pentazocine and naloxone tablets, usp civ

pentazocine and naloxone tablets, usp civ
SPL v16
SPL
SPL Set ID 017ef042-40aa-44c9-baa8-037f06356845
Route
oral
Published
Effective Date 2025-08-28
Document Type 34391-3 HUMAN PRESCRIPTION DRUG LABEL

Drug Facts

Composition & Product

Active Ingredients
pentazocine (50 mg) naloxone (0.5 mg)
Inactive Ingredients
silicon dioxide d&c yellow no. 10 dibasic calcium phosphate dihydrate sodium lauryl sulfate magnesium stearate cellulose, microcrystalline starch, corn

Identifiers & Packaging

Pill Appearance
Imprint: NL;680 Shape: capsule Color: yellow Size: 13 mm Score: 2
Marketing Status
anda active Since 2011-05-11

Indications and Usage

Pentazocine and Naloxone Tablets are indicated for the management of pain severe enough to require an opioid analgesic and for which alternative treatments are inadequate. Limitations of Use Because of the risks of addiction, abuse, misuse, overdose, and death, which can occur at any dosage or duration, and persist over the course of therapy, reserve opioid analgesics, including Pentazocine and Naloxone Tablets for use in patients for whom alternative treatment options are ineffective, not tolerated, or would be otherwise inadequate to provide sufficient management of pain.

Dosage and Administration

Important Dosage and Administration Instructions Pentazocine and Naloxone Tablets should be prescribed only by healthcare professionals who are knowledgeable about the use of opioids and how to mitigate the associated risks. Use the lowest effective dosage for the shortest duration of time consistent with individual patient treatment goals [see Warnings and Precautions ] . Reserve titration to higher doses of Pentazocine and Naloxone Tablets for patients in whom lower doses are insufficiently effective and in whom the expected benefits of using a higher dose opioid clearly outweigh the substantial risks. Many acute pain conditions (e.g., the pain that occurs with a number of surgical procedures or acute musculoskeletal injuries) require no more than a few days of an opioid analgesic. Clinical guidelines on opioid prescribing for some acute pain conditions are available. There is variability in the opioid analgesic dose and duration needed to adequately manage pain due both to the cause of pain and to individual patient factors. Initiate the dosing regimen for each patient individually, taking into account the patient's underlying cause and severity of pain, prior analgesic treatment and response, and risk factors for addiction, abuse, and misuse [ see Warnings ]. Respiratory depression can occur at any time during opioid therapy, especially when initiating and following dosage increases with Pentazocine and Naloxone Tablets. Consider this risk when selecting an initial dose and when making dose adjustments [ see Warnings ]. Patient Access to an Opioid Overdose Reversal Agent for the Emergency Treatment of Opioid Overdose Inform patients and caregivers about opioid overdose reversal agents (e.g., naloxone, nalmefene). Discuss the importance of having access to an opioid overdose reversal agent, especially if the patient has risk factors for overdose (e.g., concomitant use of CNS depressants, a history of opioid use disorder, or prior opioid overdose) or if there are household members (including children) or other close contacts at risk for accidental ingestion or opioid overdose. The presence of risk factors for overdose should not prevent the management of pain in any patient [see WARNINGS, Addiction, Abuse and Misuse; Life-Threatening Respiratory Depression; Risks from Concomitant Use with Benzodiazepines or Other CNS Depressants]. Discuss the options for obtaining an opioid overdose reversal agent (e.g., prescription, over-the-counter, or as part of a community-based program). There are important differences among the opioid overdose reversal agents, such as route of administration, product strength, approved patient age range, and pharmacokinetics. Be familiar with these differences, as outlined in the approved labeling for those products, prior to recommending or prescribing such an agent. Initial Dosage Use of Pentazocine and Naloxone Tablets as the First Opioid Analgesic Initiate treatment with Pentazocine and Naloxone Tablets, USP in a dosing range of 1 tablet every 3 to 4 hours as needed for pain, at the lowest dose necessary to achieve adequate analgesia. Titrate the dose based upon the individual patient's response to their initial dose of Pentazocine and Naloxone Tablets. This may be increased to 2 tablets when needed. Total daily dosage should not exceed 12 tablets. Conversion from Other Opioids to Pentazocine and Naloxone Tablets There is inter-patient variability in the potency of opioid drugs and opioid formulations. Therefore, a conservative approach is advised when determining the total daily dosage of Pentazocine and Naloxone Tablets. It is safer to underestimate a patient's 24-hour Pentazocine and Naloxone Tablets dosage than to overestimate the 24-hour Pentazocine and Naloxone Tablets dosage and manage an adverse reaction due to overdose. Titration and Maintenance of Therapy Individually titrate Pentazocine and Naloxone Tablets to a dose that provides adequate analgesia and minimizes adverse reactions. Continually reevaluate patients receiving Pentazocine and Naloxone Tablets to assess the maintenance of pain control, signs and symptoms of opioid withdrawal,  and other adverse reactions, as well as assessing for the development of addiction, abuse, or misuse [see WARNINGS ]. Frequent communication is important among the prescriber, other members of the healthcare team, the patient, and the caregiver/family during periods of changing analgesic requirements, including initial titration. If the level of pain increases after dosage stabilization, attempt to identify the source of increased pain before increasing the Pentazocine and Naloxone Tablets dosage. If after increasing the dosage, unacceptable opioid- related adverse reactions are observed (including an increase in pain after dosage increase), consider reducing the dosage. Adjust the dosage to obtain an appropriate balance between management of pain and opioid-related adverse reactions. Safe Reduction or Discontinuation of Pentazocine and Naloxone Tablets Do not rapidly reduce or abruptly discontinue Pentazocine and Naloxone Tablets in patients who may be physically dependent on opioids. Rapid discontinuation of opioid analgesics in patients who are physically dependent on opioids has resulted in serious withdrawal symptoms, uncontrolled pain, and suicide. Rapid discontinuation has also been associated with attempts to find other sources of opioid analgesics, which may be confused with drug-seeking for abuse. Patients may also attempt to treat their pain or withdrawal symptoms with illicit opioids, such as heroin, and other substances. When a decision has been made to decrease the dose or discontinue therapy in an opioid-dependent patient taking Pentazocine and Naloxone Tablets, there are a variety of factors that should be considered, including the total daily dose of opioid (including Pentazocine and Naloxone Tablets) the patient has been taking, the duration of treatment, the type of pain being treated, and the physical and psychological attributes of the patient. It is important to ensure ongoing care of the patient and to agree on an appropriate tapering schedule and follow-up plan so that patient and provider goals and expectations are clear and realistic. When opioid analgesics are being discontinued due to a suspected substance use disorder, evaluate and treat the patient, or refer for evaluation and treatment of the substance use disorder. Treatment should include evidence-based approaches, such as medication assisted treatment of opioid use disorder. Complex patients with co-morbid pain and substance use disorders may benefit from referral to a specialist. There are no standard opioid tapering schedules that are suitable for all patients. Good clinical practice dictates a patient-specific plan to taper the dose of the opioid gradually. For patients on Pentazocine and Naloxone Tablets who are physically opioid-dependent, initiate the taper by a small enough increment (e.g., no greater than 10% to 25% of the total daily dose) to avoid withdrawal symptoms, and proceed with dose-lowering at an interval of every 2 to 4 weeks. Patients who have been taking opioids for briefer periods of time may tolerate a more rapid taper. It may be necessary to provide the patient with lower dosage strengths to accomplish a successful taper. Reassess the patient frequently to manage pain and withdrawal symptoms, should they emerge. Common withdrawal symptoms include restlessness, lacrimation, rhinorrhea, yawning, perspiration, chills, myalgia, and mydriasis. Other signs and symptoms also may develop, including irritability, anxiety, backache, joint pain, weakness, abdominal cramps, insomnia, nausea, anorexia, vomiting, diarrhea, or increased blood pressure, respiratory rate, or heart rate. If withdrawal symptoms arise, it may be necessary to pause the taper for a period of time or raise the dose of the opioid analgesic to the previous dose, and then proceed with a slower taper. In addition, evaluate patients for any changes in mood, emergence of suicidal thoughts, or use of other substances. When managing patients taking opioid analgesics, particularly those who have been treated for an extended period of time, and/or with high doses for chronic pain, ensure that a multimodal approach to pain management, including mental health support (if needed), is in place prior to initiating an opioid analgesic taper. A multimodal approach to pain management may optimize the treatment of chronic pain, as well as assist with the successful tapering of the opioid analgesic [ see WARNINGS/Withdrawal , DRUG ABUSE AND DEPENDENCE ] .

Contraindications

Pentazocine and Naloxone Tablets are contraindicated in patients with: Significant respiratory depression [see WARNINGS ] Acute or severe bronchial asthma in an unmonitored setting or in the absence of resuscitative equipment [see WARNINGS ]. Patients with known or suspected gastrointestinal obstruction, including paralytic ileus [see WARNINGS ] Patients with hypersensitivity to either pentazocine, naloxone, or any of the formulation excipients (e.g., anaphylaxis) [see WARNINGS ].

Adverse Reactions

The following adverse reactions associated with the use of Pentazocine and Naloxone were identified in clinical studies or postmarketing reports. Because some of these reactions were reported voluntarily from a population of uncertain size, it is not always possible to reliably estimate their frequency or establish a causal relationship to drug exposure. Cardiovascular - Hypertension, hypotension, circulatory depression, tachycardia, syncope. Respiratory - Rarely, respiratory depression. Acute CNS Manifestations - Hallucinations (usually visual), disorientation, and confusion. Other CNS Effects - Grand mal convulsions, increase in intracranial pressure, dizziness, lightheadedness, hallucinations, sedation, euphoria, headache, confusion, disorientation; infrequently weakness, disturbed dreams, insomnia, syncope, and depression; and rarely tremor, irritability, excitement, tinnitus. Autonomic - Sweating; infrequently flushing; and rarely chills. Gastrointestinal - Nausea, vomiting, constipation, diarrhea, anorexia, dry mouth, biliary tract spasm, and rarely abdominal distress. Allergic - Edema of the face; anaphylactic shock; dermatitis, including pruritus; flushed skin, including plethora; infrequently rash, and rarely urticaria. Ophthalmic - Visual blurring and focusing difficulty, miosis. Hematologic - Depression of white blood cells (especially granulocytes), with rare cases of agranulocytosis, which is usually reversible, moderate transient eosinophilia. Dependence and Withdrawal Symptoms - (See WARNINGS , PRECAUTIONS , and DRUG ABUSE AND DEPENDENCE Sections). Other - Urinary retention, paresthesia, serious skin reactions, including erythema multiforme, Stevens-Johnson syndrome toxic epidermal necrolysis, and alterations in rate or strength of uterine contractions during labor. Serotonin syndrome : Cases of serotonin syndrome, a potentially life-threatening condition, have been reported during concomitant use of opioids with serotonergic drugs. Adrenal insufficiency : Cases of adrenal insufficiency have been reported with opioid use, more often following greater than one month of use. Anaphylaxis : Anaphylaxis has been reported with ingredients contained in Pentazocine and Naloxone Tablets. Androgen deficiency : Cases of androgen deficiency have occurred with use of opioids for an extended period of time [see Clinical Pharmacology ]. Hyperalgesia and Allodynia: Cases of hyperalgesia and allodynia have been reported with opioid therapy of any duration [see Warnings ]. Hypoglycemia : Cases of hypoglycemia have been reported in patients taking opioids. Most reports were in patients with at least one predisposing risk factor (e.g., diabetes). Opioid-induced esophageal dysfunction (OIED): Cases of OIED have been reported in patients taking opioids, and may occur more frequently in patients taking higher doses of opioid, and/or in patients taking opioids longer term [see WARNINGS]. Adverse Reactions from Observational Studies A prospective, observational cohort study estimated the risks of addiction, abuse, and misuse in patients initiating long-term use of Schedule II opioid analgesics between 2017 and 2021. Study participants included in one or more analyses had been enrolled in selected insurance plans or health systems for at least one year, were free of at least one outcome at baseline, completed a minimum number of follow-up assessments, and either: 1) filled multiple extended-release/long-acting opioid analgesic prescriptions during a 90 day period (n=978); or 2) filled any Schedule II opioid analgesic for at least 70 of 90 days (n=1,244). Those included also had no dispensing of the qualifying opioids in the previous 6 months. Over 12 months: approximately 1% to 6% of participants across the two cohorts newly met criteria for addiction, as assessed with two validated interview based measures of moderate-to-severe opioid use disorder based on Diagnostic and Statistical Manual of Mental Disorders, Fifth Edition (DSM-5) criteria, and approximately 9% and 22% of participants across the two cohorts newly met criteria for prescription opioid abuse and misuse [defined in DRUG ABUSE AND DEPENDENCE], respectively, as measured with a validated self-reported instrument. A retrospective, observational cohort study estimated the risk of opioid involved overdose or opioid overdose-related death in patients with new long-term use of Schedule II opioid analgesics from 2006 through 2016 (n=220,249). Included patients had been enrolled in either one of two commercial insurance programs, one managed care program, or one Medicaid program for at least 9 months. New long-term use was defined as having Schedule II opioid analgesic prescriptions covering at least 70 days' supply over the 3 months prior to study entry and none during the preceding 6 months. Patients were excluded if they had an opioid-involved overdose in the 9 months prior to study entry. Overdose was measured using a validated medical code-based algorithm with linkage to the National Death Index database. The 5-year cumulative incidence estimates for opioid-involved overdose or opioid overdose-related death ranged from approximately 1.5% to 4% across study sites, counting only the first event during follow-up. Approximately 17% of first opioid overdoses observed over the entire study period (5-11 years, depending on the study site) were fatal. Higher baseline opioid dose was the strongest and most consistent predictor of opioid-involved overdose or opioid overdose-related death. Study exclusion criteria may have selected patients at lower risk of overdose, and substantial loss to follow-up (approximately 80%) also may have biased estimates. The risk estimates from the studies described above may not be generalizable to all patients receiving opioid analgesics, such as those with exposures shorter or longer than the duration evaluated in the studies. To report SUSPECTED ADVERSE REACTIONS, contact Lupin Pharmaceuticals Inc. at 1-866-403-7592 or FDA at 1-800-FDA-1088 or www.fda.gov/medwatch.

Drug Interactions

Benzodiazepines and Other Central Nervous System (CNS) Depressants Due to additive pharmacologic effect, the concomitant use of benzodiazepines or other CNS depressants including alcohol, benzodiazepines and other sedative hypnotics, anxiolytics, and tranquilizers, muscle relaxants, general anesthetics, antipsychotics, and other opioids, can increase the risk of hypotension, respiratory depression, profound sedation, coma, and death. Reserve concomitant prescribing of these drugs for use in patients for whom alternative treatment options are inadequate. Limit dosages and durations to the minimum required. Inform patients and caregivers of this potential interaction, educate them on the signs and symptoms of respiratory depression (including sedation). If concomitant use is warranted, consider prescribing an opioid overdose reversal agent [see WARNINGS, DOSAGE AND ADMINISTRATION]. Serotonergic Drugs The concomitant use of opioids with other drugs that affect the serotonergic neurotransmitter system, such as selective serotonin reuptake inhibitors (SSRIs), serotonin and norepinephrine reuptake inhibitors (SNRIs), tricyclic antidepressants (TCAs), triptans, 5-HT3 receptor antagonists, drugs that affect the serotonin neurotransmitter system (e.g., mirtazapine, trazodone, tramadol), certain muscle relaxants (i.e., cyclobenzaprine, metaxalone), monoamine oxidase (MAO) inhibitors (those intended to treat psychiatric disorders and also others, such as linezolid and intravenous methylene blue), has resulted in serotonin syndrome. [see PRECAUTIONS; Information for Patients ]. If concomitant use is warranted, carefully observe the patient, particularly during treatment initiation and dose adjustment. Discontinue Pentazocine and Naloxone Tablets if serotonin syndrome is suspected. Monoamine Oxidase Inhibitors (MAOIs) Concomitant use of monoamine oxidase inhibitors (MAOIs) with Pentazocine and Naloxone Tablets may cause CNS excitation and hypertension through their respective effects on catecholamines. Caution should therefore be observed in administering Pentazocine and Naloxone Tablets to patients who are currently receiving MAOIs or who have received them within the preceding 14 days Mixed Agonist/Antagonist and Partial Agonist Opioid Analgesics Mixed Agonist/Antagonist and Partial Agonist Opioid Analgesics such as butorphanol, nalbuphine, pentazocine, buprenorphine, may reduce the analgesic effect of Pentazocine and Naloxone Tablets and/or precipitate withdrawal symptoms. Avoid concomitant use of these drugs. Muscle Relaxants The Concomitant use of opioids and muscle relaxants may enhance the neuromuscular blocking action of skeletal muscle relaxants and produce an increased degree of respiratory depression. Because respiratory depression may be greater than otherwise expected, decrease the dosage of Pentazocine and Naloxone Tablets and/or the muscle relaxant as necessary. Due to the risk of respiratory depression with concomitant use of skeletal muscle relaxants and opioids, consider prescribing an opioid overdose reversal agent [see WARNINGS, DOSAGE AND ADMINISTRATION]. Diuretics Opioids can reduce the efficacy of diuretics by inducing the release of antidiuretic hormone. Evaluate patients for signs of diminished diuresis and/or effects on blood pressure and increase the dosage of the diuretic as needed Anticholinergic Drugs The concomitant use of anticholinergic drugs may increase risk of urinary retention and/or severe constipation, which may lead to paralytic ileus. Evaluate patients for signs of urinary retention or reduced gastric motility when Pentazocine and Naloxone Tablets is used concomitantly with anticholinergic drugs. Tobacco Smoking tobacco could enhance the metabolic clearance rate of pentazocine reducing the clinical effectiveness of a standard dose of pentazocine. Carcinogenesis, Mutagenesis, Impairment of Fertility Carcinogenesis Long-term animal studies have not been completed to evaluate the carcinogenic potential of the combination or individual components of Pentazocine and Naloxone Tablets. Mutagenesis Studies to evaluate the mutagenic potential of the components of Pentazocine and Naloxone Tablets have not been conducted. Impairment of Fertility Studies in animals to evaluate the impact of Pentazocine and Naloxone Tablets on fertility have not been completed. The daily administration of 4 mg/kg to 20 mg/kg pentazocine subcutaneously to female rats during a 14 day pre-mating period and until the 13th day of pregnancy did not have any adverse effects on the fertility rate. Infertility Chronic Use of opioids for an extended period of time may cause reduced fertility in females and males of reproductive potential. It is not known whether these effects on fertility are reversible [see Adverse Reactions ].

How Supplied

Pentazocine and Naloxone Tablets USP are light yellow, capsule shaped tablets debossed "NL" on left side and "680" on the right side of the bisect and plain on the other side, supplied in bottles of 100 and 500. Bottles of 100 (NDC 43386-680-01). Bottles of 500 (NDC 43386-680-05). Store at 20° to 25°C (68° to 77°F) [See USP Controlled Room Temperature]. Store Pentazocine and Naloxone Tablets securely and dispose of properly [ See PRECAUTIONS/Information for Patients ]. Dispense in a tight, light-resistant container as defined in the USP. LUPIN and the   are registered trademarks of Lupin Pharmaceuticals, Inc. Manufactured by: Novel Laboratories, Inc. Somerset, NJ 08873 Manufactured for: Lupin Pharmaceuticals, Inc. Naples, FL 34108 SAP Code: 281449 Rev. 08/2025

Description

WARNING: SERIOUS AND LIFE-THREATENING RISKS FROM USE OF PENTAZOCINE AND NALOXONE TABLETS Addiction, Abuse, and Misuse Because the use of Pentazocine and Naloxone Tablets exposes patients and other users to the risks of opioid addiction, abuse, and misuse, which can lead to overdose and death, assess each patient's risk prior to prescribing and reassess all patients regularly for the development of these behaviors and conditions [ see <WARNINGS ]. Life-Threatening Respiratory Depression Serious, life-threatening, or fatal respiratory depression may occur with use of Pentazocine and Naloxone Tablets, especially during initiation or following a dosage increase. To reduce the risk of respiratory depression, proper dosing and titration of Pentazocine and Naloxone Tablets are essential [ see <WARNINGS ]. Accidental Ingestion Accidental ingestion of even one dose of Pentazocine and Naloxone Tablets, especially by children, can result in a fatal overdose of Pentazocine Hydrochloride [ see <WARNINGS ]. Risks From Concomitant Use With Benzodiazepines Or Other CNS Depressants Concomitant use of opioids with benzodiazepines or other central nervous system (CNS) depressants, including alcohol, may result in profound sedation, respiratory depression, coma, and death. Reserve concomitant prescribing of Pentazocine and Naloxone Tablets and benzodiazepines or other CNS depressants for use in patients for whom alternative treatment options are inadequate [see Warnings , Precautions; Drug Interactions]. Neonatal Opioid Withdrawal Syndrome (NOWS) Advise pregnant women using opioids for an extended period of time of the risk of Neonatal Opioid Withdrawal Syndrome, which may be lifethreatening if not recognized and treated. Ensure that management by neonatology experts will be available at delivery [ see <WARNINGS ]. Opioid Analgesic Risk Evaluation and Mitigation Strategy (REMS) Healthcare providers are strongly encouraged to complete a REMS compliant education program and to counsel patients and caregivers on serious risks, safe use, and the importance of reading the Medication Guide with each prescription [ see <WARNINGS ].


