Trandolapril Tablets Usp

Trandolapril Tablets Usp
SPL v7
SPL
SPL Set ID 0107d19a-b43a-4a36-8b8c-4dfc247630e9
Route
ORAL
Published
Effective Date 2024-04-19
Document Type 34391-3 Human Prescription Drug Label

Drug Facts

Composition & Product

Active Ingredients
Trandolaprilat (1 mg)
Inactive Ingredients
Lactose Monohydrate Starch, Corn Croscarmellose Sodium Hypromellose 2910 (6 Mpa.s) Povidone K30 Sodium Stearyl Fumarate Ferric Oxide Red Ferric Oxide Yellow

Identifiers & Packaging

Pill Appearance
Imprint: E;37 Shape: round Color: pink Color: yellow Size: 7 mm Size: 8 mm Score: 1
Marketing Status
ANDA Active Since 2007-06-12

Description

When pregnancy is detected, discontinue trandolapril as soon as possible. Drugs that act directly on the renin-angiotensin system can cause injury and death to the developing fetus. (See WARNINGS: Fetal Toxicity .)

Indications and Usage

Hypertension Trandolapril tablets USP are indicated for the treatment of hypertension. They may be used alone or in combination with other antihypertensive medication such as hydrochlorothiazide. Heart Failure Post Myocardial Infarction or Left-Ventricular Dysfunction Post Myocardial Infarction Trandolapril tablets USP are indicated in stable patients who have evidence of left-ventricular systolic dysfunction (identified by wall motion abnormalities) or who are symptomatic from congestive heart failure within the first few days after sustaining acute myocardial infarction. Administration of trandolapril to Caucasian patients has been shown to decrease the risk of death (principally cardiovascular death) and to decrease the risk of heart failure-related hospitalization (see  CLINICAL PHARMACOLOGY -Heart Failure or Left-Ventricular Dysfunction Post Myocardial Infarction for details of the survival trial).

Dosage and Administration

Hypertension The recommended initial dosage of trandolapril tablets for patients not receiving a diuretic is 1 mg once daily in non-black patients and 2 mg in black patients. Dosage should be adjusted according to the blood pressure response. Generally, dosage adjustments should be made at intervals of at least 1 week. Most patients have required dosages of 2 to 4 mg once daily. There is little clinical experience with doses above 8 mg. Patients inadequately treated with once-daily dosing at 4 mg may be treated with twice-daily dosing. If blood pressure is not adequately controlled with trandolapril tablets monotherapy, a diuretic may be added. In patients who are currently being treated with a diuretic, symptomatic hypotension occasionally can occur following the initial dose of trandolapril tablets. To reduce the likelihood of hypotension, the diuretic should, if possible, be discontinued two to three days prior to beginning therapy with trandolapril tablets. (See WARNINGS . ) Then, if blood pressure is not controlled with trandolapril tablets alone, diuretic therapy should be resumed. If the diuretic cannot be discontinued, an initial dose of 0.5 mg trandolapril tablets should be used with careful medical supervision for several hours until blood pressure has stabilized. The dosage should subsequently be titrated (as described above) to the optimal response. (See WARNINGS ,  PRECAUTIONS and Drug Interactions . ) Concomitant administration of trandolapril tablets with potassium supplements, potassium salt substitutes, or potassium sparing diuretics can lead to increases of serum potassium. (See PRECAUTIONS . ) Heart Failure Post Myocardial Infarction or Left-Ventricular Dysfunction Post Myocardial Infarction The recommended starting dose is 1 mg, once daily. Following the initial dose, all patients should be titrated (as tolerated) toward a target dose of 4 mg, once daily. If a 4 mg dose is not tolerated, patients can continue therapy with the greatest tolerated dose.

Contraindications

Trandolapril tablets are contraindicated in patients who are hypersensitive to this product, in patients with hereditary/idiopathic angioedema and in patients with a history of angioedema related to previous treatment with an ACE inhibitor. Do not co-administer aliskiren with trandolapril in patients with diabetes (see PRECAUTIONS, Drug Interactions ). Trandolapril tablets are contraindicated in combination with a neprilysin inhibitor (e.g., sacubitril). Do not administer trandolapril tablets within 36 hours of switching to or from sacubitril/valsartan, a neprilysin inhibitor (see WARNINGS ).

