These Highlights Do Not Include All The Information Needed To Use Bupivacaine Hydrochloride Injection And Bupivacaine Hydrochloride And Epinephrine Injection Safely And Effectively. See Full Prescribing Information For Bupivacaine Hydrochloride Injection And Bupivacaine Hydrochloride And Epinephrine Injection.

These Highlights Do Not Include All The Information Needed To Use Bupivacaine Hydrochloride Injection And Bupivacaine Hydrochloride And Epinephrine Injection Safely And Effectively. See Full Prescribing Information For Bupivacaine Hydrochloride Injection And Bupivacaine Hydrochloride And Epinephrine Injection.
SPL v39
SPL
SPL Set ID 02a845c3-4521-4926-e397-25ab536e7cf6
Routes
EPIDURAL INFILTRATION INTRACAUDAL PERINEURAL RETROBULBAR
Published
Effective Date 2023-03-02
Document Type 34391-3 HUMAN PRESCRIPTION DRUG LABEL

Drug Facts

Composition & Product

Active Ingredients
Epinephrine (2.5 mg)
Inactive Ingredients
Sodium Chloride Sodium Hydroxide Hydrochloric Acid Water Methylparaben Sodium Metabisulfite Edetate Calcium Disodium Anhydrous

Identifiers & Packaging

Marketing Status
ANDA Active Since 2005-06-15

Description

There have been reports of cardiac arrest with difficult resuscitation or death during use of Bupivacaine Hydrochloride Injection for epidural anesthesia in obstetrical patients. In most cases, this has followed use of the 0.75% (7.5 mg/mL) concentration. Resuscitation has been difficult or impossible despite apparently adequate preparation and appropriate management. Cardiac arrest has occurred after convulsions resulting from systemic toxicity, presumably following unintentional intravascular injection. The 0.75% (7.5 mg/mL) concentration of Bupivacaine Hydrochloride Injection is not recommended for obstetrical anesthesia and should be reserved for surgical procedures where a high degree of muscle relaxation and prolonged effect are necessary [see Warnings and Precautions (5.1) ].

Indications and Usage

Bupivacaine Hydrochloride Injection/Bupivacaine Hydrochloride and Epinephrine Injection is indicated in adults for the production of local or regional anesthesia or analgesia for surgery, dental and oral surgery procedures, diagnostic and therapeutic procedures, and for obstetrical procedures. Specific concentrations and presentations of Bupivacaine Hydrochloride Injection/Bupivacaine Hydrochloride and Epinephrine Injection are recommended for each type of block indicated to produce local or regional anesthesia or analgesia [see Dosage and Administration (2.2) ].

Dosage and Administration

• Not for intrathecal use. ( 2.1 ) • Avoid use of solutions containing antimicrobial preservatives (i.e., multiple-dose vials) for epidural or caudal anesthesia. ( 2.1 , 5.4 ) • Three mL of Bupivacaine Hydrochloride and Epinephrine Injection without antimicrobial preservative (0.5% bupivacaine with 1:200,000 epinephrine) is recommended for use as a test dose prior to caudal and lumbar epidural blocks when clinical conditions permit. ( 2.4 ) • See full prescribing information for: - Recommended concentrations and dosages of Bupivacaine Hydrochloride Injection/Bupivacaine Hydrochloride and Epinephrine Injection according to type of block. ( 2.2 ) - Additional dosage and administration information pertaining to use in epidural anesthesia, test dose for caudal and lumbar epidural blocks, use in dentistry, and use in ophthalmic surgery. ( 2.3 , 2.4 , 2.5 , 2.6 )

Warnings and Precautions

• Dose-Related Toxicity : Monitor cardiovascular and respiratory vital signs and patient's state of consciousness after injection of Bupivacaine Hydrochloride Injection/Bupivacaine Hydrochloride and Epinephrine Injection. ( 5.2 ) • Methemoglobinemia : Cases of methemoglobinemia have been reported in association with local anesthetic use. See full prescribing information for more detail on managing these risks. ( 5.3 ) • Chondrolysis with Intra-Articular Infusion : Intra-articular infusions of local anesthetics including Bupivacaine Hydrochloride Injection following arthroscopic and other surgical procedures is an unapproved use, and there have been post-marketing reports of chondrolysis in patients receiving such infusions. ( 5.5 ) • Risk of Cardiac Arrest with Intravenous Regional Anesthesia Use (Bier Block) : There have been reports of cardiac arrest and death during the use of bupivacaine for intravenous regional anesthesia (Bier Block). ( 5.7 ) • Allergic-Type Reactions to Sulfites in Bupivacaine Hydrochloride and Epinephrine Injection : Bupivacaine Hydrochloride and Epinephrine Injection contains sodium metabisulfite, a sulfite that may cause allergic-type reactions including anaphylactic symptoms and life-threatening or less severe asthmatic episodes in certain susceptible people. ( 5.8 ) • Risk of Systemic Toxicities with Unintended Intravascular or Intrathecal Injection : Unintended intravascular or intrathecal injection may be associated with systemic toxicities, including CNS or cardiorespiratory depression and coma, progressing ultimately to respiratory arrest. Aspirate for blood or cerebrospinal fluid (where applicable) prior to each dose and consider using a test dose of Bupivacaine Hydrochloride and Epinephrine Injection. ( 5.9 )

Contraindications

Bupivacaine Hydrochloride Injection/Bupivacaine Hydrochloride and Epinephrine Injection is contraindicated in: • obstetrical paracervical block anesthesia. Its use in this technique has resulted in fetal bradycardia and death. • intravenous regional anesthesia (Bier Block) [see Warnings and Precautions (5.7) ]. • patients with a known hypersensitivity to bupivacaine or to any local anesthetic agent of the amide-type or to other components of Bupivacaine Hydrochloride Injection/Bupivacaine Hydrochloride and Epinephrine Injection.

Adverse Reactions

The following clinically significant adverse reactions have been reported and described in the Warnings and Precautions section of the labeling: • Cardiac Arrest in Obstetrical Anesthesia [see Warnings and Precautions (5.1) ] • Dose-Related Toxicity [see Warnings and Precautions (5.2) ] • Methemoglobinemia [see Warnings and Precautions (5.3) ] • Chondrolysis with Intra-Articular Infusion [see Warnings and Precautions (5.5) ] • Severe, Persistent Hypertension, Cerebrovascular Accidents, and Bradycardia Due to Drug Interactions [see Warnings and Precautions (5.6) ] • Cardiac Arrest with Intravenous Regional Anesthesia Use [see Contraindications (4) , Warnings and Precautions (5.7) ] • Allergic-Type Reactions [see Warnings and Precautions (5.8) ] • Systemic Toxicities with Unintended Intravascular or Intrathecal Injection [see Warnings and Precautions (5.9) ] • Respiratory Arrest Following Retrobulbar Block [see Warnings and Precautions (5.15) ] The following adverse reactions from voluntary reports or clinical studies have been reported with bupivacaine or bupivacaine and epinephrine. Because many of these reactions were reported voluntarily from a population of uncertain size, it is not always possible to reliably estimate their frequency or establish a causal relationship to drug exposure. Adverse reactions to Bupivacaine Hydrochloride Injection/Bupivacaine Hydrochloride and Epinephrine Injection are characteristic of those associated with other amide-type local anesthetics. A major cause of adverse reactions to this group of drugs is excessive plasma levels, which may be due to overdosage, unintentional intravascular injection, or slow metabolic degradation. The most commonly encountered acute adverse reactions that demand immediate counter-measures were related to the CNS and the cardiovascular system. These adverse reactions were generally dose-related and due to high plasma levels which may have resulted from overdosage, rapid absorption from the injection site, diminished tolerance, or from unintentional intravascular injection of the local anesthetic solution. In addition to systemic dose-related toxicity, unintentional intrathecal injection of drug during the intended performance of caudal or lumbar epidural block or nerve blocks near the vertebral column (especially in the head and neck region) has resulted in underventilation or apnea ("Total or High Spinal"). Also, hypotension due to loss of sympathetic tone and respiratory paralysis or underventilation due to cephalad extension of the motor level of anesthesia have occurred. This has led to secondary cardiac arrest when untreated.

Drug Interactions

• Local Anesthetics : The toxic effects of local anesthetics are additive. Monitor for neurologic and cardiovascular effects when additional local anesthetics are administered. ( 7.1 ) • Monoamine Oxidase Inhibitors and Tricyclic Antidepressants : Administration of Bupivacaine Hydrochloride and Epinephrine Injection to patients receiving monoamine oxidase inhibitors or tricyclic antidepressants may produce severe, prolonged hypertension. Concurrent use of these agents should generally be avoided. ( 5.6 , 7.2 ) • Ergot-Type Oxytocic Drugs : Concurrent administration of Bupivacaine Hydrochloride and Epinephrine Injection and ergot-type oxytocic drugs may cause severe, persistent hypertension or cerebrovascular accidents. ( 5.6 , 7.3 ) • Nonselective Beta-Adrenergic Antagonists : Administration of Bupivacaine Hydrochloride and Epinephrine Injection (containing a vasoconstrictor) in patients receiving nonselective beta-adrenergic antagonists may cause severe hypertension and bradycardia. Concurrent use of these agents should generally be avoided. ( 5.6 , 7.4 ) • Drugs Associated with Methemoglobinemia : Patients are at increased risk of developing methemoglobinemia when concurrently exposed to nitrates, nitrites, local anesthetics, antineoplastic agents, antibiotics, antimalarials, anticonvulsants, and other drugs. ( 7.5 ) • Potent Inhalation Anesthetics : Serious dose-related cardiac arrhythmias may occur if preparations containing a vasoconstrictor such as epinephrine are used in patients during or following the administration of potent inhalation anesthetics. ( 5.13 , 7.6 )


Medication Information

Warnings and Precautions

• Dose-Related Toxicity : Monitor cardiovascular and respiratory vital signs and patient's state of consciousness after injection of Bupivacaine Hydrochloride Injection/Bupivacaine Hydrochloride and Epinephrine Injection. ( 5.2 ) • Methemoglobinemia : Cases of methemoglobinemia have been reported in association with local anesthetic use. See full prescribing information for more detail on managing these risks. ( 5.3 ) • Chondrolysis with Intra-Articular Infusion : Intra-articular infusions of local anesthetics including Bupivacaine Hydrochloride Injection following arthroscopic and other surgical procedures is an unapproved use, and there have been post-marketing reports of chondrolysis in patients receiving such infusions. ( 5.5 ) • Risk of Cardiac Arrest with Intravenous Regional Anesthesia Use (Bier Block) : There have been reports of cardiac arrest and death during the use of bupivacaine for intravenous regional anesthesia (Bier Block). ( 5.7 ) • Allergic-Type Reactions to Sulfites in Bupivacaine Hydrochloride and Epinephrine Injection : Bupivacaine Hydrochloride and Epinephrine Injection contains sodium metabisulfite, a sulfite that may cause allergic-type reactions including anaphylactic symptoms and life-threatening or less severe asthmatic episodes in certain susceptible people. ( 5.8 ) • Risk of Systemic Toxicities with Unintended Intravascular or Intrathecal Injection : Unintended intravascular or intrathecal injection may be associated with systemic toxicities, including CNS or cardiorespiratory depression and coma, progressing ultimately to respiratory arrest. Aspirate for blood or cerebrospinal fluid (where applicable) prior to each dose and consider using a test dose of Bupivacaine Hydrochloride and Epinephrine Injection. ( 5.9 )

Indications and Usage

Bupivacaine Hydrochloride Injection/Bupivacaine Hydrochloride and Epinephrine Injection is indicated in adults for the production of local or regional anesthesia or analgesia for surgery, dental and oral surgery procedures, diagnostic and therapeutic procedures, and for obstetrical procedures. Specific concentrations and presentations of Bupivacaine Hydrochloride Injection/Bupivacaine Hydrochloride and Epinephrine Injection are recommended for each type of block indicated to produce local or regional anesthesia or analgesia [see Dosage and Administration (2.2) ].

Dosage and Administration

• Not for intrathecal use. ( 2.1 ) • Avoid use of solutions containing antimicrobial preservatives (i.e., multiple-dose vials) for epidural or caudal anesthesia. ( 2.1 , 5.4 ) • Three mL of Bupivacaine Hydrochloride and Epinephrine Injection without antimicrobial preservative (0.5% bupivacaine with 1:200,000 epinephrine) is recommended for use as a test dose prior to caudal and lumbar epidural blocks when clinical conditions permit. ( 2.4 ) • See full prescribing information for: - Recommended concentrations and dosages of Bupivacaine Hydrochloride Injection/Bupivacaine Hydrochloride and Epinephrine Injection according to type of block. ( 2.2 ) - Additional dosage and administration information pertaining to use in epidural anesthesia, test dose for caudal and lumbar epidural blocks, use in dentistry, and use in ophthalmic surgery. ( 2.3 , 2.4 , 2.5 , 2.6 )

Contraindications

Bupivacaine Hydrochloride Injection/Bupivacaine Hydrochloride and Epinephrine Injection is contraindicated in: • obstetrical paracervical block anesthesia. Its use in this technique has resulted in fetal bradycardia and death. • intravenous regional anesthesia (Bier Block) [see Warnings and Precautions (5.7) ]. • patients with a known hypersensitivity to bupivacaine or to any local anesthetic agent of the amide-type or to other components of Bupivacaine Hydrochloride Injection/Bupivacaine Hydrochloride and Epinephrine Injection.

Adverse Reactions

The following clinically significant adverse reactions have been reported and described in the Warnings and Precautions section of the labeling: • Cardiac Arrest in Obstetrical Anesthesia [see Warnings and Precautions (5.1) ] • Dose-Related Toxicity [see Warnings and Precautions (5.2) ] • Methemoglobinemia [see Warnings and Precautions (5.3) ] • Chondrolysis with Intra-Articular Infusion [see Warnings and Precautions (5.5) ] • Severe, Persistent Hypertension, Cerebrovascular Accidents, and Bradycardia Due to Drug Interactions [see Warnings and Precautions (5.6) ] • Cardiac Arrest with Intravenous Regional Anesthesia Use [see Contraindications (4) , Warnings and Precautions (5.7) ] • Allergic-Type Reactions [see Warnings and Precautions (5.8) ] • Systemic Toxicities with Unintended Intravascular or Intrathecal Injection [see Warnings and Precautions (5.9) ] • Respiratory Arrest Following Retrobulbar Block [see Warnings and Precautions (5.15) ] The following adverse reactions from voluntary reports or clinical studies have been reported with bupivacaine or bupivacaine and epinephrine. Because many of these reactions were reported voluntarily from a population of uncertain size, it is not always possible to reliably estimate their frequency or establish a causal relationship to drug exposure. Adverse reactions to Bupivacaine Hydrochloride Injection/Bupivacaine Hydrochloride and Epinephrine Injection are characteristic of those associated with other amide-type local anesthetics. A major cause of adverse reactions to this group of drugs is excessive plasma levels, which may be due to overdosage, unintentional intravascular injection, or slow metabolic degradation. The most commonly encountered acute adverse reactions that demand immediate counter-measures were related to the CNS and the cardiovascular system. These adverse reactions were generally dose-related and due to high plasma levels which may have resulted from overdosage, rapid absorption from the injection site, diminished tolerance, or from unintentional intravascular injection of the local anesthetic solution. In addition to systemic dose-related toxicity, unintentional intrathecal injection of drug during the intended performance of caudal or lumbar epidural block or nerve blocks near the vertebral column (especially in the head and neck region) has resulted in underventilation or apnea ("Total or High Spinal"). Also, hypotension due to loss of sympathetic tone and respiratory paralysis or underventilation due to cephalad extension of the motor level of anesthesia have occurred. This has led to secondary cardiac arrest when untreated.

Drug Interactions

• Local Anesthetics : The toxic effects of local anesthetics are additive. Monitor for neurologic and cardiovascular effects when additional local anesthetics are administered. ( 7.1 ) • Monoamine Oxidase Inhibitors and Tricyclic Antidepressants : Administration of Bupivacaine Hydrochloride and Epinephrine Injection to patients receiving monoamine oxidase inhibitors or tricyclic antidepressants may produce severe, prolonged hypertension. Concurrent use of these agents should generally be avoided. ( 5.6 , 7.2 ) • Ergot-Type Oxytocic Drugs : Concurrent administration of Bupivacaine Hydrochloride and Epinephrine Injection and ergot-type oxytocic drugs may cause severe, persistent hypertension or cerebrovascular accidents. ( 5.6 , 7.3 ) • Nonselective Beta-Adrenergic Antagonists : Administration of Bupivacaine Hydrochloride and Epinephrine Injection (containing a vasoconstrictor) in patients receiving nonselective beta-adrenergic antagonists may cause severe hypertension and bradycardia. Concurrent use of these agents should generally be avoided. ( 5.6 , 7.4 ) • Drugs Associated with Methemoglobinemia : Patients are at increased risk of developing methemoglobinemia when concurrently exposed to nitrates, nitrites, local anesthetics, antineoplastic agents, antibiotics, antimalarials, anticonvulsants, and other drugs. ( 7.5 ) • Potent Inhalation Anesthetics : Serious dose-related cardiac arrhythmias may occur if preparations containing a vasoconstrictor such as epinephrine are used in patients during or following the administration of potent inhalation anesthetics. ( 5.13 , 7.6 )

Description

There have been reports of cardiac arrest with difficult resuscitation or death during use of Bupivacaine Hydrochloride Injection for epidural anesthesia in obstetrical patients. In most cases, this has followed use of the 0.75% (7.5 mg/mL) concentration. Resuscitation has been difficult or impossible despite apparently adequate preparation and appropriate management. Cardiac arrest has occurred after convulsions resulting from systemic toxicity, presumably following unintentional intravascular injection. The 0.75% (7.5 mg/mL) concentration of Bupivacaine Hydrochloride Injection is not recommended for obstetrical anesthesia and should be reserved for surgical procedures where a high degree of muscle relaxation and prolonged effect are necessary [see Warnings and Precautions (5.1) ].

