These Highlights Do Not Include All The Information Needed To Use Amoxicillin Capsules Safely And Effectively. See Full Prescribing Information For Amoxicillin Capsules.

These Highlights Do Not Include All The Information Needed To Use Amoxicillin Capsules Safely And Effectively. See Full Prescribing Information For Amoxicillin Capsules.
SPL v21
SPL
SPL Set ID 039d2677-b04f-436c-e063-6294a90ac519
Route
ORAL
Published
Effective Date 2023-08-23
Document Type 34391-3 HUMAN PRESCRIPTION DRUG LABEL

Drug Facts

Composition & Product

Active Ingredients
Amoxicillin Anhydrous (500 mg)
Inactive Ingredients
Croscarmellose Sodium Gelatin Magnesium Stearate Titanium Dioxide Ferric Oxide Yellow

Identifiers & Packaging

Pill Appearance
Shape: capsule Color: white Size: 20 mm Score: 1
Marketing Status
ANDA Active Since 2007-03-01

Description

To reduce the development of drug-resistant bacteria and maintain the effectiveness of amoxicillin and other antibacterial drugs, amoxicillin should be used only to treat infections that are proven or strongly suspected to be caused by bacteria. When culture and susceptibility information are available, they should be considered in selecting or modifying antibacterial therapy. In the absence of such data, local epidemiology and susceptibility patterns may contribute to the empiric selection of therapy. Amoxicillin Capsules are indicated in the treatment of infections due to susceptible (ONLY β-lactamase–negative) isolates of the designated bacteria in the conditions listed below:

Indications and Usage

To reduce the development of drug-resistant bacteria and maintain the effectiveness of amoxicillin and other antibacterial drugs, amoxicillin should be used only to treat infections that are proven or strongly suspected to be caused by bacteria. When culture and susceptibility information are available, they should be considered in selecting or modifying antibacterial therapy. In the absence of such data, local epidemiology and susceptibility patterns may contribute to the empiric selection of therapy. Amoxicillin Capsules are indicated in the treatment of infections due to susceptible (ONLY β-lactamase–negative) isolates of the designated bacteria in the conditions listed below:

Dosage and Administration

In adults, 750-1750 mg/day in divided doses every 8-12 hours. In Pediatric Patients > 3 Months of Age, 20-45 mg/kg/day in divided doses every 8-12 hours. Refer to full prescribing information for specific dosing regimens. ( 2.1 , 2.2 , 2.3 ) Treatment of gonorrhea is 3 grams as a single oral dose. ( 2.1 ) The upper dose for neonates and infants ≤ 3 months is 30 mg/kg/day divided every 12 hours. ( 2.2 ) Dosing for H. pylori Infection: Triple therapy: 1 gram amoxicillin, 500 mg clarithromycin, and 30 mg lansoprazole, all given twice daily (every 12 hours) for 14 days. Dual therapy: 1 gram amoxicillin and 30 mg lansoprazole, each given three times daily (every 8 hours) for 14 days. ( 2.3 ) Reduce the dose in patients with severe renal impairment (GFR <30 mL/min). ( 2.4 )

Warnings and Precautions

Anaphylactic reactions: Serious and occasionally fatal anaphylactic reactions have been reported in patients on penicillin therapy. Serious anaphylactic reactions require immediate emergency treatment with supportive measures. ( 5.1 ) Clostridium difficile -associated diarrhea (ranging from mild diarrhea to fatal colitis): Evaluate if diarrhea occurs. ( 5.2 )

Contraindications

Amoxicillin is contraindicated in patients who have experienced a serious hypersensitivity reaction (e.g., anaphylaxis or Stevens-Johnson syndrome) to amoxicillin or to other β-lactam antibiotics (e.g., penicillins and cephalosporins).

Adverse Reactions

The following are discussed in more detail in other sections of the labeling: Anaphylactic reactions [see Warnings and Precautions ( 5.1 )] CDAD [see Warnings and Precautions ( 5.2 )]

Drug Interactions

Probenicid decreases renal tubular secretion of amoxicillin which may result in increased blood levels of amoxicillin. ( 7.1 ) Concomitant use of amoxicillin and oral anticoagulants may increase the prolongation of prothrombin time. ( 7.2 ) Coadministration with allopurinol increases the risk of rash. ( 7.3 ) Amoxicillin may reduce the efficacy of oral contraceptives. ( 7.4 )

Storage and Handling

Amoxicillin Capsules, USP 500 mg are available as ivory cap and ivory body. The cap of the 500 mg capsule is imprinted with West-ward and the body with 939. NDC 72789-254-21: Bottle of 21 Capsules NDC 72789-254-60: Bottle of 60 Capsules Store at 20°-25°C (68°-77°F) [See USP Controlled Room Temperature]. Dispense in a tight, light-resistant container as defined in the USP using a child-resistant closure.

How Supplied

Amoxicillin Capsules, USP 500 mg are available as ivory cap and ivory body. The cap of the 500 mg capsule is imprinted with West-ward and the body with 939. NDC 72789-254-21: Bottle of 21 Capsules NDC 72789-254-60: Bottle of 60 Capsules Store at 20°-25°C (68°-77°F) [See USP Controlled Room Temperature]. Dispense in a tight, light-resistant container as defined in the USP using a child-resistant closure.


Medication Information

Warnings and Precautions

Anaphylactic reactions: Serious and occasionally fatal anaphylactic reactions have been reported in patients on penicillin therapy. Serious anaphylactic reactions require immediate emergency treatment with supportive measures. ( 5.1 ) Clostridium difficile -associated diarrhea (ranging from mild diarrhea to fatal colitis): Evaluate if diarrhea occurs. ( 5.2 )

Indications and Usage

To reduce the development of drug-resistant bacteria and maintain the effectiveness of amoxicillin and other antibacterial drugs, amoxicillin should be used only to treat infections that are proven or strongly suspected to be caused by bacteria. When culture and susceptibility information are available, they should be considered in selecting or modifying antibacterial therapy. In the absence of such data, local epidemiology and susceptibility patterns may contribute to the empiric selection of therapy. Amoxicillin Capsules are indicated in the treatment of infections due to susceptible (ONLY β-lactamase–negative) isolates of the designated bacteria in the conditions listed below:

Dosage and Administration

In adults, 750-1750 mg/day in divided doses every 8-12 hours. In Pediatric Patients > 3 Months of Age, 20-45 mg/kg/day in divided doses every 8-12 hours. Refer to full prescribing information for specific dosing regimens. ( 2.1 , 2.2 , 2.3 ) Treatment of gonorrhea is 3 grams as a single oral dose. ( 2.1 ) The upper dose for neonates and infants ≤ 3 months is 30 mg/kg/day divided every 12 hours. ( 2.2 ) Dosing for H. pylori Infection: Triple therapy: 1 gram amoxicillin, 500 mg clarithromycin, and 30 mg lansoprazole, all given twice daily (every 12 hours) for 14 days. Dual therapy: 1 gram amoxicillin and 30 mg lansoprazole, each given three times daily (every 8 hours) for 14 days. ( 2.3 ) Reduce the dose in patients with severe renal impairment (GFR <30 mL/min). ( 2.4 )

Contraindications

Amoxicillin is contraindicated in patients who have experienced a serious hypersensitivity reaction (e.g., anaphylaxis or Stevens-Johnson syndrome) to amoxicillin or to other β-lactam antibiotics (e.g., penicillins and cephalosporins).

Adverse Reactions

The following are discussed in more detail in other sections of the labeling: Anaphylactic reactions [see Warnings and Precautions ( 5.1 )] CDAD [see Warnings and Precautions ( 5.2 )]

Drug Interactions

Probenicid decreases renal tubular secretion of amoxicillin which may result in increased blood levels of amoxicillin. ( 7.1 ) Concomitant use of amoxicillin and oral anticoagulants may increase the prolongation of prothrombin time. ( 7.2 ) Coadministration with allopurinol increases the risk of rash. ( 7.3 ) Amoxicillin may reduce the efficacy of oral contraceptives. ( 7.4 )

Storage and Handling

Amoxicillin Capsules, USP 500 mg are available as ivory cap and ivory body. The cap of the 500 mg capsule is imprinted with West-ward and the body with 939. NDC 72789-254-21: Bottle of 21 Capsules NDC 72789-254-60: Bottle of 60 Capsules Store at 20°-25°C (68°-77°F) [See USP Controlled Room Temperature]. Dispense in a tight, light-resistant container as defined in the USP using a child-resistant closure.

How Supplied

Amoxicillin Capsules, USP 500 mg are available as ivory cap and ivory body. The cap of the 500 mg capsule is imprinted with West-ward and the body with 939. NDC 72789-254-21: Bottle of 21 Capsules NDC 72789-254-60: Bottle of 60 Capsules Store at 20°-25°C (68°-77°F) [See USP Controlled Room Temperature]. Dispense in a tight, light-resistant container as defined in the USP using a child-resistant closure.

