the second and third trimesters of the pregnancy.

In animal reproduction studies, no adverse developmental outcomes were observed when XACIATO was vaginally administered to pregnant rats and rabbits during organogenesis at doses approximately equivalent to the recommended human dose. No evidence of any adverse developmental outcomes was observed when oral or subcutaneous doses of clindamycin were administered to pregnant rats and mice during organogenesis at doses 9 to 58 times the recommended human dose based on body surface area comparison (see Data).

The estimated background risk of major birth defects and miscarriage for the indicated population is unknown. All pregnancies have a background risk of birth defect, loss, or other adverse outcomes. In the U.S. general population, the estimated background risk of major birth defects and miscarriage in clinically recognized pregnancies is 2% to 4% and 15% to 20%, respectively.

Data

Animal Data

Reproduction studies performed during organogenesis in pregnant rats (gestational days 6-17) and rabbits (gestational days 7-19) administered vaginal XACIATO at 0.1 g and 1 g/day (2 mg and 20 mg clindamycin phosphate/day) showed no evidence of developmental toxicity. These doses are approximately equivalent to the applied recommended clinical dose based on g/cm2 vaginal surface area and body surface area (BSA) comparisons.

Reproduction studies performed during organogenesis (gestational days 6-15) in pregnant rats and mice that were administered oral doses of clindamycin up to 600 mg/kg/day (58 and 29 times, respectively, the recommended human dose based on a body surface area comparison) or subcutaneous doses of clindamycin up to 250 mg/kg/day (24- and 12-times, respectively, the MRHD based on BSA comparisons) revealed no evidence of teratogenicity.

Vaginal administration of XACIATO to pregnant/lactating female rats during a pre- and post-natal development (gestation day 6 through gestation day 21) study at 2 mg clindamycin phosphate/day had no adverse effects on dams or their offspring.

8.2 Lactation

Risk Summary

Systemic absorption following intravaginal administration of clindamycin is low; therefore, transfer of clindamycin into breastmilk is likely to be low and adverse effects on the breastfed infant are not expected [see Clinical Pharmacology (12.3)]. There are no data on the effect of clindamycin on milk production.

The developmental and health benefits of breastfeeding should be considered along with the mother's clinical need for clindamycin and any potential adverse effects on the breastfed child from clindamycin or from the underlying maternal condition.

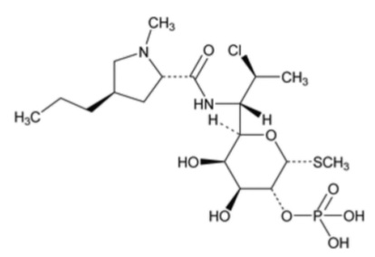
11 Description

XACIATO vaginal gel contains clindamycin phosphate, a lincosamide antibacterial. The chemical name for clindamycin phosphate is methyl 7-chloro- 6,7,8-trideoxy-6-(1-methyl- trans-4-propyl-L-2-pyrrolidinecarboxamido)-1-thio-L- threo-(alpha)-D-galacto- octopyranoside 2-(dihydrogenphosphate). It has a molecular weight of 504.95, and the molecular formula is C18H34ClN2O8PS. The structural formula is represented below:

XACIATO is a clear, colorless, viscous gel, which contains clindamycin at a concentration of 2%. A single-dose user-filled disposable applicator delivers 5 g of vaginal gel containing 100 mg of clindamycin (present as 119 mg of clindamycin phosphate). The gel also contains benzyl alcohol, citric acid monohydrate or citric acid anhydrous, poloxamer 407, purified water, sodium citrate dihydrate, and xanthan gum.

12.4 Microbiology

Mechanism of Action

Clindamycin inhibits bacterial protein synthesis by binding to the 23S RNA of the 50S subunit of the ribosome. Clindamycin is predominantly bacteriostatic. Although clindamycin phosphate is inactive in vitro, rapid in vivo hydrolysis converts it to active clindamycin.

Resistance

Resistance to clindamycin is most often caused by modification of the target site on the ribosome, usually by chemical modification of RNA bases by point mutations in RNA or occasionally in proteins. Cross resistance has been demonstrated between lincosamides, macrolides and streptogramins B in some organisms. Cross resistance has been demonstrated between clindamycin and lincomycin.

Antibacterial Activity

Culture and sensitivity testing of bacteria are not routinely performed to establish the diagnosis of bacterial vaginosis [see Clinical Studies (14)]. Standard methodology for the susceptibility testing of the potential bacterial pathogens, Gardnerella vaginalis, Mobiluncus spp., or Mycoplasma hominis, has not been defined.

The following in vitro data are available, but their clinical significance is unknown. Clindamycin is active in vitro against most isolates of the following organisms reported to be associated with bacterial vaginosis:

Bacteroides spp.

Gardnerella vaginalis

Mobiluncus spp.

Mycoplasma  hominis

Peptostreptococcus spp.

8.4 Pediatric Use

The safety and effectiveness of XACIATO have been established in females aged 12 years and older for the treatment of bacterial vaginosis. Use of XACIATO for this indication is supported by the extrapolation of clinical trial data from adequate and well controlled clinical studies in adult women. The safety and effectiveness of XACIATO have not been established in pediatric patients younger than 12 years of age for the treatment of bacterial vaginosis.

8.5 Geriatric Use

Clinical studies with XACIATO did not include any subjects 65 years of age or older to determine whether they respond differently than younger subjects.

14 Clinical Studies

The efficacy of XACIATO as a treatment of bacterial vaginosis (BV) in females 12 years of age and older was demonstrated in a randomized, double-blind, placebo-controlled clinical study (Trial 1, NCT04370548).  A single dose of XACIATO (clindamycin phosphate vaginal gel, 2%) was compared to a single dose of placebo vaginal gel (hydroxyethylcellulose [HEC] Universal Placebo Gel) for the treatment of BV. Patients were evaluated at 3 timepoints: a Day 1 Screening/Randomization visit, a Day 7 to 14 Interim Assessment visit, and a Day 21 to 30 Test of Cure visit. The total study duration was up to approximately 1 month for each individual patient.

