These Highlights Do Not Include All The Information Needed To Use Dorzolamide Hydrochloride Ophthalmic Solution Safely And Effectively. See Full Prescribing Information For Dorzolamide Hydrochloride Ophthalmic Solution.

These Highlights Do Not Include All The Information Needed To Use Dorzolamide Hydrochloride Ophthalmic Solution Safely And Effectively. See Full Prescribing Information For Dorzolamide Hydrochloride Ophthalmic Solution.
SPL v1
SPL
SPL Set ID 0246463c-6c24-4611-8e22-2d5254ace66a
Route
OPHTHALMIC
Published
Effective Date 2025-08-31
Document Type 34391-3 HUMAN PRESCRIPTION DRUG LABEL

Drug Facts

Composition & Product

Active Ingredients
Dorzolamide (20 mg)
Inactive Ingredients
Hydroxyethyl Cellulose (2000 Mpa.s At 1%) Mannitol Trisodium Citrate Dihydrate Sodium Hydroxide Water Benzalkonium Chloride

Identifiers & Packaging

Marketing Status
ANDA Active Since 2026-01-15

Description

Dorzolamide Hydrochloride Ophthalmic Solution is indicated in the treatment of elevated intraocular pressure in patients with ocular hypertension or open-angle glaucoma.

Indications and Usage

Dorzolamide Hydrochloride Ophthalmic Solution is indicated in the treatment of elevated intraocular pressure in patients with ocular hypertension or open-angle glaucoma.

Dosage and Administration

The dose is one drop of Dorzolamide Hydrochloride Ophthalmic Solution in the affected eye(s) three times daily. Dorzolamide Hydrochloride Ophthalmic Solution may be used concomitantly with other topical ophthalmic drug products to lower intraocular pressure. If more than one topical ophthalmic drug is being used, the drugs should be administered at least five minutes apart.

Warnings and Precautions

Sulfonamide Hypersensitivity ( 5.1 ) Bacterial Keratitis ( 5.2 ) Corneal Endothelium ( 5.3 ) Allergic Reactions ( 5.4 ) Acute Angle-Closure Glaucoma ( 5.5 )

Contraindications

Dorzolamide Hydrochloride Ophthalmic Solution is contraindicated in patients who are hypersensitive to any component of this product [see Warnings and Precautions ( 5.1 )].

Adverse Reactions

The most frequently reported adverse reactions associated with Dorzolamide Hydrochloride Ophthalmic Solution were ocular burning, stinging, or discomfort immediately following ocular administration (approximately one-third of patients). Approximately one-quarter of patients noted a bitter taste following administration. Superficial punctate keratitis occurred in 10 to 15% of patients and signs and symptoms of ocular allergic reaction in approximately 10%. ( 6 ) To report SUSPECTED ADVERSE REACTIONS, contact Sagent Pharmaceuticals at 1-866-625-1618 or FDA at 1-800-FDA-1088 or www.fda.gov/medwatch .

Drug Interactions

Potential additive effect of oral carbonic anhydrase inhibitor with Dorzolamide Hydrochloride Ophthalmic Solution. ( 7.1 ) Potential acid-base and electrolyte disturbances. ( 7.2 )

Storage and Handling

Dorzolamide Hydrochloride Ophthalmic Solution, USP 2% is supplied in 10 mL ratchet modified screw neck white LDPE bottle with LDPE nozzle having white Opaque pump with a dip tube and Orange color ring modified HDPE screw cap as follows: NDC Dorzolamide Hydrochloride Ophthalmic Solution, USP 2% Package Factor 25021-006-10 10 mL fill 1 bottle per carton

How Supplied

Dorzolamide Hydrochloride Ophthalmic Solution, USP 2% is supplied in 10 mL ratchet modified screw neck white LDPE bottle with LDPE nozzle having white Opaque pump with a dip tube and Orange color ring modified HDPE screw cap as follows: NDC Dorzolamide Hydrochloride Ophthalmic Solution, USP 2% Package Factor 25021-006-10 10 mL fill 1 bottle per carton


Medication Information

Warnings and Precautions

Sulfonamide Hypersensitivity ( 5.1 ) Bacterial Keratitis ( 5.2 ) Corneal Endothelium ( 5.3 ) Allergic Reactions ( 5.4 ) Acute Angle-Closure Glaucoma ( 5.5 )

Indications and Usage

Dorzolamide Hydrochloride Ophthalmic Solution is indicated in the treatment of elevated intraocular pressure in patients with ocular hypertension or open-angle glaucoma.

Dosage and Administration

The dose is one drop of Dorzolamide Hydrochloride Ophthalmic Solution in the affected eye(s) three times daily. Dorzolamide Hydrochloride Ophthalmic Solution may be used concomitantly with other topical ophthalmic drug products to lower intraocular pressure. If more than one topical ophthalmic drug is being used, the drugs should be administered at least five minutes apart.

Contraindications

Dorzolamide Hydrochloride Ophthalmic Solution is contraindicated in patients who are hypersensitive to any component of this product [see Warnings and Precautions ( 5.1 )].

Adverse Reactions

The most frequently reported adverse reactions associated with Dorzolamide Hydrochloride Ophthalmic Solution were ocular burning, stinging, or discomfort immediately following ocular administration (approximately one-third of patients). Approximately one-quarter of patients noted a bitter taste following administration. Superficial punctate keratitis occurred in 10 to 15% of patients and signs and symptoms of ocular allergic reaction in approximately 10%. ( 6 ) To report SUSPECTED ADVERSE REACTIONS, contact Sagent Pharmaceuticals at 1-866-625-1618 or FDA at 1-800-FDA-1088 or www.fda.gov/medwatch .