Description

To reduce the development of drug-resistant bacteria and maintain the effectiveness of amoxicillin and other antibacterial drugs, amoxicillin should be used only to treat infections that are proven or strongly suspected to be caused by bacteria. When culture and susceptibility information are available, they should be considered in selecting or modifying antibacterial therapy. In the absence of such data, local epidemiology and susceptibility patterns may contribute to the empiric selection of therapy. Amoxicillin Capsules are indicated in the treatment of infections due to susceptible (ONLY β-lactamase–negative) isolates of the designated bacteria in the conditions listed below:

1.2

– due to Escherichia coli, Proteus mirabilis, or Enterococcus faecalis.

1.3

– due to Streptococcusspp.

(α- and β-hemolytic isolates only), Staphylococcusspp., or E. coli.

1.4

– due to Streptococcusspp.

(α- and β-hemolytic isolates only), S. pneumoniae, Staphylococcusspp., or H. influenzae.

1.5

– due to Neisseria gonorrhoeae.

Because of high rates of amoxicillin resistance, Amoxicillin Capsules are not recommended for empiric treatment of gonorrhea. Amoxicillin Capsules use should be limited to situations where N. gonorrhoeaeisolates are known to be susceptible to amoxicillin.

5.2

Clostridium difficileassociated diarrhea (CDAD) has been reported with use of nearly all antibacterial agents, including amoxicillin, and may range in severity from mild diarrhea to fatal colitis. Treatment with antibacterial agents alters the normal flora of the colon leading to overgrowth of C. difficile.

C. difficileproduces toxins A and B which contribute to the development of CDAD. Hypertoxin-producing strains of C. difficilecause increased morbidity and mortality, as these infections can be refractory to antimicrobial therapy and may require colectomy. CDAD must be considered in all patients who present with diarrhea following antibacterial use. Careful medical history is necessary since CDAD has been reported to occur over 2 months after the administration of antibacterial agents.

If CDAD is suspected or confirmed, ongoing antibiotic use not directed against C. difficilemay need to be discontinued. Appropriate fluid and electrolyte management, protein supplementation, antibiotic treatment of C. difficile, and surgical evaluation should be instituted as clinically indicated.

14.1

Randomized, double-blind clinical studies performed in the United States in patients with H. pyloriand duodenal ulcer disease (defined as an active ulcer or history of an ulcer within 1 year) evaluated the efficacy of lansoprazole in combination with amoxicillin capsules and clarithromycin tablets as triple 14-day therapy, or in combination with amoxicillin capsules as dual 14-day therapy, for the eradication of H. pylori. Based on the results of these studies, the safety and efficacy of 2 different eradication regimens were established: Triple therapy:Amoxicillin 1 gram twice daily/clarithromycin 500 mg twice daily/lansoprazole 30 mg twice daily (see Table 6). Dual therapy:Amoxicillin 1 gram three times daily/lansoprazole 30 mg three times daily (see Table 7). All treatments were for 14 days. H. pylorieradication was defined as 2 negative tests (culture and histology) at 4 to 6 weeks following the end of treatment. Triple therapy was shown to be more effective than all possible dual therapy combinations. Dual therapy was shown to be more effective than both monotherapies. Eradication of H. pylorihas been shown to reduce the risk of duodenal ulcer recurrence.

Table 6. H. pylori Eradication Rates When Amoxicillin is Administered as Part of a Triple Therapy Regimen
Study

Triple Therapy Triple Therapy
Evaluable Analysis a

[95% Confidence Interval]

(number of patients)
Intent-to-Treat Analysis b

[95% Confidence Interval]

(number of patients)
Study 1 92

[80 - 97.7]

(n=48)
86

[73.3 – 93.5]

(n=55)
Study 2 86

[75.7 - 93.6]

(n=66)
83

[72 - 90.8]

(n=70)

aThis analysis was based on evaluable patients with confirmed duodenal ulcer (active or within 1 year) and H. pyloriinfection at baseline defined as at least 2 of 3 positive endoscopic tests from CLOtest ®, histology, and/or culture. Patients were included in the analysis if they completed the study. Additionally, if patients dropped out of the study due to an adverse event related to the study drug, they were included in the analysis as failures of therapy.

bPatients were included in the analysis if they had documented H. pyloriinfection at baseline as defined above and had a confirmed duodenal ulcer (active or within 1 year). All dropouts were included as failures of therapy.

Table 7. H. pylori Eradication Rates When Amoxicillin is Administered as Part of a Dual Therapy Regimen
Study

Dual Therapy Dual Therapy
Evaluable Analysis a

[95% Confidence Interval]

(number of patients)
Intent-to-Treat Analysis b

[95% Confidence Interval]

(number of patients)
Study 1 77

[62.5 - 87.2]

(n=51)
70

[56.8 – 81.2]

(n=60)
Study 2 66

[51.9 - 77.5]

(n=58)
61

[48.5 - 72.9]

(n=67)

aThis analysis was based on evaluable patients with confirmed duodenal ulcer (active or within 1 year) and H. pyloriinfection at baseline defined as at least 2 of 3 positive endoscopic tests from CLOtest ®, histology, and/or culture. Patients were included in the analysis if they completed the study. Additionally, if patients dropped out of the study due to an adverse event related to the study drug, they were included in the analysis as failures of therapy.

bPatients were included in the analysis if they had documented H. pyloriinfection at baseline as defined above and had a confirmed duodenal ulcer (active or within 1 year). All dropouts were included as failures of therapy.

10 Overdosage

In case of overdosage, discontinue medication, treat symptomatically, and institute supportive measures as required. A prospective study of 51 pediatric patients at a poison control center suggested that overdosages of less than 250 mg/kg of amoxicillin are not associated with significant clinical symptoms.

Interstitial nephritis resulting in oliguric renal failure has been reported in a small number of patients after overdosage with amoxicillin 1.

Crystalluria, in some cases leading to renal failure, has also been reported after amoxicillin overdosage in adult and pediatric patients. In case of overdosage, adequate fluid intake and diuresis should be maintained to reduce the risk of amoxicillin crystalluria.

Renal impairment appears to be reversible with cessation of drug administration. High blood levels may occur more readily in patients with impaired renal function because of decreased renal clearance of amoxicillin. Amoxicillin may be removed from circulation by hemodialysis.

15 References
  • Swanson-Biearman B, Dean BS, Lopez G, Krenzelok EP. The effects of penicillin and cephalosporin ingestions in children less than six years of age. Vet Hum Toxicol. 1988; 30: 66-67.
8.1 Pregnancy

Teratogenic Effects: Pregnancy Category B. Reproduction studies have been performed in mice and rats at doses up to 2000 mg/kg (3 and 6 times the 3 g human dose, based on body surface area). There was no evidence of harm to the fetus due to amoxicillin. There are, however, no adequate and well-controlled studies in pregnant women. Because animal reproduction studies are not always predictive of human response, amoxicillin should be used during pregnancy only if clearly needed.

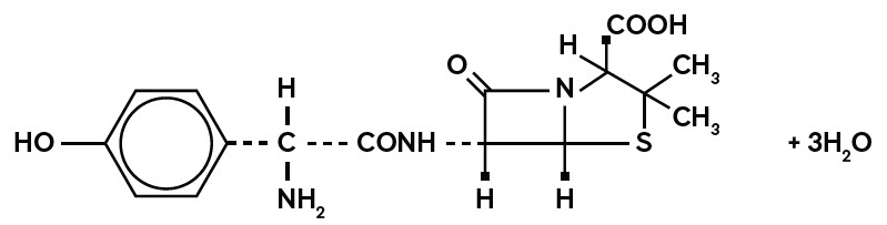
11 Description

Formulations of Amoxicillin Capsules, USP contain amoxicillin, a semisynthetic antibiotic, an analog of ampicillin, with a broad spectrum of bactericidal activity against many Gram-positive and Gram-negative microorganisms. Chemically, it is (2S,5R,6R)-6-[(R)-(-)-2-amino-2-(p-hydroxyphenyl)acetamido]-3,3-dimethyl-7-oxo-4-thia-1-zabicyclo[3.2.0]heptane-2-carboxylic acid trihydrate. It may be represented structurally as:

The amoxicillin molecular formula is C 16H 19N 3O 5S•3H 2O and the molecular weight is 419.45.

Capsules:Each Amoxicillin Capsule, USP contains 250 mg or 500 mg amoxicillin as the trihydrate. The 250 mg capsule with caramel cap and ivory body is imprinted with West-ward 938, while the 500 mg capsule with ivory cap and ivory body is imprinted with West-ward 939. Inactive ingredients: croscarmellose Sodium, gelatin, magnesium stearate, titanium dioxide and yellow iron oxide. Additionally, the 250 mg capsules contain black iron oxide and red iron oxide.

2.3 Dosing For

Triple therapy:The recommended adult oral dose is 1 gram amoxicillin, 500 mg clarithromycin, and 30 mg lansoprazole, all given twice daily (every 12 hours) for 14 days.

