Hyoscyamine Sulfate Extended-release Tablets, 0.375 Mg

Hyoscyamine Sulfate Extended-release Tablets, 0.375 Mg
SPL v3
SPL
SPL Set ID 01f97804-a6cb-ce6d-e063-6394a90ae220
Route
ORAL
Published
Effective Date 2016-04-11
Document Type 34391-3 HUMAN PRESCRIPTION DRUG LABEL

Drug Facts

Composition & Product

Active Ingredients
Hyoscyamine (0.375 mg)

Identifiers & Packaging

Pill Appearance
Imprint: AP;115 Shape: oval Color: white Size: 15 mm Score: 1
Marketing Status
UNAPPROVED DRUG OTHER Active Since 2016-05-01

Description

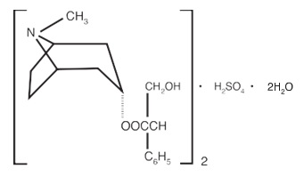
Hyoscyamine sulfate extended-release tablets contain 0.375 mg of hyoscyamine sulfate in a formulation designed for oral b.i.d. dosage. Hyoscyamine sulfate is one of the principal anticholinergic/antispasmodic components of belladonna alkaloids. The empirical formula is (C 17 H 23 NO 3 ) 2 •H 2 SO 4 •2H 2 O and the molecular weight is 712.85. Chemically, it is benzeneacetic acid, ɑ-(hydroxymethyl)-, 8-methyl-8-azabicyclo [3.2.1.] oct-3-yl ester, [3(S)-endo]-, sulfate (2:1), dihydrate with the following structure: Each tablet also contains as inactive ingredients: calcium phosphate dibasic, ethylcellulose, lactose monohydrate, magnesium stearate, microcrystalline cellulose and stearic acid.

Indications and Usage

Hyoscyamine sulfate extended-release tablets are effective as adjunctive therapy in the treatment of peptic ulcer. They can also be used to control gastric secretion, visceral spasm and hypermotility in spastic colitis, spastic bladder, cystitis, pylorospasm, and associated abdominal cramps. May be used in functional intestinal disorders to reduce symptoms such as those seen in mild dysenteries, diverticulitis, and acute enterocolitis. For use as adjunctive therapy in the treatment of irritable bowel syndrome (irritable colon, spastic colon, mucous colitis) and functional gastrointestinal disorders. Also used as adjunctive therapy in the treatment of neurogenic bladder andmneurogenic bowel disturbances (including the splenic flexure syndrome and neurogenic colon). Hyoscyamine sulfate extended-release tablets are indicated along with morphine or other narcotics in symptomatic relief of biliary and renal colic; as a “drying agent” in the relief of symptoms of acute rhinitis; in the therapy of parkinsonism to reduce rigidity and tremors and to control associated sialorrhea and hyperhidrosis. May be used in the therapy of poisoning by anticholinesterase agents.

Dosage and Administration

Dosage may be adjusted according to the conditions and severity of symptoms.

Contraindications

Glaucoma; obstructive uropathy (for example, bladder neck obstruction due to prostatic hypertrophy); obstructive disease of the gastrointestinal tract (as in achalasia, pyloroduodenal stenosis); paralytic ileus, intestinal atony of elderly or debilitated patients; unstable cardiovascular status in acute hemorrhage; severe ulcerative colitis; toxic megacolon complicating ulcerative colitis; myasthenia gravis.

Adverse Reactions

All of the following adverse reactions have been reported with hyoscyamine sulfate. Adverse reactions may include dryness of the mouth; urinary hesitancy and retention; blurred vision; tachycardia; palpitations; mydriasis; increased ocular tension; loss of taste; headache; nervousness; drowsiness; weakness; fatigue; dizziness; insomnia; nausea; vomiting; impotence; constipation; bloated feeling; abdominal pain; diarrhea; allergic reactions or drug idiosyncrasies; urticaria and other dermal manifestations; ataxia; speech disturbance; some degree of mental confusion and/or excitement (especially in elderly persons); short-term memory loss; hallucinations; and decreased sweating.

