These Highlights Do Not Include All The Information Needed To Use Divalproex Sodium Delayed-release Tablets Safely And Effectively. See Full Prescribing Information For Divalproex Sodium Delayed-release Tablets.

These Highlights Do Not Include All The Information Needed To Use Divalproex Sodium Delayed-release Tablets Safely And Effectively. See Full Prescribing Information For Divalproex Sodium Delayed-release Tablets.
SPL v18
SPL
SPL Set ID 02304a23-4a5f-47bc-9687-4044b43f7a20
Route
ORAL
Published
Effective Date 2023-06-01
Document Type 34391-3 HUMAN PRESCRIPTION DRUG LABEL

Drug Facts

Composition & Product

Active Ingredients
Valproic Acid (125 mg)
Inactive Ingredients
Methacrylic Acid And Ethyl Acrylate Copolymer Povidone, Unspecified Starch, Corn Silicon Dioxide Sodium Bicarbonate Sodium Lauryl Sulfate Talc Triethyl Citrate Titanium Dioxide Vanillin Fd&c Red No. 40 Fd&c Yellow No. 6 Ferric Oxide Red

Identifiers & Packaging

Pill Appearance
Imprint: U;S;500 Shape: oval Color: pink Size: 12 mm Size: 15 mm Size: 19 mm Score: 1
Marketing Status
ANDA Completed Since 2014-03-21 Until 2027-10-31

Description

WARNING: LIFE THREATENING ADVERSE REACTIONS See full prescribing information for complete boxed warning. Hepatotoxicity, including fatalities, usually during the first 6 months of treatment. Children under the age of two years and patients with mitochondrial disorders are at higher risk. Monitor patients closely, and perform serum liver testing prior to therapy and at frequent intervals thereafter ( 5.1 ) Fetal Risk, particularly neural tube defects, other major malformations, and decreased IQ ( 5.2 , 5.3 , 5.4 ) Pancreatitis, including fatal hemorrhagic cases ( 5.5 )

Indications and Usage

Divalproex sodium delayed-release tablets are an anti-epileptic drug indicated for: Treatment of manic episodes associated with bipolar disorder ( 1.1 ) Monotherapy and adjunctive therapy of complex partial seizures and simple and complex absence seizures; adjunctive therapy in patients with multiple seizure types that include absence seizures ( 1.2 ) Prophylaxis of migraine headaches ( 1.3 )

Dosage and Administration

Divalproex sodium delayed-release tablets are intended for oral administration. Divalproex sodium delayed-release tablets should be swallowed whole and should not be crushed or chewed. Patients should be informed to take divalproex sodium delayed-release tablets every day as prescribed. If a dose is missed it should be taken as soon as possible, unless it is almost time for the next dose. If a dose is skipped, the patient should not double the next dose.

Warnings and Precautions

Hepatotoxicity; evaluate high risk populations and monitor serum liver tests ( 5.1 ) Birth defects, decreased IQ, and neurodevelopmental disorders following in utero exposure; should not be used to treat women with epilepsy or bipolar disorder who are pregnant or who plan to become pregnant or to treat a woman of childbearing potential unless other medications have failed to provide adequate symptom control or are otherwise unacceptable ( 5.2 , 5.3 , 5.4 ) Pancreatitis; divalproex sodium delayed-release tablets should ordinarily be discontinued ( 5.5 ) Suicidal behavior or ideation; Antiepileptic drugs, including divalproex sodium delayed-release tablets, increase the risk of suicidal thoughts or behavior ( 5.7 ) Bleeding and other hematopoietic disorders; monitor platelet counts and coagulation tests ( 5.8 ) Hyperammonemia and hyperammonemic encephalopathy; measure ammonia level if unexplained lethargy and vomiting or changes in mental status, and also with concomitant topiramate use; consider discontinuation of valproate therapy ( 5.6 , 5.9 , 5.10 ) Hypothermia; Hypothermia has been reported during valproate therapy with or without associated hyperammonemia. This adverse reaction can also occur in patients using concomitant topiramate ( 5.11 ) Drug Reaction with Eosinophilia and Systemic Symptoms (DRESS)/Multiorgan hypersensitivity reaction; discontinue divalproex sodium delayed-release tablets ( 5.12 ) Somnolence in the elderly can occur. Divalproex sodium delayed-release tablets dosage should be increased slowly and with regular monitoring for fluid and nutritional intake ( 5.14 )

Contraindications

Divalproex sodium delayed-release tablets should not be administered to patients with hepatic disease or significant hepatic dysfunction [see Warnings and Precautions (5.1) ] . Divalproex sodium delayed-release tablets are contraindicated in patients known to have mitochondrial disorders caused by mutations in mitochondrial DNA polymerase γ (POLG; e.g., Alpers-Huttenlocher Syndrome) and children under two years of age who are suspected of having a POLG-related disorder [see Warnings and Precautions (5.1) ] . Divalproex sodium delayed-release tablets are contraindicated in patients with known hypersensitivity to the drug [see Warnings and Precautions (5.12) ] . Divalproex sodium delayed-release tablets are contraindicated in patients with known urea cycle disorders [see Warnings and Precautions (5.6) ] . For use in prophylaxis of migraine headaches: Divalproex sodium delayed-release tablets are contraindicated in women who are pregnant and in women of childbearing potential who are not using effective contraception [see Warnings and Precautions (5.2 , 5.3 , 5.4) and Use in Specific Populations (8.1) ] .

Adverse Reactions

WARNING: LIFE THREATENING ADVERSE REACTIONS See full prescribing information for complete boxed warning. Hepatotoxicity, including fatalities, usually during the first 6 months of treatment. Children under the age of two years and patients with mitochondrial disorders are at higher risk. Monitor patients closely, and perform serum liver testing prior to therapy and at frequent intervals thereafter ( 5.1 ) Fetal Risk, particularly neural tube defects, other major malformations, and decreased IQ ( 5.2 , 5.3 , 5.4 ) Pancreatitis, including fatal hemorrhagic cases ( 5.5 )

Drug Interactions

Hepatic enzyme-inducing drugs (e.g., phenytoin, carbamazepine, phenobarbital, primidone, rifampin) can increase valproate clearance, while enzyme inhibitors (e.g., felbamate) can decrease valproate clearance. Therefore increased monitoring of valproate and concomitant drug concentrations and dosage adjustment are indicated whenever enzyme-inducing or inhibiting drugs are introduced or withdrawn ( 7.1 ) Aspirin, carbapenem antibiotics, estrogen-containing hormonal contraceptives, methotrexate: Monitoring of valproate concentrations is recommended ( 7.1 ) Co-administration of valproate can affect the pharmacokinetics of other drugs (e.g. diazepam, ethosuximide, lamotrigine, phenytoin) by inhibiting their metabolism or protein binding displacement ( 7.2 ) Patients stabilized on rufinamide should begin valproate therapy at a low dose, and titrate to clinically effective dose ( 7.2 ) Dosage adjustment of amitriptyline/nortriptyline, propofol, warfarin, and zidovudine may be necessary if used concomitantly with divalproex sodium delayed-release tablets ( 7.2 ) Topiramate: Hyperammonemia and encephalopathy ( 5.10 , 7.3 ) Cannabidiol: ALT and/or AST elevation ( 7.4 )

Storage and Handling

Divalproex sodium delayed-release tablets, USP are supplied as 125 mg, 250 mg and 500 mg (as valproic acid) tablets for oral administration. The 125 mg (as valproic acid) tablets are rose-colored, enteric-coated, capsule-shaped, imprinted with "U-S 125". The 250 mg (as valproic acid) tablets are peach-colored, enteric-coated, capsule-shaped, imprinted with "U-S 250". The 500 mg (as valproic acid) tablets are light pink-colored, enteric-coated, capsule-shaped, imprinted with "U-S 500". 125 mg (as valproic acid) tablets: Bottles of 100 with a child-resistant closure, NDC 0832-7122-11 NDC 0832-7122-15 Bottles of 500 250 mg (as valproic acid) tablets: Bottles of 100 with a child-resistant closure, NDC 0832-7123-11 NDC 0832-7123-15 Bottles of 500 NDC 0832-7123-01 Unit Dose Cartons of 100 500 mg (as valproic acid) tablets: Bottles of 100 with a child resistant closure, NDC 0832-7124-11 NDC 0832-7124-15 Bottles of 500 NDC 0832-7124-01 Unit Dose Cartons of 100

How Supplied

Divalproex sodium delayed-release tablets, USP are supplied as 125 mg, 250 mg and 500 mg (as valproic acid) tablets for oral administration. The 125 mg (as valproic acid) tablets are rose-colored, enteric-coated, capsule-shaped, imprinted with "U-S 125". The 250 mg (as valproic acid) tablets are peach-colored, enteric-coated, capsule-shaped, imprinted with "U-S 250". The 500 mg (as valproic acid) tablets are light pink-colored, enteric-coated, capsule-shaped, imprinted with "U-S 500". 125 mg (as valproic acid) tablets: Bottles of 100 with a child-resistant closure, NDC 0832-7122-11 NDC 0832-7122-15 Bottles of 500 250 mg (as valproic acid) tablets: Bottles of 100 with a child-resistant closure, NDC 0832-7123-11 NDC 0832-7123-15 Bottles of 500 NDC 0832-7123-01 Unit Dose Cartons of 100 500 mg (as valproic acid) tablets: Bottles of 100 with a child resistant closure, NDC 0832-7124-11 NDC 0832-7124-15 Bottles of 500 NDC 0832-7124-01 Unit Dose Cartons of 100


Medication Information

Warnings and Precautions

Hepatotoxicity; evaluate high risk populations and monitor serum liver tests ( 5.1 ) Birth defects, decreased IQ, and neurodevelopmental disorders following in utero exposure; should not be used to treat women with epilepsy or bipolar disorder who are pregnant or who plan to become pregnant or to treat a woman of childbearing potential unless other medications have failed to provide adequate symptom control or are otherwise unacceptable ( 5.2 , 5.3 , 5.4 ) Pancreatitis; divalproex sodium delayed-release tablets should ordinarily be discontinued ( 5.5 ) Suicidal behavior or ideation; Antiepileptic drugs, including divalproex sodium delayed-release tablets, increase the risk of suicidal thoughts or behavior ( 5.7 ) Bleeding and other hematopoietic disorders; monitor platelet counts and coagulation tests ( 5.8 ) Hyperammonemia and hyperammonemic encephalopathy; measure ammonia level if unexplained lethargy and vomiting or changes in mental status, and also with concomitant topiramate use; consider discontinuation of valproate therapy ( 5.6 , 5.9 , 5.10 ) Hypothermia; Hypothermia has been reported during valproate therapy with or without associated hyperammonemia. This adverse reaction can also occur in patients using concomitant topiramate ( 5.11 ) Drug Reaction with Eosinophilia and Systemic Symptoms (DRESS)/Multiorgan hypersensitivity reaction; discontinue divalproex sodium delayed-release tablets ( 5.12 ) Somnolence in the elderly can occur. Divalproex sodium delayed-release tablets dosage should be increased slowly and with regular monitoring for fluid and nutritional intake ( 5.14 )

Indications and Usage

Divalproex sodium delayed-release tablets are an anti-epileptic drug indicated for: Treatment of manic episodes associated with bipolar disorder ( 1.1 ) Monotherapy and adjunctive therapy of complex partial seizures and simple and complex absence seizures; adjunctive therapy in patients with multiple seizure types that include absence seizures ( 1.2 ) Prophylaxis of migraine headaches ( 1.3 )

Dosage and Administration

Divalproex sodium delayed-release tablets are intended for oral administration. Divalproex sodium delayed-release tablets should be swallowed whole and should not be crushed or chewed. Patients should be informed to take divalproex sodium delayed-release tablets every day as prescribed. If a dose is missed it should be taken as soon as possible, unless it is almost time for the next dose. If a dose is skipped, the patient should not double the next dose.

Contraindications

Divalproex sodium delayed-release tablets should not be administered to patients with hepatic disease or significant hepatic dysfunction [see Warnings and Precautions (5.1) ] . Divalproex sodium delayed-release tablets are contraindicated in patients known to have mitochondrial disorders caused by mutations in mitochondrial DNA polymerase γ (POLG; e.g., Alpers-Huttenlocher Syndrome) and children under two years of age who are suspected of having a POLG-related disorder [see Warnings and Precautions (5.1) ] . Divalproex sodium delayed-release tablets are contraindicated in patients with known hypersensitivity to the drug [see Warnings and Precautions (5.12) ] . Divalproex sodium delayed-release tablets are contraindicated in patients with known urea cycle disorders [see Warnings and Precautions (5.6) ] . For use in prophylaxis of migraine headaches: Divalproex sodium delayed-release tablets are contraindicated in women who are pregnant and in women of childbearing potential who are not using effective contraception [see Warnings and Precautions (5.2 , 5.3 , 5.4) and Use in Specific Populations (8.1) ] .

Adverse Reactions

WARNING: LIFE THREATENING ADVERSE REACTIONS See full prescribing information for complete boxed warning. Hepatotoxicity, including fatalities, usually during the first 6 months of treatment. Children under the age of two years and patients with mitochondrial disorders are at higher risk. Monitor patients closely, and perform serum liver testing prior to therapy and at frequent intervals thereafter ( 5.1 ) Fetal Risk, particularly neural tube defects, other major malformations, and decreased IQ ( 5.2 , 5.3 , 5.4 ) Pancreatitis, including fatal hemorrhagic cases ( 5.5 )

Drug Interactions

Hepatic enzyme-inducing drugs (e.g., phenytoin, carbamazepine, phenobarbital, primidone, rifampin) can increase valproate clearance, while enzyme inhibitors (e.g., felbamate) can decrease valproate clearance. Therefore increased monitoring of valproate and concomitant drug concentrations and dosage adjustment are indicated whenever enzyme-inducing or inhibiting drugs are introduced or withdrawn ( 7.1 ) Aspirin, carbapenem antibiotics, estrogen-containing hormonal contraceptives, methotrexate: Monitoring of valproate concentrations is recommended ( 7.1 ) Co-administration of valproate can affect the pharmacokinetics of other drugs (e.g. diazepam, ethosuximide, lamotrigine, phenytoin) by inhibiting their metabolism or protein binding displacement ( 7.2 ) Patients stabilized on rufinamide should begin valproate therapy at a low dose, and titrate to clinically effective dose ( 7.2 ) Dosage adjustment of amitriptyline/nortriptyline, propofol, warfarin, and zidovudine may be necessary if used concomitantly with divalproex sodium delayed-release tablets ( 7.2 ) Topiramate: Hyperammonemia and encephalopathy ( 5.10 , 7.3 ) Cannabidiol: ALT and/or AST elevation ( 7.4 )

Storage and Handling

Divalproex sodium delayed-release tablets, USP are supplied as 125 mg, 250 mg and 500 mg (as valproic acid) tablets for oral administration. The 125 mg (as valproic acid) tablets are rose-colored, enteric-coated, capsule-shaped, imprinted with "U-S 125". The 250 mg (as valproic acid) tablets are peach-colored, enteric-coated, capsule-shaped, imprinted with "U-S 250". The 500 mg (as valproic acid) tablets are light pink-colored, enteric-coated, capsule-shaped, imprinted with "U-S 500". 125 mg (as valproic acid) tablets: Bottles of 100 with a child-resistant closure, NDC 0832-7122-11 NDC 0832-7122-15 Bottles of 500 250 mg (as valproic acid) tablets: Bottles of 100 with a child-resistant closure, NDC 0832-7123-11 NDC 0832-7123-15 Bottles of 500 NDC 0832-7123-01 Unit Dose Cartons of 100 500 mg (as valproic acid) tablets: Bottles of 100 with a child resistant closure, NDC 0832-7124-11 NDC 0832-7124-15 Bottles of 500 NDC 0832-7124-01 Unit Dose Cartons of 100

How Supplied

Divalproex sodium delayed-release tablets, USP are supplied as 125 mg, 250 mg and 500 mg (as valproic acid) tablets for oral administration. The 125 mg (as valproic acid) tablets are rose-colored, enteric-coated, capsule-shaped, imprinted with "U-S 125". The 250 mg (as valproic acid) tablets are peach-colored, enteric-coated, capsule-shaped, imprinted with "U-S 250". The 500 mg (as valproic acid) tablets are light pink-colored, enteric-coated, capsule-shaped, imprinted with "U-S 500". 125 mg (as valproic acid) tablets: Bottles of 100 with a child-resistant closure, NDC 0832-7122-11 NDC 0832-7122-15 Bottles of 500 250 mg (as valproic acid) tablets: Bottles of 100 with a child-resistant closure, NDC 0832-7123-11 NDC 0832-7123-15 Bottles of 500 NDC 0832-7123-01 Unit Dose Cartons of 100 500 mg (as valproic acid) tablets: Bottles of 100 with a child resistant closure, NDC 0832-7124-11 NDC 0832-7124-15 Bottles of 500 NDC 0832-7124-01 Unit Dose Cartons of 100

Description

WARNING: LIFE THREATENING ADVERSE REACTIONS See full prescribing information for complete boxed warning. Hepatotoxicity, including fatalities, usually during the first 6 months of treatment. Children under the age of two years and patients with mitochondrial disorders are at higher risk. Monitor patients closely, and perform serum liver testing prior to therapy and at frequent intervals thereafter ( 5.1 ) Fetal Risk, particularly neural tube defects, other major malformations, and decreased IQ ( 5.2 , 5.3 , 5.4 ) Pancreatitis, including fatal hemorrhagic cases ( 5.5 )

Section 42229-5

Hepatotoxicity

Section 44425-7

Store at 20° to 25°C (68° to 77°F); excursions permitted to 15° to 30°C (59° to 86°F) [See USP Controlled Room Temperature].

Dispense in a tight, light-resistant container with a child-resistant closure.

1.1 Mania

Divalproex sodium is a valproate and is indicated for the treatment of the manic episodes associated with bipolar disorder. A manic episode is a distinct period of abnormally and persistently elevated, expansive, or irritable mood. Typical symptoms of mania include pressure of speech, motor hyperactivity, reduced need for sleep, flight of ideas, grandiosity, poor judgment, aggressiveness, and possible hostility.

The efficacy of divalproex sodium delayed-release tablets was established in 3-week trials with patients meeting DSM-III-R criteria for bipolar disorder who were hospitalized for acute mania [see Clinical Studies (14.1)] .

The safety and effectiveness of divalproex sodium delayed-release tablets for long-term use in mania, i.e., more than 3 weeks, has not been demonstrated in controlled clinical trials. Therefore, healthcare providers who elect to use divalproex sodium delayed-release tablets for extended periods should continually reevaluate the long-term usefulness of the drug for the individual patient.

2.1 Mania

Divalproex sodium delayed-release tablets are administered orally. The recommended initial dose is 750 mg daily in divided doses. The dose should be increased as rapidly as possible to achieve the lowest therapeutic dose which produces the desired clinical effect or the desired range of plasma concentrations. In placebo-controlled clinical trials of acute mania, patients were dosed to a clinical response with a trough plasma concentration between 50 and 125 mcg/mL. Maximum concentrations were generally achieved within 14 days. The maximum recommended dosage is 60 mg/kg/day.