Section 42229-5

Limitations of Use

Not all blocks are indicated for use with Bupivacaine Hydrochloride Injection/Bupivacaine Hydrochloride and Epinephrine Injection given clinically significant risks associated with use [see Dosage and Administration (2.2), Contraindications (4), Warnings and Precautions (5.1, 5.4, 5.5, 5.7, 5.9)].

Section 44425-7

Store at 20 °C to 25 °C (68 °F to 77 °F); excursions permitted between 15 °C to 30 °C (59 °F to 86 °F). [See USP Controlled Room Temperature.]

11 Description

Bupivacaine Hydrochloride Injection/Bupivacaine Hydrochloride and Epinephrine Injection contains bupivacaine hydrochloride, an amide local anesthetic, as the active pharmaceutical ingredient. The route of administration for Bupivacaine Hydrochloride Injection (without epinephrine) is by injection, for infiltration, perineural, caudal, epidural, or retrobulbar use. The route of administration for Bupivacaine Hydrochloride and Epinephrine Injection is by injection, for infiltration, perineural, caudal, or epidural use. Multiple-dose vials contain methylparaben [see Warnings and Precautions (5.4)].

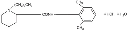
Bupivacaine hydrochloride is 2-piperidinecarboxamide, 1-butyl-N-(2,6-dimethylphenyl)-, monohydrochloride, monohydrate. It is a white crystalline powder that is freely soluble in 95 percent ethanol, soluble in water, and slightly soluble in chloroform or acetone. It has the following structural formula:

Bupivacaine hydrochloride with 1:200,000 epinephrine, contains bupivacaine hydrochloride and epinephrine (an alpha and beta-adrenergic agonist) as active pharmaceutical ingredients. This product is for injection via local infiltration, peripheral nerve block, and caudal and lumbar epidural blocks. Multiple-dose vials contain methylparaben and they should not be used for caudal and lumbar epidural blocks.

Epinephrine is (-)-3,4-Dihydroxy-α-[(methylamino)methyl] benzyl alcohol. Epinephrine is a vasoconstrictor. It has the following structural formula:

Bupivacaine Hydrochloride Injection, USP is a clear and colorless sterile isotonic solution. Each mL of single-dose vial contains 2.5 mg, 5 mg, or 7.5 mg of bupivacaine hydrochloride (equivalent to 2.22 mg, 4.44 mg, or 6.66 mg of bupivacaine, respectively), sodium chloride for isotonicity, sodium hydroxide or hydrochloric acid to adjust the pH between 4 and 6.5, in water for injection.

For the multiple-dose vials, each mL also contains 1 mg methylparaben as preservative.

Bupivacaine Hydrochloride and Epinephrine Injection, USP is a clear and colorless sterile isotonic solution. Each mL contains 2.5 mg or 5 mg bupivacaine hydrochloride (equivalent to 2.22 mg or 4.44 mg of bupivacaine, respectively), and 0.005 mg of epinephrine, with sodium chloride for isotonicity, 0.1 mg sodium metabisulfite as antioxidant, and 0.1 mg edetate calcium disodium anhydrous as stabilizer. The pH of these solutions is adjusted to between 3.3 and 5.5 with sodium hydroxide or hydrochloric acid.

For the multiple-dose vials, each mL also contains 1 mg methylparaben as preservative.

The specific gravity of Bupivacaine Hydrochloride and Epinephrine Injection [0.5% (5 mg/mL) of bupivacaine] at 25 ºC is 1.007.

8.4 Pediatric Use

Bupivacaine Hydrochloride Injection/Bupivacaine Hydrochloride and Epinephrine Injection is approved for use in adults. Administration of Bupivacaine Hydrochloride Injection/Bupivacaine Hydrochloride and Epinephrine Injection in pediatric patients younger than 12 years is not recommended.

Continuous infusions of bupivacaine in pediatric patients have been reported to result in high systemic levels of bupivacaine and seizures; high plasma levels may also be associated with cardiovascular abnormalities.

8.5 Geriatric Use

Patients 65 years and over, particularly those with hypertension, may be at increased risk for developing hypotension while undergoing anesthesia with Bupivacaine Hydrochloride Injection/Bupivacaine Hydrochloride and Epinephrine Injection.

In clinical studies of bupivacaine, elderly patients reached the maximal spread of analgesia and maximal motor blockade more rapidly than younger adult patients.

Differences in various pharmacokinetic parameters have been observed between elderly and younger adult patients [see Clinical Pharmacology (12.3)].

This product is known to be substantially excreted by the kidney, and the risk of adverse reactions to this drug may be greater in patients with impaired renal function. Because elderly patients are more likely to have decreased renal function, care should be taken in dose selection, and it may be useful to monitor renal function. Elderly patients may require lower doses of Bupivacaine Hydrochloride Injection/Bupivacaine Hydrochloride and Epinephrine Injection.

4 Contraindications

Bupivacaine Hydrochloride Injection/Bupivacaine Hydrochloride and Epinephrine Injection is contraindicated in:

  • obstetrical paracervical block anesthesia. Its use in this technique has resulted in fetal bradycardia and death.
  • intravenous regional anesthesia (Bier Block) [see Warnings and Precautions (5.7)].
  • patients with a known hypersensitivity to bupivacaine or to any local anesthetic agent of the amide-type or to other components of Bupivacaine Hydrochloride Injection/Bupivacaine Hydrochloride and Epinephrine Injection.
6 Adverse Reactions

The following clinically significant adverse reactions have been reported and described in the Warnings and Precautions section of the labeling:

The following adverse reactions from voluntary reports or clinical studies have been reported with bupivacaine or bupivacaine and epinephrine. Because many of these reactions were reported voluntarily from a population of uncertain size, it is not always possible to reliably estimate their frequency or establish a causal relationship to drug exposure.

Adverse reactions to Bupivacaine Hydrochloride Injection/Bupivacaine Hydrochloride and Epinephrine Injection are characteristic of those associated with other amide-type local anesthetics. A major cause of adverse reactions to this group of drugs is excessive plasma levels, which may be due to overdosage, unintentional intravascular injection, or slow metabolic degradation.

The most commonly encountered acute adverse reactions that demand immediate counter-measures were related to the CNS and the cardiovascular system. These adverse reactions were generally dose-related and due to high plasma levels which may have resulted from overdosage, rapid absorption from the injection site, diminished tolerance, or from unintentional intravascular injection of the local anesthetic solution. In addition to systemic dose-related toxicity, unintentional intrathecal injection of drug during the intended performance of caudal or lumbar epidural block or nerve blocks near the vertebral column (especially in the head and neck region) has resulted in underventilation or apnea ("Total or High Spinal"). Also, hypotension due to loss of sympathetic tone and respiratory paralysis or underventilation due to cephalad extension of the motor level of anesthesia have occurred. This has led to secondary cardiac arrest when untreated.

7 Drug Interactions
  • Local Anesthetics: The toxic effects of local anesthetics are additive. Monitor for neurologic and cardiovascular effects when additional local anesthetics are administered. (7.1)
  • Monoamine Oxidase Inhibitors and Tricyclic Antidepressants: Administration of Bupivacaine Hydrochloride and Epinephrine Injection to patients receiving monoamine oxidase inhibitors or tricyclic antidepressants may produce severe, prolonged hypertension. Concurrent use of these agents should generally be avoided. (5.6, 7.2)
  • Ergot-Type Oxytocic Drugs: Concurrent administration of Bupivacaine Hydrochloride and Epinephrine Injection and ergot-type oxytocic drugs may cause severe, persistent hypertension or cerebrovascular accidents. (5.6, 7.3)
  • Nonselective Beta-Adrenergic Antagonists: Administration of Bupivacaine Hydrochloride and Epinephrine Injection (containing a vasoconstrictor) in patients receiving nonselective beta-adrenergic antagonists may cause severe hypertension and bradycardia. Concurrent use of these agents should generally be avoided. (5.6, 7.4)
  • Drugs Associated with Methemoglobinemia: Patients are at increased risk of developing methemoglobinemia when concurrently exposed to nitrates, nitrites, local anesthetics, antineoplastic agents, antibiotics, antimalarials, anticonvulsants, and other drugs. (7.5)
  • Potent Inhalation Anesthetics: Serious dose-related cardiac arrhythmias may occur if preparations containing a vasoconstrictor such as epinephrine are used in patients during or following the administration of potent inhalation anesthetics. (5.13, 7.6)
2.5 Use in Dentistry

Bupivacaine Hydrochloride and Epinephrine Injection 0.5% (5 mg/mL) is recommended for infiltration and block injection in the maxillary and mandibular area when a longer duration of local anesthesia is desired, such as for procedures generally associated with significant postoperative pain. The average dose of 1.8 mL (9 mg) per injection site will usually suffice; an occasional second dose of 1.8 mL (9 mg) may be used if necessary to produce adequate anesthesia after allowing 2 to 10 minutes for block onset [see Clinical Pharmacology (12.2)]. Use the lowest effective dose and allow time between injections; it is recommended that the total dose for all injection sites, spread out over a single dental sitting, not exceed 90 mg for a healthy adult patient (ten 1.8 mL injections of 0.5% (5 mg/mL) Bupivacaine Hydrochloride and Epinephrine Injection). Inject slowly and with frequent aspirations.

8.7 Renal Impairment

Bupivacaine is known to be substantially excreted by the kidney, and the risk of adverse reactions to this drug may be greater in patients with renal impairment. This should be considered when selecting the Bupivacaine Hydrochloride Injection/Bupivacaine Hydrochloride and Epinephrine Injection dosage [see Use in Specific Populations (8.5)].

12.2 Pharmacodynamics

Systemic absorption of bupivacaine produces effects on the cardiovascular system and CNS. At blood concentrations achieved with normal therapeutic doses, changes in cardiac conduction, excitability, refractoriness, contractility, and peripheral vascular resistance are minimal. However, toxic blood concentrations depress cardiac conduction and excitability, which may lead to atrioventricular block, ventricular arrhythmias, and cardiac arrest, sometimes resulting in fatalities. In addition, myocardial contractility is depressed and peripheral vasodilation occurs, leading to decreased cardiac output and arterial blood pressure. These cardiovascular changes are more likely to occur after unintended intravascular injection of bupivacaine [see Warnings and Precautions (5.9)].

Following systemic absorption, bupivacaine can produce CNS stimulation, CNS depression, or both. Apparent central stimulation is manifested as restlessness, tremors, and shivering, progressing to convulsions, followed by CNS depression and coma progressing ultimately to respiratory arrest. However, bupivacaine has a primary depressant effect on the medulla and on higher centers. The depressed stage may occur without a prior excited state.

The duration of local anesthesia after administration of Bupivacaine Hydrochloride Injection is longer than that observed after administration of other commonly used short-acting local anesthetics. There appears to be a period of analgesia that persists after the resolution of the block and return of sensation.

The onset of action following dental injections is usually 2 to 10 minutes and may last up to 7 hours. The duration of anesthetic effect is prolonged by the addition of epinephrine 1:200,000.

12.3 Pharmacokinetics

Systemic plasma levels of bupivacaine following administration of Bupivacaine Hydrochloride Injection do not correlate with local efficacy.

5.3 Methemoglobinemia

Cases of methemoglobinemia have been reported in association with local anesthetic use. Although all patients are at risk for methemoglobinemia, patients with glucose-6-phosphate dehydrogenase deficiency, congenital or idiopathic methemoglobinemia, cardiac or pulmonary compromise, infants under 6 months of age, and concurrent exposure to oxidizing agents or their metabolites are more susceptible to developing clinical manifestations of the condition [see Drug Interactions (7.5)]. If local anesthetics must be used in these patients, close monitoring for symptoms and signs of methemoglobinemia is recommended.

Signs of methemoglobinemia may occur immediately or may be delayed some hours after exposure, and are characterized by a cyanotic skin discoloration and/or abnormal coloration of the blood. Methemoglobin levels may continue to rise; therefore, immediate treatment is required to avert more serious CNS and cardiovascular adverse effects, including seizures, coma, arrhythmias, and death. Discontinue Bupivacaine Hydrochloride Injection/Bupivacaine Hydrochloride and Epinephrine Injection and any other oxidizing agents. Depending on the severity of the signs and symptoms, patients may respond to supportive care, i.e., oxygen therapy, hydration. A more severe clinical presentation may require treatment with methylene blue, exchange transfusion, or hyperbaric oxygen.

7.1 Local Anesthetics

The toxic effects of local anesthetics are additive. If coadministration of other local anesthetics with Bupivacaine Hydrochloride Injection/Bupivacaine Hydrochloride and Epinephrine Injection cannot be avoided, monitor patients for neurologic and cardiovascular effects related to local anesthetic systemic toxicity [see Dosage and Administration (2.1), Warnings and Precautions (5.2)].

8.6 Hepatic Impairment

Amide-type local anesthetics, such as bupivacaine, are metabolized by the liver. Patients with severe hepatic impairment, because of their inability to metabolize local anesthetics normally, are at a greater risk of developing toxic plasma concentrations, and potentially local anesthetic systemic toxicity. Therefore, consider reduced dosing and increased monitoring for local anesthetic systemic toxicity in patients with moderate to severe hepatic impairment treated with Bupivacaine Hydrochloride Injection/Bupivacaine Hydrochloride and Epinephrine Injection, especially with repeat doses [see Warnings and Precautions (5.10)].

1 Indications and Usage

Bupivacaine Hydrochloride Injection/Bupivacaine Hydrochloride and Epinephrine Injection is indicated in adults for the production of local or regional anesthesia or analgesia for surgery, dental and oral surgery procedures, diagnostic and therapeutic procedures, and for obstetrical procedures. Specific concentrations and presentations of Bupivacaine Hydrochloride Injection/Bupivacaine Hydrochloride and Epinephrine Injection are recommended for each type of block indicated to produce local or regional anesthesia or analgesia [see Dosage and Administration (2.2)].

12.1 Mechanism of Action

Bupivacaine blocks the generation and the conduction of nerve impulses, presumably by increasing the threshold for electrical excitation in the nerve, by slowing the propagation of the nerve impulse, and by reducing the rate of rise of the action potential. In general, the progression of anesthesia is related to the diameter, myelination, and conduction velocity of affected nerve fibers. Clinically, the order of loss of nerve function is as follows: (1) pain, (2) temperature, (3) touch, (4) proprioception, and (5) skeletal muscle tone.

Epinephrine is a vasoconstrictor added to bupivacaine to slow absorption into the general circulation and thus prolong maintenance of an active tissue concentration.

5.2 Dose Related Toxicity

The safety and effectiveness of Bupivacaine Hydrochloride Injection/Bupivacaine Hydrochloride and Epinephrine Injection depend on proper dosage, correct technique, adequate precautions, and readiness for emergencies. Careful and constant monitoring of cardiovascular and respiratory (adequacy of ventilation) vital signs and the patient's state of consciousness should be performed after injection of Bupivacaine Hydrochloride Injection/Bupivacaine Hydrochloride and Epinephrine Injection solutions.

Possible early warning signs of central nervous system (CNS) toxicity are restlessness, anxiety, incoherent speech, lightheadedness, numbness and tingling of the mouth and lips, metallic taste, tinnitus, dizziness, blurred vision, tremors, twitching, CNS depression, or drowsiness. Delay in proper management of dose-related toxicity, underventilation from any cause, and/or altered sensitivity may lead to the development of acidosis, cardiac arrest, and, possibly, death.

During major regional nerve blocks, such as those of the brachial plexus or lower extremity, the patient should have an indwelling intravenous catheter to assure adequate intravenous access. Use the lowest dosage of Bupivacaine Hydrochloride Injection/Bupivacaine Hydrochloride and Epinephrine Injection that results in effective anesthesia to avoid high plasma levels and serious adverse effects. Avoid rapid injection of a large volume of Bupivacaine Hydrochloride Injection/Bupivacaine Hydrochloride and Epinephrine Injection solution and administer fractional (incremental) doses when feasible.

Injection of repeated doses of Bupivacaine Hydrochloride Injection/Bupivacaine Hydrochloride and Epinephrine Injection may cause significant increases in plasma levels with each repeated dose due to slow accumulation of the drug or its metabolites, or to slow metabolic degradation. Tolerance to elevated blood levels varies with the status of the patient. Debilitated, elderly patients and acutely ill patients should be given reduced doses commensurate with their age and physical status.

