nystatin

nystatin
SPL v5
SPL
SPL Set ID 01c469b3-ec10-452c-8c02-3e7d22e40297
Route
oral
Published
Effective Date 2019-07-02
Document Type 34391-3 HUMAN PRESCRIPTION DRUG LABEL

Drug Facts

Composition & Product

Active Ingredients
nystatin (100000 [USP'U])
Inactive Ingredients
alcohol benzaldehyde edetate calcium disodium glycerin magnesium aluminum silicate methylparaben propylparaben water saccharin sodium sodium citrate, unspecified form sucrose xanthan gum

Identifiers & Packaging

Pill Appearance
Color: yellow
Marketing Status
anda active Since 1988-02-29

Indications and Usage

Nystatin Oral Suspension is indicated for the treatment of candidiasis in the oral cavity.

Contraindications

The preparation is contraindicated in patients with a history of hypersensitivity to any of its components.

Adverse Reactions

Nystatin is well tolerated even with prolonged therapy. Oral irritation and sensitization have been reported. (See PRECAUTIONS: General ). Gastrointestinal: Diarrhea (including one case of bloody diarrhea), nausea, vomiting, gastrointestinal upset/disturbances. Dermatologic: Rash, including urticaria has been reported rarely. Stevens-Johnson syndrome has been reported very rarely. Other: Tachycardia, bronchospasm, facial swelling, and non-specific myalgia have also been rarely reported.

How Supplied

Nystatin Oral Suspension, USP, 100,000 USP Nystatin U/mL, is available as a cherry-mint flavored, light creamy yellow, ready-to-use suspension in: 2 fl oz (60 mL) bottles with 0.5 mL, 1 mL, 1.5 mL, 2 mL calibrated dropper NDC 51672-4117-4 1 Pint (473 mL) bottles NDC 51672-4117-9 1 Gallon (3785 mL) bottles (For repackaging only) NDC 51672-4117-0 SHAKE WELL BEFORE USING

Description

Rx Only


Medication Information

Indications and Usage

Nystatin Oral Suspension is indicated for the treatment of candidiasis in the oral cavity.

Contraindications

The preparation is contraindicated in patients with a history of hypersensitivity to any of its components.

Adverse Reactions

Nystatin is well tolerated even with prolonged therapy. Oral irritation and sensitization have been reported. (See PRECAUTIONS: General ).

Gastrointestinal:Diarrhea (including one case of bloody diarrhea), nausea, vomiting, gastrointestinal upset/disturbances.

Dermatologic:Rash, including urticaria has been reported rarely. Stevens-Johnson syndrome has been reported very rarely.

Other:Tachycardia, bronchospasm, facial swelling, and non-specific myalgia have also been rarely reported.

How Supplied

Nystatin Oral Suspension, USP, 100,000 USP Nystatin U/mL, is available as a cherry-mint flavored, light creamy yellow, ready-to-use suspension in:

2 fl oz (60 mL) bottles with 0.5 mL, 1 mL, 1.5 mL, 2 mL calibrated dropper NDC 51672-4117-4 1 Pint (473 mL) bottles NDC 51672-4117-9 1 Gallon (3785 mL) bottles (For repackaging only) NDC 51672-4117-0

SHAKE WELL BEFORE USING

Description

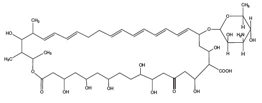
Nystatin is an antimycotic polyene antibiotic obtained from Streptomyces noursei. Structural formula:

Nystatin Oral Suspension, for oral administration, is cherry/mint flavored, containing 100,000 USP Nystatin Units per mL. Inactive ingredients: alcohol (≤1% v/v), benzaldehyde, edetate calcium disodium, flavors, glycerin, magnesium aluminum silicate, methylparaben, propylparaben, purified water, saccharin sodium, sodium citrate, sucrose (49.8% w/v), xanthan gum.

Section 42229-5

Rx Only

General

This medication is not to be used for the treatment of systemic mycoses. Discontinue treatment if sensitization or irritation is reported during use.