There is no body of evidence available from controlled trials to guide a clinician in the longer term management of a patient who improves during divalproex sodium delayed-release tablets treatment of an acute manic episode. While it is generally agreed that pharmacological treatment beyond an acute response in mania is desirable, both for maintenance of the initial response and for prevention of new manic episodes, there are no data to support the benefits of divalproex sodium delayed-release tablets in such longer-term treatment. Although there are no efficacy data that specifically address longer-term antimanic treatment with divalproex sodium delayed-release tablets, the safety of divalproex sodium delayed-release tablets in long-term use is supported by data from record reviews involving approximately 360 patients treated with divalproex sodium delayed-release tablets for greater than 3 months.

6.1 Mania

The incidence of treatment-emergent events has been ascertained based on combined data from two three week placebo-controlled clinical trials of divalproex sodium in the treatment of manic episodes associated with bipolar disorder. The adverse reactions were usually mild or moderate in intensity, but sometimes were serious enough to interrupt treatment. In clinical trials, the rates of premature termination due to intolerance were not statistically different between placebo, divalproex sodium, and lithium carbonate. A total of 4%, 8% and 11% of patients discontinued therapy due to intolerance in the placebo, divalproex sodium, and lithium carbonate groups, respectively.

Table 2 summarizes those adverse reactions reported for patients in these trials where the incidence rate in the divalproex sodium-treated group was greater than 5% and greater than the placebo incidence, or where the incidence in the divalproex sodium-treated group was statistically significantly greater than the placebo group. Vomiting was the only reaction that was reported by significantly (p ≤ 0.05) more patients receiving divalproex sodium compared to placebo.

Table 2. Adverse Reactions Reported by > 5% of Divalproex Sodium-Treated Patients During Placebo-Controlled Trials of Acute Mania
The following adverse reactions occurred at an equal or greater incidence for placebo than for divalproex sodium: back pain, headache, constipation, diarrhea, tremor, and pharyngitis.
Adverse Reaction Divalproex Sodium

(n = 89)

%
Placebo

(n = 97)

%
Nausea 22 15
Somnolence 19 12
Dizziness 12 4
Vomiting 12 3
Accidental Injury 11 5
Asthenia 10 7
Abdominal Pain 9 8
Dyspepsia 9 8
Rash 6 3

The following additional adverse reactions were reported by greater than 1% but not more than 5% of the 89 divalproex sodium-treated patients in controlled clinical trials:

Body as a Whole: Chest pain, chills, chills and fever, fever, neck pain, neck rigidity.

Cardiovascular System: Hypertension, hypotension, palpitations, postural hypotension, tachycardia, vasodilation.

Digestive System: Anorexia, fecal incontinence, flatulence, gastroenteritis, glossitis, periodontal abscess.

Hemic and Lymphatic System: Ecchymosis.

Metabolic and Nutritional Disorders: Edema, peripheral edema.

Musculoskeletal System: Arthralgia, arthrosis, leg cramps, twitching.

Nervous System: Abnormal dreams, abnormal gait, agitation, ataxia, catatonic reaction, confusion, depression, diplopia, dysarthria, hallucinations, hypertonia, hypokinesia, insomnia, paresthesia, reflexes increased, tardive dyskinesia, thinking abnormalities, vertigo.

Respiratory System: Dyspnea, rhinitis.

Skin and Appendages: Alopecia, discoid lupus erythematosus, dry skin, furunculosis, maculopapular rash, seborrhea.

Special Senses: Amblyopia, conjunctivitis, deafness, dry eyes, ear pain, eye pain, tinnitus.

Urogenital System: Dysmenorrhea, dysuria, urinary incontinence.

14.1 Mania

The effectiveness of divalproex sodium for the treatment of acute mania was demonstrated in two 3-week, placebo controlled, parallel group studies.

1.2 Epilepsy

Divalproex sodium delayed-release tablets are indicated as monotherapy and adjunctive therapy in the treatment of patients with complex partial seizures that occur either in isolation or in association with other types of seizures. Divalproex sodium delayed-release tablets are also indicated for use as sole and adjunctive therapy in the treatment of simple and complex absence seizures, and adjunctively in patients with multiple seizure types that include absence seizures.

Simple absence is defined as very brief clouding of the sensorium or loss of consciousness accompanied by certain generalized epileptic discharges without other detectable clinical signs. Complex absence is the term used when other signs are also present.

1.3 Migraine

Divalproex sodium delayed-release tablets are indicated for prophylaxis of migraine headaches. There is no evidence that divalproex sodium delayed-release tablets are useful in the acute treatment of migraine headaches.

2.2 Epilepsy

Divalproex sodium delayed-release tablets are administered orally. Divalproex sodium delayed-release tablets are indicated as monotherapy and adjunctive therapy in complex partial seizures in adults and pediatric patients down to the age of 10 years, and in simple and complex absence seizures. As the divalproex sodium delayed-release tablets dosage is titrated upward, concentrations of clonazepam, diazepam, ethosuximide, lamotrigine, tolbutamide, phenobarbital, carbamazepine, and/or phenytoin may be affected [see Drug Interactions (7.2)] .

2.3 Migraine

Divalproex sodium delayed-release tablets are indicated for prophylaxis of migraine headaches in adults.

Divalproex sodium delayed-release tablets are administered orally. The recommended starting dose is 250 mg twice daily. Some patients may benefit from doses up to 1,000 mg/day. In the clinical trials, there was no evidence that higher doses led to greater efficacy.

6.2 Epilepsy

Based on a placebo-controlled trial of adjunctive therapy for treatment of complex partial seizures, divalproex sodium was generally well tolerated with most adverse reactions rated as mild to moderate in severity. Intolerance was the primary reason for discontinuation in the divalproex sodium-treated patients (6%), compared to 1% of placebo-treated patients.

Table 3 lists treatment-emergent adverse reactions which were reported by ≥5% of divalproex sodium-treated patients and for which the incidence was greater than in the placebo group, in the placebo-controlled trial of adjunctive therapy for treatment of complex partial seizures. Since patients were also treated with other antiepilepsy drugs, it is not possible, in most cases, to determine whether the following adverse reactions can be ascribed to divalproex sodium alone, or the combination of divalproex sodium and other antiepilepsy drugs.

Table 3. Adverse Reactions Reported by ≥ 5% of Patients Treated with Divalproex Sodium During Placebo-Controlled Trial of Adjunctive Therapy for Complex Partial Seizures
Body System/Reaction Divalproex Sodium

(n = 77)

%
Placebo

(n = 70)

%
Body as a Whole
  Headache 31 21
  Asthenia 27 7
  Fever 6 4
Gastrointestinal System
  Nausea 48 14
  Vomiting 27 7
  Abdominal Pain 23 6
  Diarrhea 13 6
  Anorexia 12 0
  Dyspepsia 8 4
  Constipation 5 1
Nervous System
  Somnolence 27 11
  Tremor 25 6
  Dizziness 25 13
  Diplopia 16 9
  Amblyopia/Blurred Vision 12 9
  Ataxia 8 1
  Nystagmus 8 1
  Emotional Lability 6 4
  Thinking Abnormal 6 0
  Amnesia 5 1
Respiratory System
  Flu Syndrome 12 9
  Infection 12 6
  Bronchitis 5 1
  Rhinitis 5 4
Other
  Alopecia 6 1
  Weight Loss 6 0

Table 4 lists treatment-emergent adverse reactions which were reported by ≥ 5% of patients in the high dose valproate group, and for which the incidence was greater than in the low dose group, in a controlled trial of divalproex sodium monotherapy treatment of complex partial seizures. Since patients were being titrated off another antiepilepsy drug during the first portion of the trial, it is not possible, in many cases, to determine whether the following adverse reactions can be ascribed to divalproex sodium alone, or the combination of valproate and other antiepilepsy drugs.

Table 4. Adverse Reactions Reported by ≥ 5% of Patients in the High Dose Group in the Controlled Trial of Valproate Monotherapy for Complex Partial Seizures
Headache was the only adverse reaction that occurred in ≥ 5% of patients in the high dose group and at an equal or greater incidence in the low dose group.
Body System/Reaction High Dose

(n = 131)

%
Low Dose

(n = 134)

%
Body as a Whole
  Asthenia 21 10
Digestive System
  Nausea 34 26
  Diarrhea 23 19
  Vomiting 23 15
  Abdominal Pain 12 9
  Anorexia 11 4
  Dyspepsia 11 10
Hemic/Lymphatic System
  Thrombocytopenia 24 1
  Ecchymosis 5 4
Metabolic/Nutritional
  Weight Gain 9 4
  Peripheral Edema 8 3
Nervous System
  Tremor 57 19
  Somnolence 30 18
  Dizziness 18 13
  Insomnia 15 9
  Nervousness 11 7
  Amnesia 7 4
  Nystagmus 7 1
  Depression 5 4
Respiratory System
  Infection 20 13
  Pharyngitis 8 2
  Dyspnea 5 1
Skin and Appendages
  Alopecia 24 13
Special Senses
  Amblyopia/Blurred Vision 8 4
  Tinnitus 7 1

The following additional adverse reactions were reported by greater than 1% but less than 5% of the 358 patients treated with valproate in the controlled trials of complex partial seizures:

Body as a Whole: Back pain, chest pain, malaise.

Cardiovascular System: Tachycardia, hypertension, palpitation.

Digestive System: Increased appetite, flatulence, hematemesis, eructation, pancreatitis, periodontal abscess.

Hemic and Lymphatic System: Petechia.

Metabolic and Nutritional Disorders: SGOT increased, SGPT increased.

Musculoskeletal System: Myalgia, twitching, arthralgia, leg cramps, myasthenia.

Nervous System: Anxiety, confusion, abnormal gait, paresthesia, hypertonia, incoordination, abnormal dreams, personality disorder.

Respiratory System: Sinusitis, cough increased, pneumonia, epistaxis.

Skin and Appendages: Rash, pruritus, dry skin.

Special Senses: Taste perversion, abnormal vision, deafness, otitis media.

Urogenital System: Urinary incontinence, vaginitis, dysmenorrhea, amenorrhea, urinary frequency.

6.3 Migraine

Based on two placebo-controlled clinical trials and their long term extension, valproate was generally well tolerated with most adverse reactions rated as mild to moderate in severity. Of the 202 patients exposed to valproate in the placebo-controlled trials, 17% discontinued for intolerance. This is compared to a rate of 5% for the 81 placebo patients. Including the long term extension study, the adverse reactions reported as the primary reason for discontinuation by ≥ 1% of 248 valproate-treated patients were alopecia (6%), nausea and/or vomiting (5%), weight gain (2%), tremor (2%), somnolence (1%), elevated SGOT and/or SGPT (1%), and depression (1%).

Table 5 includes those adverse reactions reported for patients in the placebo-controlled trials where the incidence rate in the divalproex sodium-treated group was greater than 5% and was greater than that for placebo patients.

Table 5. Adverse Reactions Reported by > 5% of Divalproex Sodium-Treated Patients During Migraine Placebo-Controlled Trials with a Greater Incidence Than Patients Taking Placebo
The following adverse reactions occurred in at least 5% of divalproex sodium-treated patients and at an equal or greater incidence for placebo than for divalproex sodium: flu syndrome and pharyngitis.
Body System Reaction Divalproex Sodium

(N = 202)

%
Placebo

(N = 81)

%
Gastrointestinal System
  Nausea 31 10
  Dyspepsia 13 9
  Diarrhea 12 7
  Vomiting 11 1
  Abdominal Pain 9 4
  Increased Appetite 6 4
Nervous System
  Asthenia 20 9
  Somnolence 17 5
  Dizziness 12 6
  Tremor 9 0
Other
  Weight Gain 8 2
  Back Pain 8 6
  Alopecia 7 1

The following additional adverse reactions were reported by greater than 1% but not more than 5% of the 202 divalproex sodium-treated patients in the controlled clinical trials:

Body as a Whole: Chest pain, chills, face edema, fever and malaise.

Cardiovascular System: Vasodilatation.

Digestive System: Anorexia, constipation, dry mouth, flatulence, gastrointestinal disorder (unspecified), and stomatitis.

Hemic and Lymphatic System: Ecchymosis.

Metabolic and Nutritional Disorders: Peripheral edema, SGOT increase, and SGPT increase.

Musculoskeletal System: Leg cramps and myalgia.

Nervous System: Abnormal dreams, amnesia, confusion, depression, emotional lability, insomnia, nervousness, paresthesia, speech disorder, thinking abnormalities, and vertigo.

Respiratory System: Cough increased, dyspnea, rhinitis, and sinusitis.

Skin and Appendages: Pruritus and rash.

Special Senses: Conjunctivitis, ear disorder, taste perversion, and tinnitus.

Urogenital System: Cystitis, metrorrhagia, and vaginal hemorrhage.

10 Overdosage

Overdosage with valproate may result in somnolence, heart block, deep coma, and hypernatremia. Fatalities have been reported; however patients have recovered from valproate levels as high as 2,120 mcg/mL.

In overdose situations, the fraction of drug not bound to protein is high and hemodialysis or tandem hemodialysis plus hemoperfusion may result in significant removal of drug. The benefit of gastric lavage or emesis will vary with the time since ingestion. General supportive measures should be applied with particular attention to the maintenance of adequate urinary output.

Naloxone has been reported to reverse the CNS depressant effects of valproate overdosage. Because naloxone could theoretically also reverse the antiepileptic effects of valproate, it should be used with caution in patients with epilepsy.

14.2 Epilepsy

The efficacy of valproate in reducing the incidence of complex partial seizures (CPS) that occur in isolation or in association with other seizure types was established in two controlled trials.

In one, multi-clinic, placebo controlled study employing an add-on design (adjunctive therapy), 144 patients who continued to suffer eight or more CPS per 8 weeks during an 8 week period of monotherapy with doses of either carbamazepine or phenytoin sufficient to assure plasma concentrations within the "therapeutic range" were randomized to receive, in addition to their original antiepilepsy drug (AED), either divalproex sodium or placebo. Randomized patients were to be followed for a total of 16 weeks. The following table presents the findings.

Table 8. Adjunctive Therapy Study Median Incidence of CPS per 8 Weeks
Add-on Treatment Number of Patients Baseline Incidence Experimental Incidence
Divalproex Sodium 75 16.0 8.9
Reduction from baseline statistically significantly greater for valproate than placebo at p ≤ 0.05 level.
Placebo 69 14.5 11.5

Figure 2 presents the proportion of patients (X axis) whose percentage reduction from baseline in complex partial seizure rates was at least as great as that indicated on the Y axis in the adjunctive therapy study. A positive percent reduction indicates an improvement (i.e., a decrease in seizure frequency), while a negative percent reduction indicates worsening. Thus, in a display of this type, the curve for an effective treatment is shifted to the left of the curve for placebo. This figure shows that the proportion of patients achieving any particular level of improvement was consistently higher for valproate than for placebo. For example, 45% of patients treated with valproate had a ≥ 50% reduction in complex partial seizure rate compared to 23% of patients treated with placebo.

Figure 2

The second study assessed the capacity of valproate to reduce the incidence of CPS when administered as the sole AED. The study compared the incidence of CPS among patients randomized to either a high or low dose treatment arm. Patients qualified for entry into the randomized comparison phase of this study only if 1) they continued to experience 2 or more CPS per 4 weeks during an 8 to 12 week long period of monotherapy with adequate doses of an AED (i.e., phenytoin, carbamazepine, phenobarbital, or primidone) and 2) they made a successful transition over a two week interval to valproate. Patients entering the randomized phase were then brought to their assigned target dose, gradually tapered off their concomitant AED and followed for an interval as long as 22 weeks. Less than 50% of the patients randomized, however, completed the study. In patients converted to divalproex sodium monotherapy, the mean total valproate concentrations during monotherapy were 71 and 123 mcg/mL in the low dose and high dose groups, respectively.

The following table presents the findings for all patients randomized who had at least one post-randomization assessment.

Table 9. Monotherapy Study Median Incidence of CPS per 8 Weeks
Treatment Number of Patients Baseline Incidence Randomized Phase Incidence
High dose Divalproex Sodium 131 13.2 10.7
Reduction from baseline statistically significantly greater for high dose than low dose at p ≤ 0.05 level.
Low dose Divalproex Sodium 134 14.2 13.8

Figure 3 presents the proportion of patients (X axis) whose percentage reduction from baseline in complex partial seizure rates was at least as great as that indicated on the Y axis in the monotherapy study. A positive percent reduction indicates an improvement (i.e., a decrease in seizure frequency), while a negative percent reduction indicates worsening. Thus, in a display of this type, the curve for a more effective treatment is shifted to the left of the curve for a less effective treatment. This figure shows that the proportion of patients achieving any particular level of reduction was consistently higher for high dose valproate than for low dose valproate. For example, when switching from carbamazepine, phenytoin, phenobarbital or primidone monotherapy to high dose valproate monotherapy, 63% of patients experienced no change or a reduction in complex partial seizure rates compared to 54% of patients receiving low dose valproate.

Figure 3

Information on pediatric studies is presented in section 8.

14.3 Migraine

The results of two multicenter, randomized, double-blind, placebo-controlled clinical trials established the effectiveness of divalproex sodium in the prophylactic treatment of migraine headache.

Both studies employed essentially identical designs and recruited patients with a history of migraine with or without aura (of at least 6 months in duration) who were experiencing at least 2 migraine headaches a month during the 3 months prior to enrollment. Patients with cluster headaches were excluded. Women of childbearing potential were excluded entirely from one study, but were permitted in the other if they were deemed to be practicing an effective method of contraception.

In each study following a 4-week single-blind placebo baseline period, patients were randomized, under double blind conditions, to divalproex sodium or placebo for a 12-week treatment phase, comprised of a 4-week dose titration period followed by an 8-week maintenance period. Treatment outcome was assessed on the basis of 4-week migraine headache rates during the treatment phase.

In the first study, a total of 107 patients (24 M, 83 F), ranging in age from 26 to 73 were randomized 2:1, divalproex sodium to placebo. Ninety patients completed the 8-week maintenance period. Drug dose titration, using 250 mg tablets, was individualized at the investigator's discretion. Adjustments were guided by actual/sham trough total serum valproate levels in order to maintain the study blind. In patients on divalproex sodium doses ranged from 500 to 2,500 mg a day. Doses over 500 mg were given in three divided doses (TID). The mean dose during the treatment phase was 1,087 mg/day resulting in a mean trough total valproate level of 72.5 mcg/mL, with a range of 31 to 133 mcg/mL.

The mean 4-week migraine headache rate during the treatment phase was 5.7 in the placebo group compared to 3.5 in the divalproex sodium group (see Figure 4). These rates were significantly different.

In the second study, a total of 176 patients (19 males and 157 females), ranging in age from 17 to 76 years, were randomized equally to one of three divalproex sodium dose groups (500, 1,000, or 1,500 mg/day) or placebo. The treatments were given in two divided doses (BID). One hundred thirty-seven patients completed the 8-week maintenance period. Efficacy was to be determined by a comparison of the 4-week migraine headache rate in the combined 1,000/1,500 mg/day group and placebo group.

The initial dose was 250 mg daily. The regimen was advanced by 250 mg every 4 days (8 days for 500 mg/day group), until the randomized dose was achieved. The mean trough total valproate levels during the treatment phase were 39.6, 62.5, and 72.5 mcg/mL in the divalproex sodium 500, 1,000, and 1,500 mg/day groups, respectively.

The mean 4-week migraine headache rates during the treatment phase, adjusted for differences in baseline rates, were 4.5 in the placebo group, compared to 3.3, 3.0, and 3.3 in the divalproex sodium 500, 1,000, and 1,500 mg/day groups, respectively, based on intent-to-treat results (see Figure 4). Migraine headache rates in the combined divalproex sodium 1,000/1,500 mg group were significantly lower than in the placebo group.