Drug Interactions

Additive adverse effects resulting from cholinergic blockade may occur when hyoscyamine sulfate is administered concomitantly with other antimuscarinics, amantadine, haloperidol, phenothiazines, monoamine oxidase (MAO) inhibitors, tricyclic antidepressants or some antihistamines. Antacids may interfere with the absorption of hyoscyamine sulfate.

How Supplied

Hyoscyamine Sulfate Extended-Release Tablets, 0.375 mg are white, capsule-shaped tablets. They are coded “AP” on one side and “115” on the other. Bottles of 100 tablets NDC 75929-057-10 Store at controlled room temperature 20°-25°C (68°-77°F); excursions permitted to 15°-30°C (59°-86°F). Please refer to current USP. Dispense in tight, light-resistant containers as defined in USP/NF with a child-resistant closure. KEEP OUT OF REACH OF CHILDREN Also available as: Dosage Strength Package Size NDC Hyoscyamine Sulfate Tablets, USP 0.125 mg 100 75929-055-10 Hyoscyamine Sulfate Sublingual Tablets 0.125 mg 100 75929-056-10 Distributed by: Wallace Pharmaceuticals Inc. Somerset, New Jersey 08873-4120 ©2018 Mylan Pharmaceuticals Inc WALLACE and are trademarks of Wallace Pharmaceuticals Inc., a Mylan company IN-1151-03 Rev. 3/2018 Printed in USA 70011278


Medication Information

Indications and Usage

Hyoscyamine sulfate extended-release tablets are effective as adjunctive therapy in the treatment of peptic ulcer. They can also be used to control gastric secretion, visceral spasm and hypermotility in spastic colitis, spastic bladder, cystitis, pylorospasm, and associated abdominal cramps. May be used in functional intestinal disorders to reduce symptoms such as those seen in mild dysenteries, diverticulitis, and acute enterocolitis. For use as adjunctive therapy in the treatment of irritable bowel syndrome (irritable colon, spastic colon, mucous colitis) and functional gastrointestinal disorders. Also used as adjunctive therapy in the treatment of neurogenic bladder andmneurogenic bowel disturbances (including the splenic flexure syndrome and neurogenic colon). Hyoscyamine sulfate extended-release tablets are indicated along with morphine or other narcotics in symptomatic relief of biliary and renal colic; as a “drying agent” in the relief of symptoms of acute rhinitis; in the therapy of parkinsonism to reduce rigidity and tremors and to control associated sialorrhea and hyperhidrosis. May be used in the therapy of poisoning by anticholinesterase agents.

Dosage and Administration

Dosage may be adjusted according to the conditions and severity of symptoms.

Contraindications

Glaucoma; obstructive uropathy (for example, bladder neck obstruction due to prostatic hypertrophy); obstructive disease of the gastrointestinal tract (as in achalasia, pyloroduodenal stenosis); paralytic ileus, intestinal atony of elderly or debilitated patients; unstable cardiovascular status in acute hemorrhage; severe ulcerative colitis; toxic megacolon complicating ulcerative colitis; myasthenia gravis.

Adverse Reactions

All of the following adverse reactions have been reported with hyoscyamine sulfate. Adverse reactions may include dryness of the mouth; urinary hesitancy and retention; blurred vision; tachycardia; palpitations; mydriasis; increased ocular tension; loss of taste; headache; nervousness; drowsiness; weakness; fatigue; dizziness; insomnia; nausea; vomiting; impotence; constipation; bloated feeling; abdominal pain; diarrhea; allergic reactions or drug idiosyncrasies; urticaria and other dermal manifestations; ataxia; speech disturbance; some degree of mental confusion and/or excitement (especially in elderly persons); short-term memory loss; hallucinations; and decreased sweating.

Drug Interactions

Additive adverse effects resulting from cholinergic blockade may occur when hyoscyamine sulfate is administered concomitantly with other antimuscarinics, amantadine, haloperidol, phenothiazines, monoamine oxidase (MAO) inhibitors, tricyclic antidepressants or some antihistamines.

Antacids may interfere with the absorption of hyoscyamine sulfate.

How Supplied

Hyoscyamine Sulfate Extended-Release Tablets, 0.375 mg are white, capsule-shaped tablets. They are coded “AP” on one side and “115” on the other.