Infants

2 mL (200,000 units) four times daily (in infants and young children, use dropper to place one-half of dose in each side of mouth and avoid feeding for 5 to 10 minutes).

NOTE:Limited clinical studies in premature and low birth weight infants indicate that 1 mL four times daily is effective.

Storage

Store at 20° to 25°C (68° to 77°F)[see USP Controlled Room Temperature]. Protect from freezing.

PHARMACIST:Dispense in a tight, light-resistant container as defined in USP.

Overdosage

Oral doses of nystatin in excess of five million units daily have caused nausea and gastrointestinal upset. There have been no reports of serious toxic effects of superinfections (See CLINICAL PHARMACOLOGY, Pharmacokinetics ).

Microbiology

Nystatin is both fungistatic and fungicidal in vitroagainst a wide variety of yeasts and yeast-like fungi. Candida albicansdemonstrates no significant resistance to nystatin in vitroon repeated subculture in increasing levels of nystatin; other Candidaspecies become quite resistant. Generally, resistance does not develop in vivo. Nystatin acts by binding to sterols in the cell membrane of susceptible Candidaspecies with a resultant change in membrane permeability allowing leakage of intracellular components. Nystatin exhibits no appreciable activity against bacteria, protozoa, or viruses.

Pediatric Use
Nursing Mothers

It is not known whether nystatin is excreted in human milk. Because many drugs are excreted in human milk, caution should be exercised when nystatin is administered to a nursing woman.

Pharmacokinetics

Gastrointestinal absorption of nystatin is insignificant. Most orally administered nystatin is passed unchanged in the stool. In patients with renal insufficiency receiving oral therapy with conventional dosage forms, significant plasma concentrations of nystatin may occasionally occur.

Children and Adults

4 to 6 mL (400,000 to 600,000 units) four times daily (one-half of dose in each side of mouth). The preparation should be retained in the mouth as long as possible before swallowing.

Continue treatment for at least 48 hours after perioral symptoms have disappeared and cultures demonstrate eradication of Candida albicans.

Teratogenic Effects Category C

Animal reproduction studies have not been conducted with nystatin oral suspension. It is also not known whether nystatin oral suspension can cause fetal harm when administered to a pregnant woman or can affect reproduction capacity. Nystatin oral suspension should be given to a pregnant woman only if clearly needed.

Principal Display Panel 60 Ml Bottle Label

NDC 51672-4117-4

2 fl oz

(60 mL)

Nystatin

Oral Suspension USP,

100,000 units/mL

SHAKE WELL BEFORE USING

CHERRY/MINT FLAVORED

TARO

Rx only

Carcinogenesis, Mutagenesis, Impairment of Fertility

No long-term animal studies have been performed to evaluate carcinogenic potential. There also have been no studies to determine mutagenicity or whether this medication affects fertility in males or females.


Structured Label Content

Indications and Usage (INDICATIONS AND USAGE)

Nystatin Oral Suspension is indicated for the treatment of candidiasis in the oral cavity.

Contraindications (CONTRAINDICATIONS)

The preparation is contraindicated in patients with a history of hypersensitivity to any of its components.

Adverse Reactions (ADVERSE REACTIONS)

Nystatin is well tolerated even with prolonged therapy. Oral irritation and sensitization have been reported. (See PRECAUTIONS: General ).

Gastrointestinal:Diarrhea (including one case of bloody diarrhea), nausea, vomiting, gastrointestinal upset/disturbances.

Dermatologic:Rash, including urticaria has been reported rarely. Stevens-Johnson syndrome has been reported very rarely.

Other:Tachycardia, bronchospasm, facial swelling, and non-specific myalgia have also been rarely reported.