5 Warnings and Precautions
  • Dose-Related Toxicity: Monitor cardiovascular and respiratory vital signs and patient's state of consciousness after injection of Bupivacaine Hydrochloride Injection/Bupivacaine Hydrochloride and Epinephrine Injection. (5.2)
  • Methemoglobinemia: Cases of methemoglobinemia have been reported in association with local anesthetic use. See full prescribing information for more detail on managing these risks. (5.3)
  • Chondrolysis with Intra-Articular Infusion: Intra-articular infusions of local anesthetics including Bupivacaine Hydrochloride Injection following arthroscopic and other surgical procedures is an unapproved use, and there have been post-marketing reports of chondrolysis in patients receiving such infusions. (5.5)
  • Risk of Cardiac Arrest with Intravenous Regional Anesthesia Use (Bier Block): There have been reports of cardiac arrest and death during the use of bupivacaine for intravenous regional anesthesia (Bier Block). (5.7)
  • Allergic-Type Reactions to Sulfites in Bupivacaine Hydrochloride and Epinephrine Injection: Bupivacaine Hydrochloride and Epinephrine Injection contains sodium metabisulfite, a sulfite that may cause allergic-type reactions including anaphylactic symptoms and life-threatening or less severe asthmatic episodes in certain susceptible people. (5.8)
  • Risk of Systemic Toxicities with Unintended Intravascular or Intrathecal Injection: Unintended intravascular or intrathecal injection may be associated with systemic toxicities, including CNS or cardiorespiratory depression and coma, progressing ultimately to respiratory arrest. Aspirate for blood or cerebrospinal fluid (where applicable) prior to each dose and consider using a test dose of Bupivacaine Hydrochloride and Epinephrine Injection. (5.9)
2 Dosage and Administration
  • Not for intrathecal use. (2.1)
  • Avoid use of solutions containing antimicrobial preservatives (i.e., multiple-dose vials) for epidural or caudal anesthesia. (2.1, 5.4)
  • Three mL of Bupivacaine Hydrochloride and Epinephrine Injection without antimicrobial preservative (0.5% bupivacaine with 1:200,000 epinephrine) is recommended for use as a test dose prior to caudal and lumbar epidural blocks when clinical conditions permit. (2.4)
  • See full prescribing information for:
    • -
      Recommended concentrations and dosages of Bupivacaine Hydrochloride Injection/Bupivacaine Hydrochloride and Epinephrine Injection according to type of block. (2.2)
    • -
      Additional dosage and administration information pertaining to use in epidural anesthesia, test dose for caudal and lumbar epidural blocks, use in dentistry, and use in ophthalmic surgery. (2.3, 2.4, 2.5, 2.6)
3 Dosage Forms and Strengths

Bupivacaine Hydrochloride Injection, USP is a clear, colorless solution available as:

  • 0.25% (25 mg/10 mL) (2.5 mg/mL) in single-dose teartop vials.
  • 0.25% (75 mg/30 mL) (2.5 mg/mL) in single-dose teartop vials.
  • 0.25% (125 mg/50 mL) (2.5 mg/mL) in multiple-dose fliptop vials.
  • 0.5% (50 mg/10 mL) (5 mg/mL) in single-dose teartop vials.
  • 0.5% (150 mg/30 mL) (5 mg/mL) in single-dose teartop vials.
  • 0.5% (250 mg/50 mL) (5 mg/mL) in multiple-dose fliptop vials.
  • 0.75% (75 mg/10 mL) (7.5 mg/mL) in single-dose teartop vials.
  • 0.75% (225 mg/30 mL) (7.5 mg/mL) in single-dose teartop vials.

Bupivacaine Hydrochloride and Epinephrine Injection, USP is a clear, colorless solution available as:

  • 0.25% (25 mg/10 mL) (2.5 mg/mL) in single-dose teartop vials.
  • 0.25% (75 mg/30 mL) (2.5 mg/mL) in single-dose teartop vials.
  • 0.25% (125 mg/50 mL) (2.5 mg/mL) in multiple-dose fliptop vials.
  • 0.5% (50 mg/10 mL) (5 mg/mL) in single-dose teartop vials.
  • 0.5% (150 mg/30 mL) (5 mg/mL) in single-dose teartop vials.
  • 0.5% (250 mg/50 mL) (5 mg/mL) in multiple-dose fliptop vials.
2.6 Use in Ophthalmic Surgery

When Bupivacaine Hydrochloride Injection 0.75% (7.5 mg/mL) is used for retrobulbar block, complete corneal anesthesia usually precedes onset of clinically acceptable external ocular muscle akinesia. Therefore, presence of akinesia rather than anesthesia alone should determine readiness of the patient for surgery [see Warnings and Precautions (5.15)].

7.3 Ergot Type Oxytocic Drugs

Concurrent administration of Bupivacaine Hydrochloride and Epinephrine Injection and ergot-type oxytocic drugs may cause severe, persistent hypertension or cerebrovascular accidents. Avoid use of Bupivacaine Hydrochloride and Epinephrine concomitantly with ergot-type oxytocic drugs [see Warnings and Precautions (5.6)].

8 Use in Specific Populations
  • Pediatric Use: Administration of Bupivacaine Hydrochloride Injection/Bupivacaine Hydrochloride and Epinephrine Injection in pediatric patients younger than 12 years is not recommended. (8.4)
  • Geriatric Use: Patients 65 years and over, particularly those with hypertension, may be at increased risk for developing hypotension while undergoing anesthesia with Bupivacaine Hydrochloride Injection/Bupivacaine Hydrochloride and Epinephrine Injection. (8.5)
  • Moderate to Severe Hepatic Impairment: Consider increased monitoring for bupivacaine systemic toxicity. (8.6)
2.3 Use in Epidural Anesthesia

During the administration of epidural anesthesia, it is recommended that a test dose of Bupivacaine Hydrochloride and Epinephrine Injection without antimicrobial preservative (0.5% bupivacaine with 1:200,000 epinephrine) be administered initially and the effects monitored before the full dose is given. When using a "continuous" catheter technique, test doses should be given prior to both the initial and all supplemental doses, because a catheter in the epidural space can migrate into a blood vessel or through the dura [see Dosage and Administration (2.4)].

During epidural administration, administer Bupivacaine Hydrochloride Injection/Bupivacaine Hydrochloride and Epinephrine Injection, 0.5% (5 mg/mL) and Bupivacaine Hydrochloride Injection 0.75% (7.5 mg/mL) solutions in incremental doses of 3 mL to 5 mL with sufficient time between doses to detect toxic manifestations of unintentional intravascular or intrathecal injection. Administer injections slowly, with frequent aspirations before and during the injection to avoid intravascular injection. Perform syringe aspirations before and during each supplemental injection in continuous (intermittent) catheter techniques. In obstetrics, use ONLY the 0.5% (5 mg/mL) and 0.25% (2.5 mg/mL) concentrations of Bupivacaine Hydrochloride Injection/Bupivacaine Hydrochloride and Epinephrine Injection [see Warnings and Precautions (5.1)]; incremental doses of 3 mL to 5 mL of the 0.5% (5 mg/mL) solution not exceeding 50 mg to 100 mg at any dosing interval are recommended. Repeat doses should be preceded by a test dose containing epinephrine if not clinically contraindicated. Use only the single-dose vials for caudal or epidural anesthesia; avoid use of the multiple-dose vials for these procedures, which contain a preservative [see Dosage and Administration (2.1, 2.4), Warnings and Precautions (5.4, 5.9)].

7.6 Potent Inhalation Anesthetics

Serious dose-related cardiac arrhythmias may occur if preparations containing a vasoconstrictor such as epinephrine (e.g., Bupivacaine Hydrochloride and Epinephrine Injection) are used in patients during or following the administration of potent inhalation anesthetics [see Warnings and Precautions (5.13)].

7.7 Phenothiazines and Butyrophenones

Phenothiazines and butyrophenones may reduce or reverse the pressor effect of epinephrine. Concurrent use of Bupivacaine Hydrochloride and Epinephrine Injection and these agents should generally be avoided. In situations when concurrent therapy is necessary, careful patient monitoring is essential.

7.5 Drugs Associated With Methemoglobinemia

Patients who are administered Bupivacaine Hydrochloride Injection/Bupivacaine Hydrochloride and Epinephrine Injection are at increased risk of developing methemoglobinemia when concurrently exposed to the following drugs, which could include other local anesthetics [see Warnings and Precautions (5.3)].

Examples of Drugs Associated with Methemoglobinemia:
Class Examples

Nitrates/Nitrites

nitric oxide, nitroglycerin, nitroprusside, nitrous oxide

Local anesthetics

articaine, benzocaine, bupivacaine, lidocaine, mepivacaine, prilocaine, procaine, ropivacaine, tetracaine

Antineoplastic agents

cyclophosphamide, flutamide, hydroxyurea, ifosfamide, rasburicase

Antibiotics

dapsone, nitrofurantoin, para-aminosalicylic acid, sulfonamides

Antimalarials

chloroquine, primaquine

Anticonvulsants

phenobarbital, phenytoin, sodium valproate

Other drugs

acetaminophen, metoclopramide, quinine, sulfasalazine

7.4 Nonselective Beta Adrenergic Antagonists

Administration of Bupivacaine Hydrochloride and Epinephrine Injection (containing a vasoconstrictor) in patients receiving nonselective beta-adrenergic antagonists may cause severe hypertension and bradycardia. Concurrent use of these agents should generally be avoided. In situations when concurrent therapy is necessary, careful monitoring of the patient's blood pressure and heart rate is essential [see Warnings and Precautions (5.6)].

5.5 Chondrolysis With Intra Articular Infusion

Intra-articular infusions of local anesthetics including Bupivacaine Hydrochloride Injection following arthroscopic and other surgical procedures is an unapproved use, and there have been post-marketing reports of chondrolysis in patients receiving such infusions. The majority of reported cases of chondrolysis have involved the shoulder joint; cases of gleno-humeral chondrolysis have been described in pediatric and adult patients following intra-articular infusions of local anesthetics with and without epinephrine for periods of 48 to 72 hours. There is insufficient information to determine whether shorter infusion periods are associated with chondrolysis. The time of onset of symptoms, such as joint pain, stiffness and loss of motion can be variable, but may begin as early as the 2nd month after surgery. Currently, there is no effective treatment for chondrolysis; patients who experienced chondrolysis have required additional diagnostic and therapeutic procedures and some required arthroplasty or shoulder replacement.

2.1 Important Dosage and Administration Information
  • Bupivacaine Hydrochloride Injection/Bupivacaine Hydrochloride and Epinephrine Injection is not for intrathecal use.
  • Avoid use of Bupivacaine Hydrochloride Injection/Bupivacaine Hydrochloride and Epinephrine Injection solutions containing antimicrobial preservatives (i.e., multiple-dose vials) for epidural or caudal anesthesia [see Warnings and Precautions (5.4)].
  • Discard unused portions of solution not containing preservatives, i.e., those supplied in single-dose vials, following initial use.
  • Visually inspect this product for particulate matter and discoloration prior to administration whenever solution and container permit. Bupivacaine Hydrochloride Injection/Bupivacaine Hydrochloride and Epinephrine Injection are clear, colorless solutions. Do not administer solutions which are discolored or contain particulate matter.
  • Mixing or the prior or intercurrent use of any other local anesthetic with Bupivacaine Hydrochloride Injection/Bupivacaine Hydrochloride and Epinephrine Injection is not recommended because of insufficient data on the clinical use of such mixtures.
2.4 Test Dose for Caudal and Lumbar Epidural Blocks

Three mL of Bupivacaine Hydrochloride and Epinephrine Injection without antimicrobial preservative (0.5% bupivacaine with 1:200,000 epinephrine) is recommended for use as a test dose prior to caudal and lumbar epidural blocks when clinical conditions permit. This test dose may serve as a warning of unintended intravascular or intrathecal injection. Closely monitor for early clinical signs of toxicity following each test dose [see Warnings and Precautions (5.9)]. Allot adequate time for onset of spinal block to detect possible intrathecal injection. An intravascular or intrathecal injection is still possible even if results of the test dose are negative. The test dose itself may produce a systemic toxic reaction, high spinal, or cardiovascular effects from the epinephrine [see Warnings and Precautions (5.2, 5.9), Overdosage (10)].

5.4 Antimicrobial Preservatives in Multiple Dose Vials

Avoid use of Bupivacaine Hydrochloride Injection/Bupivacaine Hydrochloride and Epinephrine Injection solutions containing antimicrobial preservatives, i.e., those supplied in multiple-dose vials, for epidural or caudal anesthesia because safety has not been established with such use.

Principal Display Panel 25 Mg/10 Ml Vial Tray 1159

10 mL Single-dose Teartop Vial

Preservative-Free

Rx only

NDC 0409-1159-01

Contains 25 of NDC 0409-1159-18

0.25% Bupivacaine

Hydrochloride Injection, USP

25 mg/10 mL (2.5 mg/mL)

For INFILTRATION, NERVE BLOCK,

CAUDAL and EPIDURAL ANESTHESIA.

Not for intrathecal anesthesia.

Principal Display Panel 50 Mg/10 Ml Vial Tray 1162

10 mL Single-dose Teartop Vial

Preservative-Free

Rx only

NDC 0409-1162-01

Contains 25 of NDC 0409-1162-18

0.5% Bupivacaine

Hydrochloride Injection, USP

50 mg/10 mL (5 mg/mL)

For NERVE BLOCK, CAUDAL

and EPIDURAL ANESTHESIA.

Not for intrathecal anesthesia

Principal Display Panel 75 Mg/10 Ml Vial Tray 1165

10 mL Single-dose Teartop Vial

Preservative-Free

Rx only

NDC 0409-1165-01

Contains 25 of NDC 0409-1165-18

0.75% Bupivacaine

Hydrochloride Injection, USP

75 mg/10 mL (7.5 mg/mL)

For EPIDURAL and

RETROBULBAR ANESTHESIA.

Not for OBSTETRIC or

INTRATHECAL ANESTHESIA.

Principal Display Panel 75 Mg/30 Ml Vial Tray 1159

30 mL Single-dose Teartop Vial

Preservative-Free

Rx only

NDC 0409-1159-02

Contains 25 of NDC 0409-1159-19

0.25% Bupivacaine

Hydrochloride Injection, USP

75 mg/30 mL (2.5 mg/mL)

For INFILTRATION,

NERVE BLOCK, CAUDAL

and EPIDURAL ANESTHESIA.

Not for intrathecal anesthesia.

Principal Display Panel 75 Mg/30 Ml Vial Tray 9042

30 mL Single-dose Teartop Vial

Rx only

NDC 0409-9042-17

Contains 25 of NDC 0409-9042-16

0.25% Bupivacaine Hydrochloride

75 mg/30 mL (2.5 mg/mL)

and epinephrine 1:200,000 Injection

Sterile, nonpyrogenic

Bupivacaine Hydrochloride and Epinephrine Injection, USP

FOR INFILTRATION, NERVE BLOCK, CAUDAL AND EPIDURAL ANESTHESIA.

Not for intrathecal anesthesia.

Warning: Contains Sulfites

Hospira

Principal Display Panel 125 Mg/50 Ml Vial Tray 1160

50 mL Multiple-dose Fliptop Vial

Rx only

NDC 0409-1160-01

Contains 25 of NDC 0409-1160-18

0.25% Bupivacaine

Hydrochloride Injection, USP

125 mg/50 mL (2.5 mg/mL)

For INFILTRATION and

NERVE BLOCK.

Not for caudal, epidural

or intrathecal anesthesia.

Principal Display Panel 150 Mg/30 Ml Vial Tray 1162

30 mL Single-dose Teartop Vial

Preservative-Free

Rx only

NDC 0409-1162-02

Contains 25 of NDC 0409-1162-19

0.5% Bupivacaine

Hydrochloride Injection, USP

150 mg/30 mL (5 mg/mL)

For NERVE BLOCK, CAUDAL

and EPIDURAL ANESTHESIA.

Not for intrathecal anesthesia.

Principal Display Panel 150 Mg/30 Ml Vial Tray 9045

30 mL Single-dose Teartop Vial

Sterile, Nonpyrogenic

Rx only

NDC 0409-9045-17

Contains 25 of NDC 0409-9045-16

0.5% Bupivacaine Hydrochloride

150 mg/30 mL (5 mg/mL)

and epinephrine 1:200,000 Injection

Bupivacaine Hydrochloride and Epinephrine Injection, USP

FOR NERVE BLOCK, CAUDAL AND EPIDURAL ANESTHESIA ONLY.

Not for intrathecal anesthesia.

Warning: Contains Sulfites

Principal Display Panel 225 Mg/30 Ml Vial Tray 1165

30 mL Single-dose Teartop Vial

Preservative-Free

Rx only

NDC 0409-1165-02

Contains 25 of NDC 0409-1165-19

0.75% Bupivacaine

Hydrochloride Injection, USP

225 mg/30 mL (7.5 mg/mL)

For EPIDURAL and RETROBULBAR ANESTHESIA.

Not for OBSTETRIC or INTRATHECAL ANESTHESIA.

Principal Display Panel 25 Mg/10 Ml Vial Label 1159

10 mL Single-dose Teartop Vial

Preservative-Free

0.25% Bupivacaine

Hydrochloride Injection, USP

25 mg/10 mL (2.5 mg/mL)

For INFILTRATION, NERVE BLOCK,

CAUDAL and EPIDURAL ANESTHESIA.

Not for intrathecal anesthesia.

Hospira

Dist. by Hospira, Inc., Lake Forest, IL 60045 USA

Principal Display Panel 25 Mg/10 Ml Vial Label 9042

10 mL Single-dose Teartop Vial

0.25% Bupivacaine HCl

25 mg/10 mL (2.5 mg/mL)

and epinephrine

1:200,000 Injection

Bupivacaine Hydrochloride and Epinephrine Injection, USP

Rx only

FOR INFILTRATION, NERVE BLOCK,

CAUDAL AND EPIDURAL ANESTHESIA.