Drug Interactions

Potential additive effect of oral carbonic anhydrase inhibitor with Dorzolamide Hydrochloride Ophthalmic Solution. ( 7.1 ) Potential acid-base and electrolyte disturbances. ( 7.2 )

Storage and Handling

Dorzolamide Hydrochloride Ophthalmic Solution, USP 2% is supplied in 10 mL ratchet modified screw neck white LDPE bottle with LDPE nozzle having white Opaque pump with a dip tube and Orange color ring modified HDPE screw cap as follows: NDC Dorzolamide Hydrochloride Ophthalmic Solution, USP 2% Package Factor 25021-006-10 10 mL fill 1 bottle per carton

How Supplied

Dorzolamide Hydrochloride Ophthalmic Solution, USP 2% is supplied in 10 mL ratchet modified screw neck white LDPE bottle with LDPE nozzle having white Opaque pump with a dip tube and Orange color ring modified HDPE screw cap as follows: NDC Dorzolamide Hydrochloride Ophthalmic Solution, USP 2% Package Factor 25021-006-10 10 mL fill 1 bottle per carton

Description

Dorzolamide Hydrochloride Ophthalmic Solution is indicated in the treatment of elevated intraocular pressure in patients with ocular hypertension or open-angle glaucoma.

Section 42229-5

Controlled clinical trials: The most frequent adverse reactions associated with Dorzolamide Hydrochloride Ophthalmic Solution were ocular burning, stinging, or discomfort immediately following ocular administration (approximately one-third of patients). Approximately one-quarter of patients noted a bitter taste following administration. Superficial punctate keratitis occurred in 10 to 15% of patients and signs and symptoms of ocular allergic reaction in approximately 10%. Reactions occurring in approximately 1 to 5% of patients were conjunctivitis and lid reactions [see Warnings and Precautions (5.4)], blurred vision, eye redness, tearing, dryness, and photophobia. Other ocular reactions and systemic reactions were reported infrequently, including headache, nausea, asthenia/fatigue; and, rarely, skin rashes, urolithiasis, and iridocyclitis.

In a 3-month, double-masked, active-treatment-controlled, multicenter study in pediatric patients, the adverse reactions profile of Dorzolamide Hydrochloride Ophthalmic Solution was comparable to that seen in adult patients.

Section 42230-3

INSTRUCTIONS FOR USE

Dorzolamide Hydrochloride Ophthalmic Solution, USP 2% (dor ZOL a mide)

Before using your dorzolamide hydrochloride ophthalmic solution

Before using your dorzolamide hydrochloride ophthalmic solution, for the first time, make sure the tamper evident ring of the bottle is unbroken. A gap between the bottle and the cap is normal for an unopened bottle. See Figure A .

Figure A

Step 1. Wash your hands.

Step 2. To open the bottle for the first time, hold the bottle upright, turn the cap counter-clockwise to break the tamper-evident ring. See Figure B.

Figure B

Step 3. Unscrew the cap by turning further in the direction as shown in the Figure C until the cap comes-off. The tamper-evident ring will remain in the bottle neck.

Figure C

Giving your dorzolamide hydrochloride ophthalmic solution drops.

Step 4. Tilt your head back and pull your lower eyelid down slightly to form a pocket between your eyelid and your eye. See Figure D.

Figure D

Step 5. Hold the dorzolamide hydrochloride ophthalmic solution, USP 2% bottle upside down. Place tip as close as possible to the lower eyelid without touching the tip to the eye, and gently squeeze until a single drop is placed in your eye. Do not touch your eye or eyelid with the dropper tip. See Figure E.

Figure E

Step 6. The dispenser tip is designed to provide a pre-measured drop; therefore, do NOT enlarge the hole of the dispenser tip.

Step 7. If your doctor has told you to use Dorzolamide Hydrochloride Ophthalmic Solution, USP 2% in both eyes, repeat steps 4 and 5.

After using your dorzolamide hydrochloride ophthalmic solution

Step 8. Replace the cap by turning it until it is firmly touching your bottle. (see Figure F ).

Figure F

After you have used all of your dorzolamide hydrochloride ophthalmic solution, USP 2% doses, there will be some dorzolamide hydrochloride ophthalmic solution, USP 2% medicine left in the dispenser. Do not try to remove the extra medicine from the dorzolamide hydrochloride ophthalmic solution, USP 2% dispenser. Throw away your dorzolamide hydrochloride ophthalmic solution, USP 2% dispenser in your household trash.

How should I store dorzolamide hydrochloride ophthalmic solution?

  • Store dorzolamide hydrochloride ophthalmic solution between 15° to 30°C (59° to 86°F)
  • Protect from light
  • After opening, dorzolamide hydrochloride ophthalmic solution can be used until the expiration date on the bottle.
  • Safely throw away medicine that is out of date or no longer needed.

KEEP DORZOLAMIDE HYDROCHLORIDE OPHTHALMIC SOLUTION AND ALL MEDICINES OUT OF THE REACH OF CHILDREN.

Important information about using dorzolamide hydrochloride ophthalmic solution

  • If you have any eye or skin reactions, especially conjunctivitis or eyelid reactions to dorzolamide hydrochloride ophthalmic solution, stop using it and call your doctor right away.
  • If you have eye surgery or have a problem such as trauma or infection of your eye while using dorzolamide hydrochloride ophthalmic solution, call your doctor right away.
  • If you do not handle eye medicines the right way the medicine can become contaminated. If the tip of the dispenser touches your eye or areas around your eye, the tip can become contaminated with bacteria which can cause an eye infection and other serious problems including loss of eyesight.
  • If you use other eye medicines dropped onto the eye like dorzolamide hydrochloride ophthalmic solution, use the medicines at least 5 minutes before or after you use dorzolamide hydrochloride ophthalmic solution.
  • Dorzolamide hydrochloride ophthalmic solution contains benzalkonium chloride which may be absorbed by soft contact lenses. If you wear contact lenses, remove them before you use your dorzolamide hydrochloride ophthalmic solution. You can place your contact lenses back into your eyes 15 minutes after using your dorzolamide hydrochloride ophthalmic solution.