Adverse Reactions

The safety experience in U.S. placebo-controlled trials included 1069 hypertensive patients, of whom 832 received trandolapril. Nearly 200 hypertensive patients received trandolapril for over one year in open-label trials.  In controlled trials, withdrawals for adverse events were 2.1% on placebo and 1.4% on trandolapril. Adverse events considered at least possibly related to treatment occurring in 1% of trandolapril-treated patients and more common on trandolapril than placebo, pooled for all doses, are shown below, together with the frequency of discontinuation of treatment because of these events. ADVERSE EVENTS IN PLACEBO-CONTROLLED HYPERTENSION TRIALS   Occurring at 1% or greater   TRANDOLAPRIL (N=832) % Incidence (% Discontinuance) PLACEBO (N=237) % Incidence (% Discontinuance) Cough 1.9 (0.1) 0.4 (0.4) Dizziness 1.3 (0.2) 0.4 (0.4) Diarrhea 1 (0) 0.4 (0) Headache and fatigue were all seen in more than 1% of trandolapril-treated patients but were more frequently seen on placebo. Adverse events were not usually persistent or difficult to manage. Left Ventricular Dysfunction Post Myocardial Infarction Adverse reactions related to trandolapril occurring at a rate greater than that observed in placebo-treated patients with left ventricular dysfunction, are shown below. The incidences represent the experiences from the TRACE study. The follow-up time was between 24 and 50 months for this study. Percentage of Patients with Adverse Events Greater Than Placebo Placebo-Controlled (TRACE) Mortality Study Adverse Event   Trandolapril N=876 Placebo N=873 Cough 35 22 Dizziness 23 17 Hypotension 11 6.8 Elevated serum uric acid 15 13 Elevated BUN 9 7.6 PICA or CABG 7.3 6.1 Dyspepsia 6.4 6 Syncope 5.9 3.3 Hyperkalemia 5.3 2.8 Bradycardia 4.7 4.4 Hypocalcemia 4.7 3.9 Myalgia 4.7 3.1 Elevated creatinine 4.7 2.4 Gastritis 4.2 3.6 Cardiogenic shock 3.8 < 2 Intermittent claudication 3.8 < 2 Stroke 3.3 3.2 Asthenia 3.3 2.6 Clinical adverse experiences possibly or probably related or of uncertain relationship to therapy occurring in 0.3% to 1% (except as noted) of the patients treated with trandolapril (with or without concomitant calcium ion antagonist or diuretic) in controlled or uncontrolled trials (N=1134) and less frequent, clinically significant events seen in clinical trials or post-marketing experience include (listed by body system): General Body Function Chest pain. Cardiovascular AV first degree block, bradycardia, edema, flushing, and palpitations. Central Nervous System Drowsiness, insomnia, paresthesia, vertigo. Dermatologic Pruritus, rash, pemphigus. Eye, Ear, Nose, Throat Epistaxis, throat inflammation, upper respiratory tract infection. Emotional, Mental, Sexual States Anxiety, impotence, decreased libido. Gastrointestinal Abdominal distention, abdominal pain/cramps, constipation, dyspepsia, diarrhea, vomiting, nausea. Hemopoietic Decreased leukocytes, decreased neutrophils. Metabolism and Endocrine Increased liver enzymes including SGPT (ALT). Musculoskeletal System Extremity pain, muscle cramps, gout. Pulmonary Dyspnea. Postmarketing The following adverse reactions were identified during post approval use of trandolapril. Because these reactions are reported voluntarily from a population of uncertain size, it is not always possible to reliably estimate their frequency or establish a causal relationship to drug exposure. General Body Function Malaise, fever. Cardiovascular Myocardial infarction, myocardial ischemia, angina pectoris, cardiac failure, ventricular tachycardia, tachycardia, transient ischemic attack, arrhythmia. Central Nervous System Cerebral hemorrhage. Dermatologic Alopecia, sweating, Stevens-Johnson syndrome and toxic epidermal necrolysis. Emotional, Mental, Sexual States Hallucination, depression. Gastrointestinal Dry mouth, pancreatitis, jaundice and hepatitis. Hemopoietic Agranulocytosis, pancytopenia. Metabolism and Endocrine Increased SGOT (AST). Pulmonary Bronchitis. Renal and Urinary Renal failure.