Warning: Contains Sulfites

Distributed by Hospira, Inc., Lake Forest, IL 60045 USA

Principal Display Panel 250 Mg/50 Ml Vial Tray 1163

50 mL Multiple-dose Fliptop Vial

Rx only

NDC 0409-1163-01

Contains 25 of NDC 0409-1163-18

0.5% Bupivacaine

Hydrochloride Injection, USP

250 mg/50 mL (5 mg/mL)

For NERVE BLOCK.

Not for caudal, epidural

or intrathecal anesthesia.

Principal Display Panel 50 Mg/10 Ml Vial Label 1162

10 mL Single-dose Teartop Vial

Preservative-Free

0.5% Bupivacaine

Hydrochloride Injection, USP

50 mg/10 mL (5 mg/mL)

For NERVE BLOCK, CAUDAL and EPIDURAL ANESTHESIA.

Not for intrathecal anesthesia.

Distributed by Hospira, Inc.

Lake Forest, IL 60045 USA

Hospira

Principal Display Panel 50 Mg/10 Ml Vial Label 9045

10 mL Single-dose Teartop Vial

Rx only

0.5% Bupivacaine HCl

50 mg/10 mL (5 mg/mL)

and epinephrine 1:200,000 Injection

Bupivacaine Hydrochloride and

Epinephrine Injection, USP

FOR NERVE BLOCK, CAUDAL

AND EPIDURAL ANESTHESIA ONLY.

Warning: Contains Sulfites

Hospira

Distributed by Hospira, Inc., Lake Forest, IL 60045 USA

Principal Display Panel 75 Mg/10 Ml Vial Label 1165

10 mL Single-dose Teartop Vial

0.75%

Bupivacaine

Hydrochloride Injection, USP

75 mg/10 mL (7.5 mg/mL)

For EPIDURAL and RETROBULBAR ANESTHESIA.

Not for OBSTETRIC or INTRATHECAL ANESTHESIA.

Dist. by Hospira, Inc. Lake Forest, IL 60045 USA

Principal Display Panel 75 Mg/30 Ml Vial Label 1159

30 mL Single-dose Teartop Vial

Preservative-Free

0.25% Bupivacaine

Hydrochloride Injection, USP

75 mg/30 mL (2.5 mg/mL)

For INFILTRATION, NERVE BLOCK,

CAUDAL and EPIDURAL ANESTHESIA.

Not for intrathecal anesthesia.

Distributed by Hospira, Inc.

Lake Forest, IL 60045 USA

Hospira

Principal Display Panel 75 Mg/30 Ml Vial Label 9042

30 mL Single-dose Teartop Vial

Rx only

0.25% Bupivacaine HCl

75 mg/30 mL (2.5 mg/mL)

and epinephrine

1:200,000 Injection

Bupivacaine Hydrochloride

and Epinephrine Injection, USP

FOR INFILTRATION, NERVE BLOCK,

CAUDAL AND EPIDURAL ANESTHESIA.

Warning: Contains Sulfites

Distributed by Hospira, Inc.,

Lake Forest, IL 60045 USA

Hospira

Principal Display Panel 125 Mg/50 Ml Vial Label 1160

50 mL Multiple-dose Fliptop Vial

0.25% Bupivacaine

Hydrochloride Injection, USP

125 mg/50 mL (2.5 mg/mL)

For INFILTRATION and NERVE BLOCK.

Not for caudal, epidural or intrathecal anesthesia.

Distributed by Hospira, Inc.

Lake Forest, IL 60045 USA

Hospira

Principal Display Panel 125 Mg/50 Ml Vial Label 9043

50 mL

Multiple-dose Fliptop Vial

0.25% Bupivacaine HCl

125 mg/50 mL (2.5 mg/mL)

and epinephrine

1:200,000 Injection

Bupivacaine and Epinephrine Injection., USP

FOR INFILTRATION AND NERVE BLOCK ONLY

Warning: Contains Sulfites

Distributed by Hospira, Inc.,

Lake Forest, IL 60045 USA

Hospira

Principal Display Panel 150 Mg/30 Ml Vial Label 1162

30 mL Single-dose Teartop Vial

Preservative-Free

0.5% Bupivacaine

Hydrochloride Injection, USP

150 mg/30 mL (5 mg/mL)

For NERVE BLOCK, CAUDAL and

EPIDURAL ANESTHESIA.

Not for intrathecal anesthesia.

Distributed by Hospira, Inc.

Lake Forest, IL 60045 USA

Hospira

Principal Display Panel 150 Mg/30 Ml Vial Label 9045

30 mL Single-dose Vial

Discard unused portion

NDC 0409-9045-16

Rx only

0.5% Bupivacaine HCl

150 mg/30 mL (5 mg/mL)

and epinephrine

1:200,000 Injection

Bupivacaine Hydrochloride and

Epinephrine Injection, USP

FOR NERVE BLOCK, CAUDAL

AND EPIDURAL ANESTHESIA ONLY.

Warning: Contains Sulfites

Distributed by Hospira, Inc.

Lake Forest, IL 60045 USA

Hospira

Principal Display Panel 225 Mg/30 Ml Vial Label 1165

30 mL Single-dose Teartop Vial

Preservative-Free

0.75% Bupivacaine

Hydrochloride Injection, USP

225 mg/30 mL (7.5 mg/mL)

For EPIDURAL and RETROBULBAR ANESTHESIA.

Not for OBSTETRIC or INTRATHECAL ANESTHESIA.

Distributed by Hospira, Inc.,

Lake Forest, IL 60045 USA

Hospira

Principal Display Panel 25 Mg/10 Ml Vial Carton 9042

10 mL

Single-dose

Teartop Vial

Sterile, nonpyrogenic

0.25% Bupivacaine Hydrochloride

25 mg/10 mL (2.5 mg/mL)

and epinephrine 1:200,000 Injection

Bupivacaine Hydrochloride and Epinephrine Injection, USP

FOR INFILTRATION, NERVE BLOCK, CAUDAL AND EPIDURAL ANESTHESIA.

Not for intrathecal anesthesia.

Warning: Contains Sulfites

NDC 0409-9042-01

Contains 10 of NDC 0409-9042-11

Rx only

Hospira

Principal Display Panel 250 Mg/50 Ml Vial Label 1163

50 mL Multiple-dose Fliptop Vial

0.5% Bupivacaine

Hydrochloride Injection, USP

250 mg/50 mL (5 mg/mL)

For NERVE BLOCK.

Not for caudal, epidural or intrathecal anesthesia.

Distributed by Hospira, Inc.,

Lake Forest, IL 60045 USA

Hospira

Principal Display Panel 250 Mg/50 Ml Vial Label 9046

50 mL

Multiple-dose Vial

0.5% Bupivacaine HCl

250 mg/50 mL (5 mg/mL)

and epinephrine

1:200,000 Injection

Bupivacaine and Epinephrine Inj., USP

FOR NERVE BLOCK ONLY

Warning: Contains Sulfites

Distributed by Hospira, Inc.,

Lake Forest, IL 60045 USA

Hospira

Principal Display Panel 50 Mg/10 Ml Vial Carton 9045

10 mL Single-dose Teartop Vial

Sterile, Nonpyrogenic

0.5% Bupivacaine Hydrochloride

50 mg/10 mL (5 mg/mL)

and epinephrine 1:200,000 Injection

Bupivacaine Hydrochloride and Epinephrine Injection, USP

FOR NERVE BLOCK, CAUDAL AND EPIDURAL ANESTHESIA ONLY.

Not for intrathecal anesthesia.

Warning: Contains Sulfites

NDC 0409-9045-01

Contains 10 of NDC 0409-9045-11

Rx only

Hospira

5.10 Risk of Toxicity in Patients With Hepatic Impairment

Because amide local anesthetics such as bupivacaine are metabolized by the liver, consider reduced dosing and increased monitoring for bupivacaine systemic toxicity in patients with moderate to severe hepatic impairment who are treated with Bupivacaine Hydrochloride Injection/Bupivacaine Hydrochloride and Epinephrine Injection, especially with repeat doses [see Use in Specific Populations (8.6)].

Principal Display Panel 125 Mg/50 Ml Vial Carton 9043

One/NDC 0409-9043-11

50 mL

Multiple-dose Fliptop Vial

Sterile, nonpyrogenic

0.25% Bupivacaine

Hydrochloride

125 mg/50 mL (2.5 mg/mL)

and epinephrine

1:200,000 Injection

Bupivacaine

and Epinephrine

Injection, USP

Rx only

FOR INFILTRATION AND

NERVE BLOCK ONLY

Not for caudal, epidural

or intrathecal anesthesia.

Warning: Contains Sulfites

Hospira

Principal Display Panel 250 Mg/50 Ml Vial Carton 9046

One/NDC 0409-9046-11

50 mL

Multiple-dose Fliptop Vial

Sterile, nonpyrogenic

0.5% Bupivacaine

Hydrochloride

250 mg/50 mL (5 mg/mL)

and epinephrine

1:200,000 Injection

Bupivacaine

and Epinephrine

Injection, USP

Rx only

FOR NERVE BLOCK ONLY.

Not for caudal, epidural

or intrathecal anesthesia.

Warning: Contains Sulfites

Hospira

5.14 Risk of Adverse Reactions With Use in Head and Neck Area

Small doses of local anesthetics (e.g., Bupivacaine Hydrochloride Injection) injected into the head and neck area, including retrobulbar, dental, and stellate ganglion blocks, may produce adverse reactions similar to systemic toxicity seen with unintentional intravascular injections of larger doses. The injection procedures require the utmost care. Confusion, convulsions, respiratory depression, and/or respiratory arrest, and cardiovascular stimulation or depression have been reported. These reactions may be due to intra-arterial injection of the local anesthetic with retrograde flow to the cerebral circulation. They may also be due to puncture of the dural sheath of the optic nerve during retrobulbar block with diffusion of any local anesthetic along the subdural space to the midbrain. Monitor circulation and respiration and constantly observe patients receiving Bupivacaine Hydrochloride Injection/Bupivacaine Hydrochloride and Epinephrine Injection blocks. Resuscitative equipment and drugs, and personnel for treating adverse reactions should be immediately available. Dosage recommendations should not be exceeded [see Dosage and Administration (2.2)].

5.15 Risk of Respiratory Arrest With Use in Ophthalmic Surgery

Clinicians who perform retrobulbar blocks should be aware that there have been reports of respiratory arrest following local anesthetic injection. Prior to retrobulbar block (e.g., with Bupivacaine Hydrochloride Injection/Bupivacaine Hydrochloride and Epinephrine Injection), as with all other regional procedures, resuscitative equipment and drugs, and personnel to manage respiratory arrest or depression, convulsions, and cardiac stimulation or depression should be immediately available [see Warnings and Precautions (5.14)]. As with other anesthetic procedures, patients should be constantly monitored following ophthalmic blocks for signs of these adverse reactions, which may occur following relatively low total doses.

A concentration of 0.75% bupivacaine is indicated for retrobulbar block; however, this concentration is not indicated for any other peripheral nerve block, including the facial nerve, and not indicated for local infiltration, including the conjunctiva [see Indications and Usage (1)].

7.2 Monoamine Oxidase Inhibitors and Tricyclic Antidepressants

The administration of Bupivacaine Hydrochloride and Epinephrine Injection to patients receiving monoamine oxidase inhibitors, or tricyclic antidepressants may produce severe, prolonged hypertension. Concurrent use of these agents should generally be avoided. In situations when concurrent therapy is necessary, careful monitoring of the patient's hemodynamic status is essential [see Warnings and Precautions (5.6)].

5.11 Risk of Use in Patients With Impaired Cardiovascular Function

Bupivacaine Hydrochloride Injection/Bupivacaine Hydrochloride and Epinephrine Injection should be given in reduced doses in patients with impaired cardiovascular function (e.g., hypotension, heartblock) because they may be less able to compensate for functional changes associated with the prolongation of AV conduction produced by Bupivacaine Hydrochloride Injection/Bupivacaine Hydrochloride and Epinephrine Injection. Monitor patients closely for blood pressure, heart rate, and ECG changes.

5.12 Risk of Ischemic Injury Or Necrosis in Body Areas With Limited Blood Supply

Use Bupivacaine Hydrochloride and Epinephrine Injection in carefully restricted quantities in areas of the body supplied by end arteries or having otherwise compromised blood supply such as digits, nose, external ear, or penis. Patients with hypertensive vascular disease may exhibit exaggerated vasoconstrictor response. Ischemic injury or necrosis may result.

5.7 Risk of Cardiac Arrest With Intravenous Regional Anesthesia Use (bier Block)

There have been reports of cardiac arrest and death during the use of bupivacaine for intravenous regional anesthesia (Bier Block). Information on safe dosages and techniques of administration of Bupivacaine Hydrochloride Injection in this procedure is lacking. Therefore, Bupivacaine Hydrochloride Injection/Bupivacaine Hydrochloride and Epinephrine Injection is contraindicated for use with this technique [see Contraindications (4)].

5.13 Risk of Cardiac Arrhythmias With Concomitant Use of Potent Inhalation Anesthetics

Serious dose-related cardiac arrhythmias may occur if preparations containing a vasoconstrictor such as epinephrine (e.g., Bupivacaine Hydrochloride and Epinephrine Injection) are used in patients during or following the administration of potent inhalation anesthetics [see Drug Interactions (7.6)]. In deciding whether to concurrently use Bupivacaine Hydrochloride and Epinephrine Injection with potent inhalation anesthetics in the same patient, the combined action of both agents upon the myocardium, the concentration and volume of vasoconstrictor used, and the time since injection, when applicable, should be taken into account.

5.9 Risk of Systemic Toxicities With Unintended Intravascular Or Intrathecal Injection

Unintended intravascular or intrathecal injection of Bupivacaine Hydrochloride Injection/Bupivacaine Hydrochloride and Epinephrine Injection may be associated with systemic toxicities, including CNS or cardiorespiratory depression and coma, progressing ultimately to respiratory arrest. Unintentional intrathecal injection during the intended performance of caudal or lumbar epidural block or nerve blocks near the vertebral column has resulted in underventilation or apnea ("Total or High Spinal"). A high spinal has been characterized by paralysis of the legs, loss of consciousness, respiratory paralysis, and bradycardia [see Adverse Reactions (6)].

Aspirate for blood or cerebrospinal fluid (where applicable) before injecting Bupivacaine Hydrochloride Injection/Bupivacaine Hydrochloride and Epinephrine Injection, both the initial dose and all subsequent doses, to avoid intravascular or intrathecal injection. However, a negative aspiration for blood or cerebrospinal fluid does not ensure against an intravascular or intrathecal injection.

5.16 Risk of Inadvertent Trauma to Tongue, Lips, and Buccal Mucosa in Dental Applications

Because of the long duration of anesthesia, when Bupivacaine Hydrochloride and Epinephrine Injection [0.5% (5 mg/mL) of bupivacaine] is used for dental injections, warn patients about the possibility of inadvertent trauma to tongue, lips, and buccal mucosa and advise them not to chew solid foods until sensation returns [see Patient Counseling Information (17)].

5.8 Allergic Type Reactions to Sulfites in Bupivacaine Hydrochloride and Epinephrine Injection

Bupivacaine Hydrochloride and Epinephrine Injection contains sodium metabisulfite, a sulfite that may cause allergic-type reactions including anaphylactic symptoms and life-threatening or less severe asthmatic episodes in certain susceptible people. The overall prevalence of sulfite sensitivity in the general population is unknown and probably low. Sulfite sensitivity is seen more frequently in asthmatic than in nonasthmatic people. Bupivacaine Hydrochloride Injection without epinephrine does not contain sodium metabisulfite.

5.1 Risk of Cardiac Arrest With Use of Bupivacaine Hydrochloride Injection in Obstetrical Anesthesia

There have been reports of cardiac arrest with difficult resuscitation or death during use of Bupivacaine Hydrochloride Injection for epidural anesthesia in obstetrical patients. In most cases, this has followed use of the 0.75% (7.5 mg/mL) concentration. Resuscitation has been difficult or impossible despite apparently adequate preparation and appropriate management. Cardiac arrest has occurred after convulsions resulting from systemic toxicity, presumably following unintentional intravascular injection. The 0.75% (7.5 mg/mL) concentration of Bupivacaine Hydrochloride Injection is not recommended for obstetrical anesthesia and should be reserved for surgical procedures where a high degree of muscle relaxation and prolonged effect are necessary.

Warning: Risk of Cardiac Arrest With Use of Bupivacaine Hydrochloride Injection in Obstetrical Anesthesia

There have been reports of cardiac arrest with difficult resuscitation or death during use of Bupivacaine Hydrochloride Injection for epidural anesthesia in obstetrical patients. In most cases, this has followed use of the 0.75% (7.5 mg/mL) concentration. Resuscitation has been difficult or impossible despite apparently adequate preparation and appropriate management. Cardiac arrest has occurred after convulsions resulting from systemic toxicity, presumably following unintentional intravascular injection. The 0.75% (7.5 mg/mL) concentration of Bupivacaine Hydrochloride Injection is not recommended for obstetrical anesthesia and should be reserved for surgical procedures where a high degree of muscle relaxation and prolonged effect are necessary [see Warnings and Precautions (5.1)].