Dual therapy:The recommended adult oral dose is 1 gram amoxicillin and 30 mg lansoprazole, each given three times daily (every 8 hours) for 14 days.

Please refer to clarithromycin and lansoprazole full prescribing information.

7.1 Probenecid

Probenecid decreases the renal tubular secretion of amoxicillin. Concurrent use of amoxicillin and probenecid may result in increased and prolonged blood levels of amoxicillin.

7.3 Allopurinol

The concurrent administration of allopurinol and amoxicillin increases the incidence of rashes in patients receiving both drugs as compared to patients receiving amoxicillin alone. It is not known whether this potentiation of amoxicillin rashes is due to allopurinol or the hyperuricemia present in these patients.

12.4 Microbiology

Mechanism of Action

Amoxicillin is similar to penicillin in its bactericidal action against susceptible bacteria during the stage of active multiplication. It acts through the inhibition of cell wall biosynthesis that leads to the death of the bacteria.

Method of Resistance

Resistance to amoxicillin is mediated primarily through enzymes called beta-lactamases that cleave the beta-lactam ring of amoxicillin, rendering it inactive.

Amoxicillin has been shown to be active against most isolates of the bacteria listed below, both in vitroand in clinical infections as described in the INDICATIONS AND USAGE section.

Gram-Positive Bacteria Gram-Negative Bacteria
Enterococcus faecalis

Staphylococcus spp.

Streptococcus pneumoniae

α and β-hemolytic streptococci.

Escherichia coli

Haemophilus influenzae

Neisseria gonorrhoeae

Proteus mirabilis

Helicobacter pylori

Susceptibility Testing

For specific information regarding susceptibility test interpretive criteria and associated test methods and quality control standards recognized by FDA for this drug, please see: https://www.fda.gov/STIC.

8.4 Pediatric Use

Because of incompletely developed renal function in neonates and young infants, the elimination of amoxicillin may be delayed. Dosing of amoxicillin should be modified in pediatric patients 12 weeks or younger (≤ 3 months). [See Dosage and Administration ( 2.2).]

8.5 Geriatric Use

An analysis of clinical studies of amoxicillin was conducted to determine whether subjects aged 65 and over respond differently from younger subjects. These analyses have not identified differences in responses between the elderly and younger patients, but a greater sensitivity of some older individuals cannot be ruled out.

This drug is known to be substantially excreted by the kidney, and the risk of toxic reactions to this drug may be greater in patients with impaired renal function. Because elderly patients are more likely to have decreased renal function, care should be taken in dose selection, and it may be useful to monitor renal function.

4 Contraindications

Amoxicillin is contraindicated in patients who have experienced a serious hypersensitivity reaction (e.g., anaphylaxis or Stevens-Johnson syndrome) to amoxicillin or to other β-lactam antibiotics (e.g., penicillins and cephalosporins).

6 Adverse Reactions

The following are discussed in more detail in other sections of the labeling:

  • Anaphylactic reactions [see Warnings and Precautions ( 5.1)]
  • CDAD [see Warnings and Precautions ( 5.2)]
7 Drug Interactions
  • Probenicid decreases renal tubular secretion of amoxicillin which may result in increased blood levels of amoxicillin. ( 7.1)
  • Concomitant use of amoxicillin and oral anticoagulants may increase the prolongation of prothrombin time. ( 7.2)
  • Coadministration with allopurinol increases the risk of rash. ( 7.3)
  • Amoxicillin may reduce the efficacy of oral contraceptives. ( 7.4)
8.3 Nursing Mothers

Penicillins have been shown to be excreted in human milk. Amoxicillin use by nursing mothers may lead to sensitization of infants. Caution should be exercised when amoxicillin is administered to a nursing woman.

12.3 Pharmacokinetics

Absorption: Amoxicillin is stable in the presence of gastric acid and is rapidly absorbed after oral administration. The effect of food on the absorption of amoxicillin from the tablets and suspension of amoxicillin has been partially investigated; 400 mg and 875 mg formulations have been studied only when administered at the start of a light meal.

Orally administered doses of 250 mg and 500 mg amoxicillin capsules result in average peak blood levels 1 to 2 hours after administration in the range of 3.5 mcg/mL to 5 mcg/mL and 5.5 mcg/mL to 7.5 mcg/mL, respectively.

Mean amoxicillin pharmacokinetic parameters from an open, two-part, single-dose crossover bioequivalence study in 27 adults comparing 875 mg of amoxicillin with 875 mg of amoxicillin/clavulanate potassium showed that the 875 mg tablet of amoxicillin produces an AUC 0-∞of 35.4 ± 8.1 mcg•hr/mL and a C maxof 13.8 ± 4.1 mcg/mL. Dosing was at the start of a light meal following an overnight fast.

Orally administered doses of amoxicillin suspension, 125 mg/5 mL and 250 mg/5 mL, result in average peak blood levels 1 to 2 hours after administration in the range of 1.5 mcg/mL to 3 mcg/mL and 3.5 mcg/mL to 5 mcg/mL, respectively.

Oral administration of single doses of 400 mg chewable tablets and 400 mg/5 mL suspension of amoxicillin to 24 adult volunteers yielded comparable pharmacokinetic data:

Table 3. Mean Pharmacokinetic Parameters of Amoxicillin (400 mg chewable tablets and 400 mg/5 mL suspension) in Healthy Adults
Dose* AUC 0-∞   (mcg• hr/mL) C max (mcg/mL)
Amoxicillin Amoxicillin (±S.D) Amoxicillin (±S.D)
400mg (5 mL of suspension) 17.1 (3.1) 5.92 (1.62)
400 mg (1 chewable tablet) 17.9 (2.4) 5.18 (1.64)

* Administered at the start of a light meal.

Mean values of 24 normal volunteers. Peak concentrations occurred approximately 1 hour after the dose.

Distribution: Amoxicillin diffuses readily into most body tissues and fluids, with the exception of brain and spinal fluid, except when meninges are inflamed. In blood serum, amoxicillin is approximately 20% protein-bound. Following a 1-gram dose and utilizing a special skin window technique to determine levels of the antibiotic, it was noted that therapeutic levels were found in the interstitial fluid.

Metabolism and Excretion: The half-life of amoxicillin is 61.3 minutes. Approximately 60% of an orally administered dose of amoxicillin is excreted in the urine within 6 to 8 hours. Detectable serum levels are observed up to 8 hours after an orally administered dose of amoxicillin. Since most of the amoxicillin is excreted unchanged in the urine, its excretion can be delayed by concurrent administration of probenecid [see DRUG INTERACTIONS ( 7.1)] .

8.2 Labor and Delivery

Oral ampicillin is poorly absorbed during labor. It is not known whether use of amoxicillin in humans during labor or delivery has immediate or delayed adverse effects on the fetus, prolongs the duration of labor, or increases the likelihood of the necessity for an obstetrical intervention.

1 Indications and Usage

To reduce the development of drug-resistant bacteria and maintain the effectiveness of amoxicillin and other antibacterial drugs, amoxicillin should be used only to treat infections that are proven or strongly suspected to be caused by bacteria. When culture and susceptibility information are available, they should be considered in selecting or modifying antibacterial therapy. In the absence of such data, local epidemiology and susceptibility patterns may contribute to the empiric selection of therapy.

Amoxicillin Capsules are indicated in the treatment of infections due to susceptible (ONLY β-lactamase–negative) isolates of the designated bacteria in the conditions listed below:

1.1       Infectio

– due to Streptococcusspecies,

(α- and β-hemolytic isolates only), Streptococcus pneumoniae, Staphylococcusspp., or Haemophilus influenzae.

7.2 Oral Anticoagulants

Abnormal prolongation of prothrombin time (increased international normalized ratio [INR]) has been reported in patients receiving amoxicillin and oral anticoagulants. Appropriate monitoring should be undertaken when anticoagulants are prescribed concurrently. Adjustments in the dose of oral anticoagulants may be necessary to maintain the desired level of anticoagulation.

7.4 Oral Contraceptives

Amoxicillin may affect the gut flora, leading to lower estrogen reabsorption and reduced efficacy of combined oral estrogen/progesterone contraceptives.

Principal Display Panel

NDC 72789-254-21: 21 Capsules

Amoxicillin

Capsules, USP

500 mg


Rx only

12.1 Mechanism of Action

Amoxicillin is an antibacterial drug. [see Microbiology ( 12.4)] .

7.5 Other Antibacterials

Chloramphenicol, macrolides, sulfonamides, and tetracyclines may interfere with the bactericidal effects of penicillin. This has been demonstrated in vitro; however, the clinical significance of this interaction is not well documented.