Drug Interactions

Dual Blockade of the Renin-Angiotensin System (RAS) Dual blockade of the RAS with angiotensin receptor blockers, ACE inhibitors, or aliskiren is associated with increased risks of hypotension, hyperkalemia, and changes in renal function (including acute renal failure) compared to monotherapy. Most patients receiving the combination of two RAS inhibitors do not obtain any additional benefit compared to monotherapy. In general, avoid combined use of RAS inhibitors. Closely monitor blood pressure, renal function and electrolytes in patients on trandolapril and other agents that affect the RAS. Do not co-administer aliskiren with trandolapril  in patients with diabetes. Avoid use of aliskiren with trandolapril in patients with renal impairment (GFR <60 mL/min). Concomitant Diuretic Therapy As with other ACE inhibitors, patients on diuretics, especially those on recently instituted diuretic therapy, may experience an excessive reduction of blood pressure after initiation of therapy with trandolapril. The possibility of exacerbation of hypotensive effects with trandolapril may be minimized by either discontinuing the diuretic or cautiously increasing salt intake prior to initiation of treatment with trandolapril. If it is not possible to discontinue the diuretic, the starting dose of trandolapril should be reduced. (See DOSAGE AND ADMINISTRATION . ) Agents Increasing Serum Potassium Trandolapril can attenuate potassium loss caused by thiazide diuretics and increase serum potassium when used alone. Use of potassium-sparing diuretics (spironolactone, triamterene, or amiloride), potassium supplements, or potassium-containing salt substitutes concomitantly with ACE inhibitors can increase the risk of hyperkalemia. If concomitant use of such agents is indicated, they should be used with caution and with appropriate monitoring of serum potassium. (See PRECAUTIONS . ) Antidiabetic Agents   Concomitant use of ACE inhibitors and antidiabetic medicines (insulin or oral hypoglycemic agents) may cause an increased blood glucose lowering effect with greater risk of hypoglycemia. Lithium Increased serum lithium levels and symptoms of lithium toxicity have been reported in patients receiving concomitant lithium and ACE inhibitor therapy. These drugs should be coadministered with caution, and frequent monitoring of serum lithium levels is recommended.  If a diuretic is also used, the risk of lithium toxicity may be increased. Non-Steroidal Anti-Inflammatory Agents including Selective Cyclooxygenase-2 Inhibitors (COX-2 Inhibitors) In patients who are elderly, volume-depleted (including those on diuretic therapy), or with compromised renal function, co-administration of NSAIDs, including selective COX-2 inhibitors, with ACE inhibitors, including trandolapril, may result in deterioration of renal function, including possible acute renal failure. These effects are usually reversible. Monitor renal function periodically in patients receiving trandolapril and NSAID therapy. The antihypertensive effect of ACE inhibitors, including trandolapril may be attenuated by NSAIDs. Gold Nitritoid reactions (symptoms include facial flushing, nausea, vomiting and hypotension) have been reported rarely in patients on therapy with injectable gold (sodium aurothiomalate) and concomitant ACE inhibitor therapy including trandolapril. Mammalian Target of Rapamycin (mTOR) Inhibitors Patients taking concomitant mTOR inhibitor (e.g., temsirolimus, sirolimus, everolimus) therapy may be at increased risk for angioedema (see Warnings – Head and Neck Angioedema). Neprilysin Inhibitor Patients taking concomitant neprilysin inhibitors (e.g., sacubitril) may be at increased risk for angioedema (see WARNINGS ). Other No clinically significant pharmacokinetic interaction has been found between trandolaprilat and food, cimetidine, digoxin, or furosemide. The anticoagulant effect of warfarin was not significantly changed by trandolapril. The hypotensive effect of certain inhalation anesthetics may be enhanced by ACE inhibitors including trandolapril. (See PRECAUTIONS-Surgery/Anesthesia . )