2.2 Recommended Concentrations and Dosages of Bupivacaine Hydrochloride Injection/bupivacaine Hydrochloride and Epinephrine Injection

The dosage of Bupivacaine Hydrochloride Injection/Bupivacaine Hydrochloride and Epinephrine Injection administered varies with the anesthetic procedure, the area to be anesthetized, the vascularity of the tissues, the number of neuronal segments to be blocked, the depth of anesthesia and degree of muscle relaxation required, the duration of anesthesia desired, individual tolerance, and the physical condition of the patient. Administer the smallest dosage and concentration required to produce the desired result.

The types of block and recommended Bupivacaine Hydrochloride Injection/Bupivacaine Hydrochloride and Epinephrine Injection concentrations are shown in Table 1.

Table 1. Types of Block and Recommended Bupivacaine Hydrochloride Injection/Bupivacaine Hydrochloride and Epinephrine Injection Concentrations
✓= indicated use [see Warnings and Precautions (5.1)].

Type of Block

Bupivacaine Hydrochloride

Bupivacaine Hydrochloride and Epinephrine

0.25%

(2.5 mg/mL)

0.5%

(5 mg/mL)

0.75%

(7.5 mg/mL)

Bupivacaine Hydrochloride Injection 0.75% (7.5 mg/mL) is not recommended for nonobstetrical surgical procedures in pregnant patients.

0.25%

(2.5 mg/mL)

0.5%

(5 mg/mL)

Local infiltration

Peripheral nerve block

Retrobulbar block

Sympathetic block

Caudal block

Avoid use of multiple-dose vials of Bupivacaine Hydrochloride Injection and Bupivacaine Hydrochloride and Epinephrine Injection for caudal or epidural anesthesia [see Warnings and Precautions (5.4)].

Lumbar epidural block



(not for obstetrical anesthesia)

Epidural test dose

Dental block

At recommended dosages, Bupivacaine Hydrochloride/Bupivacaine Hydrochloride and Epinephrine produces complete sensory block, but the effect on motor function differs among the three concentrations. Table 2 provides information on the expected effect on motor function for the three concentrations.

Table 2. Types of Block and Recommended Bupivacaine Hydrochloride Injection/Bupivacaine Hydrochloride and Epinephrine Injection Concentrations

Bupivacaine Hydrochloride Injection Concentration

Motor Function

0.25%

(2.5 mg/mL)

These products include Bupivacaine Hydrochloride Injection and Bupivacaine Hydrochloride and Epinephrine Injection [the epinephrine concentration (1:200,000) is not included in the table].

When used for caudal, epidural, or peripheral nerve block, produces incomplete motor block. Should be used for operations in which muscle relaxation is not important, or when another means of providing muscle relaxation is used concurrently. Onset of action may be slower than with the 0.5% (5 mg/mL) or 0.75% (7.5 mg/mL) solutions.

0.5%

(5 mg/mL)

Provides motor blockade for caudal, epidural, or nerve block, but muscle relaxation may be inadequate for operations in which complete muscle relaxation is essential.

0.75%

(7.5 mg/mL)

These are only Bupivacaine Hydrochloride Injection products [there is no 0.75% (7.5 mg/mL) concentration for Bupivacaine Hydrochloride and Epinephrine Injection].

Produces complete motor block. Most useful for epidural block in abdominal operations requiring complete muscle relaxation, and for retrobulbar anesthesia. Not for obstetrical anesthesia.

The duration of anesthesia with Bupivacaine Hydrochloride Injection/Bupivacaine Hydrochloride and Epinephrine Injection is such that for most indications, a single dose is sufficient.

The maximum dosage limit within the recommended dosage range must be individualized in each case after evaluating the size and physical status of the patient, as well as the anticipated rate of systemic absorption from a particular injection site.

The dosages in Table 3 are recommended as a guide for use in the average adult. These doses may be repeated once every three hours. Do not exceed a total daily dosage of 400 mg in 24 hours. The duration of anesthetic effect may be prolonged by the addition of epinephrine.

Table 3. Recommended Concentrations and Doses of Bupivacaine Hydrochloride Injection/Bupivacaine Hydrochloride and Epinephrine Injection in Adults

Type of Block

Concentration of Bupivacaine Hydrochloride Injection

Each Dose

Motor Block

With continuous (intermittent) techniques, repeat doses increase the degree of motor block. The first repeat dose of 0.5% (5 mg/mL) may produce complete motor block. Intercostal nerve block with 0.25% (2.5 mg/mL) also may produce complete motor block for intra-thoracic and upper intra-abdominal surgery.

mL

mg of Bupivacaine Hydrochloride Injection

Local infiltration

0.25%

(2.5 mg/mL)

Solutions with or without epinephrine (i.e., applies to Bupivacaine Hydrochloride Injection and Bupivacaine Hydrochloride and Epinephrine Injection). The Bupivacaine Hydrochloride and Epinephrine Injection products include epinephrine (1:200,000).

Up to 70

(without epinephrine)

Up to 175

(without epinephrine)

Up to 90

(with epinephrine)

Up to 225

(with epinephrine)

Peripheral nerve block

0.5% (5 mg/mL)

5–35

(without epinephrine)

25–175

(without epinephrine)

moderate to complete

5–45

(with epinephrine)

25–225

(with epinephrine)

0.25%

(2.5 mg/mL)

5–70

(without epinephrine)

12.5–175

(without epinephrine)

moderate to complete

5–90

(with epinephrine)

12.5–225

(with epinephrine)

Retrobulbar block

[see Dosage and Administration (2.6)]

0.75%

(7.5 mg/mL)

2–4

15–30

complete

Sympathetic block

0.25%

(2.5 mg/mL)

20–50

50–125

Caudal block

[see Dosage and Administration (2.4)]

0.5% (5 mg/mL)

15–30

75–150

moderate to complete

0.25%

(2.5 mg/mL)

15–30

37.5–75

moderate

Lumbar epidural block

[see Dosage and Administration (2.3)]

0.75%

(7.5 mg/mL)

For single-dose use; not for intermittent epidural technique. Not for obstetrical anesthesia.

10–20

75–150

complete

0.5% (5 mg/mL)

10–20

50–100

moderate to complete

0.25%

(2.5 mg/mL)

10–20

25–50

partial to moderate

Epidural test dose

[see Dosage and Administration (2.4)]

0.5% (5 mg/mL) with epinephrine

2–3

10–15

(10–15 micrograms epinephrine)

Dental

[see Dosage and Administration (2.5)]

0.5% (5 mg/mL) with epinephrine

1.8–3.6 per site

9–18 per site


Structured Label Content

Section 42229-5 (42229-5)

Limitations of Use

Not all blocks are indicated for use with Bupivacaine Hydrochloride Injection/Bupivacaine Hydrochloride and Epinephrine Injection given clinically significant risks associated with use [see Dosage and Administration (2.2), Contraindications (4), Warnings and Precautions (5.1, 5.4, 5.5, 5.7, 5.9)].

Section 44425-7 (44425-7)

Store at 20 °C to 25 °C (68 °F to 77 °F); excursions permitted between 15 °C to 30 °C (59 °F to 86 °F). [See USP Controlled Room Temperature.]

11 Description (11 DESCRIPTION)

Bupivacaine Hydrochloride Injection/Bupivacaine Hydrochloride and Epinephrine Injection contains bupivacaine hydrochloride, an amide local anesthetic, as the active pharmaceutical ingredient. The route of administration for Bupivacaine Hydrochloride Injection (without epinephrine) is by injection, for infiltration, perineural, caudal, epidural, or retrobulbar use. The route of administration for Bupivacaine Hydrochloride and Epinephrine Injection is by injection, for infiltration, perineural, caudal, or epidural use. Multiple-dose vials contain methylparaben [see Warnings and Precautions (5.4)].

Bupivacaine hydrochloride is 2-piperidinecarboxamide, 1-butyl-N-(2,6-dimethylphenyl)-, monohydrochloride, monohydrate. It is a white crystalline powder that is freely soluble in 95 percent ethanol, soluble in water, and slightly soluble in chloroform or acetone. It has the following structural formula:

Bupivacaine hydrochloride with 1:200,000 epinephrine, contains bupivacaine hydrochloride and epinephrine (an alpha and beta-adrenergic agonist) as active pharmaceutical ingredients. This product is for injection via local infiltration, peripheral nerve block, and caudal and lumbar epidural blocks. Multiple-dose vials contain methylparaben and they should not be used for caudal and lumbar epidural blocks.

Epinephrine is (-)-3,4-Dihydroxy-α-[(methylamino)methyl] benzyl alcohol. Epinephrine is a vasoconstrictor. It has the following structural formula:

Bupivacaine Hydrochloride Injection, USP is a clear and colorless sterile isotonic solution. Each mL of single-dose vial contains 2.5 mg, 5 mg, or 7.5 mg of bupivacaine hydrochloride (equivalent to 2.22 mg, 4.44 mg, or 6.66 mg of bupivacaine, respectively), sodium chloride for isotonicity, sodium hydroxide or hydrochloric acid to adjust the pH between 4 and 6.5, in water for injection.

For the multiple-dose vials, each mL also contains 1 mg methylparaben as preservative.

Bupivacaine Hydrochloride and Epinephrine Injection, USP is a clear and colorless sterile isotonic solution. Each mL contains 2.5 mg or 5 mg bupivacaine hydrochloride (equivalent to 2.22 mg or 4.44 mg of bupivacaine, respectively), and 0.005 mg of epinephrine, with sodium chloride for isotonicity, 0.1 mg sodium metabisulfite as antioxidant, and 0.1 mg edetate calcium disodium anhydrous as stabilizer. The pH of these solutions is adjusted to between 3.3 and 5.5 with sodium hydroxide or hydrochloric acid.

For the multiple-dose vials, each mL also contains 1 mg methylparaben as preservative.

The specific gravity of Bupivacaine Hydrochloride and Epinephrine Injection [0.5% (5 mg/mL) of bupivacaine] at 25 ºC is 1.007.

8.4 Pediatric Use

Bupivacaine Hydrochloride Injection/Bupivacaine Hydrochloride and Epinephrine Injection is approved for use in adults. Administration of Bupivacaine Hydrochloride Injection/Bupivacaine Hydrochloride and Epinephrine Injection in pediatric patients younger than 12 years is not recommended.

Continuous infusions of bupivacaine in pediatric patients have been reported to result in high systemic levels of bupivacaine and seizures; high plasma levels may also be associated with cardiovascular abnormalities.

8.5 Geriatric Use

Patients 65 years and over, particularly those with hypertension, may be at increased risk for developing hypotension while undergoing anesthesia with Bupivacaine Hydrochloride Injection/Bupivacaine Hydrochloride and Epinephrine Injection.

In clinical studies of bupivacaine, elderly patients reached the maximal spread of analgesia and maximal motor blockade more rapidly than younger adult patients.

Differences in various pharmacokinetic parameters have been observed between elderly and younger adult patients [see Clinical Pharmacology (12.3)].

This product is known to be substantially excreted by the kidney, and the risk of adverse reactions to this drug may be greater in patients with impaired renal function. Because elderly patients are more likely to have decreased renal function, care should be taken in dose selection, and it may be useful to monitor renal function. Elderly patients may require lower doses of Bupivacaine Hydrochloride Injection/Bupivacaine Hydrochloride and Epinephrine Injection.

4 Contraindications (4 CONTRAINDICATIONS)

Bupivacaine Hydrochloride Injection/Bupivacaine Hydrochloride and Epinephrine Injection is contraindicated in:

  • obstetrical paracervical block anesthesia. Its use in this technique has resulted in fetal bradycardia and death.
  • intravenous regional anesthesia (Bier Block) [see Warnings and Precautions (5.7)].
  • patients with a known hypersensitivity to bupivacaine or to any local anesthetic agent of the amide-type or to other components of Bupivacaine Hydrochloride Injection/Bupivacaine Hydrochloride and Epinephrine Injection.
6 Adverse Reactions (6 ADVERSE REACTIONS)

The following clinically significant adverse reactions have been reported and described in the Warnings and Precautions section of the labeling:

The following adverse reactions from voluntary reports or clinical studies have been reported with bupivacaine or bupivacaine and epinephrine. Because many of these reactions were reported voluntarily from a population of uncertain size, it is not always possible to reliably estimate their frequency or establish a causal relationship to drug exposure.

Adverse reactions to Bupivacaine Hydrochloride Injection/Bupivacaine Hydrochloride and Epinephrine Injection are characteristic of those associated with other amide-type local anesthetics. A major cause of adverse reactions to this group of drugs is excessive plasma levels, which may be due to overdosage, unintentional intravascular injection, or slow metabolic degradation.

The most commonly encountered acute adverse reactions that demand immediate counter-measures were related to the CNS and the cardiovascular system. These adverse reactions were generally dose-related and due to high plasma levels which may have resulted from overdosage, rapid absorption from the injection site, diminished tolerance, or from unintentional intravascular injection of the local anesthetic solution. In addition to systemic dose-related toxicity, unintentional intrathecal injection of drug during the intended performance of caudal or lumbar epidural block or nerve blocks near the vertebral column (especially in the head and neck region) has resulted in underventilation or apnea ("Total or High Spinal"). Also, hypotension due to loss of sympathetic tone and respiratory paralysis or underventilation due to cephalad extension of the motor level of anesthesia have occurred. This has led to secondary cardiac arrest when untreated.

7 Drug Interactions (7 DRUG INTERACTIONS)
  • Local Anesthetics: The toxic effects of local anesthetics are additive. Monitor for neurologic and cardiovascular effects when additional local anesthetics are administered. (7.1)
  • Monoamine Oxidase Inhibitors and Tricyclic Antidepressants: Administration of Bupivacaine Hydrochloride and Epinephrine Injection to patients receiving monoamine oxidase inhibitors or tricyclic antidepressants may produce severe, prolonged hypertension. Concurrent use of these agents should generally be avoided. (5.6, 7.2)
  • Ergot-Type Oxytocic Drugs: Concurrent administration of Bupivacaine Hydrochloride and Epinephrine Injection and ergot-type oxytocic drugs may cause severe, persistent hypertension or cerebrovascular accidents. (5.6, 7.3)
  • Nonselective Beta-Adrenergic Antagonists: Administration of Bupivacaine Hydrochloride and Epinephrine Injection (containing a vasoconstrictor) in patients receiving nonselective beta-adrenergic antagonists may cause severe hypertension and bradycardia. Concurrent use of these agents should generally be avoided. (5.6, 7.4)
  • Drugs Associated with Methemoglobinemia: Patients are at increased risk of developing methemoglobinemia when concurrently exposed to nitrates, nitrites, local anesthetics, antineoplastic agents, antibiotics, antimalarials, anticonvulsants, and other drugs. (7.5)
  • Potent Inhalation Anesthetics: Serious dose-related cardiac arrhythmias may occur if preparations containing a vasoconstrictor such as epinephrine are used in patients during or following the administration of potent inhalation anesthetics. (5.13, 7.6)
2.5 Use in Dentistry

Bupivacaine Hydrochloride and Epinephrine Injection 0.5% (5 mg/mL) is recommended for infiltration and block injection in the maxillary and mandibular area when a longer duration of local anesthesia is desired, such as for procedures generally associated with significant postoperative pain. The average dose of 1.8 mL (9 mg) per injection site will usually suffice; an occasional second dose of 1.8 mL (9 mg) may be used if necessary to produce adequate anesthesia after allowing 2 to 10 minutes for block onset [see Clinical Pharmacology (12.2)]. Use the lowest effective dose and allow time between injections; it is recommended that the total dose for all injection sites, spread out over a single dental sitting, not exceed 90 mg for a healthy adult patient (ten 1.8 mL injections of 0.5% (5 mg/mL) Bupivacaine Hydrochloride and Epinephrine Injection). Inject slowly and with frequent aspirations.

8.7 Renal Impairment

Bupivacaine is known to be substantially excreted by the kidney, and the risk of adverse reactions to this drug may be greater in patients with renal impairment. This should be considered when selecting the Bupivacaine Hydrochloride Injection/Bupivacaine Hydrochloride and Epinephrine Injection dosage [see Use in Specific Populations (8.5)].

12.2 Pharmacodynamics

Systemic absorption of bupivacaine produces effects on the cardiovascular system and CNS. At blood concentrations achieved with normal therapeutic doses, changes in cardiac conduction, excitability, refractoriness, contractility, and peripheral vascular resistance are minimal. However, toxic blood concentrations depress cardiac conduction and excitability, which may lead to atrioventricular block, ventricular arrhythmias, and cardiac arrest, sometimes resulting in fatalities. In addition, myocardial contractility is depressed and peripheral vasodilation occurs, leading to decreased cardiac output and arterial blood pressure. These cardiovascular changes are more likely to occur after unintended intravascular injection of bupivacaine [see Warnings and Precautions (5.9)].

Following systemic absorption, bupivacaine can produce CNS stimulation, CNS depression, or both. Apparent central stimulation is manifested as restlessness, tremors, and shivering, progressing to convulsions, followed by CNS depression and coma progressing ultimately to respiratory arrest. However, bupivacaine has a primary depressant effect on the medulla and on higher centers. The depressed stage may occur without a prior excited state.

The duration of local anesthesia after administration of Bupivacaine Hydrochloride Injection is longer than that observed after administration of other commonly used short-acting local anesthetics. There appears to be a period of analgesia that persists after the resolution of the block and return of sensation.