Medication Information

Recent Major Changes

WARNING: SERIOUS AND LIFE-THREATENING RISKS FROM USE OF PENTAZOCINE AND NALOXONE TABLETS

Addiction, Abuse, and Misuse

Because the use of Pentazocine and Naloxone Tablets exposes patients and other users to the risks of opioid addiction, abuse, and misuse, which can lead to overdose and death, assess each patient's risk prior to prescribing and reassess all patients regularly for the development of these behaviors and conditions [see <WARNINGS].

Life-Threatening Respiratory Depression

Serious, life-threatening, or fatal respiratory depression may occur with use of Pentazocine and Naloxone Tablets, especially during initiation or following a dosage increase. To reduce the risk of respiratory depression, proper dosing and titration of Pentazocine and Naloxone Tablets are essential [see <WARNINGS].

Accidental Ingestion

Accidental ingestion of even one dose of Pentazocine and Naloxone Tablets, especially by children, can result in a fatal overdose of Pentazocine Hydrochloride [see <WARNINGS].

Risks From Concomitant Use With Benzodiazepines Or Other CNS Depressants

Concomitant use of opioids with benzodiazepines or other central nervous system (CNS) depressants, including alcohol, may result in profound sedation, respiratory depression, coma, and death. Reserve concomitant prescribing of Pentazocine and Naloxone Tablets and benzodiazepines or other CNS depressants for use in patients for whom alternative treatment options are inadequate [see Warnings, Precautions; Drug Interactions].

Neonatal Opioid Withdrawal Syndrome (NOWS)

Advise pregnant women using opioids for an extended period of time of the risk of Neonatal Opioid Withdrawal Syndrome, which may be lifethreatening if not recognized and treated. Ensure that management by neonatology experts will be available at delivery [see <WARNINGS].

Opioid Analgesic Risk Evaluation and Mitigation Strategy (REMS)

Healthcare providers are strongly encouraged to complete a REMS compliant education program and to counsel patients and caregivers on serious risks, safe use, and the importance of reading the Medication Guide with each prescription [see <WARNINGS].

Indications and Usage

Pentazocine and Naloxone Tablets are indicated for the management of pain severe enough to require an opioid analgesic and for which alternative treatments are inadequate.

Limitations of Use

Because of the risks of addiction, abuse, misuse, overdose, and death, which can occur at any dosage or duration, and persist over the course of therapy, reserve opioid analgesics, including Pentazocine and Naloxone Tablets for use in patients for whom alternative treatment options are ineffective, not tolerated, or would be otherwise inadequate to provide sufficient management of pain.

Dosage and Administration

Important Dosage and Administration Instructions

Pentazocine and Naloxone Tablets should be prescribed only by healthcare professionals who are knowledgeable about the use of opioids and how to mitigate the associated risks.

Use the lowest effective dosage for the shortest duration of time consistent with individual patient treatment goals [see Warnings and Precautions]. Reserve titration to higher doses of Pentazocine and Naloxone Tablets for patients in whom lower doses are insufficiently effective and in whom the expected benefits of using a higher dose opioid clearly outweigh the substantial risks.

Many acute pain conditions (e.g., the pain that occurs with a number of surgical procedures or acute musculoskeletal injuries) require no more than a few days of an opioid analgesic. Clinical guidelines on opioid prescribing for some acute pain conditions are available.

There is variability in the opioid analgesic dose and duration needed to adequately manage pain due both to the cause of pain and to individual patient factors. Initiate the dosing regimen for each patient individually, taking into account the patient's underlying cause and severity of pain, prior analgesic treatment and response, and risk factors for addiction, abuse, and misuse [see Warnings ].

Respiratory depression can occur at any time during opioid therapy, especially when initiating and following dosage increases with Pentazocine and Naloxone Tablets. Consider this risk when selecting an initial dose and when making dose adjustments [see Warnings ].

Patient Access to an Opioid Overdose Reversal Agent for the Emergency Treatment of Opioid Overdose

Inform patients and caregivers about opioid overdose reversal agents (e.g., naloxone, nalmefene). Discuss the importance of having access to an opioid overdose reversal agent, especially if the patient has risk factors for overdose (e.g., concomitant use of CNS depressants, a history of opioid use disorder, or prior opioid overdose) or if there are household members (including children) or other close contacts at risk for accidental ingestion or opioid overdose. The presence of risk factors for overdose should not prevent the management of pain in any patient [see WARNINGS, Addiction, Abuse and Misuse; Life-Threatening Respiratory Depression; Risks from Concomitant Use with Benzodiazepines or Other CNS Depressants].

Discuss the options for obtaining an opioid overdose reversal agent (e.g., prescription, over-the-counter, or as part of a community-based program).

There are important differences among the opioid overdose reversal agents, such as route of administration, product strength, approved patient age range, and pharmacokinetics. Be familiar with these differences, as outlined in the approved labeling for those products, prior to recommending or prescribing such an agent.

Initial Dosage

Use of Pentazocine and Naloxone Tablets as the First Opioid Analgesic

Initiate treatment with Pentazocine and Naloxone Tablets, USP in a dosing range of 1 tablet every 3 to 4 hours as needed for pain, at the lowest dose necessary to achieve adequate analgesia. Titrate the dose based upon the individual patient's response to their initial dose of Pentazocine and Naloxone Tablets. This may be increased to 2 tablets when needed. Total daily dosage should not exceed 12 tablets.

Conversion from Other Opioids to Pentazocine and Naloxone Tablets

There is inter-patient variability in the potency of opioid drugs and opioid formulations. Therefore, a conservative approach is advised when determining the total daily dosage of Pentazocine and Naloxone Tablets. It is safer to underestimate a patient's 24-hour Pentazocine and Naloxone Tablets dosage than to overestimate the 24-hour Pentazocine and Naloxone Tablets dosage and manage an adverse reaction due to overdose.

Titration and Maintenance of Therapy

Individually titrate Pentazocine and Naloxone Tablets to a dose that provides adequate analgesia and minimizes adverse reactions. Continually reevaluate patients receiving Pentazocine and Naloxone Tablets to assess the maintenance of pain control, signs and symptoms of opioid withdrawal,  and other adverse reactions, as well as assessing for the development of addiction, abuse, or misuse [see WARNINGS ]. Frequent communication is important among the prescriber, other members of the healthcare team, the patient, and the caregiver/family during periods of changing analgesic requirements, including initial titration.

If the level of pain increases after dosage stabilization, attempt to identify the source of increased pain before increasing the Pentazocine and Naloxone Tablets dosage. If after increasing the dosage, unacceptable opioid- related adverse reactions are observed (including an increase in pain after dosage increase), consider reducing the dosage. Adjust the dosage to obtain an appropriate balance between management of pain and opioid-related adverse reactions.

Safe Reduction or Discontinuation of Pentazocine and Naloxone Tablets

Do not rapidly reduce or abruptly discontinue Pentazocine and Naloxone Tablets in patients who may be physically dependent on opioids. Rapid discontinuation of opioid analgesics in patients who are physically dependent on opioids has resulted in serious withdrawal symptoms, uncontrolled pain, and suicide. Rapid discontinuation has also been associated with attempts to find other sources of opioid analgesics, which may be confused with drug-seeking for abuse. Patients may also attempt to treat their pain or withdrawal symptoms with illicit opioids, such as heroin, and other substances.

When a decision has been made to decrease the dose or discontinue therapy in an opioid-dependent patient taking Pentazocine and Naloxone Tablets, there are a variety of factors that should be considered, including the total daily dose of opioid (including Pentazocine and Naloxone Tablets) the patient has been taking, the duration of treatment, the type of pain being treated, and the physical and psychological attributes of the patient. It is important to ensure ongoing care of the patient and to agree on an appropriate tapering schedule and follow-up plan so that patient and provider goals and expectations are clear and realistic. When opioid analgesics are being discontinued due to a suspected substance use disorder, evaluate and treat the patient, or refer for evaluation and treatment of the substance use disorder. Treatment should include evidence-based approaches, such as medication assisted treatment of opioid use disorder. Complex patients with co-morbid pain and substance use disorders may benefit from referral to a specialist.

There are no standard opioid tapering schedules that are suitable for all patients. Good clinical practice dictates a patient-specific plan to taper the dose of the opioid gradually. For patients on Pentazocine and Naloxone Tablets who are physically opioid-dependent, initiate the taper by a small enough increment (e.g., no greater than 10% to 25% of the total daily dose) to avoid withdrawal symptoms, and proceed with dose-lowering at an interval of every 2 to 4 weeks. Patients who have been taking opioids for briefer periods of time may tolerate a more rapid taper.

It may be necessary to provide the patient with lower dosage strengths to accomplish a successful taper. Reassess the patient frequently to manage pain and withdrawal symptoms, should they emerge. Common withdrawal symptoms include restlessness, lacrimation, rhinorrhea, yawning, perspiration, chills, myalgia, and mydriasis. Other signs and symptoms also may develop, including irritability, anxiety, backache, joint pain, weakness, abdominal cramps, insomnia, nausea, anorexia, vomiting, diarrhea, or increased blood pressure, respiratory rate, or heart rate. If withdrawal symptoms arise, it may be necessary to pause the taper for a period of time or raise the dose of the opioid analgesic to the previous dose, and then proceed with a slower taper. In addition, evaluate patients for any changes in mood, emergence of suicidal thoughts, or use of other substances.

When managing patients taking opioid analgesics, particularly those who have been treated for an extended period of time, and/or with high doses for chronic pain, ensure that a multimodal approach to pain management, including mental health support (if needed), is in place prior to initiating an opioid analgesic taper. A multimodal approach to pain management may optimize the treatment of chronic pain, as well as assist with the successful tapering of the opioid analgesic [see WARNINGS/Withdrawal, DRUG ABUSE AND DEPENDENCE].

Contraindications

Pentazocine and Naloxone Tablets are contraindicated in patients with:

  • Significant respiratory depression [see WARNINGS ]
  • Acute or severe bronchial asthma in an unmonitored setting or in the absence of resuscitative equipment [see WARNINGS ]. Patients with known or suspected gastrointestinal obstruction, including paralytic ileus [see WARNINGS ]
  • Patients with hypersensitivity to either pentazocine, naloxone, or any of the formulation excipients (e.g., anaphylaxis) [see WARNINGS ].
Adverse Reactions

The following adverse reactions associated with the use of Pentazocine and Naloxone were identified in clinical studies or postmarketing reports. Because some of these reactions were reported voluntarily from a population of uncertain size, it is not always possible to reliably estimate their frequency or establish a causal relationship to drug exposure.

Cardiovascular - Hypertension, hypotension, circulatory depression, tachycardia, syncope.

Respiratory - Rarely, respiratory depression.

Acute CNS Manifestations - Hallucinations (usually visual), disorientation, and confusion.

Other CNS Effects - Grand mal convulsions, increase in intracranial pressure, dizziness, lightheadedness, hallucinations, sedation, euphoria, headache, confusion, disorientation; infrequently weakness, disturbed dreams, insomnia, syncope, and depression; and rarely tremor, irritability, excitement, tinnitus.

Autonomic - Sweating; infrequently flushing; and rarely chills.

Gastrointestinal - Nausea, vomiting, constipation, diarrhea, anorexia, dry mouth, biliary tract spasm, and rarely abdominal distress.

Allergic - Edema of the face; anaphylactic shock; dermatitis, including pruritus; flushed skin, including plethora; infrequently rash, and rarely urticaria.

Ophthalmic - Visual blurring and focusing difficulty, miosis.

Hematologic - Depression of white blood cells (especially granulocytes), with rare cases of agranulocytosis, which is usually reversible, moderate transient eosinophilia.

Dependence and Withdrawal Symptoms - (See WARNINGS , PRECAUTIONS , and DRUG ABUSE AND DEPENDENCE Sections).

Other - Urinary retention, paresthesia, serious skin reactions, including erythema multiforme, Stevens-Johnson syndrome toxic epidermal necrolysis, and alterations in rate or strength of uterine contractions during labor.

  • Serotonin syndrome: Cases of serotonin syndrome, a potentially life-threatening condition, have been reported during concomitant use of opioids with serotonergic drugs.
  • Adrenal insufficiency: Cases of adrenal insufficiency have been reported with opioid use, more often following greater than one month of use.
  • Anaphylaxis: Anaphylaxis has been reported with ingredients contained in Pentazocine and Naloxone Tablets.
  • Androgen deficiency: Cases of androgen deficiency have occurred with use of opioids for an extended period of time [see Clinical Pharmacology].
  • Hyperalgesia and Allodynia:Cases of hyperalgesia and allodynia have been reported with opioid therapy of any duration [see Warnings].
  • Hypoglycemia: Cases of hypoglycemia have been reported in patients taking opioids. Most reports were in patients with at least one predisposing risk factor (e.g., diabetes).
  • Opioid-induced esophageal dysfunction (OIED):Cases of OIED have been reported in patients taking opioids, and may occur more frequently in patients taking higher doses of opioid, and/or in patients taking opioids longer term [see WARNINGS].

Adverse Reactions from Observational Studies

A prospective, observational cohort study estimated the risks of addiction, abuse, and misuse in patients initiating long-term use of Schedule II opioid analgesics between 2017 and 2021. Study participants included in one or more analyses had been enrolled in selected insurance plans or health systems for at least one year, were free of at least one outcome at baseline, completed a minimum number of follow-up assessments, and either: 1) filled multiple extended-release/long-acting opioid analgesic prescriptions during a 90 day period (n=978); or 2) filled any Schedule II opioid analgesic for at least 70 of 90 days (n=1,244). Those included also had no dispensing of the qualifying opioids in the previous 6 months.

Over 12 months:

  • approximately 1% to 6% of participants across the two cohorts newly met criteria for addiction, as assessed with two validated interview based measures of moderate-to-severe opioid use disorder based on Diagnostic and Statistical Manual of Mental Disorders, Fifth Edition (DSM-5) criteria, and
  • approximately 9% and 22% of participants across the two cohorts newly met criteria for prescription opioid abuse and misuse [defined in DRUG ABUSE AND DEPENDENCE], respectively, as measured with a validated self-reported instrument.

A retrospective, observational cohort study estimated the risk of opioid involved overdose or opioid overdose-related death in patients with new long-term use of Schedule II opioid analgesics from 2006 through 2016 (n=220,249). Included patients had been enrolled in either one of two commercial insurance programs, one managed care program, or one Medicaid program for at least 9 months. New long-term use was defined as having Schedule II opioid analgesic prescriptions covering at least 70 days' supply over the 3 months prior to study entry and none during the preceding 6 months. Patients were excluded if they had an opioid-involved overdose in the 9 months prior to study entry. Overdose was measured using a validated medical code-based algorithm with linkage to the National Death Index database. The 5-year cumulative incidence estimates for opioid-involved overdose or opioid overdose-related death ranged from approximately 1.5% to 4% across study sites, counting only the first event during follow-up. Approximately 17% of first opioid overdoses observed over the entire study period (5-11 years, depending on the study site) were fatal. Higher baseline opioid dose was the strongest and most consistent predictor of opioid-involved overdose or opioid overdose-related death.

Study exclusion criteria may have selected patients at lower risk of overdose, and substantial loss to follow-up (approximately 80%) also may have biased estimates.

The risk estimates from the studies described above may not be generalizable to all patients receiving opioid analgesics, such as those with exposures shorter or longer than the duration evaluated in the studies.

To report SUSPECTED ADVERSE REACTIONS, contact Lupin Pharmaceuticals Inc. at 1-866-403-7592 or FDA at 1-800-FDA-1088 or www.fda.gov/medwatch.

Drug Interactions

Benzodiazepines and Other Central Nervous System (CNS) Depressants

Due to additive pharmacologic effect, the concomitant use of benzodiazepines or other CNS depressants including alcohol, benzodiazepines and other sedative hypnotics, anxiolytics, and tranquilizers, muscle relaxants, general anesthetics, antipsychotics, and other opioids, can increase the risk of hypotension, respiratory depression, profound sedation, coma, and death.

Reserve concomitant prescribing of these drugs for use in patients for whom alternative treatment options are inadequate. Limit dosages and durations to the minimum required. Inform patients and caregivers of this potential interaction, educate them on the signs and symptoms of respiratory depression (including sedation). If concomitant use is warranted, consider prescribing an opioid overdose reversal agent [see WARNINGS, DOSAGE AND ADMINISTRATION].

Serotonergic Drugs

The concomitant use of opioids with other drugs that affect the serotonergic neurotransmitter system, such as selective serotonin reuptake inhibitors (SSRIs), serotonin and norepinephrine reuptake inhibitors (SNRIs), tricyclic antidepressants (TCAs), triptans, 5-HT3 receptor antagonists, drugs that affect the serotonin neurotransmitter system (e.g., mirtazapine, trazodone, tramadol), certain muscle relaxants (i.e., cyclobenzaprine, metaxalone), monoamine oxidase (MAO) inhibitors (those intended to treat psychiatric disorders and also others, such as linezolid and intravenous methylene blue), has resulted in serotonin syndrome. [see PRECAUTIONS; Information for Patients ].

If concomitant use is warranted, carefully observe the patient, particularly during treatment initiation and dose adjustment. Discontinue Pentazocine and Naloxone Tablets if serotonin syndrome is suspected.

Monoamine Oxidase Inhibitors (MAOIs)

Concomitant use of monoamine oxidase inhibitors (MAOIs) with Pentazocine and Naloxone Tablets may cause CNS excitation and hypertension through their respective effects on catecholamines. Caution should therefore be observed in administering Pentazocine and Naloxone Tablets to patients who are currently receiving MAOIs or who have received them within the preceding 14 days

Mixed Agonist/Antagonist and Partial Agonist Opioid Analgesics

Mixed Agonist/Antagonist and Partial Agonist Opioid Analgesics such as butorphanol, nalbuphine, pentazocine, buprenorphine, may reduce the analgesic effect of Pentazocine and Naloxone Tablets and/or precipitate withdrawal symptoms.

Avoid concomitant use of these drugs.

Muscle Relaxants

The Concomitant use of opioids and muscle relaxants may enhance the neuromuscular blocking action of skeletal muscle relaxants and produce an increased degree of respiratory depression.

Because respiratory depression may be greater than otherwise expected, decrease the dosage of Pentazocine and Naloxone Tablets and/or the muscle relaxant as necessary. Due to the risk of respiratory depression with concomitant use of skeletal muscle relaxants and opioids, consider prescribing an opioid overdose reversal agent [see WARNINGS, DOSAGE AND ADMINISTRATION].

Diuretics

Opioids can reduce the efficacy of diuretics by inducing the release of antidiuretic hormone.

Evaluate patients for signs of diminished diuresis and/or effects on blood pressure and increase the dosage of the diuretic as needed

Anticholinergic Drugs

The concomitant use of anticholinergic drugs may increase risk of urinary retention and/or severe constipation, which may lead to paralytic ileus.

Evaluate patients for signs of urinary retention or reduced gastric motility when Pentazocine and Naloxone Tablets is used concomitantly with anticholinergic drugs.

Tobacco

Smoking tobacco could enhance the metabolic clearance rate of pentazocine reducing the clinical effectiveness of a standard dose of pentazocine.

Carcinogenesis, Mutagenesis, Impairment of Fertility

Carcinogenesis

Long-term animal studies have not been completed to evaluate the carcinogenic potential of the combination or individual components of Pentazocine and Naloxone Tablets.