How Supplied

Trandolapril tablets USP are supplied as follows: Trandolapril Tablets USP 1 mg are salmon colored, round, biconvex, uncoated tablets debossed with ‘E’ on upper side of the bisector line on one side and ‘35’ on the other side.                      Bottles of 100               NDC 57237-089-01                       Trandolapril Tablets USP 2 mg are yellow colored, round, biconvex, uncoated tablets debossed with ‘E’ on one side and ‘36’ on the other side.                      Bottles of 100               NDC 57237-090-01                  Trandolapril Tablets USP 4 mg are rose colored, round, biconvex, uncoated tablets debossed with ‘E’ on one side and ‘37’ on the other side.                      Bottles of 100               NDC 57237-091-01                        Dispense in well-closed container with safety closure. Store at 20° to 25°C (68° to 77°F); excursions permitted to 15° to 30°C (59° to 86°F) [see USP Controlled Room Temperature]. Distributed by: Rising Health, LLC Saddle Brook, NJ 07663 Made in India Code: TS/DRUGS/19/1993 Revised: 01/2018


Medication Information

Indications and Usage

Hypertension

Trandolapril tablets USP are indicated for the treatment of hypertension. They may be used alone or in combination with other antihypertensive medication such as hydrochlorothiazide.



Heart Failure Post Myocardial Infarction or Left-Ventricular Dysfunction Post Myocardial Infarction



Trandolapril tablets USP are indicated in stable patients who have evidence of left-ventricular systolic dysfunction (identified by wall motion abnormalities) or who are symptomatic from congestive heart failure within the first few days after sustaining acute myocardial infarction. Administration of trandolapril to Caucasian patients has been shown to decrease the risk of death (principally cardiovascular death) and to decrease the risk of heart failure-related hospitalization (see  CLINICAL PHARMACOLOGY -Heart Failure or Left-Ventricular Dysfunction Post Myocardial Infarction for details of the survival trial).

Dosage and Administration

Hypertension



The recommended initial dosage of trandolapril tablets for patients not receiving a diuretic is 1 mg once daily in non-black patients and 2 mg in black patients. Dosage should be adjusted according to the blood pressure response. Generally, dosage adjustments should be made at intervals of at least 1 week. Most patients have required dosages of 2 to 4 mg once daily. There is little clinical experience with doses above 8 mg.



Patients inadequately treated with once-daily dosing at 4 mg may be treated with twice-daily dosing. If blood pressure is not adequately controlled with trandolapril tablets monotherapy, a diuretic may be added.



In patients who are currently being treated with a diuretic, symptomatic hypotension occasionally can occur following the initial dose of trandolapril tablets. To reduce the likelihood of hypotension, the diuretic should, if possible, be discontinued two to three days prior to beginning therapy with trandolapril tablets. (See WARNINGS .) Then, if blood pressure is not controlled with trandolapril tablets alone, diuretic therapy should be resumed. If the diuretic cannot be discontinued, an initial dose of 0.5 mg trandolapril tablets should be used with careful medical supervision for several hours until blood pressure has stabilized. The dosage should subsequently be titrated (as described above) to the optimal response. (See WARNINGS PRECAUTIONS and Drug Interactions .)



Concomitant administration of trandolapril tablets with potassium supplements, potassium salt substitutes, or potassium sparing diuretics can lead to increases of serum potassium. (See PRECAUTIONS .)

Heart Failure Post Myocardial Infarction or Left-Ventricular Dysfunction Post Myocardial Infarction



The recommended starting dose is 1 mg, once daily. Following the initial dose, all patients should be titrated (as tolerated) toward a target dose of 4 mg, once daily. If a 4 mg dose is not tolerated, patients can continue therapy with the greatest tolerated dose.

Contraindications


Trandolapril tablets are contraindicated in patients who are hypersensitive to this product, in patients with hereditary/idiopathic angioedema and in patients with a history of angioedema related to previous treatment with an ACE inhibitor.



Do not co-administer aliskiren with trandolapril in patients with diabetes (see PRECAUTIONS, Drug Interactions ).