5 Warnings and Precautions
  • Anaphylactic reactions: Serious and occasionally fatal anaphylactic reactions have been reported in patients on penicillin therapy. Serious anaphylactic reactions require immediate emergency treatment with supportive measures. ( 5.1)
  • Clostridium difficile-associated diarrhea (ranging from mild diarrhea to fatal colitis): Evaluate if diarrhea occurs. ( 5.2)
5.1 Anaphylactic Reactions

Serious and occasionally fatal hypersensitivity (anaphylactic) reactions have been reported in patients on penicillin therapy including amoxicillin. Although anaphylaxis is more frequent following parenteral therapy, it has occurred in patients on oral penicillins. These reactions are more likely to occur in individuals with a history of penicillin hypersensitivity and/or a history of sensitivity to multiple allergens.

There have been reports of individuals with a history of penicillin hypersensitivity who have experienced severe reactions when treated with cephalosporins. Before initiating therapy with amoxicillin, careful inquiry should be made regarding previous hypersensitivity reactions to penicillins, cephalosporins, or other allergens.

2 Dosage and Administration
  • In adults, 750-1750 mg/day in divided doses every 8-12 hours. In Pediatric Patients > 3 Months of Age, 20-45 mg/kg/day in divided doses every 8-12 hours. Refer to full prescribing information for specific dosing regimens. ( 2.1, 2.2, 2.3)

  • Treatment of gonorrhea is 3 grams as a single oral dose. ( 2.1)

  • The upper dose for neonates and infants ≤ 3 months is 30 mg/kg/day divided every 12 hours. ( 2.2)

  • Dosing for H. pyloriInfection: Triple therapy: 1 gram amoxicillin, 500 mg clarithromycin, and 30 mg lansoprazole, all given twice daily (every 12 hours) for 14 days. Dual therapy: 1 gram amoxicillin and 30 mg lansoprazole, each given three times daily (every 8 hours) for 14 days. ( 2.3)

  • Reduce the dose in patients with severe renal impairment (GFR <30 mL/min). ( 2.4)
3 Dosage Forms and Strengths

Amoxicillin Capsules USP, 250 mg and 500 mg. Each capsule of amoxicillin contains 250 mg or 500 mg amoxicillin as the trihydrate. The 250 mg capsule with caramel cap and ivory body is imprinted with West-ward 938, while the 500 mg capsule with ivory cap and ivory body is imprinted with West-ward 939.

17.1 Information for Patients
  • Patients should be advised that amoxicillin capsules may be taken every 8 hours or every 12 hours, depending on the dose prescribed.
  • Patients should be counseled that antibacterial drugs, including amoxicillin capsules, should only be used to treat bacterial infections. They do not treat viral infections (e.g., the common cold). When amoxicillin capsules is prescribed to treat a bacterial infection, patients should be told that although it is common to feel better early in the course of therapy, the medication should be taken exactly as directed. Skipping doses or not completing the full course of therapy may: (1) decrease the effectiveness of the immediate treatment, and (2) increase the likelihood that bacteria will develop resistance and will not be treatable by amoxicillin capsules or other antibacterial drugs in the future.
  • Patients should be counseled that diarrhea is a common problem caused by antibiotics, and it usually ends when the antibiotic is discontinued. Sometimes after starting treatment with antibiotics, patients can develop watery and bloody stools (with or without stomach cramps and fever) even as late as 2 or more months after having taken their last dose of the antibiotic. If this occurs, patients should contact their physician as soon as possible.
  • Patients should be aware that amoxicillin capsules contains a penicillin class drug product that can cause allergic reactions in some individuals.

Distributed by:

Hikma Pharmaceuticals USA Inc.

Berkeley Heights, NJ 07922

Manufactured by:

Hikma Pharmaceuticals

P.O. Box 182400

Amman 11118 – Jordan

2INAMOXC

Rev. 05/2022

Revised May 2022

8 Use in Specific Populations
  • Pediatric: Modify dose in patients 12 weeks or younger (≤ 3 months). ( 8.4)
2.4 Dosing in Renal Impairment
  • Patients with impaired renal function do not generally require a reduction in dose unless the impairment is severe.

  • Severely impaired patients with a glomerular filtration rate of < 30 mL/min. should not receive a 875-mg dose.

  • Patients with a glomerular filtration rate of 10 to 30 mL/min should receive 500 mg or 250 mg every 12 hours, depending on the severity of the infection.

  • Patients with a glomerular filtration rate less than 10 mL/min should receive 500 mg or 250 mg every 24 hours, depending on severity of the infection.

  • Hemodialysis patients should receive 500 mg or 250 mg every 24 hours, depending on severity of the infection. They should receive an additional dose both during and at the end of dialysis.
6.1 Clinical Trials Experience

Because clinical trials are conducted under widely varying conditions, adverse reaction rates observed in the clinical trials of a drug cannot be directly compared to rates in the clinical trials of another drug and may not reflect the rates observed in practice.

The most common adverse reactions (> 1%) observed in clinical trials of amoxicillin capsules were diarrhea, rash, vomiting, and nausea.

Triple therapy:The most frequently reported adverse events for patients who received triple therapy (amoxicillin/clarithromycin/ lansoprazole) were diarrhea (7%), headache (6%), and taste perversion (5%).

Dual therapy:The most frequently reported adverse events for patients who received double therapy amoxicillin/lansoprazole were diarrhea (8%) and headache (7%). For more information on adverse reactions with clarithromycin or lansoprazole, refer to the Adverse Reactions section of their package inserts.

8.6 Dosing in Renal Impairment

Amoxicillin is primarily eliminated by the kidney and dosage adjustment is usually required in patients with severe renal impairment (GFR <30 mL/min). See Dosing in Renal Impairment ( 2.4) for specific recommendations in patients with renal impairment.

7.6 Effects On Laboratory Tests

High urine concentrations of ampicillin may result in false-positive reactions when testing for the presence of glucose in urine using CLINITEST ®, Benedict’s Solution, or Fehling’s Solution. Since this effect may also occur with amoxicillin, it is recommended that glucose tests based on enzymatic glucose oxidase reactions (such as CLINISTIX ®) be used.

Following administration of ampicillin or amoxicillin to pregnant women, a transient decrease in plasma concentration of total conjugated estriol, estriol-glucuronide, conjugated estrone, and estradiol has been noted.

16 How Supplied/storage and Handling

Amoxicillin Capsules, USP 500 mg are available as ivory cap and ivory body. The cap of the 500 mg capsule is imprinted with West-ward and the body with 939.

NDC 72789-254-21: Bottle of 21 Capsules

NDC 72789-254-60: Bottle of 60 Capsules

Store at 20°-25°C (68°-77°F) [See USP Controlled Room Temperature].

Dispense in a tight, light-resistant container as defined in the USP using a child-resistant closure.

6.2 Postmarketing Or Other Experience

In addition to adverse events reported from clinical trials, the following events have been identified during postmarketing use of penicillins. Because they are reported voluntarily from a population of unknown size, estimates of frequency cannot be made. These events have been chosen for inclusion due to a combination of their seriousness, frequency of reporting, or potential causal connection to amoxicillin.

  • Infections and Infestations:Mucocutaneous candidiasis.
  • Gastrointestinal:Black hairy tongue, and hemorrhagic/pseudomembranous colitis.

    Onset of pseudomembranous colitis symptoms may occur during or after antibacterial treatment [see Warnings and Precautions ( 5.2)] .
  • Hypersensitivity Reactions:Anaphylaxis [see Warnings and Precautions ( 5.1)] . Serum sickness–like reactions, erythematous maculopapular rashes, erythema multiforme, Stevens-Johnson syndrome, exfoliative dermatitis, toxic epidermal necrolysis, acute generalized exanthematous pustulosis, hypersensitivity vasculitis, and urticaria have been reported.
  • Liver:A moderate rise in AST and/or ALT has been noted, but the significance of this finding is unknown. Hepatic dysfunction including cholestatic jaundice, hepatic cholestasis and acute cytolytic hepatitis have been reported.
  • Renal:Crystalluria has been reported [see Overdosage ( 10)] .
  • Hemic and Lymphatic Systems:Anemia, including hemolytic anemia, thrombocytopenia, thrombocytopenic purpura, eosinophilia, leukopenia, and agranulocytosis have been reported. These reactions are usually reversible on discontinuation of therapy and are believed to be hypersensitivity phenomena.
  • Central Nervous System:Reversible hyperactivity, agitation, anxiety, insomnia, confusion, convulsions, behavioral changes, and/or dizziness have been reported.
  • Miscellaneous:Tooth discoloration (brown, yellow, or gray staining) has been reported. Most reports occurred in pediatric patients. Discoloration was reduced or eliminated with brushing or dental cleaning in most cases.
5.4 Use in Patients With Mononucleosis

A high percentage of patients with mononucleosis who receive amoxicillin develop an erythematous skin rash. Thus amoxicillin should not be administered to patients with mononucleosis.

1.7       Dual Therapy for H. Pylori

Amoxicillin Capsules in combination with lansoprazole delayed-release capsules as dual therapy, is indicated for the treatment of patients with H. pyloriinfection and duodenal ulcer disease (active or 1-year history of a duodenal ulcer) who are either allergic or intolerant to clarithromycin or in whom resistance to clarithromycin is known or suspected.(See the clarithromycin package insert, MICROBIOLOGY.) Eradication of H. pylorihas been shown to reduce the risk of duodenal ulcer recurrence.