Figure 4 Mean 4-week Migraine Rates

1. Mean dose of divalproex sodium was 1,087 mg/day.

2. Dose of divalproex sodium was 500 or 1,000 mg/day.

15 References
  • Meador KJ, Baker GA, Browning N, et al. Fetal antiepileptic drug exposure and cognitive outcomes at age 6 years (NEAD study): a prospective observational study. Lancet Neurology 2013; 12 (3):244–252.
11 Description

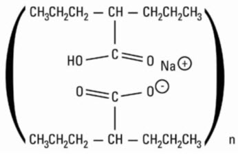
Divalproex sodium is a stable co-ordination compound comprised of sodium valproate and valproic acid in a 1:1 molar relationship and formed during the partial neutralization of valproic acid with 0.5 equivalent of sodium hydroxide. Chemically it is designated as sodium hydrogen bis(2-propylpentanoate). Divalproex sodium has the following structure:

Divalproex sodium occurs as a white powder with a characteristic odor.

Divalproex sodium delayed-release tablets, USP are for oral administration. Divalproex sodium delayed-release tablets, USP are supplied in three dosage strengths containing divalproex sodium equivalent to 125 mg, 250 mg, or 500 mg of valproic acid.

7.3 Topiramate

Concomitant administration of valproate and topiramate has been associated with hyperammonemia with and without encephalopathy [see Contraindications (4)and Warnings and Precautions (5.6, 5.9, 5.10)] . Concomitant administration of topiramate with valproate has also been associated with hypothermia in patients who have tolerated either drug alone. It may be prudent to examine blood ammonia levels in patients in whom the onset of hypothermia has been reported [see Warnings and Precautions (5.9, 5.11)] .

7.4 Cannabidiol

Concomitant administration of valproate and cannabidiol has been associated with an increased risk of ALT and/or AST elevation. This has been manageable by dose reduction or, in more severe cases, by discontinuation of one or both drugs. Liver function, including serum transaminase and total bilirubin levels, should be monitored during concomitant treatment [see Warnings and Precautions (5.1)] .

5.11 Hypothermia

Hypothermia, defined as an unintentional drop in body core temperature to <35°C (95°F), has been reported in association with valproate therapy both in conjunction with and in the absence of hyperammonemia. This adverse reaction can also occur in patients using concomitant topiramate with valproate after starting topiramate treatment or after increasing the daily dose of topiramate [see Drug Interactions (7.3)] . Consideration should be given to stopping valproate in patients who develop hypothermia, which may be manifested by a variety of clinical abnormalities including lethargy, confusion, coma, and significant alterations in other major organ systems such as the cardiovascular and respiratory systems. Clinical management and assessment should include examination of blood ammonia levels.

5.5 Pancreatitis

Cases of life-threatening pancreatitis have been reported in both children and adults receiving valproate. Some of the cases have been described as hemorrhagic with rapid progression from initial symptoms to death. Some cases have occurred shortly after initial use as well as after several years of use. The rate based upon the reported cases exceeds that expected in the general population and there have been cases in which pancreatitis recurred after rechallenge with valproate. In clinical trials, there were 2 cases of pancreatitis without alternative etiology in 2,416 patients, representing 1,044 patient-years experience. Patients and guardians should be warned that abdominal pain, nausea, vomiting, and/or anorexia can be symptoms of pancreatitis that require prompt medical evaluation. If pancreatitis is diagnosed, divalproex sodium delayed-release tablets should ordinarily be discontinued. Alternative treatment for the underlying medical condition should be initiated as clinically indicated [see Boxed Warning] .

Medication Guide

Divalproex Sodium (dye val′ proe ex soe′ dee um) Delayed-Release Tablets, USP

What is the most important information I should know about divalproex sodium delayed-release tablets?

Do not stop divalproex sodium delayed-release tablets without first talking to a healthcare provider.Stopping divalproex sodium delayed-release tablets suddenly can cause serious problems. Stopping a seizure medicine suddenly in a patient who has epilepsy can cause seizures that will not stop (status epilepticus).

Divalproex sodium delayed-release tablets can cause serious side effects, including:

  • Serious liver damage that can cause death, especially in children younger than 2 years old and patients with mitochondrial disorders.The risk of getting this serious liver damage is more likely to happen within the first 6 months of treatment.

    Call your healthcare provider right away if you get any of the following symptoms:
    • feeling very weak, tired, or uncomfortable (malaise)
    • swelling of your face
    • not feeling hungry
    • nausea or vomiting that does not go away
    • diarrhea
    • pain on the right side of your stomach (abdomen)
    • dark urine
    • yellowing of your skin or the whites of your eyes
    • loss of seizure control in people with epilepsy

In some cases, liver damage may continue even though the medicine is stopped. Your healthcare provider will do blood tests to check your liver before and during treatment with divalproex sodium delayed-release tablets.

  • Divalproex sodium delayed-release tablets may harm your unborn baby.
    • If you take divalproex sodium delayed-release tablets during pregnancy for any medical condition, your baby is at risk for serious birth defects that affect the brain and spinal cord (such as spina bifida or neural tube defects). These defects can begin in the first month, even before you know you are pregnant. Other birth defects that affect the structures of the heart, head, arms, legs, and the opening where the urine comes out (urethra) on the bottom of the penis can also happen. Decreased hearing or hearing loss can also happen.
    • Birth defects may occur even in children born to women who are not taking any medicines and do not have other risk factors.
    • Taking folic acid supplements before getting pregnant and during early pregnancy can lower the chance of having a baby with a neural tube defect.
    • If you take divalproex sodium delayed-release tablets during pregnancy for any medical condition, your child is at risk for having lower IQ and may be at risk for developing autism or attention deficit/hyperactivity disorder.
    • There may be other medicines to treat your condition that have a lower chance of causing birth defects, decreased IQ, or other disorders in your child.
    • Women who are pregnant must not take divalproex sodium delayed-release tablets to prevent migraine headaches.
    • All women of childbearing age (including girls from the start of puberty) should talk to their healthcare provider about using other possible treatments instead of divalproex sodium delayed-release tablets. If the decision is made to use divalproex sodium delayed-release tablets, you should use effective birth control (contraception).
    • Tell your healthcare provider right away if you become pregnant while taking divalproex sodium delayed-release tablets. You and your healthcare provider should decide if you will continue to take divalproex sodium delayed-release tablets while you are pregnant.
    • Pregnancy Registry:If you become pregnant while taking divalproex sodium delayed-release tablets, talk to your healthcare provider about registering with the North American Antiepileptic Drug (NAAED) Pregnancy Registry. You can enroll in this registry by calling toll-free 1-888-233-2334 or by visiting the website, http://www.aedpregnancyregistry.org/. The purpose of this registry is to collect information about the safety of antiepileptic drugs during pregnancy.
  • Swelling (Inflammation) and bleeding (hemorrhaging) of your pancreas that can cause death.

    Call your healthcare provider right away if you have any of these symptoms:
    • severe stomach pain that you may also feel in your back
    • nausea or vomiting that does not go away
    • not feeling hungry
  • Like other antiepileptic drugs, divalproex sodium delayed-release tablets may cause suicidal thoughts or actions in a very small number of people, about 1 in 500.

    Call a healthcare provider right away if you have any of these symptoms, especially if they are new, worse, or worry you:
    • thoughts about suicide or dying
    • attempts to commit suicide
    • new or worse depression
    • new or worse anxiety
    • feeling agitated or restless
    • panic attacks
    • trouble sleeping (insomnia)
    • new or worse irritability
    • acting aggressive, being angry, or violent
    • acting on dangerous impulses
    • an extreme increase in activity and talking (mania)
    • other unusual changes in behavior or mood


    How can I watch for early symptoms of suicidal thoughts and actions?
    • Pay attention to any changes, especially sudden changes in mood, behaviors, thoughts, or feelings.
    • Keep all follow-up visits with your healthcare provider as scheduled.

Call your healthcare provider between visits as needed, especially if you are worried about symptoms.

Suicidal thoughts or actions can be caused by things other than medicines. If you have suicidal thoughts or actions, your healthcare provider may check for other causes.

What are divalproex sodium delayed-release tablets?

Divalproex sodium delayed-release tablets are a prescription medicine used:

  • alone or with other medicines to treat:
    • complex partial seizures in adults and children 10 years of age and older
    • simple and complex absence seizures
  • with other medications to treat:
    • patients with multiple seizure types that include absence seizures

Divalproex sodium delayed-release tablets are also used to prevent migraine headaches.

Divalproex sodium delayed-release tablets are also used to treat manic episodes associated with bipolar disorder.

Do not take divalproex sodium delayed-release tablets if you:

  • have liver problems
  • have or think you have a genetic liver problem caused by a mitochondrial disorder such as Alpers-Huttenlocher syndrome.
  • are allergic to divalproex sodium, valproic acid, sodium valproate, or any of the ingredients in divalproex sodium delayed-release tablets. See the end of this Medication Guide for a complete list of ingredients in divalproex sodium delayed-release tablets.
  • have a genetic problem called a urea cycle disorder.
  • are taking it to prevent migraine headaches and are either pregnant or may become pregnant because you are not using effective birth control (contraception).

Before taking divalproex sodium delayed-release tablets, tell your healthcare provider about all of your medical conditions including if you:

  • have or have had liver problems.
  • have or think you have a genetic liver problem caused by a mitochondrial disorder such as Alpers-Huttenlocher syndrome.
  • drink alcohol.
  • have or have had depression, suicidal thoughts or behavior, unusual changes in mood, or thoughts about self-harm
  • are male and plan to father a child. Divalproex sodium delayed-release tablets may cause fertility problems, which may affect your ability to father a child. Talk to your healthcare provider if this is a problem for you.
  • are pregnant or may become pregnant. Divalproex sodium delayed-release tablets may harm your unborn baby. See " 2. Divalproex sodium delayed-release tablets may harm your unborn baby" above for more information.
  • are breastfeeding. Divalproex sodium can pass into breast milk and may harm your baby. Talk to your healthcare provider about the best way to feed your baby if you take divalproex sodium delayed-release tablets.

Tell your healthcare provider about all the medicines you take,including prescription and over-the-counter medicines, vitamins, and herbal supplements.

Divalproex sodium delayed-release tablets may affect the way other medicines work, and other medicines may affect how divalproex sodium delayed-release tablets work. Using divalproex sodium delayed-release tablets with other medicines can cause serious side effects. Do notstart or stop other medicines without talking to your healthcare provider.

Especially tell your healthcare provider if you take:

  • medicines that can affect how the liver breaks down other medicines (such as phenytoin, carbamazepine, felbamate, phenobarbital, primidone, rifampin)
  • aspirin, carbapenem antibiotics, or estrogen-containing hormonal contraceptives
  • methotrexate
  • topiramate
  • cannabidiol

You can ask your healthcare provider or pharmacist for a list of these medicines if you are not sure.

Know the medicines you take. Keep a list of them and show it to your healthcare provider and pharmacist each time you get a new medicine.

How should I take divalproex sodium delayed-release tablets?

  • Divalproex sodium come in different dosage forms.
  • Take divalproex sodium delayed-release tablets exactly as your healthcare provider tells you. Your healthcare provider will tell you how much divalproex sodium delayed-release tablets to take and when to take it.
  • Your healthcare provider may change your dose, if needed.
  • Do not change your dose of divalproex sodium delayed-release tablets without talking to your healthcare provider.
  • Do not stop taking divalproex sodium delayed-release tablets without first talking to your healthcare provider.Stopping divalproex sodium delayed-release tablets suddenly can cause serious problems.
  • Swallow divalproex sodium delayed-release tablets whole. Do notcrush or chew them. Tell your healthcare provider if you cannot swallow divalproex sodium delayed-release tablets whole. You may need a different medicine.
  • If you miss a dose of divalproex sodium delayed-release tablets, take it as soon as you remember unless it's almost time for your next dose. Take the next dose at your regular time. Do nottake 2 doses at the same time.
  • If you take too much divalproex sodium delayed-release tablets, call your healthcare provider or poison control center right away.

What should I avoid while taking divalproex sodium delayed-release tablets?

  • Do notdrink alcohol while taking divalproex sodium delayed-release tablets. Divalproex sodium delayed-release tablets and alcohol can affect each other causing side effects such as sleepiness and dizziness.
  • Do not drive a car, operate dangerous machinery, or do dangerous activities until you know how divalproex sodium delayed-release tablets affect you. Divalproex sodium delayed-release tablets can slow your thinking and motor skills and may affect your vision.

What are the possible side effects of divalproex sodium delayed-release tablets?

Call your healthcare provider right away if you have any of the symptoms listed below.Your healthcare provider may do additional tests before and during your treatment with divalproex sodium delayed-release tablets. Your healthcare provider may reduce your dose, temporarily stop, or permanently stop treatment if you have certain side effects.

Divalproex sodium delayed-release tablets can cause serious side effects including:

  • increased ammonia levels in your blood.High ammonia levels can seriously affect your mental activities, slow your alertness, make you feel tired, or cause vomiting (encephalopathy). This has happened when divalproex sodium delayed-release tablets are taken alone or with a medicine called topiramate. Call your health care provider if you have any of these symptoms.
  • low body temperature (hypothermia).A drop in your body temperature to less than 95°F can happen during treatment with divalproex sodium delayed-release tablets. Call your healthcare provider if you have any of the following symptoms:
    • feeling tired
    • confusion
    • memory loss
    • drowsiness
    • coma
    • shivering
  • severe multiorgan reactions.Treatment with divalproex sodium delayed-release tablets may cause severe multiorgan reactions that can be life-threatening or may lead to death. Stop taking divalproex sodium delayed-release tablets, and contact your healthcare provider or get medical help right away if you develop any of these symptoms of a severe skin reaction:
    • fever
    • skin rash
    • hives
    • sores in your mouth,
    • blistering and peeling of your skin
    • swelling of your lymph nodes
    • swelling of your face, eyes, lips, tongue, or throat
    • trouble swallowing or breathing
  • drowsiness or sleepiness in the elderly.This extreme drowsiness may cause you to eat or drink less than you normally would. Tell your healthcare provider if you are not able to eat or drink as you normally do. Your healthcare provider may start you at a lower dose of divalproex sodium delayed-release tablets.
  • medicine residue in your stool.Tell your healthcare provider if you have or think you may have medicine residue in your stool.

The common side effects of divalproex sodium delayed-release tablets include:

  • headache
  • loss of appetite
  • weakness
  • weight loss
  • sleepiness
  • increased appetite
  • dizziness
  • weight gain
  • tremors
  • nausea / vomiting
  • difficulty walking or problems with coordination
  • stomach pain
  • ringing in your ears
  • diarrhea
  • blurred vision
  • constipation
  • double vision
  • bronchitis
  • unusual eye movement
  • flu-like symptoms
  • hair loss (alopecia)
  • infection
  • swelling of your arms or legs

These are not all of the possible side effects of divalproex sodium delayed-release tablets.

Call your doctor for medical advice about side effects. You may report side effects to FDA at 1-800-FDA-1088.

How should I store divalproex sodium delayed-release tablets?

  • Store divalproex sodium delayed-release tablets at 59° to 86°F (15° to 30°C)

Keep divalproex sodium delayed-release tablets and all medicines out of the reach of children.

General information about the safe and effective use of divalproex sodium delayed-release tablets

Medicines are sometimes prescribed for purposes other than those listed in a Medication Guide. Do not use divalproex sodium delayed-release tablets for a condition for which it was not prescribed. Do not give divalproex sodium delayed-release tablets to other people, even if they have the same symptoms that you have. It may harm them.

You can ask your pharmacist or healthcare provider for information about divalproex sodium delayed-release tablets that is written for health professionals.

What are the ingredients in divalproex sodium delayed-release tablets?

Divalproex Sodium Delayed-Release Tablets, USP:

Active ingredient: divalproex sodium as valproic acid

Inactive ingredients: methacrylic acid copolymer type C, povidone, pregelatinized corn starch, silicon dioxide, simethicone emulsion, sodium bicarbonate, sodium lauryl sulfate, talc, triethyl citrate, titanium dioxide, vanillin. The tablets are imprinted using a pharmaceutical ink.

In addition, individual tablets also contain:

  • 125 mg tablets:FD&C Red No. 40.
  • 250 mg tablets:FD&C Yellow No. 6 and iron oxide red.
  • 500 mg tablets:FD&C Red No. 40.

For Medication Guides, please visit www.upsher-smith.com or call 1-888-650-3789.

This Medication Guide has been approved by the U.S. Food and Drug Administration.

Manufactured by

UPSHER-SMITH LABORATORIES, LLC

Maple Grove, MN 55369

Revised: 5/2024

8.4 Pediatric Use

Experience has indicated that pediatric patients under the age of two years are at a considerably increased risk of developing fatal hepatotoxicity, especially those with the aforementioned conditions [see Boxed Warningand Warnings and Precautions (5.1)] . When divalproex sodium is used in this patient group, it should be used with extreme caution and as a sole agent. The benefits of therapy should be weighed against the risks. Above the age of 2 years, experience in epilepsy has indicated that the incidence of fatal hepatotoxicity decreases considerably in progressively older patient groups.

Younger children, especially those receiving enzyme-inducing drugs, will require larger maintenance doses to attain targeted total and unbound valproate concentrations. Pediatric patients (i.e., between 3 months and 10 years) have 50% higher clearances expressed on weight (i.e., mL/min/kg) than do adults. Over the age of 10 years, children have pharmacokinetic parameters that approximate those of adults.

The variability in free fraction limits the clinical usefulness of monitoring total serum valproic acid concentrations. Interpretation of valproic acid concentrations in children should include consideration of factors that affect hepatic metabolism and protein binding.

8.5 Geriatric Use

No patients above the age of 65 years were enrolled in double-blind prospective clinical trials of mania associated with bipolar illness. In a case review study of 583 patients, 72 patients (12%) were greater than 65 years of age. A higher percentage of patients above 65 years of age reported accidental injury, infection, pain, somnolence, and tremor. Discontinuation of valproate was occasionally associated with the latter two events. It is not clear whether these events indicate additional risk or whether they result from preexisting medical illness and concomitant medication use among these patients.

A study of elderly patients with dementia revealed drug related somnolence and discontinuation for somnolence [see Warnings and Precautions (5.14)] . The starting dose should be reduced in these patients, and dosage reductions or discontinuation should be considered in patients with excessive somnolence [see Dosage and Administration (2.4)] .

There is insufficient information available to discern the safety and effectiveness of valproate for the prophylaxis of migraines in patients over 65.

5.9 Hyperammonemia

Hyperammonemia has been reported in association with valproate therapy and may be present despite normal liver function tests. In patients who develop unexplained lethargy and vomiting or changes in mental status, hyperammonemic encephalopathy should be considered and an ammonia level should be measured. Hyperammonemia should also be considered in patients who present with hypothermia [see Warnings and Precautions (5.11)] . If ammonia is increased, valproate therapy should be discontinued. Appropriate interventions for treatment of hyperammonemia should be initiated, and such patients should undergo investigation for underlying urea cycle disorders [see Contraindications (4)and Warnings and Precautions (5.6, 5.10)] .

Asymptomatic elevations of ammonia are more common and when present, require close monitoring of plasma ammonia levels. If the elevation persists, discontinuation of valproate therapy should be considered.