Mutagenesis

Studies to evaluate the mutagenic potential of the components of Pentazocine and Naloxone Tablets have not been conducted.

Impairment of Fertility

Studies in animals to evaluate the impact of Pentazocine and Naloxone Tablets on fertility have not been completed.

The daily administration of 4 mg/kg to 20 mg/kg pentazocine subcutaneously to female rats during a 14 day pre-mating period and until the 13th day of pregnancy did not have any adverse effects on the fertility rate.

Infertility

Chronic Use of opioids for an extended period of time may cause reduced fertility in females and males of reproductive potential. It is not known whether these effects on fertility are reversible [see Adverse Reactions].

How Supplied

Pentazocine and Naloxone Tablets USP are light yellow, capsule shaped tablets debossed "NL" on left side and "680" on the right side of the bisect and plain on the other side, supplied in bottles of 100 and 500.

Bottles of 100 (NDC 43386-680-01).

Bottles of 500 (NDC 43386-680-05).

Store at 20° to 25°C (68° to 77°F) [See USP Controlled Room Temperature].

Store Pentazocine and Naloxone Tablets securely and dispose of properly [See PRECAUTIONS/Information for Patients].

Dispense in a tight, light-resistant container as defined in the USP.

LUPIN and the 

 are registered trademarks of Lupin Pharmaceuticals, Inc.

Manufactured by:

Novel Laboratories, Inc.

Somerset, NJ 08873

Manufactured for:

Lupin Pharmaceuticals, Inc.

Naples, FL 34108

SAP Code: 281449

Rev. 08/2025

Description

Pentazocine and Naloxone Tablets, USP contain pentazocine hydrochloride, USP, a partial opioid agonist, equivalent to 50 mg base and is a member of the benzazocine series (also known as the benzomorphan series), and naloxone hydrochloride, USP, an opioid antagonist equivalent to 0.5 mg base.

Pentazocine and Naloxone Tablets, USP are an analgesic for oral administration.

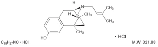
Chemically, pentazocine hydrochloride, USP is (2R*,6R*,11R*)-1,2,3,4,5,6-Hexahydro-6,11-dimethyl-3-(3-methyl-2-butenyl)-2,6-methano-3-benzazocin-8-ol hydrochloride, a white, crystalline substance soluble in acidic aqueous solutions, and has the following structural formula:

Chemically, naloxone hydrochloride, USP is Morphinan-6-one,4,5-epoxy-3,14-dihydroxy-17-(2- propenyl)-, hydrochloride, (5α)-. It is a slightly off-white powder, and is soluble in water and dilute acids, and has the following structural formula:

Inactive Ingredients: colloidal silicon dioxide, dibasic calcium phosphate, D&C Yellow No. 10, magnesium stearate, microcrystalline cellulose, sodium lauryl sulfate and pregelatinized starch.

Abuse

Controlled Substance

Pentazocine and Naloxone Tablets contain pentazocine, a Schedule IV controlled substance.

Abuse

Pentazocine and Naloxone Tablets contain pentazocine, a substance with a high potential for misuse and abuse, which can lead to the development of substance use disorder, including addiction [see WARNINGS].

Misuse is the intentional use, for therapeutic purposes, of a drug by an individual in a way other than prescribed by a healthcare provider or for whom it was not prescribed.

Abuse is the intentional, non-therapeutic use of a drug, even once, for its desirable psychological or physiological effects.

Drug addiction is a cluster of behavioral, cognitive, and physiological phenomena that may include a strong desire to take the drug, difficulties in controlling drug use (e.g., continuing drug use despite harmful consequences, giving a higher priority to drug use than other activities and obligations), and possible tolerance or physical dependence.

Misuse and abuse of Pentazocine and Naloxone Tablets increases a risk of overdose, which may lead to central nervous system and respiratory depression, hypotension, seizures, and death. The risk is increased with concurrent abuse of Pentazocine and Naloxone Tablets with alcohol and other CNS depressants. Abuse of and addiction to opioids in some individuals may not be accompanied by concurrent tolerance and symptoms of physical dependence. In addition, abuse of opioids can occur in the absence of addiction.

All patients treated with opioids require careful and frequent reevaluation for signs of misuse, abuse, and addiction, because use of opioid analgesic products carries the risk of addiction even under appropriate medical use. Patients at high risk of Pentazocine and Naloxone Tablets abuse include those with a history of prolonged use of any opioid, including products containing Pentazocine, those with a history of drug or alcohol abuse, or those who use Pentazocine and Naloxone Tablets in combination with other abused drugs.

"Drug-seeking" behavior is very common in persons with substance use disorders. Drug-seeking tactics include emergency calls or visits near the end of office hours, refusal to undergo appropriate examination, testing, or referral, repeated "loss" of prescriptions, tampering with prescriptions, and reluctance to provide prior medical records or contact information for other treating healthcare provider(s). "Doctor shopping" (visiting multiple prescribers to obtain additional prescriptions) is common among people who abuse drugs and people with substance use disorder. Preoccupation with achieving adequate pain relief can be appropriate behavior in a patient with inadequate pain control.

Pentazocine and Naloxone Tablets, like other opioids, can be diverted for nonmedical use into illicit channels of distribution. Careful record-keeping of prescribing information, including quantity, frequency, and renewal requests, as required by state and federal law, is strongly advised.

Proper assessment of the patient, proper prescribing practices, periodic reevaluation of therapy, and proper dispensing and storage are appropriate measures that help to limit abuse of opioid drugs.

Risks Specific to Abuse of Pentazocine and Naloxone Tablets

Abuse of Pentazocine and Naloxone Tablets poses a risk of overdose and death. The risk is increased with concurrent use of Pentazocine and Naloxone Tablets with alcohol and/or other CNS depressants.

Parental drug abuse is commonly associated with transmission of infectious diseases such as hepatitis and HIV.

Lactation

Risk Summary

Pentazocine is excreted in human milk. Caution should be exercised when Pentazocine and Naloxone Tablets are administered to a nursing woman.

The developmental and health benefits of breastfeeding should be considered along with the mother's clinical need for Pentazocine and Naloxone Tablets and any potential adverse effects on the breastfed infant from Pentazocine and Naloxone Tablets or from the underlying maternal condition.

Clinical Considerations

Infants exposed to pentazocine and naloxone through breast milk should be monitored for excess sedation and respiratory depression. Withdrawal symptoms can occur in breastfed infants when maternal administration of an opioid analgesic is stopped, or when breast-feeding is stopped.

Porphyria

Particular caution should be exercised in administering pentazocine to patients with porphyria since it may provoke an acute attack in susceptible individuals.

Pregnancy

Risk Summary

Use of opioid analgesics for an extended period of time during pregnancy may cause neonatal opioid withdrawal syndrome [see Warnings]. There are no available data with Pentazocine and Naloxone Tablets in pregnant women to inform a drug-associated risk for major birth defects and miscarriage. In animal reproduction studies, pentazocine administered subcutaneously to pregnant hamsters during the early gestational period produced neural tube defects (i.e., exencephaly and cranioschisis) at 2.6 times the maximum daily dose (MDD). In pregnant rats administered pentazocine:naloxone during organogenesis, there were increased incidences of resorptions and extra ribs at 0.2 times the MDD.  There was no evidence of malformations in rats or rabbits [see Data]. Based on animal data, advise pregnant women of the potential risk to a fetus. The estimated background risk of major birth defects and miscarriage for the indicated population is unknown. All pregnancies have a background risk of birth defect, loss, or other adverse outcomes. In the U.S. general population, the estimated background risk of major birth defects and miscarriage in clinically recognized pregnancies is 2-4% and 15-20%, respectively.

Clinical Considerations

Fetal/Neonatal Adverse Reactions

Use of opioid analgesics for an extended period of time during pregnancy for medical or nonmedical purposes can result in physical dependence in the neonate and neonatal opioid withdrawal syndrome shortly after birth.

Neonatal opioid withdrawal syndrome presents as irritability, hyperactivity and abnormal sleep pattern, high pitched cry, tremor, vomiting, diarrhea and failure to gain weight. The onset, duration, and severity of neonatal opioid withdrawal syndrome vary based on the specific opioid used, duration of use, timing and amount of last maternal use, and rate of elimination of the drug by the newborn. Observe newborns for symptoms of neonatal opioid withdrawal syndrome and manage accordingly [see WARNINGS ].

Dependence

Both tolerance and physical dependence can develop during use of opioid therapy.

Tolerance is a physiological state characterized by a reduced response to a drug after repeated administration (i.e., a higher dose of a drug is required to produce the same effect that was once obtained at a lower dose).

Physical dependence is a state that develops as a result of a physiological adaptation in response to repeated drug use, manifested by withdrawal signs and symptoms after abrupt discontinuation or a significant dose reduction of a drug.

Withdrawal may be precipitated through the administration of drugs with opioid antagonist activity (e.g., naloxone, nalmefene), mixed agonist/antagonist analgesics (e.g., pentazocine, butorphanol, nalbuphine), or partial agonists (e.g., buprenorphine). Physical dependence may not occur to a clinically significant degree until after several days to weeks of continued use.

Do not abruptly discontinue Pentazocine and Naloxone Tablets in a patient physically dependent on opioids. Rapid tapering of Pentazocine and Naloxone Tablets in a patient physically dependent on opioids may lead to serious withdrawal symptoms, uncontrolled pain, and suicide. Rapid discontinuation has also been associated with attempts to find other sources of opioid analgesics, which may be confused with drug-seeking for abuse.

When discontinuing Pentazocine and Naloxone Tablets, gradually taper the dosage using a patient-specific plan that considers the following: the dose of Pentazocine and Naloxone Tablets the patient has been taking, the duration of treatment, and the physical and psychological attributes of the patient. To improve the likelihood of a successful taper and minimize withdrawal symptoms, it is important that the opioid tapering schedule is agreed upon by the patient. In patients taking opioids for an extended period of time at high doses, ensure that a multimodal approach to pain management, including mental health support (if needed), is in place prior to initiating an opioid analgesic taper [see DOSAGE AND ADMINISTRATION, WARNINGS ].

Infants born to mothers physically dependent on opioids will also be physically dependent and may exhibit respiratory difficulties and withdrawal signs [see Pregnancy].

Overdosage

Clinical Presentation

Acute overdose with Pentazocine and Naloxone Tablets can be manifested by respiratory depression, somnolence progressing to stupor or coma, skeletal muscle flaccidity, cold and clammy skin, constricted pupils, and, in some cases, pulmonary edema, bradycardia, hypotension, hypoglycemia, partial or complete airway obstruction, atypical snoring, and death. Marked mydriasis rather than miosis may be seen with hypoxia in overdose situations [see CLINICAL PHARMACOLOGY]. Toxic leukoencephalopathy has been reported after opioid overdose and can present hours, days, or weeks after apparent recovery from the initial intoxication.

For pentazocine alone in single doses above 60 mg there have been reports of the occurrence of nalorphine-like psychotomimetic effects such as anxiety, nightmares, strange thoughts, and hallucinations. Somnolence, marked respiratory depression associated with hypertension and tachycardia have also resulted as have seizures, hypotension, dizziness, nausea, vomiting, lethargy, and paresthesias. The respiratory depression is antagonized by naloxone (see Treatment). Circulatory failure and deepening coma may occur in more severe cases, particularly in patients who have also ingested other CNS depressants such as alcohol, sedative/hypnotics, or antihistamines."

Treatment of Overdose

In case of overdose, priorities are the reestablishment of a patent and protected airway and institution of assisted or controlled ventilation, if needed. Employ other supportive measures (including oxygen and vasopressors) in the management of circulatory shock and pulmonary edema as indicated. Cardiac arrest or arrhythmias will require advanced life-support measures.

For clinically significant respiratory or circulatory depression secondary to opioid overdose, administer an opioid overdose reversal agent such as naloxone or nalmefene. As pentazocine is a mixed opioid agonist/antagonist, larger doses of naloxone or nalmefene may be needed to reverse the effects of an overdose.

In an individual physically dependent on opioids, administration of the recommended usual dosage of the antagonist will precipitate an acute withdrawal syndrome. The severity of the withdrawal symptoms experienced will depend on the degree of physical dependence and the dose of the antagonist administered. If a decision is made to treat serious respiratory depression in the physically dependent patient, administration of the antagonist should be begun with care and by titration with smaller than usual doses of the antagonist.

Withdrawal

Do not abruptly discontinue Pentazocine and Naloxone Tablets in a patient physically dependent on opioids. When discontinuing Pentazocine and Naloxone Tablets in a physically dependent patient, gradually taper the dosage. Rapid tapering of Pentazocine and Naloxone Tablets in a patient physically dependent on opioids may lead to a withdrawal syndrome and return of pain [see DOSAGE AND ADMINISTRATION, DRUG ABUSE AND DEPENDENCE ].

Additionally, the use of Pentazocine and Naloxone Tablets, a mixed agonist/antagonist opioid analgesic, in patients who are receiving a full opioid agonist analgesic may reduce the analgesic effect and/or precipitate withdrawal symptoms.  Avoid concomitant use of Pentazocine and Naloxone Tablets with a full opioid agonist analgesic

Geriatric Use

Elderly patients (aged 65 years or older) may have increased sensitivity to Pentazocine and Naloxone Tablets. In general, use caution when selecting a dosage for an elderly patient, usually starting at the low end of the dosing range, reflecting the greater frequency of decreased hepatic, renal, or cardiac function and of concomitant disease or other drug therapy.

Respiratory depression is the chief risk for elderly patients treated with opioids, and has occurred after large initial doses were administered to patients who were not opioid-tolerant or when opioids were co-administered with other agents that depress respiration. Titrate the dosage of Pentazocine and Naloxone Tablets slowly in geriatric patients and frequently reevaluate the patient for signs of central nervous system and respiratory depression [see WARNINGS ].

Pentazocine and Naloxone are known to be substantially excreted by the kidney, and the risk of adverse reactions to this drug may be greater in patients with impaired renal function. Because elderly patients are more likely to have decreased renal function, care should be taken in dose selection, and it may be useful to regularly evaluate renal function

Pediatric Use

Safety and effectiveness in pediatric patients below the age of 12 years have not been established.

Biliary Surgery

Narcotic drug products are generally considered to elevate biliary tract pressure for varying periods following their administration. Some evidence suggests that pentazocine may differ from other marketed narcotics in this respect (i.e., it causes little or no elevation in biliary tract pressures). The clinical significance of these findings, however, is not yet known.

Medication Guide

Pentazocine and Naloxone (pen tazʹ oh seen and nal oxʹ one) Tablets, CIV

Pentazocine and Naloxone Tablets are:

  • A strong prescription pain medicine that contains an opioid (narcotic) that is used to manage moderate to severe pain, when other pain treatments such as non-opioid pain medicines do not treat your pain well enough or you cannot tolerate them.
  • An opioid pain medicine that can put you at risk for overdose and death. Even if you take your dose correctly as prescribed you are at risk for opioid addiction, abuse, and misuse that can lead to death.

Important information about Pentazocine and Naloxone Tablets:

  • Get emergency help or call 911 right away if you take too many Pentazocine and Naloxone Tablets (overdose). When you first start taking Pentazocine and Naloxone Tablets, when your dose is changed, or if you take too much (overdose), serious or life-threatening breathing problems that can lead to death may occur. Ask your healthcare provider about medicine like naloxone or nalmefene that can be used in an emergency to reverse an opioid overdose. 
  • Taking Pentazocine and Naloxone Tablets with other opioid medicines, benzodiazepines, gabapentinoids (gabapentin or pregabalin) alcohol, or other central nervous system depressants (including street drugs) can cause severe drowsiness, decreased awareness, breathing problems, coma, and death.
  • Never give anyone else your Pentazocine and Naloxone Tablets. They could die from taking it. Selling or giving away Pentazocine and Naloxone Tablets is against the law.
  • Store Pentazocine and Naloxone Tablets securely, out of sight and reach of children, and in a location not accessible by others, including visitors to the home.

Do not take Pentazocine and Naloxone Tablets if you have:

  • severe asthma, trouble breathing, or other lung problems.
  • a bowel blockage or have narrowing of the stomach or intestines.
  • previously had an allergic reaction to pentazocine or naloxone.
  • known or suspected gastrointestinal obstruction, including paralytic ileus.

Before taking Pentazocine and Naloxone Tablets, tell your healthcare provider if you have a history of:

  • head injury, seizures               
  • liver, kidney, thyroid problems
  • problems urinating                 
  • pancreas or gallbladder problems
  • abuse of street or prescription drugs, alcohol addiction, opioid overdose, or mental health problems.

Tell your healthcare provider if you are:

  • noticing your pain getting worse. If your pain gets worse after you take Pentazocine and Naloxone Tablets, do not take more of Pentazocine and Naloxone Tablets without first talking to your healthcare provider. Talk to your healthcare provider if the pain that you have increases, if you feel more sensitive to pain, or if you have new pain after taking Pentazocine and Naloxone Tablets.
  • are pregnant or planning to become pregnant. Use of Pentazocine and Naloxone Tablets for an extended period of time during pregnancy can cause withdrawal symptoms in your newborn baby that could be life-threatening if not recognized and treated.
  • breastfeeding. Pentazocine and naloxone passes into breast milk and may harm your baby. Carefully observe infants for increased sleepiness (more than usual), breathing difficulties, or limpness. Seek immediate medical care if you notice these signs.
  • living in a household where there are small children or someone who has abused street or prescription drugs.
  • taking prescription or over-the-counter medicines, vitamins, or herbal supplements. Taking Pentazocine and Naloxone Tablets with certain other medicines can cause serious side effects that could lead to death..

When taking Pentazocine and Naloxone Tablets:

  • Do not change your dose. Take Pentazocine and Naloxone Tablets exactly as prescribed by your healthcare provider. Use the lowest dose possible for the shortest time needed.
  • For acute (short-term) pain, you may only need to take Pentazocine and Naloxone Tablets for a few days. You may have some Pentazocine and Naloxone Tablets left over that you did not use. See disposal information at the bottom of this section for directions on how to safely throw away (dispose of) your unused of Pentazocine and Naloxone Tablets. Take your prescribed dose every 3 or 4 hours at the same time every day as needed for pain. Do not take more than your prescribed dose. If you miss a dose, take your next dose at your usual time.
  • Call your healthcare provider if the dose you are taking does not control your pain.
  • If you have been taking Pentazocine and Naloxone Tablets regularly, do not stop taking Pentazocine and Naloxone Tablets without talking to your healthcare provider.
  • Dispose of expired, unwanted, or unused Pentazocine and Naloxone Tablets by promptly flushing down the toilet, if a drug take-back option is not readily available. Visit www.fda.gov/drugdisposal for additional information on disposal of unused medicines.

While taking Pentazocine and Naloxone Tablets DO NOT:

  • Drive or operate heavy machinery, until you know how Pentazocine and Naloxone Tablets affect you. Pentazocine and Naloxone Tablets can make you sleepy, dizzy, or lightheaded.
  • Drink alcohol or use prescription or over-the-counter medicines that contain alcohol. Using products containing alcohol during treatment with Pentazocine and Naloxone Tablets may cause you to overdose and die.

The possible side effects of Pentazocine and Naloxone Tablets:

  • constipation, nausea, sleepiness, vomiting, tiredness, headache, dizziness, abdominal pain. Call your healthcare provider if you have any of these symptoms and they are severe.

Get emergency medical help or call 911 right away if you have:

  •   trouble breathing, shortness of breath, fast heartbeat, chest pain, swelling of your face, tongue, or throat, extreme drowsiness, light-headedness when changing positions, feeling faint, agitation, high body temperature, trouble walking, stiff muscles, or mental changes such as confusion.

These are not all the possible side effects of Pentazocine and Naloxone Tablets. Call your healthcare provider for medical advice about side effects. You may report side effects to FDA at 1-800-FDA-1088. For more information go to dailymed.nlm.nih.gov.

For more information call Lupin Pharmaceuticals, Inc. at 1-866-403-7592.

This Medication Guide has been approved by the U.S. Food and Drug Administration.

LUPIN and the 

 are registered trademarks of Lupin Pharmaceuticals, Inc.

Manufactured by:

Novel Laboratories, Inc.

Somerset, NJ 08873

Manufactured for:

Lupin Pharmaceuticals, Inc.