To be eligible, patients had to have a clinical diagnosis of BV defined as an off-white (milky or gray), thin, homogeneous discharge with minimal or absent pruritus and inflammation of the vulva and vagina, clue cells > 20% of the total epithelial cells on microscopic examination of the saline wet mount, vaginal secretion pH of > 4.5, and a fishy odor of the vaginal discharge with the addition of a drop of 10% KOH (i.e., a positive whiff test).

The 307 patients were randomized in a 2:1 ratio, with 204 in the XACIATO group and 103 in the placebo group. The modified Intent-To-Treat (mITT) Population excluded women with a positive test result for other concomitant vaginal or cervical infections at baseline, including a positive vaginal culture for Candida spp. or who had a baseline Nugent score of < 7.

Clinical Cure was defined as resolution of the abnormal vaginal discharge associated with BV, a negative 10% KOH whiff test, and clue cells < 20% of the total epithelial cells in the saline wet mount. Bacteriological Cure was defined as a Nugent score < 4. Therapeutic Cure was defined as the presence of both a Clinical Cure and Bacteriological Cure.

In the mITT population, a statistically significantly greater percentage of patients experienced Clinical Cure, Bacteriological Cure, and Therapeutic Cure at the Test of Cure (Day 21-30) visit in the XACIATO arm compared to placebo (Table 2). Statistically significant results for the endpoints were also achieved at the Interim Assessment visit (Day 7-14).

Table 2: Summary of Clinical Cure, Bacteriological Cure, and Therapeutic Cure (Modified Intent-to-Treat Population) in Trial 1

Interim Assessment visit (day 7-14)

Test of Cure visit (day 21-30)

Parameter

XACIATO

(N = 122)

n (%)

Placebo

(N = 59)

n (%)

Treatment

Difference (%)

[95% Confidence

Interval]

XACIATO

(N = 122)

n (%)

Placebo

(N = 59)

n (%)

Treatment Difference (%)

[95% Confidence Interval]

Clinical Cure

93 (76.2)

14 (23.7)

52.5 (38.0, 67.0)

86 (70.5)

21 (35.6)

34.9 (19.0, 50.8)

Bacteriological Cure

50 (41.0)

2 (3.4)

37.6 (26.5, 48.7)

53 (43.4)

3 (5.1)

38.4 (26.7, 50.1)

Therapeutic Cure

43 (35.2)

0

35.2 (25.5, 45.0)

45 (36.9)

3 (5.1)

31.8 (20.3, 43.3)

All P-values for differences between treatment groups were <0.001 (from Cochran-Mantel-Haenszel test with strata of study site and race - African American or all other races).

The percentage of patients with Clinical Cure at the Test of Cure visit was also significantly higher in the XACIATO group compared to the placebo group among the subsets of patients defined by prior episodes of bacterial vaginosis (≤ 3 episodes and >3 episodes in the previous 12 months) at 71.3% (72/101) for XACIATO and 39.1% (18/46) placebo, and 70.0% (14/20) for XACIATO and 23.1% (3/13) placebo, respectively.

4 Contraindications

History of hypersensitivity to clindamycin or lincomycin. (4.1)

5.3 Vaginal Candida

XACIATO may result in the overgrowth of Candida spp. in the vagina resulting in vulvovaginal candidiasis which may require antifungal treatment [see Adverse Reactions (6.1)].

6 Adverse Reactions

The following clinically significant adverse reactions are described elsewhere in the labeling:

  • Clostridioides difficile-Associated Diarrhea (CDAD) [see Warnings and Precautions (5.1)]
  • Use with Polyurethane Condoms [see Warnings and Precautions (5.2)]
  • Vaginal Candida Infections [see Warnings and Precautions (5.3)]
7 Drug Interactions

4.1 Hypersensitivity

XACIATO is contraindicated in individuals with a history of hypersensitivity to clindamycin or lincomycin.  [see Adverse Reactions (6.2)] .

12.3 Pharmacokinetics

Clindamycin phosphate is a water-soluble ester prodrug of clindamycin. Biologically inactive clindamycin phosphate is converted to active clindamycin. Following a single intravaginal dose of 100 mg of XACIATO administered to 21 healthy female subjects, the arithmetic mean (range) peak plasma concentration was 69.2 ng/mL (3.8 to 236 ng/mL). The median (range) tmax occurred at 6 hours (4 to 96 hours). The mean Cmax of clindamycin for XACIATO was approximately 0.5% of that observed after the IV infusion of Clindamycin Phosphate in 0.9% Sodium Chloride, 900 mg clindamycin, every 8 hours.

1 Indications and Usage

1.1 Bacterial Vaginosis

XACIATO® is indicated for the treatment of bacterial vaginosis in females 12 years and older [see Use in Specific Populations (8.1) and Clinical Studies (14)].

12.1 Mechanism of Action

Clindamycin is an antibacterial drug [see Microbiology (12.4)].

5 Warnings and Precautions
  • Clostridioides difficile-Associated Diarrhea: Discontinue and evaluate if diarrhea occurs. (5.1)
  • Use with Polyurethane Condoms: Polyurethane condoms are not recommended during treatment with XACIATO or for 7 days following treatment. During this time period, polyurethane condoms may not be reliable for preventing pregnancy or for protecting against transmission of HIV and other sexually transmitted diseases. Latex or polyisoprene condoms should be used (5.2)
2 Dosage and Administration

The recommended dosage of XACIATO is one applicatorful (5 g of vaginal gel containing 100 mg of clindamycin) administered once intravaginally as a single dose at any time of the day [see Clinical Studies (14)]. Place the used tube with any remaining gel and used applicator in the container box and deposit in a trash container after use [see Instructions for Use].

XACIATO is not for ophthalmic, dermal, or oral use.