4 Contraindications
  • Divalproex sodium delayed-release tablets should not be administered to patients with hepatic disease or significant hepatic dysfunction [see Warnings and Precautions (5.1)] .
  • Divalproex sodium delayed-release tablets are contraindicated in patients known to have mitochondrial disorders caused by mutations in mitochondrial DNA polymerase γ (POLG; e.g., Alpers-Huttenlocher Syndrome) and children under two years of age who are suspected of having a POLG-related disorder [see Warnings and Precautions (5.1)] .
  • Divalproex sodium delayed-release tablets are contraindicated in patients with known hypersensitivity to the drug [see Warnings and Precautions (5.12)] .
  • Divalproex sodium delayed-release tablets are contraindicated in patients with known urea cycle disorders [see Warnings and Precautions (5.6)] .
  • For use in prophylaxis of migraine headaches: Divalproex sodium delayed-release tablets are contraindicated in women who are pregnant and in women of childbearing potential who are not using effective contraception [see Warnings and Precautions (5.2, 5.3, 5.4)and Use in Specific Populations (8.1)] .
6 Adverse Reactions

The following serious adverse reactions are described below and elsewhere in the labeling:

Because clinical studies are conducted under widely varying conditions, adverse reaction rates observed in the clinical studies of a drug cannot be directly compared to rates in the clinical studies of another drug and may not reflect the rates observed in practice.

7 Drug Interactions
  • Hepatic enzyme-inducing drugs (e.g., phenytoin, carbamazepine, phenobarbital, primidone, rifampin) can increase valproate clearance, while enzyme inhibitors (e.g., felbamate) can decrease valproate clearance. Therefore increased monitoring of valproate and concomitant drug concentrations and dosage adjustment are indicated whenever enzyme-inducing or inhibiting drugs are introduced or withdrawn ( 7.1)
  • Aspirin, carbapenem antibiotics, estrogen-containing hormonal contraceptives, methotrexate: Monitoring of valproate concentrations is recommended ( 7.1)
  • Co-administration of valproate can affect the pharmacokinetics of other drugs (e.g. diazepam, ethosuximide, lamotrigine, phenytoin) by inhibiting their metabolism or protein binding displacement ( 7.2)
  • Patients stabilized on rufinamide should begin valproate therapy at a low dose, and titrate to clinically effective dose ( 7.2)
  • Dosage adjustment of amitriptyline/nortriptyline, propofol, warfarin, and zidovudine may be necessary if used concomitantly with divalproex sodium delayed-release tablets ( 7.2)
  • Topiramate: Hyperammonemia and encephalopathy ( 5.10, 7.3)
  • Cannabidiol: ALT and/or AST elevation ( 7.4)
12.2 Pharmacodynamics

The relationship between plasma concentration and clinical response is not well documented. One contributing factor is the nonlinear, concentration dependent protein binding of valproate which affects the clearance of the drug. Thus, monitoring of total serum valproate cannot provide a reliable index of the bioactive valproate species.

For example, because the plasma protein binding of valproate is concentration dependent, the free fraction increases from approximately 10% at 40 mcg/mL to 18.5% at 130 mcg/mL. Higher than expected free fractions occur in the elderly, in hyperlipidemic patients, and in patients with hepatic and renal diseases.

1 Indications and Usage

Divalproex sodium delayed-release tablets are an anti-epileptic drug indicated for:

  • Treatment of manic episodes associated with bipolar disorder ( 1.1)
  • Monotherapy and adjunctive therapy of complex partial seizures and simple and complex absence seizures; adjunctive therapy in patients with multiple seizure types that include absence seizures ( 1.2)
  • Prophylaxis of migraine headaches ( 1.3)
12.1 Mechanism of Action

Divalproex sodium dissociates to the valproate ion in the gastrointestinal tract. The mechanisms by which valproate exerts its therapeutic effects have not been established. It has been suggested that its activity in epilepsy is related to increased brain concentrations of gamma-aminobutyric acid (GABA).

5.6 Urea Cycle Disorders

Divalproex sodium delayed-release tablets are contraindicated in patients with known urea cycle disorders (UCD).

Hyperammonemic encephalopathy, sometimes fatal, has been reported following initiation of valproate therapy in patients with urea cycle disorders, a group of uncommon genetic abnormalities, particularly ornithine transcarbamylase deficiency. Prior to the initiation of divalproex sodium delayed-release tablets therapy, evaluation for UCD should be considered in the following patients: 1) those with a history of unexplained encephalopathy or coma, encephalopathy associated with a protein load, pregnancy-related or postpartum encephalopathy, unexplained mental retardation, or history of elevated plasma ammonia or glutamine; 2) those with cyclical vomiting and lethargy, episodic extreme irritability, ataxia, low BUN, or protein avoidance; 3) those with a family history of UCD or a family history of unexplained infant deaths (particularly males); 4) those with other signs or symptoms of UCD. Patients who develop symptoms of unexplained hyperammonemic encephalopathy while receiving valproate therapy should receive prompt treatment (including discontinuation of valproate therapy) and be evaluated for underlying urea cycle disorders [see Contraindications (4)and Warnings and Precautions (5.10)] .

1.4 Important Limitations

Because of the risk to the fetus of decreased IQ, neurodevelopmental disorders, neural tube defects, and other major congenital malformations, which may occur very early in pregnancy, valproate should not be used to treat women with epilepsy or bipolar disorder who are pregnant or who plan to become pregnant unless other medications have failed to provide adequate symptom control or are otherwise unacceptable. Valproate should not be administered to a woman of childbearing potential unless other medications have failed to provide adequate symptom control or are otherwise unacceptable [see Warnings and Precautions (5.2, 5.3, 5.4), Use in Specific Populations (8.1), and Patient Counseling Information (17)] .

For prophylaxis of migraine headaches, divalproex sodium delayed-release tablets are contraindicated in women who are pregnant and in women of childbearing potential who are not using effective contraception [see Contraindications (4)] .

5 Warnings and Precautions
  • Hepatotoxicity; evaluate high risk populations and monitor serum liver tests ( 5.1)
  • Birth defects, decreased IQ, and neurodevelopmental disorders following in uteroexposure; should not be used to treat women with epilepsy or bipolar disorder who are pregnant or who plan to become pregnant or to treat a woman of childbearing potential unless other medications have failed to provide adequate symptom control or are otherwise unacceptable ( 5.2, 5.3, 5.4)
  • Pancreatitis; divalproex sodium delayed-release tablets should ordinarily be discontinued ( 5.5)
  • Suicidal behavior or ideation; Antiepileptic drugs, including divalproex sodium delayed-release tablets, increase the risk of suicidal thoughts or behavior ( 5.7)
  • Bleeding and other hematopoietic disorders; monitor platelet counts and coagulation tests ( 5.8)
  • Hyperammonemia and hyperammonemic encephalopathy; measure ammonia level if unexplained lethargy and vomiting or changes in mental status, and also with concomitant topiramate use; consider discontinuation of valproate therapy ( 5.6, 5.9, 5.10)
  • Hypothermia; Hypothermia has been reported during valproate therapy with or without associated hyperammonemia. This adverse reaction can also occur in patients using concomitant topiramate ( 5.11)
  • Drug Reaction with Eosinophilia and Systemic Symptoms (DRESS)/Multiorgan hypersensitivity reaction; discontinue divalproex sodium delayed-release tablets ( 5.12)
  • Somnolence in the elderly can occur. Divalproex sodium delayed-release tablets dosage should be increased slowly and with regular monitoring for fluid and nutritional intake ( 5.14)
2 Dosage and Administration

Divalproex sodium delayed-release tablets are intended for oral administration. Divalproex sodium delayed-release tablets should be swallowed whole and should not be crushed or chewed.

Patients should be informed to take divalproex sodium delayed-release tablets every day as prescribed. If a dose is missed it should be taken as soon as possible, unless it is almost time for the next dose. If a dose is skipped, the patient should not double the next dose.

3 Dosage Forms and Strengths

Divalproex sodium delayed-release tablets, USP are supplied as:

125 mg (as valproic acid) rose-colored tablets

250 mg (as valproic acid) peach-colored tablets

500 mg (as valproic acid) light pink-colored tablets

5.2 Structural Birth Defects

Valproate can cause fetal harm when administered to a pregnant woman. Pregnancy registry data show that maternal valproate use can cause neural tube defects and other structural abnormalities (e.g., craniofacial defects, cardiovascular malformations, hypospadias, limb malformations). The rate of congenital malformations among babies born to mothers using valproate is about four times higher than the rate among babies born to epileptic mothers using other anti-seizure monotherapies. Evidence suggests that folic acid supplementation prior to conception and during the first trimester of pregnancy decreases the risk for congenital neural tube defects in the general population [see Use in Specific Populations (8.1)] .

6.4 Post Marketing Experience

The following adverse reactions have been identified during post approval use of divalproex sodium. Because these reactions are reported voluntarily from a population of uncertain size, it is not always possible to reliably estimate their frequency or establish a causal relationship to drug exposure.

Dermatologic: Hair texture changes, hair color changes, photosensitivity, erythema multiforme, toxic epidermal necrolysis, nail and nail bed disorders, and Stevens-Johnson syndrome.

Psychiatric: Emotional upset, psychosis, aggression, psychomotor hyperactivity, hostility, disturbance in attention, learning disorder, and behavioral deterioration.

Neurologic: Paradoxical convulsion, parkinsonism.

There have been several reports of acute or subacute cognitive decline and behavioral changes (apathy or irritability) with cerebral pseudoatrophy on imaging associated with valproate therapy; both the cognitive/behavioral changes and cerebral pseudoatrophy reversed partially or fully after valproate discontinuation.

There have been reports of acute or subacute encephalopathy in the absence of elevated ammonia levels, elevated valproate levels, or neuroimaging changes. The encephalopathy reversed partially or fully after valproate discontinuation.

Musculoskeletal: Fractures, decreased bone mineral density, osteopenia, osteoporosis, and weakness.

Hematologic: Relative lymphocytosis, macrocytosis, leukopenia, acquired Pelger-Huet anomaly, anemia including macrocytic with or without folate deficiency, bone marrow suppression, pancytopenia, aplastic anemia, agranulocytosis, and acute intermittent porphyria.

Endocrine: Irregular menses, secondary amenorrhea, hyperandrogenism, hirsutism, elevated testosterone level, breast enlargement, galactorrhea, parotid gland swelling, polycystic ovary disease, decreased carnitine concentrations, hyponatremia, hyperglycinemia, and inappropriate ADH secretion.

There have been rare reports of Fanconi's syndrome occurring chiefly in children.

Metabolism and nutrition: Weight gain.

Reproductive: Aspermia, azoospermia, decreased sperm count, decreased spermatozoa motility, male infertility, and abnormal spermatozoa morphology.

Genitourinary: Enuresis, urinary tract infection, and tubulointerstitial nephritis.

Special Senses: Hearing loss.

Other: Allergic reaction, anaphylaxis, developmental delay, bone pain, bradycardia, and cutaneous vasculitis.

8 Use in Specific Populations
  • Pregnancy: Divalproex sodium delayed-release tablets can cause congenital malformations including neural tube defects, decreased IQ, and neurodevelopmental disorders ( 5.2, 5.3, 8.1)
  • Pediatric: Children under the age of two years are at considerably higher risk of fatal hepatotoxicity ( 5.1, 8.4)
  • Geriatric: Reduce starting dose; increase dosage more slowly; monitor fluid and nutritional intake, and somnolence ( 5.14, 8.5)
5.14 Somnolence in the Elderly

In a double-blind, multicenter trial of valproate in elderly patients with dementia (mean age = 83 years), doses were increased by 125 mg/day to a target dose of 20 mg/kg/day. A significantly higher proportion of valproate patients had somnolence compared to placebo, and although not statistically significant, there was a higher proportion of patients with dehydration. Discontinuations for somnolence were also significantly higher than with placebo. In some patients with somnolence (approximately one-half), there was associated reduced nutritional intake and weight loss. There was a trend for the patients who experienced these events to have a lower baseline albumin concentration, lower valproate clearance, and a higher BUN. In elderly patients, dosage should be increased more slowly and with regular monitoring for fluid and nutritional intake, dehydration, somnolence, and other adverse reactions. Dose reductions or discontinuation of valproate should be considered in patients with decreased food or fluid intake and in patients with excessive somnolence [see Dosage and Administration (2.4)] .

17 Patient Counseling Information

Advise the patient to read the FDA-approved patient labeling (Medication Guide).

5.7 Suicidal Behavior and Ideation

Antiepileptic drugs (AEDs), including divalproex sodium delayed-release tablets, increase the risk of suicidal thoughts or behavior in patients taking these drugs for any indication. Patients treated with any AED for any indication should be monitored for the emergence or worsening of depression, suicidal thoughts or behavior, and/or any unusual changes in mood or behavior.

Pooled analyses of 199 placebo-controlled clinical trials (mono- and adjunctive therapy) of 11 different AEDs showed that patients randomized to one of the AEDs had approximately twice the risk (adjusted Relative Risk 1.8, 95% CI:1.2, 2.7) of suicidal thinking or behavior compared to patients randomized to placebo. In these trials, which had a median treatment duration of 12 weeks, the estimated incidence rate of suicidal behavior or ideation among 27,863 AED-treated patients was 0.43%, compared to 0.24% among 16,029 placebo-treated patients, representing an increase of approximately one case of suicidal thinking or behavior for every 530 patients treated. There were four suicides in drug-treated patients in the trials and none in placebo-treated patients, but the number is too small to allow any conclusion about drug effect on suicide.

The increased risk of suicidal thoughts or behavior with AEDs was observed as early as one week after starting drug treatment with AEDs and persisted for the duration of treatment assessed. Because most trials included in the analysis did not extend beyond 24 weeks, the risk of suicidal thoughts or behavior beyond 24 weeks could not be assessed.

The risk of suicidal thoughts or behavior was generally consistent among drugs in the data analyzed. The finding of increased risk with AEDs of varying mechanisms of action and across a range of indications suggests that the risk applies to all AEDs used for any indication. The risk did not vary substantially by age (5 to 100 years) in the clinical trials analyzed.

Table 1 shows absolute and relative risk by indication for all evaluated AEDs.

Table 1. Risk by Indication for Antiepileptic Drugs in the Pooled Analysis
Indication Placebo Patients with Events Per 1,000 Patients Drug Patients with Events Per 1,000 Patients Relative Risk: Incidence of Events in Drug Patients/Incidence in Placebo Patients Risk Difference: Additional Drug Patients with Events Per 1,000 Patients
Epilepsy 1.0 3.4 3.5 2.4
Psychiatric 5.7 8.5 1.5 2.9
Other 1.0 1.8 1.9 0.9
Total 2.4 4.3 1.8 1.9

The relative risk for suicidal thoughts or behavior was higher in clinical trials for epilepsy than in clinical trials for psychiatric or other conditions, but the absolute risk differences were similar for the epilepsy and psychiatric indications.

Anyone considering prescribing divalproex sodium delayed-release tablets or any other AED must balance the risk of suicidal thoughts or behavior with the risk of untreated illness. Epilepsy and many other illnesses for which AEDs are prescribed are themselves associated with morbidity and mortality and an increased risk of suicidal thoughts and behavior. Should suicidal thoughts and behavior emerge during treatment, the prescriber needs to consider whether the emergence of these symptoms in any given patient may be related to the illness being treated.

5.3 Decreased Iq Following in Utero

Valproate can cause decreased IQ scores following in uteroexposure. Published epidemiological studies have indicated that children exposed to valproate in uterohave lower cognitive test scores than children exposed in uteroto either another antiepileptic drug or to no antiepileptic drugs. The largest of these studies 1is a prospective cohort study conducted in the United States and United Kingdom that found that children with prenatal exposure to valproate (n=62) had lower IQ scores at age 6 (97 [95% C.I. 94 to 101]) than children with prenatal exposure to the other antiepileptic drug monotherapy treatments evaluated: lamotrigine (108 [95% C.I. 105 to 110]), carbamazepine (105 [95% C.I. 102 to 108]), and phenytoin (108 [95% C.I. 104 to 112]). It is not known when during pregnancy cognitive effects in valproate-exposed children occur. Because the women in this study were exposed to antiepileptic drugs throughout pregnancy, whether the risk for decreased IQ was related to a particular time period during pregnancy could not be assessed.

Although all of the available studies have methodological limitations, the weight of the evidence supports the conclusion that valproate exposure in uterocan cause decreased IQ in children.

In animal studies, offspring with prenatal exposure to valproate had malformations similar to those seen in humans and demonstrated neurobehavioral deficits [see Use in Specific Populations (8.1)] .

16 How Supplied/storage and Handling

Divalproex sodium delayed-release tablets, USP are supplied as 125 mg, 250 mg and 500 mg (as valproic acid) tablets for oral administration. The 125 mg (as valproic acid) tablets are rose-colored, enteric-coated, capsule-shaped, imprinted with "U-S 125". The 250 mg (as valproic acid) tablets are peach-colored, enteric-coated, capsule-shaped, imprinted with "U-S 250". The 500 mg (as valproic acid) tablets are light pink-colored, enteric-coated, capsule-shaped, imprinted with "U-S 500".

125 mg (as valproic acid) tablets:

Bottles of 100 with a child-resistant closure, NDC 0832-7122-11

NDC 0832-7122-15 Bottles of 500

250 mg (as valproic acid) tablets:

Bottles of 100 with a child-resistant closure, NDC 0832-7123-11

NDC 0832-7123-15 Bottles of 500

NDC 0832-7123-01 Unit Dose Cartons of 100

500 mg (as valproic acid) tablets:

Bottles of 100 with a child resistant closure, NDC 0832-7124-11

NDC 0832-7124-15 Bottles of 500

NDC 0832-7124-01 Unit Dose Cartons of 100

5.18 Medication Residue in the Stool

There have been rare reports of medication residue in the stool. Some patients have had anatomic (including ileostomy or colostomy) or functional gastrointestinal disorders with shortened GI transit times. In some reports, medication residues have occurred in the context of diarrhea. It is recommended that plasma valproate levels be checked in patients who experience medication residue in the stool, and patients' clinical condition should be monitored. If clinically indicated, alternative treatment may be considered.

7.2 Effects of Valproate On Other Drugs

Valproate has been found to be a weak inhibitor of some P450 isozymes, epoxide hydrase, and glucuronosyltransferases.

The following list provides information about the potential for an influence of valproate co-administration on the pharmacokinetics or pharmacodynamics of several commonly prescribed medications. The list is not exhaustive, since new interactions are continuously being reported.

2.5 Dosing in Patients Taking Rufinamide

Patients stabilized on rufinamide before being prescribed valproate should begin valproate therapy at a low dose, and titrate to a clinically effective dose [see Drug Interactions (7.2)] .

5.15 Monitoring: Drug Plasma Concentration

Since valproate may interact with concurrently administered drugs which are capable of enzyme induction, periodic plasma concentration determinations of valproate and concomitant drugs are recommended during the early course of therapy [see Drug Interactions (7)] .

5.4 Use in Women of Childbearing Potential

Because of the risk to the fetus of decreased IQ, neurodevelopmental disorders, and major congenital malformations (including neural tube defects), which may occur very early in pregnancy, valproate should not be administered to a woman of childbearing potential unless other medications have failed to provide adequate symptom control or are otherwise unacceptable. This is especially important when valproate use is considered for a condition not usually associated with permanent injury or death such as prophylaxis of migraine headaches [see Contraindications (4)] . Women should use effective contraception while using valproate.