This Instructions for Use has been approved by the U.S. Food and Drug Administration.

sagent ®

Mfd. for SAGENT Pharmaceuticals

Schaumburg, IL 60173 (USA)

Made in India

©2025 Sagent Pharmaceuticals

August 2025

Section 44425-7

Storage Conditions

Store at 15° to 30°C (59° to 86°F). After opening, Dorzolamide Hydrochloride Ophthalmic Solution, USP 2% can be used until the expiration date on the bottle.

Protect from light.

Sterile, Nonpyrogenic.

The container closure is not made with natural rubber latex.

Section 51945-4

PACKAGE LABEL – PRINCIPAL DISPLAY PANEL – Bottle Label

NDC 25021-006-10

Rx only

Dorzolamide Hydrochloride Ophthalmic Solution, USP

2% 10 mL

Sterile

For Topical Application in the Eye

10 Overdosage

Electrolyte imbalance, development of an acidotic state, and possible central nervous system effects may occur. Serum electrolyte levels (particularly potassium) and blood pH levels should be monitored.

11 Description

Dorzolamide Hydrochloride Ophthalmic Solution, USP is a carbonic anhydrase inhibitor formulated for topical ophthalmic use.

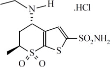
Dorzolamide hydrochloride, USP is described chemically as: (4S-trans)-4-(ethylamino)-5,6-dihydro-6-methyl-4H-thieno[2,3-b]thiopyran-2-sulfonamide 7,7-dioxide monohydrochloride. Dorzolamide hydrochloride, USP is optically active. The specific rotation is

[α]           25°C (C=1,water) = ~ - 17°.

                405 nm

Its empirical formula is C10H16N2O4S3.HCl and its structural formula is:

Dorzolamide hydrochloride, USP has a molecular weight of 360.9 and a melting point of about 264°C. It is a white to almost white crystalline powder, which is soluble in water and slightly soluble in methanol and very slightly soluble in anhydrous ethanol.

Dorzolamide Hydrochloride Ophthalmic Solution, USP is supplied as a sterile, isotonic, buffered, slightly viscous, aqueous solution of dorzolamide hydrochloride, USP. The pH of the solution is approximately 5.4 to 5.9, and the osmolarity is 260 to 330 mOsM. Each mL of Dorzolamide Hydrochloride Ophthalmic Solution, USP 2% contains 20 mg dorzolamide (22.3 mg of dorzolamide hydrochloride, USP). Inactive ingredients are hydroxyethyl cellulose, mannitol, sodium citrate dihydrate, sodium hydroxide (to adjust pH) and water for injection. Benzalkonium chloride 0.0075% is added as a preservative.

8.4 Pediatric Use

Safety and effectiveness of Dorzolamide Hydrochloride Ophthalmic Solution have been demonstrated in pediatric patients in a 3-month, multicenter, double-masked, active-treatment-controlled trial.

8.5 Geriatric Use

No overall differences in safety or effectiveness have been observed between elderly and younger patients.

14 Clinical Studies

The efficacy of Dorzolamide Hydrochloride Ophthalmic Solution was demonstrated in clinical studies in the treatment of elevated intraocular pressure in patients with glaucoma or ocular hypertension (baseline IOP ≥ 23 mmHg). The IOP-lowering effect of Dorzolamide Hydrochloride Ophthalmic Solution was approximately 3 to 5 mmHg throughout the day and this was consistent in clinical studies of up to one year duration.

The efficacy of Dorzolamide Hydrochloride Ophthalmic Solution when dosed less frequently than three times a day (alone or in combination with other products) has not been established.

In a one year clinical study, the effect of Dorzolamide Hydrochloride Ophthalmic Solution 2% three times daily on the corneal endothelium was compared to that of betaxolol ophthalmic solution twice daily and timolol maleate ophthalmic solution 0.5% twice daily. There were no statistically significant differences between groups in corneal endothelial cell counts or in corneal thickness measurements. There was a mean loss of approximately 4% in the endothelial cell counts for each group over the one year period.

4 Contraindications

Dorzolamide Hydrochloride Ophthalmic Solution is contraindicated in patients who are hypersensitive to any component of this product [see Warnings and Precautions (5.1)].

6 Adverse Reactions

The most frequently reported adverse reactions associated with Dorzolamide Hydrochloride Ophthalmic Solution were ocular burning, stinging, or discomfort immediately following ocular administration (approximately one-third of patients). Approximately one-quarter of patients noted a bitter taste following administration. Superficial punctate keratitis occurred in 10 to 15% of patients and signs and symptoms of ocular allergic reaction in approximately 10%. (6)



To report SUSPECTED ADVERSE REACTIONS, contact Sagent Pharmaceuticals at 1-866-625-1618 or FDA at 1-800-FDA-1088 or www.fda.gov/medwatch .



7 Drug Interactions

Potential additive effect of oral carbonic anhydrase inhibitor with Dorzolamide Hydrochloride Ophthalmic Solution. (7.1)



Potential acid-base and electrolyte disturbances. (7.2)



12.3 Pharmacokinetics

When topically applied, dorzolamide reaches the systemic circulation. To assess the potential for systemic carbonic anhydrase inhibition following topical administration, drug and metabolite concentrations in RBCs and plasma and carbonic anhydrase inhibition in RBCs were measured.

Dorzolamide accumulates in RBCs during chronic dosing as a result of binding to CA-II. The parent drug forms a single N-desethyl metabolite, which inhibits CA-II less potently than the parent drug but also inhibits CA-I. The metabolite also accumulates in RBCs where it binds primarily to CA-I. Plasma concentrations of dorzolamide and metabolite are generally below the assay limit of quantitation (15nM). Dorzolamide binds moderately to plasma proteins (approximately 33%).

Dorzolamide is primarily excreted unchanged in the urine; the metabolite also is excreted in urine. After dosing is stopped, dorzolamide washes out of RBCs nonlinearly, resulting in a rapid decline of drug concentration initially, followed by a slower elimination phase with a half-life of about four months.