1.6       Triple Therapy for Helicobacter Pylori

Amoxicillin Capsules in combination with clarithromycin plus lansoprazole as triple therapy, is indicated for the treatment of patients with H. pyloriinfection and duodenal ulcer disease (active or 1-year history of a duodenal ulcer) to eradicate H. pylori. Eradication of H. pylorihas been shown to reduce the risk of duodenal ulcer recurrence.

13.1 Carcinogenesis, Mutagenesis, Impairment of Fertility

Long-term studies in animals have not been performed to evaluate carcinogenic potential. Studies to detect mutagenic potential of amoxicillin alone have not been conducted; however, the following information is available from tests on a 4:1 mixture of amoxicillin and potassium clavulanate. Amoxicillin and potassium clavulanate was non-mutagenic in the Ames bacterial mutation assay, and the yeast gene conversion assay. Amoxicillin and clavulanate potassium was weakly positive in the mouse lymphoma assay, but the trend toward increased mutation frequencies in this assay occurred at doses that were also associated with decreased cell survival. Amoxicillin and clavulanate potassium was negative in the mouse micronucleus test and in the dominant lethal assay in mice. Potassium clavulanate alone was tested in the Ames bacterial mutation assay and in the mouse micronucleus test, and was negative in each of these assays. In a multi-generation reproduction study in rats, no impairment of fertility or other adverse reproductive effects were seen at doses up to 500 mg/kg (approximately 2 times the 3 g human dose based on body surface area).

2.1 Dosing for Adult and Pediatric Patients > 3 Months of Age

Except for gonorrhea, treatment should be continued for a minimum of 48 to 72 hours beyond the time that the patient becomes asymptomatic or evidence of bacterial eradication has been obtained. It is recommended that there be at least 10 days’ treatment for any infection caused by Streptococcus pyogenesto prevent the occurrence of acute rheumatic fever. In some infections, therapy may be required for several weeks. It may be necessary to continue clinical and/or bacteriological follow-up for several months after cessation of therapy.

Table 1. Dosing Recommendations for Adult and Pediatric Patients > 3 Months of Age
Infection Severity a Usual Adult Dose Usual Dose for Children> 3 Months b 
Ear/Nose/Throat

Skin/ Skin Structure

Genitourinary Tract

Mild/

Moderate
500 mg every 12 hours or 250 mg every 8 hours 25 mg/kg/day in divided doses every 12 hours

or

20 mg/kg/day in divided doses every 8 hours

Severe 875 mg every 12 hours or 500 mg every 8 hours 45 mg/kg/day in divided doses every 12 hours

or

40 mg/kg/day in divided doses every 8 hours

Lower Respiratory Tract

Mild/

Moderate or Severe
875 mg every 12 hours or 500 mg every 8 hours 45 mg/kg/day in divided doses every 12 hours

or

40 mg/kg/day in divided doses every 8 hours

Gonorrhea

Acute, uncomplicated ano-genital and urethral infections in males and females
3 grams as single oral dose Prepubertalchildren:

50 mg/kg amoxicillin, combined with 25 mg/kg probenecid as a single dose.

Note: since probenecid is contraindicated in children under 2 years. Do not use this regimen in children under 2 years of age.

aDosing for infections caused by bacteria that are intermediate in their susceptibility to amoxicillin should follow the recommendations for severe infections.

bThe children’s dosage is intended for individuals whose weight is less than 40 kg. Children weighing 40 kg or more should be dosed according to the adult recommendations.

5.3 Potential for Microbial Overgrowth Or Bacterial Resistance

The possibility of superinfections with fungal or bacterial pathogens should be considered during therapy.

If superinfections occur, amoxicillin should be discontinued and appropriate therapy instituted.

Prescribing amoxicillin either in the absence of a proven or strongly suspected bacterial infection is unlikely to provide benefit to the patient, and increases the risk of the development of drug-resistant bacteria.

2.2 Dosing in Neonates and Infants Aged ≤ 12 Weeks (≤ 3 Months)

Treatment should be continued for a minimum of 48 to 72 hours beyond the time that the patient becomes asymptomatic or evidence of bacterial eradication has been obtained. It is recommended that there be at least 10 days’ treatment for any infection caused by Streptococcus pyogenesto prevent the occurrence of acute rheumatic fever. Due to incompletely developed renal function affecting elimination of amoxicillin in this age group, the recommended upper dose of amoxicillin 30 mg/kg/day divided every 12 hours. There are currently no dosing recommendations for pediatric patients with impaired renal function.


Structured Label Content

1.2

– due to Escherichia coli, Proteus mirabilis, or Enterococcus faecalis.

1.3

– due to Streptococcusspp.

(α- and β-hemolytic isolates only), Staphylococcusspp., or E. coli.

1.4

– due to Streptococcusspp.

(α- and β-hemolytic isolates only), S. pneumoniae, Staphylococcusspp., or H. influenzae.

1.5

– due to Neisseria gonorrhoeae.

Because of high rates of amoxicillin resistance, Amoxicillin Capsules are not recommended for empiric treatment of gonorrhea. Amoxicillin Capsules use should be limited to situations where N. gonorrhoeaeisolates are known to be susceptible to amoxicillin.

5.2

Clostridium difficileassociated diarrhea (CDAD) has been reported with use of nearly all antibacterial agents, including amoxicillin, and may range in severity from mild diarrhea to fatal colitis. Treatment with antibacterial agents alters the normal flora of the colon leading to overgrowth of C. difficile.

C. difficileproduces toxins A and B which contribute to the development of CDAD. Hypertoxin-producing strains of C. difficilecause increased morbidity and mortality, as these infections can be refractory to antimicrobial therapy and may require colectomy. CDAD must be considered in all patients who present with diarrhea following antibacterial use. Careful medical history is necessary since CDAD has been reported to occur over 2 months after the administration of antibacterial agents.

If CDAD is suspected or confirmed, ongoing antibiotic use not directed against C. difficilemay need to be discontinued. Appropriate fluid and electrolyte management, protein supplementation, antibiotic treatment of C. difficile, and surgical evaluation should be instituted as clinically indicated.

14.1

Randomized, double-blind clinical studies performed in the United States in patients with H. pyloriand duodenal ulcer disease (defined as an active ulcer or history of an ulcer within 1 year) evaluated the efficacy of lansoprazole in combination with amoxicillin capsules and clarithromycin tablets as triple 14-day therapy, or in combination with amoxicillin capsules as dual 14-day therapy, for the eradication of H. pylori. Based on the results of these studies, the safety and efficacy of 2 different eradication regimens were established: Triple therapy:Amoxicillin 1 gram twice daily/clarithromycin 500 mg twice daily/lansoprazole 30 mg twice daily (see Table 6). Dual therapy:Amoxicillin 1 gram three times daily/lansoprazole 30 mg three times daily (see Table 7). All treatments were for 14 days. H. pylorieradication was defined as 2 negative tests (culture and histology) at 4 to 6 weeks following the end of treatment. Triple therapy was shown to be more effective than all possible dual therapy combinations. Dual therapy was shown to be more effective than both monotherapies. Eradication of H. pylorihas been shown to reduce the risk of duodenal ulcer recurrence.

Table 6. H. pylori Eradication Rates When Amoxicillin is Administered as Part of a Triple Therapy Regimen
Study

Triple Therapy Triple Therapy
Evaluable Analysis a

[95% Confidence Interval]

(number of patients)
Intent-to-Treat Analysis b

[95% Confidence Interval]

(number of patients)
Study 1 92

[80 - 97.7]

(n=48)
86

[73.3 – 93.5]

(n=55)
Study 2 86

[75.7 - 93.6]

(n=66)
83

[72 - 90.8]

(n=70)

aThis analysis was based on evaluable patients with confirmed duodenal ulcer (active or within 1 year) and H. pyloriinfection at baseline defined as at least 2 of 3 positive endoscopic tests from CLOtest ®, histology, and/or culture. Patients were included in the analysis if they completed the study. Additionally, if patients dropped out of the study due to an adverse event related to the study drug, they were included in the analysis as failures of therapy.

bPatients were included in the analysis if they had documented H. pyloriinfection at baseline as defined above and had a confirmed duodenal ulcer (active or within 1 year). All dropouts were included as failures of therapy.