Women of childbearing potential should be counseled regularly regarding the relative risks and benefits of valproate use during pregnancy. This is especially important for women planning a pregnancy and for girls at the onset of puberty; alternative therapeutic options should be considered for these patients [see Boxed Warningand Use in Specific Populations (8.1)] .

To prevent major seizures, valproate should not be discontinued abruptly, as this can precipitate status epilepticus with resulting maternal and fetal hypoxia and threat to life.

Evidence suggests that folic acid supplementation prior to conception and during the first trimester of pregnancy decreases the risk for congenital neural tube defects in the general population. It is not known whether the risk of neural tube defects or decreased IQ in the offspring of women receiving valproate is reduced by folic acid supplementation. Dietary folic acid supplementation both prior to conception and during pregnancy should be routinely recommended for patients using valproate.

Warning: Life Threatening Adverse Reactions

WARNING: LIFE THREATENING ADVERSE REACTIONS

See full prescribing information for complete boxed warning.

  • Hepatotoxicity, including fatalities, usually during the first 6 months of treatment. Children under the age of two years and patients with mitochondrial disorders are at higher risk. Monitor patients closely, and perform serum liver testing prior to therapy and at frequent intervals thereafter ( 5.1)
  • Fetal Risk, particularly neural tube defects, other major malformations, and decreased IQ ( 5.2, 5.3, 5.4)
  • Pancreatitis, including fatal hemorrhagic cases ( 5.5)
5.13 Interaction With Carbapenem Antibiotics

Carbapenem antibiotics (for example, ertapenem, imipenem, meropenem; this is not a complete list) may reduce serum valproate concentrations to subtherapeutic levels, resulting in loss of seizure control. Serum valproate concentrations should be monitored frequently after initiating carbapenem therapy. Alternative antibacterial or anticonvulsant therapy should be considered if serum valproate concentrations drop significantly or seizure control deteriorates [see Drug Interactions (7.1)] .

5.17 Effect On Hiv and Cmv Viruses Replication

There are in vitrostudies that suggest valproate stimulates the replication of the HIV and CMV viruses under certain experimental conditions. The clinical consequence, if any, is not known. Additionally, the relevance of these in vitrofindings is uncertain for patients receiving maximally suppressive antiretroviral therapy. Nevertheless, these data should be borne in mind when interpreting the results from regular monitoring of the viral load in HIV infected patients receiving valproate or when following CMV infected patients clinically.

5.8 Bleeding and Other Hematopoietic Disorders

Valproate is associated with dose-related thrombocytopenia. In a clinical trial of valproate as monotherapy in patients with epilepsy, 34/126 patients (27%) receiving approximately 50 mg/kg/day on average, had at least one value of platelets ≤ 75 × 10 9/L. Approximately half of these patients had treatment discontinued, with return of platelet counts to normal. In the remaining patients, platelet counts normalized with continued treatment. In this study, the probability of thrombocytopenia appeared to increase significantly at total valproate concentrations of ≥110 mcg/mL (females) or ≥135 mcg/mL (males). The therapeutic benefit which may accompany the higher doses should therefore be weighed against the possibility of a greater incidence of adverse effects. Valproate use has also been associated with decreases in other cell lines and myelodysplasia.

Because of reports of cytopenias, inhibition of the secondary phase of platelet aggregation, and abnormal coagulation parameters, (e.g., low fibrinogen, coagulation factor deficiencies, acquired von Willebrand's disease), measurements of complete blood counts and coagulation tests are recommended before initiating therapy and at periodic intervals. It is recommended that patients receiving divalproex sodium delayed-release tablets be monitored for blood counts and coagulation parameters prior to planned surgery and during pregnancy [see Use in Specific Populations (8.1)] . Evidence of hemorrhage, bruising, or a disorder of hemostasis/coagulation is an indication for reduction of the dosage or withdrawal of therapy.

5.16 Effect On Ketone and Thyroid Function Tests

Valproate is partially eliminated in the urine as a keto-metabolite which may lead to a false interpretation of the urine ketone test.

There have been reports of altered thyroid function tests associated with valproate. The clinical significance of these is unknown.

Principal Display Panel 125 Mg Tablet Bottle Label

NDC 0832-7122-11

Divalproex Sodium

Delayed-Release

Tablets, USP

125 mg

Valproic Acid Activity

PHARMACIST: Dispense

the Medication Guide

provided separately

to each patient.

100 Tablets

Rx only

UPSHER-SMITH

Principal Display Panel 250 Mg Tablet Bottle Label

NDC 0832-7123-11

Divalproex Sodium

Delayed-Release

Tablets, USP

250 mg

Valproic Acid Activity

PHARMACIST: Dispense

the Medication Guide

provided separately

to each patient.

100 Tablets

Rx only

UPSHER-SMITH

Principal Display Panel 500 Mg Tablet Bottle Label

NDC 0832-7124-11

Divalproex Sodium

Delayed-Release

Tablets, USP

500 mg

Valproic Acid Activity

PHARMACIST: Dispense

the Medication Guide

provided separately

to each patient.

100 Tablets

Rx only

UPSHER-SMITH

7.1 Effects of Co Administered Drugs On Valproate Clearance

Drugs that affect the level of expression of hepatic enzymes, particularly those that elevate levels of glucuronosyltransferases (such as ritonavir), may increase the clearance of valproate. For example, phenytoin, carbamazepine, and phenobarbital (or primidone) can double the clearance of valproate. Thus, patients on monotherapy will generally have longer half-lives and higher concentrations than patients receiving polytherapy with antiepilepsy drugs.

In contrast, drugs that are inhibitors of cytochrome P450 isozymes, e.g., antidepressants, may be expected to have little effect on valproate clearance because cytochrome P450 microsomal mediated oxidation is a relatively minor secondary metabolic pathway compared to glucuronidation and beta-oxidation.

Because of these changes in valproate clearance, monitoring of valproate and concomitant drug concentrations should be increased whenever enzyme inducing drugs are introduced or withdrawn.

The following list provides information about the potential for an influence of several commonly prescribed medications on valproate pharmacokinetics. The list is not exhaustive nor could it be, since new interactions are continuously being reported.

5.10 Hyperammonemia and Encephalopathy Associated With Concomitant Topiramate Use

Concomitant administration of topiramate and valproate has been associated with hyperammonemia with or without encephalopathy in patients who have tolerated either drug alone. Clinical symptoms of hyperammonemic encephalopathy often include acute alterations in level of consciousness and/or cognitive function with lethargy or vomiting. Hypothermia can also be a manifestation of hyperammonemia [see Warnings and Precautions (5.11)] . In most cases, symptoms and signs abated with discontinuation of either drug. This adverse reaction is not due to a pharmacokinetic interaction. Patients with inborn errors of metabolism or reduced hepatic mitochondrial activity may be at an increased risk for hyperammonemia with or without encephalopathy. Although not studied, an interaction of topiramate and valproate may exacerbate existing defects or unmask deficiencies in susceptible persons. In patients who develop unexplained lethargy, vomiting, or changes in mental status, hyperammonemic encephalopathy should be considered and an ammonia level should be measured [see Contraindications (4)and Warnings and Precautions (5.6, 5.9)] .

5.12 Drug Reaction With Eosinophilia and Systemic Symptoms (dress)/multiorgan Hypersensitivity Reactions

Drug Reaction with Eosinophilia and Systemic Symptoms (DRESS), also known as Multiorgan Hypersensitivity, has been reported in patients taking valproate. DRESS may be fatal or life-threatening. DRESS typically, although not exclusively, presents with fever, rash, lymphadenopathy, and/or facial swelling, in association with other organ system involvement, such as hepatitis, nephritis, hematological abnormalities, myocarditis, or myositis sometimes resembling an acute viral infection. Eosinophilia is often present. Because this disorder is variable in its expression, other organ systems not noted here may be involved. It is important to note that early manifestations of hypersensitivity, such as fever or lymphadenopathy, may be present even though rash is not evident. If such signs or symptoms are present, the patient should be evaluated immediately. Valproate should be discontinued and not be resumed if an alternative etiology for the signs or symptoms cannot be established.


Structured Label Content

Section 42229-5 (42229-5)

Hepatotoxicity

Section 44425-7 (44425-7)

Store at 20° to 25°C (68° to 77°F); excursions permitted to 15° to 30°C (59° to 86°F) [See USP Controlled Room Temperature].

Dispense in a tight, light-resistant container with a child-resistant closure.

1.1 Mania

Divalproex sodium is a valproate and is indicated for the treatment of the manic episodes associated with bipolar disorder. A manic episode is a distinct period of abnormally and persistently elevated, expansive, or irritable mood. Typical symptoms of mania include pressure of speech, motor hyperactivity, reduced need for sleep, flight of ideas, grandiosity, poor judgment, aggressiveness, and possible hostility.

The efficacy of divalproex sodium delayed-release tablets was established in 3-week trials with patients meeting DSM-III-R criteria for bipolar disorder who were hospitalized for acute mania [see Clinical Studies (14.1)] .

The safety and effectiveness of divalproex sodium delayed-release tablets for long-term use in mania, i.e., more than 3 weeks, has not been demonstrated in controlled clinical trials. Therefore, healthcare providers who elect to use divalproex sodium delayed-release tablets for extended periods should continually reevaluate the long-term usefulness of the drug for the individual patient.

2.1 Mania

Divalproex sodium delayed-release tablets are administered orally. The recommended initial dose is 750 mg daily in divided doses. The dose should be increased as rapidly as possible to achieve the lowest therapeutic dose which produces the desired clinical effect or the desired range of plasma concentrations. In placebo-controlled clinical trials of acute mania, patients were dosed to a clinical response with a trough plasma concentration between 50 and 125 mcg/mL. Maximum concentrations were generally achieved within 14 days. The maximum recommended dosage is 60 mg/kg/day.

There is no body of evidence available from controlled trials to guide a clinician in the longer term management of a patient who improves during divalproex sodium delayed-release tablets treatment of an acute manic episode. While it is generally agreed that pharmacological treatment beyond an acute response in mania is desirable, both for maintenance of the initial response and for prevention of new manic episodes, there are no data to support the benefits of divalproex sodium delayed-release tablets in such longer-term treatment. Although there are no efficacy data that specifically address longer-term antimanic treatment with divalproex sodium delayed-release tablets, the safety of divalproex sodium delayed-release tablets in long-term use is supported by data from record reviews involving approximately 360 patients treated with divalproex sodium delayed-release tablets for greater than 3 months.

6.1 Mania

The incidence of treatment-emergent events has been ascertained based on combined data from two three week placebo-controlled clinical trials of divalproex sodium in the treatment of manic episodes associated with bipolar disorder. The adverse reactions were usually mild or moderate in intensity, but sometimes were serious enough to interrupt treatment. In clinical trials, the rates of premature termination due to intolerance were not statistically different between placebo, divalproex sodium, and lithium carbonate. A total of 4%, 8% and 11% of patients discontinued therapy due to intolerance in the placebo, divalproex sodium, and lithium carbonate groups, respectively.

Table 2 summarizes those adverse reactions reported for patients in these trials where the incidence rate in the divalproex sodium-treated group was greater than 5% and greater than the placebo incidence, or where the incidence in the divalproex sodium-treated group was statistically significantly greater than the placebo group. Vomiting was the only reaction that was reported by significantly (p ≤ 0.05) more patients receiving divalproex sodium compared to placebo.

Table 2. Adverse Reactions Reported by > 5% of Divalproex Sodium-Treated Patients During Placebo-Controlled Trials of Acute Mania
The following adverse reactions occurred at an equal or greater incidence for placebo than for divalproex sodium: back pain, headache, constipation, diarrhea, tremor, and pharyngitis.
Adverse Reaction Divalproex Sodium

(n = 89)

%
Placebo

(n = 97)

%
Nausea 22 15
Somnolence 19 12
Dizziness 12 4
Vomiting 12 3
Accidental Injury 11 5
Asthenia 10 7
Abdominal Pain 9 8
Dyspepsia 9 8
Rash 6 3

The following additional adverse reactions were reported by greater than 1% but not more than 5% of the 89 divalproex sodium-treated patients in controlled clinical trials:

Body as a Whole: Chest pain, chills, chills and fever, fever, neck pain, neck rigidity.

Cardiovascular System: Hypertension, hypotension, palpitations, postural hypotension, tachycardia, vasodilation.

Digestive System: Anorexia, fecal incontinence, flatulence, gastroenteritis, glossitis, periodontal abscess.

Hemic and Lymphatic System: Ecchymosis.

Metabolic and Nutritional Disorders: Edema, peripheral edema.

Musculoskeletal System: Arthralgia, arthrosis, leg cramps, twitching.

Nervous System: Abnormal dreams, abnormal gait, agitation, ataxia, catatonic reaction, confusion, depression, diplopia, dysarthria, hallucinations, hypertonia, hypokinesia, insomnia, paresthesia, reflexes increased, tardive dyskinesia, thinking abnormalities, vertigo.

Respiratory System: Dyspnea, rhinitis.

Skin and Appendages: Alopecia, discoid lupus erythematosus, dry skin, furunculosis, maculopapular rash, seborrhea.

Special Senses: Amblyopia, conjunctivitis, deafness, dry eyes, ear pain, eye pain, tinnitus.

Urogenital System: Dysmenorrhea, dysuria, urinary incontinence.

14.1 Mania

The effectiveness of divalproex sodium for the treatment of acute mania was demonstrated in two 3-week, placebo controlled, parallel group studies.

1.2 Epilepsy

Divalproex sodium delayed-release tablets are indicated as monotherapy and adjunctive therapy in the treatment of patients with complex partial seizures that occur either in isolation or in association with other types of seizures. Divalproex sodium delayed-release tablets are also indicated for use as sole and adjunctive therapy in the treatment of simple and complex absence seizures, and adjunctively in patients with multiple seizure types that include absence seizures.

Simple absence is defined as very brief clouding of the sensorium or loss of consciousness accompanied by certain generalized epileptic discharges without other detectable clinical signs. Complex absence is the term used when other signs are also present.

1.3 Migraine

Divalproex sodium delayed-release tablets are indicated for prophylaxis of migraine headaches. There is no evidence that divalproex sodium delayed-release tablets are useful in the acute treatment of migraine headaches.

2.2 Epilepsy

Divalproex sodium delayed-release tablets are administered orally. Divalproex sodium delayed-release tablets are indicated as monotherapy and adjunctive therapy in complex partial seizures in adults and pediatric patients down to the age of 10 years, and in simple and complex absence seizures. As the divalproex sodium delayed-release tablets dosage is titrated upward, concentrations of clonazepam, diazepam, ethosuximide, lamotrigine, tolbutamide, phenobarbital, carbamazepine, and/or phenytoin may be affected [see Drug Interactions (7.2)] .

2.3 Migraine

Divalproex sodium delayed-release tablets are indicated for prophylaxis of migraine headaches in adults.

Divalproex sodium delayed-release tablets are administered orally. The recommended starting dose is 250 mg twice daily. Some patients may benefit from doses up to 1,000 mg/day. In the clinical trials, there was no evidence that higher doses led to greater efficacy.

6.2 Epilepsy

Based on a placebo-controlled trial of adjunctive therapy for treatment of complex partial seizures, divalproex sodium was generally well tolerated with most adverse reactions rated as mild to moderate in severity. Intolerance was the primary reason for discontinuation in the divalproex sodium-treated patients (6%), compared to 1% of placebo-treated patients.

Table 3 lists treatment-emergent adverse reactions which were reported by ≥5% of divalproex sodium-treated patients and for which the incidence was greater than in the placebo group, in the placebo-controlled trial of adjunctive therapy for treatment of complex partial seizures. Since patients were also treated with other antiepilepsy drugs, it is not possible, in most cases, to determine whether the following adverse reactions can be ascribed to divalproex sodium alone, or the combination of divalproex sodium and other antiepilepsy drugs.

Table 3. Adverse Reactions Reported by ≥ 5% of Patients Treated with Divalproex Sodium During Placebo-Controlled Trial of Adjunctive Therapy for Complex Partial Seizures
Body System/Reaction Divalproex Sodium

(n = 77)

%
Placebo

(n = 70)

%
Body as a Whole
  Headache 31 21
  Asthenia 27 7
  Fever 6 4
Gastrointestinal System
  Nausea 48 14
  Vomiting 27 7
  Abdominal Pain 23 6
  Diarrhea 13 6
  Anorexia 12 0
  Dyspepsia 8 4
  Constipation 5 1
Nervous System
  Somnolence 27 11
  Tremor 25 6
  Dizziness 25 13
  Diplopia 16 9
  Amblyopia/Blurred Vision 12 9
  Ataxia 8 1
  Nystagmus 8 1
  Emotional Lability 6 4
  Thinking Abnormal 6 0
  Amnesia 5 1
Respiratory System
  Flu Syndrome 12 9
  Infection 12 6
  Bronchitis 5 1
  Rhinitis 5 4
Other
  Alopecia 6 1
  Weight Loss 6 0

Table 4 lists treatment-emergent adverse reactions which were reported by ≥ 5% of patients in the high dose valproate group, and for which the incidence was greater than in the low dose group, in a controlled trial of divalproex sodium monotherapy treatment of complex partial seizures. Since patients were being titrated off another antiepilepsy drug during the first portion of the trial, it is not possible, in many cases, to determine whether the following adverse reactions can be ascribed to divalproex sodium alone, or the combination of valproate and other antiepilepsy drugs.

Table 4. Adverse Reactions Reported by ≥ 5% of Patients in the High Dose Group in the Controlled Trial of Valproate Monotherapy for Complex Partial Seizures
Headache was the only adverse reaction that occurred in ≥ 5% of patients in the high dose group and at an equal or greater incidence in the low dose group.
Body System/Reaction High Dose

(n = 131)

%
Low Dose

(n = 134)

%
Body as a Whole
  Asthenia 21 10
Digestive System
  Nausea 34 26
  Diarrhea 23 19
  Vomiting 23 15
  Abdominal Pain 12 9
  Anorexia 11 4
  Dyspepsia 11 10
Hemic/Lymphatic System
  Thrombocytopenia 24 1
  Ecchymosis 5 4
Metabolic/Nutritional
  Weight Gain 9 4
  Peripheral Edema 8 3
Nervous System
  Tremor 57 19
  Somnolence 30 18
  Dizziness 18 13
  Insomnia 15 9
  Nervousness 11 7
  Amnesia 7 4
  Nystagmus 7 1
  Depression 5 4
Respiratory System
  Infection 20 13
  Pharyngitis 8 2
  Dyspnea 5 1
Skin and Appendages
  Alopecia 24 13
Special Senses
  Amblyopia/Blurred Vision 8 4
  Tinnitus 7 1

The following additional adverse reactions were reported by greater than 1% but less than 5% of the 358 patients treated with valproate in the controlled trials of complex partial seizures:

Body as a Whole: Back pain, chest pain, malaise.

Cardiovascular System: Tachycardia, hypertension, palpitation.

Digestive System: Increased appetite, flatulence, hematemesis, eructation, pancreatitis, periodontal abscess.

Hemic and Lymphatic System: Petechia.

Metabolic and Nutritional Disorders: SGOT increased, SGPT increased.

Musculoskeletal System: Myalgia, twitching, arthralgia, leg cramps, myasthenia.

Nervous System: Anxiety, confusion, abnormal gait, paresthesia, hypertonia, incoordination, abnormal dreams, personality disorder.

Respiratory System: Sinusitis, cough increased, pneumonia, epistaxis.