3 Dosage Forms and Strengths

Vaginal gel: 2% clindamycin (present as clindamycin phosphate) as a clear, colorless, viscous gel in an 8 g tube. One user-filled single-dose disposable applicator delivers 5 g of gel containing 100 mg of clindamycin.

5.1 Clostridioides Difficile

Clostridioides difficile-associated diarrhea (CDAD) has been reported with use of nearly all antibacterial agents, including clindamycin, and may range in severity from mild diarrhea to fatal colitis. Treatment with antibacterial agents alters the normal flora of the colon which can lead to overgrowth of C. difficile.

C. difficile produces toxins A and B which contribute to the development of CDAD. Hypertoxin producing strains of C. difficile cause increased morbidity and mortality, as these infections can be refractory to antimicrobial therapy and may require colectomy. CDAD must be considered in all patients who present with diarrhea following antibacterial use. Careful medical history is necessary since CDAD has been reported to occur over two months after the administration of antibacterial agents. Patients with inflammatory bowel disease, including ulcerative colitis and Crohn’s disease, have a higher risk of developing CDAD.

If CDAD is suspected or confirmed, ongoing antibacterial use not directed against C. difficile may need to be discontinued. Appropriate fluid and electrolyte management, protein supplementation, antibacterial treatment of C. difficile, and surgical evaluation should be instituted as clinically indicated  [see Adverse Reactions (6.2)] .

6.1 Clinical Trials Experience

Because clinical trials are conducted under widely varying conditions, adverse reaction rates observed in the clinical trials of a drug cannot be directly compared to rates in the clinical trials of another drug and may not reflect the rates observed in practice.

In the placebo-controlled trial (Trial 1), 202 patients with bacterial vaginosis were treated with a single dose of XACIATO, and 103 patients were treated with a single dose of placebo gel. The median age of the patients in the trial was 35 years (range 15-59 years). The population was 56% Black or African American and 41% White. Persons of Hispanic or Latino ethnicity made up 25% of the population. A history of prior bacterial vaginosis was noted in 89% of the population.

Most Common Adverse Reactions

Adverse reactions were reported by 76/202 (38%) of patients who received XACIATO and 28/103 (27%) of patients who received placebo in Trial 1. Table 1 displays the most common adverse reactions (occurring in >2% of patients and at a higher rate in the XACIATO group than in the placebo group) in Trial 1.

Table 1: Adverse Reactions Occurring in >2% of Patients Receiving XACIATO in Trial 1

Adverse Reaction

XACIATO

N=202

n (%)

Placebo

N=103

n (%)

Vulvovaginal candidiasis

35 (17)

4 (4)

Vulvovaginal discomfort

Vulvovaginal discomfort includes the terms vulvovaginal pruritus, vulvovaginal burning sensation, vulvovaginal erythema, vulvovaginal dryness, and vulvovaginal discomfort.

13 (6)

5 (5)

17 Patient Counseling Information

Advise the patient to read the FDA-approved patient labeling (Patient Information and Instructions for Use).

Vaginal Intercourse and Use with Vaginal Products

Instruct the patients not to engage in vaginal intercourse or use other vaginal products (such as tampons or douches) during treatment with XACIATO and for 3 days after using XACIATO.

Use with Polyurethane Condoms

Advise the patient that XACIATO may weaken polyurethane condoms. Therefore, use of polyurethane condoms concurrently or for 7 days following treatment with XACIATO is not recommended. During this time period polyurethane condoms may not be reliable for preventing pregnancy or for protecting against transmission of HIV and other sexually transmitted diseases. Latex or polyisoprene condoms should be used [see Warnings and Precautions (5.2)].

Vaginal Candida Infections

Inform the patient that vaginal yeast infections can occur following use of XACIATO and may require treatment with an antifungal drug [see Warnings and Precautions (5.3), Adverse Reactions (6.1)].

Distributed by: Organon LLC, a subsidiary of

ORGANON & Co.,

Jersey City, NJ 07302, USA

For patent information: www.organon.com/our-solutions/patent/

© 2025 Organon group of companies. All rights reserved.

uspi-og9423-gl-2512r001

5.2 Use With Polyurethane Condoms

XACIATO is not compatible with and may weaken polyurethane condoms; therefore, their use is not recommended during treatment with XACIATO or for 7 days following treatment. During this time period, polyurethane condoms may not be reliable for preventing pregnancy or for protecting against transmission of HIV and other sexually transmitted diseases. Latex or polyisoprene condoms should be used [see Use in Specific Populations (8.3)].

7.1 Neuromuscular Blocking Agents

Systemic clindamycin has neuromuscular blocking properties that may enhance the action of other neuromuscular blocking agents. Therefore, it should be used with caution in patients receiving such agents.

Principal Display Panel 8g Tube

NDC 78206-189-01

XACIATO®

(clindamycin phosphate) vaginal gel 2%

FOR INTRAVAGINAL USE ONLY

Not for ophthalmic, dermal, or oral use

Keep out of reach of children

Net Wt. 8 grams

Rx Only

6.2 Other Clindamycin Formulations

XACIATO affords low peak serum levels and systemic exposure of clindamycin compared to an oral or intravenous dose of clindamycin [see Clinical Pharmacology (12.3)]. Data from well-controlled trials directly comparing clindamycin administered orally to clindamycin administered vaginally are not available.

The following additional adverse reactions and altered laboratory tests have been reported with the oral or parenteral use of clindamycin:

Gastrointestinal: Abdominal pain, esophagitis, nausea, Clostridioides difficile-associated diarrhea [see Warnings and Precautions (5.1)].

Hematopoietic: Transient neutropenia (leukopenia), eosinophilia, agranulocytosis, and thrombocytopenia have been reported. No direct etiologic relationship to concurrent clindamycin therapy could be made in any of these reports.