Bottles of 100 tablets NDC 75929-057-10

Store at controlled room temperature 20°-25°C (68°-77°F); excursions permitted to 15°-30°C (59°-86°F). Please refer to current USP.

Dispense in tight, light-resistant containers as defined in USP/NF with a child-resistant closure.

KEEP OUT OF REACH OF CHILDREN

Also available as:

Dosage

Strength

Package

Size

NDC

Hyoscyamine Sulfate

Tablets, USP

0.125 mg

100

75929-055-10

Hyoscyamine Sulfate

Sublingual Tablets

0.125 mg

100

75929-056-10

Distributed by:

Wallace Pharmaceuticals Inc.

Somerset, New Jersey 08873-4120

©2018 Mylan Pharmaceuticals Inc

WALLACE and

are trademarks of Wallace Pharmaceuticals Inc., a Mylan company

IN-1151-03 Rev. 3/2018

Printed in USA

70011278

Description

Hyoscyamine sulfate extended-release tablets contain 0.375 mg of hyoscyamine sulfate in a formulation designed for oral b.i.d. dosage.

Hyoscyamine sulfate is one of the principal anticholinergic/antispasmodic components of belladonna alkaloids. The empirical formula is (C 17H 23NO 3) 2•H 2SO 4•2H 2O and the molecular weight is 712.85. Chemically, it is benzeneacetic acid, ɑ-(hydroxymethyl)-, 8-methyl-8-azabicyclo [3.2.1.] oct-3-yl ester, [3(S)-endo]-, sulfate (2:1), dihydrate with the following structure:

Each tablet also contains as inactive ingredients: calcium phosphate dibasic, ethylcellulose, lactose monohydrate, magnesium stearate, microcrystalline cellulose and stearic acid.

General

Use with caution in patients with: autonomic neuropathy, hyperthyroidism, coronary heart disease, congestive heart failure, cardiac arrhythmias, hypertension, and renal disease. Investigate any tachycardia before giving any anticholinergic drugs since they may increase the heart rate. Use with caution in patients with hiatal hernia associated with reflux esophagitis.

Warnings

In the presence of high environmental temperature, heat prostration can occur with drug use (fever and heat stroke due to decreased sweating). Diarrhea may be an early symptom of incomplete intestinal obstruction, especially in patients with ileostomy or colostomy. In this instance, treatment with this drug would be inappropriate and possibly harmful. Like other anticholinergic agents, hyoscyamine sulfate may produce drowsiness, dizziness, or blurred vision. In this event, the patient should be warned not to engage in activities requiring mental alertness such as operating a motor vehicle or other machinery or to perform hazardous work while taking this drug.

Psychosis has been reported in sensitive individuals given anticholinergic drugs including hyoscyamine sulfate. CNS signs and symptoms include confusion, disorientation, short-term memory loss, hallucinations, dysarthria, ataxia, euphoria, anxiety, fatigue, insomnia, agitation and mannerisms, and inappropriate affect. These CNS signs and symptoms usually resolve within 12 to 48 hours after discontinuation of the drug.

Overdosage

The signs and symptoms of overdose are headache, nausea, vomiting, blurred vision, dilated pupils, hot dry skin, dizziness, dryness of the mouth, difficulty in swallowing, and CNS stimulation.

Measures to be taken are immediate lavage of the stomach and injection of physostigmine 0.5 to 2 mg intravenously and repeated as necessary up to a total of 5 mg. Fever may be treated symptomatically (tepid water sponge baths, hypothermic blanket). Excitement to a degree which demands attention may be managed with sodium thiopental 2% solution given slowly intravenously or chloral hydrate (100-200 mL of a 2% solution) by rectal infusion. In the event of progression of the curare-like effect to paralysis of the respiratory muscles, artificial respiration should be instituted and maintained until effective respiratory action returns.

In rats, the LD 50for hyoscyamine is 375 mg/kg. Hyoscyamine sulfate is dialyzable.

Geriatric Use

Reported clinical experience has not identified differences in safety between patients aged 65 and over and younger patients. In general, dose selection for an elderly patient should be cautious, usually starting at the low end of the dosing range, reflecting the greater frequency of decreased hepatic, renal, or cardiac function, and of concomitant disease or other drug therapy.

