These Highlights Do Not Include All The Information Needed To Use Heparin Sodium In Sodium Chloride Injection Safely And Effectively. See Full Prescribing Information For Heparin Sodium In Sodium Chloride Injection.

These Highlights Do Not Include All The Information Needed To Use Heparin Sodium In Sodium Chloride Injection Safely And Effectively. See Full Prescribing Information For Heparin Sodium In Sodium Chloride Injection.
SPL v30
SPL
SPL Set ID 0413f511-6b34-4c15-e48b-3fad08baacbe
Route
INTRAVENOUS
Published
Effective Date 2024-09-28
Document Type 34391-3 HUMAN PRESCRIPTION DRUG LABEL

Drug Facts

Composition & Product

Active Ingredients
Heparin (10000 [USP'U])
Inactive Ingredients
Sodium Chloride Edetate Disodium Anhydrous Sodium Hydroxide Hydrochloric Acid Water

Identifiers & Packaging

Marketing Status
NDA Active Since 2023-01-03 Until 2023-06-01

Description

Warnings and Precautions, Unresponsiveness to Heparin with Concomitant Use with Andexanet Alfa ( 5.4 ) 11/2025

Indications and Usage

HEPARIN SODIUM IN SODIUM CHLORIDE INJECTION is indicated for: • Prophylaxis and treatment of venous thrombosis and pulmonary embolism; • Prophylaxis and treatment of thromboembolic complications associated with atrial fibrillation; • Treatment of acute and chronic consumption coagulopathies (disseminated intravascular coagulation); • Prevention of clotting in arterial and cardiac surgery; • Prophylaxis and treatment of peripheral arterial embolism; • Anticoagulant use in blood transfusions, extracorporeal circulation, and dialysis procedures.

Dosage and Administration

Recommended Adult Dosages: • Therapeutic Anticoagulant Effect with Full-Dose Heparin* ( 2.3 ) Intermittent Intravenous Injection Initial Dose 10,000 Units Every 4 to 6 hours 5,000 Units to 10,000 Units Continuous Intravenous Infusion Initial Dose 5,000 Units Continuous 20,000 Units to 40,000 Units/24 hours *Based on 150 lb (68 kg) patient. • Cardiovascular Surgery ( 2.5 ) Intravascular via Total Body Perfusion Initial Dose Not less than 150 units/kg; adjust for longer procedures • Extracorporeal Dialysis ( 2.8 ) For pediatric dosing see section 2.4 of full prescribing information. Intravascular via Extracorporeal Dialysis Follow equipment manufacturer's operating directions carefully.

Warnings and Precautions

• Fatal Medication Errors: Confirm choice of correct strength prior to administration ( 5.1 ) • Hemorrhage: Fatal cases have occurred. Use caution in conditions with increased risk of hemorrhage ( 5.2 ) • HIT (With or Without Thrombosis): Monitor for signs and symptoms and discontinue if indicative of HIT (With or Without Thrombosis) ( 5.3 ) • Monitoring: Blood coagulation tests guide therapy for full-dose heparin. Monitor platelet count and hematocrit in all patients receiving heparin ( 5.6 ) • Hyperkalemia: Measure blood potassium in patients at risk of hyperkalemia before starting heparin therapy and periodically in all patients ( 5.9 )

Contraindications

The use of heparin sodium is contraindicated in patients: • With history of heparin-induced thrombocytopenia (HIT) (With or Without Thrombosis) [see Warnings and Precautions (5.3) ] • With a known hypersensitivity to heparin or pork products (e.g., anaphylactoid reactions) [see Adverse Reactions (6.1) ] • In whom suitable blood coagulation tests (e.g., the whole blood clotting time, partial thromboplastin time, etc.) cannot be performed at appropriate intervals (this contraindication refers to full-dose heparin; there is usually no need to monitor coagulation parameters in patients receiving low-dose heparin) [see Warnings and Precautions (5.6) ] • With an uncontrollable active bleeding state [see Warnings and Precautions (5.6) ] , except when treating disseminated intravascular coagulation

Adverse Reactions

The following clinically significant adverse reactions are described elsewhere in the labeling: • Fatal Medication Errors [see Warnings and Precautions (5.1) ] • Hemorrhage [see Warnings and Precautions (5.2) ] • Heparin-induced Thrombocytopenia (HIT) (With or Without Thrombosis) [see Warnings and Precautions (5.3) ] • Thrombocytopenia [see Warnings and Precautions (5.5) ] • Heparin Resistance [see Warnings and Precautions (5.7) ] • Hypersensitivity Reactions [see Warnings and Precautions (5.8) ] • Hyperkalemia [see Warnings and Precautions (5.9) ]

Drug Interactions

• Drugs that interfere with coagulation, platelet aggregation or drugs that counteract coagulation may induce bleeding ( 7 ) • Andexanet alfa may reduce the efficacy of heparin when used concomitantly ( 7.3 )

Storage and Handling

HEPARIN SODIUM IN 0.45% SODIUM CHLORIDE INJECTION is a clear solution and is supplied in single-dose flexible plastic containers in varied sizes and concentrations as shown in the accompanying Table. Unit of Sale Concentration NDC 0409-7650-62 Case of 24 Single-dose flexible plastic containers 25,000 USP Units/250 mL (100 USP Units/mL) NDC 0409-7650-30 Case of 30 Single-dose flexible plastic containers 25,000 USP Units/250 mL (100 USP Units/mL) NDC 0409-7651-62 Case of 24 Single-dose flexible plastic containers 12,500 USP Units/250 mL (50 USP Units/mL) NDC 0409-0012-30 Case of 30 Single-dose flexible plastic containers 12,500 USP Units/250 mL (50 USP Units/mL) NDC 0409-7651-03 Case of 24 Single-dose flexible plastic containers 25,000 USP Units/500 mL (50 USP Units/mL) NDC 0409-3150-20 Case of 20 Single-dose flexible plastic containers 25,000 USP Units/500 mL (50 USP Units/mL) Store at 20°C to 25°C (68°F to 77°F). [See USP Controlled Room Temperature.] Protect from freezing.

How Supplied

HEPARIN SODIUM IN 0.45% SODIUM CHLORIDE INJECTION is a clear solution and is supplied in single-dose flexible plastic containers in varied sizes and concentrations as shown in the accompanying Table. Unit of Sale Concentration NDC 0409-7650-62 Case of 24 Single-dose flexible plastic containers 25,000 USP Units/250 mL (100 USP Units/mL) NDC 0409-7650-30 Case of 30 Single-dose flexible plastic containers 25,000 USP Units/250 mL (100 USP Units/mL) NDC 0409-7651-62 Case of 24 Single-dose flexible plastic containers 12,500 USP Units/250 mL (50 USP Units/mL) NDC 0409-0012-30 Case of 30 Single-dose flexible plastic containers 12,500 USP Units/250 mL (50 USP Units/mL) NDC 0409-7651-03 Case of 24 Single-dose flexible plastic containers 25,000 USP Units/500 mL (50 USP Units/mL) NDC 0409-3150-20 Case of 20 Single-dose flexible plastic containers 25,000 USP Units/500 mL (50 USP Units/mL) Store at 20°C to 25°C (68°F to 77°F). [See USP Controlled Room Temperature.] Protect from freezing.


Medication Information

Warnings and Precautions

• Fatal Medication Errors: Confirm choice of correct strength prior to administration ( 5.1 ) • Hemorrhage: Fatal cases have occurred. Use caution in conditions with increased risk of hemorrhage ( 5.2 ) • HIT (With or Without Thrombosis): Monitor for signs and symptoms and discontinue if indicative of HIT (With or Without Thrombosis) ( 5.3 ) • Monitoring: Blood coagulation tests guide therapy for full-dose heparin. Monitor platelet count and hematocrit in all patients receiving heparin ( 5.6 ) • Hyperkalemia: Measure blood potassium in patients at risk of hyperkalemia before starting heparin therapy and periodically in all patients ( 5.9 )

Indications and Usage

HEPARIN SODIUM IN SODIUM CHLORIDE INJECTION is indicated for: • Prophylaxis and treatment of venous thrombosis and pulmonary embolism; • Prophylaxis and treatment of thromboembolic complications associated with atrial fibrillation; • Treatment of acute and chronic consumption coagulopathies (disseminated intravascular coagulation); • Prevention of clotting in arterial and cardiac surgery; • Prophylaxis and treatment of peripheral arterial embolism; • Anticoagulant use in blood transfusions, extracorporeal circulation, and dialysis procedures.

Dosage and Administration

Recommended Adult Dosages: • Therapeutic Anticoagulant Effect with Full-Dose Heparin* ( 2.3 ) Intermittent Intravenous Injection Initial Dose 10,000 Units Every 4 to 6 hours 5,000 Units to 10,000 Units Continuous Intravenous Infusion Initial Dose 5,000 Units Continuous 20,000 Units to 40,000 Units/24 hours *Based on 150 lb (68 kg) patient. • Cardiovascular Surgery ( 2.5 ) Intravascular via Total Body Perfusion Initial Dose Not less than 150 units/kg; adjust for longer procedures • Extracorporeal Dialysis ( 2.8 ) For pediatric dosing see section 2.4 of full prescribing information. Intravascular via Extracorporeal Dialysis Follow equipment manufacturer's operating directions carefully.