Hypersensitivity Reactions: Maculopapular rash, vesiculobullous rash, and urticaria have been observed during drug therapy. Generalized mild to moderate morbilliform-like skin rashes are the most frequently reported of all adverse reactions. Cases of erythema multiforme, some resembling Stevens-Johnson syndrome, have been associated with clindamycin. A few cases of anaphylactoid reactions have been reported.

Liver: Jaundice and abnormalities in liver function tests have been observed during clindamycin therapy.

Musculoskeletal: Cases of polyarthritis have been reported.

Renal: Acute kidney injury.

Immune: Drug reaction with eosinophilia with systemic symptoms (DRESS) cases have been reported.

Principal Display Panel 8g Carton

NDC 78206-189-01

XACIATO®

(clindamycin phosphate) vaginal gel 2%

  • 8g tube with one (1) 5g applicator
  • Single-dose container
  • Discard unused portion

FOR INTRAVAGINAL USE ONLY

Not for ophthalmic, dermal, or oral use

Keep out of reach of children

RECOMMENDED DOSAGE: See Prescribing Information

ADMINISTRATION: See Instructions for Use

Rx Only

Net Wt. 8 grams

Delivering 5 grams

16 How Supplied/storage and Handling

XACIATO vaginal gel, 2% is a clear, colorless, viscous gel supplied in a carton containing one 8-gram tube of vaginal gel and one vaginal applicator. One single-dose, user-filled disposable applicator delivers 5 g of gel containing 100 mg of clindamycin. NDC 78206-189-01.

Store at 68ºF to 77ºF (20ºC to 25ºC); excursions permitted to 59ºF to 86ºF (15ºC to 30ºC). [See USP Controlled Room temperature].

8.3 Males and Females of Reproductive Potential

Contraception

XACIATO is not compatible with and may weaken polyurethane condoms; therefore, use of polyurethane condoms is not recommended during and for 7 days following treatment with XACIATO. Advise patients to use latex or polyisoprene condoms for contraception during and for 7 days following treatment with XACIATO [see Warnings and Precautions (5.2)].

13.1 Carcinogenesis, Mutagenesis, Impairment of Fertility

Carcinogenesis

Long term studies in animals to evaluate carcinogenic potential have not been performed with XACIATO, or the active ingredient, clindamycin phosphate.

Mutagenesis

The genotoxic potential of clindamycin has been evaluated in a rat micronucleus test and an Ames Salmonella reversion test. Both tests were negative.

Impairment of Fertility

Fertility studies in rats treated vaginally with 2 mg/day clindamycin phosphate (0.1g/day XACIATO) or orally with 300 mg/kg/day (doses that are approximately equivalent to or 29-times the MRHD based on BSA comparisons, respectively) revealed no effects on fertility or mating ability.


Structured Label Content

Section 42229-5 (42229-5)

INSTRUCTIONS FOR USE

XACIATO® [zah-she-AH-toe]

(clindamycin phosphate vaginal gel 2%)

For vaginal use only. Do not use in the eyes or mouth, or on your skin.

Read these Instructions for Use before you use XACIATO® and each time you get a refill as there may be new information. This information does not take the place of talking to your healthcare provider about your medical condition or treatment.

Important Information

  • Use XACIATO exactly as your healthcare provider tells you to use it.
  • Use 1 filled applicator of XACIATO gel in your vagina.
  • Do not use any medicine from the tube or applicator more than 1 time. The XACIATO gel is for 1 time (single-use) only.
  • Do not have vaginal sex or use vaginal products (such as tampons or douches) during treatment with XACIATO gel and for 3 days after using XACIATO gel.
  • Do not use polyurethane condoms during treatment with XACIATO gel and for 7 days after using XACIATO gel. XACIATO gel may weaken polyurethane condoms. Latex or polyisoprene condoms should be used.
  • If you have questions or if your vaginal symptoms do not go away, contact your healthcare provider.

How do I store XACIATO?

  • Store XACIATO gel at room temperature between 68ºF to 77ºF (20ºC to 25ºC).
  • Do not store in the refrigerator or freezer.

Store XACIATO gel and all medicines out of the reach of children.

Section 42230-3 (42230-3)

PATIENT INFORMATION

XACIATO® (zah-she-AH-toe)

(clindamycin phosphate)

vaginal gel

Important Information: XACIATO is for intravaginal use only. Do not use in the eyes, mouth, or on your skin.

What is XACIATO?

  • XACIATO vaginal gel is a prescription medicine used to treat bacterial vaginal infections in females 12 years of age and older.
  • It is not known if XACIATO is safe and effective in children under 12 years of age.

Do not use XACIATO if you are:

  • allergic to clindamycin or lincomycin.

Before using XACIATO, tell your healthcare provider about all of your medical conditions, including if you:

  • have inflammatory bowel disease, including ulcerative colitis and Crohn’s disease.
  • are pregnant or plan to become pregnant. It is not known if XACIATO will harm your unborn baby. Tell your healthcare provider if you become pregnant during treatment with XACIATO.
  • are breastfeeding or plan to breastfeed. The amount of XACIATO which passes into your breast milk is low and is not expected to harm your baby. Talk with your healthcare provider about the best way to feed your baby while using XACIATO.

Tell your healthcare provider about all the medicines you take, including prescription and over-the-counter medicines, vitamins, and herbal supplements.

How should I use XACIATO?

  • Use XACIATO exactly as your healthcare provider tells you to use it.
  • Use 1 filled applicator of XACIATO in the vagina.
  • Do not use any medicine from the tube or applicator more than 1 time. XACIATO is for 1 time (single-use) only.
  • Do not use in the eyes, mouth, or on your skin.
  • See the Instructions for Use at the end of this Patient Information leaflet for more information about how to fill the applicator and use XACIATO.

What should I avoid while using XACIATO?

After you insert XACIATO:

  • Do not have vaginal sex or use vaginal products (such as tampons or douches) during treatment with XACIATO and for 3 days after using XACIATO.
  • You should not use polyurethane condoms during treatment with XACIATO and for 7 days after using XACIATO. XACIATO may weaken polyurethane condoms and they may not work well for preventing pregnancy or protecting against Human Immunodeficiency Virus (HIV) and other sexually transmitted diseases (STDs). Latex or polyisoprene condoms should be used.