The onset of action following dental injections is usually 2 to 10 minutes and may last up to 7 hours. The duration of anesthetic effect is prolonged by the addition of epinephrine 1:200,000.

12.3 Pharmacokinetics

Systemic plasma levels of bupivacaine following administration of Bupivacaine Hydrochloride Injection do not correlate with local efficacy.

5.3 Methemoglobinemia

Cases of methemoglobinemia have been reported in association with local anesthetic use. Although all patients are at risk for methemoglobinemia, patients with glucose-6-phosphate dehydrogenase deficiency, congenital or idiopathic methemoglobinemia, cardiac or pulmonary compromise, infants under 6 months of age, and concurrent exposure to oxidizing agents or their metabolites are more susceptible to developing clinical manifestations of the condition [see Drug Interactions (7.5)]. If local anesthetics must be used in these patients, close monitoring for symptoms and signs of methemoglobinemia is recommended.

Signs of methemoglobinemia may occur immediately or may be delayed some hours after exposure, and are characterized by a cyanotic skin discoloration and/or abnormal coloration of the blood. Methemoglobin levels may continue to rise; therefore, immediate treatment is required to avert more serious CNS and cardiovascular adverse effects, including seizures, coma, arrhythmias, and death. Discontinue Bupivacaine Hydrochloride Injection/Bupivacaine Hydrochloride and Epinephrine Injection and any other oxidizing agents. Depending on the severity of the signs and symptoms, patients may respond to supportive care, i.e., oxygen therapy, hydration. A more severe clinical presentation may require treatment with methylene blue, exchange transfusion, or hyperbaric oxygen.

7.1 Local Anesthetics

The toxic effects of local anesthetics are additive. If coadministration of other local anesthetics with Bupivacaine Hydrochloride Injection/Bupivacaine Hydrochloride and Epinephrine Injection cannot be avoided, monitor patients for neurologic and cardiovascular effects related to local anesthetic systemic toxicity [see Dosage and Administration (2.1), Warnings and Precautions (5.2)].

8.6 Hepatic Impairment

Amide-type local anesthetics, such as bupivacaine, are metabolized by the liver. Patients with severe hepatic impairment, because of their inability to metabolize local anesthetics normally, are at a greater risk of developing toxic plasma concentrations, and potentially local anesthetic systemic toxicity. Therefore, consider reduced dosing and increased monitoring for local anesthetic systemic toxicity in patients with moderate to severe hepatic impairment treated with Bupivacaine Hydrochloride Injection/Bupivacaine Hydrochloride and Epinephrine Injection, especially with repeat doses [see Warnings and Precautions (5.10)].

1 Indications and Usage (1 INDICATIONS AND USAGE)

Bupivacaine Hydrochloride Injection/Bupivacaine Hydrochloride and Epinephrine Injection is indicated in adults for the production of local or regional anesthesia or analgesia for surgery, dental and oral surgery procedures, diagnostic and therapeutic procedures, and for obstetrical procedures. Specific concentrations and presentations of Bupivacaine Hydrochloride Injection/Bupivacaine Hydrochloride and Epinephrine Injection are recommended for each type of block indicated to produce local or regional anesthesia or analgesia [see Dosage and Administration (2.2)].

12.1 Mechanism of Action

Bupivacaine blocks the generation and the conduction of nerve impulses, presumably by increasing the threshold for electrical excitation in the nerve, by slowing the propagation of the nerve impulse, and by reducing the rate of rise of the action potential. In general, the progression of anesthesia is related to the diameter, myelination, and conduction velocity of affected nerve fibers. Clinically, the order of loss of nerve function is as follows: (1) pain, (2) temperature, (3) touch, (4) proprioception, and (5) skeletal muscle tone.

Epinephrine is a vasoconstrictor added to bupivacaine to slow absorption into the general circulation and thus prolong maintenance of an active tissue concentration.

5.2 Dose Related Toxicity (5.2 Dose-Related Toxicity)

The safety and effectiveness of Bupivacaine Hydrochloride Injection/Bupivacaine Hydrochloride and Epinephrine Injection depend on proper dosage, correct technique, adequate precautions, and readiness for emergencies. Careful and constant monitoring of cardiovascular and respiratory (adequacy of ventilation) vital signs and the patient's state of consciousness should be performed after injection of Bupivacaine Hydrochloride Injection/Bupivacaine Hydrochloride and Epinephrine Injection solutions.

Possible early warning signs of central nervous system (CNS) toxicity are restlessness, anxiety, incoherent speech, lightheadedness, numbness and tingling of the mouth and lips, metallic taste, tinnitus, dizziness, blurred vision, tremors, twitching, CNS depression, or drowsiness. Delay in proper management of dose-related toxicity, underventilation from any cause, and/or altered sensitivity may lead to the development of acidosis, cardiac arrest, and, possibly, death.

During major regional nerve blocks, such as those of the brachial plexus or lower extremity, the patient should have an indwelling intravenous catheter to assure adequate intravenous access. Use the lowest dosage of Bupivacaine Hydrochloride Injection/Bupivacaine Hydrochloride and Epinephrine Injection that results in effective anesthesia to avoid high plasma levels and serious adverse effects. Avoid rapid injection of a large volume of Bupivacaine Hydrochloride Injection/Bupivacaine Hydrochloride and Epinephrine Injection solution and administer fractional (incremental) doses when feasible.

Injection of repeated doses of Bupivacaine Hydrochloride Injection/Bupivacaine Hydrochloride and Epinephrine Injection may cause significant increases in plasma levels with each repeated dose due to slow accumulation of the drug or its metabolites, or to slow metabolic degradation. Tolerance to elevated blood levels varies with the status of the patient. Debilitated, elderly patients and acutely ill patients should be given reduced doses commensurate with their age and physical status.

5 Warnings and Precautions (5 WARNINGS AND PRECAUTIONS)
  • Dose-Related Toxicity: Monitor cardiovascular and respiratory vital signs and patient's state of consciousness after injection of Bupivacaine Hydrochloride Injection/Bupivacaine Hydrochloride and Epinephrine Injection. (5.2)
  • Methemoglobinemia: Cases of methemoglobinemia have been reported in association with local anesthetic use. See full prescribing information for more detail on managing these risks. (5.3)
  • Chondrolysis with Intra-Articular Infusion: Intra-articular infusions of local anesthetics including Bupivacaine Hydrochloride Injection following arthroscopic and other surgical procedures is an unapproved use, and there have been post-marketing reports of chondrolysis in patients receiving such infusions. (5.5)
  • Risk of Cardiac Arrest with Intravenous Regional Anesthesia Use (Bier Block): There have been reports of cardiac arrest and death during the use of bupivacaine for intravenous regional anesthesia (Bier Block). (5.7)
  • Allergic-Type Reactions to Sulfites in Bupivacaine Hydrochloride and Epinephrine Injection: Bupivacaine Hydrochloride and Epinephrine Injection contains sodium metabisulfite, a sulfite that may cause allergic-type reactions including anaphylactic symptoms and life-threatening or less severe asthmatic episodes in certain susceptible people. (5.8)
  • Risk of Systemic Toxicities with Unintended Intravascular or Intrathecal Injection: Unintended intravascular or intrathecal injection may be associated with systemic toxicities, including CNS or cardiorespiratory depression and coma, progressing ultimately to respiratory arrest. Aspirate for blood or cerebrospinal fluid (where applicable) prior to each dose and consider using a test dose of Bupivacaine Hydrochloride and Epinephrine Injection. (5.9)
2 Dosage and Administration (2 DOSAGE AND ADMINISTRATION)
  • Not for intrathecal use. (2.1)
  • Avoid use of solutions containing antimicrobial preservatives (i.e., multiple-dose vials) for epidural or caudal anesthesia. (2.1, 5.4)
  • Three mL of Bupivacaine Hydrochloride and Epinephrine Injection without antimicrobial preservative (0.5% bupivacaine with 1:200,000 epinephrine) is recommended for use as a test dose prior to caudal and lumbar epidural blocks when clinical conditions permit. (2.4)
  • See full prescribing information for:
    • -
      Recommended concentrations and dosages of Bupivacaine Hydrochloride Injection/Bupivacaine Hydrochloride and Epinephrine Injection according to type of block. (2.2)
    • -
      Additional dosage and administration information pertaining to use in epidural anesthesia, test dose for caudal and lumbar epidural blocks, use in dentistry, and use in ophthalmic surgery. (2.3, 2.4, 2.5, 2.6)
3 Dosage Forms and Strengths (3 DOSAGE FORMS AND STRENGTHS)

Bupivacaine Hydrochloride Injection, USP is a clear, colorless solution available as:

  • 0.25% (25 mg/10 mL) (2.5 mg/mL) in single-dose teartop vials.
  • 0.25% (75 mg/30 mL) (2.5 mg/mL) in single-dose teartop vials.
  • 0.25% (125 mg/50 mL) (2.5 mg/mL) in multiple-dose fliptop vials.
  • 0.5% (50 mg/10 mL) (5 mg/mL) in single-dose teartop vials.
  • 0.5% (150 mg/30 mL) (5 mg/mL) in single-dose teartop vials.
  • 0.5% (250 mg/50 mL) (5 mg/mL) in multiple-dose fliptop vials.
  • 0.75% (75 mg/10 mL) (7.5 mg/mL) in single-dose teartop vials.
  • 0.75% (225 mg/30 mL) (7.5 mg/mL) in single-dose teartop vials.

Bupivacaine Hydrochloride and Epinephrine Injection, USP is a clear, colorless solution available as:

  • 0.25% (25 mg/10 mL) (2.5 mg/mL) in single-dose teartop vials.
  • 0.25% (75 mg/30 mL) (2.5 mg/mL) in single-dose teartop vials.
  • 0.25% (125 mg/50 mL) (2.5 mg/mL) in multiple-dose fliptop vials.
  • 0.5% (50 mg/10 mL) (5 mg/mL) in single-dose teartop vials.
  • 0.5% (150 mg/30 mL) (5 mg/mL) in single-dose teartop vials.
  • 0.5% (250 mg/50 mL) (5 mg/mL) in multiple-dose fliptop vials.
2.6 Use in Ophthalmic Surgery

When Bupivacaine Hydrochloride Injection 0.75% (7.5 mg/mL) is used for retrobulbar block, complete corneal anesthesia usually precedes onset of clinically acceptable external ocular muscle akinesia. Therefore, presence of akinesia rather than anesthesia alone should determine readiness of the patient for surgery [see Warnings and Precautions (5.15)].

7.3 Ergot Type Oxytocic Drugs (7.3 Ergot-Type Oxytocic Drugs)

Concurrent administration of Bupivacaine Hydrochloride and Epinephrine Injection and ergot-type oxytocic drugs may cause severe, persistent hypertension or cerebrovascular accidents. Avoid use of Bupivacaine Hydrochloride and Epinephrine concomitantly with ergot-type oxytocic drugs [see Warnings and Precautions (5.6)].

8 Use in Specific Populations (8 USE IN SPECIFIC POPULATIONS)
  • Pediatric Use: Administration of Bupivacaine Hydrochloride Injection/Bupivacaine Hydrochloride and Epinephrine Injection in pediatric patients younger than 12 years is not recommended. (8.4)
  • Geriatric Use: Patients 65 years and over, particularly those with hypertension, may be at increased risk for developing hypotension while undergoing anesthesia with Bupivacaine Hydrochloride Injection/Bupivacaine Hydrochloride and Epinephrine Injection. (8.5)
  • Moderate to Severe Hepatic Impairment: Consider increased monitoring for bupivacaine systemic toxicity. (8.6)
2.3 Use in Epidural Anesthesia

During the administration of epidural anesthesia, it is recommended that a test dose of Bupivacaine Hydrochloride and Epinephrine Injection without antimicrobial preservative (0.5% bupivacaine with 1:200,000 epinephrine) be administered initially and the effects monitored before the full dose is given. When using a "continuous" catheter technique, test doses should be given prior to both the initial and all supplemental doses, because a catheter in the epidural space can migrate into a blood vessel or through the dura [see Dosage and Administration (2.4)].

During epidural administration, administer Bupivacaine Hydrochloride Injection/Bupivacaine Hydrochloride and Epinephrine Injection, 0.5% (5 mg/mL) and Bupivacaine Hydrochloride Injection 0.75% (7.5 mg/mL) solutions in incremental doses of 3 mL to 5 mL with sufficient time between doses to detect toxic manifestations of unintentional intravascular or intrathecal injection. Administer injections slowly, with frequent aspirations before and during the injection to avoid intravascular injection. Perform syringe aspirations before and during each supplemental injection in continuous (intermittent) catheter techniques. In obstetrics, use ONLY the 0.5% (5 mg/mL) and 0.25% (2.5 mg/mL) concentrations of Bupivacaine Hydrochloride Injection/Bupivacaine Hydrochloride and Epinephrine Injection [see Warnings and Precautions (5.1)]; incremental doses of 3 mL to 5 mL of the 0.5% (5 mg/mL) solution not exceeding 50 mg to 100 mg at any dosing interval are recommended. Repeat doses should be preceded by a test dose containing epinephrine if not clinically contraindicated. Use only the single-dose vials for caudal or epidural anesthesia; avoid use of the multiple-dose vials for these procedures, which contain a preservative [see Dosage and Administration (2.1, 2.4), Warnings and Precautions (5.4, 5.9)].

7.6 Potent Inhalation Anesthetics

Serious dose-related cardiac arrhythmias may occur if preparations containing a vasoconstrictor such as epinephrine (e.g., Bupivacaine Hydrochloride and Epinephrine Injection) are used in patients during or following the administration of potent inhalation anesthetics [see Warnings and Precautions (5.13)].

7.7 Phenothiazines and Butyrophenones

Phenothiazines and butyrophenones may reduce or reverse the pressor effect of epinephrine. Concurrent use of Bupivacaine Hydrochloride and Epinephrine Injection and these agents should generally be avoided. In situations when concurrent therapy is necessary, careful patient monitoring is essential.

7.5 Drugs Associated With Methemoglobinemia (7.5 Drugs Associated with Methemoglobinemia)

Patients who are administered Bupivacaine Hydrochloride Injection/Bupivacaine Hydrochloride and Epinephrine Injection are at increased risk of developing methemoglobinemia when concurrently exposed to the following drugs, which could include other local anesthetics [see Warnings and Precautions (5.3)].

Examples of Drugs Associated with Methemoglobinemia:
Class Examples

Nitrates/Nitrites

nitric oxide, nitroglycerin, nitroprusside, nitrous oxide

Local anesthetics

articaine, benzocaine, bupivacaine, lidocaine, mepivacaine, prilocaine, procaine, ropivacaine, tetracaine

Antineoplastic agents

cyclophosphamide, flutamide, hydroxyurea, ifosfamide, rasburicase

Antibiotics

dapsone, nitrofurantoin, para-aminosalicylic acid, sulfonamides

Antimalarials

chloroquine, primaquine

Anticonvulsants

phenobarbital, phenytoin, sodium valproate

Other drugs

acetaminophen, metoclopramide, quinine, sulfasalazine

7.4 Nonselective Beta Adrenergic Antagonists (7.4 Nonselective Beta-Adrenergic Antagonists)

Administration of Bupivacaine Hydrochloride and Epinephrine Injection (containing a vasoconstrictor) in patients receiving nonselective beta-adrenergic antagonists may cause severe hypertension and bradycardia. Concurrent use of these agents should generally be avoided. In situations when concurrent therapy is necessary, careful monitoring of the patient's blood pressure and heart rate is essential [see Warnings and Precautions (5.6)].

5.5 Chondrolysis With Intra Articular Infusion (5.5 Chondrolysis with Intra-Articular Infusion)

Intra-articular infusions of local anesthetics including Bupivacaine Hydrochloride Injection following arthroscopic and other surgical procedures is an unapproved use, and there have been post-marketing reports of chondrolysis in patients receiving such infusions. The majority of reported cases of chondrolysis have involved the shoulder joint; cases of gleno-humeral chondrolysis have been described in pediatric and adult patients following intra-articular infusions of local anesthetics with and without epinephrine for periods of 48 to 72 hours. There is insufficient information to determine whether shorter infusion periods are associated with chondrolysis. The time of onset of symptoms, such as joint pain, stiffness and loss of motion can be variable, but may begin as early as the 2nd month after surgery. Currently, there is no effective treatment for chondrolysis; patients who experienced chondrolysis have required additional diagnostic and therapeutic procedures and some required arthroplasty or shoulder replacement.