Contraindications

The use of heparin sodium is contraindicated in patients: • With history of heparin-induced thrombocytopenia (HIT) (With or Without Thrombosis) [see Warnings and Precautions (5.3) ] • With a known hypersensitivity to heparin or pork products (e.g., anaphylactoid reactions) [see Adverse Reactions (6.1) ] • In whom suitable blood coagulation tests (e.g., the whole blood clotting time, partial thromboplastin time, etc.) cannot be performed at appropriate intervals (this contraindication refers to full-dose heparin; there is usually no need to monitor coagulation parameters in patients receiving low-dose heparin) [see Warnings and Precautions (5.6) ] • With an uncontrollable active bleeding state [see Warnings and Precautions (5.6) ] , except when treating disseminated intravascular coagulation

Adverse Reactions

The following clinically significant adverse reactions are described elsewhere in the labeling: • Fatal Medication Errors [see Warnings and Precautions (5.1) ] • Hemorrhage [see Warnings and Precautions (5.2) ] • Heparin-induced Thrombocytopenia (HIT) (With or Without Thrombosis) [see Warnings and Precautions (5.3) ] • Thrombocytopenia [see Warnings and Precautions (5.5) ] • Heparin Resistance [see Warnings and Precautions (5.7) ] • Hypersensitivity Reactions [see Warnings and Precautions (5.8) ] • Hyperkalemia [see Warnings and Precautions (5.9) ]

Drug Interactions

• Drugs that interfere with coagulation, platelet aggregation or drugs that counteract coagulation may induce bleeding ( 7 ) • Andexanet alfa may reduce the efficacy of heparin when used concomitantly ( 7.3 )

Storage and Handling

HEPARIN SODIUM IN 0.45% SODIUM CHLORIDE INJECTION is a clear solution and is supplied in single-dose flexible plastic containers in varied sizes and concentrations as shown in the accompanying Table. Unit of Sale Concentration NDC 0409-7650-62 Case of 24 Single-dose flexible plastic containers 25,000 USP Units/250 mL (100 USP Units/mL) NDC 0409-7650-30 Case of 30 Single-dose flexible plastic containers 25,000 USP Units/250 mL (100 USP Units/mL) NDC 0409-7651-62 Case of 24 Single-dose flexible plastic containers 12,500 USP Units/250 mL (50 USP Units/mL) NDC 0409-0012-30 Case of 30 Single-dose flexible plastic containers 12,500 USP Units/250 mL (50 USP Units/mL) NDC 0409-7651-03 Case of 24 Single-dose flexible plastic containers 25,000 USP Units/500 mL (50 USP Units/mL) NDC 0409-3150-20 Case of 20 Single-dose flexible plastic containers 25,000 USP Units/500 mL (50 USP Units/mL) Store at 20°C to 25°C (68°F to 77°F). [See USP Controlled Room Temperature.] Protect from freezing.

How Supplied

HEPARIN SODIUM IN 0.45% SODIUM CHLORIDE INJECTION is a clear solution and is supplied in single-dose flexible plastic containers in varied sizes and concentrations as shown in the accompanying Table. Unit of Sale Concentration NDC 0409-7650-62 Case of 24 Single-dose flexible plastic containers 25,000 USP Units/250 mL (100 USP Units/mL) NDC 0409-7650-30 Case of 30 Single-dose flexible plastic containers 25,000 USP Units/250 mL (100 USP Units/mL) NDC 0409-7651-62 Case of 24 Single-dose flexible plastic containers 12,500 USP Units/250 mL (50 USP Units/mL) NDC 0409-0012-30 Case of 30 Single-dose flexible plastic containers 12,500 USP Units/250 mL (50 USP Units/mL) NDC 0409-7651-03 Case of 24 Single-dose flexible plastic containers 25,000 USP Units/500 mL (50 USP Units/mL) NDC 0409-3150-20 Case of 20 Single-dose flexible plastic containers 25,000 USP Units/500 mL (50 USP Units/mL) Store at 20°C to 25°C (68°F to 77°F). [See USP Controlled Room Temperature.] Protect from freezing.

Description

Warnings and Precautions, Unresponsiveness to Heparin with Concomitant Use with Andexanet Alfa ( 5.4 ) 11/2025

Section 42229-5

Delayed Onset of HIT (With or Without Thrombosis): Heparin-induced Thrombocytopenia (HIT) (With or Without Thrombosis) can occur up to several weeks after the discontinuation of heparin therapy. Patients presenting with thrombocytopenia or thrombosis after discontinuation of heparin should be evaluated for HIT (With or Without Thrombosis).

Section 43683-2

Warnings and Precautions, Unresponsiveness to Heparin with

Concomitant Use with Andexanet Alfa (5.4)

11/2025

8.1 Pregnancy

Risk Summary

There are no available data on HEPARIN SODIUM IN SODIUM CHLORIDE INJECTION use in pregnant women to inform a drug-associated risk of major birth defects and miscarriage. In published reports, heparin exposure during pregnancy did not show evidence of an increased risk of adverse maternal or fetal outcomes in humans. No teratogenicity, but early embryo-fetal death was observed in animal reproduction studies with administration of heparin sodium to pregnant rats and rabbits during organogenesis at doses up to 10,000 USP Units/kg/day, approximately 10 times the maximum recommended human dose (MRHD) of 40,000 USP Units/24 hours infusion (see Data). Consider the benefits and risks of HEPARIN SODIUM IN SODIUM CHLORIDE INJECTION to a pregnant woman and possible risks to the fetus when prescribing HEPARIN SODIUM IN SODIUM CHLORIDE INJECTION.

The estimated background risk of major birth defects and miscarriage for the indicated population is unknown. All pregnancies have a risk of birth defect, loss, or other adverse outcomes. In the U.S. general population, the estimated background risk of major birth defects and miscarriage in clinically recognized pregnancies is 2-4% and 15-20%, respectively.

Data

Human Data

The maternal and fetal outcomes associated with uses of heparin via various dosing methods and administration routes during pregnancy have been investigated in numerous studies. These studies generally reported normal deliveries with no maternal or fetal bleeding and no other complications.

Animal Data

In a published study conducted in rats and rabbits, pregnant animals received heparin intravenously during organogenesis at a dose of 10,000 USP Units/kg/day, approximately 10 times the maximum human daily dose based on body weight. The number of early resorptions increased in both species. There was no evidence of teratogenic effects.

8.2 Lactation

Risk Summary

There is no information regarding the presence of HEPARIN SODIUM IN SODIUM CHLORIDE INJECTION in human milk, the effects on the breastfed child, or the effects on milk production. Due to its large molecular weight, heparin is not likely to be excreted in human milk, and any heparin in milk would not be orally absorbed by a nursing child. The developmental and health benefits of breastfeeding should be considered along with the mother's clinical need for HEPARIN SODIUM IN SODIUM CHLORIDE INJECTION and any potential adverse effects on the breastfed child from HEPARIN SODIUM IN SODIUM CHLORIDE INJECTION or from the underlying maternal condition [see Use in Specific Populations (8.4)].

11 Description

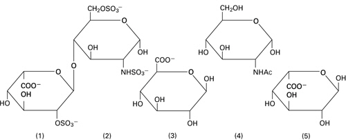
Heparin is a heterogeneous group of straight-chain anionic mucopolysaccharides, called glycosaminoglycans possessing anticoagulant properties. It is composed of polymers of alternating derivations of α-D-glucosamido (N-Sulfated O-Sulfated or N-acetylated) and O-sulfated uronic acid (α-L-iduronic acid or β-D-glucoronic acid).

Structure of Heparin Sodium (representative subunits):

HEPARIN SODIUM IN SODIUM CHLORIDE INJECTION is a sterile preparation of heparin sodium (derived from porcine intestinal mucosa) for intravenous administration. It contains no bacteriostatic or antimicrobial agent or added buffer. The solution may contain sodium hydroxide and/or hydrochloric acid for pH adjustment. The pH range is 6.1 (5.0 – 7.5) and the osmolarity mOsmol/L (calc.) is 155. The potency is determined by a biological assay using a USP reference standard based on units of heparin activity per milligram.

Each mL of the 50 USP Units per mL preparations contains: 50 USP Units of heparin sodium, 4.5 mg sodium chloride and 0.1 mg edetate disodium, anhydrous added as a stabilizer.

Each mL of the 100 USP Units per mL preparations contains: 100 USP Units of heparin sodium, 4.5 mg sodium chloride and 0.1 mg edetate disodium, anhydrous added as a stabilizer.

5.2 Hemorrhage

Hemorrhage, including fatal events, has occurred in patients receiving heparin sodium. Avoid using heparin in the presence of major bleeding, except when the benefits of heparin therapy outweigh the potential risks.

Hemorrhage can occur at virtually any site in patients receiving heparin. Adrenal hemorrhage (with resultant acute adrenal insufficiency), ovarian hemorrhage, and retroperitoneal hemorrhage have occurred during anticoagulant therapy with heparin [see Adverse Reactions (6.1)]. A higher incidence of bleeding has been reported in patients, particularly women, over 60 years of age [see Clinical Pharmacology (12.3)]. These patients may require a lower dose. An unexplained fall in hematocrit or fall in blood pressure should lead to serious consideration of a hemorrhagic event.

Use heparin sodium with caution in disease states in which there is increased risk of hemorrhage, including:

  • Cardiovascular — Subacute bacterial endocarditis. Severe hypertension.
  • Surgical — During and immediately following (a) spinal tap or spinal anesthesia or (b) major surgery, especially involving the brain, spinal cord or eye.
  • Hematologic — Conditions associated with increased bleeding tendencies, such as hemophilia, thrombocytopenia and some vascular purpuras.
  • Patients with hereditary antithrombin III deficiency receiving concurrent antithrombin III therapy – The anticoagulant effect of heparin is enhanced by concurrent treatment with antithrombin III (human) in patients with hereditary antithrombin III deficiency. To reduce the risk of bleeding, reduce the heparin dose during concomitant treatment with antithrombin III (human).
  • Gastrointestinal — Ulcerative lesions and continuous tube drainage of the stomach or small intestine.
  • Other — Menstruation, liver disease with impaired hemostasis.
5.9 Hyperkalemia

Heparin can suppress adrenal secretion of aldosterone leading to hyperkalemia, particularly in patients with diabetes mellitus, chronic renal failure, pre-existing metabolic acidosis, a raised plasma potassium, or taking potassium sparing drugs. The risk of hyperkalemia appears to increase with duration of therapy but is usually reversible upon discontinuation of heparin.

Measure blood potassium in patients at risk of hyperkalemia before starting heparin therapy and periodically in all patients treated for more than 5 days or earlier as deemed fit by the clinician.

2.4 Pediatric Use

There are no adequate and well-controlled studies on heparin use in pediatric patients. Pediatric dosing recommendations are based on clinical experience. In general, the following dosage schedule may be used as a guideline in pediatric patients:

Initial Dose

75 units/kg to 100 units/kg (intravenous bolus over 10 minutes)

Maintenance Dose

Infants: 25 units/kg/hour to 30 units/kg/hour (continuous intravenous infusion);

Infants less than 2 months have the highest requirements (average 28 units/kg/hour)

Children greater than 1 year of age: 18 units/kg/hour to 20 units/kg/hour (continuous intravenous infusion);

Older children may require less heparin, similar to weight-adjusted adult dosage.