This drug is known to be substantially excreted by the kidney, and the risk of toxic reactions to this drug may be greater in patients with impaired renal function. Because elderly patients are more likely to have decreased renal function, care should be taken in dose selection, and it may be useful to monitor renal function.

To report SUSPECTED ADVERSE REACTIONS, contact Wallace Pharmaceuticals at 1-800-619-6344 or FDA at 1-800-FDA-1088 or www.fda.gov/medwatch.

Nursing Mothers

Hyoscyamine sulfate is excreted in human milk. Caution should be exercised when hyoscyamine sulfate is administered to a nursing woman.

Clinical Pharmacology

Hyoscyamine sulfate inhibits specifically the actions of acetylcholine on structures innervated by postganglionic cholinergic nerves and on smooth muscles that respond to acetylcholine but lack cholinergic innervation. These peripheral cholinergic receptors are present in the autonomic effector cells of the smooth muscle, the cardiac muscle, the sinoatrial node, the atrioventricular node, and the exocrine glands. At therapeutic doses, it is completely devoid of any action on autonomic ganglia. Hyoscyamine sulfate inhibits gastrointestinal propulsive motility and decreases gastric acid secretion. Hyoscyamine sulfate also controls excessive pharyngeal, tracheal, and bronchial secretions.

Hyoscyamine sulfate is absorbed totally and completely by oral administration. Once absorbed, hyoscyamine sulfate disappears rapidly from the blood and is distributed throughout the entire body: the half-life of hyoscyamine sulfate is 2 to 3½ hours. Hyoscyamine sulfate is partly hydrolyzed to tropic acid and tropine but the majority of the drug is excreted in the urine unchanged within the first 12 hours. Only traces of this drug are found in breast milk. Hyoscyamine sulfate passes the blood brain barrier and the placental barrier.

Hyoscyamine sulfate extended-release tablets releases 0.375 mg hyoscyamine sulfate at a controlled and predictable rate for 12 hours. The mean peak plasma concentration occurred at 4.20 hours. The mean (±SEM) apparent plasma elimination half-life is 7.47 hours (±0.60). Tablets may not completely disintegrate and may be excreted by some patients.

Information for Patients

Like other anticholinergic agents, hyoscyamine sulfate may produce drowsiness, dizziness, or blurred vision. In this event, the patient should be warned not to engage in activities requiring mental alertness such as operating a motor vehicle or other machinery or to perform hazardous work while taking this drug.

Use of hyoscyamine sulfate may decrease sweating resulting in heat prostration, fever or heat stroke; febrile patients or those who may be exposed to elevated environmental temperatures should use caution. Tablets may not completely disintegrate and may be excreted by some patients.

Pregnancy – Pregnancy Category C

Animal reproduction studies have not been conducted with hyoscyamine sulfate. It is also not known whether hyoscyamine sulfate can cause fetal harm when administered to a pregnant woman or can affect reproduction capacity. Hyoscyamine sulfate should be given to a pregnant woman only if clearly needed.

Principal Display Panel Hyoscyamine Er .375 Mg

NDC 75929-057-10

100 tablets

Hyoscyamine Sulfate

Extended-Release

Tablets

0.375 mg

Rx only

Each tablet contains 0.375 mg hyoscyamine sulfate, USP.

USUAL DOSAGE:Adults and pediatric patients 12 years

of age and older: 1 to 2 tablets every 12 hours.

See package insert for full prescribing information.

Dispense in tight, light-resistant containers as

defined in USP/NF with child-resistant closure.

KEEP OUT OF REACH OF CHILDREN.

Store at controlled room temperature 20º-25ºC (68º-77ºF);

excursions permitted to 15º-30ºC (59º-86ºF).

Please refer to current USP.

Distributed by: Wallace Pharmaceuticals Inc.

Somerset, NJ 08873-4120, USA

For medical inquiries call 1-800-619-6344

©2018 Mylan Pharmaceuticals Inc.

LB-115103-03 REV 3/2018

Carcinogenesis, Mutagenesis, Impairment of Fertility

No long-term studies in animals have been performed to determine the carcinogenic, mutagenic or impairment of fertility potential of hyoscyamine sulfate; however, 40 years of marketing experience with hyoscyamine sulfate shows no demonstrable evidence of a problem.