Naples, FL 34108

SAP Code: 281500

Rev. 08/2025

Labor and Delivery

Opioids cross the placenta and may produce respiratory depression and psycho-physiologic effects in neonates. An opioid overdose reversal agent, such as naloxone or nalmefene, must be available for reversal of opioid-induced respiratory depression in the neonate. Pentazocine and Naloxone Tablets are not recommended for use in pregnant women during or immediately prior to labor, when other analgesic techniques are more appropriate. Opioid analgesics, including Pentazocine and Naloxone Tablets, can prolong labor through actions which temporarily reduce the strength, duration, and frequency of uterine contractions. However, this effect is not consistent and may be offset by an increased rate of cervical dilation, which tends to shorten labor. Monitor neonates exposed to opioid analgesics during labor for signs of excess sedation and respiratory depression.

Data

Animal Data

In a published report, a single dose of pentazocine administered to pregnant hamsters on Gestation Day 8 increased the incidence of neural tube defects (exencephaly and cranioschisis) at a dose of 196 mg/kg, SC (2.6-times the maximum daily human dose (MDD) of 600 mg/day pentazocine (12 tablets) on a mg/m2 basis).  No evidence of neural tube defects were reported following a dose of 98 mg/kg (1.3 times the MDD).

Animal reproduction studies testing the combination of pentazocine and naloxone during organogenesis have been completed in rats and rabbits. In rats, a pentazocine:naloxone dose of 64 mg/kg:0.64 mg/kg via oral gavage from Gestation Day 6 to 15 increased the incidences of resorptions and extra ribs (0.2 times the maximum daily human dose of pentazocine via 12 tablets on a mg/m2 basis). There were no clear treatment related effects in rabbits treated from Gestation Day 6 to 18 with a pentazocine:naloxone dose of up to 64 mg/kg:0.64 mg/kg via oral gavage (0.3-times the maximum daily human dose of pentazocine via 12 tablets on a mg/m2 basis).

Severe Hypotension

Pentazocine and Naloxone Tablets may cause severe hypotension including orthostatic hypotension and syncope in ambulatory patients.  There is increased risk in patients whose ability to maintain blood pressure has already been compromised by a reduced blood volume or concurrent administration of certain CNS depressant drugs (e.g., phenothiazines or general anesthetics) [see PRECAUTIONS; Information for Patients ]. Regularly evaluate these patients for signs of hypotension after initiating or titrating the dosage of Pentazocine and Naloxone Tablets. In patients with circulatory shock, Pentazocine and Naloxone Tablets may cause vasodilation that can further reduce cardiac output and blood pressure. Avoid the use of Pentazocine and Naloxone Tablets in patients with circulatory shock.

Controlled Substance

Pentazocine and Naloxone Tablets contain pentazocine, a Schedule IV controlled substance.

Adrenal Insufficiency

Cases of adrenal insufficiency have been reported with opioid use, more often following greater than 1 month of use. Presentation of adrenal insufficiency may include non-specific symptoms and signs including nausea, vomiting, anorexia, fatigue, weakness, dizziness, and low blood pressure. If adrenal insufficiency is suspected, confirm the diagnosis with diagnostic testing as soon as possible. If adrenal insufficiency is diagnosed, treat with physiologic replacement doses of corticosteroids. Wean the patient off of the opioid to allow adrenal function to recover and continue corticosteroid treatment until adrenal function recovers. Other opioids may be tried as some cases reported use of a different opioid without recurrence of adrenal insufficiency. The information available does not identify any particular opioids as being more likely to be associated with adrenal insufficiency.

Clinical Pharmacology

Mechanism of Action

Pentazocine is a mixed agonist-antagonist at opioid receptors. Pentazocine is a partial agonist at the mu opioid receptor and an agonist at the kappa opioid receptor.

Naloxone is an opioid antagonist.

Pharmacodynamics

Effects on the Central Nervous System

Pentazocine produces respiratory depression by direct action on brain stem respiratory centers. The respiratory depression involves a reduction in the responsiveness of the brain stem respiratory centers to both increases in carbon dioxide tension and electrical stimulation.

Pentazocine causes miosis, even in total darkness. Pinpoint pupils are a sign of opioid overdose but are not pathognomonic (e.g., pontine lesions of hemorrhagic or ischemic origins may produce similar findings). Marked mydriasis rather than miosis may be seen due to hypoxia in overdose situations.

Effects on the Gastrointestinal Tract and Other Smooth Muscle

Pentazocine causes a reduction in motility associated with an increase in smooth muscle tone in the antrum of the stomach and duodenum. Digestion of food in the small intestine is delayed and propulsive contractions are decreased. Propulsive peristaltic waves in the colon are decreased, while tone may be increased to the point of spasm, resulting in constipation. Other opioid- induced effects may include a reduction in biliary and pancreatic secretions, spasm of sphincter of Oddi, and transient elevations in serum amylase, and opioid-induced esophageal dysfunction (OIED).

Effects on the Cardiovascular System

Pentazocine produces peripheral vasodilation which may result in orthostatic hypotension or syncope. Manifestations of histamine release and/or peripheral vasodilation may include pruritus, flushing, red eyes, sweating, and/or orthostatic hypotension.

Effects on the Endocrine System

Opioids inhibit the secretion of adrenocorticotropic hormone (ACTH), cortisol, and luteinizing hormone (LH) in humans [see Adverse Reactions ]. They also stimulate prolactin, growth hormone (GH) secretion, and pancreatic secretion of insulin and glucagon.

Use of opioids for an extended period of time may influence the hypothalamic-pituitary-gonadal axis, leading to androgen deficiency that may manifest as low libido, impotence, erectile dysfunction, amenorrhea, or infertility. The causal role of opioids in the clinical syndrome of hypogonadism is unknown because the various medical, physical, lifestyle, and psychological stressors that may influence gonadal hormone levels have not been adequately controlled for in studies conducted to date [see Adverse Reactions ].

Effects on the Immune System

Opioids have been shown to have a variety of effects on components of the immune system. The clinical significance of these findings is unknown. Overall, the effects of opioids appear to be modestly immunosuppressive.

Concentration–Efficacy Relationships

The minimum effective analgesic concentration will vary widely among patients, especially among patients who have been previously treated with opioid agonist. The minimum effective analgesic concentration of pentazocine for any individual patient may increase over time due to an increase in pain, the development of a new pain syndrome, and/or the development of analgesic tolerance [see Dosage and Administration ].

Concentration–Adverse Reaction Relationships

There is a relationship between increasing pentazocine plasma concentration and increasing frequency of dose-related opioid adverse reactions such as nausea, vomiting, CNS effects, and respiratory depression. In opioid-tolerant patients, the situation may be altered by the development of tolerance to opioid-related adverse reactions [see Dosage and Administration ].

Opioid Antagonist Effects

Pentazocine weakly antagonizes the analgesic effects of morphine, meperidine, and phenazocine; in addition, it produces incomplete reversal of cardiovascular, respiratory, and behavioral depression induced by morphine and meperidine. Pentazocine has about 1/50 the antagonistic activity of nalorphine. It also has sedative activity.

Naloxone when administered orally at 0.5 mg has no pharmacologic activity. Naloxone hydrochloride administered parenterally at the same dose is an antagonist to pentazocine and a pure antagonist to narcotic analgesics.

Pentazocine and Naloxone Tablets are a potent analgesic when administered orally. However, the presence of naloxone in Pentazocine and Naloxone Tablets is intended to prevent the effect of pentazocine if the product is misused by injection.

Studies in animals indicate that the presence of naloxone does not affect pentazocine analgesia when the combination is given orally. If the combination is given by injection the action of pentazocine is neutralized.

Pharmacokinetics

Onset of significant analgesia usually occurs between 15 and 30 minutes after oral administration, and duration of action is usually three hours or longer.

Pentazocine is well absorbed from the gastrointestinal tract. Concentrations in plasma coincide closely with the onset, duration, and intensity of analgesia. The time to mean peak concentration in 24 normal volunteers was 1.7 hours (range 0.5 to 4 hours) after oral administration and the mean plasma elimination half-life was 3.6 hours (range 1.5 to 10 hours).

Pentazocine is metabolized in the liver and excreted primarily in the urine. The products of the oxidation of the terminal methyl groups and glucuronide conjugates are excreted by the kidney. Elimination of approximately 60% of the total dose occurs within 24 hours. Pentazocine passes into the fetal circulation.

Cardiovascular Disease

Pentazocine can elevate blood pressure, possibly through the release of endogenous catecholamines. Particular caution should be exercised in conditions where alterations in vascular resistance and blood pressure might be particularly undesirable, such as in the acute phase of myocardial infarction.

Pentazocine and Naloxone Tablets should be used with caution in patients with myocardial infarction who have nausea or vomiting.

Acute Cns Manifestations

Patients receiving therapeutic doses of Pentazocine and Naloxone Tablets have experienced hallucinations (usually visual), disorientation, and confusion which have cleared spontaneously within a period of hours. The mechanism of this reaction is not known. Such patients should be very closely observed and vital signs checked. If the drug is reinstituted, it should be done with caution since these acute CNS manifestations may recur.

The amount of naloxone present in Pentazocine and Naloxone Tablets (0.5 mg per tablet) has no action when taken orally and will not interfere with the pharmacologic action of pentazocine. However, this amount of naloxone given by injection has profound antagonistic action to narcotic analgesics.

Severe, even lethal, consequences may result from misuse of tablets by injection either alone or in combination with other substances, such as pulmonary emboli, vascular occlusion, ulceration and abscesses, and withdrawal symptoms in narcotic dependent individuals.

Addiction, Abuse, and Misuse

Pentazocine and Naloxone Tablets contain pentazocine, a Schedule IV controlled substance. As an opioid, Pentazocine and Naloxone Tablets expose users to the risks of addiction, abuse, and misuse [see DRUG ABUSE AND DEPENDENCE ].

Although the risk of addiction in any individual is unknown, it can occur in patients appropriately prescribed Pentazocine and Naloxone Tablets. Addiction can occur at recommended dosages and if the drug is misused or abused. The risk of opioid-related overdose or overdose-related death is increased with higher opioid doses, and this risk persists over the course of therapy. In postmarketing studies, addiction, abuse, misuse, and fatal and non-fatal opioid overdose were observed in patients with long-term opioid use [see ADVERSE REACTIONS; Postmarketing Experience].

Assess each patient's risk for opioid addiction, abuse, or misuse prior to prescribing Pentazocine and Naloxone Tablets, and reassess all patients receiving Pentazocine and Naloxone Tablets for the development of these behaviors and conditions. Risks are increased in patients with a personal or family history of substance abuse (including drug or alcohol abuse or addiction) or mental illness (e.g., major depression). The potential for these risks should not, however, prevent the proper management of pain in any given patient. Patients at increased risk may be prescribed opioids such as Pentazocine and Naloxone Tablets, but use in such patients necessitates intensive counseling about the risks and proper use of Pentazocine and Naloxone Tablets along with frequent reevaluation for signs of addiction, abuse, and misuse. Consider prescribing an opioid overdose reversal agent [see WARNINGS, DOSAGE AND ADMINSTRATION].

Opioids are sought for nonmedical use and are subject to diversion from legitimate prescribed use. Consider these risks when prescribing or dispensing Pentazocine and Naloxone Tablets. Strategies to reduce these risks include prescribing the drug in the smallest appropriate quantity and advising the patient on careful storage of the drug during the course of treatment and proper disposal of unused drug.

Contact local state professional licensing board or state-controlled substances authority for information on how to prevent and detect abuse or diversion of this product.

Impaired Renal Or Hepatic Function

Decreased metabolism of pentazocine by the liver in extensive liver disease may predispose to accentuation of side effects. Although laboratory tests have not indicated that pentazocine causes or increases renal or hepatic impairment, the drug should be administered with caution to patients with such impairment.

Information for Patients/caregivers

Information for Patients

Advise the patient to read the FDA-approved patient labeling (Medication Guide).

 

Storage and Disposal

Because of the risks associated with accidental ingestion, misuse, and abuse, advise patients to store Pentazocine and Naloxone Tablets securely, out of sight and reach of children, and in a location not accessible by others, including visitors to the home. Inform patients that leaving Pentazocine and Naloxone Tablets unsecured can pose a deadly risk to others in the home [see WARNINGS, DRUG ABUSE AND DEPENDENCE].

Advise patients and caregivers that when medicines are no longer needed, they should be disposed of promptly. Expired, unwanted, or unused Pentazocine and Naloxone Tablets should be disposed of by flushing the unused medication down the toilet if a drug take-back option is not readily available. Inform patients that they can visit www.fda.gov/drugdisposal for a complete list of medicines recommended for disposal by flushing, as well as additional information on disposal of unused medicines.

Addiction, Abuse, and Misuse

Inform patients that the use of Pentazocine and Naloxone Tablets, even when taken as recommended, can result in addiction, abuse, and misuse, which can lead to overdose and death [see WARNINGS]. Instruct patients not to share Pentazocine and Naloxone Tablets with others and to take steps to protect Pentazocine and Naloxone Tablets from theft or misuse.

Life-Threatening Respiratory Depression

Inform patients of the risk of life-threatening respiratory depression, including information that the risk is greatest when starting Pentazocine and Naloxone Tablets or when the dosage is increased, and that it can occur even at recommended dosages [see WARNINGS]. Advise patients how to recognize respiratory depression and to seek medical attention if breathing difficulties develop.

Educate patients and caregivers on how to recognize respiratory depression and emphasize the importance of calling 911 or getting emergency medical help right away in the event of a known or suspected overdose [see WARNINGS, Life Threatening Respiratory Depression].

Accidental Ingestion

Inform patients that accidental ingestion, especially by children, may result in respiratory depression or death [see WARNINGS].

Interactions with Benzodiazepines and Other CNS Depressants

Inform patients and caregivers that potentially fatal additive effects may occur if Pentazocine and Naloxone Tablets are used with benzodiazepines or other CNS depressants, including alcohol, and not to use these drugs concomitantly unless supervised by a healthcare provider [see WARNINGS, PRECAUTIONS; DRUG INTERACTIONS].

Patient Access to an Opioid Overdose Reversal Agent for the Emergency Treatment of Opioid Overdose

Inform patients and caregivers about opioid overdose reversal agents (e.g., naloxone, nalmefene). Discuss the importance of having access to an opioid overdose reversal agent, especially if the patient has risk factors for overdose (e.g., concomitant use of CNS depressants, a history of opioid use disorder, or prior opioid overdose) or if there are household members

(including children) or other close contacts at risk for accidental ingestion or opioid overdose.

Discuss with the patient the options for obtaining an opioid overdose reversal agent (e.g., prescription, over-the-counter, or as part of a community-based program) [see WARNINGS, DOSAGE AND ADMINISTRATION].

Educate patients and caregivers on how to recognize the signs and symptoms of an overdose.

Explain to patients and caregivers that effects of opioid overdose reversal agents like naloxone and nalmefene are temporary, and that they must call 911 or get emergency medical help right away in all cases of known or suspected opioid overdose, even if an opioid overdose reversal

agent is administered [see OVERDOSAGE].

Advise patients and caregivers:

  • how to treat with the overdose reversal agent in the event of an opioid overdose
  • to tell family and friends about the opioid overdose reversal agent, and to keep it in a place where family and friends can access it in an emergency.
  • to read the Patient Information (or other educational material) that will come with their opioid overdose reversal agent. Emphasize the importance of doing this before an opioid emergency happens, so the patient and caregiver will know what to do.

Hyperalgesia and Allodynia

Inform patients and caregivers not to increase opioid dosage without first consulting a clinician. Advise patients to seek medical attention if they experience symptoms of hyperalgesia, including worsening pain, increased sensitivity to pain, or new pain [see Warnings; Adverse Reactions].

Serotonin Syndrome

Inform patients that opioids could cause a rare but potentially life-threatening condition resulting from concomitant administration of serotonergic drugs. Warn patients of the symptoms of serotonin syndrome and to seek medical attention right away if symptoms develop. Instruct patients to inform their healthcare provider if they are taking, or plan to take serotonergic medications [see PRECAUTIONS; DRUG INTERACTIONS].

Important Administration Instructions

Instruct patients how to properly take Pentazocine and Naloxone Tablets.

  • Advise patients not to adjust the dose of Pentazocine and Naloxone Tablets without consulting with a physician or other healthcare professional.
  • If patients have been receiving treatment with Pentazocine and Naloxone Tablets for more than a few weeks and cessation of therapy is indicated, counsel them on the importance of safely tapering the dose as abruptly discontinuation of the medication could precipitate withdrawal symptoms. Provide a dose schedule to accomplish a gradual discontinuation of the medication. [see DOSAGE AND ADMINISTRATION]

Important Discontinuation Instructions

In order to avoid developing withdrawal symptoms, instruct patients not to discontinue Pentazocine and Naloxone Tablets without first discussing a tapering plan with the prescriber [see DOSAGE AND ADMINISTRATION].

Driving or Operating Heavy Machinery

Inform patients that Pentazocine and Naloxone Tablets may impair the ability to perform potentially hazardous activities such as driving a car or operating heavy machinery. Advise patients not to perform such tasks until they know how they will react to the medication [see PRECAUTIONS].

Constipation

Advise patients of the potential for severe constipation, including management instructions and when to seek medical attention [[see ADVERSE REACTIONS, CLINICAL PHARMACOLOGY ].

Adrenal Insufficiency

Inform patients that opioids could cause adrenal insufficiency, a potentially life threatening condition. Adrenal insufficiency may present with non-specific symptoms and signs such as nausea, vomiting, anorexia, fatigue, weakness, dizziness, and low blood pressure. Advise patients to seek medical attention if they experience a constellation of these symptoms [see WARNINGS].

Hypotension

Inform patients that Pentazocine and Naloxone Tablets may cause orthostatic hypotension and syncope. Instruct patients how to recognize symptoms of low blood pressure and how to reduce the risk of serious consequences should hypotension occur (e.g., sit or lie down, carefully rise from a sitting or lying position) [see WARNINGS].

Anaphylaxis

Inform patients that anaphylaxis have been reported with ingredients contained in Pentazocine and Naloxone Tablets. Advise patients how to recognize such a reaction and when to seek medical attention [see Contraindications, Adverse Reactions ].

Pregnancy

Neonatal Opioid Withdrawal Syndrome (NOWS)

Inform female patients of reproductive potential that use of Pentazocine and Naloxone Tablets for an extended period of time during pregnancy can result in neonatal opioid withdrawal syndrome, which may be life-threatening if not recognized and treated [see WARNINGS, PRECAUTIONS; Pregnancy]

Embryo-Fetal Toxicity

Inform female patients of reproductive potential that Pentazocine and Naloxone Tablets can cause fetal harm and to inform the healthcare provider of a known or suspected pregnancy [see PRECAUTIONS; Pregnancy].

Lactation

Advise nursing mothers to carefully observe infants for increased sleepiness (more than usual), breathing difficulties, or limpness. Instruct nursing mothers to seek immediate medical care if they notice these signs [see PRECAUTIONS; Nursing Mothers].

Package Label.principal Display Panel

Pentazocine Hydrochloride and Naloxone Hydrochloride Tablets, USP CIV

Container Label-100 count

Risk of Gastrointestinal Complications

Pentazocine and Naloxone Tablets are contraindicated in patients with known or suspected gastrointestinal obstruction, including paralytic ileus.

The administration of Pentazocine and Naloxone Tablets or other opioids may obscure the diagnosis or clinical course in patients with acute abdominal conditions.

Pentazocine and Naloxone Tablets may cause spasm of the sphincter of Oddi. Opioids may cause increases in serum amylase. Monitor patients with biliary tract disease, including acute pancreatitis, for worsening symptoms.

Cases of opioid-induced esophageal dysfunction (OIED) have been reported in patients taking opioids. The risk of OIED may increase as the dose and/or duration of opioids increases. Regularly evaluate patients for signs and symptoms of OIED (e.g., dysphagia, regurgitation, non-cardiac chest pain), and if necessary, adjust opioid therapy as clinically appropriate.

Life Threatening Respiratory Depression

Serious, life-threatening, or fatal respiratory depression has been reported with the use of opioids, even when used as recommended. Respiratory depression, if not immediately recognized and treated, may lead to respiratory arrest and death. Management of respiratory depression may include close observation, supportive measures, and use of opioid antagonists, depending on the patient's clinical status [see OVERDOSAGE ]. Carbon dioxide (CO2) retention from opioid-induced respiratory depression can exacerbate the sedating effects of opioids.