To simulate the systemic exposure after long-term topical ocular administration, dorzolamide was given orally to eight healthy subjects for up to 20 weeks. The oral dose of 2 mg twice daily closely approximates the amount of drug delivered by topical ocular administration of dorzolamide 2% three times daily. Steady state was reached within 8 weeks. The inhibition of CA-II and total carbonic anhydrase activities was below the degree of inhibition anticipated to be necessary for a pharmacological effect on renal function and respiration in healthy individuals.

5.4 Allergic Reactions

In clinical studies, local ocular adverse effects, primarily conjunctivitis and lid reactions, were reported with chronic administration of Dorzolamide Hydrochloride Ophthalmic Solution. Many of these reactions had the clinical appearance and course of an allergic-type reaction that resolved upon discontinuation of drug therapy. If such reactions are observed, Dorzolamide Hydrochloride Ophthalmic Solution should be discontinued and the patient evaluated before considering restarting the drug [see Adverse Reactions (6)].

1 Indications and Usage

Dorzolamide Hydrochloride Ophthalmic Solution is indicated in the treatment of elevated intraocular pressure in patients with ocular hypertension or open-angle glaucoma.

5.2 Bacterial Keratitis

There have been reports of bacterial keratitis associated with the use of multiple-dose containers of topical ophthalmic products. These containers had been inadvertently contaminated by patients who, in most cases, had a concurrent corneal disease or a disruption of the ocular epithelial surface.

5.3 Corneal Endothelium

Carbonic anhydrase activity has been observed in both the cytoplasm and around the plasma membranes of the corneal endothelium. There is an increased potential for developing corneal edema in patients with low endothelial cell counts. Caution should be used when prescribing Dorzolamide Hydrochloride Ophthalmic Solution to this group of patients.

12.1 Mechanism of Action

Carbonic anhydrase (CA) is an enzyme found in many tissues of the body including the eye. It catalyzes the reversible reaction involving the hydration of carbon dioxide and the dehydration of carbonic acid. In humans, carbonic anhydrase exists as a number of isoenzymes, the most active being carbonic anhydrase II (CA-II), found primarily in red blood cells (RBCs), but also in other tissues. Inhibition of carbonic anhydrase in the ciliary processes of the eye decreases aqueous humor secretion, presumably by slowing the formation of bicarbonate ions with subsequent reduction in sodium and fluid transport. The result is a reduction in intraocular pressure (IOP).

Dorzolamide Hydrochloride Ophthalmic Solution contains dorzolamide hydrochloride, an inhibitor of human carbonic anhydrase II. Following topical ocular administration, Dorzolamide Hydrochloride Ophthalmic Solution reduces elevated intraocular pressure. Elevated intraocular pressure is a major risk factor in the pathogenesis of optic nerve damage and glaucomatous visual field loss.

5 Warnings and Precautions
  • Sulfonamide Hypersensitivity (5.1)
  • Bacterial Keratitis (5.2)
  • Corneal Endothelium (5.3)
  • Allergic Reactions (5.4)
  • Acute Angle-Closure Glaucoma (5.5)
2 Dosage and Administration

The dose is one drop of Dorzolamide Hydrochloride Ophthalmic Solution in the affected eye(s) three times daily.

Dorzolamide Hydrochloride Ophthalmic Solution may be used concomitantly with other topical ophthalmic drug products to lower intraocular pressure. If more than one topical ophthalmic drug is being used, the drugs should be administered at least five minutes apart.

3 Dosage Forms and Strengths

Ophthalmic solution containing dorzolamide 2% (20 mg per mL) equivalent to 22.3 mg per mL of dorzolamide hydrochloride, USP.

6.2 Post Marketing Experience

The following adverse reactions have been identified during post-approval use of Dorzolamide Hydrochloride Ophthalmic Solution. Because these reactions are reported voluntarily from a population of uncertain size, it is not always possible to reliably estimate their frequency or establish a causal relationship to drug exposure: signs and symptoms of systemic allergic reactions including angioedema, bronchospasm, pruritus, and urticaria; Stevens-Johnson syndrome and toxic epidermal necrolysis; dizziness, paresthesia; ocular pain, transient myopia, choroidal detachment following filtration surgery, eyelid crusting; dyspnea; contact dermatitis, epistaxis, dry mouth and throat irritation.

6.1 Clinical Trials Experience

Because clinical trials are conducted under widely varying conditions, adverse reaction rates observed in the clinical trials of a drug cannot be directly compared to rates in the clinical trials of another drug and may not reflect the rates observed in practice.

5.1 Sulfonamide Hypersensitivity

Dorzolamide Hydrochloride Ophthalmic Solution contains dorzolamide, a sulfonamide; and although administered topically, it is absorbed systemically. Therefore, the same types of adverse reactions that are attributable to sulfonamides may occur with topical administration of Dorzolamide Hydrochloride Ophthalmic Solution. Fatalities have occurred, although rarely, due to severe reactions to sulfonamides including Stevens-Johnson syndrome, toxic epidermal necrolysis, fulminant hepatic necrosis, agranulocytosis, aplastic anemia, and other blood dyscrasias. Sensitization may recur when a sulfonamide is readministered irrespective of the route of administration. If signs of serious reactions or hypersensitivity occur, discontinue the use of this preparation [see Contraindications (4)].

5.5 Acute Angle Closure Glaucoma

The management of patients with acute angle-closure glaucoma requires therapeutic interventions in addition to ocular hypotensive agents.

7.2 High Dose Salicylate Therapy

Although acid-base and electrolyte disturbances were not reported in the clinical trials with dorzolamide hydrochloride ophthalmic solution, these disturbances have been reported with oral carbonic anhydrase inhibitors and have, in some instances, resulted in drug interactions (e.g., toxicity associated with high-dose salicylate therapy). Therefore, the potential for such drug interactions should be considered in patients receiving Dorzolamide Hydrochloride Ophthalmic Solution.

8.6 Renal and Hepatic Impairment

Dorzolamide has not been studied in patients with severe renal impairment (CrCl < 30 mL/min). Because dorzolamide and its metabolite are excreted predominantly by the kidney, Dorzolamide Hydrochloride Ophthalmic Solution is not recommended in such patients.