Table 7. H. pylori Eradication Rates When Amoxicillin is Administered as Part of a Dual Therapy Regimen
Study

Dual Therapy Dual Therapy
Evaluable Analysis a

[95% Confidence Interval]

(number of patients)
Intent-to-Treat Analysis b

[95% Confidence Interval]

(number of patients)
Study 1 77

[62.5 - 87.2]

(n=51)
70

[56.8 – 81.2]

(n=60)
Study 2 66

[51.9 - 77.5]

(n=58)
61

[48.5 - 72.9]

(n=67)

aThis analysis was based on evaluable patients with confirmed duodenal ulcer (active or within 1 year) and H. pyloriinfection at baseline defined as at least 2 of 3 positive endoscopic tests from CLOtest ®, histology, and/or culture. Patients were included in the analysis if they completed the study. Additionally, if patients dropped out of the study due to an adverse event related to the study drug, they were included in the analysis as failures of therapy.

bPatients were included in the analysis if they had documented H. pyloriinfection at baseline as defined above and had a confirmed duodenal ulcer (active or within 1 year). All dropouts were included as failures of therapy.

10 Overdosage (10 OVERDOSAGE)

In case of overdosage, discontinue medication, treat symptomatically, and institute supportive measures as required. A prospective study of 51 pediatric patients at a poison control center suggested that overdosages of less than 250 mg/kg of amoxicillin are not associated with significant clinical symptoms.

Interstitial nephritis resulting in oliguric renal failure has been reported in a small number of patients after overdosage with amoxicillin 1.

Crystalluria, in some cases leading to renal failure, has also been reported after amoxicillin overdosage in adult and pediatric patients. In case of overdosage, adequate fluid intake and diuresis should be maintained to reduce the risk of amoxicillin crystalluria.

Renal impairment appears to be reversible with cessation of drug administration. High blood levels may occur more readily in patients with impaired renal function because of decreased renal clearance of amoxicillin. Amoxicillin may be removed from circulation by hemodialysis.

15 References (15 REFERENCES)
  • Swanson-Biearman B, Dean BS, Lopez G, Krenzelok EP. The effects of penicillin and cephalosporin ingestions in children less than six years of age. Vet Hum Toxicol. 1988; 30: 66-67.
8.1 Pregnancy

Teratogenic Effects: Pregnancy Category B. Reproduction studies have been performed in mice and rats at doses up to 2000 mg/kg (3 and 6 times the 3 g human dose, based on body surface area). There was no evidence of harm to the fetus due to amoxicillin. There are, however, no adequate and well-controlled studies in pregnant women. Because animal reproduction studies are not always predictive of human response, amoxicillin should be used during pregnancy only if clearly needed.

11 Description (11 DESCRIPTION)

Formulations of Amoxicillin Capsules, USP contain amoxicillin, a semisynthetic antibiotic, an analog of ampicillin, with a broad spectrum of bactericidal activity against many Gram-positive and Gram-negative microorganisms. Chemically, it is (2S,5R,6R)-6-[(R)-(-)-2-amino-2-(p-hydroxyphenyl)acetamido]-3,3-dimethyl-7-oxo-4-thia-1-zabicyclo[3.2.0]heptane-2-carboxylic acid trihydrate. It may be represented structurally as:

The amoxicillin molecular formula is C 16H 19N 3O 5S•3H 2O and the molecular weight is 419.45.

Capsules:Each Amoxicillin Capsule, USP contains 250 mg or 500 mg amoxicillin as the trihydrate. The 250 mg capsule with caramel cap and ivory body is imprinted with West-ward 938, while the 500 mg capsule with ivory cap and ivory body is imprinted with West-ward 939. Inactive ingredients: croscarmellose Sodium, gelatin, magnesium stearate, titanium dioxide and yellow iron oxide. Additionally, the 250 mg capsules contain black iron oxide and red iron oxide.

2.3 Dosing For (2.3 Dosing for)

Triple therapy:The recommended adult oral dose is 1 gram amoxicillin, 500 mg clarithromycin, and 30 mg lansoprazole, all given twice daily (every 12 hours) for 14 days.

Dual therapy:The recommended adult oral dose is 1 gram amoxicillin and 30 mg lansoprazole, each given three times daily (every 8 hours) for 14 days.

Please refer to clarithromycin and lansoprazole full prescribing information.

7.1 Probenecid

Probenecid decreases the renal tubular secretion of amoxicillin. Concurrent use of amoxicillin and probenecid may result in increased and prolonged blood levels of amoxicillin.

7.3 Allopurinol

The concurrent administration of allopurinol and amoxicillin increases the incidence of rashes in patients receiving both drugs as compared to patients receiving amoxicillin alone. It is not known whether this potentiation of amoxicillin rashes is due to allopurinol or the hyperuricemia present in these patients.

12.4 Microbiology

Mechanism of Action

Amoxicillin is similar to penicillin in its bactericidal action against susceptible bacteria during the stage of active multiplication. It acts through the inhibition of cell wall biosynthesis that leads to the death of the bacteria.

Method of Resistance

Resistance to amoxicillin is mediated primarily through enzymes called beta-lactamases that cleave the beta-lactam ring of amoxicillin, rendering it inactive.

Amoxicillin has been shown to be active against most isolates of the bacteria listed below, both in vitroand in clinical infections as described in the INDICATIONS AND USAGE section.

Gram-Positive Bacteria Gram-Negative Bacteria
Enterococcus faecalis

Staphylococcus spp.

Streptococcus pneumoniae

α and β-hemolytic streptococci.

Escherichia coli

Haemophilus influenzae

Neisseria gonorrhoeae

Proteus mirabilis

Helicobacter pylori

Susceptibility Testing

For specific information regarding susceptibility test interpretive criteria and associated test methods and quality control standards recognized by FDA for this drug, please see: https://www.fda.gov/STIC.

8.4 Pediatric Use

Because of incompletely developed renal function in neonates and young infants, the elimination of amoxicillin may be delayed. Dosing of amoxicillin should be modified in pediatric patients 12 weeks or younger (≤ 3 months). [See Dosage and Administration ( 2.2).]

8.5 Geriatric Use

An analysis of clinical studies of amoxicillin was conducted to determine whether subjects aged 65 and over respond differently from younger subjects. These analyses have not identified differences in responses between the elderly and younger patients, but a greater sensitivity of some older individuals cannot be ruled out.

This drug is known to be substantially excreted by the kidney, and the risk of toxic reactions to this drug may be greater in patients with impaired renal function. Because elderly patients are more likely to have decreased renal function, care should be taken in dose selection, and it may be useful to monitor renal function.

4 Contraindications (4 CONTRAINDICATIONS)

Amoxicillin is contraindicated in patients who have experienced a serious hypersensitivity reaction (e.g., anaphylaxis or Stevens-Johnson syndrome) to amoxicillin or to other β-lactam antibiotics (e.g., penicillins and cephalosporins).

6 Adverse Reactions (6 ADVERSE REACTIONS)

The following are discussed in more detail in other sections of the labeling:

  • Anaphylactic reactions [see Warnings and Precautions ( 5.1)]
  • CDAD [see Warnings and Precautions ( 5.2)]
7 Drug Interactions (7 DRUG INTERACTIONS)
  • Probenicid decreases renal tubular secretion of amoxicillin which may result in increased blood levels of amoxicillin. ( 7.1)
  • Concomitant use of amoxicillin and oral anticoagulants may increase the prolongation of prothrombin time. ( 7.2)
  • Coadministration with allopurinol increases the risk of rash. ( 7.3)
  • Amoxicillin may reduce the efficacy of oral contraceptives. ( 7.4)
8.3 Nursing Mothers

Penicillins have been shown to be excreted in human milk. Amoxicillin use by nursing mothers may lead to sensitization of infants. Caution should be exercised when amoxicillin is administered to a nursing woman.

12.3 Pharmacokinetics

Absorption: Amoxicillin is stable in the presence of gastric acid and is rapidly absorbed after oral administration. The effect of food on the absorption of amoxicillin from the tablets and suspension of amoxicillin has been partially investigated; 400 mg and 875 mg formulations have been studied only when administered at the start of a light meal.

Orally administered doses of 250 mg and 500 mg amoxicillin capsules result in average peak blood levels 1 to 2 hours after administration in the range of 3.5 mcg/mL to 5 mcg/mL and 5.5 mcg/mL to 7.5 mcg/mL, respectively.

Mean amoxicillin pharmacokinetic parameters from an open, two-part, single-dose crossover bioequivalence study in 27 adults comparing 875 mg of amoxicillin with 875 mg of amoxicillin/clavulanate potassium showed that the 875 mg tablet of amoxicillin produces an AUC 0-∞of 35.4 ± 8.1 mcg•hr/mL and a C maxof 13.8 ± 4.1 mcg/mL. Dosing was at the start of a light meal following an overnight fast.

Orally administered doses of amoxicillin suspension, 125 mg/5 mL and 250 mg/5 mL, result in average peak blood levels 1 to 2 hours after administration in the range of 1.5 mcg/mL to 3 mcg/mL and 3.5 mcg/mL to 5 mcg/mL, respectively.

Oral administration of single doses of 400 mg chewable tablets and 400 mg/5 mL suspension of amoxicillin to 24 adult volunteers yielded comparable pharmacokinetic data:

Table 3. Mean Pharmacokinetic Parameters of Amoxicillin (400 mg chewable tablets and 400 mg/5 mL suspension) in Healthy Adults
Dose* AUC 0-∞   (mcg• hr/mL) C max (mcg/mL)
Amoxicillin Amoxicillin (±S.D) Amoxicillin (±S.D)
400mg (5 mL of suspension) 17.1 (3.1) 5.92 (1.62)
400 mg (1 chewable tablet) 17.9 (2.4) 5.18 (1.64)

* Administered at the start of a light meal.