Monitoring

Adjust heparin to maintain APTT of 60 seconds to 85 seconds, assuming this reflects an anti-Factor Xa level of 0.35 to 0.70.

8.4 Pediatric Use

There are no adequate and well-controlled studies on heparin use in pediatric patients. Pediatric dosing recommendations are based on clinical experience [see Dosage and Administration (2.4)].

8.5 Geriatric Use

A higher incidence of bleeding has been reported in patients over 60 years of age, especially women [see Warnings and Precautions (5.2)]. Lower doses of heparin may be indicated in these patients [see Clinical Pharmacology (12.3)].

4 Contraindications

The use of heparin sodium is contraindicated in patients:

  • With history of heparin-induced thrombocytopenia (HIT) (With or Without Thrombosis) [see Warnings and Precautions (5.3)]
  • With a known hypersensitivity to heparin or pork products (e.g., anaphylactoid reactions) [see Adverse Reactions (6.1)]
  • In whom suitable blood coagulation tests (e.g., the whole blood clotting time, partial thromboplastin time, etc.) cannot be performed at appropriate intervals (this contraindication refers to full-dose heparin; there is usually no need to monitor coagulation parameters in patients receiving low-dose heparin) [see Warnings and Precautions (5.6)]
  • With an uncontrollable active bleeding state [see Warnings and Precautions (5.6)], except when treating disseminated intravascular coagulation
6 Adverse Reactions

The following clinically significant adverse reactions are described elsewhere in the labeling:

7 Drug Interactions
  • Drugs that interfere with coagulation, platelet aggregation or drugs that counteract coagulation may induce bleeding (7)
  • Andexanet alfa may reduce the efficacy of heparin when used concomitantly (7.3)

5.5 Thrombocytopenia

Thrombocytopenia has been reported to occur in patients receiving heparin with a reported incidence of up to 30%. It can occur 2 to 20 days (average 5 to 9) following the onset of heparin therapy. Platelet counts should be obtained at baseline and periodically during heparin administration. Mild thrombocytopenia (count greater than 100,000/mm3) may remain stable or reverse even if heparin is continued. However, thrombocytopenia of any degree should be monitored closely. If the count falls below 100,000/mm3 or if recurrent thrombosis develops, the heparin product should be discontinued, and, if necessary, an alternative anticoagulant administered [see Warnings and Precautions (5.3)].

12.2 Pharmacodynamics

Bleeding time is usually unaffected by heparin. Clotting time is prolonged by full therapeutic doses of heparin; in most cases it is not measurably affected by low doses of heparin.

5.7 Heparin Resistance

Increased resistance to heparin is frequently encountered in fever, thrombosis, thrombophlebitis, infections with thrombosing tendencies, myocardial infarction, cancer and in postsurgical patients, and patients with antithrombin III deficiency. Close monitoring of coagulation tests is recommended in these cases. Adjustment of heparin doses based on anti-Factor Xa levels may be warranted.

7.4 Other Interactions

Digitalis, tetracyclines, nicotine, or antihistamines, or intravenous nitroglycerin may partially counteract the anticoagulant action of heparin sodium. Intravenous nitroglycerin administered to heparinized patients may result in a decrease of the partial thromboplastin time with subsequent rebound effect upon discontinuation of nitroglycerin. Careful monitoring of partial thromboplastin time and adjustment of heparin dosage are recommended during coadministration of heparin and intravenous nitroglycerin.

1 Indications and Usage

HEPARIN SODIUM IN SODIUM CHLORIDE INJECTION is indicated for:

  • Prophylaxis and treatment of venous thrombosis and pulmonary embolism;
  • Prophylaxis and treatment of thromboembolic complications associated with atrial fibrillation;
  • Treatment of acute and chronic consumption coagulopathies (disseminated intravascular coagulation);
  • Prevention of clotting in arterial and cardiac surgery;
  • Prophylaxis and treatment of peripheral arterial embolism;
  • Anticoagulant use in blood transfusions, extracorporeal circulation, and dialysis procedures.
7.1 Oral Anticoagulants

Heparin sodium may prolong the one-stage prothrombin time. Therefore, when heparin sodium is given with dicumarol or warfarin sodium, a period of at least 5 hours after the last intravenous dose or 24 hours after the last subcutaneous dose should elapse before blood is drawn if a valid prothrombin time is to be obtained.

7.2 Platelet Inhibitors

Drugs such as acetylsalicylic acid, dextran, phenylbutazone, ibuprofen, indomethacin, dipyridamole, hydroxychloroquine and others that interfere with platelet-aggregation reactions (the main hemostatic defense of heparinized patients) may induce bleeding and should be used with caution in patients receiving heparin sodium.

12.1 Mechanism of Action

Heparin inhibits reactions that lead to the clotting of blood and the formation of fibrin clots both in vitro and in vivo. Heparin acts at multiple sites in the normal coagulation system. Small amounts of heparin in combination with antithrombin III (heparin cofactor) can inhibit thrombosis by inactivating activated Factor X and inhibiting the conversion of prothrombin to thrombin. Once active thrombosis has developed, larger amounts of heparin can inhibit further coagulation by inactivating thrombin and preventing the conversion of fibrinogen to fibrin. Heparin also prevents the formation of a stable fibrin clot by inhibiting the activation of the fibrin stabilizing factor. Heparin does not have fibrinolytic activity; therefore, it will not lyse existing clots.

2.5 Cardiovascular Surgery

Patients undergoing total body perfusion for open-heart surgery should receive an initial dose of not less than 150 units of heparin sodium per kilogram of body weight. Frequently, a dose of 300 units per kilogram is used for procedures estimated to last less than 60 minutes or 400 units per kilogram for those estimated to last longer than 60 minutes.

2.6 Converting to Warfarin

To ensure continuous anticoagulation when converting from heparin sodium to warfarin, continue full heparin therapy for several days until the INR (prothrombin time) has reached a stable therapeutic range. Heparin therapy may then be discontinued without tapering [see Drug Interactions (7.5)].

5 Warnings and Precautions
  • Fatal Medication Errors: Confirm choice of correct strength prior to administration (5.1)
  • Hemorrhage: Fatal cases have occurred. Use caution in conditions with increased risk of hemorrhage (5.2)
  • HIT (With or Without Thrombosis): Monitor for signs and symptoms and discontinue if indicative of HIT (With or Without Thrombosis) (5.3)
  • Monitoring: Blood coagulation tests guide therapy for full-dose heparin.

    Monitor platelet count and hematocrit in all patients receiving heparin (5.6)
  • Hyperkalemia: Measure blood potassium in patients at risk of hyperkalemia before starting heparin therapy and periodically in all patients (5.9)
2 Dosage and Administration



Recommended Adult Dosages:

  • Therapeutic Anticoagulant Effect with Full-Dose Heparin* (2.3)

Intermittent Intravenous Injection

Initial Dose

10,000 Units

Every 4 to 6 hours

5,000 Units to 10,000 Units

Continuous Intravenous Infusion

Initial Dose

5,000 Units

Continuous

20,000 Units to 40,000 Units/24 hours

*Based on 150 lb (68 kg) patient.

  • Cardiovascular Surgery (2.5)

Intravascular via Total Body Perfusion

Initial Dose

Not less than 150 units/kg; adjust for longer procedures

  • Extracorporeal Dialysis (2.8)
For pediatric dosing see section 2.4 of full prescribing information.

Intravascular via Extracorporeal Dialysis

Follow equipment manufacturer's operating directions carefully.

2.8 Extracorporeal Dialysis

Follow equipment manufacturer's operating directions carefully. A dose of 25 units/kg to 30 units/kg followed by an infusion rate of 1,500 units/hour to 2,000 units/hour is suggested based on pharmacodynamic data if specific manufacturers' recommendations are not available.

5.1 Fatal Medication Errors

Do not use this product as a "catheter lock flush" product. Heparin is supplied in various strengths. Fatal hemorrhages have occurred due to medication errors. Carefully examine all heparin products to confirm the correct container choice prior to administration of the drug.

3 Dosage Forms and Strengths

HEPARIN SODIUM IN 0.45% SODIUM CHLORIDE INJECTION is available as:

  • Injection: 25,000 USP Units/250 mL (100 USP Units/mL) in clear solution in single-dose flexible plastic container
  • Injection: 12,500 USP Units/250 mL (50 USP Units/mL) in clear solution in single-dose flexible plastic container
  • Injection: 25,000 USP Units/500 mL (50 USP Units/mL) in clear solution in single-dose flexible plastic container
6.1 Postmarketing Experience

The following adverse reactions have been identified during post-approval use of heparin sodium. Because these reactions are reported voluntarily from a population of uncertain size, it is not always possible to reliably estimate their frequency or establish a causal relationship to drug exposure.

5.8 Hypersensitivity Reactions

Patients with documented hypersensitivity to heparin should be given the drug only in clearly life-threatening situations [see Adverse Reactions (6.1)].

Because heparin sodium is derived from animal tissue, monitor for signs and symptoms of hypersensitivity when it is used in patients with a history of allergy.

17 Patient Counseling Information

Hemorrhage

Inform patients that it may take them longer than usual to stop bleeding, that they may bruise and/or bleed more easily when they are treated with heparin, and that they should report any unusual bleeding or bruising to their physician. Hemorrhage can occur at virtually any site in patients receiving heparin. Fatal hemorrhages have occurred [see Warnings and Precautions (5.2)].

Prior to Surgery

Advise patients to inform physicians and dentists that they are receiving heparin before any surgery is scheduled [see Warnings and Precautions (5.2)].

Heparin-Induced Thrombocytopenia

Inform patients of the risk of heparin-induced thrombocytopenia (HIT). HIT may progress to the development of venous and arterial thromboses, a condition known as heparin-induced thrombocytopenia and thrombosis (HITT). HIT (With or Without Thrombosis) can occur up to several weeks after the discontinuation of heparin therapy [see Warnings and Precautions (5.3, 5.5)].