While serious, life-threatening, or fatal respiratory depression can occur at any time during the use of Pentazocine and Naloxone Tablets, the risk is greatest during the initiation of therapy or following a dosage increase.

To reduce the risk of respiratory depression, proper dosing and titration of Pentazocine and Naloxone Tablets are essential [see DOSAGE AND ADMINISTRATION ]. Overestimating the Pentazocine and Naloxone Tablets dosage when converting patients from another opioid product can result in a fatal overdose with the first dose.

Accidental ingestion of even one dose of Pentazocine and Naloxone Tablets, especially by children, can result in respiratory depression and death due to an overdose of pentazocine.

Educate patients and caregivers on how to recognize respiratory depression and emphasize the importance of calling 911 or getting emergency medical help right away in the event of a known or suspected overdose [see PRECAUTIONS , Information for Patients].

Neonatal Opioid Withdrawal Syndrome Nows

Use of Pentazocine and Naloxone Tablets for an extended period of time during pregnancy can result in withdrawal in the neonate. Neonatal opioid withdrawal syndrome, unlike opioid withdrawal syndrome in adults, may be life-threatening if not recognized and treated, and requires management according to protocols developed by neonatology experts. Observe newborns for signs of neonatal opioid withdrawal syndrome and manage accordingly. Advise pregnant women using opioids for an extended period of time of the risk of neonatal opioid withdrawal syndrome and ensure that appropriate treatment will be available [see PRECAUTIONS; Information for Patients, Pregnancy ].

Risks of Driving and Operating Machinery

Pentazocine and Naloxone Tablets may impair the mental or physical abilities needed to perform potentially hazardous activities such as driving a car or operating machinery.  Warn patients not to drive or operate dangerous machinery unless they are tolerant to the effects of Pentazocine and Naloxone Tablets and know how they will react to the medication [see Patient Counseling Information].

Opioid Induced Hyperalgesia and Allodynia

Opioid-Induced Hyperalgesia (OIH) occurs when an opioid analgesic paradoxically causes an increase in pain, or an increase in sensitivity to pain. This condition differs from tolerance, which is the need for increasing doses of opioids to maintain a defined effect [see Dependence]. Symptoms of OIH include (but may not be limited to) increased levels of pain upon opioid dosage increase, decreased levels of pain upon opioid dosage decrease, or pain from ordinarily non-painful stimuli (allodynia). These symptoms may suggest OIH only if there is no evidence of underlying disease progression, opioid tolerance, opioid withdrawal, or addictive behavior.

Cases of OIH have been reported, both with short-term and longer-term use of opioid analgesics. Though the mechanism of OIH is not fully understood, multiple biochemical pathways have been implicated. Medical literature suggests a strong biologic plausibility between opioid analgesics and OIH and allodynia. If a patient is suspected to be experiencing OIH, carefully consider appropriately decreasing the dose of the current opioid analgesic, or opioid rotation (safely switching the patient to a different opioid moiety) [see Dosage and Administration, Warning].

Increased Risk of Seizures in Patients With Seizure Disorders

The pentazocine in Pentazocine and Naloxone Tablets may increase the frequency of seizures in patients with seizure disorders, and may increase the risk of seizures occurring in other clinical settings associated with seizures. Regularly evaluate patients with a history of seizure disorders for worsened seizure control during Pentazocine and Naloxone Tablets therapy.

Opioid Analgesic Risk Evaluation and Mitigation Strategy (rems)

To ensure that the benefits of opioid analgesics outweigh the risks of addiction, abuse, and misuse, the Food and Drug Administration (FDA) has required a Risk Evaluation and Mitigation Strategy (REMS) for these products. Under the requirements of the REMS, drug companies with approved opioid analgesic products must make REMS-compliant education programs available to healthcare providers. Healthcare providers are strongly encouraged to do all of the following:

  •   Complete a REMS-compliant education program offered by an accredited provider of continuing education (CE) or another education program that includes all the elements of the FDA Education Blueprint for Health Care Providers Involved in the Management or Support of Patients with Pain.
  •   Discuss the safe use, serious risks, and proper storage and disposal of opioid analgesics with patients and/or their caregivers every time these medicines are prescribed. The Patient Counseling Guide (PCG) can be obtained at this link: www.fda.gov/OpioidAnalgesicREMSPCG.
  •   Emphasize to patients and their caregivers the importance of reading the Medication Guide that they will receive from their pharmacist every time an opioid analgesic is dispensed to them.
  •   Consider using other tools to improve patient, household, and community safety, such as patient-prescriber agreements that reinforce patient-prescriber responsibilities.

To obtain further information on the opioid analgesic REMS and for a list of accredited REMS CME/CE, call 800-503-0784, or log on to www.opioidanalgesicrems.com. The FDA Blueprint can be found at www.fda.gov/OpioidAnalgesicREMSBlueprint.

Risks From Concomitant Use With Benzodiazepines Or Other Cns Depressants

Profound sedation, respiratory depression, coma, and death may result from the concomitant use of Pentazocine and Naloxone Tablets with benzodiazepines and/or other CNS depressants, including alcohol (e.g., non- benzodiazepine sedatives/hypnotics, anxiolytics, tranquilizers, muscle relaxants, general anesthetics, antipsychotics, gabapentinoids, other opioids). Because of these risks, reserve concomitant prescribing of these drugs for use in patients for whom alternative treatment options are inadequate.

Observational studies have demonstrated that concomitant use of opioid analgesics and benzodiazepines increases the risk of drug-related mortality compared to use of opioid analgesics alone. Because of similar pharmacological properties, it is reasonable to expect similar risk with the concomitant use of other CNS depressant drugs with opioid analgesics [see PRECAUTIONS, DRUG INTERACTIONS ].

If the decision is made to prescribe a benzodiazepine or other CNS depressant concomitantly with an opioid analgesic, prescribe the lowest effective dosages and minimum durations of concomitant use. In patients already receiving an opioid analgesic, prescribe a lower initial dose of the benzodiazepine or other CNS depressant than indicated in the absence of an opioid, and titrate based on clinical response. If an opioid analgesic is initiated in a patient already taking a benzodiazepine or other CNS depressant, prescribe a lower initial dose of the opioid analgesic, and titrate based on clinical response. Inform patients and caregivers of this potential interaction, educate them on the signs and symptoms of respiratory depression (including sedation).

If concomitant use is warranted, consider prescribing an opioid overdose reversal agent opioid overdose [see WARNINGS, DOSAGE AND ADMISTRATION, and OVERDOSE].

Advise both patients and caregivers about the risks of respiratory depression and sedation when Pentazocine and Naloxone Tablets is used with benzodiazepines or other CNS depressants (including alcohol and illicit drugs). Advise patients not to drive or operate heavy machinery until the effects of concomitant use of the benzodiazepine or other CNS depressant have been determined. Screen patients for risk of substance use disorders, including opioid abuse and misuse, and warn them of the risk for overdose and death associated with the use of additional CNS depressants including alcohol and illicit drugs [see PRECAUTIONS; Information for Patients, Drug Interactions].

Patient Access to An Opioid Overdose Reversal Agent for the Emergency Treatment of Opioid Overdose

Inform patients and caregivers about opioid overdose reversal agents (e.g., naloxone, nalmefene). Discuss the importance of having access to an opioid overdose reversal agent, especially if the patient has risk factors for overdose (e.g., concomitant use of CNS depressants, a history of opioid use disorder, or prior opioid overdose) or if there are household members

(including children) or other close contacts at risk for accidental ingestion or opioid overdose. The presence of risk factors for overdose should not prevent the management of pain in any patient [see WARNINGS].

Discuss the options for obtaining an opioid overdose reversal agent (e.g., prescription, over-the-counter, or as part of a community-based program).

There are important differences among the opioid overdose reversal agents, such as route of administration, product strength, approved patient age range, and pharmacokinetics. Be familiar with these differences, as outlined in the approved labeling for those products, prior to recommending or prescribing such an agent.

Educate patients and caregivers on how to recognize respiratory depression, and how to use an opioid overdose reversal agent for the emergency treatment of opioid overdose. Emphasize the importance of calling 911 or getting emergency medical help, even if an opioid overdose reversal agent is administered [see WARNINGS, OVERDOSAGE].

Risks of Use in Patients With Increased Intracranial Pressure, Brain Tumors, Head Injury, Or Impaired Consciousness

In patients who may be susceptible to the intracranial effects of CO2 retention (e.g., those with evidence of increased intracranial pressure or brain tumors), Pentazocine and Naloxone Tablets may reduce respiratory drive, and the resultant CO2 retention can further increase intracranial pressure. Regularly evaluate such patients for signs of sedation and respiratory depression, particularly when initiating therapy with Pentazocine and Naloxone Tablets.

Opioids may also obscure the clinical course in a patient with a head injury. Avoid the use of Pentazocine and Naloxone Tablets in patients with impaired consciousness or coma.

Life Threatening Respiratory Depression in Patients With Chronic Pulmonary Disease Or in Elderly, Cachectic, Or Debilitated Patients

The use of Pentazocine and Naloxone Tablets in patients with acute or severe bronchial asthma in an unmonitored setting or in the absence of resuscitative equipment is contraindicated.

Patients with Chronic Pulmonary Disease: Pentazocine and naloxone-treated patients with significant chronic obstructive pulmonary disease or cor pulmonale, and those with a substantially decreased respiratory reserve, hypoxia, hypercapnia, or pre-existing respiratory depression are at increased risk of decreased respiratory drive including apnea, even at recommended dosages of Pentazocine and Naloxone Tablets [see WARNINGS ].

Elderly, Cachectic, or Debilitated Patients: Life-threatening respiratory depression is more likely to occur in elderly, cachectic, or debilitated patients because they may have altered pharmacokinetics or altered clearance compared to younger, healthier patients [see WARNINGS ].

Regularly evaluate patients, particularly when initiating and titrating Pentazocine and Naloxone Tablets and when Pentazocine and Naloxone Tablets are given concomitantly with other drugs that depress respiration [see WARNINGS ]. Alternatively, consider the use of non-opioid analgesics in these patients.


Structured Label Content

Recent Major Changes (34066-1)

WARNING: SERIOUS AND LIFE-THREATENING RISKS FROM USE OF PENTAZOCINE AND NALOXONE TABLETS

Addiction, Abuse, and Misuse

Because the use of Pentazocine and Naloxone Tablets exposes patients and other users to the risks of opioid addiction, abuse, and misuse, which can lead to overdose and death, assess each patient's risk prior to prescribing and reassess all patients regularly for the development of these behaviors and conditions [see <WARNINGS].

Life-Threatening Respiratory Depression

Serious, life-threatening, or fatal respiratory depression may occur with use of Pentazocine and Naloxone Tablets, especially during initiation or following a dosage increase. To reduce the risk of respiratory depression, proper dosing and titration of Pentazocine and Naloxone Tablets are essential [see <WARNINGS].

Accidental Ingestion

Accidental ingestion of even one dose of Pentazocine and Naloxone Tablets, especially by children, can result in a fatal overdose of Pentazocine Hydrochloride [see <WARNINGS].

Risks From Concomitant Use With Benzodiazepines Or Other CNS Depressants

Concomitant use of opioids with benzodiazepines or other central nervous system (CNS) depressants, including alcohol, may result in profound sedation, respiratory depression, coma, and death. Reserve concomitant prescribing of Pentazocine and Naloxone Tablets and benzodiazepines or other CNS depressants for use in patients for whom alternative treatment options are inadequate [see Warnings, Precautions; Drug Interactions].

Neonatal Opioid Withdrawal Syndrome (NOWS)

Advise pregnant women using opioids for an extended period of time of the risk of Neonatal Opioid Withdrawal Syndrome, which may be lifethreatening if not recognized and treated. Ensure that management by neonatology experts will be available at delivery [see <WARNINGS].

Opioid Analgesic Risk Evaluation and Mitigation Strategy (REMS)

Healthcare providers are strongly encouraged to complete a REMS compliant education program and to counsel patients and caregivers on serious risks, safe use, and the importance of reading the Medication Guide with each prescription [see <WARNINGS].

Indications and Usage (INDICATIONS AND USAGE)

Pentazocine and Naloxone Tablets are indicated for the management of pain severe enough to require an opioid analgesic and for which alternative treatments are inadequate.

Limitations of Use

Because of the risks of addiction, abuse, misuse, overdose, and death, which can occur at any dosage or duration, and persist over the course of therapy, reserve opioid analgesics, including Pentazocine and Naloxone Tablets for use in patients for whom alternative treatment options are ineffective, not tolerated, or would be otherwise inadequate to provide sufficient management of pain.

Dosage and Administration (DOSAGE AND ADMINISTRATION)

Important Dosage and Administration Instructions

Pentazocine and Naloxone Tablets should be prescribed only by healthcare professionals who are knowledgeable about the use of opioids and how to mitigate the associated risks.

Use the lowest effective dosage for the shortest duration of time consistent with individual patient treatment goals [see Warnings and Precautions]. Reserve titration to higher doses of Pentazocine and Naloxone Tablets for patients in whom lower doses are insufficiently effective and in whom the expected benefits of using a higher dose opioid clearly outweigh the substantial risks.

Many acute pain conditions (e.g., the pain that occurs with a number of surgical procedures or acute musculoskeletal injuries) require no more than a few days of an opioid analgesic. Clinical guidelines on opioid prescribing for some acute pain conditions are available.

There is variability in the opioid analgesic dose and duration needed to adequately manage pain due both to the cause of pain and to individual patient factors. Initiate the dosing regimen for each patient individually, taking into account the patient's underlying cause and severity of pain, prior analgesic treatment and response, and risk factors for addiction, abuse, and misuse [see Warnings ].

Respiratory depression can occur at any time during opioid therapy, especially when initiating and following dosage increases with Pentazocine and Naloxone Tablets. Consider this risk when selecting an initial dose and when making dose adjustments [see Warnings ].

Patient Access to an Opioid Overdose Reversal Agent for the Emergency Treatment of Opioid Overdose

Inform patients and caregivers about opioid overdose reversal agents (e.g., naloxone, nalmefene). Discuss the importance of having access to an opioid overdose reversal agent, especially if the patient has risk factors for overdose (e.g., concomitant use of CNS depressants, a history of opioid use disorder, or prior opioid overdose) or if there are household members (including children) or other close contacts at risk for accidental ingestion or opioid overdose. The presence of risk factors for overdose should not prevent the management of pain in any patient [see WARNINGS, Addiction, Abuse and Misuse; Life-Threatening Respiratory Depression; Risks from Concomitant Use with Benzodiazepines or Other CNS Depressants].

Discuss the options for obtaining an opioid overdose reversal agent (e.g., prescription, over-the-counter, or as part of a community-based program).

There are important differences among the opioid overdose reversal agents, such as route of administration, product strength, approved patient age range, and pharmacokinetics. Be familiar with these differences, as outlined in the approved labeling for those products, prior to recommending or prescribing such an agent.

Initial Dosage

Use of Pentazocine and Naloxone Tablets as the First Opioid Analgesic

Initiate treatment with Pentazocine and Naloxone Tablets, USP in a dosing range of 1 tablet every 3 to 4 hours as needed for pain, at the lowest dose necessary to achieve adequate analgesia. Titrate the dose based upon the individual patient's response to their initial dose of Pentazocine and Naloxone Tablets. This may be increased to 2 tablets when needed. Total daily dosage should not exceed 12 tablets.

Conversion from Other Opioids to Pentazocine and Naloxone Tablets

There is inter-patient variability in the potency of opioid drugs and opioid formulations. Therefore, a conservative approach is advised when determining the total daily dosage of Pentazocine and Naloxone Tablets. It is safer to underestimate a patient's 24-hour Pentazocine and Naloxone Tablets dosage than to overestimate the 24-hour Pentazocine and Naloxone Tablets dosage and manage an adverse reaction due to overdose.

Titration and Maintenance of Therapy

Individually titrate Pentazocine and Naloxone Tablets to a dose that provides adequate analgesia and minimizes adverse reactions. Continually reevaluate patients receiving Pentazocine and Naloxone Tablets to assess the maintenance of pain control, signs and symptoms of opioid withdrawal,  and other adverse reactions, as well as assessing for the development of addiction, abuse, or misuse [see WARNINGS ]. Frequent communication is important among the prescriber, other members of the healthcare team, the patient, and the caregiver/family during periods of changing analgesic requirements, including initial titration.

If the level of pain increases after dosage stabilization, attempt to identify the source of increased pain before increasing the Pentazocine and Naloxone Tablets dosage. If after increasing the dosage, unacceptable opioid- related adverse reactions are observed (including an increase in pain after dosage increase), consider reducing the dosage. Adjust the dosage to obtain an appropriate balance between management of pain and opioid-related adverse reactions.

Safe Reduction or Discontinuation of Pentazocine and Naloxone Tablets

Do not rapidly reduce or abruptly discontinue Pentazocine and Naloxone Tablets in patients who may be physically dependent on opioids. Rapid discontinuation of opioid analgesics in patients who are physically dependent on opioids has resulted in serious withdrawal symptoms, uncontrolled pain, and suicide. Rapid discontinuation has also been associated with attempts to find other sources of opioid analgesics, which may be confused with drug-seeking for abuse. Patients may also attempt to treat their pain or withdrawal symptoms with illicit opioids, such as heroin, and other substances.

When a decision has been made to decrease the dose or discontinue therapy in an opioid-dependent patient taking Pentazocine and Naloxone Tablets, there are a variety of factors that should be considered, including the total daily dose of opioid (including Pentazocine and Naloxone Tablets) the patient has been taking, the duration of treatment, the type of pain being treated, and the physical and psychological attributes of the patient. It is important to ensure ongoing care of the patient and to agree on an appropriate tapering schedule and follow-up plan so that patient and provider goals and expectations are clear and realistic. When opioid analgesics are being discontinued due to a suspected substance use disorder, evaluate and treat the patient, or refer for evaluation and treatment of the substance use disorder. Treatment should include evidence-based approaches, such as medication assisted treatment of opioid use disorder. Complex patients with co-morbid pain and substance use disorders may benefit from referral to a specialist.

There are no standard opioid tapering schedules that are suitable for all patients. Good clinical practice dictates a patient-specific plan to taper the dose of the opioid gradually. For patients on Pentazocine and Naloxone Tablets who are physically opioid-dependent, initiate the taper by a small enough increment (e.g., no greater than 10% to 25% of the total daily dose) to avoid withdrawal symptoms, and proceed with dose-lowering at an interval of every 2 to 4 weeks. Patients who have been taking opioids for briefer periods of time may tolerate a more rapid taper.

It may be necessary to provide the patient with lower dosage strengths to accomplish a successful taper. Reassess the patient frequently to manage pain and withdrawal symptoms, should they emerge. Common withdrawal symptoms include restlessness, lacrimation, rhinorrhea, yawning, perspiration, chills, myalgia, and mydriasis. Other signs and symptoms also may develop, including irritability, anxiety, backache, joint pain, weakness, abdominal cramps, insomnia, nausea, anorexia, vomiting, diarrhea, or increased blood pressure, respiratory rate, or heart rate. If withdrawal symptoms arise, it may be necessary to pause the taper for a period of time or raise the dose of the opioid analgesic to the previous dose, and then proceed with a slower taper. In addition, evaluate patients for any changes in mood, emergence of suicidal thoughts, or use of other substances.

When managing patients taking opioid analgesics, particularly those who have been treated for an extended period of time, and/or with high doses for chronic pain, ensure that a multimodal approach to pain management, including mental health support (if needed), is in place prior to initiating an opioid analgesic taper. A multimodal approach to pain management may optimize the treatment of chronic pain, as well as assist with the successful tapering of the opioid analgesic [see WARNINGS/Withdrawal, DRUG ABUSE AND DEPENDENCE].

Contraindications (CONTRAINDICATIONS)

Pentazocine and Naloxone Tablets are contraindicated in patients with:

  • Significant respiratory depression [see WARNINGS ]
  • Acute or severe bronchial asthma in an unmonitored setting or in the absence of resuscitative equipment [see WARNINGS ]. Patients with known or suspected gastrointestinal obstruction, including paralytic ileus [see WARNINGS ]
  • Patients with hypersensitivity to either pentazocine, naloxone, or any of the formulation excipients (e.g., anaphylaxis) [see WARNINGS ].
Adverse Reactions (ADVERSE REACTIONS)

The following adverse reactions associated with the use of Pentazocine and Naloxone were identified in clinical studies or postmarketing reports. Because some of these reactions were reported voluntarily from a population of uncertain size, it is not always possible to reliably estimate their frequency or establish a causal relationship to drug exposure.