Trandolapril tablets are contraindicated in combination with a neprilysin inhibitor (e.g., sacubitril). Do not administer trandolapril tablets within 36 hours of switching to or from sacubitril/valsartan, a neprilysin inhibitor (see WARNINGS ).

Adverse Reactions

The safety experience in U.S. placebo-controlled trials included 1069 hypertensive patients, of whom 832 received trandolapril. Nearly 200 hypertensive patients received trandolapril for over one year in open-label trials.  In controlled trials, withdrawals for adverse events were 2.1% on placebo and 1.4% on trandolapril. Adverse events considered at least possibly related to treatment occurring in 1% of trandolapril-treated patients and more common on trandolapril than placebo, pooled for all doses, are shown below, together with the frequency of discontinuation of treatment because of these events.



ADVERSE EVENTS IN PLACEBO-CONTROLLED HYPERTENSION TRIALS

 

Occurring at 1% or greater

 

TRANDOLAPRIL

(N=832)

% Incidence

(% Discontinuance)

PLACEBO

(N=237)

% Incidence

(% Discontinuance)

Cough

1.9 (0.1)

0.4 (0.4)

Dizziness

1.3 (0.2)

0.4 (0.4)

Diarrhea

1 (0)

0.4 (0)



Headache and fatigue were all seen in more than 1% of trandolapril-treated patients but were more frequently seen on placebo. Adverse events were not usually persistent or difficult to manage.



Left Ventricular Dysfunction Post Myocardial Infarction



Adverse reactions related to trandolapril occurring at a rate greater than that observed in placebo-treated patients with left ventricular dysfunction, are shown below. The incidences represent the experiences from the TRACE study. The follow-up time was between 24 and 50 months for this study.



Percentage of Patients with Adverse Events Greater Than Placebo
Placebo-Controlled (TRACE)

Mortality Study

Adverse Event

 

Trandolapril

N=876

Placebo

N=873

Cough

35

22

Dizziness

23

17

Hypotension

11

6.8

Elevated serum uric acid

15

13

Elevated BUN

9

7.6

PICA or CABG

7.3

6.1

Dyspepsia

6.4

6

Syncope

5.9

3.3

Hyperkalemia

5.3

2.8

Bradycardia

4.7

4.4

Hypocalcemia

4.7

3.9

Myalgia

4.7

3.1

Elevated creatinine

4.7

2.4

Gastritis

4.2

3.6

Cardiogenic shock

3.8

< 2

Intermittent claudication

3.8

< 2

Stroke

3.3

3.2

Asthenia

3.3

2.6



Clinical adverse experiences possibly or probably related or of uncertain relationship to therapy occurring in 0.3% to 1% (except as noted) of the patients treated with trandolapril (with or without concomitant calcium ion antagonist or diuretic) in controlled or uncontrolled trials (N=1134) and less frequent, clinically significant events seen in clinical trials or post-marketing experience include (listed by body system):



General Body Function

Chest pain.



Cardiovascular

AV first degree block, bradycardia, edema, flushing, and palpitations.



Central Nervous System

Drowsiness, insomnia, paresthesia, vertigo.



Dermatologic



Pruritus, rash, pemphigus.

Eye, Ear, Nose, Throat

Epistaxis, throat inflammation, upper respiratory tract infection.



Emotional, Mental, Sexual States

Anxiety, impotence, decreased libido.



Gastrointestinal

Abdominal distention, abdominal pain/cramps, constipation, dyspepsia, diarrhea, vomiting, nausea.



Hemopoietic



Decreased leukocytes, decreased neutrophils.

Metabolism and Endocrine

Increased liver enzymes including SGPT (ALT).



Musculoskeletal System

Extremity pain, muscle cramps, gout.



Pulmonary

Dyspnea.



Postmarketing

The following adverse reactions were identified during post approval use of trandolapril. Because these reactions are reported voluntarily from a population of uncertain size, it is not always possible to reliably estimate their frequency or establish a causal relationship to drug exposure.



General Body Function

Malaise, fever.



Cardiovascular



Myocardial infarction, myocardial ischemia, angina pectoris, cardiac failure, ventricular tachycardia, tachycardia, transient ischemic attack, arrhythmia.



Central Nervous System

Cerebral hemorrhage.