Mean values of 24 normal volunteers. Peak concentrations occurred approximately 1 hour after the dose.

Distribution: Amoxicillin diffuses readily into most body tissues and fluids, with the exception of brain and spinal fluid, except when meninges are inflamed. In blood serum, amoxicillin is approximately 20% protein-bound. Following a 1-gram dose and utilizing a special skin window technique to determine levels of the antibiotic, it was noted that therapeutic levels were found in the interstitial fluid.

Metabolism and Excretion: The half-life of amoxicillin is 61.3 minutes. Approximately 60% of an orally administered dose of amoxicillin is excreted in the urine within 6 to 8 hours. Detectable serum levels are observed up to 8 hours after an orally administered dose of amoxicillin. Since most of the amoxicillin is excreted unchanged in the urine, its excretion can be delayed by concurrent administration of probenecid [see DRUG INTERACTIONS ( 7.1)] .

8.2 Labor and Delivery

Oral ampicillin is poorly absorbed during labor. It is not known whether use of amoxicillin in humans during labor or delivery has immediate or delayed adverse effects on the fetus, prolongs the duration of labor, or increases the likelihood of the necessity for an obstetrical intervention.

1 Indications and Usage (1 INDICATIONS AND USAGE)

To reduce the development of drug-resistant bacteria and maintain the effectiveness of amoxicillin and other antibacterial drugs, amoxicillin should be used only to treat infections that are proven or strongly suspected to be caused by bacteria. When culture and susceptibility information are available, they should be considered in selecting or modifying antibacterial therapy. In the absence of such data, local epidemiology and susceptibility patterns may contribute to the empiric selection of therapy.

Amoxicillin Capsules are indicated in the treatment of infections due to susceptible (ONLY β-lactamase–negative) isolates of the designated bacteria in the conditions listed below:

1.1       Infectio

– due to Streptococcusspecies,

(α- and β-hemolytic isolates only), Streptococcus pneumoniae, Staphylococcusspp., or Haemophilus influenzae.

7.2 Oral Anticoagulants

Abnormal prolongation of prothrombin time (increased international normalized ratio [INR]) has been reported in patients receiving amoxicillin and oral anticoagulants. Appropriate monitoring should be undertaken when anticoagulants are prescribed concurrently. Adjustments in the dose of oral anticoagulants may be necessary to maintain the desired level of anticoagulation.

7.4 Oral Contraceptives

Amoxicillin may affect the gut flora, leading to lower estrogen reabsorption and reduced efficacy of combined oral estrogen/progesterone contraceptives.

Principal Display Panel (PRINCIPAL DISPLAY PANEL)

NDC 72789-254-21: 21 Capsules

Amoxicillin

Capsules, USP

500 mg


Rx only

12.1 Mechanism of Action

Amoxicillin is an antibacterial drug. [see Microbiology ( 12.4)] .

7.5 Other Antibacterials

Chloramphenicol, macrolides, sulfonamides, and tetracyclines may interfere with the bactericidal effects of penicillin. This has been demonstrated in vitro; however, the clinical significance of this interaction is not well documented.

5 Warnings and Precautions (5 WARNINGS AND PRECAUTIONS)
  • Anaphylactic reactions: Serious and occasionally fatal anaphylactic reactions have been reported in patients on penicillin therapy. Serious anaphylactic reactions require immediate emergency treatment with supportive measures. ( 5.1)
  • Clostridium difficile-associated diarrhea (ranging from mild diarrhea to fatal colitis): Evaluate if diarrhea occurs. ( 5.2)
5.1 Anaphylactic Reactions

Serious and occasionally fatal hypersensitivity (anaphylactic) reactions have been reported in patients on penicillin therapy including amoxicillin. Although anaphylaxis is more frequent following parenteral therapy, it has occurred in patients on oral penicillins. These reactions are more likely to occur in individuals with a history of penicillin hypersensitivity and/or a history of sensitivity to multiple allergens.

There have been reports of individuals with a history of penicillin hypersensitivity who have experienced severe reactions when treated with cephalosporins. Before initiating therapy with amoxicillin, careful inquiry should be made regarding previous hypersensitivity reactions to penicillins, cephalosporins, or other allergens.

2 Dosage and Administration (2 DOSAGE AND ADMINISTRATION)
  • In adults, 750-1750 mg/day in divided doses every 8-12 hours. In Pediatric Patients > 3 Months of Age, 20-45 mg/kg/day in divided doses every 8-12 hours. Refer to full prescribing information for specific dosing regimens. ( 2.1, 2.2, 2.3)

  • Treatment of gonorrhea is 3 grams as a single oral dose. ( 2.1)

  • The upper dose for neonates and infants ≤ 3 months is 30 mg/kg/day divided every 12 hours. ( 2.2)

  • Dosing for H. pyloriInfection: Triple therapy: 1 gram amoxicillin, 500 mg clarithromycin, and 30 mg lansoprazole, all given twice daily (every 12 hours) for 14 days. Dual therapy: 1 gram amoxicillin and 30 mg lansoprazole, each given three times daily (every 8 hours) for 14 days. ( 2.3)

  • Reduce the dose in patients with severe renal impairment (GFR <30 mL/min). ( 2.4)
3 Dosage Forms and Strengths (3 DOSAGE FORMS AND STRENGTHS)

Amoxicillin Capsules USP, 250 mg and 500 mg. Each capsule of amoxicillin contains 250 mg or 500 mg amoxicillin as the trihydrate. The 250 mg capsule with caramel cap and ivory body is imprinted with West-ward 938, while the 500 mg capsule with ivory cap and ivory body is imprinted with West-ward 939.

17.1 Information for Patients
  • Patients should be advised that amoxicillin capsules may be taken every 8 hours or every 12 hours, depending on the dose prescribed.
  • Patients should be counseled that antibacterial drugs, including amoxicillin capsules, should only be used to treat bacterial infections. They do not treat viral infections (e.g., the common cold). When amoxicillin capsules is prescribed to treat a bacterial infection, patients should be told that although it is common to feel better early in the course of therapy, the medication should be taken exactly as directed. Skipping doses or not completing the full course of therapy may: (1) decrease the effectiveness of the immediate treatment, and (2) increase the likelihood that bacteria will develop resistance and will not be treatable by amoxicillin capsules or other antibacterial drugs in the future.
  • Patients should be counseled that diarrhea is a common problem caused by antibiotics, and it usually ends when the antibiotic is discontinued. Sometimes after starting treatment with antibiotics, patients can develop watery and bloody stools (with or without stomach cramps and fever) even as late as 2 or more months after having taken their last dose of the antibiotic. If this occurs, patients should contact their physician as soon as possible.
  • Patients should be aware that amoxicillin capsules contains a penicillin class drug product that can cause allergic reactions in some individuals.

Distributed by:

Hikma Pharmaceuticals USA Inc.

Berkeley Heights, NJ 07922

Manufactured by:

Hikma Pharmaceuticals

P.O. Box 182400

Amman 11118 – Jordan

2INAMOXC

Rev. 05/2022

Revised May 2022

8 Use in Specific Populations (8 USE IN SPECIFIC POPULATIONS)
  • Pediatric: Modify dose in patients 12 weeks or younger (≤ 3 months). ( 8.4)
2.4 Dosing in Renal Impairment
  • Patients with impaired renal function do not generally require a reduction in dose unless the impairment is severe.

  • Severely impaired patients with a glomerular filtration rate of < 30 mL/min. should not receive a 875-mg dose.

  • Patients with a glomerular filtration rate of 10 to 30 mL/min should receive 500 mg or 250 mg every 12 hours, depending on the severity of the infection.

  • Patients with a glomerular filtration rate less than 10 mL/min should receive 500 mg or 250 mg every 24 hours, depending on severity of the infection.

  • Hemodialysis patients should receive 500 mg or 250 mg every 24 hours, depending on severity of the infection. They should receive an additional dose both during and at the end of dialysis.
6.1 Clinical Trials Experience

Because clinical trials are conducted under widely varying conditions, adverse reaction rates observed in the clinical trials of a drug cannot be directly compared to rates in the clinical trials of another drug and may not reflect the rates observed in practice.

The most common adverse reactions (> 1%) observed in clinical trials of amoxicillin capsules were diarrhea, rash, vomiting, and nausea.

Triple therapy:The most frequently reported adverse events for patients who received triple therapy (amoxicillin/clarithromycin/ lansoprazole) were diarrhea (7%), headache (6%), and taste perversion (5%).

Dual therapy:The most frequently reported adverse events for patients who received double therapy amoxicillin/lansoprazole were diarrhea (8%) and headache (7%). For more information on adverse reactions with clarithromycin or lansoprazole, refer to the Adverse Reactions section of their package inserts.