Cardiovascular - Hypertension, hypotension, circulatory depression, tachycardia, syncope.

Respiratory - Rarely, respiratory depression.

Acute CNS Manifestations - Hallucinations (usually visual), disorientation, and confusion.

Other CNS Effects - Grand mal convulsions, increase in intracranial pressure, dizziness, lightheadedness, hallucinations, sedation, euphoria, headache, confusion, disorientation; infrequently weakness, disturbed dreams, insomnia, syncope, and depression; and rarely tremor, irritability, excitement, tinnitus.

Autonomic - Sweating; infrequently flushing; and rarely chills.

Gastrointestinal - Nausea, vomiting, constipation, diarrhea, anorexia, dry mouth, biliary tract spasm, and rarely abdominal distress.

Allergic - Edema of the face; anaphylactic shock; dermatitis, including pruritus; flushed skin, including plethora; infrequently rash, and rarely urticaria.

Ophthalmic - Visual blurring and focusing difficulty, miosis.

Hematologic - Depression of white blood cells (especially granulocytes), with rare cases of agranulocytosis, which is usually reversible, moderate transient eosinophilia.

Dependence and Withdrawal Symptoms - (See WARNINGS , PRECAUTIONS , and DRUG ABUSE AND DEPENDENCE Sections).

Other - Urinary retention, paresthesia, serious skin reactions, including erythema multiforme, Stevens-Johnson syndrome toxic epidermal necrolysis, and alterations in rate or strength of uterine contractions during labor.

  • Serotonin syndrome: Cases of serotonin syndrome, a potentially life-threatening condition, have been reported during concomitant use of opioids with serotonergic drugs.
  • Adrenal insufficiency: Cases of adrenal insufficiency have been reported with opioid use, more often following greater than one month of use.
  • Anaphylaxis: Anaphylaxis has been reported with ingredients contained in Pentazocine and Naloxone Tablets.
  • Androgen deficiency: Cases of androgen deficiency have occurred with use of opioids for an extended period of time [see Clinical Pharmacology].
  • Hyperalgesia and Allodynia:Cases of hyperalgesia and allodynia have been reported with opioid therapy of any duration [see Warnings].
  • Hypoglycemia: Cases of hypoglycemia have been reported in patients taking opioids. Most reports were in patients with at least one predisposing risk factor (e.g., diabetes).
  • Opioid-induced esophageal dysfunction (OIED):Cases of OIED have been reported in patients taking opioids, and may occur more frequently in patients taking higher doses of opioid, and/or in patients taking opioids longer term [see WARNINGS].

Adverse Reactions from Observational Studies

A prospective, observational cohort study estimated the risks of addiction, abuse, and misuse in patients initiating long-term use of Schedule II opioid analgesics between 2017 and 2021. Study participants included in one or more analyses had been enrolled in selected insurance plans or health systems for at least one year, were free of at least one outcome at baseline, completed a minimum number of follow-up assessments, and either: 1) filled multiple extended-release/long-acting opioid analgesic prescriptions during a 90 day period (n=978); or 2) filled any Schedule II opioid analgesic for at least 70 of 90 days (n=1,244). Those included also had no dispensing of the qualifying opioids in the previous 6 months.

Over 12 months:

  • approximately 1% to 6% of participants across the two cohorts newly met criteria for addiction, as assessed with two validated interview based measures of moderate-to-severe opioid use disorder based on Diagnostic and Statistical Manual of Mental Disorders, Fifth Edition (DSM-5) criteria, and
  • approximately 9% and 22% of participants across the two cohorts newly met criteria for prescription opioid abuse and misuse [defined in DRUG ABUSE AND DEPENDENCE], respectively, as measured with a validated self-reported instrument.

A retrospective, observational cohort study estimated the risk of opioid involved overdose or opioid overdose-related death in patients with new long-term use of Schedule II opioid analgesics from 2006 through 2016 (n=220,249). Included patients had been enrolled in either one of two commercial insurance programs, one managed care program, or one Medicaid program for at least 9 months. New long-term use was defined as having Schedule II opioid analgesic prescriptions covering at least 70 days' supply over the 3 months prior to study entry and none during the preceding 6 months. Patients were excluded if they had an opioid-involved overdose in the 9 months prior to study entry. Overdose was measured using a validated medical code-based algorithm with linkage to the National Death Index database. The 5-year cumulative incidence estimates for opioid-involved overdose or opioid overdose-related death ranged from approximately 1.5% to 4% across study sites, counting only the first event during follow-up. Approximately 17% of first opioid overdoses observed over the entire study period (5-11 years, depending on the study site) were fatal. Higher baseline opioid dose was the strongest and most consistent predictor of opioid-involved overdose or opioid overdose-related death.

Study exclusion criteria may have selected patients at lower risk of overdose, and substantial loss to follow-up (approximately 80%) also may have biased estimates.

The risk estimates from the studies described above may not be generalizable to all patients receiving opioid analgesics, such as those with exposures shorter or longer than the duration evaluated in the studies.

To report SUSPECTED ADVERSE REACTIONS, contact Lupin Pharmaceuticals Inc. at 1-866-403-7592 or FDA at 1-800-FDA-1088 or www.fda.gov/medwatch.

Drug Interactions (DRUG INTERACTIONS)

Benzodiazepines and Other Central Nervous System (CNS) Depressants

Due to additive pharmacologic effect, the concomitant use of benzodiazepines or other CNS depressants including alcohol, benzodiazepines and other sedative hypnotics, anxiolytics, and tranquilizers, muscle relaxants, general anesthetics, antipsychotics, and other opioids, can increase the risk of hypotension, respiratory depression, profound sedation, coma, and death.

Reserve concomitant prescribing of these drugs for use in patients for whom alternative treatment options are inadequate. Limit dosages and durations to the minimum required. Inform patients and caregivers of this potential interaction, educate them on the signs and symptoms of respiratory depression (including sedation). If concomitant use is warranted, consider prescribing an opioid overdose reversal agent [see WARNINGS, DOSAGE AND ADMINISTRATION].

Serotonergic Drugs

The concomitant use of opioids with other drugs that affect the serotonergic neurotransmitter system, such as selective serotonin reuptake inhibitors (SSRIs), serotonin and norepinephrine reuptake inhibitors (SNRIs), tricyclic antidepressants (TCAs), triptans, 5-HT3 receptor antagonists, drugs that affect the serotonin neurotransmitter system (e.g., mirtazapine, trazodone, tramadol), certain muscle relaxants (i.e., cyclobenzaprine, metaxalone), monoamine oxidase (MAO) inhibitors (those intended to treat psychiatric disorders and also others, such as linezolid and intravenous methylene blue), has resulted in serotonin syndrome. [see PRECAUTIONS; Information for Patients ].

If concomitant use is warranted, carefully observe the patient, particularly during treatment initiation and dose adjustment. Discontinue Pentazocine and Naloxone Tablets if serotonin syndrome is suspected.

Monoamine Oxidase Inhibitors (MAOIs)

Concomitant use of monoamine oxidase inhibitors (MAOIs) with Pentazocine and Naloxone Tablets may cause CNS excitation and hypertension through their respective effects on catecholamines. Caution should therefore be observed in administering Pentazocine and Naloxone Tablets to patients who are currently receiving MAOIs or who have received them within the preceding 14 days

Mixed Agonist/Antagonist and Partial Agonist Opioid Analgesics

Mixed Agonist/Antagonist and Partial Agonist Opioid Analgesics such as butorphanol, nalbuphine, pentazocine, buprenorphine, may reduce the analgesic effect of Pentazocine and Naloxone Tablets and/or precipitate withdrawal symptoms.

Avoid concomitant use of these drugs.

Muscle Relaxants

The Concomitant use of opioids and muscle relaxants may enhance the neuromuscular blocking action of skeletal muscle relaxants and produce an increased degree of respiratory depression.

Because respiratory depression may be greater than otherwise expected, decrease the dosage of Pentazocine and Naloxone Tablets and/or the muscle relaxant as necessary. Due to the risk of respiratory depression with concomitant use of skeletal muscle relaxants and opioids, consider prescribing an opioid overdose reversal agent [see WARNINGS, DOSAGE AND ADMINISTRATION].

Diuretics

Opioids can reduce the efficacy of diuretics by inducing the release of antidiuretic hormone.

Evaluate patients for signs of diminished diuresis and/or effects on blood pressure and increase the dosage of the diuretic as needed

Anticholinergic Drugs

The concomitant use of anticholinergic drugs may increase risk of urinary retention and/or severe constipation, which may lead to paralytic ileus.

Evaluate patients for signs of urinary retention or reduced gastric motility when Pentazocine and Naloxone Tablets is used concomitantly with anticholinergic drugs.

Tobacco

Smoking tobacco could enhance the metabolic clearance rate of pentazocine reducing the clinical effectiveness of a standard dose of pentazocine.

Carcinogenesis, Mutagenesis, Impairment of Fertility

Carcinogenesis

Long-term animal studies have not been completed to evaluate the carcinogenic potential of the combination or individual components of Pentazocine and Naloxone Tablets.

Mutagenesis

Studies to evaluate the mutagenic potential of the components of Pentazocine and Naloxone Tablets have not been conducted.

Impairment of Fertility

Studies in animals to evaluate the impact of Pentazocine and Naloxone Tablets on fertility have not been completed.

The daily administration of 4 mg/kg to 20 mg/kg pentazocine subcutaneously to female rats during a 14 day pre-mating period and until the 13th day of pregnancy did not have any adverse effects on the fertility rate.

Infertility

Chronic Use of opioids for an extended period of time may cause reduced fertility in females and males of reproductive potential. It is not known whether these effects on fertility are reversible [see Adverse Reactions].

How Supplied (HOW SUPPLIED)

Pentazocine and Naloxone Tablets USP are light yellow, capsule shaped tablets debossed "NL" on left side and "680" on the right side of the bisect and plain on the other side, supplied in bottles of 100 and 500.

Bottles of 100 (NDC 43386-680-01).

Bottles of 500 (NDC 43386-680-05).

Store at 20° to 25°C (68° to 77°F) [See USP Controlled Room Temperature].

Store Pentazocine and Naloxone Tablets securely and dispose of properly [See PRECAUTIONS/Information for Patients].

Dispense in a tight, light-resistant container as defined in the USP.

LUPIN and the 

 are registered trademarks of Lupin Pharmaceuticals, Inc.

Manufactured by:

Novel Laboratories, Inc.

Somerset, NJ 08873

Manufactured for:

Lupin Pharmaceuticals, Inc.

Naples, FL 34108

SAP Code: 281449

Rev. 08/2025

Description (DESCRIPTION)

Pentazocine and Naloxone Tablets, USP contain pentazocine hydrochloride, USP, a partial opioid agonist, equivalent to 50 mg base and is a member of the benzazocine series (also known as the benzomorphan series), and naloxone hydrochloride, USP, an opioid antagonist equivalent to 0.5 mg base.

Pentazocine and Naloxone Tablets, USP are an analgesic for oral administration.

Chemically, pentazocine hydrochloride, USP is (2R*,6R*,11R*)-1,2,3,4,5,6-Hexahydro-6,11-dimethyl-3-(3-methyl-2-butenyl)-2,6-methano-3-benzazocin-8-ol hydrochloride, a white, crystalline substance soluble in acidic aqueous solutions, and has the following structural formula:

Chemically, naloxone hydrochloride, USP is Morphinan-6-one,4,5-epoxy-3,14-dihydroxy-17-(2- propenyl)-, hydrochloride, (5α)-. It is a slightly off-white powder, and is soluble in water and dilute acids, and has the following structural formula:

Inactive Ingredients: colloidal silicon dioxide, dibasic calcium phosphate, D&C Yellow No. 10, magnesium stearate, microcrystalline cellulose, sodium lauryl sulfate and pregelatinized starch.

Abuse

Controlled Substance

Pentazocine and Naloxone Tablets contain pentazocine, a Schedule IV controlled substance.

Abuse

Pentazocine and Naloxone Tablets contain pentazocine, a substance with a high potential for misuse and abuse, which can lead to the development of substance use disorder, including addiction [see WARNINGS].

Misuse is the intentional use, for therapeutic purposes, of a drug by an individual in a way other than prescribed by a healthcare provider or for whom it was not prescribed.

Abuse is the intentional, non-therapeutic use of a drug, even once, for its desirable psychological or physiological effects.

Drug addiction is a cluster of behavioral, cognitive, and physiological phenomena that may include a strong desire to take the drug, difficulties in controlling drug use (e.g., continuing drug use despite harmful consequences, giving a higher priority to drug use than other activities and obligations), and possible tolerance or physical dependence.

Misuse and abuse of Pentazocine and Naloxone Tablets increases a risk of overdose, which may lead to central nervous system and respiratory depression, hypotension, seizures, and death. The risk is increased with concurrent abuse of Pentazocine and Naloxone Tablets with alcohol and other CNS depressants. Abuse of and addiction to opioids in some individuals may not be accompanied by concurrent tolerance and symptoms of physical dependence. In addition, abuse of opioids can occur in the absence of addiction.

All patients treated with opioids require careful and frequent reevaluation for signs of misuse, abuse, and addiction, because use of opioid analgesic products carries the risk of addiction even under appropriate medical use. Patients at high risk of Pentazocine and Naloxone Tablets abuse include those with a history of prolonged use of any opioid, including products containing Pentazocine, those with a history of drug or alcohol abuse, or those who use Pentazocine and Naloxone Tablets in combination with other abused drugs.

"Drug-seeking" behavior is very common in persons with substance use disorders. Drug-seeking tactics include emergency calls or visits near the end of office hours, refusal to undergo appropriate examination, testing, or referral, repeated "loss" of prescriptions, tampering with prescriptions, and reluctance to provide prior medical records or contact information for other treating healthcare provider(s). "Doctor shopping" (visiting multiple prescribers to obtain additional prescriptions) is common among people who abuse drugs and people with substance use disorder. Preoccupation with achieving adequate pain relief can be appropriate behavior in a patient with inadequate pain control.

Pentazocine and Naloxone Tablets, like other opioids, can be diverted for nonmedical use into illicit channels of distribution. Careful record-keeping of prescribing information, including quantity, frequency, and renewal requests, as required by state and federal law, is strongly advised.

Proper assessment of the patient, proper prescribing practices, periodic reevaluation of therapy, and proper dispensing and storage are appropriate measures that help to limit abuse of opioid drugs.

Risks Specific to Abuse of Pentazocine and Naloxone Tablets

Abuse of Pentazocine and Naloxone Tablets poses a risk of overdose and death. The risk is increased with concurrent use of Pentazocine and Naloxone Tablets with alcohol and/or other CNS depressants.

Parental drug abuse is commonly associated with transmission of infectious diseases such as hepatitis and HIV.

Lactation

Risk Summary

Pentazocine is excreted in human milk. Caution should be exercised when Pentazocine and Naloxone Tablets are administered to a nursing woman.

The developmental and health benefits of breastfeeding should be considered along with the mother's clinical need for Pentazocine and Naloxone Tablets and any potential adverse effects on the breastfed infant from Pentazocine and Naloxone Tablets or from the underlying maternal condition.

Clinical Considerations

Infants exposed to pentazocine and naloxone through breast milk should be monitored for excess sedation and respiratory depression. Withdrawal symptoms can occur in breastfed infants when maternal administration of an opioid analgesic is stopped, or when breast-feeding is stopped.

Porphyria

Particular caution should be exercised in administering pentazocine to patients with porphyria since it may provoke an acute attack in susceptible individuals.

Pregnancy

Risk Summary

Use of opioid analgesics for an extended period of time during pregnancy may cause neonatal opioid withdrawal syndrome [see Warnings]. There are no available data with Pentazocine and Naloxone Tablets in pregnant women to inform a drug-associated risk for major birth defects and miscarriage. In animal reproduction studies, pentazocine administered subcutaneously to pregnant hamsters during the early gestational period produced neural tube defects (i.e., exencephaly and cranioschisis) at 2.6 times the maximum daily dose (MDD). In pregnant rats administered pentazocine:naloxone during organogenesis, there were increased incidences of resorptions and extra ribs at 0.2 times the MDD.  There was no evidence of malformations in rats or rabbits [see Data]. Based on animal data, advise pregnant women of the potential risk to a fetus. The estimated background risk of major birth defects and miscarriage for the indicated population is unknown. All pregnancies have a background risk of birth defect, loss, or other adverse outcomes. In the U.S. general population, the estimated background risk of major birth defects and miscarriage in clinically recognized pregnancies is 2-4% and 15-20%, respectively.

Clinical Considerations

Fetal/Neonatal Adverse Reactions

Use of opioid analgesics for an extended period of time during pregnancy for medical or nonmedical purposes can result in physical dependence in the neonate and neonatal opioid withdrawal syndrome shortly after birth.

Neonatal opioid withdrawal syndrome presents as irritability, hyperactivity and abnormal sleep pattern, high pitched cry, tremor, vomiting, diarrhea and failure to gain weight. The onset, duration, and severity of neonatal opioid withdrawal syndrome vary based on the specific opioid used, duration of use, timing and amount of last maternal use, and rate of elimination of the drug by the newborn. Observe newborns for symptoms of neonatal opioid withdrawal syndrome and manage accordingly [see WARNINGS ].

Dependence

Both tolerance and physical dependence can develop during use of opioid therapy.

Tolerance is a physiological state characterized by a reduced response to a drug after repeated administration (i.e., a higher dose of a drug is required to produce the same effect that was once obtained at a lower dose).

Physical dependence is a state that develops as a result of a physiological adaptation in response to repeated drug use, manifested by withdrawal signs and symptoms after abrupt discontinuation or a significant dose reduction of a drug.

Withdrawal may be precipitated through the administration of drugs with opioid antagonist activity (e.g., naloxone, nalmefene), mixed agonist/antagonist analgesics (e.g., pentazocine, butorphanol, nalbuphine), or partial agonists (e.g., buprenorphine). Physical dependence may not occur to a clinically significant degree until after several days to weeks of continued use.

Do not abruptly discontinue Pentazocine and Naloxone Tablets in a patient physically dependent on opioids. Rapid tapering of Pentazocine and Naloxone Tablets in a patient physically dependent on opioids may lead to serious withdrawal symptoms, uncontrolled pain, and suicide. Rapid discontinuation has also been associated with attempts to find other sources of opioid analgesics, which may be confused with drug-seeking for abuse.

When discontinuing Pentazocine and Naloxone Tablets, gradually taper the dosage using a patient-specific plan that considers the following: the dose of Pentazocine and Naloxone Tablets the patient has been taking, the duration of treatment, and the physical and psychological attributes of the patient. To improve the likelihood of a successful taper and minimize withdrawal symptoms, it is important that the opioid tapering schedule is agreed upon by the patient. In patients taking opioids for an extended period of time at high doses, ensure that a multimodal approach to pain management, including mental health support (if needed), is in place prior to initiating an opioid analgesic taper [see DOSAGE AND ADMINISTRATION, WARNINGS ].

Infants born to mothers physically dependent on opioids will also be physically dependent and may exhibit respiratory difficulties and withdrawal signs [see Pregnancy].

Overdosage (OVERDOSAGE)

Clinical Presentation

Acute overdose with Pentazocine and Naloxone Tablets can be manifested by respiratory depression, somnolence progressing to stupor or coma, skeletal muscle flaccidity, cold and clammy skin, constricted pupils, and, in some cases, pulmonary edema, bradycardia, hypotension, hypoglycemia, partial or complete airway obstruction, atypical snoring, and death. Marked mydriasis rather than miosis may be seen with hypoxia in overdose situations [see CLINICAL PHARMACOLOGY]. Toxic leukoencephalopathy has been reported after opioid overdose and can present hours, days, or weeks after apparent recovery from the initial intoxication.

For pentazocine alone in single doses above 60 mg there have been reports of the occurrence of nalorphine-like psychotomimetic effects such as anxiety, nightmares, strange thoughts, and hallucinations. Somnolence, marked respiratory depression associated with hypertension and tachycardia have also resulted as have seizures, hypotension, dizziness, nausea, vomiting, lethargy, and paresthesias. The respiratory depression is antagonized by naloxone (see Treatment). Circulatory failure and deepening coma may occur in more severe cases, particularly in patients who have also ingested other CNS depressants such as alcohol, sedative/hypnotics, or antihistamines."