What are the possible side effects of XACIATO?

XACIATO may cause serious side effects, including diarrhea. One type of diarrhea is caused by an infection in your intestines called Clostridioides  difficile-associated diarrhea (CDAD), which may range in severity from mild diarrhea to colitis that can lead to death. If you have diarrhea after you use XACIATO, call your healthcare provider.

The most common side effects of XACIATO include:

  • Yeast infection in your vagina that may require treatment with an antifungal medicine.
  • Vaginal discomfort including itching, burning, redness and dryness.

Tell your healthcare provider if you have any side effect that bothers you or that does not go away. These are not all the possible side effects of XACIATO. For more information, ask your healthcare provider or pharmacist. 

Call your doctor for medical advice about side effects. You may report side effects to FDA at 1-800-FDA-1088.

How should I store XACIATO?

  • Store XACIATO at room temperature between 68ºF and 77ºF (20ºC to 25ºC).

Keep XACIATO and all medicines out of the reach of children.

General information about the safe and effective use of XACIATO.

Medicines are sometimes prescribed for purposes other than those listed in a Patient Information leaflet. Do not use XACIATO for a condition for which it was not prescribed. Do not give XACIATO to other people, even if they have the same symptoms that you have. It may harm them. You can ask your pharmacist or healthcare provider for information about XACIATO that is written for health professionals.

What are the ingredients in XACIATO?

Active ingredient: clindamycin phosphate

Inactive ingredients: benzyl alcohol, citric acid monohydrate or citric acid anhydrous, poloxamer 407, purified water, sodium citrate dihydrate and xanthan gum.

Distributed by: Organon LLC, a subsidiary of

ORGANON & Co.,

Jersey City, NJ 07302, USA

For patent information: www.organon.com/our-solutions/patent/

© 2025 Organon group of companies. All rights reserved.

For more information, go to www.xaciato.com or call 1-844-674-3200

usppi-og9423-gl-2512r001

This Patient Information has been approved by the U.S. Food and Drug Administration.    Revised: 12/2025

8.1 Pregnancy

Risk Summary

Other clindamycin vaginal products have been used to treat pregnant women during the second and third trimester. XACIATO has not been studied in pregnant women. However, based on the low systemic absorption of XACIATO following the intravaginal route of administration in nonpregnant women, maternal use is not likely to result in significant fetal exposure to the drug [see Clinical Pharmacology (12.3)]. Available data from published observational studies, based on first trimester exposure to oral and IV clindamycin, did not identify consistent increases in the rate of major birth defects. Available data from published observational studies and randomized controlled trials, based on second and third trimester exposure to oral and IV clindamycin, did not identify an increased risk of miscarriage or other adverse maternal or fetal outcomes. Most of the reported exposures to clindamycin occurred during the second and third trimesters of the pregnancy.

In animal reproduction studies, no adverse developmental outcomes were observed when XACIATO was vaginally administered to pregnant rats and rabbits during organogenesis at doses approximately equivalent to the recommended human dose. No evidence of any adverse developmental outcomes was observed when oral or subcutaneous doses of clindamycin were administered to pregnant rats and mice during organogenesis at doses 9 to 58 times the recommended human dose based on body surface area comparison (see Data).

The estimated background risk of major birth defects and miscarriage for the indicated population is unknown. All pregnancies have a background risk of birth defect, loss, or other adverse outcomes. In the U.S. general population, the estimated background risk of major birth defects and miscarriage in clinically recognized pregnancies is 2% to 4% and 15% to 20%, respectively.

Data

Animal Data

Reproduction studies performed during organogenesis in pregnant rats (gestational days 6-17) and rabbits (gestational days 7-19) administered vaginal XACIATO at 0.1 g and 1 g/day (2 mg and 20 mg clindamycin phosphate/day) showed no evidence of developmental toxicity. These doses are approximately equivalent to the applied recommended clinical dose based on g/cm2 vaginal surface area and body surface area (BSA) comparisons.

Reproduction studies performed during organogenesis (gestational days 6-15) in pregnant rats and mice that were administered oral doses of clindamycin up to 600 mg/kg/day (58 and 29 times, respectively, the recommended human dose based on a body surface area comparison) or subcutaneous doses of clindamycin up to 250 mg/kg/day (24- and 12-times, respectively, the MRHD based on BSA comparisons) revealed no evidence of teratogenicity.

Vaginal administration of XACIATO to pregnant/lactating female rats during a pre- and post-natal development (gestation day 6 through gestation day 21) study at 2 mg clindamycin phosphate/day had no adverse effects on dams or their offspring.

8.2 Lactation

Risk Summary

Systemic absorption following intravaginal administration of clindamycin is low; therefore, transfer of clindamycin into breastmilk is likely to be low and adverse effects on the breastfed infant are not expected [see Clinical Pharmacology (12.3)]. There are no data on the effect of clindamycin on milk production.

The developmental and health benefits of breastfeeding should be considered along with the mother's clinical need for clindamycin and any potential adverse effects on the breastfed child from clindamycin or from the underlying maternal condition.

11 Description (11 DESCRIPTION)

XACIATO vaginal gel contains clindamycin phosphate, a lincosamide antibacterial. The chemical name for clindamycin phosphate is methyl 7-chloro- 6,7,8-trideoxy-6-(1-methyl- trans-4-propyl-L-2-pyrrolidinecarboxamido)-1-thio-L- threo-(alpha)-D-galacto- octopyranoside 2-(dihydrogenphosphate). It has a molecular weight of 504.95, and the molecular formula is C18H34ClN2O8PS. The structural formula is represented below:

XACIATO is a clear, colorless, viscous gel, which contains clindamycin at a concentration of 2%. A single-dose user-filled disposable applicator delivers 5 g of vaginal gel containing 100 mg of clindamycin (present as 119 mg of clindamycin phosphate). The gel also contains benzyl alcohol, citric acid monohydrate or citric acid anhydrous, poloxamer 407, purified water, sodium citrate dihydrate, and xanthan gum.