Hypersensitivity

Inform patients that generalized hypersensitivity reactions have been reported. Necrosis of the skin has been reported at the site of subcutaneous injection of heparin [see Warnings and Precautions (5.8), Adverse Reactions (6.1)].

Other Medications

Because of the risk of hemorrhage, advise patients to inform their physicians and dentists of all medications they are taking, including non-prescription medications, and before starting any new medication [see Drug Interactions (7.2)].

This product's labeling may have been updated. For the most recent prescribing information, please visit www.pfizer.com.

For medical information about HEPARIN SODIUM IN SODIUM CHLORIDE INJECTION, please visit www.pfizermedinfo.com or call 1-800-438-1985.

                                                                                                                                                                                                                                 

Distributed by Hospira, Inc., Lake Forest, IL 60045 USA

LAB-1392-6.0

2.1 Preparation for Administration

Confirm the selection of the correct formulation and strength prior to administration of the drug.

Do not use HEPARIN SODIUM IN SODIUM CHLORIDE INJECTION as a "catheter lock flush" product.

Administer this product by intravenous infusion.

Do not admix with other drugs.

This product should not be infused under pressure.

Parenteral drug products should be inspected visually for particulate matter and discoloration prior to administration, whenever solution and container permit.

Do not administer unless the solution is clear and container is undamaged.

Discard unused portion.

To Open

Tear outer wrap and remove solution container. For PVC bags, some opacity of the plastic due to moisture absorption during the sterilization process may be observed. This is normal and does not affect the solution quality or safety. The opacity will diminish gradually.

(Use aseptic technique)

  • 1.
    Close flow control clamp of administration set.
  • 2.
    Remove cover from outlet port at bottom of container.
  • 3.
    Insert piercing pin of administration set into port with a twisting motion until the set is firmly seated.

    NOTE: See full directions on administration set carton.
  • 4.
    Suspend container from hanger.
  • 5.
    Squeeze and release drip chamber to establish proper fluid level in chamber.
  • 6.
    Open flow control clamp and clear air from set. Close clamp.
  • 7.
    Attach set to venipuncture device. If device is not indwelling, prime and make venipuncture.
  • 8.
    Regulate rate of administration with flow control clamp.

Warning: Do not use flexible container in series connections.

16 How Supplied/storage and Handling

HEPARIN SODIUM IN 0.45% SODIUM CHLORIDE INJECTION is a clear solution and is supplied in single-dose flexible plastic containers in varied sizes and concentrations as shown in the accompanying Table.

Unit of Sale

Concentration

NDC 0409-7650-62

Case of 24 Single-dose flexible plastic containers

25,000 USP Units/250 mL

(100 USP Units/mL)

NDC 0409-7650-30

Case of 30 Single-dose flexible plastic containers

25,000 USP Units/250 mL

(100 USP Units/mL)

NDC 0409-7651-62

Case of 24 Single-dose flexible plastic containers

12,500 USP Units/250 mL

(50 USP Units/mL)

NDC 0409-0012-30

Case of 30 Single-dose flexible plastic containers

12,500 USP Units/250 mL

(50 USP Units/mL)

NDC 0409-7651-03

Case of 24 Single-dose flexible plastic containers

25,000 USP Units/500 mL

(50 USP Units/mL)

NDC 0409-3150-20

Case of 20 Single-dose flexible plastic containers

25,000 USP Units/500 mL

(50 USP Units/mL)

Store at 20°C to 25°C (68°F to 77°F). [See USP Controlled Room Temperature.] Protect from freezing.

5.6 Coagulation Testing and Monitoring

When heparin sodium is administered in therapeutic amounts, its dosage should be monitored by frequent blood coagulation tests. If the coagulation test is unduly prolonged or if hemorrhage occurs, heparin sodium should be discontinued promptly [see Overdosage (10)]. Periodic platelet counts, hematocrits and tests for occult blood in stool are recommended during the entire course of heparin therapy [see Dosage and Administration (2.2)].

7.5 Drug/laboratory Tests Interactions

Prothrombin time – Heparin sodium may prolong the one-stage prothrombin time. Therefore, when heparin sodium is given with warfarin, allow a period of at least 5 hours after the last intravenous dose or 24 hours after the last subcutaneous dose of heparin to elapse before blood is drawn to obtain a valid prothrombin time.

2.2 Laboratory Monitoring for Efficacy and Safety

The dosage of heparin sodium should be adjusted according to the patient's coagulation test results. When heparin is given by continuous intravenous infusion, the coagulation time should be determined approximately every 4 hours in the early stages of treatment. When the drug is administered intermittently by intravenous injection, coagulation tests should be performed before each injection during the early stages of treatment and at appropriate intervals thereafter. Dosage is considered adequate when the activated partial thromboplastin time (APTT) is 1.5 to 2 times normal or when the whole blood clotting time is elevated approximately 2.5 to 3 times the control value.

Periodic platelet counts, hematocrits, and tests for occult blood in stool are recommended during the entire course of heparin therapy.

Principal Display Panel 250 Ml Bag Label 0012

250mL

NDC 0409-0012-02



12,500 USP Units / 250 mL

(50 USP Units / mL)

Heparin Sodium in

0.45% Sodium Chloride Injection

Each 100 mL contains Heparin Sodium 5,000 USP Units

(Porcine Intestinal Mucosa); Sodium Chloride 0.45 g;

Edetate Disodium, Anhydrous 10 mg added as stabilizer.

May contain Sodium Hydroxide and/or Hydrochloric Acid

for pH adjustment.

Sterile. Not made with natural rubber latex.

Recommended dosage: See prescribing information.

Additives should not be made to this solution.

Single dose container. Discard unused portion.

For Intravenous Use only.

Check for minute leaks. If leaks are found, discard.

Store at 20℃ to 25℃ (68℉ to 77℉). [See USP Controlled

Room Temperature.] Protect from freezing.

Do not remove from overwrap until ready for use.

Distributed by Hospira, Inc., Lake Forest, IL 60045 USA

Rx ONLY

5

PP

Hospira

Principal Display Panel 250 Ml Bag Label 7650

250 mL

NDC 0409-7650-52

HEPARIN SODIUM

25,000 USP Units

per 250 mL

(100 USP Units/mL)

in 0.45% Sodium Chloride Injection

EACH 100 mL CONTAINS HEPARIN

SODIUM 10,000 USP UNITS (PORCINE

INTESTINAL MUCOSA); SODIUM

CHLORIDE 0.45 g; EDETATE DISODIUM,

ANHYDROUS 10 mg ADDED AS STABILIZER.

MAY CONTAIN SODIUM HYDROXIDE

AND/OR HYDROCHLORIC ACID FOR pH

ADJUSTMENT. STERILE. NOT MADE WITH

NATURAL RUBBER LATEX.

USUAL DOSAGE: SEE INSERT.

ADDITIVES SHOULD NOT

BE MADE TO THIS SOLUTION.

SINGLE DOSE CONTAINER. DISCARD

UNUSED PORTION. FOR INTRAVENOUS

USE ONLY.

Rx only

3

V

CONTAINS DEHP

IM-3954

HOSPIRA, INC., LAKE FOREST, IL 60045 USA

Hospira

Principal Display Panel 250 Ml Bag Label 7651

250 mL

NDC 0409-7651-52

12,500 USP Units / 250 mL

(50 USP Units / mL)

Heparin Sodium in

0.45% Sodium Chloride Injection

EACH 100 mL CONTAINS HEPARIN SODIUM

5,000 USP UNITS (PORCINE INTESTINAL

MUCOSA); SODIUM CHLORIDE 0.45 g;

EDETATE DISODIUM, ANHYDROUS

10 mg ADDED AS STABILIZER. MAY

CONTAIN SODIUM HYDROXIDE AND/OR

HYDROCHLORIC ACID FOR pH ADJUSTMENT.

STERILE. NOT MADE WITH NATURAL

RUBBER LATEX. USUAL DOSAGE: SEE INSERT.

ADDITIVES SHOULD NOT BE MADE

TO THIS SOLUTION.

SINGLE DOSE CONTAINER. DISCARD

UNUSED PORTION. FOR INTRAVENOUS USE

ONLY.

Rx ONLY

3

V

CONTAINS DEHP

Hospira

IM-3959

HOSPIRA, INC., LAKE FOREST, IL 60045 USA

Principal Display Panel 500 Ml Bag Label 3150

500mL

NDC 0409-3150-05

25,000 USP Units / 500 mL

(50 USP Units / mL)

Heparin Sodium

25,000 USP Units / 500 mL

(50 USP Units / mL)

in 0.45% Sodium Chloride Injection

Each 100 mL contains Heparin Sodium 5,000 USP Units

(Porcine Intestinal Mucosa); Sodium Chloride 0.45 g; Edetate

Disodium, Anhydrous 10 mg added as stabilizer. May contain Sodium

Hydroxide and/or Hydrochloric Acid for pH adjustment.

Sterile. Not made with natural rubber latex.

Recommended dosage: See prescribing information.

Additives should not be made to this solution.

Single dose container. Discard unused portion.

For Intravenous Use only. Inspect bag by squeezing firmly. If leaks are found,

discard. Store at 20℃ to 25℃ (68℉ to 77℉). [See USP Controlled

Room Temperature.] Protect from freezing.

Do not remove from overwrap until ready for use.

Rx ONLY

5

PP

Distributed by Hospira, Inc.,

Lake Forest, IL 60045 USA

Hospira

Principal Display Panel 500 Ml Bag Label 7651

500 mL

25,000 USP Units / 500 mL

(50 USP Units / mL)

NDC 0409-7651-13

Heparin Sodium in

0.45% Sodium Chloride Injection

EACH 100 mL CONTAINS HEPARIN SODIUM 5,000 USP

UNITS (PORCINE INTESTINAL MUCOSA); SODIUM

CHLORIDE 0.45 g; EDETATE DISODIUM, ANHYDROUS

10 mg ADDED AS STABILIZER. MAY CONTAIN SODIUM

HYDROXIDE AND/OR HYDROCHLORIC ACID FOR

pH ADJUSTMENT. STERILE. NOT MADE WITH NATURAL

RUBBER LATEX. USUAL DOSAGE: SEE INSERT.

ADDITIVES SHOULD NOT BE MADE TO THIS SOLUTION.