Adults and Pediatric Patients 12 Years of Age and Older

1 to 2 tablets every 12 hours. Do not crush or chew tablets. Do not exceed 4 tablets in 24 hours.


Structured Label Content

General

Use with caution in patients with: autonomic neuropathy, hyperthyroidism, coronary heart disease, congestive heart failure, cardiac arrhythmias, hypertension, and renal disease. Investigate any tachycardia before giving any anticholinergic drugs since they may increase the heart rate. Use with caution in patients with hiatal hernia associated with reflux esophagitis.

Warnings (WARNINGS)

In the presence of high environmental temperature, heat prostration can occur with drug use (fever and heat stroke due to decreased sweating). Diarrhea may be an early symptom of incomplete intestinal obstruction, especially in patients with ileostomy or colostomy. In this instance, treatment with this drug would be inappropriate and possibly harmful. Like other anticholinergic agents, hyoscyamine sulfate may produce drowsiness, dizziness, or blurred vision. In this event, the patient should be warned not to engage in activities requiring mental alertness such as operating a motor vehicle or other machinery or to perform hazardous work while taking this drug.

Psychosis has been reported in sensitive individuals given anticholinergic drugs including hyoscyamine sulfate. CNS signs and symptoms include confusion, disorientation, short-term memory loss, hallucinations, dysarthria, ataxia, euphoria, anxiety, fatigue, insomnia, agitation and mannerisms, and inappropriate affect. These CNS signs and symptoms usually resolve within 12 to 48 hours after discontinuation of the drug.

Overdosage (OVERDOSAGE)

The signs and symptoms of overdose are headache, nausea, vomiting, blurred vision, dilated pupils, hot dry skin, dizziness, dryness of the mouth, difficulty in swallowing, and CNS stimulation.

Measures to be taken are immediate lavage of the stomach and injection of physostigmine 0.5 to 2 mg intravenously and repeated as necessary up to a total of 5 mg. Fever may be treated symptomatically (tepid water sponge baths, hypothermic blanket). Excitement to a degree which demands attention may be managed with sodium thiopental 2% solution given slowly intravenously or chloral hydrate (100-200 mL of a 2% solution) by rectal infusion. In the event of progression of the curare-like effect to paralysis of the respiratory muscles, artificial respiration should be instituted and maintained until effective respiratory action returns.

In rats, the LD 50for hyoscyamine is 375 mg/kg. Hyoscyamine sulfate is dialyzable.

Description (DESCRIPTION)

Hyoscyamine sulfate extended-release tablets contain 0.375 mg of hyoscyamine sulfate in a formulation designed for oral b.i.d. dosage.

Hyoscyamine sulfate is one of the principal anticholinergic/antispasmodic components of belladonna alkaloids. The empirical formula is (C 17H 23NO 3) 2•H 2SO 4•2H 2O and the molecular weight is 712.85. Chemically, it is benzeneacetic acid, ɑ-(hydroxymethyl)-, 8-methyl-8-azabicyclo [3.2.1.] oct-3-yl ester, [3(S)-endo]-, sulfate (2:1), dihydrate with the following structure:

Each tablet also contains as inactive ingredients: calcium phosphate dibasic, ethylcellulose, lactose monohydrate, magnesium stearate, microcrystalline cellulose and stearic acid.

How Supplied (HOW SUPPLIED)

Hyoscyamine Sulfate Extended-Release Tablets, 0.375 mg are white, capsule-shaped tablets. They are coded “AP” on one side and “115” on the other.

Bottles of 100 tablets NDC 75929-057-10

Store at controlled room temperature 20°-25°C (68°-77°F); excursions permitted to 15°-30°C (59°-86°F). Please refer to current USP.

Dispense in tight, light-resistant containers as defined in USP/NF with a child-resistant closure.

KEEP OUT OF REACH OF CHILDREN

Also available as:

Dosage

Strength

Package

Size

NDC

Hyoscyamine Sulfate

Tablets, USP

0.125 mg

100

75929-055-10

Hyoscyamine Sulfate

Sublingual Tablets

0.125 mg

100

75929-056-10

Distributed by:

Wallace Pharmaceuticals Inc.