Skin and Appendages: Rash, pruritus, dry skin.

Special Senses: Taste perversion, abnormal vision, deafness, otitis media.

Urogenital System: Urinary incontinence, vaginitis, dysmenorrhea, amenorrhea, urinary frequency.

6.3 Migraine

Based on two placebo-controlled clinical trials and their long term extension, valproate was generally well tolerated with most adverse reactions rated as mild to moderate in severity. Of the 202 patients exposed to valproate in the placebo-controlled trials, 17% discontinued for intolerance. This is compared to a rate of 5% for the 81 placebo patients. Including the long term extension study, the adverse reactions reported as the primary reason for discontinuation by ≥ 1% of 248 valproate-treated patients were alopecia (6%), nausea and/or vomiting (5%), weight gain (2%), tremor (2%), somnolence (1%), elevated SGOT and/or SGPT (1%), and depression (1%).

Table 5 includes those adverse reactions reported for patients in the placebo-controlled trials where the incidence rate in the divalproex sodium-treated group was greater than 5% and was greater than that for placebo patients.

Table 5. Adverse Reactions Reported by > 5% of Divalproex Sodium-Treated Patients During Migraine Placebo-Controlled Trials with a Greater Incidence Than Patients Taking Placebo
The following adverse reactions occurred in at least 5% of divalproex sodium-treated patients and at an equal or greater incidence for placebo than for divalproex sodium: flu syndrome and pharyngitis.
Body System Reaction Divalproex Sodium

(N = 202)

%
Placebo

(N = 81)

%
Gastrointestinal System
  Nausea 31 10
  Dyspepsia 13 9
  Diarrhea 12 7
  Vomiting 11 1
  Abdominal Pain 9 4
  Increased Appetite 6 4
Nervous System
  Asthenia 20 9
  Somnolence 17 5
  Dizziness 12 6
  Tremor 9 0
Other
  Weight Gain 8 2
  Back Pain 8 6
  Alopecia 7 1

The following additional adverse reactions were reported by greater than 1% but not more than 5% of the 202 divalproex sodium-treated patients in the controlled clinical trials:

Body as a Whole: Chest pain, chills, face edema, fever and malaise.

Cardiovascular System: Vasodilatation.

Digestive System: Anorexia, constipation, dry mouth, flatulence, gastrointestinal disorder (unspecified), and stomatitis.

Hemic and Lymphatic System: Ecchymosis.

Metabolic and Nutritional Disorders: Peripheral edema, SGOT increase, and SGPT increase.

Musculoskeletal System: Leg cramps and myalgia.

Nervous System: Abnormal dreams, amnesia, confusion, depression, emotional lability, insomnia, nervousness, paresthesia, speech disorder, thinking abnormalities, and vertigo.

Respiratory System: Cough increased, dyspnea, rhinitis, and sinusitis.

Skin and Appendages: Pruritus and rash.

Special Senses: Conjunctivitis, ear disorder, taste perversion, and tinnitus.

Urogenital System: Cystitis, metrorrhagia, and vaginal hemorrhage.

10 Overdosage (10 OVERDOSAGE)

Overdosage with valproate may result in somnolence, heart block, deep coma, and hypernatremia. Fatalities have been reported; however patients have recovered from valproate levels as high as 2,120 mcg/mL.

In overdose situations, the fraction of drug not bound to protein is high and hemodialysis or tandem hemodialysis plus hemoperfusion may result in significant removal of drug. The benefit of gastric lavage or emesis will vary with the time since ingestion. General supportive measures should be applied with particular attention to the maintenance of adequate urinary output.

Naloxone has been reported to reverse the CNS depressant effects of valproate overdosage. Because naloxone could theoretically also reverse the antiepileptic effects of valproate, it should be used with caution in patients with epilepsy.

14.2 Epilepsy

The efficacy of valproate in reducing the incidence of complex partial seizures (CPS) that occur in isolation or in association with other seizure types was established in two controlled trials.

In one, multi-clinic, placebo controlled study employing an add-on design (adjunctive therapy), 144 patients who continued to suffer eight or more CPS per 8 weeks during an 8 week period of monotherapy with doses of either carbamazepine or phenytoin sufficient to assure plasma concentrations within the "therapeutic range" were randomized to receive, in addition to their original antiepilepsy drug (AED), either divalproex sodium or placebo. Randomized patients were to be followed for a total of 16 weeks. The following table presents the findings.

Table 8. Adjunctive Therapy Study Median Incidence of CPS per 8 Weeks
Add-on Treatment Number of Patients Baseline Incidence Experimental Incidence
Divalproex Sodium 75 16.0 8.9
Reduction from baseline statistically significantly greater for valproate than placebo at p ≤ 0.05 level.
Placebo 69 14.5 11.5

Figure 2 presents the proportion of patients (X axis) whose percentage reduction from baseline in complex partial seizure rates was at least as great as that indicated on the Y axis in the adjunctive therapy study. A positive percent reduction indicates an improvement (i.e., a decrease in seizure frequency), while a negative percent reduction indicates worsening. Thus, in a display of this type, the curve for an effective treatment is shifted to the left of the curve for placebo. This figure shows that the proportion of patients achieving any particular level of improvement was consistently higher for valproate than for placebo. For example, 45% of patients treated with valproate had a ≥ 50% reduction in complex partial seizure rate compared to 23% of patients treated with placebo.

Figure 2

The second study assessed the capacity of valproate to reduce the incidence of CPS when administered as the sole AED. The study compared the incidence of CPS among patients randomized to either a high or low dose treatment arm. Patients qualified for entry into the randomized comparison phase of this study only if 1) they continued to experience 2 or more CPS per 4 weeks during an 8 to 12 week long period of monotherapy with adequate doses of an AED (i.e., phenytoin, carbamazepine, phenobarbital, or primidone) and 2) they made a successful transition over a two week interval to valproate. Patients entering the randomized phase were then brought to their assigned target dose, gradually tapered off their concomitant AED and followed for an interval as long as 22 weeks. Less than 50% of the patients randomized, however, completed the study. In patients converted to divalproex sodium monotherapy, the mean total valproate concentrations during monotherapy were 71 and 123 mcg/mL in the low dose and high dose groups, respectively.

The following table presents the findings for all patients randomized who had at least one post-randomization assessment.

Table 9. Monotherapy Study Median Incidence of CPS per 8 Weeks
Treatment Number of Patients Baseline Incidence Randomized Phase Incidence
High dose Divalproex Sodium 131 13.2 10.7
Reduction from baseline statistically significantly greater for high dose than low dose at p ≤ 0.05 level.
Low dose Divalproex Sodium 134 14.2 13.8

Figure 3 presents the proportion of patients (X axis) whose percentage reduction from baseline in complex partial seizure rates was at least as great as that indicated on the Y axis in the monotherapy study. A positive percent reduction indicates an improvement (i.e., a decrease in seizure frequency), while a negative percent reduction indicates worsening. Thus, in a display of this type, the curve for a more effective treatment is shifted to the left of the curve for a less effective treatment. This figure shows that the proportion of patients achieving any particular level of reduction was consistently higher for high dose valproate than for low dose valproate. For example, when switching from carbamazepine, phenytoin, phenobarbital or primidone monotherapy to high dose valproate monotherapy, 63% of patients experienced no change or a reduction in complex partial seizure rates compared to 54% of patients receiving low dose valproate.

Figure 3

Information on pediatric studies is presented in section 8.

14.3 Migraine

The results of two multicenter, randomized, double-blind, placebo-controlled clinical trials established the effectiveness of divalproex sodium in the prophylactic treatment of migraine headache.

Both studies employed essentially identical designs and recruited patients with a history of migraine with or without aura (of at least 6 months in duration) who were experiencing at least 2 migraine headaches a month during the 3 months prior to enrollment. Patients with cluster headaches were excluded. Women of childbearing potential were excluded entirely from one study, but were permitted in the other if they were deemed to be practicing an effective method of contraception.

In each study following a 4-week single-blind placebo baseline period, patients were randomized, under double blind conditions, to divalproex sodium or placebo for a 12-week treatment phase, comprised of a 4-week dose titration period followed by an 8-week maintenance period. Treatment outcome was assessed on the basis of 4-week migraine headache rates during the treatment phase.

In the first study, a total of 107 patients (24 M, 83 F), ranging in age from 26 to 73 were randomized 2:1, divalproex sodium to placebo. Ninety patients completed the 8-week maintenance period. Drug dose titration, using 250 mg tablets, was individualized at the investigator's discretion. Adjustments were guided by actual/sham trough total serum valproate levels in order to maintain the study blind. In patients on divalproex sodium doses ranged from 500 to 2,500 mg a day. Doses over 500 mg were given in three divided doses (TID). The mean dose during the treatment phase was 1,087 mg/day resulting in a mean trough total valproate level of 72.5 mcg/mL, with a range of 31 to 133 mcg/mL.

The mean 4-week migraine headache rate during the treatment phase was 5.7 in the placebo group compared to 3.5 in the divalproex sodium group (see Figure 4). These rates were significantly different.

In the second study, a total of 176 patients (19 males and 157 females), ranging in age from 17 to 76 years, were randomized equally to one of three divalproex sodium dose groups (500, 1,000, or 1,500 mg/day) or placebo. The treatments were given in two divided doses (BID). One hundred thirty-seven patients completed the 8-week maintenance period. Efficacy was to be determined by a comparison of the 4-week migraine headache rate in the combined 1,000/1,500 mg/day group and placebo group.

The initial dose was 250 mg daily. The regimen was advanced by 250 mg every 4 days (8 days for 500 mg/day group), until the randomized dose was achieved. The mean trough total valproate levels during the treatment phase were 39.6, 62.5, and 72.5 mcg/mL in the divalproex sodium 500, 1,000, and 1,500 mg/day groups, respectively.

The mean 4-week migraine headache rates during the treatment phase, adjusted for differences in baseline rates, were 4.5 in the placebo group, compared to 3.3, 3.0, and 3.3 in the divalproex sodium 500, 1,000, and 1,500 mg/day groups, respectively, based on intent-to-treat results (see Figure 4). Migraine headache rates in the combined divalproex sodium 1,000/1,500 mg group were significantly lower than in the placebo group.

Figure 4 Mean 4-week Migraine Rates

1. Mean dose of divalproex sodium was 1,087 mg/day.

2. Dose of divalproex sodium was 500 or 1,000 mg/day.

15 References (15 REFERENCES)
  • Meador KJ, Baker GA, Browning N, et al. Fetal antiepileptic drug exposure and cognitive outcomes at age 6 years (NEAD study): a prospective observational study. Lancet Neurology 2013; 12 (3):244–252.
11 Description (11 DESCRIPTION)

Divalproex sodium is a stable co-ordination compound comprised of sodium valproate and valproic acid in a 1:1 molar relationship and formed during the partial neutralization of valproic acid with 0.5 equivalent of sodium hydroxide. Chemically it is designated as sodium hydrogen bis(2-propylpentanoate). Divalproex sodium has the following structure:

Divalproex sodium occurs as a white powder with a characteristic odor.

Divalproex sodium delayed-release tablets, USP are for oral administration. Divalproex sodium delayed-release tablets, USP are supplied in three dosage strengths containing divalproex sodium equivalent to 125 mg, 250 mg, or 500 mg of valproic acid.

7.3 Topiramate

Concomitant administration of valproate and topiramate has been associated with hyperammonemia with and without encephalopathy [see Contraindications (4)and Warnings and Precautions (5.6, 5.9, 5.10)] . Concomitant administration of topiramate with valproate has also been associated with hypothermia in patients who have tolerated either drug alone. It may be prudent to examine blood ammonia levels in patients in whom the onset of hypothermia has been reported [see Warnings and Precautions (5.9, 5.11)] .

7.4 Cannabidiol

Concomitant administration of valproate and cannabidiol has been associated with an increased risk of ALT and/or AST elevation. This has been manageable by dose reduction or, in more severe cases, by discontinuation of one or both drugs. Liver function, including serum transaminase and total bilirubin levels, should be monitored during concomitant treatment [see Warnings and Precautions (5.1)] .

5.11 Hypothermia

Hypothermia, defined as an unintentional drop in body core temperature to <35°C (95°F), has been reported in association with valproate therapy both in conjunction with and in the absence of hyperammonemia. This adverse reaction can also occur in patients using concomitant topiramate with valproate after starting topiramate treatment or after increasing the daily dose of topiramate [see Drug Interactions (7.3)] . Consideration should be given to stopping valproate in patients who develop hypothermia, which may be manifested by a variety of clinical abnormalities including lethargy, confusion, coma, and significant alterations in other major organ systems such as the cardiovascular and respiratory systems. Clinical management and assessment should include examination of blood ammonia levels.

5.5 Pancreatitis

Cases of life-threatening pancreatitis have been reported in both children and adults receiving valproate. Some of the cases have been described as hemorrhagic with rapid progression from initial symptoms to death. Some cases have occurred shortly after initial use as well as after several years of use. The rate based upon the reported cases exceeds that expected in the general population and there have been cases in which pancreatitis recurred after rechallenge with valproate. In clinical trials, there were 2 cases of pancreatitis without alternative etiology in 2,416 patients, representing 1,044 patient-years experience. Patients and guardians should be warned that abdominal pain, nausea, vomiting, and/or anorexia can be symptoms of pancreatitis that require prompt medical evaluation. If pancreatitis is diagnosed, divalproex sodium delayed-release tablets should ordinarily be discontinued. Alternative treatment for the underlying medical condition should be initiated as clinically indicated [see Boxed Warning] .

Medication Guide (MEDICATION GUIDE)

Divalproex Sodium (dye val′ proe ex soe′ dee um) Delayed-Release Tablets, USP

What is the most important information I should know about divalproex sodium delayed-release tablets?

Do not stop divalproex sodium delayed-release tablets without first talking to a healthcare provider.Stopping divalproex sodium delayed-release tablets suddenly can cause serious problems. Stopping a seizure medicine suddenly in a patient who has epilepsy can cause seizures that will not stop (status epilepticus).

Divalproex sodium delayed-release tablets can cause serious side effects, including:

  • Serious liver damage that can cause death, especially in children younger than 2 years old and patients with mitochondrial disorders.The risk of getting this serious liver damage is more likely to happen within the first 6 months of treatment.

    Call your healthcare provider right away if you get any of the following symptoms:
    • feeling very weak, tired, or uncomfortable (malaise)
    • swelling of your face
    • not feeling hungry
    • nausea or vomiting that does not go away
    • diarrhea
    • pain on the right side of your stomach (abdomen)
    • dark urine
    • yellowing of your skin or the whites of your eyes
    • loss of seizure control in people with epilepsy

In some cases, liver damage may continue even though the medicine is stopped. Your healthcare provider will do blood tests to check your liver before and during treatment with divalproex sodium delayed-release tablets.

  • Divalproex sodium delayed-release tablets may harm your unborn baby.
    • If you take divalproex sodium delayed-release tablets during pregnancy for any medical condition, your baby is at risk for serious birth defects that affect the brain and spinal cord (such as spina bifida or neural tube defects). These defects can begin in the first month, even before you know you are pregnant. Other birth defects that affect the structures of the heart, head, arms, legs, and the opening where the urine comes out (urethra) on the bottom of the penis can also happen. Decreased hearing or hearing loss can also happen.
    • Birth defects may occur even in children born to women who are not taking any medicines and do not have other risk factors.
    • Taking folic acid supplements before getting pregnant and during early pregnancy can lower the chance of having a baby with a neural tube defect.
    • If you take divalproex sodium delayed-release tablets during pregnancy for any medical condition, your child is at risk for having lower IQ and may be at risk for developing autism or attention deficit/hyperactivity disorder.
    • There may be other medicines to treat your condition that have a lower chance of causing birth defects, decreased IQ, or other disorders in your child.
    • Women who are pregnant must not take divalproex sodium delayed-release tablets to prevent migraine headaches.
    • All women of childbearing age (including girls from the start of puberty) should talk to their healthcare provider about using other possible treatments instead of divalproex sodium delayed-release tablets. If the decision is made to use divalproex sodium delayed-release tablets, you should use effective birth control (contraception).
    • Tell your healthcare provider right away if you become pregnant while taking divalproex sodium delayed-release tablets. You and your healthcare provider should decide if you will continue to take divalproex sodium delayed-release tablets while you are pregnant.
    • Pregnancy Registry:If you become pregnant while taking divalproex sodium delayed-release tablets, talk to your healthcare provider about registering with the North American Antiepileptic Drug (NAAED) Pregnancy Registry. You can enroll in this registry by calling toll-free 1-888-233-2334 or by visiting the website, http://www.aedpregnancyregistry.org/. The purpose of this registry is to collect information about the safety of antiepileptic drugs during pregnancy.
  • Swelling (Inflammation) and bleeding (hemorrhaging) of your pancreas that can cause death.

    Call your healthcare provider right away if you have any of these symptoms:
    • severe stomach pain that you may also feel in your back
    • nausea or vomiting that does not go away
    • not feeling hungry
  • Like other antiepileptic drugs, divalproex sodium delayed-release tablets may cause suicidal thoughts or actions in a very small number of people, about 1 in 500.

    Call a healthcare provider right away if you have any of these symptoms, especially if they are new, worse, or worry you:
    • thoughts about suicide or dying
    • attempts to commit suicide
    • new or worse depression
    • new or worse anxiety
    • feeling agitated or restless
    • panic attacks
    • trouble sleeping (insomnia)
    • new or worse irritability
    • acting aggressive, being angry, or violent
    • acting on dangerous impulses
    • an extreme increase in activity and talking (mania)
    • other unusual changes in behavior or mood


    How can I watch for early symptoms of suicidal thoughts and actions?
    • Pay attention to any changes, especially sudden changes in mood, behaviors, thoughts, or feelings.
    • Keep all follow-up visits with your healthcare provider as scheduled.

Call your healthcare provider between visits as needed, especially if you are worried about symptoms.

Suicidal thoughts or actions can be caused by things other than medicines. If you have suicidal thoughts or actions, your healthcare provider may check for other causes.

What are divalproex sodium delayed-release tablets?

Divalproex sodium delayed-release tablets are a prescription medicine used:

  • alone or with other medicines to treat:
    • complex partial seizures in adults and children 10 years of age and older
    • simple and complex absence seizures
  • with other medications to treat:
    • patients with multiple seizure types that include absence seizures

Divalproex sodium delayed-release tablets are also used to prevent migraine headaches.

Divalproex sodium delayed-release tablets are also used to treat manic episodes associated with bipolar disorder.

Do not take divalproex sodium delayed-release tablets if you:

  • have liver problems
  • have or think you have a genetic liver problem caused by a mitochondrial disorder such as Alpers-Huttenlocher syndrome.
  • are allergic to divalproex sodium, valproic acid, sodium valproate, or any of the ingredients in divalproex sodium delayed-release tablets. See the end of this Medication Guide for a complete list of ingredients in divalproex sodium delayed-release tablets.
  • have a genetic problem called a urea cycle disorder.
  • are taking it to prevent migraine headaches and are either pregnant or may become pregnant because you are not using effective birth control (contraception).