12.4 Microbiology

Mechanism of Action

Clindamycin inhibits bacterial protein synthesis by binding to the 23S RNA of the 50S subunit of the ribosome. Clindamycin is predominantly bacteriostatic. Although clindamycin phosphate is inactive in vitro, rapid in vivo hydrolysis converts it to active clindamycin.

Resistance

Resistance to clindamycin is most often caused by modification of the target site on the ribosome, usually by chemical modification of RNA bases by point mutations in RNA or occasionally in proteins. Cross resistance has been demonstrated between lincosamides, macrolides and streptogramins B in some organisms. Cross resistance has been demonstrated between clindamycin and lincomycin.

Antibacterial Activity

Culture and sensitivity testing of bacteria are not routinely performed to establish the diagnosis of bacterial vaginosis [see Clinical Studies (14)]. Standard methodology for the susceptibility testing of the potential bacterial pathogens, Gardnerella vaginalis, Mobiluncus spp., or Mycoplasma hominis, has not been defined.

The following in vitro data are available, but their clinical significance is unknown. Clindamycin is active in vitro against most isolates of the following organisms reported to be associated with bacterial vaginosis:

Bacteroides spp.

Gardnerella vaginalis

Mobiluncus spp.

Mycoplasma  hominis

Peptostreptococcus spp.

8.4 Pediatric Use

The safety and effectiveness of XACIATO have been established in females aged 12 years and older for the treatment of bacterial vaginosis. Use of XACIATO for this indication is supported by the extrapolation of clinical trial data from adequate and well controlled clinical studies in adult women. The safety and effectiveness of XACIATO have not been established in pediatric patients younger than 12 years of age for the treatment of bacterial vaginosis.

8.5 Geriatric Use

Clinical studies with XACIATO did not include any subjects 65 years of age or older to determine whether they respond differently than younger subjects.

14 Clinical Studies (14 CLINICAL STUDIES)

The efficacy of XACIATO as a treatment of bacterial vaginosis (BV) in females 12 years of age and older was demonstrated in a randomized, double-blind, placebo-controlled clinical study (Trial 1, NCT04370548).  A single dose of XACIATO (clindamycin phosphate vaginal gel, 2%) was compared to a single dose of placebo vaginal gel (hydroxyethylcellulose [HEC] Universal Placebo Gel) for the treatment of BV. Patients were evaluated at 3 timepoints: a Day 1 Screening/Randomization visit, a Day 7 to 14 Interim Assessment visit, and a Day 21 to 30 Test of Cure visit. The total study duration was up to approximately 1 month for each individual patient.

To be eligible, patients had to have a clinical diagnosis of BV defined as an off-white (milky or gray), thin, homogeneous discharge with minimal or absent pruritus and inflammation of the vulva and vagina, clue cells > 20% of the total epithelial cells on microscopic examination of the saline wet mount, vaginal secretion pH of > 4.5, and a fishy odor of the vaginal discharge with the addition of a drop of 10% KOH (i.e., a positive whiff test).

The 307 patients were randomized in a 2:1 ratio, with 204 in the XACIATO group and 103 in the placebo group. The modified Intent-To-Treat (mITT) Population excluded women with a positive test result for other concomitant vaginal or cervical infections at baseline, including a positive vaginal culture for Candida spp. or who had a baseline Nugent score of < 7.

Clinical Cure was defined as resolution of the abnormal vaginal discharge associated with BV, a negative 10% KOH whiff test, and clue cells < 20% of the total epithelial cells in the saline wet mount. Bacteriological Cure was defined as a Nugent score < 4. Therapeutic Cure was defined as the presence of both a Clinical Cure and Bacteriological Cure.

In the mITT population, a statistically significantly greater percentage of patients experienced Clinical Cure, Bacteriological Cure, and Therapeutic Cure at the Test of Cure (Day 21-30) visit in the XACIATO arm compared to placebo (Table 2). Statistically significant results for the endpoints were also achieved at the Interim Assessment visit (Day 7-14).

Table 2: Summary of Clinical Cure, Bacteriological Cure, and Therapeutic Cure (Modified Intent-to-Treat Population) in Trial 1

Interim Assessment visit (day 7-14)

Test of Cure visit (day 21-30)

Parameter

XACIATO

(N = 122)

n (%)

Placebo

(N = 59)

n (%)

Treatment

Difference (%)

[95% Confidence

Interval]

XACIATO

(N = 122)

n (%)

Placebo

(N = 59)

n (%)

Treatment Difference (%)

[95% Confidence Interval]

Clinical Cure

93 (76.2)

14 (23.7)

52.5 (38.0, 67.0)

86 (70.5)

21 (35.6)

34.9 (19.0, 50.8)

Bacteriological Cure

50 (41.0)

2 (3.4)

37.6 (26.5, 48.7)

53 (43.4)

3 (5.1)

38.4 (26.7, 50.1)

Therapeutic Cure

43 (35.2)

0

35.2 (25.5, 45.0)

45 (36.9)

3 (5.1)

31.8 (20.3, 43.3)

All P-values for differences between treatment groups were <0.001 (from Cochran-Mantel-Haenszel test with strata of study site and race - African American or all other races).

The percentage of patients with Clinical Cure at the Test of Cure visit was also significantly higher in the XACIATO group compared to the placebo group among the subsets of patients defined by prior episodes of bacterial vaginosis (≤ 3 episodes and >3 episodes in the previous 12 months) at 71.3% (72/101) for XACIATO and 39.1% (18/46) placebo, and 70.0% (14/20) for XACIATO and 23.1% (3/13) placebo, respectively.