Dorzolamide has not been studied in patients with hepatic impairment and should therefore be used with caution in such patients.

17 Patient Counseling Information

Advise the patient to read the FDA-approved patient labeling (Instructions for Use).

16 How Supplied/storage and Handling

Dorzolamide Hydrochloride Ophthalmic Solution, USP 2% is supplied in 10 mL ratchet modified screw neck white LDPE bottle with LDPE nozzle having white Opaque pump with a dip tube and Orange color ring modified HDPE screw cap as follows:

NDC Dorzolamide Hydrochloride Ophthalmic

Solution, USP 2%
Package Factor
25021-006-10 10 mL fill 1 bottle per carton
7.1 Oral Carbonic Anhydrase Inhibitors

There is a potential for an additive effect on the known systemic effects of carbonic anhydrase inhibition in patients receiving an oral carbonic anhydrase inhibitor and Dorzolamide Hydrochloride Ophthalmic Solution. The concomitant administration of Dorzolamide Hydrochloride Ophthalmic Solution and oral carbonic anhydrase inhibitors is not recommended.

13.1 Carcinogenesis, Mutagenesis, Impairment of Fertility

In a two-year study of dorzolamide hydrochloride administered orally to male and female Sprague-Dawley rats, urinary bladder papillomas were seen in male rats in the highest dosage group of 20 mg/kg/day. Papillomas were not seen in rats given oral doses of 1 mg/kg/day. These doses represent estimated plasma Cmax levels in rats, 138 and 7 times higher than the lower limit of detection in human plasma following ocular administration, respectively.

No treatment-related tumors were seen in a 21-month study in female and male mice given oral doses up to 75 mg/kg/day. This dose represents an estimated plasma Cmax level in mice, 582 times higher than the lower limit of detection in human plasma following ocular administration.

The increased incidence of urinary bladder papillomas seen in the high-dose male rats is a class-effect of carbonic anhydrase inhibitors in rats. Rats are particularly prone to developing papillomas in response to foreign bodies, compounds causing crystalluria, and diverse sodium salts.

No changes in bladder urothelium were seen in dogs given oral dorzolamide hydrochloride for one year at 2 mg/kg/day or monkeys dosed topically to the eye for one year. An oral dose of 2 mg/kg/day in dogs represents an estimated plasma Cmax level, 137 times higher than the lower limit of detection in human plasma following ocular administration. The topical ophthalmic dose in monkeys was approximately equivalent to the human topical ophthalmic dose.

The following tests for mutagenic potential were negative: (1) in vivo (mouse) cytogenetic assay; (2) in vitro chromosomal aberration assay; (3) alkaline elution assay; (4) V-79 assay; and (5) Ames test.

In fertility studies of dorzolamide hydrochloride in rats, there were no adverse effects on the reproductive capacity of males or females at doses of 15 and 7.5 mg/kg/day, respectively. These doses represent estimated plasma Cmax levels in rats, 103 and 52 times higher than the lower limit of detection in human plasma following ocular administration, respectively.


Structured Label Content

Section 42229-5 (42229-5)

Controlled clinical trials: The most frequent adverse reactions associated with Dorzolamide Hydrochloride Ophthalmic Solution were ocular burning, stinging, or discomfort immediately following ocular administration (approximately one-third of patients). Approximately one-quarter of patients noted a bitter taste following administration. Superficial punctate keratitis occurred in 10 to 15% of patients and signs and symptoms of ocular allergic reaction in approximately 10%. Reactions occurring in approximately 1 to 5% of patients were conjunctivitis and lid reactions [see Warnings and Precautions (5.4)], blurred vision, eye redness, tearing, dryness, and photophobia. Other ocular reactions and systemic reactions were reported infrequently, including headache, nausea, asthenia/fatigue; and, rarely, skin rashes, urolithiasis, and iridocyclitis.

In a 3-month, double-masked, active-treatment-controlled, multicenter study in pediatric patients, the adverse reactions profile of Dorzolamide Hydrochloride Ophthalmic Solution was comparable to that seen in adult patients.

Section 42230-3 (42230-3)

INSTRUCTIONS FOR USE

Dorzolamide Hydrochloride Ophthalmic Solution, USP 2% (dor ZOL a mide)

Before using your dorzolamide hydrochloride ophthalmic solution

Before using your dorzolamide hydrochloride ophthalmic solution, for the first time, make sure the tamper evident ring of the bottle is unbroken. A gap between the bottle and the cap is normal for an unopened bottle. See Figure A .

Figure A

Step 1. Wash your hands.

Step 2. To open the bottle for the first time, hold the bottle upright, turn the cap counter-clockwise to break the tamper-evident ring. See Figure B.

Figure B

Step 3. Unscrew the cap by turning further in the direction as shown in the Figure C until the cap comes-off. The tamper-evident ring will remain in the bottle neck.

Figure C

Giving your dorzolamide hydrochloride ophthalmic solution drops.

Step 4. Tilt your head back and pull your lower eyelid down slightly to form a pocket between your eyelid and your eye. See Figure D.

Figure D

Step 5. Hold the dorzolamide hydrochloride ophthalmic solution, USP 2% bottle upside down. Place tip as close as possible to the lower eyelid without touching the tip to the eye, and gently squeeze until a single drop is placed in your eye. Do not touch your eye or eyelid with the dropper tip. See Figure E.

Figure E

Step 6. The dispenser tip is designed to provide a pre-measured drop; therefore, do NOT enlarge the hole of the dispenser tip.

Step 7. If your doctor has told you to use Dorzolamide Hydrochloride Ophthalmic Solution, USP 2% in both eyes, repeat steps 4 and 5.

After using your dorzolamide hydrochloride ophthalmic solution

Step 8. Replace the cap by turning it until it is firmly touching your bottle. (see Figure F ).