SINGLE DOSE CONTAINER. DISCARD UNUSED PORTION.

FOR INTRAVENOUS USE ONLY.

Rx ONLY

3

V

CONTAINS DEHP

IM-3958

HOSPIRA, INC., LAKE FOREST, IL 60045 USA

Hospira

Principal Display Panel 250 Ml Bag Overwrap 7650

2

HDPE

TO OPEN TEAR AT NOTCH

DO NOT REMOVE FROM OVERWRAP UNTIL READY FOR USE. AFTER REMOVING

THE OVERWRAP, CHECK FOR MINUTE LEAKS BY SQUEEZING CONTAINER FIRMLY.

IF LEAKS ARE FOUND, DISCARD SOLUTION AS STERILITY MAY BE IMPAIRED.

RECOMMENDED STORAGE: ROOM TEMPERATURE (25°C). AVOID EXCESSIVE

HEAT. PROTECT FROM FREEZING. SEE INSERT.

98-4321-R14-3/98

Principal Display Panel 250 Ml Bag Overwrap 7651

2

HDPE

TO OPEN TEAR AT NOTCH

DO NOT REMOVE FROM OVERWRAP UNTIL READY FOR USE. AFTER REMOVING

THE OVERWRAP, CHECK FOR MINUTE LEAKS BY SQUEEZING CONTAINER FIRMLY.

IF LEAKS ARE FOUND, DISCARD SOLUTION AS STERILITY MAY BE IMPAIRED.

RECOMMENDED STORAGE: ROOM TEMPERATURE (25°C). AVOID EXCESSIVE

HEAT. PROTECT FROM FREEZING. SEE INSERT.

98-4321-R14-3/98

Principal Display Panel 500 Ml Bag Overwrap 7651

2

HDPE

TO OPEN TEAR AT NOTCH

DO NOT REMOVE FROM OVERWRAP UNTIL READY FOR USE. AFTER REMOVING

THE OVERWRAP, CHECK FOR MINUTE LEAKS BY SQUEEZING CONTAINER FIRMLY.

IF LEAKS ARE FOUND, DISCARD SOLUTION AS STERILITY MAY BE IMPAIRED.

RECOMMENDED STORAGE: ROOM TEMPERATURE (25°C). AVOID EXCESSIVE

HEAT. PROTECT FROM FREEZING. SEE INSERT.

98-4321-R14-3/98

13.1 Carcinogenesis, Mutagenesis, Impairment of Fertility

Long-term studies in animals to evaluate the carcinogenic potential, reproduction studies in animals to determine effects on fertility of males and females, and the studies to determine mutagenic potential have not been conducted.

2.7 Converting to Oral Anticoagulants Other Than Warfarin

For patients currently receiving intravenous heparin, stop intravenous infusion of heparin sodium immediately after administering the first dose of oral anticoagulant; or for intermittent intravenous administration of heparin sodium, start oral anticoagulant 0 to 2 hours before the time that the next dose of heparin was to have been administered.

2.3 Therapeutic Anticoagulant Effect With Full Dose Heparin

The dosing recommendations in Table 1 are based on clinical experience. Although dosage must be adjusted for the individual patient according to the results of suitable laboratory tests, the following dosage schedules may be used as guidelines:

Table 1: Recommended Adult Full-Dose Heparin Regimens for Therapeutic Anticoagulant Effect

Method of

Administration

Frequency

Recommended Dose

Based on 150 lb. (68 kg) patient.

Intermittent

Intravenous Injection

Initial Dose

10,000 Units

Every 4 to 6 hours

5,000 Units to 10,000 Units

Continuous

Intravenous Infusion

Initial Dose

5,000 Units by intravenous injection

Continuous

20,000 Units/24 hours to 40,000 Units/24 hours

5.3 Heparin Induced Thrombocytopenia (hit) (with Or Without Thrombosis)

HIT is a serious immune-mediated reaction resulting from irreversible aggregation of platelets. HIT may progress to the development of venous and arterial thromboses, a condition known as HIT with thrombosis. Thrombotic events may also be the initial presentation for HIT. These serious thromboembolic events include deep vein thrombosis, pulmonary embolism, cerebral vein thrombosis, limb ischemia, stroke, myocardial infarction, thrombus formation on a prosthetic cardiac valve, mesenteric thrombosis, renal arterial thrombosis, skin necrosis, gangrene of the extremities that may lead to amputation, and fatal outcomes.

Once HIT (with or without thrombosis) is diagnosed or strongly suspected, all heparin sodium sources (including heparin flushes) should be discontinued and an alternative anticoagulant used. Future use of heparin sodium, especially within 3 to 6 months following the diagnosis of HIT (with or without thrombosis), and while patients test positive for HIT antibodies, should be avoided.

Thrombocytopenia of any degree should be monitored closely. If the platelet count falls below 100,000/mm3 or if recurrent thrombosis develops, the heparin product should be promptly discontinued and alternative anticoagulants considered if patients require continued anticoagulation.

5.4 Unresponsiveness to Heparin With Concomitant Use With Andexanet Alfa

Unresponsiveness to unfractionated heparin leading to non-prolongation of activated clotting times and serious thrombotic events has occurred when unfractionated heparin was administered after use of andexanet alfa for the reversal of direct Factor Xa inhibitors (apixaban and rivaroxaban). Avoid use of heparin after use of andexanet alfa. Use an alternative anticoagulant to heparin  [see Drug Interactions (7.3)].

7.3 Unresponsiveness to Heparin With Concomitant Use With Andexanet Alfa

Andexanet binds to heparin-bound antithrombin III (ATIII) and may reduce the anticoagulant effect of heparin. Unresponsiveness to unfractionated heparin may lead to serious and life-threatening thrombotic events. Use of andexanet alfa as an antidote for heparin has not been established. Avoid use of heparin after use of andexanet alfa for the reversal of direct Factor Xa inhibitors (apixaban and rivaroxaban). If anticoagulation is needed, use an alternative anticoagulant to heparin [see Warnings and Precautions (5.4)].


Structured Label Content

Section 42229-5 (42229-5)

Delayed Onset of HIT (With or Without Thrombosis): Heparin-induced Thrombocytopenia (HIT) (With or Without Thrombosis) can occur up to several weeks after the discontinuation of heparin therapy. Patients presenting with thrombocytopenia or thrombosis after discontinuation of heparin should be evaluated for HIT (With or Without Thrombosis).

Section 43683-2 (43683-2)

Warnings and Precautions, Unresponsiveness to Heparin with

Concomitant Use with Andexanet Alfa (5.4)

11/2025

8.1 Pregnancy

Risk Summary

There are no available data on HEPARIN SODIUM IN SODIUM CHLORIDE INJECTION use in pregnant women to inform a drug-associated risk of major birth defects and miscarriage. In published reports, heparin exposure during pregnancy did not show evidence of an increased risk of adverse maternal or fetal outcomes in humans. No teratogenicity, but early embryo-fetal death was observed in animal reproduction studies with administration of heparin sodium to pregnant rats and rabbits during organogenesis at doses up to 10,000 USP Units/kg/day, approximately 10 times the maximum recommended human dose (MRHD) of 40,000 USP Units/24 hours infusion (see Data). Consider the benefits and risks of HEPARIN SODIUM IN SODIUM CHLORIDE INJECTION to a pregnant woman and possible risks to the fetus when prescribing HEPARIN SODIUM IN SODIUM CHLORIDE INJECTION.

The estimated background risk of major birth defects and miscarriage for the indicated population is unknown. All pregnancies have a risk of birth defect, loss, or other adverse outcomes. In the U.S. general population, the estimated background risk of major birth defects and miscarriage in clinically recognized pregnancies is 2-4% and 15-20%, respectively.

Data

Human Data

The maternal and fetal outcomes associated with uses of heparin via various dosing methods and administration routes during pregnancy have been investigated in numerous studies. These studies generally reported normal deliveries with no maternal or fetal bleeding and no other complications.

Animal Data

In a published study conducted in rats and rabbits, pregnant animals received heparin intravenously during organogenesis at a dose of 10,000 USP Units/kg/day, approximately 10 times the maximum human daily dose based on body weight. The number of early resorptions increased in both species. There was no evidence of teratogenic effects.

8.2 Lactation

Risk Summary

There is no information regarding the presence of HEPARIN SODIUM IN SODIUM CHLORIDE INJECTION in human milk, the effects on the breastfed child, or the effects on milk production. Due to its large molecular weight, heparin is not likely to be excreted in human milk, and any heparin in milk would not be orally absorbed by a nursing child. The developmental and health benefits of breastfeeding should be considered along with the mother's clinical need for HEPARIN SODIUM IN SODIUM CHLORIDE INJECTION and any potential adverse effects on the breastfed child from HEPARIN SODIUM IN SODIUM CHLORIDE INJECTION or from the underlying maternal condition [see Use in Specific Populations (8.4)].

11 Description (11 DESCRIPTION)

Heparin is a heterogeneous group of straight-chain anionic mucopolysaccharides, called glycosaminoglycans possessing anticoagulant properties. It is composed of polymers of alternating derivations of α-D-glucosamido (N-Sulfated O-Sulfated or N-acetylated) and O-sulfated uronic acid (α-L-iduronic acid or β-D-glucoronic acid).

Structure of Heparin Sodium (representative subunits):

HEPARIN SODIUM IN SODIUM CHLORIDE INJECTION is a sterile preparation of heparin sodium (derived from porcine intestinal mucosa) for intravenous administration. It contains no bacteriostatic or antimicrobial agent or added buffer. The solution may contain sodium hydroxide and/or hydrochloric acid for pH adjustment. The pH range is 6.1 (5.0 – 7.5) and the osmolarity mOsmol/L (calc.) is 155. The potency is determined by a biological assay using a USP reference standard based on units of heparin activity per milligram.

Each mL of the 50 USP Units per mL preparations contains: 50 USP Units of heparin sodium, 4.5 mg sodium chloride and 0.1 mg edetate disodium, anhydrous added as a stabilizer.

Each mL of the 100 USP Units per mL preparations contains: 100 USP Units of heparin sodium, 4.5 mg sodium chloride and 0.1 mg edetate disodium, anhydrous added as a stabilizer.