8.6 Dosing in Renal Impairment

Amoxicillin is primarily eliminated by the kidney and dosage adjustment is usually required in patients with severe renal impairment (GFR <30 mL/min). See Dosing in Renal Impairment ( 2.4) for specific recommendations in patients with renal impairment.

7.6 Effects On Laboratory Tests (7.6 Effects on Laboratory Tests)

High urine concentrations of ampicillin may result in false-positive reactions when testing for the presence of glucose in urine using CLINITEST ®, Benedict’s Solution, or Fehling’s Solution. Since this effect may also occur with amoxicillin, it is recommended that glucose tests based on enzymatic glucose oxidase reactions (such as CLINISTIX ®) be used.

Following administration of ampicillin or amoxicillin to pregnant women, a transient decrease in plasma concentration of total conjugated estriol, estriol-glucuronide, conjugated estrone, and estradiol has been noted.

16 How Supplied/storage and Handling (16 HOW SUPPLIED/STORAGE AND HANDLING)

Amoxicillin Capsules, USP 500 mg are available as ivory cap and ivory body. The cap of the 500 mg capsule is imprinted with West-ward and the body with 939.

NDC 72789-254-21: Bottle of 21 Capsules

NDC 72789-254-60: Bottle of 60 Capsules

Store at 20°-25°C (68°-77°F) [See USP Controlled Room Temperature].

Dispense in a tight, light-resistant container as defined in the USP using a child-resistant closure.

6.2 Postmarketing Or Other Experience (6.2 Postmarketing or Other Experience)

In addition to adverse events reported from clinical trials, the following events have been identified during postmarketing use of penicillins. Because they are reported voluntarily from a population of unknown size, estimates of frequency cannot be made. These events have been chosen for inclusion due to a combination of their seriousness, frequency of reporting, or potential causal connection to amoxicillin.

  • Infections and Infestations:Mucocutaneous candidiasis.
  • Gastrointestinal:Black hairy tongue, and hemorrhagic/pseudomembranous colitis.

    Onset of pseudomembranous colitis symptoms may occur during or after antibacterial treatment [see Warnings and Precautions ( 5.2)] .
  • Hypersensitivity Reactions:Anaphylaxis [see Warnings and Precautions ( 5.1)] . Serum sickness–like reactions, erythematous maculopapular rashes, erythema multiforme, Stevens-Johnson syndrome, exfoliative dermatitis, toxic epidermal necrolysis, acute generalized exanthematous pustulosis, hypersensitivity vasculitis, and urticaria have been reported.
  • Liver:A moderate rise in AST and/or ALT has been noted, but the significance of this finding is unknown. Hepatic dysfunction including cholestatic jaundice, hepatic cholestasis and acute cytolytic hepatitis have been reported.
  • Renal:Crystalluria has been reported [see Overdosage ( 10)] .
  • Hemic and Lymphatic Systems:Anemia, including hemolytic anemia, thrombocytopenia, thrombocytopenic purpura, eosinophilia, leukopenia, and agranulocytosis have been reported. These reactions are usually reversible on discontinuation of therapy and are believed to be hypersensitivity phenomena.
  • Central Nervous System:Reversible hyperactivity, agitation, anxiety, insomnia, confusion, convulsions, behavioral changes, and/or dizziness have been reported.
  • Miscellaneous:Tooth discoloration (brown, yellow, or gray staining) has been reported. Most reports occurred in pediatric patients. Discoloration was reduced or eliminated with brushing or dental cleaning in most cases.
5.4 Use in Patients With Mononucleosis

A high percentage of patients with mononucleosis who receive amoxicillin develop an erythematous skin rash. Thus amoxicillin should not be administered to patients with mononucleosis.

1.7       Dual Therapy for H. Pylori (1.7       Dual therapy for H. pylori)

Amoxicillin Capsules in combination with lansoprazole delayed-release capsules as dual therapy, is indicated for the treatment of patients with H. pyloriinfection and duodenal ulcer disease (active or 1-year history of a duodenal ulcer) who are either allergic or intolerant to clarithromycin or in whom resistance to clarithromycin is known or suspected.(See the clarithromycin package insert, MICROBIOLOGY.) Eradication of H. pylorihas been shown to reduce the risk of duodenal ulcer recurrence.

1.6       Triple Therapy for Helicobacter Pylori (1.6       Triple therapy for Helicobacter pylori)

Amoxicillin Capsules in combination with clarithromycin plus lansoprazole as triple therapy, is indicated for the treatment of patients with H. pyloriinfection and duodenal ulcer disease (active or 1-year history of a duodenal ulcer) to eradicate H. pylori. Eradication of H. pylorihas been shown to reduce the risk of duodenal ulcer recurrence.

13.1 Carcinogenesis, Mutagenesis, Impairment of Fertility

Long-term studies in animals have not been performed to evaluate carcinogenic potential. Studies to detect mutagenic potential of amoxicillin alone have not been conducted; however, the following information is available from tests on a 4:1 mixture of amoxicillin and potassium clavulanate. Amoxicillin and potassium clavulanate was non-mutagenic in the Ames bacterial mutation assay, and the yeast gene conversion assay. Amoxicillin and clavulanate potassium was weakly positive in the mouse lymphoma assay, but the trend toward increased mutation frequencies in this assay occurred at doses that were also associated with decreased cell survival. Amoxicillin and clavulanate potassium was negative in the mouse micronucleus test and in the dominant lethal assay in mice. Potassium clavulanate alone was tested in the Ames bacterial mutation assay and in the mouse micronucleus test, and was negative in each of these assays. In a multi-generation reproduction study in rats, no impairment of fertility or other adverse reproductive effects were seen at doses up to 500 mg/kg (approximately 2 times the 3 g human dose based on body surface area).

2.1 Dosing for Adult and Pediatric Patients > 3 Months of Age

Except for gonorrhea, treatment should be continued for a minimum of 48 to 72 hours beyond the time that the patient becomes asymptomatic or evidence of bacterial eradication has been obtained. It is recommended that there be at least 10 days’ treatment for any infection caused by Streptococcus pyogenesto prevent the occurrence of acute rheumatic fever. In some infections, therapy may be required for several weeks. It may be necessary to continue clinical and/or bacteriological follow-up for several months after cessation of therapy.

Table 1. Dosing Recommendations for Adult and Pediatric Patients > 3 Months of Age
Infection Severity a Usual Adult Dose Usual Dose for Children> 3 Months b 
Ear/Nose/Throat

Skin/ Skin Structure

Genitourinary Tract

Mild/

Moderate
500 mg every 12 hours or 250 mg every 8 hours 25 mg/kg/day in divided doses every 12 hours

or

20 mg/kg/day in divided doses every 8 hours

Severe 875 mg every 12 hours or 500 mg every 8 hours 45 mg/kg/day in divided doses every 12 hours

or

40 mg/kg/day in divided doses every 8 hours

Lower Respiratory Tract

Mild/

Moderate or Severe
875 mg every 12 hours or 500 mg every 8 hours 45 mg/kg/day in divided doses every 12 hours

or

40 mg/kg/day in divided doses every 8 hours

Gonorrhea

Acute, uncomplicated ano-genital and urethral infections in males and females
3 grams as single oral dose Prepubertalchildren:

50 mg/kg amoxicillin, combined with 25 mg/kg probenecid as a single dose.

Note: since probenecid is contraindicated in children under 2 years. Do not use this regimen in children under 2 years of age.

aDosing for infections caused by bacteria that are intermediate in their susceptibility to amoxicillin should follow the recommendations for severe infections.

bThe children’s dosage is intended for individuals whose weight is less than 40 kg. Children weighing 40 kg or more should be dosed according to the adult recommendations.

5.3 Potential for Microbial Overgrowth Or Bacterial Resistance (5.3 Potential for Microbial Overgrowth or Bacterial Resistance)

The possibility of superinfections with fungal or bacterial pathogens should be considered during therapy.

If superinfections occur, amoxicillin should be discontinued and appropriate therapy instituted.

Prescribing amoxicillin either in the absence of a proven or strongly suspected bacterial infection is unlikely to provide benefit to the patient, and increases the risk of the development of drug-resistant bacteria.

2.2 Dosing in Neonates and Infants Aged ≤ 12 Weeks (≤ 3 Months)

Treatment should be continued for a minimum of 48 to 72 hours beyond the time that the patient becomes asymptomatic or evidence of bacterial eradication has been obtained. It is recommended that there be at least 10 days’ treatment for any infection caused by Streptococcus pyogenesto prevent the occurrence of acute rheumatic fever. Due to incompletely developed renal function affecting elimination of amoxicillin in this age group, the recommended upper dose of amoxicillin 30 mg/kg/day divided every 12 hours. There are currently no dosing recommendations for pediatric patients with impaired renal function.


Advanced Ingredient Data


Raw Label Data

All Sections (JSON)