Figure F

After you have used all of your dorzolamide hydrochloride ophthalmic solution, USP 2% doses, there will be some dorzolamide hydrochloride ophthalmic solution, USP 2% medicine left in the dispenser. Do not try to remove the extra medicine from the dorzolamide hydrochloride ophthalmic solution, USP 2% dispenser. Throw away your dorzolamide hydrochloride ophthalmic solution, USP 2% dispenser in your household trash.

How should I store dorzolamide hydrochloride ophthalmic solution?

  • Store dorzolamide hydrochloride ophthalmic solution between 15° to 30°C (59° to 86°F)
  • Protect from light
  • After opening, dorzolamide hydrochloride ophthalmic solution can be used until the expiration date on the bottle.
  • Safely throw away medicine that is out of date or no longer needed.

KEEP DORZOLAMIDE HYDROCHLORIDE OPHTHALMIC SOLUTION AND ALL MEDICINES OUT OF THE REACH OF CHILDREN.

Important information about using dorzolamide hydrochloride ophthalmic solution

  • If you have any eye or skin reactions, especially conjunctivitis or eyelid reactions to dorzolamide hydrochloride ophthalmic solution, stop using it and call your doctor right away.
  • If you have eye surgery or have a problem such as trauma or infection of your eye while using dorzolamide hydrochloride ophthalmic solution, call your doctor right away.
  • If you do not handle eye medicines the right way the medicine can become contaminated. If the tip of the dispenser touches your eye or areas around your eye, the tip can become contaminated with bacteria which can cause an eye infection and other serious problems including loss of eyesight.
  • If you use other eye medicines dropped onto the eye like dorzolamide hydrochloride ophthalmic solution, use the medicines at least 5 minutes before or after you use dorzolamide hydrochloride ophthalmic solution.
  • Dorzolamide hydrochloride ophthalmic solution contains benzalkonium chloride which may be absorbed by soft contact lenses. If you wear contact lenses, remove them before you use your dorzolamide hydrochloride ophthalmic solution. You can place your contact lenses back into your eyes 15 minutes after using your dorzolamide hydrochloride ophthalmic solution.

This Instructions for Use has been approved by the U.S. Food and Drug Administration.

sagent ®

Mfd. for SAGENT Pharmaceuticals

Schaumburg, IL 60173 (USA)

Made in India

©2025 Sagent Pharmaceuticals

August 2025

Section 44425-7 (44425-7)

Storage Conditions

Store at 15° to 30°C (59° to 86°F). After opening, Dorzolamide Hydrochloride Ophthalmic Solution, USP 2% can be used until the expiration date on the bottle.

Protect from light.

Sterile, Nonpyrogenic.

The container closure is not made with natural rubber latex.

Section 51945-4 (51945-4)

PACKAGE LABEL – PRINCIPAL DISPLAY PANEL – Bottle Label

NDC 25021-006-10

Rx only

Dorzolamide Hydrochloride Ophthalmic Solution, USP

2% 10 mL

Sterile

For Topical Application in the Eye

10 Overdosage (10 OVERDOSAGE)

Electrolyte imbalance, development of an acidotic state, and possible central nervous system effects may occur. Serum electrolyte levels (particularly potassium) and blood pH levels should be monitored.

11 Description (11 DESCRIPTION)

Dorzolamide Hydrochloride Ophthalmic Solution, USP is a carbonic anhydrase inhibitor formulated for topical ophthalmic use.

Dorzolamide hydrochloride, USP is described chemically as: (4S-trans)-4-(ethylamino)-5,6-dihydro-6-methyl-4H-thieno[2,3-b]thiopyran-2-sulfonamide 7,7-dioxide monohydrochloride. Dorzolamide hydrochloride, USP is optically active. The specific rotation is

[α]           25°C (C=1,water) = ~ - 17°.

                405 nm

Its empirical formula is C10H16N2O4S3.HCl and its structural formula is:

Dorzolamide hydrochloride, USP has a molecular weight of 360.9 and a melting point of about 264°C. It is a white to almost white crystalline powder, which is soluble in water and slightly soluble in methanol and very slightly soluble in anhydrous ethanol.

Dorzolamide Hydrochloride Ophthalmic Solution, USP is supplied as a sterile, isotonic, buffered, slightly viscous, aqueous solution of dorzolamide hydrochloride, USP. The pH of the solution is approximately 5.4 to 5.9, and the osmolarity is 260 to 330 mOsM. Each mL of Dorzolamide Hydrochloride Ophthalmic Solution, USP 2% contains 20 mg dorzolamide (22.3 mg of dorzolamide hydrochloride, USP). Inactive ingredients are hydroxyethyl cellulose, mannitol, sodium citrate dihydrate, sodium hydroxide (to adjust pH) and water for injection. Benzalkonium chloride 0.0075% is added as a preservative.

8.4 Pediatric Use

Safety and effectiveness of Dorzolamide Hydrochloride Ophthalmic Solution have been demonstrated in pediatric patients in a 3-month, multicenter, double-masked, active-treatment-controlled trial.

8.5 Geriatric Use

No overall differences in safety or effectiveness have been observed between elderly and younger patients.

14 Clinical Studies (14 CLINICAL STUDIES)

The efficacy of Dorzolamide Hydrochloride Ophthalmic Solution was demonstrated in clinical studies in the treatment of elevated intraocular pressure in patients with glaucoma or ocular hypertension (baseline IOP ≥ 23 mmHg). The IOP-lowering effect of Dorzolamide Hydrochloride Ophthalmic Solution was approximately 3 to 5 mmHg throughout the day and this was consistent in clinical studies of up to one year duration.

The efficacy of Dorzolamide Hydrochloride Ophthalmic Solution when dosed less frequently than three times a day (alone or in combination with other products) has not been established.

In a one year clinical study, the effect of Dorzolamide Hydrochloride Ophthalmic Solution 2% three times daily on the corneal endothelium was compared to that of betaxolol ophthalmic solution twice daily and timolol maleate ophthalmic solution 0.5% twice daily. There were no statistically significant differences between groups in corneal endothelial cell counts or in corneal thickness measurements. There was a mean loss of approximately 4% in the endothelial cell counts for each group over the one year period.