5.2 Hemorrhage

Hemorrhage, including fatal events, has occurred in patients receiving heparin sodium. Avoid using heparin in the presence of major bleeding, except when the benefits of heparin therapy outweigh the potential risks.

Hemorrhage can occur at virtually any site in patients receiving heparin. Adrenal hemorrhage (with resultant acute adrenal insufficiency), ovarian hemorrhage, and retroperitoneal hemorrhage have occurred during anticoagulant therapy with heparin [see Adverse Reactions (6.1)]. A higher incidence of bleeding has been reported in patients, particularly women, over 60 years of age [see Clinical Pharmacology (12.3)]. These patients may require a lower dose. An unexplained fall in hematocrit or fall in blood pressure should lead to serious consideration of a hemorrhagic event.

Use heparin sodium with caution in disease states in which there is increased risk of hemorrhage, including:

  • Cardiovascular — Subacute bacterial endocarditis. Severe hypertension.
  • Surgical — During and immediately following (a) spinal tap or spinal anesthesia or (b) major surgery, especially involving the brain, spinal cord or eye.
  • Hematologic — Conditions associated with increased bleeding tendencies, such as hemophilia, thrombocytopenia and some vascular purpuras.
  • Patients with hereditary antithrombin III deficiency receiving concurrent antithrombin III therapy – The anticoagulant effect of heparin is enhanced by concurrent treatment with antithrombin III (human) in patients with hereditary antithrombin III deficiency. To reduce the risk of bleeding, reduce the heparin dose during concomitant treatment with antithrombin III (human).
  • Gastrointestinal — Ulcerative lesions and continuous tube drainage of the stomach or small intestine.
  • Other — Menstruation, liver disease with impaired hemostasis.
5.9 Hyperkalemia

Heparin can suppress adrenal secretion of aldosterone leading to hyperkalemia, particularly in patients with diabetes mellitus, chronic renal failure, pre-existing metabolic acidosis, a raised plasma potassium, or taking potassium sparing drugs. The risk of hyperkalemia appears to increase with duration of therapy but is usually reversible upon discontinuation of heparin.

Measure blood potassium in patients at risk of hyperkalemia before starting heparin therapy and periodically in all patients treated for more than 5 days or earlier as deemed fit by the clinician.

2.4 Pediatric Use

There are no adequate and well-controlled studies on heparin use in pediatric patients. Pediatric dosing recommendations are based on clinical experience. In general, the following dosage schedule may be used as a guideline in pediatric patients:

Initial Dose

75 units/kg to 100 units/kg (intravenous bolus over 10 minutes)

Maintenance Dose

Infants: 25 units/kg/hour to 30 units/kg/hour (continuous intravenous infusion);

Infants less than 2 months have the highest requirements (average 28 units/kg/hour)

Children greater than 1 year of age: 18 units/kg/hour to 20 units/kg/hour (continuous intravenous infusion);

Older children may require less heparin, similar to weight-adjusted adult dosage.

Monitoring

Adjust heparin to maintain APTT of 60 seconds to 85 seconds, assuming this reflects an anti-Factor Xa level of 0.35 to 0.70.

8.4 Pediatric Use

There are no adequate and well-controlled studies on heparin use in pediatric patients. Pediatric dosing recommendations are based on clinical experience [see Dosage and Administration (2.4)].

8.5 Geriatric Use

A higher incidence of bleeding has been reported in patients over 60 years of age, especially women [see Warnings and Precautions (5.2)]. Lower doses of heparin may be indicated in these patients [see Clinical Pharmacology (12.3)].

4 Contraindications (4 CONTRAINDICATIONS)

The use of heparin sodium is contraindicated in patients:

  • With history of heparin-induced thrombocytopenia (HIT) (With or Without Thrombosis) [see Warnings and Precautions (5.3)]
  • With a known hypersensitivity to heparin or pork products (e.g., anaphylactoid reactions) [see Adverse Reactions (6.1)]
  • In whom suitable blood coagulation tests (e.g., the whole blood clotting time, partial thromboplastin time, etc.) cannot be performed at appropriate intervals (this contraindication refers to full-dose heparin; there is usually no need to monitor coagulation parameters in patients receiving low-dose heparin) [see Warnings and Precautions (5.6)]
  • With an uncontrollable active bleeding state [see Warnings and Precautions (5.6)], except when treating disseminated intravascular coagulation
6 Adverse Reactions (6 ADVERSE REACTIONS)

The following clinically significant adverse reactions are described elsewhere in the labeling:

7 Drug Interactions (7 DRUG INTERACTIONS)
  • Drugs that interfere with coagulation, platelet aggregation or drugs that counteract coagulation may induce bleeding (7)
  • Andexanet alfa may reduce the efficacy of heparin when used concomitantly (7.3)

5.5 Thrombocytopenia

Thrombocytopenia has been reported to occur in patients receiving heparin with a reported incidence of up to 30%. It can occur 2 to 20 days (average 5 to 9) following the onset of heparin therapy. Platelet counts should be obtained at baseline and periodically during heparin administration. Mild thrombocytopenia (count greater than 100,000/mm3) may remain stable or reverse even if heparin is continued. However, thrombocytopenia of any degree should be monitored closely. If the count falls below 100,000/mm3 or if recurrent thrombosis develops, the heparin product should be discontinued, and, if necessary, an alternative anticoagulant administered [see Warnings and Precautions (5.3)].

12.2 Pharmacodynamics

Bleeding time is usually unaffected by heparin. Clotting time is prolonged by full therapeutic doses of heparin; in most cases it is not measurably affected by low doses of heparin.

5.7 Heparin Resistance

Increased resistance to heparin is frequently encountered in fever, thrombosis, thrombophlebitis, infections with thrombosing tendencies, myocardial infarction, cancer and in postsurgical patients, and patients with antithrombin III deficiency. Close monitoring of coagulation tests is recommended in these cases. Adjustment of heparin doses based on anti-Factor Xa levels may be warranted.

7.4 Other Interactions

Digitalis, tetracyclines, nicotine, or antihistamines, or intravenous nitroglycerin may partially counteract the anticoagulant action of heparin sodium. Intravenous nitroglycerin administered to heparinized patients may result in a decrease of the partial thromboplastin time with subsequent rebound effect upon discontinuation of nitroglycerin. Careful monitoring of partial thromboplastin time and adjustment of heparin dosage are recommended during coadministration of heparin and intravenous nitroglycerin.

1 Indications and Usage (1 INDICATIONS AND USAGE)

HEPARIN SODIUM IN SODIUM CHLORIDE INJECTION is indicated for:

  • Prophylaxis and treatment of venous thrombosis and pulmonary embolism;
  • Prophylaxis and treatment of thromboembolic complications associated with atrial fibrillation;
  • Treatment of acute and chronic consumption coagulopathies (disseminated intravascular coagulation);
  • Prevention of clotting in arterial and cardiac surgery;
  • Prophylaxis and treatment of peripheral arterial embolism;
  • Anticoagulant use in blood transfusions, extracorporeal circulation, and dialysis procedures.
7.1 Oral Anticoagulants

Heparin sodium may prolong the one-stage prothrombin time. Therefore, when heparin sodium is given with dicumarol or warfarin sodium, a period of at least 5 hours after the last intravenous dose or 24 hours after the last subcutaneous dose should elapse before blood is drawn if a valid prothrombin time is to be obtained.

7.2 Platelet Inhibitors

Drugs such as acetylsalicylic acid, dextran, phenylbutazone, ibuprofen, indomethacin, dipyridamole, hydroxychloroquine and others that interfere with platelet-aggregation reactions (the main hemostatic defense of heparinized patients) may induce bleeding and should be used with caution in patients receiving heparin sodium.

12.1 Mechanism of Action

Heparin inhibits reactions that lead to the clotting of blood and the formation of fibrin clots both in vitro and in vivo. Heparin acts at multiple sites in the normal coagulation system. Small amounts of heparin in combination with antithrombin III (heparin cofactor) can inhibit thrombosis by inactivating activated Factor X and inhibiting the conversion of prothrombin to thrombin. Once active thrombosis has developed, larger amounts of heparin can inhibit further coagulation by inactivating thrombin and preventing the conversion of fibrinogen to fibrin. Heparin also prevents the formation of a stable fibrin clot by inhibiting the activation of the fibrin stabilizing factor. Heparin does not have fibrinolytic activity; therefore, it will not lyse existing clots.

2.5 Cardiovascular Surgery

Patients undergoing total body perfusion for open-heart surgery should receive an initial dose of not less than 150 units of heparin sodium per kilogram of body weight. Frequently, a dose of 300 units per kilogram is used for procedures estimated to last less than 60 minutes or 400 units per kilogram for those estimated to last longer than 60 minutes.

2.6 Converting to Warfarin

To ensure continuous anticoagulation when converting from heparin sodium to warfarin, continue full heparin therapy for several days until the INR (prothrombin time) has reached a stable therapeutic range. Heparin therapy may then be discontinued without tapering [see Drug Interactions (7.5)].

5 Warnings and Precautions (5 WARNINGS AND PRECAUTIONS)
  • Fatal Medication Errors: Confirm choice of correct strength prior to administration (5.1)
  • Hemorrhage: Fatal cases have occurred. Use caution in conditions with increased risk of hemorrhage (5.2)
  • HIT (With or Without Thrombosis): Monitor for signs and symptoms and discontinue if indicative of HIT (With or Without Thrombosis) (5.3)
  • Monitoring: Blood coagulation tests guide therapy for full-dose heparin.

    Monitor platelet count and hematocrit in all patients receiving heparin (5.6)
  • Hyperkalemia: Measure blood potassium in patients at risk of hyperkalemia before starting heparin therapy and periodically in all patients (5.9)
2 Dosage and Administration (2 DOSAGE AND ADMINISTRATION)



Recommended Adult Dosages:

  • Therapeutic Anticoagulant Effect with Full-Dose Heparin* (2.3)

Intermittent Intravenous Injection

Initial Dose

10,000 Units

Every 4 to 6 hours

5,000 Units to 10,000 Units

Continuous Intravenous Infusion

Initial Dose

5,000 Units

Continuous

20,000 Units to 40,000 Units/24 hours

*Based on 150 lb (68 kg) patient.