Before taking divalproex sodium delayed-release tablets, tell your healthcare provider about all of your medical conditions including if you:

  • have or have had liver problems.
  • have or think you have a genetic liver problem caused by a mitochondrial disorder such as Alpers-Huttenlocher syndrome.
  • drink alcohol.
  • have or have had depression, suicidal thoughts or behavior, unusual changes in mood, or thoughts about self-harm
  • are male and plan to father a child. Divalproex sodium delayed-release tablets may cause fertility problems, which may affect your ability to father a child. Talk to your healthcare provider if this is a problem for you.
  • are pregnant or may become pregnant. Divalproex sodium delayed-release tablets may harm your unborn baby. See " 2. Divalproex sodium delayed-release tablets may harm your unborn baby" above for more information.
  • are breastfeeding. Divalproex sodium can pass into breast milk and may harm your baby. Talk to your healthcare provider about the best way to feed your baby if you take divalproex sodium delayed-release tablets.

Tell your healthcare provider about all the medicines you take,including prescription and over-the-counter medicines, vitamins, and herbal supplements.

Divalproex sodium delayed-release tablets may affect the way other medicines work, and other medicines may affect how divalproex sodium delayed-release tablets work. Using divalproex sodium delayed-release tablets with other medicines can cause serious side effects. Do notstart or stop other medicines without talking to your healthcare provider.

Especially tell your healthcare provider if you take:

  • medicines that can affect how the liver breaks down other medicines (such as phenytoin, carbamazepine, felbamate, phenobarbital, primidone, rifampin)
  • aspirin, carbapenem antibiotics, or estrogen-containing hormonal contraceptives
  • methotrexate
  • topiramate
  • cannabidiol

You can ask your healthcare provider or pharmacist for a list of these medicines if you are not sure.

Know the medicines you take. Keep a list of them and show it to your healthcare provider and pharmacist each time you get a new medicine.

How should I take divalproex sodium delayed-release tablets?

  • Divalproex sodium come in different dosage forms.
  • Take divalproex sodium delayed-release tablets exactly as your healthcare provider tells you. Your healthcare provider will tell you how much divalproex sodium delayed-release tablets to take and when to take it.
  • Your healthcare provider may change your dose, if needed.
  • Do not change your dose of divalproex sodium delayed-release tablets without talking to your healthcare provider.
  • Do not stop taking divalproex sodium delayed-release tablets without first talking to your healthcare provider.Stopping divalproex sodium delayed-release tablets suddenly can cause serious problems.
  • Swallow divalproex sodium delayed-release tablets whole. Do notcrush or chew them. Tell your healthcare provider if you cannot swallow divalproex sodium delayed-release tablets whole. You may need a different medicine.
  • If you miss a dose of divalproex sodium delayed-release tablets, take it as soon as you remember unless it's almost time for your next dose. Take the next dose at your regular time. Do nottake 2 doses at the same time.
  • If you take too much divalproex sodium delayed-release tablets, call your healthcare provider or poison control center right away.

What should I avoid while taking divalproex sodium delayed-release tablets?

  • Do notdrink alcohol while taking divalproex sodium delayed-release tablets. Divalproex sodium delayed-release tablets and alcohol can affect each other causing side effects such as sleepiness and dizziness.
  • Do not drive a car, operate dangerous machinery, or do dangerous activities until you know how divalproex sodium delayed-release tablets affect you. Divalproex sodium delayed-release tablets can slow your thinking and motor skills and may affect your vision.

What are the possible side effects of divalproex sodium delayed-release tablets?

Call your healthcare provider right away if you have any of the symptoms listed below.Your healthcare provider may do additional tests before and during your treatment with divalproex sodium delayed-release tablets. Your healthcare provider may reduce your dose, temporarily stop, or permanently stop treatment if you have certain side effects.

Divalproex sodium delayed-release tablets can cause serious side effects including:

  • increased ammonia levels in your blood.High ammonia levels can seriously affect your mental activities, slow your alertness, make you feel tired, or cause vomiting (encephalopathy). This has happened when divalproex sodium delayed-release tablets are taken alone or with a medicine called topiramate. Call your health care provider if you have any of these symptoms.
  • low body temperature (hypothermia).A drop in your body temperature to less than 95°F can happen during treatment with divalproex sodium delayed-release tablets. Call your healthcare provider if you have any of the following symptoms:
    • feeling tired
    • confusion
    • memory loss
    • drowsiness
    • coma
    • shivering
  • severe multiorgan reactions.Treatment with divalproex sodium delayed-release tablets may cause severe multiorgan reactions that can be life-threatening or may lead to death. Stop taking divalproex sodium delayed-release tablets, and contact your healthcare provider or get medical help right away if you develop any of these symptoms of a severe skin reaction:
    • fever
    • skin rash
    • hives
    • sores in your mouth,
    • blistering and peeling of your skin
    • swelling of your lymph nodes
    • swelling of your face, eyes, lips, tongue, or throat
    • trouble swallowing or breathing
  • drowsiness or sleepiness in the elderly.This extreme drowsiness may cause you to eat or drink less than you normally would. Tell your healthcare provider if you are not able to eat or drink as you normally do. Your healthcare provider may start you at a lower dose of divalproex sodium delayed-release tablets.
  • medicine residue in your stool.Tell your healthcare provider if you have or think you may have medicine residue in your stool.

The common side effects of divalproex sodium delayed-release tablets include:

  • headache
  • loss of appetite
  • weakness
  • weight loss
  • sleepiness
  • increased appetite
  • dizziness
  • weight gain
  • tremors
  • nausea / vomiting
  • difficulty walking or problems with coordination
  • stomach pain
  • ringing in your ears
  • diarrhea
  • blurred vision
  • constipation
  • double vision
  • bronchitis
  • unusual eye movement
  • flu-like symptoms
  • hair loss (alopecia)
  • infection
  • swelling of your arms or legs

These are not all of the possible side effects of divalproex sodium delayed-release tablets.

Call your doctor for medical advice about side effects. You may report side effects to FDA at 1-800-FDA-1088.

How should I store divalproex sodium delayed-release tablets?

  • Store divalproex sodium delayed-release tablets at 59° to 86°F (15° to 30°C)

Keep divalproex sodium delayed-release tablets and all medicines out of the reach of children.

General information about the safe and effective use of divalproex sodium delayed-release tablets

Medicines are sometimes prescribed for purposes other than those listed in a Medication Guide. Do not use divalproex sodium delayed-release tablets for a condition for which it was not prescribed. Do not give divalproex sodium delayed-release tablets to other people, even if they have the same symptoms that you have. It may harm them.

You can ask your pharmacist or healthcare provider for information about divalproex sodium delayed-release tablets that is written for health professionals.

What are the ingredients in divalproex sodium delayed-release tablets?

Divalproex Sodium Delayed-Release Tablets, USP:

Active ingredient: divalproex sodium as valproic acid

Inactive ingredients: methacrylic acid copolymer type C, povidone, pregelatinized corn starch, silicon dioxide, simethicone emulsion, sodium bicarbonate, sodium lauryl sulfate, talc, triethyl citrate, titanium dioxide, vanillin. The tablets are imprinted using a pharmaceutical ink.

In addition, individual tablets also contain:

  • 125 mg tablets:FD&C Red No. 40.
  • 250 mg tablets:FD&C Yellow No. 6 and iron oxide red.
  • 500 mg tablets:FD&C Red No. 40.

For Medication Guides, please visit www.upsher-smith.com or call 1-888-650-3789.

This Medication Guide has been approved by the U.S. Food and Drug Administration.

Manufactured by

UPSHER-SMITH LABORATORIES, LLC

Maple Grove, MN 55369

Revised: 5/2024

8.4 Pediatric Use

Experience has indicated that pediatric patients under the age of two years are at a considerably increased risk of developing fatal hepatotoxicity, especially those with the aforementioned conditions [see Boxed Warningand Warnings and Precautions (5.1)] . When divalproex sodium is used in this patient group, it should be used with extreme caution and as a sole agent. The benefits of therapy should be weighed against the risks. Above the age of 2 years, experience in epilepsy has indicated that the incidence of fatal hepatotoxicity decreases considerably in progressively older patient groups.

Younger children, especially those receiving enzyme-inducing drugs, will require larger maintenance doses to attain targeted total and unbound valproate concentrations. Pediatric patients (i.e., between 3 months and 10 years) have 50% higher clearances expressed on weight (i.e., mL/min/kg) than do adults. Over the age of 10 years, children have pharmacokinetic parameters that approximate those of adults.

The variability in free fraction limits the clinical usefulness of monitoring total serum valproic acid concentrations. Interpretation of valproic acid concentrations in children should include consideration of factors that affect hepatic metabolism and protein binding.

8.5 Geriatric Use

No patients above the age of 65 years were enrolled in double-blind prospective clinical trials of mania associated with bipolar illness. In a case review study of 583 patients, 72 patients (12%) were greater than 65 years of age. A higher percentage of patients above 65 years of age reported accidental injury, infection, pain, somnolence, and tremor. Discontinuation of valproate was occasionally associated with the latter two events. It is not clear whether these events indicate additional risk or whether they result from preexisting medical illness and concomitant medication use among these patients.

A study of elderly patients with dementia revealed drug related somnolence and discontinuation for somnolence [see Warnings and Precautions (5.14)] . The starting dose should be reduced in these patients, and dosage reductions or discontinuation should be considered in patients with excessive somnolence [see Dosage and Administration (2.4)] .

There is insufficient information available to discern the safety and effectiveness of valproate for the prophylaxis of migraines in patients over 65.

5.9 Hyperammonemia

Hyperammonemia has been reported in association with valproate therapy and may be present despite normal liver function tests. In patients who develop unexplained lethargy and vomiting or changes in mental status, hyperammonemic encephalopathy should be considered and an ammonia level should be measured. Hyperammonemia should also be considered in patients who present with hypothermia [see Warnings and Precautions (5.11)] . If ammonia is increased, valproate therapy should be discontinued. Appropriate interventions for treatment of hyperammonemia should be initiated, and such patients should undergo investigation for underlying urea cycle disorders [see Contraindications (4)and Warnings and Precautions (5.6, 5.10)] .

Asymptomatic elevations of ammonia are more common and when present, require close monitoring of plasma ammonia levels. If the elevation persists, discontinuation of valproate therapy should be considered.

4 Contraindications (4 CONTRAINDICATIONS)
  • Divalproex sodium delayed-release tablets should not be administered to patients with hepatic disease or significant hepatic dysfunction [see Warnings and Precautions (5.1)] .
  • Divalproex sodium delayed-release tablets are contraindicated in patients known to have mitochondrial disorders caused by mutations in mitochondrial DNA polymerase γ (POLG; e.g., Alpers-Huttenlocher Syndrome) and children under two years of age who are suspected of having a POLG-related disorder [see Warnings and Precautions (5.1)] .
  • Divalproex sodium delayed-release tablets are contraindicated in patients with known hypersensitivity to the drug [see Warnings and Precautions (5.12)] .
  • Divalproex sodium delayed-release tablets are contraindicated in patients with known urea cycle disorders [see Warnings and Precautions (5.6)] .
  • For use in prophylaxis of migraine headaches: Divalproex sodium delayed-release tablets are contraindicated in women who are pregnant and in women of childbearing potential who are not using effective contraception [see Warnings and Precautions (5.2, 5.3, 5.4)and Use in Specific Populations (8.1)] .
6 Adverse Reactions (6 ADVERSE REACTIONS)

The following serious adverse reactions are described below and elsewhere in the labeling:

Because clinical studies are conducted under widely varying conditions, adverse reaction rates observed in the clinical studies of a drug cannot be directly compared to rates in the clinical studies of another drug and may not reflect the rates observed in practice.

7 Drug Interactions (7 DRUG INTERACTIONS)
  • Hepatic enzyme-inducing drugs (e.g., phenytoin, carbamazepine, phenobarbital, primidone, rifampin) can increase valproate clearance, while enzyme inhibitors (e.g., felbamate) can decrease valproate clearance. Therefore increased monitoring of valproate and concomitant drug concentrations and dosage adjustment are indicated whenever enzyme-inducing or inhibiting drugs are introduced or withdrawn ( 7.1)
  • Aspirin, carbapenem antibiotics, estrogen-containing hormonal contraceptives, methotrexate: Monitoring of valproate concentrations is recommended ( 7.1)
  • Co-administration of valproate can affect the pharmacokinetics of other drugs (e.g. diazepam, ethosuximide, lamotrigine, phenytoin) by inhibiting their metabolism or protein binding displacement ( 7.2)
  • Patients stabilized on rufinamide should begin valproate therapy at a low dose, and titrate to clinically effective dose ( 7.2)
  • Dosage adjustment of amitriptyline/nortriptyline, propofol, warfarin, and zidovudine may be necessary if used concomitantly with divalproex sodium delayed-release tablets ( 7.2)
  • Topiramate: Hyperammonemia and encephalopathy ( 5.10, 7.3)
  • Cannabidiol: ALT and/or AST elevation ( 7.4)
12.2 Pharmacodynamics

The relationship between plasma concentration and clinical response is not well documented. One contributing factor is the nonlinear, concentration dependent protein binding of valproate which affects the clearance of the drug. Thus, monitoring of total serum valproate cannot provide a reliable index of the bioactive valproate species.

For example, because the plasma protein binding of valproate is concentration dependent, the free fraction increases from approximately 10% at 40 mcg/mL to 18.5% at 130 mcg/mL. Higher than expected free fractions occur in the elderly, in hyperlipidemic patients, and in patients with hepatic and renal diseases.

1 Indications and Usage (1 INDICATIONS AND USAGE)

Divalproex sodium delayed-release tablets are an anti-epileptic drug indicated for:

  • Treatment of manic episodes associated with bipolar disorder ( 1.1)
  • Monotherapy and adjunctive therapy of complex partial seizures and simple and complex absence seizures; adjunctive therapy in patients with multiple seizure types that include absence seizures ( 1.2)
  • Prophylaxis of migraine headaches ( 1.3)
12.1 Mechanism of Action

Divalproex sodium dissociates to the valproate ion in the gastrointestinal tract. The mechanisms by which valproate exerts its therapeutic effects have not been established. It has been suggested that its activity in epilepsy is related to increased brain concentrations of gamma-aminobutyric acid (GABA).

5.6 Urea Cycle Disorders

Divalproex sodium delayed-release tablets are contraindicated in patients with known urea cycle disorders (UCD).

Hyperammonemic encephalopathy, sometimes fatal, has been reported following initiation of valproate therapy in patients with urea cycle disorders, a group of uncommon genetic abnormalities, particularly ornithine transcarbamylase deficiency. Prior to the initiation of divalproex sodium delayed-release tablets therapy, evaluation for UCD should be considered in the following patients: 1) those with a history of unexplained encephalopathy or coma, encephalopathy associated with a protein load, pregnancy-related or postpartum encephalopathy, unexplained mental retardation, or history of elevated plasma ammonia or glutamine; 2) those with cyclical vomiting and lethargy, episodic extreme irritability, ataxia, low BUN, or protein avoidance; 3) those with a family history of UCD or a family history of unexplained infant deaths (particularly males); 4) those with other signs or symptoms of UCD. Patients who develop symptoms of unexplained hyperammonemic encephalopathy while receiving valproate therapy should receive prompt treatment (including discontinuation of valproate therapy) and be evaluated for underlying urea cycle disorders [see Contraindications (4)and Warnings and Precautions (5.10)] .

1.4 Important Limitations

Because of the risk to the fetus of decreased IQ, neurodevelopmental disorders, neural tube defects, and other major congenital malformations, which may occur very early in pregnancy, valproate should not be used to treat women with epilepsy or bipolar disorder who are pregnant or who plan to become pregnant unless other medications have failed to provide adequate symptom control or are otherwise unacceptable. Valproate should not be administered to a woman of childbearing potential unless other medications have failed to provide adequate symptom control or are otherwise unacceptable [see Warnings and Precautions (5.2, 5.3, 5.4), Use in Specific Populations (8.1), and Patient Counseling Information (17)] .

For prophylaxis of migraine headaches, divalproex sodium delayed-release tablets are contraindicated in women who are pregnant and in women of childbearing potential who are not using effective contraception [see Contraindications (4)] .

5 Warnings and Precautions (5 WARNINGS AND PRECAUTIONS)
  • Hepatotoxicity; evaluate high risk populations and monitor serum liver tests ( 5.1)
  • Birth defects, decreased IQ, and neurodevelopmental disorders following in uteroexposure; should not be used to treat women with epilepsy or bipolar disorder who are pregnant or who plan to become pregnant or to treat a woman of childbearing potential unless other medications have failed to provide adequate symptom control or are otherwise unacceptable ( 5.2, 5.3, 5.4)
  • Pancreatitis; divalproex sodium delayed-release tablets should ordinarily be discontinued ( 5.5)
  • Suicidal behavior or ideation; Antiepileptic drugs, including divalproex sodium delayed-release tablets, increase the risk of suicidal thoughts or behavior ( 5.7)
  • Bleeding and other hematopoietic disorders; monitor platelet counts and coagulation tests ( 5.8)
  • Hyperammonemia and hyperammonemic encephalopathy; measure ammonia level if unexplained lethargy and vomiting or changes in mental status, and also with concomitant topiramate use; consider discontinuation of valproate therapy ( 5.6, 5.9, 5.10)
  • Hypothermia; Hypothermia has been reported during valproate therapy with or without associated hyperammonemia. This adverse reaction can also occur in patients using concomitant topiramate ( 5.11)
  • Drug Reaction with Eosinophilia and Systemic Symptoms (DRESS)/Multiorgan hypersensitivity reaction; discontinue divalproex sodium delayed-release tablets ( 5.12)
  • Somnolence in the elderly can occur. Divalproex sodium delayed-release tablets dosage should be increased slowly and with regular monitoring for fluid and nutritional intake ( 5.14)
2 Dosage and Administration (2 DOSAGE AND ADMINISTRATION)

Divalproex sodium delayed-release tablets are intended for oral administration. Divalproex sodium delayed-release tablets should be swallowed whole and should not be crushed or chewed.

Patients should be informed to take divalproex sodium delayed-release tablets every day as prescribed. If a dose is missed it should be taken as soon as possible, unless it is almost time for the next dose. If a dose is skipped, the patient should not double the next dose.

3 Dosage Forms and Strengths (3 DOSAGE FORMS AND STRENGTHS)

Divalproex sodium delayed-release tablets, USP are supplied as:

125 mg (as valproic acid) rose-colored tablets

250 mg (as valproic acid) peach-colored tablets

500 mg (as valproic acid) light pink-colored tablets

5.2 Structural Birth Defects

Valproate can cause fetal harm when administered to a pregnant woman. Pregnancy registry data show that maternal valproate use can cause neural tube defects and other structural abnormalities (e.g., craniofacial defects, cardiovascular malformations, hypospadias, limb malformations). The rate of congenital malformations among babies born to mothers using valproate is about four times higher than the rate among babies born to epileptic mothers using other anti-seizure monotherapies. Evidence suggests that folic acid supplementation prior to conception and during the first trimester of pregnancy decreases the risk for congenital neural tube defects in the general population [see Use in Specific Populations (8.1)] .

6.4 Post Marketing Experience (6.4 Post-Marketing Experience)

The following adverse reactions have been identified during post approval use of divalproex sodium. Because these reactions are reported voluntarily from a population of uncertain size, it is not always possible to reliably estimate their frequency or establish a causal relationship to drug exposure.

Dermatologic: Hair texture changes, hair color changes, photosensitivity, erythema multiforme, toxic epidermal necrolysis, nail and nail bed disorders, and Stevens-Johnson syndrome.

Psychiatric: Emotional upset, psychosis, aggression, psychomotor hyperactivity, hostility, disturbance in attention, learning disorder, and behavioral deterioration.