Treatment of Overdose

In case of overdose, priorities are the reestablishment of a patent and protected airway and institution of assisted or controlled ventilation, if needed. Employ other supportive measures (including oxygen and vasopressors) in the management of circulatory shock and pulmonary edema as indicated. Cardiac arrest or arrhythmias will require advanced life-support measures.

For clinically significant respiratory or circulatory depression secondary to opioid overdose, administer an opioid overdose reversal agent such as naloxone or nalmefene. As pentazocine is a mixed opioid agonist/antagonist, larger doses of naloxone or nalmefene may be needed to reverse the effects of an overdose.

In an individual physically dependent on opioids, administration of the recommended usual dosage of the antagonist will precipitate an acute withdrawal syndrome. The severity of the withdrawal symptoms experienced will depend on the degree of physical dependence and the dose of the antagonist administered. If a decision is made to treat serious respiratory depression in the physically dependent patient, administration of the antagonist should be begun with care and by titration with smaller than usual doses of the antagonist.

Withdrawal

Do not abruptly discontinue Pentazocine and Naloxone Tablets in a patient physically dependent on opioids. When discontinuing Pentazocine and Naloxone Tablets in a physically dependent patient, gradually taper the dosage. Rapid tapering of Pentazocine and Naloxone Tablets in a patient physically dependent on opioids may lead to a withdrawal syndrome and return of pain [see DOSAGE AND ADMINISTRATION, DRUG ABUSE AND DEPENDENCE ].

Additionally, the use of Pentazocine and Naloxone Tablets, a mixed agonist/antagonist opioid analgesic, in patients who are receiving a full opioid agonist analgesic may reduce the analgesic effect and/or precipitate withdrawal symptoms.  Avoid concomitant use of Pentazocine and Naloxone Tablets with a full opioid agonist analgesic

Geriatric Use

Elderly patients (aged 65 years or older) may have increased sensitivity to Pentazocine and Naloxone Tablets. In general, use caution when selecting a dosage for an elderly patient, usually starting at the low end of the dosing range, reflecting the greater frequency of decreased hepatic, renal, or cardiac function and of concomitant disease or other drug therapy.

Respiratory depression is the chief risk for elderly patients treated with opioids, and has occurred after large initial doses were administered to patients who were not opioid-tolerant or when opioids were co-administered with other agents that depress respiration. Titrate the dosage of Pentazocine and Naloxone Tablets slowly in geriatric patients and frequently reevaluate the patient for signs of central nervous system and respiratory depression [see WARNINGS ].

Pentazocine and Naloxone are known to be substantially excreted by the kidney, and the risk of adverse reactions to this drug may be greater in patients with impaired renal function. Because elderly patients are more likely to have decreased renal function, care should be taken in dose selection, and it may be useful to regularly evaluate renal function

Pediatric Use

Safety and effectiveness in pediatric patients below the age of 12 years have not been established.

Biliary Surgery

Narcotic drug products are generally considered to elevate biliary tract pressure for varying periods following their administration. Some evidence suggests that pentazocine may differ from other marketed narcotics in this respect (i.e., it causes little or no elevation in biliary tract pressures). The clinical significance of these findings, however, is not yet known.

Medication Guide (MEDICATION GUIDE)

Pentazocine and Naloxone (pen tazʹ oh seen and nal oxʹ one) Tablets, CIV

Pentazocine and Naloxone Tablets are:

  • A strong prescription pain medicine that contains an opioid (narcotic) that is used to manage moderate to severe pain, when other pain treatments such as non-opioid pain medicines do not treat your pain well enough or you cannot tolerate them.
  • An opioid pain medicine that can put you at risk for overdose and death. Even if you take your dose correctly as prescribed you are at risk for opioid addiction, abuse, and misuse that can lead to death.

Important information about Pentazocine and Naloxone Tablets:

  • Get emergency help or call 911 right away if you take too many Pentazocine and Naloxone Tablets (overdose). When you first start taking Pentazocine and Naloxone Tablets, when your dose is changed, or if you take too much (overdose), serious or life-threatening breathing problems that can lead to death may occur. Ask your healthcare provider about medicine like naloxone or nalmefene that can be used in an emergency to reverse an opioid overdose. 
  • Taking Pentazocine and Naloxone Tablets with other opioid medicines, benzodiazepines, gabapentinoids (gabapentin or pregabalin) alcohol, or other central nervous system depressants (including street drugs) can cause severe drowsiness, decreased awareness, breathing problems, coma, and death.
  • Never give anyone else your Pentazocine and Naloxone Tablets. They could die from taking it. Selling or giving away Pentazocine and Naloxone Tablets is against the law.
  • Store Pentazocine and Naloxone Tablets securely, out of sight and reach of children, and in a location not accessible by others, including visitors to the home.

Do not take Pentazocine and Naloxone Tablets if you have:

  • severe asthma, trouble breathing, or other lung problems.
  • a bowel blockage or have narrowing of the stomach or intestines.
  • previously had an allergic reaction to pentazocine or naloxone.
  • known or suspected gastrointestinal obstruction, including paralytic ileus.

Before taking Pentazocine and Naloxone Tablets, tell your healthcare provider if you have a history of:

  • head injury, seizures               
  • liver, kidney, thyroid problems
  • problems urinating                 
  • pancreas or gallbladder problems
  • abuse of street or prescription drugs, alcohol addiction, opioid overdose, or mental health problems.

Tell your healthcare provider if you are:

  • noticing your pain getting worse. If your pain gets worse after you take Pentazocine and Naloxone Tablets, do not take more of Pentazocine and Naloxone Tablets without first talking to your healthcare provider. Talk to your healthcare provider if the pain that you have increases, if you feel more sensitive to pain, or if you have new pain after taking Pentazocine and Naloxone Tablets.
  • are pregnant or planning to become pregnant. Use of Pentazocine and Naloxone Tablets for an extended period of time during pregnancy can cause withdrawal symptoms in your newborn baby that could be life-threatening if not recognized and treated.
  • breastfeeding. Pentazocine and naloxone passes into breast milk and may harm your baby. Carefully observe infants for increased sleepiness (more than usual), breathing difficulties, or limpness. Seek immediate medical care if you notice these signs.
  • living in a household where there are small children or someone who has abused street or prescription drugs.
  • taking prescription or over-the-counter medicines, vitamins, or herbal supplements. Taking Pentazocine and Naloxone Tablets with certain other medicines can cause serious side effects that could lead to death..

When taking Pentazocine and Naloxone Tablets:

  • Do not change your dose. Take Pentazocine and Naloxone Tablets exactly as prescribed by your healthcare provider. Use the lowest dose possible for the shortest time needed.
  • For acute (short-term) pain, you may only need to take Pentazocine and Naloxone Tablets for a few days. You may have some Pentazocine and Naloxone Tablets left over that you did not use. See disposal information at the bottom of this section for directions on how to safely throw away (dispose of) your unused of Pentazocine and Naloxone Tablets. Take your prescribed dose every 3 or 4 hours at the same time every day as needed for pain. Do not take more than your prescribed dose. If you miss a dose, take your next dose at your usual time.
  • Call your healthcare provider if the dose you are taking does not control your pain.
  • If you have been taking Pentazocine and Naloxone Tablets regularly, do not stop taking Pentazocine and Naloxone Tablets without talking to your healthcare provider.
  • Dispose of expired, unwanted, or unused Pentazocine and Naloxone Tablets by promptly flushing down the toilet, if a drug take-back option is not readily available. Visit www.fda.gov/drugdisposal for additional information on disposal of unused medicines.

While taking Pentazocine and Naloxone Tablets DO NOT:

  • Drive or operate heavy machinery, until you know how Pentazocine and Naloxone Tablets affect you. Pentazocine and Naloxone Tablets can make you sleepy, dizzy, or lightheaded.
  • Drink alcohol or use prescription or over-the-counter medicines that contain alcohol. Using products containing alcohol during treatment with Pentazocine and Naloxone Tablets may cause you to overdose and die.

The possible side effects of Pentazocine and Naloxone Tablets:

  • constipation, nausea, sleepiness, vomiting, tiredness, headache, dizziness, abdominal pain. Call your healthcare provider if you have any of these symptoms and they are severe.

Get emergency medical help or call 911 right away if you have:

  •   trouble breathing, shortness of breath, fast heartbeat, chest pain, swelling of your face, tongue, or throat, extreme drowsiness, light-headedness when changing positions, feeling faint, agitation, high body temperature, trouble walking, stiff muscles, or mental changes such as confusion.

These are not all the possible side effects of Pentazocine and Naloxone Tablets. Call your healthcare provider for medical advice about side effects. You may report side effects to FDA at 1-800-FDA-1088. For more information go to dailymed.nlm.nih.gov.

For more information call Lupin Pharmaceuticals, Inc. at 1-866-403-7592.

This Medication Guide has been approved by the U.S. Food and Drug Administration.

LUPIN and the 

 are registered trademarks of Lupin Pharmaceuticals, Inc.

Manufactured by:

Novel Laboratories, Inc.

Somerset, NJ 08873

Manufactured for:

Lupin Pharmaceuticals, Inc.

Naples, FL 34108

SAP Code: 281500

Rev. 08/2025

Labor and Delivery

Opioids cross the placenta and may produce respiratory depression and psycho-physiologic effects in neonates. An opioid overdose reversal agent, such as naloxone or nalmefene, must be available for reversal of opioid-induced respiratory depression in the neonate. Pentazocine and Naloxone Tablets are not recommended for use in pregnant women during or immediately prior to labor, when other analgesic techniques are more appropriate. Opioid analgesics, including Pentazocine and Naloxone Tablets, can prolong labor through actions which temporarily reduce the strength, duration, and frequency of uterine contractions. However, this effect is not consistent and may be offset by an increased rate of cervical dilation, which tends to shorten labor. Monitor neonates exposed to opioid analgesics during labor for signs of excess sedation and respiratory depression.

Data

Animal Data

In a published report, a single dose of pentazocine administered to pregnant hamsters on Gestation Day 8 increased the incidence of neural tube defects (exencephaly and cranioschisis) at a dose of 196 mg/kg, SC (2.6-times the maximum daily human dose (MDD) of 600 mg/day pentazocine (12 tablets) on a mg/m2 basis).  No evidence of neural tube defects were reported following a dose of 98 mg/kg (1.3 times the MDD).

Animal reproduction studies testing the combination of pentazocine and naloxone during organogenesis have been completed in rats and rabbits. In rats, a pentazocine:naloxone dose of 64 mg/kg:0.64 mg/kg via oral gavage from Gestation Day 6 to 15 increased the incidences of resorptions and extra ribs (0.2 times the maximum daily human dose of pentazocine via 12 tablets on a mg/m2 basis). There were no clear treatment related effects in rabbits treated from Gestation Day 6 to 18 with a pentazocine:naloxone dose of up to 64 mg/kg:0.64 mg/kg via oral gavage (0.3-times the maximum daily human dose of pentazocine via 12 tablets on a mg/m2 basis).

Severe Hypotension

Pentazocine and Naloxone Tablets may cause severe hypotension including orthostatic hypotension and syncope in ambulatory patients.  There is increased risk in patients whose ability to maintain blood pressure has already been compromised by a reduced blood volume or concurrent administration of certain CNS depressant drugs (e.g., phenothiazines or general anesthetics) [see PRECAUTIONS; Information for Patients ]. Regularly evaluate these patients for signs of hypotension after initiating or titrating the dosage of Pentazocine and Naloxone Tablets. In patients with circulatory shock, Pentazocine and Naloxone Tablets may cause vasodilation that can further reduce cardiac output and blood pressure. Avoid the use of Pentazocine and Naloxone Tablets in patients with circulatory shock.

Controlled Substance

Pentazocine and Naloxone Tablets contain pentazocine, a Schedule IV controlled substance.

Adrenal Insufficiency

Cases of adrenal insufficiency have been reported with opioid use, more often following greater than 1 month of use. Presentation of adrenal insufficiency may include non-specific symptoms and signs including nausea, vomiting, anorexia, fatigue, weakness, dizziness, and low blood pressure. If adrenal insufficiency is suspected, confirm the diagnosis with diagnostic testing as soon as possible. If adrenal insufficiency is diagnosed, treat with physiologic replacement doses of corticosteroids. Wean the patient off of the opioid to allow adrenal function to recover and continue corticosteroid treatment until adrenal function recovers. Other opioids may be tried as some cases reported use of a different opioid without recurrence of adrenal insufficiency. The information available does not identify any particular opioids as being more likely to be associated with adrenal insufficiency.

Clinical Pharmacology (CLINICAL PHARMACOLOGY)

Mechanism of Action

Pentazocine is a mixed agonist-antagonist at opioid receptors. Pentazocine is a partial agonist at the mu opioid receptor and an agonist at the kappa opioid receptor.

Naloxone is an opioid antagonist.

Pharmacodynamics

Effects on the Central Nervous System

Pentazocine produces respiratory depression by direct action on brain stem respiratory centers. The respiratory depression involves a reduction in the responsiveness of the brain stem respiratory centers to both increases in carbon dioxide tension and electrical stimulation.

Pentazocine causes miosis, even in total darkness. Pinpoint pupils are a sign of opioid overdose but are not pathognomonic (e.g., pontine lesions of hemorrhagic or ischemic origins may produce similar findings). Marked mydriasis rather than miosis may be seen due to hypoxia in overdose situations.

Effects on the Gastrointestinal Tract and Other Smooth Muscle

Pentazocine causes a reduction in motility associated with an increase in smooth muscle tone in the antrum of the stomach and duodenum. Digestion of food in the small intestine is delayed and propulsive contractions are decreased. Propulsive peristaltic waves in the colon are decreased, while tone may be increased to the point of spasm, resulting in constipation. Other opioid- induced effects may include a reduction in biliary and pancreatic secretions, spasm of sphincter of Oddi, and transient elevations in serum amylase, and opioid-induced esophageal dysfunction (OIED).

Effects on the Cardiovascular System

Pentazocine produces peripheral vasodilation which may result in orthostatic hypotension or syncope. Manifestations of histamine release and/or peripheral vasodilation may include pruritus, flushing, red eyes, sweating, and/or orthostatic hypotension.

Effects on the Endocrine System

Opioids inhibit the secretion of adrenocorticotropic hormone (ACTH), cortisol, and luteinizing hormone (LH) in humans [see Adverse Reactions ]. They also stimulate prolactin, growth hormone (GH) secretion, and pancreatic secretion of insulin and glucagon.

Use of opioids for an extended period of time may influence the hypothalamic-pituitary-gonadal axis, leading to androgen deficiency that may manifest as low libido, impotence, erectile dysfunction, amenorrhea, or infertility. The causal role of opioids in the clinical syndrome of hypogonadism is unknown because the various medical, physical, lifestyle, and psychological stressors that may influence gonadal hormone levels have not been adequately controlled for in studies conducted to date [see Adverse Reactions ].

Effects on the Immune System

Opioids have been shown to have a variety of effects on components of the immune system. The clinical significance of these findings is unknown. Overall, the effects of opioids appear to be modestly immunosuppressive.

Concentration–Efficacy Relationships

The minimum effective analgesic concentration will vary widely among patients, especially among patients who have been previously treated with opioid agonist. The minimum effective analgesic concentration of pentazocine for any individual patient may increase over time due to an increase in pain, the development of a new pain syndrome, and/or the development of analgesic tolerance [see Dosage and Administration ].

Concentration–Adverse Reaction Relationships

There is a relationship between increasing pentazocine plasma concentration and increasing frequency of dose-related opioid adverse reactions such as nausea, vomiting, CNS effects, and respiratory depression. In opioid-tolerant patients, the situation may be altered by the development of tolerance to opioid-related adverse reactions [see Dosage and Administration ].

Opioid Antagonist Effects

Pentazocine weakly antagonizes the analgesic effects of morphine, meperidine, and phenazocine; in addition, it produces incomplete reversal of cardiovascular, respiratory, and behavioral depression induced by morphine and meperidine. Pentazocine has about 1/50 the antagonistic activity of nalorphine. It also has sedative activity.

Naloxone when administered orally at 0.5 mg has no pharmacologic activity. Naloxone hydrochloride administered parenterally at the same dose is an antagonist to pentazocine and a pure antagonist to narcotic analgesics.

Pentazocine and Naloxone Tablets are a potent analgesic when administered orally. However, the presence of naloxone in Pentazocine and Naloxone Tablets is intended to prevent the effect of pentazocine if the product is misused by injection.

Studies in animals indicate that the presence of naloxone does not affect pentazocine analgesia when the combination is given orally. If the combination is given by injection the action of pentazocine is neutralized.

Pharmacokinetics

Onset of significant analgesia usually occurs between 15 and 30 minutes after oral administration, and duration of action is usually three hours or longer.

Pentazocine is well absorbed from the gastrointestinal tract. Concentrations in plasma coincide closely with the onset, duration, and intensity of analgesia. The time to mean peak concentration in 24 normal volunteers was 1.7 hours (range 0.5 to 4 hours) after oral administration and the mean plasma elimination half-life was 3.6 hours (range 1.5 to 10 hours).

Pentazocine is metabolized in the liver and excreted primarily in the urine. The products of the oxidation of the terminal methyl groups and glucuronide conjugates are excreted by the kidney. Elimination of approximately 60% of the total dose occurs within 24 hours. Pentazocine passes into the fetal circulation.

Cardiovascular Disease

Pentazocine can elevate blood pressure, possibly through the release of endogenous catecholamines. Particular caution should be exercised in conditions where alterations in vascular resistance and blood pressure might be particularly undesirable, such as in the acute phase of myocardial infarction.

Pentazocine and Naloxone Tablets should be used with caution in patients with myocardial infarction who have nausea or vomiting.

Acute Cns Manifestations (Acute CNS Manifestations)

Patients receiving therapeutic doses of Pentazocine and Naloxone Tablets have experienced hallucinations (usually visual), disorientation, and confusion which have cleared spontaneously within a period of hours. The mechanism of this reaction is not known. Such patients should be very closely observed and vital signs checked. If the drug is reinstituted, it should be done with caution since these acute CNS manifestations may recur.

The amount of naloxone present in Pentazocine and Naloxone Tablets (0.5 mg per tablet) has no action when taken orally and will not interfere with the pharmacologic action of pentazocine. However, this amount of naloxone given by injection has profound antagonistic action to narcotic analgesics.

Severe, even lethal, consequences may result from misuse of tablets by injection either alone or in combination with other substances, such as pulmonary emboli, vascular occlusion, ulceration and abscesses, and withdrawal symptoms in narcotic dependent individuals.

Addiction, Abuse, and Misuse

Pentazocine and Naloxone Tablets contain pentazocine, a Schedule IV controlled substance. As an opioid, Pentazocine and Naloxone Tablets expose users to the risks of addiction, abuse, and misuse [see DRUG ABUSE AND DEPENDENCE ].

Although the risk of addiction in any individual is unknown, it can occur in patients appropriately prescribed Pentazocine and Naloxone Tablets. Addiction can occur at recommended dosages and if the drug is misused or abused. The risk of opioid-related overdose or overdose-related death is increased with higher opioid doses, and this risk persists over the course of therapy. In postmarketing studies, addiction, abuse, misuse, and fatal and non-fatal opioid overdose were observed in patients with long-term opioid use [see ADVERSE REACTIONS; Postmarketing Experience].

Assess each patient's risk for opioid addiction, abuse, or misuse prior to prescribing Pentazocine and Naloxone Tablets, and reassess all patients receiving Pentazocine and Naloxone Tablets for the development of these behaviors and conditions. Risks are increased in patients with a personal or family history of substance abuse (including drug or alcohol abuse or addiction) or mental illness (e.g., major depression). The potential for these risks should not, however, prevent the proper management of pain in any given patient. Patients at increased risk may be prescribed opioids such as Pentazocine and Naloxone Tablets, but use in such patients necessitates intensive counseling about the risks and proper use of Pentazocine and Naloxone Tablets along with frequent reevaluation for signs of addiction, abuse, and misuse. Consider prescribing an opioid overdose reversal agent [see WARNINGS, DOSAGE AND ADMINSTRATION].