  • Cardiovascular Surgery (2.5)

Intravascular via Total Body Perfusion

Initial Dose

Not less than 150 units/kg; adjust for longer procedures

  • Extracorporeal Dialysis (2.8)
For pediatric dosing see section 2.4 of full prescribing information.

Intravascular via Extracorporeal Dialysis

Follow equipment manufacturer's operating directions carefully.

2.8 Extracorporeal Dialysis

Follow equipment manufacturer's operating directions carefully. A dose of 25 units/kg to 30 units/kg followed by an infusion rate of 1,500 units/hour to 2,000 units/hour is suggested based on pharmacodynamic data if specific manufacturers' recommendations are not available.

5.1 Fatal Medication Errors

Do not use this product as a "catheter lock flush" product. Heparin is supplied in various strengths. Fatal hemorrhages have occurred due to medication errors. Carefully examine all heparin products to confirm the correct container choice prior to administration of the drug.

3 Dosage Forms and Strengths (3 DOSAGE FORMS AND STRENGTHS)

HEPARIN SODIUM IN 0.45% SODIUM CHLORIDE INJECTION is available as:

  • Injection: 25,000 USP Units/250 mL (100 USP Units/mL) in clear solution in single-dose flexible plastic container
  • Injection: 12,500 USP Units/250 mL (50 USP Units/mL) in clear solution in single-dose flexible plastic container
  • Injection: 25,000 USP Units/500 mL (50 USP Units/mL) in clear solution in single-dose flexible plastic container
6.1 Postmarketing Experience

The following adverse reactions have been identified during post-approval use of heparin sodium. Because these reactions are reported voluntarily from a population of uncertain size, it is not always possible to reliably estimate their frequency or establish a causal relationship to drug exposure.

5.8 Hypersensitivity Reactions

Patients with documented hypersensitivity to heparin should be given the drug only in clearly life-threatening situations [see Adverse Reactions (6.1)].

Because heparin sodium is derived from animal tissue, monitor for signs and symptoms of hypersensitivity when it is used in patients with a history of allergy.

17 Patient Counseling Information (17 PATIENT COUNSELING INFORMATION)

Hemorrhage

Inform patients that it may take them longer than usual to stop bleeding, that they may bruise and/or bleed more easily when they are treated with heparin, and that they should report any unusual bleeding or bruising to their physician. Hemorrhage can occur at virtually any site in patients receiving heparin. Fatal hemorrhages have occurred [see Warnings and Precautions (5.2)].

Prior to Surgery

Advise patients to inform physicians and dentists that they are receiving heparin before any surgery is scheduled [see Warnings and Precautions (5.2)].

Heparin-Induced Thrombocytopenia

Inform patients of the risk of heparin-induced thrombocytopenia (HIT). HIT may progress to the development of venous and arterial thromboses, a condition known as heparin-induced thrombocytopenia and thrombosis (HITT). HIT (With or Without Thrombosis) can occur up to several weeks after the discontinuation of heparin therapy [see Warnings and Precautions (5.3, 5.5)].

Hypersensitivity

Inform patients that generalized hypersensitivity reactions have been reported. Necrosis of the skin has been reported at the site of subcutaneous injection of heparin [see Warnings and Precautions (5.8), Adverse Reactions (6.1)].

Other Medications

Because of the risk of hemorrhage, advise patients to inform their physicians and dentists of all medications they are taking, including non-prescription medications, and before starting any new medication [see Drug Interactions (7.2)].

This product's labeling may have been updated. For the most recent prescribing information, please visit www.pfizer.com.

For medical information about HEPARIN SODIUM IN SODIUM CHLORIDE INJECTION, please visit www.pfizermedinfo.com or call 1-800-438-1985.

                                                                                                                                                                                                                                 

Distributed by Hospira, Inc., Lake Forest, IL 60045 USA

LAB-1392-6.0

2.1 Preparation for Administration

Confirm the selection of the correct formulation and strength prior to administration of the drug.

Do not use HEPARIN SODIUM IN SODIUM CHLORIDE INJECTION as a "catheter lock flush" product.

Administer this product by intravenous infusion.

Do not admix with other drugs.

This product should not be infused under pressure.

Parenteral drug products should be inspected visually for particulate matter and discoloration prior to administration, whenever solution and container permit.

Do not administer unless the solution is clear and container is undamaged.

Discard unused portion.

To Open

Tear outer wrap and remove solution container. For PVC bags, some opacity of the plastic due to moisture absorption during the sterilization process may be observed. This is normal and does not affect the solution quality or safety. The opacity will diminish gradually.

(Use aseptic technique)

  • 1.
    Close flow control clamp of administration set.
  • 2.
    Remove cover from outlet port at bottom of container.
  • 3.
    Insert piercing pin of administration set into port with a twisting motion until the set is firmly seated.

    NOTE: See full directions on administration set carton.
  • 4.
    Suspend container from hanger.
  • 5.
    Squeeze and release drip chamber to establish proper fluid level in chamber.
  • 6.
    Open flow control clamp and clear air from set. Close clamp.
  • 7.
    Attach set to venipuncture device. If device is not indwelling, prime and make venipuncture.
  • 8.
    Regulate rate of administration with flow control clamp.

Warning: Do not use flexible container in series connections.

16 How Supplied/storage and Handling (16 HOW SUPPLIED/STORAGE AND HANDLING)

HEPARIN SODIUM IN 0.45% SODIUM CHLORIDE INJECTION is a clear solution and is supplied in single-dose flexible plastic containers in varied sizes and concentrations as shown in the accompanying Table.

Unit of Sale

Concentration

NDC 0409-7650-62

Case of 24 Single-dose flexible plastic containers

25,000 USP Units/250 mL

(100 USP Units/mL)

NDC 0409-7650-30

Case of 30 Single-dose flexible plastic containers

25,000 USP Units/250 mL

(100 USP Units/mL)

NDC 0409-7651-62

Case of 24 Single-dose flexible plastic containers

12,500 USP Units/250 mL

(50 USP Units/mL)

NDC 0409-0012-30

Case of 30 Single-dose flexible plastic containers

12,500 USP Units/250 mL

(50 USP Units/mL)

NDC 0409-7651-03

Case of 24 Single-dose flexible plastic containers

25,000 USP Units/500 mL

(50 USP Units/mL)

NDC 0409-3150-20

Case of 20 Single-dose flexible plastic containers

25,000 USP Units/500 mL

(50 USP Units/mL)

Store at 20°C to 25°C (68°F to 77°F). [See USP Controlled Room Temperature.] Protect from freezing.

5.6 Coagulation Testing and Monitoring

When heparin sodium is administered in therapeutic amounts, its dosage should be monitored by frequent blood coagulation tests. If the coagulation test is unduly prolonged or if hemorrhage occurs, heparin sodium should be discontinued promptly [see Overdosage (10)]. Periodic platelet counts, hematocrits and tests for occult blood in stool are recommended during the entire course of heparin therapy [see Dosage and Administration (2.2)].

7.5 Drug/laboratory Tests Interactions (7.5 Drug/Laboratory Tests Interactions)

Prothrombin time – Heparin sodium may prolong the one-stage prothrombin time. Therefore, when heparin sodium is given with warfarin, allow a period of at least 5 hours after the last intravenous dose or 24 hours after the last subcutaneous dose of heparin to elapse before blood is drawn to obtain a valid prothrombin time.

2.2 Laboratory Monitoring for Efficacy and Safety

The dosage of heparin sodium should be adjusted according to the patient's coagulation test results. When heparin is given by continuous intravenous infusion, the coagulation time should be determined approximately every 4 hours in the early stages of treatment. When the drug is administered intermittently by intravenous injection, coagulation tests should be performed before each injection during the early stages of treatment and at appropriate intervals thereafter. Dosage is considered adequate when the activated partial thromboplastin time (APTT) is 1.5 to 2 times normal or when the whole blood clotting time is elevated approximately 2.5 to 3 times the control value.

Periodic platelet counts, hematocrits, and tests for occult blood in stool are recommended during the entire course of heparin therapy.

Principal Display Panel 250 Ml Bag Label 0012 (PRINCIPAL DISPLAY PANEL - 250 mL Bag Label - 0012)

250mL

NDC 0409-0012-02



12,500 USP Units / 250 mL

(50 USP Units / mL)

Heparin Sodium in

0.45% Sodium Chloride Injection

Each 100 mL contains Heparin Sodium 5,000 USP Units

(Porcine Intestinal Mucosa); Sodium Chloride 0.45 g;

Edetate Disodium, Anhydrous 10 mg added as stabilizer.

May contain Sodium Hydroxide and/or Hydrochloric Acid

for pH adjustment.

Sterile. Not made with natural rubber latex.

Recommended dosage: See prescribing information.

Additives should not be made to this solution.

Single dose container. Discard unused portion.

For Intravenous Use only.

Check for minute leaks. If leaks are found, discard.

Store at 20℃ to 25℃ (68℉ to 77℉). [See USP Controlled

Room Temperature.] Protect from freezing.

Do not remove from overwrap until ready for use.

Distributed by Hospira, Inc., Lake Forest, IL 60045 USA

Rx ONLY

5

PP

Hospira

Principal Display Panel 250 Ml Bag Label 7650 (PRINCIPAL DISPLAY PANEL - 250 mL Bag Label - 7650)

250 mL

NDC 0409-7650-52

HEPARIN SODIUM

25,000 USP Units

per 250 mL

(100 USP Units/mL)

in 0.45% Sodium Chloride Injection

EACH 100 mL CONTAINS HEPARIN

SODIUM 10,000 USP UNITS (PORCINE

INTESTINAL MUCOSA); SODIUM

CHLORIDE 0.45 g; EDETATE DISODIUM,

ANHYDROUS 10 mg ADDED AS STABILIZER.

MAY CONTAIN SODIUM HYDROXIDE

AND/OR HYDROCHLORIC ACID FOR pH

ADJUSTMENT. STERILE. NOT MADE WITH

NATURAL RUBBER LATEX.

USUAL DOSAGE: SEE INSERT.

ADDITIVES SHOULD NOT

BE MADE TO THIS SOLUTION.