Neurologic: Paradoxical convulsion, parkinsonism.

There have been several reports of acute or subacute cognitive decline and behavioral changes (apathy or irritability) with cerebral pseudoatrophy on imaging associated with valproate therapy; both the cognitive/behavioral changes and cerebral pseudoatrophy reversed partially or fully after valproate discontinuation.

There have been reports of acute or subacute encephalopathy in the absence of elevated ammonia levels, elevated valproate levels, or neuroimaging changes. The encephalopathy reversed partially or fully after valproate discontinuation.

Musculoskeletal: Fractures, decreased bone mineral density, osteopenia, osteoporosis, and weakness.

Hematologic: Relative lymphocytosis, macrocytosis, leukopenia, acquired Pelger-Huet anomaly, anemia including macrocytic with or without folate deficiency, bone marrow suppression, pancytopenia, aplastic anemia, agranulocytosis, and acute intermittent porphyria.

Endocrine: Irregular menses, secondary amenorrhea, hyperandrogenism, hirsutism, elevated testosterone level, breast enlargement, galactorrhea, parotid gland swelling, polycystic ovary disease, decreased carnitine concentrations, hyponatremia, hyperglycinemia, and inappropriate ADH secretion.

There have been rare reports of Fanconi's syndrome occurring chiefly in children.

Metabolism and nutrition: Weight gain.

Reproductive: Aspermia, azoospermia, decreased sperm count, decreased spermatozoa motility, male infertility, and abnormal spermatozoa morphology.

Genitourinary: Enuresis, urinary tract infection, and tubulointerstitial nephritis.

Special Senses: Hearing loss.

Other: Allergic reaction, anaphylaxis, developmental delay, bone pain, bradycardia, and cutaneous vasculitis.

8 Use in Specific Populations (8 USE IN SPECIFIC POPULATIONS)
  • Pregnancy: Divalproex sodium delayed-release tablets can cause congenital malformations including neural tube defects, decreased IQ, and neurodevelopmental disorders ( 5.2, 5.3, 8.1)
  • Pediatric: Children under the age of two years are at considerably higher risk of fatal hepatotoxicity ( 5.1, 8.4)
  • Geriatric: Reduce starting dose; increase dosage more slowly; monitor fluid and nutritional intake, and somnolence ( 5.14, 8.5)
5.14 Somnolence in the Elderly

In a double-blind, multicenter trial of valproate in elderly patients with dementia (mean age = 83 years), doses were increased by 125 mg/day to a target dose of 20 mg/kg/day. A significantly higher proportion of valproate patients had somnolence compared to placebo, and although not statistically significant, there was a higher proportion of patients with dehydration. Discontinuations for somnolence were also significantly higher than with placebo. In some patients with somnolence (approximately one-half), there was associated reduced nutritional intake and weight loss. There was a trend for the patients who experienced these events to have a lower baseline albumin concentration, lower valproate clearance, and a higher BUN. In elderly patients, dosage should be increased more slowly and with regular monitoring for fluid and nutritional intake, dehydration, somnolence, and other adverse reactions. Dose reductions or discontinuation of valproate should be considered in patients with decreased food or fluid intake and in patients with excessive somnolence [see Dosage and Administration (2.4)] .

17 Patient Counseling Information (17 PATIENT COUNSELING INFORMATION)

Advise the patient to read the FDA-approved patient labeling (Medication Guide).

5.7 Suicidal Behavior and Ideation

Antiepileptic drugs (AEDs), including divalproex sodium delayed-release tablets, increase the risk of suicidal thoughts or behavior in patients taking these drugs for any indication. Patients treated with any AED for any indication should be monitored for the emergence or worsening of depression, suicidal thoughts or behavior, and/or any unusual changes in mood or behavior.

Pooled analyses of 199 placebo-controlled clinical trials (mono- and adjunctive therapy) of 11 different AEDs showed that patients randomized to one of the AEDs had approximately twice the risk (adjusted Relative Risk 1.8, 95% CI:1.2, 2.7) of suicidal thinking or behavior compared to patients randomized to placebo. In these trials, which had a median treatment duration of 12 weeks, the estimated incidence rate of suicidal behavior or ideation among 27,863 AED-treated patients was 0.43%, compared to 0.24% among 16,029 placebo-treated patients, representing an increase of approximately one case of suicidal thinking or behavior for every 530 patients treated. There were four suicides in drug-treated patients in the trials and none in placebo-treated patients, but the number is too small to allow any conclusion about drug effect on suicide.

The increased risk of suicidal thoughts or behavior with AEDs was observed as early as one week after starting drug treatment with AEDs and persisted for the duration of treatment assessed. Because most trials included in the analysis did not extend beyond 24 weeks, the risk of suicidal thoughts or behavior beyond 24 weeks could not be assessed.

The risk of suicidal thoughts or behavior was generally consistent among drugs in the data analyzed. The finding of increased risk with AEDs of varying mechanisms of action and across a range of indications suggests that the risk applies to all AEDs used for any indication. The risk did not vary substantially by age (5 to 100 years) in the clinical trials analyzed.

Table 1 shows absolute and relative risk by indication for all evaluated AEDs.

Table 1. Risk by Indication for Antiepileptic Drugs in the Pooled Analysis
Indication Placebo Patients with Events Per 1,000 Patients Drug Patients with Events Per 1,000 Patients Relative Risk: Incidence of Events in Drug Patients/Incidence in Placebo Patients Risk Difference: Additional Drug Patients with Events Per 1,000 Patients
Epilepsy 1.0 3.4 3.5 2.4
Psychiatric 5.7 8.5 1.5 2.9
Other 1.0 1.8 1.9 0.9
Total 2.4 4.3 1.8 1.9

The relative risk for suicidal thoughts or behavior was higher in clinical trials for epilepsy than in clinical trials for psychiatric or other conditions, but the absolute risk differences were similar for the epilepsy and psychiatric indications.

Anyone considering prescribing divalproex sodium delayed-release tablets or any other AED must balance the risk of suicidal thoughts or behavior with the risk of untreated illness. Epilepsy and many other illnesses for which AEDs are prescribed are themselves associated with morbidity and mortality and an increased risk of suicidal thoughts and behavior. Should suicidal thoughts and behavior emerge during treatment, the prescriber needs to consider whether the emergence of these symptoms in any given patient may be related to the illness being treated.

5.3 Decreased Iq Following in Utero (5.3 Decreased IQ Following in utero)

Valproate can cause decreased IQ scores following in uteroexposure. Published epidemiological studies have indicated that children exposed to valproate in uterohave lower cognitive test scores than children exposed in uteroto either another antiepileptic drug or to no antiepileptic drugs. The largest of these studies 1is a prospective cohort study conducted in the United States and United Kingdom that found that children with prenatal exposure to valproate (n=62) had lower IQ scores at age 6 (97 [95% C.I. 94 to 101]) than children with prenatal exposure to the other antiepileptic drug monotherapy treatments evaluated: lamotrigine (108 [95% C.I. 105 to 110]), carbamazepine (105 [95% C.I. 102 to 108]), and phenytoin (108 [95% C.I. 104 to 112]). It is not known when during pregnancy cognitive effects in valproate-exposed children occur. Because the women in this study were exposed to antiepileptic drugs throughout pregnancy, whether the risk for decreased IQ was related to a particular time period during pregnancy could not be assessed.

Although all of the available studies have methodological limitations, the weight of the evidence supports the conclusion that valproate exposure in uterocan cause decreased IQ in children.

In animal studies, offspring with prenatal exposure to valproate had malformations similar to those seen in humans and demonstrated neurobehavioral deficits [see Use in Specific Populations (8.1)] .

16 How Supplied/storage and Handling (16 HOW SUPPLIED/STORAGE AND HANDLING)

Divalproex sodium delayed-release tablets, USP are supplied as 125 mg, 250 mg and 500 mg (as valproic acid) tablets for oral administration. The 125 mg (as valproic acid) tablets are rose-colored, enteric-coated, capsule-shaped, imprinted with "U-S 125". The 250 mg (as valproic acid) tablets are peach-colored, enteric-coated, capsule-shaped, imprinted with "U-S 250". The 500 mg (as valproic acid) tablets are light pink-colored, enteric-coated, capsule-shaped, imprinted with "U-S 500".

125 mg (as valproic acid) tablets:

Bottles of 100 with a child-resistant closure, NDC 0832-7122-11

NDC 0832-7122-15 Bottles of 500

250 mg (as valproic acid) tablets:

Bottles of 100 with a child-resistant closure, NDC 0832-7123-11

NDC 0832-7123-15 Bottles of 500

NDC 0832-7123-01 Unit Dose Cartons of 100

500 mg (as valproic acid) tablets:

Bottles of 100 with a child resistant closure, NDC 0832-7124-11

NDC 0832-7124-15 Bottles of 500

NDC 0832-7124-01 Unit Dose Cartons of 100

5.18 Medication Residue in the Stool

There have been rare reports of medication residue in the stool. Some patients have had anatomic (including ileostomy or colostomy) or functional gastrointestinal disorders with shortened GI transit times. In some reports, medication residues have occurred in the context of diarrhea. It is recommended that plasma valproate levels be checked in patients who experience medication residue in the stool, and patients' clinical condition should be monitored. If clinically indicated, alternative treatment may be considered.

7.2 Effects of Valproate On Other Drugs (7.2 Effects of Valproate on Other Drugs)

Valproate has been found to be a weak inhibitor of some P450 isozymes, epoxide hydrase, and glucuronosyltransferases.

The following list provides information about the potential for an influence of valproate co-administration on the pharmacokinetics or pharmacodynamics of several commonly prescribed medications. The list is not exhaustive, since new interactions are continuously being reported.

2.5 Dosing in Patients Taking Rufinamide

Patients stabilized on rufinamide before being prescribed valproate should begin valproate therapy at a low dose, and titrate to a clinically effective dose [see Drug Interactions (7.2)] .

5.15 Monitoring: Drug Plasma Concentration

Since valproate may interact with concurrently administered drugs which are capable of enzyme induction, periodic plasma concentration determinations of valproate and concomitant drugs are recommended during the early course of therapy [see Drug Interactions (7)] .

5.4 Use in Women of Childbearing Potential

Because of the risk to the fetus of decreased IQ, neurodevelopmental disorders, and major congenital malformations (including neural tube defects), which may occur very early in pregnancy, valproate should not be administered to a woman of childbearing potential unless other medications have failed to provide adequate symptom control or are otherwise unacceptable. This is especially important when valproate use is considered for a condition not usually associated with permanent injury or death such as prophylaxis of migraine headaches [see Contraindications (4)] . Women should use effective contraception while using valproate.

Women of childbearing potential should be counseled regularly regarding the relative risks and benefits of valproate use during pregnancy. This is especially important for women planning a pregnancy and for girls at the onset of puberty; alternative therapeutic options should be considered for these patients [see Boxed Warningand Use in Specific Populations (8.1)] .

To prevent major seizures, valproate should not be discontinued abruptly, as this can precipitate status epilepticus with resulting maternal and fetal hypoxia and threat to life.

Evidence suggests that folic acid supplementation prior to conception and during the first trimester of pregnancy decreases the risk for congenital neural tube defects in the general population. It is not known whether the risk of neural tube defects or decreased IQ in the offspring of women receiving valproate is reduced by folic acid supplementation. Dietary folic acid supplementation both prior to conception and during pregnancy should be routinely recommended for patients using valproate.

Warning: Life Threatening Adverse Reactions (WARNING: LIFE THREATENING ADVERSE REACTIONS)

WARNING: LIFE THREATENING ADVERSE REACTIONS

See full prescribing information for complete boxed warning.

  • Hepatotoxicity, including fatalities, usually during the first 6 months of treatment. Children under the age of two years and patients with mitochondrial disorders are at higher risk. Monitor patients closely, and perform serum liver testing prior to therapy and at frequent intervals thereafter ( 5.1)
  • Fetal Risk, particularly neural tube defects, other major malformations, and decreased IQ ( 5.2, 5.3, 5.4)
  • Pancreatitis, including fatal hemorrhagic cases ( 5.5)
5.13 Interaction With Carbapenem Antibiotics (5.13 Interaction with Carbapenem Antibiotics)

Carbapenem antibiotics (for example, ertapenem, imipenem, meropenem; this is not a complete list) may reduce serum valproate concentrations to subtherapeutic levels, resulting in loss of seizure control. Serum valproate concentrations should be monitored frequently after initiating carbapenem therapy. Alternative antibacterial or anticonvulsant therapy should be considered if serum valproate concentrations drop significantly or seizure control deteriorates [see Drug Interactions (7.1)] .

5.17 Effect On Hiv and Cmv Viruses Replication (5.17 Effect on HIV and CMV Viruses Replication)

There are in vitrostudies that suggest valproate stimulates the replication of the HIV and CMV viruses under certain experimental conditions. The clinical consequence, if any, is not known. Additionally, the relevance of these in vitrofindings is uncertain for patients receiving maximally suppressive antiretroviral therapy. Nevertheless, these data should be borne in mind when interpreting the results from regular monitoring of the viral load in HIV infected patients receiving valproate or when following CMV infected patients clinically.

5.8 Bleeding and Other Hematopoietic Disorders

Valproate is associated with dose-related thrombocytopenia. In a clinical trial of valproate as monotherapy in patients with epilepsy, 34/126 patients (27%) receiving approximately 50 mg/kg/day on average, had at least one value of platelets ≤ 75 × 10 9/L. Approximately half of these patients had treatment discontinued, with return of platelet counts to normal. In the remaining patients, platelet counts normalized with continued treatment. In this study, the probability of thrombocytopenia appeared to increase significantly at total valproate concentrations of ≥110 mcg/mL (females) or ≥135 mcg/mL (males). The therapeutic benefit which may accompany the higher doses should therefore be weighed against the possibility of a greater incidence of adverse effects. Valproate use has also been associated with decreases in other cell lines and myelodysplasia.

Because of reports of cytopenias, inhibition of the secondary phase of platelet aggregation, and abnormal coagulation parameters, (e.g., low fibrinogen, coagulation factor deficiencies, acquired von Willebrand's disease), measurements of complete blood counts and coagulation tests are recommended before initiating therapy and at periodic intervals. It is recommended that patients receiving divalproex sodium delayed-release tablets be monitored for blood counts and coagulation parameters prior to planned surgery and during pregnancy [see Use in Specific Populations (8.1)] . Evidence of hemorrhage, bruising, or a disorder of hemostasis/coagulation is an indication for reduction of the dosage or withdrawal of therapy.

5.16 Effect On Ketone and Thyroid Function Tests (5.16 Effect on Ketone and Thyroid Function Tests)

Valproate is partially eliminated in the urine as a keto-metabolite which may lead to a false interpretation of the urine ketone test.

There have been reports of altered thyroid function tests associated with valproate. The clinical significance of these is unknown.

Principal Display Panel 125 Mg Tablet Bottle Label (PRINCIPAL DISPLAY PANEL - 125 mg Tablet Bottle Label)

NDC 0832-7122-11

Divalproex Sodium

Delayed-Release

Tablets, USP

125 mg

Valproic Acid Activity

PHARMACIST: Dispense

the Medication Guide

provided separately

to each patient.

100 Tablets

Rx only

UPSHER-SMITH

Principal Display Panel 250 Mg Tablet Bottle Label (PRINCIPAL DISPLAY PANEL - 250 mg Tablet Bottle Label)

NDC 0832-7123-11

Divalproex Sodium

Delayed-Release

Tablets, USP

250 mg

Valproic Acid Activity

PHARMACIST: Dispense

the Medication Guide

provided separately

to each patient.

100 Tablets

Rx only

UPSHER-SMITH

Principal Display Panel 500 Mg Tablet Bottle Label (PRINCIPAL DISPLAY PANEL - 500 mg Tablet Bottle Label)

NDC 0832-7124-11

Divalproex Sodium

Delayed-Release

Tablets, USP

500 mg

Valproic Acid Activity

PHARMACIST: Dispense

the Medication Guide

provided separately

to each patient.

100 Tablets

Rx only

UPSHER-SMITH

7.1 Effects of Co Administered Drugs On Valproate Clearance (7.1 Effects of Co-Administered Drugs on Valproate Clearance)

Drugs that affect the level of expression of hepatic enzymes, particularly those that elevate levels of glucuronosyltransferases (such as ritonavir), may increase the clearance of valproate. For example, phenytoin, carbamazepine, and phenobarbital (or primidone) can double the clearance of valproate. Thus, patients on monotherapy will generally have longer half-lives and higher concentrations than patients receiving polytherapy with antiepilepsy drugs.

In contrast, drugs that are inhibitors of cytochrome P450 isozymes, e.g., antidepressants, may be expected to have little effect on valproate clearance because cytochrome P450 microsomal mediated oxidation is a relatively minor secondary metabolic pathway compared to glucuronidation and beta-oxidation.

Because of these changes in valproate clearance, monitoring of valproate and concomitant drug concentrations should be increased whenever enzyme inducing drugs are introduced or withdrawn.

The following list provides information about the potential for an influence of several commonly prescribed medications on valproate pharmacokinetics. The list is not exhaustive nor could it be, since new interactions are continuously being reported.

5.10 Hyperammonemia and Encephalopathy Associated With Concomitant Topiramate Use (5.10 Hyperammonemia and Encephalopathy Associated with Concomitant Topiramate Use)

Concomitant administration of topiramate and valproate has been associated with hyperammonemia with or without encephalopathy in patients who have tolerated either drug alone. Clinical symptoms of hyperammonemic encephalopathy often include acute alterations in level of consciousness and/or cognitive function with lethargy or vomiting. Hypothermia can also be a manifestation of hyperammonemia [see Warnings and Precautions (5.11)] . In most cases, symptoms and signs abated with discontinuation of either drug. This adverse reaction is not due to a pharmacokinetic interaction. Patients with inborn errors of metabolism or reduced hepatic mitochondrial activity may be at an increased risk for hyperammonemia with or without encephalopathy. Although not studied, an interaction of topiramate and valproate may exacerbate existing defects or unmask deficiencies in susceptible persons. In patients who develop unexplained lethargy, vomiting, or changes in mental status, hyperammonemic encephalopathy should be considered and an ammonia level should be measured [see Contraindications (4)and Warnings and Precautions (5.6, 5.9)] .

5.12 Drug Reaction With Eosinophilia and Systemic Symptoms (dress)/multiorgan Hypersensitivity Reactions (5.12 Drug Reaction with Eosinophilia and Systemic Symptoms (DRESS)/Multiorgan Hypersensitivity Reactions)

Drug Reaction with Eosinophilia and Systemic Symptoms (DRESS), also known as Multiorgan Hypersensitivity, has been reported in patients taking valproate. DRESS may be fatal or life-threatening. DRESS typically, although not exclusively, presents with fever, rash, lymphadenopathy, and/or facial swelling, in association with other organ system involvement, such as hepatitis, nephritis, hematological abnormalities, myocarditis, or myositis sometimes resembling an acute viral infection. Eosinophilia is often present. Because this disorder is variable in its expression, other organ systems not noted here may be involved. It is important to note that early manifestations of hypersensitivity, such as fever or lymphadenopathy, may be present even though rash is not evident. If such signs or symptoms are present, the patient should be evaluated immediately. Valproate should be discontinued and not be resumed if an alternative etiology for the signs or symptoms cannot be established.


Advanced Ingredient Data


Raw Label Data

All Sections (JSON)