Opioids are sought for nonmedical use and are subject to diversion from legitimate prescribed use. Consider these risks when prescribing or dispensing Pentazocine and Naloxone Tablets. Strategies to reduce these risks include prescribing the drug in the smallest appropriate quantity and advising the patient on careful storage of the drug during the course of treatment and proper disposal of unused drug.

Contact local state professional licensing board or state-controlled substances authority for information on how to prevent and detect abuse or diversion of this product.

Impaired Renal Or Hepatic Function (Impaired Renal or Hepatic Function)

Decreased metabolism of pentazocine by the liver in extensive liver disease may predispose to accentuation of side effects. Although laboratory tests have not indicated that pentazocine causes or increases renal or hepatic impairment, the drug should be administered with caution to patients with such impairment.

Information for Patients/caregivers (INFORMATION FOR PATIENTS/CAREGIVERS)

Information for Patients

Advise the patient to read the FDA-approved patient labeling (Medication Guide).

 

Storage and Disposal

Because of the risks associated with accidental ingestion, misuse, and abuse, advise patients to store Pentazocine and Naloxone Tablets securely, out of sight and reach of children, and in a location not accessible by others, including visitors to the home. Inform patients that leaving Pentazocine and Naloxone Tablets unsecured can pose a deadly risk to others in the home [see WARNINGS, DRUG ABUSE AND DEPENDENCE].

Advise patients and caregivers that when medicines are no longer needed, they should be disposed of promptly. Expired, unwanted, or unused Pentazocine and Naloxone Tablets should be disposed of by flushing the unused medication down the toilet if a drug take-back option is not readily available. Inform patients that they can visit www.fda.gov/drugdisposal for a complete list of medicines recommended for disposal by flushing, as well as additional information on disposal of unused medicines.

Addiction, Abuse, and Misuse

Inform patients that the use of Pentazocine and Naloxone Tablets, even when taken as recommended, can result in addiction, abuse, and misuse, which can lead to overdose and death [see WARNINGS]. Instruct patients not to share Pentazocine and Naloxone Tablets with others and to take steps to protect Pentazocine and Naloxone Tablets from theft or misuse.

Life-Threatening Respiratory Depression

Inform patients of the risk of life-threatening respiratory depression, including information that the risk is greatest when starting Pentazocine and Naloxone Tablets or when the dosage is increased, and that it can occur even at recommended dosages [see WARNINGS]. Advise patients how to recognize respiratory depression and to seek medical attention if breathing difficulties develop.

Educate patients and caregivers on how to recognize respiratory depression and emphasize the importance of calling 911 or getting emergency medical help right away in the event of a known or suspected overdose [see WARNINGS, Life Threatening Respiratory Depression].

Accidental Ingestion

Inform patients that accidental ingestion, especially by children, may result in respiratory depression or death [see WARNINGS].

Interactions with Benzodiazepines and Other CNS Depressants

Inform patients and caregivers that potentially fatal additive effects may occur if Pentazocine and Naloxone Tablets are used with benzodiazepines or other CNS depressants, including alcohol, and not to use these drugs concomitantly unless supervised by a healthcare provider [see WARNINGS, PRECAUTIONS; DRUG INTERACTIONS].

Patient Access to an Opioid Overdose Reversal Agent for the Emergency Treatment of Opioid Overdose

Inform patients and caregivers about opioid overdose reversal agents (e.g., naloxone, nalmefene). Discuss the importance of having access to an opioid overdose reversal agent, especially if the patient has risk factors for overdose (e.g., concomitant use of CNS depressants, a history of opioid use disorder, or prior opioid overdose) or if there are household members

(including children) or other close contacts at risk for accidental ingestion or opioid overdose.

Discuss with the patient the options for obtaining an opioid overdose reversal agent (e.g., prescription, over-the-counter, or as part of a community-based program) [see WARNINGS, DOSAGE AND ADMINISTRATION].

Educate patients and caregivers on how to recognize the signs and symptoms of an overdose.

Explain to patients and caregivers that effects of opioid overdose reversal agents like naloxone and nalmefene are temporary, and that they must call 911 or get emergency medical help right away in all cases of known or suspected opioid overdose, even if an opioid overdose reversal

agent is administered [see OVERDOSAGE].

Advise patients and caregivers:

  • how to treat with the overdose reversal agent in the event of an opioid overdose
  • to tell family and friends about the opioid overdose reversal agent, and to keep it in a place where family and friends can access it in an emergency.
  • to read the Patient Information (or other educational material) that will come with their opioid overdose reversal agent. Emphasize the importance of doing this before an opioid emergency happens, so the patient and caregiver will know what to do.

Hyperalgesia and Allodynia

Inform patients and caregivers not to increase opioid dosage without first consulting a clinician. Advise patients to seek medical attention if they experience symptoms of hyperalgesia, including worsening pain, increased sensitivity to pain, or new pain [see Warnings; Adverse Reactions].

Serotonin Syndrome

Inform patients that opioids could cause a rare but potentially life-threatening condition resulting from concomitant administration of serotonergic drugs. Warn patients of the symptoms of serotonin syndrome and to seek medical attention right away if symptoms develop. Instruct patients to inform their healthcare provider if they are taking, or plan to take serotonergic medications [see PRECAUTIONS; DRUG INTERACTIONS].

Important Administration Instructions

Instruct patients how to properly take Pentazocine and Naloxone Tablets.

  • Advise patients not to adjust the dose of Pentazocine and Naloxone Tablets without consulting with a physician or other healthcare professional.
  • If patients have been receiving treatment with Pentazocine and Naloxone Tablets for more than a few weeks and cessation of therapy is indicated, counsel them on the importance of safely tapering the dose as abruptly discontinuation of the medication could precipitate withdrawal symptoms. Provide a dose schedule to accomplish a gradual discontinuation of the medication. [see DOSAGE AND ADMINISTRATION]

Important Discontinuation Instructions

In order to avoid developing withdrawal symptoms, instruct patients not to discontinue Pentazocine and Naloxone Tablets without first discussing a tapering plan with the prescriber [see DOSAGE AND ADMINISTRATION].

Driving or Operating Heavy Machinery

Inform patients that Pentazocine and Naloxone Tablets may impair the ability to perform potentially hazardous activities such as driving a car or operating heavy machinery. Advise patients not to perform such tasks until they know how they will react to the medication [see PRECAUTIONS].

Constipation

Advise patients of the potential for severe constipation, including management instructions and when to seek medical attention [[see ADVERSE REACTIONS, CLINICAL PHARMACOLOGY ].

Adrenal Insufficiency

Inform patients that opioids could cause adrenal insufficiency, a potentially life threatening condition. Adrenal insufficiency may present with non-specific symptoms and signs such as nausea, vomiting, anorexia, fatigue, weakness, dizziness, and low blood pressure. Advise patients to seek medical attention if they experience a constellation of these symptoms [see WARNINGS].

Hypotension

Inform patients that Pentazocine and Naloxone Tablets may cause orthostatic hypotension and syncope. Instruct patients how to recognize symptoms of low blood pressure and how to reduce the risk of serious consequences should hypotension occur (e.g., sit or lie down, carefully rise from a sitting or lying position) [see WARNINGS].

Anaphylaxis

Inform patients that anaphylaxis have been reported with ingredients contained in Pentazocine and Naloxone Tablets. Advise patients how to recognize such a reaction and when to seek medical attention [see Contraindications, Adverse Reactions ].

Pregnancy

Neonatal Opioid Withdrawal Syndrome (NOWS)

Inform female patients of reproductive potential that use of Pentazocine and Naloxone Tablets for an extended period of time during pregnancy can result in neonatal opioid withdrawal syndrome, which may be life-threatening if not recognized and treated [see WARNINGS, PRECAUTIONS; Pregnancy]

Embryo-Fetal Toxicity

Inform female patients of reproductive potential that Pentazocine and Naloxone Tablets can cause fetal harm and to inform the healthcare provider of a known or suspected pregnancy [see PRECAUTIONS; Pregnancy].

Lactation

Advise nursing mothers to carefully observe infants for increased sleepiness (more than usual), breathing difficulties, or limpness. Instruct nursing mothers to seek immediate medical care if they notice these signs [see PRECAUTIONS; Nursing Mothers].

Package Label.principal Display Panel (PACKAGE LABEL.PRINCIPAL DISPLAY PANEL)

Pentazocine Hydrochloride and Naloxone Hydrochloride Tablets, USP CIV

Container Label-100 count

Risk of Gastrointestinal Complications

Pentazocine and Naloxone Tablets are contraindicated in patients with known or suspected gastrointestinal obstruction, including paralytic ileus.

The administration of Pentazocine and Naloxone Tablets or other opioids may obscure the diagnosis or clinical course in patients with acute abdominal conditions.

Pentazocine and Naloxone Tablets may cause spasm of the sphincter of Oddi. Opioids may cause increases in serum amylase. Monitor patients with biliary tract disease, including acute pancreatitis, for worsening symptoms.

Cases of opioid-induced esophageal dysfunction (OIED) have been reported in patients taking opioids. The risk of OIED may increase as the dose and/or duration of opioids increases. Regularly evaluate patients for signs and symptoms of OIED (e.g., dysphagia, regurgitation, non-cardiac chest pain), and if necessary, adjust opioid therapy as clinically appropriate.

Life Threatening Respiratory Depression (Life-Threatening Respiratory Depression)

Serious, life-threatening, or fatal respiratory depression has been reported with the use of opioids, even when used as recommended. Respiratory depression, if not immediately recognized and treated, may lead to respiratory arrest and death. Management of respiratory depression may include close observation, supportive measures, and use of opioid antagonists, depending on the patient's clinical status [see OVERDOSAGE ]. Carbon dioxide (CO2) retention from opioid-induced respiratory depression can exacerbate the sedating effects of opioids.

While serious, life-threatening, or fatal respiratory depression can occur at any time during the use of Pentazocine and Naloxone Tablets, the risk is greatest during the initiation of therapy or following a dosage increase.

To reduce the risk of respiratory depression, proper dosing and titration of Pentazocine and Naloxone Tablets are essential [see DOSAGE AND ADMINISTRATION ]. Overestimating the Pentazocine and Naloxone Tablets dosage when converting patients from another opioid product can result in a fatal overdose with the first dose.

Accidental ingestion of even one dose of Pentazocine and Naloxone Tablets, especially by children, can result in respiratory depression and death due to an overdose of pentazocine.

Educate patients and caregivers on how to recognize respiratory depression and emphasize the importance of calling 911 or getting emergency medical help right away in the event of a known or suspected overdose [see PRECAUTIONS , Information for Patients].

Neonatal Opioid Withdrawal Syndrome Nows (Neonatal Opioid Withdrawal Syndrome NOWS)

Use of Pentazocine and Naloxone Tablets for an extended period of time during pregnancy can result in withdrawal in the neonate. Neonatal opioid withdrawal syndrome, unlike opioid withdrawal syndrome in adults, may be life-threatening if not recognized and treated, and requires management according to protocols developed by neonatology experts. Observe newborns for signs of neonatal opioid withdrawal syndrome and manage accordingly. Advise pregnant women using opioids for an extended period of time of the risk of neonatal opioid withdrawal syndrome and ensure that appropriate treatment will be available [see PRECAUTIONS; Information for Patients, Pregnancy ].

Risks of Driving and Operating Machinery

Pentazocine and Naloxone Tablets may impair the mental or physical abilities needed to perform potentially hazardous activities such as driving a car or operating machinery.  Warn patients not to drive or operate dangerous machinery unless they are tolerant to the effects of Pentazocine and Naloxone Tablets and know how they will react to the medication [see Patient Counseling Information].

Opioid Induced Hyperalgesia and Allodynia

Opioid-Induced Hyperalgesia (OIH) occurs when an opioid analgesic paradoxically causes an increase in pain, or an increase in sensitivity to pain. This condition differs from tolerance, which is the need for increasing doses of opioids to maintain a defined effect [see Dependence]. Symptoms of OIH include (but may not be limited to) increased levels of pain upon opioid dosage increase, decreased levels of pain upon opioid dosage decrease, or pain from ordinarily non-painful stimuli (allodynia). These symptoms may suggest OIH only if there is no evidence of underlying disease progression, opioid tolerance, opioid withdrawal, or addictive behavior.

Cases of OIH have been reported, both with short-term and longer-term use of opioid analgesics. Though the mechanism of OIH is not fully understood, multiple biochemical pathways have been implicated. Medical literature suggests a strong biologic plausibility between opioid analgesics and OIH and allodynia. If a patient is suspected to be experiencing OIH, carefully consider appropriately decreasing the dose of the current opioid analgesic, or opioid rotation (safely switching the patient to a different opioid moiety) [see Dosage and Administration, Warning].

Increased Risk of Seizures in Patients With Seizure Disorders (Increased Risk of Seizures in Patients with Seizure Disorders)

The pentazocine in Pentazocine and Naloxone Tablets may increase the frequency of seizures in patients with seizure disorders, and may increase the risk of seizures occurring in other clinical settings associated with seizures. Regularly evaluate patients with a history of seizure disorders for worsened seizure control during Pentazocine and Naloxone Tablets therapy.

Opioid Analgesic Risk Evaluation and Mitigation Strategy (rems) (Opioid Analgesic Risk Evaluation and Mitigation Strategy (REMS))

To ensure that the benefits of opioid analgesics outweigh the risks of addiction, abuse, and misuse, the Food and Drug Administration (FDA) has required a Risk Evaluation and Mitigation Strategy (REMS) for these products. Under the requirements of the REMS, drug companies with approved opioid analgesic products must make REMS-compliant education programs available to healthcare providers. Healthcare providers are strongly encouraged to do all of the following:

  •   Complete a REMS-compliant education program offered by an accredited provider of continuing education (CE) or another education program that includes all the elements of the FDA Education Blueprint for Health Care Providers Involved in the Management or Support of Patients with Pain.
  •   Discuss the safe use, serious risks, and proper storage and disposal of opioid analgesics with patients and/or their caregivers every time these medicines are prescribed. The Patient Counseling Guide (PCG) can be obtained at this link: www.fda.gov/OpioidAnalgesicREMSPCG.
  •   Emphasize to patients and their caregivers the importance of reading the Medication Guide that they will receive from their pharmacist every time an opioid analgesic is dispensed to them.
  •   Consider using other tools to improve patient, household, and community safety, such as patient-prescriber agreements that reinforce patient-prescriber responsibilities.

To obtain further information on the opioid analgesic REMS and for a list of accredited REMS CME/CE, call 800-503-0784, or log on to www.opioidanalgesicrems.com. The FDA Blueprint can be found at www.fda.gov/OpioidAnalgesicREMSBlueprint.

Risks From Concomitant Use With Benzodiazepines Or Other Cns Depressants (Risks from Concomitant Use with Benzodiazepines or Other CNS Depressants)

Profound sedation, respiratory depression, coma, and death may result from the concomitant use of Pentazocine and Naloxone Tablets with benzodiazepines and/or other CNS depressants, including alcohol (e.g., non- benzodiazepine sedatives/hypnotics, anxiolytics, tranquilizers, muscle relaxants, general anesthetics, antipsychotics, gabapentinoids, other opioids). Because of these risks, reserve concomitant prescribing of these drugs for use in patients for whom alternative treatment options are inadequate.

Observational studies have demonstrated that concomitant use of opioid analgesics and benzodiazepines increases the risk of drug-related mortality compared to use of opioid analgesics alone. Because of similar pharmacological properties, it is reasonable to expect similar risk with the concomitant use of other CNS depressant drugs with opioid analgesics [see PRECAUTIONS, DRUG INTERACTIONS ].

If the decision is made to prescribe a benzodiazepine or other CNS depressant concomitantly with an opioid analgesic, prescribe the lowest effective dosages and minimum durations of concomitant use. In patients already receiving an opioid analgesic, prescribe a lower initial dose of the benzodiazepine or other CNS depressant than indicated in the absence of an opioid, and titrate based on clinical response. If an opioid analgesic is initiated in a patient already taking a benzodiazepine or other CNS depressant, prescribe a lower initial dose of the opioid analgesic, and titrate based on clinical response. Inform patients and caregivers of this potential interaction, educate them on the signs and symptoms of respiratory depression (including sedation).

If concomitant use is warranted, consider prescribing an opioid overdose reversal agent opioid overdose [see WARNINGS, DOSAGE AND ADMISTRATION, and OVERDOSE].

Advise both patients and caregivers about the risks of respiratory depression and sedation when Pentazocine and Naloxone Tablets is used with benzodiazepines or other CNS depressants (including alcohol and illicit drugs). Advise patients not to drive or operate heavy machinery until the effects of concomitant use of the benzodiazepine or other CNS depressant have been determined. Screen patients for risk of substance use disorders, including opioid abuse and misuse, and warn them of the risk for overdose and death associated with the use of additional CNS depressants including alcohol and illicit drugs [see PRECAUTIONS; Information for Patients, Drug Interactions].

Patient Access to An Opioid Overdose Reversal Agent for the Emergency Treatment of Opioid Overdose (Patient Access to an Opioid Overdose Reversal Agent for the Emergency Treatment of Opioid Overdose)

Inform patients and caregivers about opioid overdose reversal agents (e.g., naloxone, nalmefene). Discuss the importance of having access to an opioid overdose reversal agent, especially if the patient has risk factors for overdose (e.g., concomitant use of CNS depressants, a history of opioid use disorder, or prior opioid overdose) or if there are household members

(including children) or other close contacts at risk for accidental ingestion or opioid overdose. The presence of risk factors for overdose should not prevent the management of pain in any patient [see WARNINGS].

Discuss the options for obtaining an opioid overdose reversal agent (e.g., prescription, over-the-counter, or as part of a community-based program).

There are important differences among the opioid overdose reversal agents, such as route of administration, product strength, approved patient age range, and pharmacokinetics. Be familiar with these differences, as outlined in the approved labeling for those products, prior to recommending or prescribing such an agent.

Educate patients and caregivers on how to recognize respiratory depression, and how to use an opioid overdose reversal agent for the emergency treatment of opioid overdose. Emphasize the importance of calling 911 or getting emergency medical help, even if an opioid overdose reversal agent is administered [see WARNINGS, OVERDOSAGE].

Risks of Use in Patients With Increased Intracranial Pressure, Brain Tumors, Head Injury, Or Impaired Consciousness (Risks of Use in Patients with Increased Intracranial Pressure, Brain Tumors, Head Injury, or Impaired Consciousness)

In patients who may be susceptible to the intracranial effects of CO2 retention (e.g., those with evidence of increased intracranial pressure or brain tumors), Pentazocine and Naloxone Tablets may reduce respiratory drive, and the resultant CO2 retention can further increase intracranial pressure. Regularly evaluate such patients for signs of sedation and respiratory depression, particularly when initiating therapy with Pentazocine and Naloxone Tablets.

Opioids may also obscure the clinical course in a patient with a head injury. Avoid the use of Pentazocine and Naloxone Tablets in patients with impaired consciousness or coma.

Life Threatening Respiratory Depression in Patients With Chronic Pulmonary Disease Or in Elderly, Cachectic, Or Debilitated Patients (Life-Threatening Respiratory Depression in Patients with Chronic Pulmonary Disease or in Elderly, Cachectic, or Debilitated Patients)

The use of Pentazocine and Naloxone Tablets in patients with acute or severe bronchial asthma in an unmonitored setting or in the absence of resuscitative equipment is contraindicated.

Patients with Chronic Pulmonary Disease: Pentazocine and naloxone-treated patients with significant chronic obstructive pulmonary disease or cor pulmonale, and those with a substantially decreased respiratory reserve, hypoxia, hypercapnia, or pre-existing respiratory depression are at increased risk of decreased respiratory drive including apnea, even at recommended dosages of Pentazocine and Naloxone Tablets [see WARNINGS ].

Elderly, Cachectic, or Debilitated Patients: Life-threatening respiratory depression is more likely to occur in elderly, cachectic, or debilitated patients because they may have altered pharmacokinetics or altered clearance compared to younger, healthier patients [see WARNINGS ].

Regularly evaluate patients, particularly when initiating and titrating Pentazocine and Naloxone Tablets and when Pentazocine and Naloxone Tablets are given concomitantly with other drugs that depress respiration [see WARNINGS ]. Alternatively, consider the use of non-opioid analgesics in these patients.


Advanced Ingredient Data


Raw Label Data

All Sections (JSON)