2.1 Important Dosage and Administration Information
  • Bupivacaine Hydrochloride Injection/Bupivacaine Hydrochloride and Epinephrine Injection is not for intrathecal use.
  • Avoid use of Bupivacaine Hydrochloride Injection/Bupivacaine Hydrochloride and Epinephrine Injection solutions containing antimicrobial preservatives (i.e., multiple-dose vials) for epidural or caudal anesthesia [see Warnings and Precautions (5.4)].
  • Discard unused portions of solution not containing preservatives, i.e., those supplied in single-dose vials, following initial use.
  • Visually inspect this product for particulate matter and discoloration prior to administration whenever solution and container permit. Bupivacaine Hydrochloride Injection/Bupivacaine Hydrochloride and Epinephrine Injection are clear, colorless solutions. Do not administer solutions which are discolored or contain particulate matter.
  • Mixing or the prior or intercurrent use of any other local anesthetic with Bupivacaine Hydrochloride Injection/Bupivacaine Hydrochloride and Epinephrine Injection is not recommended because of insufficient data on the clinical use of such mixtures.
2.4 Test Dose for Caudal and Lumbar Epidural Blocks

Three mL of Bupivacaine Hydrochloride and Epinephrine Injection without antimicrobial preservative (0.5% bupivacaine with 1:200,000 epinephrine) is recommended for use as a test dose prior to caudal and lumbar epidural blocks when clinical conditions permit. This test dose may serve as a warning of unintended intravascular or intrathecal injection. Closely monitor for early clinical signs of toxicity following each test dose [see Warnings and Precautions (5.9)]. Allot adequate time for onset of spinal block to detect possible intrathecal injection. An intravascular or intrathecal injection is still possible even if results of the test dose are negative. The test dose itself may produce a systemic toxic reaction, high spinal, or cardiovascular effects from the epinephrine [see Warnings and Precautions (5.2, 5.9), Overdosage (10)].

5.4 Antimicrobial Preservatives in Multiple Dose Vials (5.4 Antimicrobial Preservatives in Multiple-Dose Vials)

Avoid use of Bupivacaine Hydrochloride Injection/Bupivacaine Hydrochloride and Epinephrine Injection solutions containing antimicrobial preservatives, i.e., those supplied in multiple-dose vials, for epidural or caudal anesthesia because safety has not been established with such use.

Principal Display Panel 25 Mg/10 Ml Vial Tray 1159 (PRINCIPAL DISPLAY PANEL - 25 mg/10 mL Vial Tray - 1159)

10 mL Single-dose Teartop Vial

Preservative-Free

Rx only

NDC 0409-1159-01

Contains 25 of NDC 0409-1159-18

0.25% Bupivacaine

Hydrochloride Injection, USP

25 mg/10 mL (2.5 mg/mL)

For INFILTRATION, NERVE BLOCK,

CAUDAL and EPIDURAL ANESTHESIA.

Not for intrathecal anesthesia.

Principal Display Panel 50 Mg/10 Ml Vial Tray 1162 (PRINCIPAL DISPLAY PANEL - 50 mg/10 mL Vial Tray - 1162)

10 mL Single-dose Teartop Vial

Preservative-Free

Rx only

NDC 0409-1162-01

Contains 25 of NDC 0409-1162-18

0.5% Bupivacaine

Hydrochloride Injection, USP

50 mg/10 mL (5 mg/mL)

For NERVE BLOCK, CAUDAL

and EPIDURAL ANESTHESIA.

Not for intrathecal anesthesia

Principal Display Panel 75 Mg/10 Ml Vial Tray 1165 (PRINCIPAL DISPLAY PANEL - 75 mg/10 mL Vial Tray - 1165)

10 mL Single-dose Teartop Vial

Preservative-Free

Rx only

NDC 0409-1165-01

Contains 25 of NDC 0409-1165-18

0.75% Bupivacaine

Hydrochloride Injection, USP

75 mg/10 mL (7.5 mg/mL)

For EPIDURAL and

RETROBULBAR ANESTHESIA.

Not for OBSTETRIC or

INTRATHECAL ANESTHESIA.

Principal Display Panel 75 Mg/30 Ml Vial Tray 1159 (PRINCIPAL DISPLAY PANEL - 75 mg/30 mL Vial Tray - 1159)

30 mL Single-dose Teartop Vial

Preservative-Free

Rx only

NDC 0409-1159-02

Contains 25 of NDC 0409-1159-19

0.25% Bupivacaine

Hydrochloride Injection, USP

75 mg/30 mL (2.5 mg/mL)

For INFILTRATION,

NERVE BLOCK, CAUDAL

and EPIDURAL ANESTHESIA.

Not for intrathecal anesthesia.

Principal Display Panel 75 Mg/30 Ml Vial Tray 9042 (PRINCIPAL DISPLAY PANEL - 75 mg/30 mL Vial Tray - 9042)

30 mL Single-dose Teartop Vial

Rx only

NDC 0409-9042-17

Contains 25 of NDC 0409-9042-16

0.25% Bupivacaine Hydrochloride

75 mg/30 mL (2.5 mg/mL)

and epinephrine 1:200,000 Injection

Sterile, nonpyrogenic

Bupivacaine Hydrochloride and Epinephrine Injection, USP

FOR INFILTRATION, NERVE BLOCK, CAUDAL AND EPIDURAL ANESTHESIA.

Not for intrathecal anesthesia.

Warning: Contains Sulfites

Hospira

Principal Display Panel 125 Mg/50 Ml Vial Tray 1160 (PRINCIPAL DISPLAY PANEL - 125 mg/50 mL Vial Tray - 1160)

50 mL Multiple-dose Fliptop Vial

Rx only

NDC 0409-1160-01

Contains 25 of NDC 0409-1160-18

0.25% Bupivacaine

Hydrochloride Injection, USP

125 mg/50 mL (2.5 mg/mL)

For INFILTRATION and

NERVE BLOCK.

Not for caudal, epidural

or intrathecal anesthesia.

Principal Display Panel 150 Mg/30 Ml Vial Tray 1162 (PRINCIPAL DISPLAY PANEL - 150 mg/30 mL Vial Tray - 1162)

30 mL Single-dose Teartop Vial

Preservative-Free

Rx only

NDC 0409-1162-02

Contains 25 of NDC 0409-1162-19

0.5% Bupivacaine

Hydrochloride Injection, USP

150 mg/30 mL (5 mg/mL)

For NERVE BLOCK, CAUDAL

and EPIDURAL ANESTHESIA.

Not for intrathecal anesthesia.

Principal Display Panel 150 Mg/30 Ml Vial Tray 9045 (PRINCIPAL DISPLAY PANEL - 150 mg/30 mL Vial Tray - 9045)

30 mL Single-dose Teartop Vial

Sterile, Nonpyrogenic

Rx only

NDC 0409-9045-17

Contains 25 of NDC 0409-9045-16

0.5% Bupivacaine Hydrochloride

150 mg/30 mL (5 mg/mL)

and epinephrine 1:200,000 Injection

Bupivacaine Hydrochloride and Epinephrine Injection, USP

FOR NERVE BLOCK, CAUDAL AND EPIDURAL ANESTHESIA ONLY.

Not for intrathecal anesthesia.

Warning: Contains Sulfites

Principal Display Panel 225 Mg/30 Ml Vial Tray 1165 (PRINCIPAL DISPLAY PANEL - 225 mg/30 mL Vial Tray - 1165)

30 mL Single-dose Teartop Vial

Preservative-Free

Rx only

NDC 0409-1165-02

Contains 25 of NDC 0409-1165-19

0.75% Bupivacaine

Hydrochloride Injection, USP

225 mg/30 mL (7.5 mg/mL)

For EPIDURAL and RETROBULBAR ANESTHESIA.

Not for OBSTETRIC or INTRATHECAL ANESTHESIA.

Principal Display Panel 25 Mg/10 Ml Vial Label 1159 (PRINCIPAL DISPLAY PANEL - 25 mg/10 mL Vial Label - 1159)

10 mL Single-dose Teartop Vial

Preservative-Free

0.25% Bupivacaine

Hydrochloride Injection, USP

25 mg/10 mL (2.5 mg/mL)

For INFILTRATION, NERVE BLOCK,

CAUDAL and EPIDURAL ANESTHESIA.

Not for intrathecal anesthesia.

Hospira

Dist. by Hospira, Inc., Lake Forest, IL 60045 USA

Principal Display Panel 25 Mg/10 Ml Vial Label 9042 (PRINCIPAL DISPLAY PANEL - 25 mg/10 mL Vial Label - 9042)

10 mL Single-dose Teartop Vial

0.25% Bupivacaine HCl

25 mg/10 mL (2.5 mg/mL)

and epinephrine

1:200,000 Injection

Bupivacaine Hydrochloride and Epinephrine Injection, USP

Rx only

FOR INFILTRATION, NERVE BLOCK,

CAUDAL AND EPIDURAL ANESTHESIA.

Warning: Contains Sulfites

Distributed by Hospira, Inc., Lake Forest, IL 60045 USA

Principal Display Panel 250 Mg/50 Ml Vial Tray 1163 (PRINCIPAL DISPLAY PANEL - 250 mg/50 mL Vial Tray - 1163)

50 mL Multiple-dose Fliptop Vial

Rx only

NDC 0409-1163-01

Contains 25 of NDC 0409-1163-18

0.5% Bupivacaine

Hydrochloride Injection, USP

250 mg/50 mL (5 mg/mL)

For NERVE BLOCK.

Not for caudal, epidural

or intrathecal anesthesia.

Principal Display Panel 50 Mg/10 Ml Vial Label 1162 (PRINCIPAL DISPLAY PANEL - 50 mg/10 mL Vial Label - 1162)

10 mL Single-dose Teartop Vial

Preservative-Free

0.5% Bupivacaine

Hydrochloride Injection, USP

50 mg/10 mL (5 mg/mL)

For NERVE BLOCK, CAUDAL and EPIDURAL ANESTHESIA.

Not for intrathecal anesthesia.

Distributed by Hospira, Inc.

Lake Forest, IL 60045 USA

Hospira

Principal Display Panel 50 Mg/10 Ml Vial Label 9045 (PRINCIPAL DISPLAY PANEL - 50 mg/10 mL Vial Label - 9045)

10 mL Single-dose Teartop Vial

Rx only

0.5% Bupivacaine HCl

50 mg/10 mL (5 mg/mL)

and epinephrine 1:200,000 Injection

Bupivacaine Hydrochloride and

Epinephrine Injection, USP

FOR NERVE BLOCK, CAUDAL

AND EPIDURAL ANESTHESIA ONLY.

Warning: Contains Sulfites

Hospira

Distributed by Hospira, Inc., Lake Forest, IL 60045 USA

Principal Display Panel 75 Mg/10 Ml Vial Label 1165 (PRINCIPAL DISPLAY PANEL - 75 mg/10 mL Vial Label - 1165)

10 mL Single-dose Teartop Vial

0.75%

Bupivacaine

Hydrochloride Injection, USP

75 mg/10 mL (7.5 mg/mL)

For EPIDURAL and RETROBULBAR ANESTHESIA.

Not for OBSTETRIC or INTRATHECAL ANESTHESIA.

Dist. by Hospira, Inc. Lake Forest, IL 60045 USA

Principal Display Panel 75 Mg/30 Ml Vial Label 1159 (PRINCIPAL DISPLAY PANEL - 75 mg/30 mL Vial Label - 1159)

30 mL Single-dose Teartop Vial

Preservative-Free

0.25% Bupivacaine

Hydrochloride Injection, USP

75 mg/30 mL (2.5 mg/mL)

For INFILTRATION, NERVE BLOCK,

CAUDAL and EPIDURAL ANESTHESIA.

Not for intrathecal anesthesia.

Distributed by Hospira, Inc.

Lake Forest, IL 60045 USA

Hospira

Principal Display Panel 75 Mg/30 Ml Vial Label 9042 (PRINCIPAL DISPLAY PANEL - 75 mg/30 mL Vial Label - 9042)

30 mL Single-dose Teartop Vial

Rx only

0.25% Bupivacaine HCl

75 mg/30 mL (2.5 mg/mL)

and epinephrine

1:200,000 Injection

Bupivacaine Hydrochloride

and Epinephrine Injection, USP

FOR INFILTRATION, NERVE BLOCK,

CAUDAL AND EPIDURAL ANESTHESIA.

Warning: Contains Sulfites

Distributed by Hospira, Inc.,

Lake Forest, IL 60045 USA

Hospira

Principal Display Panel 125 Mg/50 Ml Vial Label 1160 (PRINCIPAL DISPLAY PANEL - 125 mg/50 mL Vial Label - 1160)

50 mL Multiple-dose Fliptop Vial

0.25% Bupivacaine

Hydrochloride Injection, USP

125 mg/50 mL (2.5 mg/mL)

For INFILTRATION and NERVE BLOCK.

Not for caudal, epidural or intrathecal anesthesia.

Distributed by Hospira, Inc.

Lake Forest, IL 60045 USA

Hospira

Principal Display Panel 125 Mg/50 Ml Vial Label 9043 (PRINCIPAL DISPLAY PANEL - 125 mg/50 mL Vial Label - 9043)

50 mL

Multiple-dose Fliptop Vial

0.25% Bupivacaine HCl

125 mg/50 mL (2.5 mg/mL)

and epinephrine

1:200,000 Injection

Bupivacaine and Epinephrine Injection., USP

FOR INFILTRATION AND NERVE BLOCK ONLY

Warning: Contains Sulfites

Distributed by Hospira, Inc.,

Lake Forest, IL 60045 USA

Hospira

Principal Display Panel 150 Mg/30 Ml Vial Label 1162 (PRINCIPAL DISPLAY PANEL - 150 mg/30 mL Vial Label - 1162)

30 mL Single-dose Teartop Vial

Preservative-Free

0.5% Bupivacaine

Hydrochloride Injection, USP

150 mg/30 mL (5 mg/mL)

For NERVE BLOCK, CAUDAL and

EPIDURAL ANESTHESIA.

Not for intrathecal anesthesia.

Distributed by Hospira, Inc.

Lake Forest, IL 60045 USA

Hospira

Principal Display Panel 150 Mg/30 Ml Vial Label 9045 (PRINCIPAL DISPLAY PANEL - 150 mg/30 mL Vial Label - 9045)

30 mL Single-dose Vial

Discard unused portion

NDC 0409-9045-16

Rx only

0.5% Bupivacaine HCl

150 mg/30 mL (5 mg/mL)

and epinephrine

1:200,000 Injection

Bupivacaine Hydrochloride and

Epinephrine Injection, USP

FOR NERVE BLOCK, CAUDAL

AND EPIDURAL ANESTHESIA ONLY.

Warning: Contains Sulfites

Distributed by Hospira, Inc.

Lake Forest, IL 60045 USA

Hospira

Principal Display Panel 225 Mg/30 Ml Vial Label 1165 (PRINCIPAL DISPLAY PANEL - 225 mg/30 mL Vial Label - 1165)

30 mL Single-dose Teartop Vial

Preservative-Free

0.75% Bupivacaine

Hydrochloride Injection, USP

225 mg/30 mL (7.5 mg/mL)

For EPIDURAL and RETROBULBAR ANESTHESIA.

Not for OBSTETRIC or INTRATHECAL ANESTHESIA.

Distributed by Hospira, Inc.,

Lake Forest, IL 60045 USA

Hospira

Principal Display Panel 25 Mg/10 Ml Vial Carton 9042 (PRINCIPAL DISPLAY PANEL - 25 mg/10 mL Vial Carton - 9042)

10 mL

Single-dose

Teartop Vial

Sterile, nonpyrogenic

0.25% Bupivacaine Hydrochloride

25 mg/10 mL (2.5 mg/mL)

and epinephrine 1:200,000 Injection

Bupivacaine Hydrochloride and Epinephrine Injection, USP

FOR INFILTRATION, NERVE BLOCK, CAUDAL AND EPIDURAL ANESTHESIA.

Not for intrathecal anesthesia.

Warning: Contains Sulfites

NDC 0409-9042-01

Contains 10 of NDC 0409-9042-11

Rx only

Hospira

Principal Display Panel 250 Mg/50 Ml Vial Label 1163 (PRINCIPAL DISPLAY PANEL - 250 mg/50 mL Vial Label - 1163)

50 mL Multiple-dose Fliptop Vial

0.5% Bupivacaine

Hydrochloride Injection, USP

250 mg/50 mL (5 mg/mL)

For NERVE BLOCK.

Not for caudal, epidural or intrathecal anesthesia.

Distributed by Hospira, Inc.,

Lake Forest, IL 60045 USA

Hospira

Principal Display Panel 250 Mg/50 Ml Vial Label 9046 (PRINCIPAL DISPLAY PANEL - 250 mg/50 mL Vial Label - 9046)

50 mL

Multiple-dose Vial

0.5% Bupivacaine HCl

250 mg/50 mL (5 mg/mL)

and epinephrine

1:200,000 Injection

Bupivacaine and Epinephrine Inj., USP

FOR NERVE BLOCK ONLY

Warning: Contains Sulfites

Distributed by Hospira, Inc.,

Lake Forest, IL 60045 USA

Hospira

Principal Display Panel 50 Mg/10 Ml Vial Carton 9045 (PRINCIPAL DISPLAY PANEL - 50 mg/10 mL Vial Carton - 9045)

10 mL Single-dose Teartop Vial

Sterile, Nonpyrogenic

0.5% Bupivacaine Hydrochloride

50 mg/10 mL (5 mg/mL)

and epinephrine 1:200,000 Injection

Bupivacaine Hydrochloride and Epinephrine Injection, USP

FOR NERVE BLOCK, CAUDAL AND EPIDURAL ANESTHESIA ONLY.

Not for intrathecal anesthesia.

Warning: Contains Sulfites

NDC 0409-9045-01

Contains 10 of NDC 0409-9045-11

Rx only

Hospira

5.10 Risk of Toxicity in Patients With Hepatic Impairment (5.10 Risk of Toxicity in Patients with Hepatic Impairment)

Because amide local anesthetics such as bupivacaine are metabolized by the liver, consider reduced dosing and increased monitoring for bupivacaine systemic toxicity in patients with moderate to severe hepatic impairment who are treated with Bupivacaine Hydrochloride Injection/Bupivacaine Hydrochloride and Epinephrine Injection, especially with repeat doses [see Use in Specific Populations (8.6)].