4 Contraindications (4 CONTRAINDICATIONS)

Dorzolamide Hydrochloride Ophthalmic Solution is contraindicated in patients who are hypersensitive to any component of this product [see Warnings and Precautions (5.1)].

6 Adverse Reactions (6 ADVERSE REACTIONS)

The most frequently reported adverse reactions associated with Dorzolamide Hydrochloride Ophthalmic Solution were ocular burning, stinging, or discomfort immediately following ocular administration (approximately one-third of patients). Approximately one-quarter of patients noted a bitter taste following administration. Superficial punctate keratitis occurred in 10 to 15% of patients and signs and symptoms of ocular allergic reaction in approximately 10%. (6)



To report SUSPECTED ADVERSE REACTIONS, contact Sagent Pharmaceuticals at 1-866-625-1618 or FDA at 1-800-FDA-1088 or www.fda.gov/medwatch .



7 Drug Interactions (7 DRUG INTERACTIONS)

Potential additive effect of oral carbonic anhydrase inhibitor with Dorzolamide Hydrochloride Ophthalmic Solution. (7.1)



Potential acid-base and electrolyte disturbances. (7.2)



12.3 Pharmacokinetics

When topically applied, dorzolamide reaches the systemic circulation. To assess the potential for systemic carbonic anhydrase inhibition following topical administration, drug and metabolite concentrations in RBCs and plasma and carbonic anhydrase inhibition in RBCs were measured.

Dorzolamide accumulates in RBCs during chronic dosing as a result of binding to CA-II. The parent drug forms a single N-desethyl metabolite, which inhibits CA-II less potently than the parent drug but also inhibits CA-I. The metabolite also accumulates in RBCs where it binds primarily to CA-I. Plasma concentrations of dorzolamide and metabolite are generally below the assay limit of quantitation (15nM). Dorzolamide binds moderately to plasma proteins (approximately 33%).

Dorzolamide is primarily excreted unchanged in the urine; the metabolite also is excreted in urine. After dosing is stopped, dorzolamide washes out of RBCs nonlinearly, resulting in a rapid decline of drug concentration initially, followed by a slower elimination phase with a half-life of about four months.

To simulate the systemic exposure after long-term topical ocular administration, dorzolamide was given orally to eight healthy subjects for up to 20 weeks. The oral dose of 2 mg twice daily closely approximates the amount of drug delivered by topical ocular administration of dorzolamide 2% three times daily. Steady state was reached within 8 weeks. The inhibition of CA-II and total carbonic anhydrase activities was below the degree of inhibition anticipated to be necessary for a pharmacological effect on renal function and respiration in healthy individuals.

5.4 Allergic Reactions

In clinical studies, local ocular adverse effects, primarily conjunctivitis and lid reactions, were reported with chronic administration of Dorzolamide Hydrochloride Ophthalmic Solution. Many of these reactions had the clinical appearance and course of an allergic-type reaction that resolved upon discontinuation of drug therapy. If such reactions are observed, Dorzolamide Hydrochloride Ophthalmic Solution should be discontinued and the patient evaluated before considering restarting the drug [see Adverse Reactions (6)].

1 Indications and Usage (1 INDICATIONS AND USAGE)

Dorzolamide Hydrochloride Ophthalmic Solution is indicated in the treatment of elevated intraocular pressure in patients with ocular hypertension or open-angle glaucoma.

5.2 Bacterial Keratitis

There have been reports of bacterial keratitis associated with the use of multiple-dose containers of topical ophthalmic products. These containers had been inadvertently contaminated by patients who, in most cases, had a concurrent corneal disease or a disruption of the ocular epithelial surface.

5.3 Corneal Endothelium

Carbonic anhydrase activity has been observed in both the cytoplasm and around the plasma membranes of the corneal endothelium. There is an increased potential for developing corneal edema in patients with low endothelial cell counts. Caution should be used when prescribing Dorzolamide Hydrochloride Ophthalmic Solution to this group of patients.

12.1 Mechanism of Action

Carbonic anhydrase (CA) is an enzyme found in many tissues of the body including the eye. It catalyzes the reversible reaction involving the hydration of carbon dioxide and the dehydration of carbonic acid. In humans, carbonic anhydrase exists as a number of isoenzymes, the most active being carbonic anhydrase II (CA-II), found primarily in red blood cells (RBCs), but also in other tissues. Inhibition of carbonic anhydrase in the ciliary processes of the eye decreases aqueous humor secretion, presumably by slowing the formation of bicarbonate ions with subsequent reduction in sodium and fluid transport. The result is a reduction in intraocular pressure (IOP).

Dorzolamide Hydrochloride Ophthalmic Solution contains dorzolamide hydrochloride, an inhibitor of human carbonic anhydrase II. Following topical ocular administration, Dorzolamide Hydrochloride Ophthalmic Solution reduces elevated intraocular pressure. Elevated intraocular pressure is a major risk factor in the pathogenesis of optic nerve damage and glaucomatous visual field loss.

5 Warnings and Precautions (5 WARNINGS AND PRECAUTIONS)
  • Sulfonamide Hypersensitivity (5.1)
  • Bacterial Keratitis (5.2)
  • Corneal Endothelium (5.3)
  • Allergic Reactions (5.4)
  • Acute Angle-Closure Glaucoma (5.5)
2 Dosage and Administration (2 DOSAGE AND ADMINISTRATION)

The dose is one drop of Dorzolamide Hydrochloride Ophthalmic Solution in the affected eye(s) three times daily.

Dorzolamide Hydrochloride Ophthalmic Solution may be used concomitantly with other topical ophthalmic drug products to lower intraocular pressure. If more than one topical ophthalmic drug is being used, the drugs should be administered at least five minutes apart.

3 Dosage Forms and Strengths (3 DOSAGE FORMS AND STRENGTHS)

Ophthalmic solution containing dorzolamide 2% (20 mg per mL) equivalent to 22.3 mg per mL of dorzolamide hydrochloride, USP.