Dermatologic

Alopecia, sweating, Stevens-Johnson syndrome and toxic epidermal necrolysis.



Emotional, Mental, Sexual States

Hallucination, depression.



Gastrointestinal

Dry mouth, pancreatitis, jaundice and hepatitis.



Hemopoietic

Agranulocytosis, pancytopenia.



Metabolism and Endocrine



Increased SGOT (AST).



Pulmonary

Bronchitis.



Renal and Urinary

Renal failure.

Drug Interactions

Dual Blockade of the Renin-Angiotensin System (RAS)



Dual blockade of the RAS with angiotensin receptor blockers, ACE inhibitors, or aliskiren is associated with increased risks of hypotension, hyperkalemia, and changes in renal function (including acute renal failure) compared to monotherapy. Most patients receiving the combination of two RAS inhibitors do not obtain any additional benefit compared to monotherapy. In general, avoid combined use of RAS inhibitors. Closely monitor blood pressure, renal function and electrolytes in patients on trandolapril and other agents that affect the RAS.



Do not co-administer aliskiren with trandolapril  in patients with diabetes. Avoid use of aliskiren with trandolapril in patients with renal impairment (GFR <60 mL/min).



Concomitant Diuretic Therapy



As with other ACE inhibitors, patients on diuretics, especially those on recently instituted diuretic therapy, may experience an excessive reduction of blood pressure after initiation of therapy with trandolapril. The possibility of exacerbation of hypotensive effects with trandolapril may be minimized by either discontinuing the diuretic or cautiously increasing salt intake prior to initiation of treatment with trandolapril. If it is not possible to discontinue the diuretic, the starting dose of trandolapril should be reduced. (See DOSAGE AND ADMINISTRATION .)



Agents Increasing Serum Potassium



Trandolapril can attenuate potassium loss caused by thiazide diuretics and increase serum potassium when used alone. Use of potassium-sparing diuretics (spironolactone, triamterene, or amiloride), potassium supplements, or potassium-containing salt substitutes concomitantly with ACE inhibitors can increase the risk of hyperkalemia. If concomitant use of such agents is indicated, they should be used with caution and with appropriate monitoring of serum potassium. (See PRECAUTIONS .)



Antidiabetic Agents  



Concomitant use of ACE inhibitors and antidiabetic medicines (insulin or oral hypoglycemic agents) may cause an increased blood glucose lowering effect with greater risk of hypoglycemia.



Lithium



Increased serum lithium levels and symptoms of lithium toxicity have been reported in patients receiving concomitant lithium and ACE inhibitor therapy. These drugs should be coadministered with caution, and frequent monitoring of serum lithium levels is recommended.  If a diuretic is also used, the risk of lithium toxicity may be increased.



Non-Steroidal Anti-Inflammatory Agents including Selective Cyclooxygenase-2 Inhibitors (COX-2 Inhibitors)



In patients who are elderly, volume-depleted (including those on diuretic therapy), or with compromised renal function, co-administration of NSAIDs, including selective COX-2 inhibitors, with ACE inhibitors, including trandolapril, may result in deterioration of renal function, including possible acute renal failure. These effects are usually reversible. Monitor renal function periodically in patients receiving trandolapril and NSAID therapy.



The antihypertensive effect of ACE inhibitors, including trandolapril may be attenuated by NSAIDs.



Gold



Nitritoid reactions (symptoms include facial flushing, nausea, vomiting and hypotension) have been reported rarely in patients on therapy with injectable gold (sodium aurothiomalate) and concomitant ACE inhibitor therapy including trandolapril.



Mammalian Target of Rapamycin (mTOR) Inhibitors



Patients taking concomitant mTOR inhibitor (e.g., temsirolimus, sirolimus, everolimus) therapy may be at increased risk for angioedema (see Warnings – Head and Neck Angioedema).



Neprilysin Inhibitor

Patients taking concomitant neprilysin inhibitors (e.g., sacubitril) may be at increased risk for angioedema (see WARNINGS ).





Other



No clinically significant pharmacokinetic interaction has been found between trandolaprilat and food, cimetidine, digoxin, or furosemide.



The anticoagulant effect of warfarin was not significantly changed by trandolapril.