4 Contraindications (4 CONTRAINDICATIONS)

History of hypersensitivity to clindamycin or lincomycin. (4.1)

5.3 Vaginal Candida

XACIATO may result in the overgrowth of Candida spp. in the vagina resulting in vulvovaginal candidiasis which may require antifungal treatment [see Adverse Reactions (6.1)].

6 Adverse Reactions (6 ADVERSE REACTIONS)

The following clinically significant adverse reactions are described elsewhere in the labeling:

  • Clostridioides difficile-Associated Diarrhea (CDAD) [see Warnings and Precautions (5.1)]
  • Use with Polyurethane Condoms [see Warnings and Precautions (5.2)]
  • Vaginal Candida Infections [see Warnings and Precautions (5.3)]
7 Drug Interactions (7 DRUG INTERACTIONS)

4.1 Hypersensitivity

XACIATO is contraindicated in individuals with a history of hypersensitivity to clindamycin or lincomycin.  [see Adverse Reactions (6.2)] .

12.3 Pharmacokinetics

Clindamycin phosphate is a water-soluble ester prodrug of clindamycin. Biologically inactive clindamycin phosphate is converted to active clindamycin. Following a single intravaginal dose of 100 mg of XACIATO administered to 21 healthy female subjects, the arithmetic mean (range) peak plasma concentration was 69.2 ng/mL (3.8 to 236 ng/mL). The median (range) tmax occurred at 6 hours (4 to 96 hours). The mean Cmax of clindamycin for XACIATO was approximately 0.5% of that observed after the IV infusion of Clindamycin Phosphate in 0.9% Sodium Chloride, 900 mg clindamycin, every 8 hours.

1 Indications and Usage (1 INDICATIONS AND USAGE)

1.1 Bacterial Vaginosis

XACIATO® is indicated for the treatment of bacterial vaginosis in females 12 years and older [see Use in Specific Populations (8.1) and Clinical Studies (14)].

12.1 Mechanism of Action

Clindamycin is an antibacterial drug [see Microbiology (12.4)].

5 Warnings and Precautions (5 WARNINGS AND PRECAUTIONS)
  • Clostridioides difficile-Associated Diarrhea: Discontinue and evaluate if diarrhea occurs. (5.1)
  • Use with Polyurethane Condoms: Polyurethane condoms are not recommended during treatment with XACIATO or for 7 days following treatment. During this time period, polyurethane condoms may not be reliable for preventing pregnancy or for protecting against transmission of HIV and other sexually transmitted diseases. Latex or polyisoprene condoms should be used (5.2)
2 Dosage and Administration (2 DOSAGE AND ADMINISTRATION)

The recommended dosage of XACIATO is one applicatorful (5 g of vaginal gel containing 100 mg of clindamycin) administered once intravaginally as a single dose at any time of the day [see Clinical Studies (14)]. Place the used tube with any remaining gel and used applicator in the container box and deposit in a trash container after use [see Instructions for Use].

XACIATO is not for ophthalmic, dermal, or oral use.

3 Dosage Forms and Strengths (3 DOSAGE FORMS AND STRENGTHS)

Vaginal gel: 2% clindamycin (present as clindamycin phosphate) as a clear, colorless, viscous gel in an 8 g tube. One user-filled single-dose disposable applicator delivers 5 g of gel containing 100 mg of clindamycin.

5.1 Clostridioides Difficile (5.1 Clostridioides difficile)

Clostridioides difficile-associated diarrhea (CDAD) has been reported with use of nearly all antibacterial agents, including clindamycin, and may range in severity from mild diarrhea to fatal colitis. Treatment with antibacterial agents alters the normal flora of the colon which can lead to overgrowth of C. difficile.

C. difficile produces toxins A and B which contribute to the development of CDAD. Hypertoxin producing strains of C. difficile cause increased morbidity and mortality, as these infections can be refractory to antimicrobial therapy and may require colectomy. CDAD must be considered in all patients who present with diarrhea following antibacterial use. Careful medical history is necessary since CDAD has been reported to occur over two months after the administration of antibacterial agents. Patients with inflammatory bowel disease, including ulcerative colitis and Crohn’s disease, have a higher risk of developing CDAD.

If CDAD is suspected or confirmed, ongoing antibacterial use not directed against C. difficile may need to be discontinued. Appropriate fluid and electrolyte management, protein supplementation, antibacterial treatment of C. difficile, and surgical evaluation should be instituted as clinically indicated  [see Adverse Reactions (6.2)] .

6.1 Clinical Trials Experience

Because clinical trials are conducted under widely varying conditions, adverse reaction rates observed in the clinical trials of a drug cannot be directly compared to rates in the clinical trials of another drug and may not reflect the rates observed in practice.

In the placebo-controlled trial (Trial 1), 202 patients with bacterial vaginosis were treated with a single dose of XACIATO, and 103 patients were treated with a single dose of placebo gel. The median age of the patients in the trial was 35 years (range 15-59 years). The population was 56% Black or African American and 41% White. Persons of Hispanic or Latino ethnicity made up 25% of the population. A history of prior bacterial vaginosis was noted in 89% of the population.

Most Common Adverse Reactions

Adverse reactions were reported by 76/202 (38%) of patients who received XACIATO and 28/103 (27%) of patients who received placebo in Trial 1. Table 1 displays the most common adverse reactions (occurring in >2% of patients and at a higher rate in the XACIATO group than in the placebo group) in Trial 1.

Table 1: Adverse Reactions Occurring in >2% of Patients Receiving XACIATO in Trial 1

Adverse Reaction

XACIATO

N=202

n (%)

Placebo

N=103

n (%)

Vulvovaginal candidiasis

35 (17)

4 (4)

Vulvovaginal discomfort

Vulvovaginal discomfort includes the terms vulvovaginal pruritus, vulvovaginal burning sensation, vulvovaginal erythema, vulvovaginal dryness, and vulvovaginal discomfort.

13 (6)

5 (5)

17 Patient Counseling Information (17 PATIENT COUNSELING INFORMATION)

Advise the patient to read the FDA-approved patient labeling (Patient Information and Instructions for Use).