6.2 Post Marketing Experience (6.2 Post-Marketing Experience)

The following adverse reactions have been identified during post-approval use of Dorzolamide Hydrochloride Ophthalmic Solution. Because these reactions are reported voluntarily from a population of uncertain size, it is not always possible to reliably estimate their frequency or establish a causal relationship to drug exposure: signs and symptoms of systemic allergic reactions including angioedema, bronchospasm, pruritus, and urticaria; Stevens-Johnson syndrome and toxic epidermal necrolysis; dizziness, paresthesia; ocular pain, transient myopia, choroidal detachment following filtration surgery, eyelid crusting; dyspnea; contact dermatitis, epistaxis, dry mouth and throat irritation.

6.1 Clinical Trials Experience

Because clinical trials are conducted under widely varying conditions, adverse reaction rates observed in the clinical trials of a drug cannot be directly compared to rates in the clinical trials of another drug and may not reflect the rates observed in practice.

5.1 Sulfonamide Hypersensitivity

Dorzolamide Hydrochloride Ophthalmic Solution contains dorzolamide, a sulfonamide; and although administered topically, it is absorbed systemically. Therefore, the same types of adverse reactions that are attributable to sulfonamides may occur with topical administration of Dorzolamide Hydrochloride Ophthalmic Solution. Fatalities have occurred, although rarely, due to severe reactions to sulfonamides including Stevens-Johnson syndrome, toxic epidermal necrolysis, fulminant hepatic necrosis, agranulocytosis, aplastic anemia, and other blood dyscrasias. Sensitization may recur when a sulfonamide is readministered irrespective of the route of administration. If signs of serious reactions or hypersensitivity occur, discontinue the use of this preparation [see Contraindications (4)].

5.5 Acute Angle Closure Glaucoma (5.5 Acute Angle-Closure Glaucoma)

The management of patients with acute angle-closure glaucoma requires therapeutic interventions in addition to ocular hypotensive agents.

7.2 High Dose Salicylate Therapy (7.2 High-Dose Salicylate Therapy)

Although acid-base and electrolyte disturbances were not reported in the clinical trials with dorzolamide hydrochloride ophthalmic solution, these disturbances have been reported with oral carbonic anhydrase inhibitors and have, in some instances, resulted in drug interactions (e.g., toxicity associated with high-dose salicylate therapy). Therefore, the potential for such drug interactions should be considered in patients receiving Dorzolamide Hydrochloride Ophthalmic Solution.

8.6 Renal and Hepatic Impairment

Dorzolamide has not been studied in patients with severe renal impairment (CrCl < 30 mL/min). Because dorzolamide and its metabolite are excreted predominantly by the kidney, Dorzolamide Hydrochloride Ophthalmic Solution is not recommended in such patients.

Dorzolamide has not been studied in patients with hepatic impairment and should therefore be used with caution in such patients.

17 Patient Counseling Information (17 PATIENT COUNSELING INFORMATION)

Advise the patient to read the FDA-approved patient labeling (Instructions for Use).

16 How Supplied/storage and Handling (16 HOW SUPPLIED/STORAGE AND HANDLING)

Dorzolamide Hydrochloride Ophthalmic Solution, USP 2% is supplied in 10 mL ratchet modified screw neck white LDPE bottle with LDPE nozzle having white Opaque pump with a dip tube and Orange color ring modified HDPE screw cap as follows:

NDC Dorzolamide Hydrochloride Ophthalmic

Solution, USP 2%
Package Factor
25021-006-10 10 mL fill 1 bottle per carton
7.1 Oral Carbonic Anhydrase Inhibitors

There is a potential for an additive effect on the known systemic effects of carbonic anhydrase inhibition in patients receiving an oral carbonic anhydrase inhibitor and Dorzolamide Hydrochloride Ophthalmic Solution. The concomitant administration of Dorzolamide Hydrochloride Ophthalmic Solution and oral carbonic anhydrase inhibitors is not recommended.

13.1 Carcinogenesis, Mutagenesis, Impairment of Fertility

In a two-year study of dorzolamide hydrochloride administered orally to male and female Sprague-Dawley rats, urinary bladder papillomas were seen in male rats in the highest dosage group of 20 mg/kg/day. Papillomas were not seen in rats given oral doses of 1 mg/kg/day. These doses represent estimated plasma Cmax levels in rats, 138 and 7 times higher than the lower limit of detection in human plasma following ocular administration, respectively.

No treatment-related tumors were seen in a 21-month study in female and male mice given oral doses up to 75 mg/kg/day. This dose represents an estimated plasma Cmax level in mice, 582 times higher than the lower limit of detection in human plasma following ocular administration.

The increased incidence of urinary bladder papillomas seen in the high-dose male rats is a class-effect of carbonic anhydrase inhibitors in rats. Rats are particularly prone to developing papillomas in response to foreign bodies, compounds causing crystalluria, and diverse sodium salts.

No changes in bladder urothelium were seen in dogs given oral dorzolamide hydrochloride for one year at 2 mg/kg/day or monkeys dosed topically to the eye for one year. An oral dose of 2 mg/kg/day in dogs represents an estimated plasma Cmax level, 137 times higher than the lower limit of detection in human plasma following ocular administration. The topical ophthalmic dose in monkeys was approximately equivalent to the human topical ophthalmic dose.

The following tests for mutagenic potential were negative: (1) in vivo (mouse) cytogenetic assay; (2) in vitro chromosomal aberration assay; (3) alkaline elution assay; (4) V-79 assay; and (5) Ames test.

In fertility studies of dorzolamide hydrochloride in rats, there were no adverse effects on the reproductive capacity of males or females at doses of 15 and 7.5 mg/kg/day, respectively. These doses represent estimated plasma Cmax levels in rats, 103 and 52 times higher than the lower limit of detection in human plasma following ocular administration, respectively.


Advanced Ingredient Data


Raw Label Data

All Sections (JSON)