Somerset, New Jersey 08873-4120

©2018 Mylan Pharmaceuticals Inc

WALLACE and

are trademarks of Wallace Pharmaceuticals Inc., a Mylan company

IN-1151-03 Rev. 3/2018

Printed in USA

70011278

Geriatric Use

Reported clinical experience has not identified differences in safety between patients aged 65 and over and younger patients. In general, dose selection for an elderly patient should be cautious, usually starting at the low end of the dosing range, reflecting the greater frequency of decreased hepatic, renal, or cardiac function, and of concomitant disease or other drug therapy.

This drug is known to be substantially excreted by the kidney, and the risk of toxic reactions to this drug may be greater in patients with impaired renal function. Because elderly patients are more likely to have decreased renal function, care should be taken in dose selection, and it may be useful to monitor renal function.

To report SUSPECTED ADVERSE REACTIONS, contact Wallace Pharmaceuticals at 1-800-619-6344 or FDA at 1-800-FDA-1088 or www.fda.gov/medwatch.

Nursing Mothers

Hyoscyamine sulfate is excreted in human milk. Caution should be exercised when hyoscyamine sulfate is administered to a nursing woman.

Adverse Reactions (ADVERSE REACTIONS)

All of the following adverse reactions have been reported with hyoscyamine sulfate. Adverse reactions may include dryness of the mouth; urinary hesitancy and retention; blurred vision; tachycardia; palpitations; mydriasis; increased ocular tension; loss of taste; headache; nervousness; drowsiness; weakness; fatigue; dizziness; insomnia; nausea; vomiting; impotence; constipation; bloated feeling; abdominal pain; diarrhea; allergic reactions or drug idiosyncrasies; urticaria and other dermal manifestations; ataxia; speech disturbance; some degree of mental confusion and/or excitement (especially in elderly persons); short-term memory loss; hallucinations; and decreased sweating.

Contraindications (CONTRAINDICATIONS)

Glaucoma; obstructive uropathy (for example, bladder neck obstruction due to prostatic hypertrophy); obstructive disease of the gastrointestinal tract (as in achalasia, pyloroduodenal stenosis); paralytic ileus, intestinal atony of elderly or debilitated patients; unstable cardiovascular status in acute hemorrhage; severe ulcerative colitis; toxic megacolon complicating ulcerative colitis; myasthenia gravis.

Drug Interactions

Additive adverse effects resulting from cholinergic blockade may occur when hyoscyamine sulfate is administered concomitantly with other antimuscarinics, amantadine, haloperidol, phenothiazines, monoamine oxidase (MAO) inhibitors, tricyclic antidepressants or some antihistamines.

Antacids may interfere with the absorption of hyoscyamine sulfate.

Clinical Pharmacology (CLINICAL PHARMACOLOGY)

Hyoscyamine sulfate inhibits specifically the actions of acetylcholine on structures innervated by postganglionic cholinergic nerves and on smooth muscles that respond to acetylcholine but lack cholinergic innervation. These peripheral cholinergic receptors are present in the autonomic effector cells of the smooth muscle, the cardiac muscle, the sinoatrial node, the atrioventricular node, and the exocrine glands. At therapeutic doses, it is completely devoid of any action on autonomic ganglia. Hyoscyamine sulfate inhibits gastrointestinal propulsive motility and decreases gastric acid secretion. Hyoscyamine sulfate also controls excessive pharyngeal, tracheal, and bronchial secretions.

Hyoscyamine sulfate is absorbed totally and completely by oral administration. Once absorbed, hyoscyamine sulfate disappears rapidly from the blood and is distributed throughout the entire body: the half-life of hyoscyamine sulfate is 2 to 3½ hours. Hyoscyamine sulfate is partly hydrolyzed to tropic acid and tropine but the majority of the drug is excreted in the urine unchanged within the first 12 hours. Only traces of this drug are found in breast milk. Hyoscyamine sulfate passes the blood brain barrier and the placental barrier.