SINGLE DOSE CONTAINER. DISCARD

UNUSED PORTION. FOR INTRAVENOUS

USE ONLY.

Rx only

3

V

CONTAINS DEHP

IM-3954

HOSPIRA, INC., LAKE FOREST, IL 60045 USA

Hospira

Principal Display Panel 250 Ml Bag Label 7651 (PRINCIPAL DISPLAY PANEL - 250 mL Bag Label - 7651)

250 mL

NDC 0409-7651-52

12,500 USP Units / 250 mL

(50 USP Units / mL)

Heparin Sodium in

0.45% Sodium Chloride Injection

EACH 100 mL CONTAINS HEPARIN SODIUM

5,000 USP UNITS (PORCINE INTESTINAL

MUCOSA); SODIUM CHLORIDE 0.45 g;

EDETATE DISODIUM, ANHYDROUS

10 mg ADDED AS STABILIZER. MAY

CONTAIN SODIUM HYDROXIDE AND/OR

HYDROCHLORIC ACID FOR pH ADJUSTMENT.

STERILE. NOT MADE WITH NATURAL

RUBBER LATEX. USUAL DOSAGE: SEE INSERT.

ADDITIVES SHOULD NOT BE MADE

TO THIS SOLUTION.

SINGLE DOSE CONTAINER. DISCARD

UNUSED PORTION. FOR INTRAVENOUS USE

ONLY.

Rx ONLY

3

V

CONTAINS DEHP

Hospira

IM-3959

HOSPIRA, INC., LAKE FOREST, IL 60045 USA

Principal Display Panel 500 Ml Bag Label 3150 (PRINCIPAL DISPLAY PANEL - 500 mL Bag Label - 3150)

500mL

NDC 0409-3150-05

25,000 USP Units / 500 mL

(50 USP Units / mL)

Heparin Sodium

25,000 USP Units / 500 mL

(50 USP Units / mL)

in 0.45% Sodium Chloride Injection

Each 100 mL contains Heparin Sodium 5,000 USP Units

(Porcine Intestinal Mucosa); Sodium Chloride 0.45 g; Edetate

Disodium, Anhydrous 10 mg added as stabilizer. May contain Sodium

Hydroxide and/or Hydrochloric Acid for pH adjustment.

Sterile. Not made with natural rubber latex.

Recommended dosage: See prescribing information.

Additives should not be made to this solution.

Single dose container. Discard unused portion.

For Intravenous Use only. Inspect bag by squeezing firmly. If leaks are found,

discard. Store at 20℃ to 25℃ (68℉ to 77℉). [See USP Controlled

Room Temperature.] Protect from freezing.

Do not remove from overwrap until ready for use.

Rx ONLY

5

PP

Distributed by Hospira, Inc.,

Lake Forest, IL 60045 USA

Hospira

Principal Display Panel 500 Ml Bag Label 7651 (PRINCIPAL DISPLAY PANEL - 500 mL Bag Label - 7651)

500 mL

25,000 USP Units / 500 mL

(50 USP Units / mL)

NDC 0409-7651-13

Heparin Sodium in

0.45% Sodium Chloride Injection

EACH 100 mL CONTAINS HEPARIN SODIUM 5,000 USP

UNITS (PORCINE INTESTINAL MUCOSA); SODIUM

CHLORIDE 0.45 g; EDETATE DISODIUM, ANHYDROUS

10 mg ADDED AS STABILIZER. MAY CONTAIN SODIUM

HYDROXIDE AND/OR HYDROCHLORIC ACID FOR

pH ADJUSTMENT. STERILE. NOT MADE WITH NATURAL

RUBBER LATEX. USUAL DOSAGE: SEE INSERT.

ADDITIVES SHOULD NOT BE MADE TO THIS SOLUTION.

SINGLE DOSE CONTAINER. DISCARD UNUSED PORTION.

FOR INTRAVENOUS USE ONLY.

Rx ONLY

3

V

CONTAINS DEHP

IM-3958

HOSPIRA, INC., LAKE FOREST, IL 60045 USA

Hospira

Principal Display Panel 250 Ml Bag Overwrap 7650 (PRINCIPAL DISPLAY PANEL - 250 mL Bag Overwrap - 7650)

2

HDPE

TO OPEN TEAR AT NOTCH

DO NOT REMOVE FROM OVERWRAP UNTIL READY FOR USE. AFTER REMOVING

THE OVERWRAP, CHECK FOR MINUTE LEAKS BY SQUEEZING CONTAINER FIRMLY.

IF LEAKS ARE FOUND, DISCARD SOLUTION AS STERILITY MAY BE IMPAIRED.

RECOMMENDED STORAGE: ROOM TEMPERATURE (25°C). AVOID EXCESSIVE

HEAT. PROTECT FROM FREEZING. SEE INSERT.

98-4321-R14-3/98

Principal Display Panel 250 Ml Bag Overwrap 7651 (PRINCIPAL DISPLAY PANEL - 250 mL Bag Overwrap - 7651)

2

HDPE

TO OPEN TEAR AT NOTCH

DO NOT REMOVE FROM OVERWRAP UNTIL READY FOR USE. AFTER REMOVING

THE OVERWRAP, CHECK FOR MINUTE LEAKS BY SQUEEZING CONTAINER FIRMLY.

IF LEAKS ARE FOUND, DISCARD SOLUTION AS STERILITY MAY BE IMPAIRED.

RECOMMENDED STORAGE: ROOM TEMPERATURE (25°C). AVOID EXCESSIVE

HEAT. PROTECT FROM FREEZING. SEE INSERT.

98-4321-R14-3/98

Principal Display Panel 500 Ml Bag Overwrap 7651 (PRINCIPAL DISPLAY PANEL - 500 mL Bag Overwrap - 7651)

2

HDPE

TO OPEN TEAR AT NOTCH

DO NOT REMOVE FROM OVERWRAP UNTIL READY FOR USE. AFTER REMOVING

THE OVERWRAP, CHECK FOR MINUTE LEAKS BY SQUEEZING CONTAINER FIRMLY.

IF LEAKS ARE FOUND, DISCARD SOLUTION AS STERILITY MAY BE IMPAIRED.

RECOMMENDED STORAGE: ROOM TEMPERATURE (25°C). AVOID EXCESSIVE

HEAT. PROTECT FROM FREEZING. SEE INSERT.

98-4321-R14-3/98

13.1 Carcinogenesis, Mutagenesis, Impairment of Fertility

Long-term studies in animals to evaluate the carcinogenic potential, reproduction studies in animals to determine effects on fertility of males and females, and the studies to determine mutagenic potential have not been conducted.

2.7 Converting to Oral Anticoagulants Other Than Warfarin

For patients currently receiving intravenous heparin, stop intravenous infusion of heparin sodium immediately after administering the first dose of oral anticoagulant; or for intermittent intravenous administration of heparin sodium, start oral anticoagulant 0 to 2 hours before the time that the next dose of heparin was to have been administered.

2.3 Therapeutic Anticoagulant Effect With Full Dose Heparin (2.3 Therapeutic Anticoagulant Effect With Full-Dose Heparin)

The dosing recommendations in Table 1 are based on clinical experience. Although dosage must be adjusted for the individual patient according to the results of suitable laboratory tests, the following dosage schedules may be used as guidelines:

Table 1: Recommended Adult Full-Dose Heparin Regimens for Therapeutic Anticoagulant Effect

Method of

Administration

Frequency

Recommended Dose

Based on 150 lb. (68 kg) patient.

Intermittent

Intravenous Injection

Initial Dose

10,000 Units

Every 4 to 6 hours

5,000 Units to 10,000 Units

Continuous

Intravenous Infusion

Initial Dose

5,000 Units by intravenous injection

Continuous

20,000 Units/24 hours to 40,000 Units/24 hours

5.3 Heparin Induced Thrombocytopenia (hit) (with Or Without Thrombosis) (5.3 Heparin-induced Thrombocytopenia (HIT) (With or Without Thrombosis))

HIT is a serious immune-mediated reaction resulting from irreversible aggregation of platelets. HIT may progress to the development of venous and arterial thromboses, a condition known as HIT with thrombosis. Thrombotic events may also be the initial presentation for HIT. These serious thromboembolic events include deep vein thrombosis, pulmonary embolism, cerebral vein thrombosis, limb ischemia, stroke, myocardial infarction, thrombus formation on a prosthetic cardiac valve, mesenteric thrombosis, renal arterial thrombosis, skin necrosis, gangrene of the extremities that may lead to amputation, and fatal outcomes.

Once HIT (with or without thrombosis) is diagnosed or strongly suspected, all heparin sodium sources (including heparin flushes) should be discontinued and an alternative anticoagulant used. Future use of heparin sodium, especially within 3 to 6 months following the diagnosis of HIT (with or without thrombosis), and while patients test positive for HIT antibodies, should be avoided.

Thrombocytopenia of any degree should be monitored closely. If the platelet count falls below 100,000/mm3 or if recurrent thrombosis develops, the heparin product should be promptly discontinued and alternative anticoagulants considered if patients require continued anticoagulation.

5.4 Unresponsiveness to Heparin With Concomitant Use With Andexanet Alfa (5.4 Unresponsiveness to Heparin with Concomitant Use With Andexanet Alfa)

Unresponsiveness to unfractionated heparin leading to non-prolongation of activated clotting times and serious thrombotic events has occurred when unfractionated heparin was administered after use of andexanet alfa for the reversal of direct Factor Xa inhibitors (apixaban and rivaroxaban). Avoid use of heparin after use of andexanet alfa. Use an alternative anticoagulant to heparin  [see Drug Interactions (7.3)].

7.3 Unresponsiveness to Heparin With Concomitant Use With Andexanet Alfa

Andexanet binds to heparin-bound antithrombin III (ATIII) and may reduce the anticoagulant effect of heparin. Unresponsiveness to unfractionated heparin may lead to serious and life-threatening thrombotic events. Use of andexanet alfa as an antidote for heparin has not been established. Avoid use of heparin after use of andexanet alfa for the reversal of direct Factor Xa inhibitors (apixaban and rivaroxaban). If anticoagulation is needed, use an alternative anticoagulant to heparin [see Warnings and Precautions (5.4)].


Advanced Ingredient Data


Raw Label Data

All Sections (JSON)