Vaginal Intercourse and Use with Vaginal Products

Instruct the patients not to engage in vaginal intercourse or use other vaginal products (such as tampons or douches) during treatment with XACIATO and for 3 days after using XACIATO.

Use with Polyurethane Condoms

Advise the patient that XACIATO may weaken polyurethane condoms. Therefore, use of polyurethane condoms concurrently or for 7 days following treatment with XACIATO is not recommended. During this time period polyurethane condoms may not be reliable for preventing pregnancy or for protecting against transmission of HIV and other sexually transmitted diseases. Latex or polyisoprene condoms should be used [see Warnings and Precautions (5.2)].

Vaginal Candida Infections

Inform the patient that vaginal yeast infections can occur following use of XACIATO and may require treatment with an antifungal drug [see Warnings and Precautions (5.3), Adverse Reactions (6.1)].

Distributed by: Organon LLC, a subsidiary of

ORGANON & Co.,

Jersey City, NJ 07302, USA

For patent information: www.organon.com/our-solutions/patent/

© 2025 Organon group of companies. All rights reserved.

uspi-og9423-gl-2512r001

5.2 Use With Polyurethane Condoms (5.2 Use with Polyurethane Condoms)

XACIATO is not compatible with and may weaken polyurethane condoms; therefore, their use is not recommended during treatment with XACIATO or for 7 days following treatment. During this time period, polyurethane condoms may not be reliable for preventing pregnancy or for protecting against transmission of HIV and other sexually transmitted diseases. Latex or polyisoprene condoms should be used [see Use in Specific Populations (8.3)].

7.1 Neuromuscular Blocking Agents

Systemic clindamycin has neuromuscular blocking properties that may enhance the action of other neuromuscular blocking agents. Therefore, it should be used with caution in patients receiving such agents.

Principal Display Panel 8g Tube (PRINCIPAL DISPLAY PANEL - 8g Tube)

NDC 78206-189-01

XACIATO®

(clindamycin phosphate) vaginal gel 2%

FOR INTRAVAGINAL USE ONLY

Not for ophthalmic, dermal, or oral use

Keep out of reach of children

Net Wt. 8 grams

Rx Only

6.2 Other Clindamycin Formulations

XACIATO affords low peak serum levels and systemic exposure of clindamycin compared to an oral or intravenous dose of clindamycin [see Clinical Pharmacology (12.3)]. Data from well-controlled trials directly comparing clindamycin administered orally to clindamycin administered vaginally are not available.

The following additional adverse reactions and altered laboratory tests have been reported with the oral or parenteral use of clindamycin:

Gastrointestinal: Abdominal pain, esophagitis, nausea, Clostridioides difficile-associated diarrhea [see Warnings and Precautions (5.1)].

Hematopoietic: Transient neutropenia (leukopenia), eosinophilia, agranulocytosis, and thrombocytopenia have been reported. No direct etiologic relationship to concurrent clindamycin therapy could be made in any of these reports.

Hypersensitivity Reactions: Maculopapular rash, vesiculobullous rash, and urticaria have been observed during drug therapy. Generalized mild to moderate morbilliform-like skin rashes are the most frequently reported of all adverse reactions. Cases of erythema multiforme, some resembling Stevens-Johnson syndrome, have been associated with clindamycin. A few cases of anaphylactoid reactions have been reported.

Liver: Jaundice and abnormalities in liver function tests have been observed during clindamycin therapy.

Musculoskeletal: Cases of polyarthritis have been reported.

Renal: Acute kidney injury.

Immune: Drug reaction with eosinophilia with systemic symptoms (DRESS) cases have been reported.

Principal Display Panel 8g Carton (PRINCIPAL DISPLAY PANEL - 8g Carton)

NDC 78206-189-01

XACIATO®

(clindamycin phosphate) vaginal gel 2%

  • 8g tube with one (1) 5g applicator
  • Single-dose container
  • Discard unused portion

FOR INTRAVAGINAL USE ONLY

Not for ophthalmic, dermal, or oral use

Keep out of reach of children

RECOMMENDED DOSAGE: See Prescribing Information

ADMINISTRATION: See Instructions for Use

Rx Only

Net Wt. 8 grams

Delivering 5 grams

16 How Supplied/storage and Handling (16 HOW SUPPLIED/STORAGE AND HANDLING)

XACIATO vaginal gel, 2% is a clear, colorless, viscous gel supplied in a carton containing one 8-gram tube of vaginal gel and one vaginal applicator. One single-dose, user-filled disposable applicator delivers 5 g of gel containing 100 mg of clindamycin. NDC 78206-189-01.

Store at 68ºF to 77ºF (20ºC to 25ºC); excursions permitted to 59ºF to 86ºF (15ºC to 30ºC). [See USP Controlled Room temperature].

8.3 Males and Females of Reproductive Potential

Contraception

XACIATO is not compatible with and may weaken polyurethane condoms; therefore, use of polyurethane condoms is not recommended during and for 7 days following treatment with XACIATO. Advise patients to use latex or polyisoprene condoms for contraception during and for 7 days following treatment with XACIATO [see Warnings and Precautions (5.2)].

13.1 Carcinogenesis, Mutagenesis, Impairment of Fertility

Carcinogenesis

Long term studies in animals to evaluate carcinogenic potential have not been performed with XACIATO, or the active ingredient, clindamycin phosphate.

Mutagenesis

The genotoxic potential of clindamycin has been evaluated in a rat micronucleus test and an Ames Salmonella reversion test. Both tests were negative.

Impairment of Fertility

Fertility studies in rats treated vaginally with 2 mg/day clindamycin phosphate (0.1g/day XACIATO) or orally with 300 mg/kg/day (doses that are approximately equivalent to or 29-times the MRHD based on BSA comparisons, respectively) revealed no effects on fertility or mating ability.


Advanced Ingredient Data


Raw Label Data

All Sections (JSON)