Principal Display Panel 125 Mg/50 Ml Vial Carton 9043 (PRINCIPAL DISPLAY PANEL - 125 mg/50 mL Vial Carton - 9043)

One/NDC 0409-9043-11

50 mL

Multiple-dose Fliptop Vial

Sterile, nonpyrogenic

0.25% Bupivacaine

Hydrochloride

125 mg/50 mL (2.5 mg/mL)

and epinephrine

1:200,000 Injection

Bupivacaine

and Epinephrine

Injection, USP

Rx only

FOR INFILTRATION AND

NERVE BLOCK ONLY

Not for caudal, epidural

or intrathecal anesthesia.

Warning: Contains Sulfites

Hospira

Principal Display Panel 250 Mg/50 Ml Vial Carton 9046 (PRINCIPAL DISPLAY PANEL - 250 mg/50 mL Vial Carton - 9046)

One/NDC 0409-9046-11

50 mL

Multiple-dose Fliptop Vial

Sterile, nonpyrogenic

0.5% Bupivacaine

Hydrochloride

250 mg/50 mL (5 mg/mL)

and epinephrine

1:200,000 Injection

Bupivacaine

and Epinephrine

Injection, USP

Rx only

FOR NERVE BLOCK ONLY.

Not for caudal, epidural

or intrathecal anesthesia.

Warning: Contains Sulfites

Hospira

5.14 Risk of Adverse Reactions With Use in Head and Neck Area (5.14 Risk of Adverse Reactions with Use in Head and Neck Area)

Small doses of local anesthetics (e.g., Bupivacaine Hydrochloride Injection) injected into the head and neck area, including retrobulbar, dental, and stellate ganglion blocks, may produce adverse reactions similar to systemic toxicity seen with unintentional intravascular injections of larger doses. The injection procedures require the utmost care. Confusion, convulsions, respiratory depression, and/or respiratory arrest, and cardiovascular stimulation or depression have been reported. These reactions may be due to intra-arterial injection of the local anesthetic with retrograde flow to the cerebral circulation. They may also be due to puncture of the dural sheath of the optic nerve during retrobulbar block with diffusion of any local anesthetic along the subdural space to the midbrain. Monitor circulation and respiration and constantly observe patients receiving Bupivacaine Hydrochloride Injection/Bupivacaine Hydrochloride and Epinephrine Injection blocks. Resuscitative equipment and drugs, and personnel for treating adverse reactions should be immediately available. Dosage recommendations should not be exceeded [see Dosage and Administration (2.2)].

5.15 Risk of Respiratory Arrest With Use in Ophthalmic Surgery (5.15 Risk of Respiratory Arrest with Use in Ophthalmic Surgery)

Clinicians who perform retrobulbar blocks should be aware that there have been reports of respiratory arrest following local anesthetic injection. Prior to retrobulbar block (e.g., with Bupivacaine Hydrochloride Injection/Bupivacaine Hydrochloride and Epinephrine Injection), as with all other regional procedures, resuscitative equipment and drugs, and personnel to manage respiratory arrest or depression, convulsions, and cardiac stimulation or depression should be immediately available [see Warnings and Precautions (5.14)]. As with other anesthetic procedures, patients should be constantly monitored following ophthalmic blocks for signs of these adverse reactions, which may occur following relatively low total doses.

A concentration of 0.75% bupivacaine is indicated for retrobulbar block; however, this concentration is not indicated for any other peripheral nerve block, including the facial nerve, and not indicated for local infiltration, including the conjunctiva [see Indications and Usage (1)].

7.2 Monoamine Oxidase Inhibitors and Tricyclic Antidepressants

The administration of Bupivacaine Hydrochloride and Epinephrine Injection to patients receiving monoamine oxidase inhibitors, or tricyclic antidepressants may produce severe, prolonged hypertension. Concurrent use of these agents should generally be avoided. In situations when concurrent therapy is necessary, careful monitoring of the patient's hemodynamic status is essential [see Warnings and Precautions (5.6)].

5.11 Risk of Use in Patients With Impaired Cardiovascular Function (5.11 Risk of Use in Patients with Impaired Cardiovascular Function)

Bupivacaine Hydrochloride Injection/Bupivacaine Hydrochloride and Epinephrine Injection should be given in reduced doses in patients with impaired cardiovascular function (e.g., hypotension, heartblock) because they may be less able to compensate for functional changes associated with the prolongation of AV conduction produced by Bupivacaine Hydrochloride Injection/Bupivacaine Hydrochloride and Epinephrine Injection. Monitor patients closely for blood pressure, heart rate, and ECG changes.

5.12 Risk of Ischemic Injury Or Necrosis in Body Areas With Limited Blood Supply (5.12 Risk of Ischemic Injury or Necrosis in Body Areas with Limited Blood Supply)

Use Bupivacaine Hydrochloride and Epinephrine Injection in carefully restricted quantities in areas of the body supplied by end arteries or having otherwise compromised blood supply such as digits, nose, external ear, or penis. Patients with hypertensive vascular disease may exhibit exaggerated vasoconstrictor response. Ischemic injury or necrosis may result.

5.7 Risk of Cardiac Arrest With Intravenous Regional Anesthesia Use (bier Block) (5.7 Risk of Cardiac Arrest with Intravenous Regional Anesthesia Use (Bier Block))

There have been reports of cardiac arrest and death during the use of bupivacaine for intravenous regional anesthesia (Bier Block). Information on safe dosages and techniques of administration of Bupivacaine Hydrochloride Injection in this procedure is lacking. Therefore, Bupivacaine Hydrochloride Injection/Bupivacaine Hydrochloride and Epinephrine Injection is contraindicated for use with this technique [see Contraindications (4)].

5.13 Risk of Cardiac Arrhythmias With Concomitant Use of Potent Inhalation Anesthetics (5.13 Risk of Cardiac Arrhythmias with Concomitant Use of Potent Inhalation Anesthetics)

Serious dose-related cardiac arrhythmias may occur if preparations containing a vasoconstrictor such as epinephrine (e.g., Bupivacaine Hydrochloride and Epinephrine Injection) are used in patients during or following the administration of potent inhalation anesthetics [see Drug Interactions (7.6)]. In deciding whether to concurrently use Bupivacaine Hydrochloride and Epinephrine Injection with potent inhalation anesthetics in the same patient, the combined action of both agents upon the myocardium, the concentration and volume of vasoconstrictor used, and the time since injection, when applicable, should be taken into account.

5.9 Risk of Systemic Toxicities With Unintended Intravascular Or Intrathecal Injection (5.9 Risk of Systemic Toxicities with Unintended Intravascular or Intrathecal Injection)

Unintended intravascular or intrathecal injection of Bupivacaine Hydrochloride Injection/Bupivacaine Hydrochloride and Epinephrine Injection may be associated with systemic toxicities, including CNS or cardiorespiratory depression and coma, progressing ultimately to respiratory arrest. Unintentional intrathecal injection during the intended performance of caudal or lumbar epidural block or nerve blocks near the vertebral column has resulted in underventilation or apnea ("Total or High Spinal"). A high spinal has been characterized by paralysis of the legs, loss of consciousness, respiratory paralysis, and bradycardia [see Adverse Reactions (6)].

Aspirate for blood or cerebrospinal fluid (where applicable) before injecting Bupivacaine Hydrochloride Injection/Bupivacaine Hydrochloride and Epinephrine Injection, both the initial dose and all subsequent doses, to avoid intravascular or intrathecal injection. However, a negative aspiration for blood or cerebrospinal fluid does not ensure against an intravascular or intrathecal injection.

5.16 Risk of Inadvertent Trauma to Tongue, Lips, and Buccal Mucosa in Dental Applications

Because of the long duration of anesthesia, when Bupivacaine Hydrochloride and Epinephrine Injection [0.5% (5 mg/mL) of bupivacaine] is used for dental injections, warn patients about the possibility of inadvertent trauma to tongue, lips, and buccal mucosa and advise them not to chew solid foods until sensation returns [see Patient Counseling Information (17)].

5.8 Allergic Type Reactions to Sulfites in Bupivacaine Hydrochloride and Epinephrine Injection (5.8 Allergic-Type Reactions to Sulfites in Bupivacaine Hydrochloride and Epinephrine Injection)

Bupivacaine Hydrochloride and Epinephrine Injection contains sodium metabisulfite, a sulfite that may cause allergic-type reactions including anaphylactic symptoms and life-threatening or less severe asthmatic episodes in certain susceptible people. The overall prevalence of sulfite sensitivity in the general population is unknown and probably low. Sulfite sensitivity is seen more frequently in asthmatic than in nonasthmatic people. Bupivacaine Hydrochloride Injection without epinephrine does not contain sodium metabisulfite.

5.1 Risk of Cardiac Arrest With Use of Bupivacaine Hydrochloride Injection in Obstetrical Anesthesia (5.1 Risk of Cardiac Arrest with Use of Bupivacaine Hydrochloride Injection in Obstetrical Anesthesia)

There have been reports of cardiac arrest with difficult resuscitation or death during use of Bupivacaine Hydrochloride Injection for epidural anesthesia in obstetrical patients. In most cases, this has followed use of the 0.75% (7.5 mg/mL) concentration. Resuscitation has been difficult or impossible despite apparently adequate preparation and appropriate management. Cardiac arrest has occurred after convulsions resulting from systemic toxicity, presumably following unintentional intravascular injection. The 0.75% (7.5 mg/mL) concentration of Bupivacaine Hydrochloride Injection is not recommended for obstetrical anesthesia and should be reserved for surgical procedures where a high degree of muscle relaxation and prolonged effect are necessary.

Warning: Risk of Cardiac Arrest With Use of Bupivacaine Hydrochloride Injection in Obstetrical Anesthesia (WARNING: RISK OF CARDIAC ARREST WITH USE OF BUPIVACAINE HYDROCHLORIDE INJECTION IN OBSTETRICAL ANESTHESIA)

There have been reports of cardiac arrest with difficult resuscitation or death during use of Bupivacaine Hydrochloride Injection for epidural anesthesia in obstetrical patients. In most cases, this has followed use of the 0.75% (7.5 mg/mL) concentration. Resuscitation has been difficult or impossible despite apparently adequate preparation and appropriate management. Cardiac arrest has occurred after convulsions resulting from systemic toxicity, presumably following unintentional intravascular injection. The 0.75% (7.5 mg/mL) concentration of Bupivacaine Hydrochloride Injection is not recommended for obstetrical anesthesia and should be reserved for surgical procedures where a high degree of muscle relaxation and prolonged effect are necessary [see Warnings and Precautions (5.1)].

2.2 Recommended Concentrations and Dosages of Bupivacaine Hydrochloride Injection/bupivacaine Hydrochloride and Epinephrine Injection (2.2 Recommended Concentrations and Dosages of Bupivacaine Hydrochloride Injection/Bupivacaine Hydrochloride and Epinephrine Injection)

The dosage of Bupivacaine Hydrochloride Injection/Bupivacaine Hydrochloride and Epinephrine Injection administered varies with the anesthetic procedure, the area to be anesthetized, the vascularity of the tissues, the number of neuronal segments to be blocked, the depth of anesthesia and degree of muscle relaxation required, the duration of anesthesia desired, individual tolerance, and the physical condition of the patient. Administer the smallest dosage and concentration required to produce the desired result.

The types of block and recommended Bupivacaine Hydrochloride Injection/Bupivacaine Hydrochloride and Epinephrine Injection concentrations are shown in Table 1.

Table 1. Types of Block and Recommended Bupivacaine Hydrochloride Injection/Bupivacaine Hydrochloride and Epinephrine Injection Concentrations
✓= indicated use [see Warnings and Precautions (5.1)].

Type of Block

Bupivacaine Hydrochloride

Bupivacaine Hydrochloride and Epinephrine

0.25%

(2.5 mg/mL)

0.5%

(5 mg/mL)

0.75%

(7.5 mg/mL)

Bupivacaine Hydrochloride Injection 0.75% (7.5 mg/mL) is not recommended for nonobstetrical surgical procedures in pregnant patients.

0.25%

(2.5 mg/mL)

0.5%

(5 mg/mL)

Local infiltration

Peripheral nerve block

Retrobulbar block

Sympathetic block

Caudal block

Avoid use of multiple-dose vials of Bupivacaine Hydrochloride Injection and Bupivacaine Hydrochloride and Epinephrine Injection for caudal or epidural anesthesia [see Warnings and Precautions (5.4)].

Lumbar epidural block



(not for obstetrical anesthesia)

Epidural test dose

Dental block

At recommended dosages, Bupivacaine Hydrochloride/Bupivacaine Hydrochloride and Epinephrine produces complete sensory block, but the effect on motor function differs among the three concentrations. Table 2 provides information on the expected effect on motor function for the three concentrations.

Table 2. Types of Block and Recommended Bupivacaine Hydrochloride Injection/Bupivacaine Hydrochloride and Epinephrine Injection Concentrations

Bupivacaine Hydrochloride Injection Concentration

Motor Function

0.25%

(2.5 mg/mL)

These products include Bupivacaine Hydrochloride Injection and Bupivacaine Hydrochloride and Epinephrine Injection [the epinephrine concentration (1:200,000) is not included in the table].

When used for caudal, epidural, or peripheral nerve block, produces incomplete motor block. Should be used for operations in which muscle relaxation is not important, or when another means of providing muscle relaxation is used concurrently. Onset of action may be slower than with the 0.5% (5 mg/mL) or 0.75% (7.5 mg/mL) solutions.

0.5%

(5 mg/mL)

Provides motor blockade for caudal, epidural, or nerve block, but muscle relaxation may be inadequate for operations in which complete muscle relaxation is essential.

0.75%

(7.5 mg/mL)

These are only Bupivacaine Hydrochloride Injection products [there is no 0.75% (7.5 mg/mL) concentration for Bupivacaine Hydrochloride and Epinephrine Injection].

Produces complete motor block. Most useful for epidural block in abdominal operations requiring complete muscle relaxation, and for retrobulbar anesthesia. Not for obstetrical anesthesia.

The duration of anesthesia with Bupivacaine Hydrochloride Injection/Bupivacaine Hydrochloride and Epinephrine Injection is such that for most indications, a single dose is sufficient.

The maximum dosage limit within the recommended dosage range must be individualized in each case after evaluating the size and physical status of the patient, as well as the anticipated rate of systemic absorption from a particular injection site.

The dosages in Table 3 are recommended as a guide for use in the average adult. These doses may be repeated once every three hours. Do not exceed a total daily dosage of 400 mg in 24 hours. The duration of anesthetic effect may be prolonged by the addition of epinephrine.

Table 3. Recommended Concentrations and Doses of Bupivacaine Hydrochloride Injection/Bupivacaine Hydrochloride and Epinephrine Injection in Adults

Type of Block

Concentration of Bupivacaine Hydrochloride Injection

Each Dose

Motor Block

With continuous (intermittent) techniques, repeat doses increase the degree of motor block. The first repeat dose of 0.5% (5 mg/mL) may produce complete motor block. Intercostal nerve block with 0.25% (2.5 mg/mL) also may produce complete motor block for intra-thoracic and upper intra-abdominal surgery.

mL

mg of Bupivacaine Hydrochloride Injection

Local infiltration

0.25%

(2.5 mg/mL)

Solutions with or without epinephrine (i.e., applies to Bupivacaine Hydrochloride Injection and Bupivacaine Hydrochloride and Epinephrine Injection). The Bupivacaine Hydrochloride and Epinephrine Injection products include epinephrine (1:200,000).

Up to 70

(without epinephrine)

Up to 175

(without epinephrine)

Up to 90

(with epinephrine)

Up to 225

(with epinephrine)

Peripheral nerve block

0.5% (5 mg/mL)

5–35

(without epinephrine)

25–175

(without epinephrine)

moderate to complete

5–45

(with epinephrine)

25–225

(with epinephrine)

0.25%

(2.5 mg/mL)

5–70

(without epinephrine)

12.5–175

(without epinephrine)

moderate to complete

5–90

(with epinephrine)

12.5–225

(with epinephrine)

Retrobulbar block

[see Dosage and Administration (2.6)]

0.75%

(7.5 mg/mL)

2–4

15–30

complete

Sympathetic block

0.25%

(2.5 mg/mL)

20–50

50–125

Caudal block

[see Dosage and Administration (2.4)]

0.5% (5 mg/mL)

15–30

75–150

moderate to complete

0.25%

(2.5 mg/mL)

15–30

37.5–75

moderate

Lumbar epidural block

[see Dosage and Administration (2.3)]

0.75%

(7.5 mg/mL)

For single-dose use; not for intermittent epidural technique. Not for obstetrical anesthesia.

10–20

75–150

complete

0.5% (5 mg/mL)

10–20

50–100

moderate to complete

0.25%

(2.5 mg/mL)

10–20

25–50

partial to moderate

Epidural test dose

[see Dosage and Administration (2.4)]

0.5% (5 mg/mL) with epinephrine

2–3

10–15

(10–15 micrograms epinephrine)

Dental

[see Dosage and Administration (2.5)]

0.5% (5 mg/mL) with epinephrine

1.8–3.6 per site

9–18 per site


Advanced Ingredient Data


Raw Label Data

All Sections (JSON)