Hyoscyamine sulfate extended-release tablets releases 0.375 mg hyoscyamine sulfate at a controlled and predictable rate for 12 hours. The mean peak plasma concentration occurred at 4.20 hours. The mean (±SEM) apparent plasma elimination half-life is 7.47 hours (±0.60). Tablets may not completely disintegrate and may be excreted by some patients.

Indications and Usage (INDICATIONS AND USAGE)

Hyoscyamine sulfate extended-release tablets are effective as adjunctive therapy in the treatment of peptic ulcer. They can also be used to control gastric secretion, visceral spasm and hypermotility in spastic colitis, spastic bladder, cystitis, pylorospasm, and associated abdominal cramps. May be used in functional intestinal disorders to reduce symptoms such as those seen in mild dysenteries, diverticulitis, and acute enterocolitis. For use as adjunctive therapy in the treatment of irritable bowel syndrome (irritable colon, spastic colon, mucous colitis) and functional gastrointestinal disorders. Also used as adjunctive therapy in the treatment of neurogenic bladder andmneurogenic bowel disturbances (including the splenic flexure syndrome and neurogenic colon). Hyoscyamine sulfate extended-release tablets are indicated along with morphine or other narcotics in symptomatic relief of biliary and renal colic; as a “drying agent” in the relief of symptoms of acute rhinitis; in the therapy of parkinsonism to reduce rigidity and tremors and to control associated sialorrhea and hyperhidrosis. May be used in the therapy of poisoning by anticholinesterase agents.

Information for Patients (Information For Patients)

Like other anticholinergic agents, hyoscyamine sulfate may produce drowsiness, dizziness, or blurred vision. In this event, the patient should be warned not to engage in activities requiring mental alertness such as operating a motor vehicle or other machinery or to perform hazardous work while taking this drug.

Use of hyoscyamine sulfate may decrease sweating resulting in heat prostration, fever or heat stroke; febrile patients or those who may be exposed to elevated environmental temperatures should use caution. Tablets may not completely disintegrate and may be excreted by some patients.

Dosage and Administration (DOSAGE AND ADMINISTRATION)

Dosage may be adjusted according to the conditions and severity of symptoms.

Pregnancy – Pregnancy Category C

Animal reproduction studies have not been conducted with hyoscyamine sulfate. It is also not known whether hyoscyamine sulfate can cause fetal harm when administered to a pregnant woman or can affect reproduction capacity. Hyoscyamine sulfate should be given to a pregnant woman only if clearly needed.

Principal Display Panel Hyoscyamine Er .375 Mg (PRINCIPAL DISPLAY PANEL - Hyoscyamine ER .375 mg)

NDC 75929-057-10

100 tablets

Hyoscyamine Sulfate

Extended-Release

Tablets

0.375 mg

Rx only

Each tablet contains 0.375 mg hyoscyamine sulfate, USP.

USUAL DOSAGE:Adults and pediatric patients 12 years

of age and older: 1 to 2 tablets every 12 hours.

See package insert for full prescribing information.

Dispense in tight, light-resistant containers as

defined in USP/NF with child-resistant closure.

KEEP OUT OF REACH OF CHILDREN.

Store at controlled room temperature 20º-25ºC (68º-77ºF);

excursions permitted to 15º-30ºC (59º-86ºF).

Please refer to current USP.

Distributed by: Wallace Pharmaceuticals Inc.

Somerset, NJ 08873-4120, USA

For medical inquiries call 1-800-619-6344

©2018 Mylan Pharmaceuticals Inc.

LB-115103-03 REV 3/2018

Carcinogenesis, Mutagenesis, Impairment of Fertility (Carcinogenesis, Mutagenesis, Impairment Of Fertility)

No long-term studies in animals have been performed to determine the carcinogenic, mutagenic or impairment of fertility potential of hyoscyamine sulfate; however, 40 years of marketing experience with hyoscyamine sulfate shows no demonstrable evidence of a problem.

Adults and Pediatric Patients 12 Years of Age and Older (Adults And Pediatric Patients 12 Years Of Age And Older)

1 to 2 tablets every 12 hours. Do not crush or chew tablets. Do not exceed 4 tablets in 24 hours.


Advanced Ingredient Data


Raw Label Data

All Sections (JSON)