How Supplied (HOW SUPPLIED)

Nystatin Oral Suspension, USP, 100,000 USP Nystatin U/mL, is available as a cherry-mint flavored, light creamy yellow, ready-to-use suspension in:

2 fl oz (60 mL) bottles with 0.5 mL, 1 mL, 1.5 mL, 2 mL calibrated dropper NDC 51672-4117-4 1 Pint (473 mL) bottles NDC 51672-4117-9 1 Gallon (3785 mL) bottles (For repackaging only) NDC 51672-4117-0

SHAKE WELL BEFORE USING

Description (DESCRIPTION)

Nystatin is an antimycotic polyene antibiotic obtained from Streptomyces noursei. Structural formula:

Nystatin Oral Suspension, for oral administration, is cherry/mint flavored, containing 100,000 USP Nystatin Units per mL. Inactive ingredients: alcohol (≤1% v/v), benzaldehyde, edetate calcium disodium, flavors, glycerin, magnesium aluminum silicate, methylparaben, propylparaben, purified water, saccharin sodium, sodium citrate, sucrose (49.8% w/v), xanthan gum.

Section 42229-5 (42229-5)

Rx Only

General

This medication is not to be used for the treatment of systemic mycoses. Discontinue treatment if sensitization or irritation is reported during use.

Infants (INFANTS)

2 mL (200,000 units) four times daily (in infants and young children, use dropper to place one-half of dose in each side of mouth and avoid feeding for 5 to 10 minutes).

NOTE:Limited clinical studies in premature and low birth weight infants indicate that 1 mL four times daily is effective.

Storage

Store at 20° to 25°C (68° to 77°F)[see USP Controlled Room Temperature]. Protect from freezing.

PHARMACIST:Dispense in a tight, light-resistant container as defined in USP.

Overdosage (OVERDOSAGE)

Oral doses of nystatin in excess of five million units daily have caused nausea and gastrointestinal upset. There have been no reports of serious toxic effects of superinfections (See CLINICAL PHARMACOLOGY, Pharmacokinetics ).

Microbiology

Nystatin is both fungistatic and fungicidal in vitroagainst a wide variety of yeasts and yeast-like fungi. Candida albicansdemonstrates no significant resistance to nystatin in vitroon repeated subculture in increasing levels of nystatin; other Candidaspecies become quite resistant. Generally, resistance does not develop in vivo. Nystatin acts by binding to sterols in the cell membrane of susceptible Candidaspecies with a resultant change in membrane permeability allowing leakage of intracellular components. Nystatin exhibits no appreciable activity against bacteria, protozoa, or viruses.

Pediatric Use
Nursing Mothers

It is not known whether nystatin is excreted in human milk. Because many drugs are excreted in human milk, caution should be exercised when nystatin is administered to a nursing woman.

Pharmacokinetics

Gastrointestinal absorption of nystatin is insignificant. Most orally administered nystatin is passed unchanged in the stool. In patients with renal insufficiency receiving oral therapy with conventional dosage forms, significant plasma concentrations of nystatin may occasionally occur.

Children and Adults (CHILDREN AND ADULTS)

4 to 6 mL (400,000 to 600,000 units) four times daily (one-half of dose in each side of mouth). The preparation should be retained in the mouth as long as possible before swallowing.

Continue treatment for at least 48 hours after perioral symptoms have disappeared and cultures demonstrate eradication of Candida albicans.

Teratogenic Effects Category C

Animal reproduction studies have not been conducted with nystatin oral suspension. It is also not known whether nystatin oral suspension can cause fetal harm when administered to a pregnant woman or can affect reproduction capacity. Nystatin oral suspension should be given to a pregnant woman only if clearly needed.

Principal Display Panel 60 Ml Bottle Label (PRINCIPAL DISPLAY PANEL - 60 mL Bottle Label)

NDC 51672-4117-4

2 fl oz

(60 mL)

Nystatin

Oral Suspension USP,

100,000 units/mL

SHAKE WELL BEFORE USING

CHERRY/MINT FLAVORED

TARO

Rx only

Carcinogenesis, Mutagenesis, Impairment of Fertility

No long-term animal studies have been performed to evaluate carcinogenic potential. There also have been no studies to determine mutagenicity or whether this medication affects fertility in males or females.


Advanced Ingredient Data


Raw Label Data

All Sections (JSON)