The hypotensive effect of certain inhalation anesthetics may be enhanced by ACE inhibitors including trandolapril. (See PRECAUTIONS-Surgery/Anesthesia .)

How Supplied


Trandolapril tablets USP are supplied as follows:



Trandolapril Tablets USP 1 mg are salmon colored, round, biconvex, uncoated tablets debossed with ‘E’ on upper side of the bisector line on one side and ‘35’ on the other side.



                     Bottles of 100               NDC 57237-089-01

                     

Trandolapril Tablets USP 2 mg
are yellow colored, round, biconvex, uncoated tablets debossed with ‘E’ on one side and ‘36’ on the other side.



                     Bottles of 100               NDC 57237-090-01

                

Trandolapril Tablets USP 4 mg
are rose colored, round, biconvex, uncoated tablets debossed with ‘E’ on one side and ‘37’ on the other side.



                     Bottles of 100               NDC 57237-091-01

                      

Dispense in well-closed container with safety closure.



Store at 20° to 25°C (68° to 77°F); excursions permitted to 15° to 30°C (59° to 86°F) [see USP Controlled Room Temperature].



Distributed by:

Rising Health, LLC

Saddle Brook, NJ 07663



Made in India

Code: TS/DRUGS/19/1993



Revised: 01/2018

Description


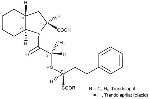
Trandolapril is the ethyl ester prodrug of a nonsulfhydryl angiotensin converting enzyme (ACE) inhibitor, trandolaprilat. Trandolapril is chemically described as (2S,3aR,7aS)-1-[(S)-N-[(S)-1-Carboxy-3-phenylpropyl]alanyl] hexahydro-2-indolinecarboxylic acid, 1-ethyl ester. Its molecular formula is C24H34N2O5 and its structural formula is





M.W. = 430.54

Melting Point = 125°C



Trandolapril USP is a white or almost white powder that is soluble (>100 mg/mL) in chloroform, dichloromethane, and methanol. Trandolapril tablets USP contain 1 mg, 2 mg, or 4 mg of trandolapril USP for oral administration. Each tablet also contains lactose monohydrate, corn starch, croscarmellose sodium, hypromellose, povidone, and sodium stearyl fumarate. In addition 1 mg and 4 mg tablet also contains ferric oxide red and 2 mg tablet contains ferric oxide yellow.

Cough


Presumably due to the inhibition of the degradation of endogenous bradykinin, persistent nonproductive cough has been reported with all ACE inhibitors, always resolving after discontinuation of therapy. ACE inhibitor-induced cough should be considered in the differential diagnosis of cough. In controlled trials of trandolapril, cough was present in 2% of trandolapril patients and 0% of patients given placebo. There was no evidence of a relationship to dose.

General


Impaired Renal Function



As a consequence of inhibiting the renin-angiotensin-aldosterone system, changes in renal function may be anticipated in susceptible individuals. In patients with severe heart failure whose renal function may depend on the activity of the renin-angiotensin-aldosterone system, treatment with ACE inhibitors, including trandolapril, may be associated with oliguria and/or progressive azotemia and rarely with acute renal failure and/or death.



In hypertensive patients with unilateral or bilateral renal artery stenosis, increases in blood urea nitrogen and serum creatinine have been observed in some patients following ACE inhibitor therapy. These increases were almost always reversible upon discontinuation of the ACE inhibitor and/or diuretic therapy. In such patients, renal function should be monitored during the first few weeks of therapy.



Some hypertensive patients with no apparent preexisting renal vascular disease have developed increases in blood urea and serum creatinine, usually minor and transient, especially when ACE inhibitors have been given concomitantly with a diuretic. This is more likely to occur in patients with preexisting renal impairment. Dosage reduction and/or discontinuation of any diuretic and/or the ACE inhibitor may be required. Evaluation of hypertensive patients should always include assessment of renal function. (See DOSAGE AND ADMINISTRATION .)



Hyperkalemia and Potassium-sparing Diuretics  



In clinical trials, hyperkalemia (serum potassium > 6 mEq/L) occurred in approximately 0.4% of hypertensive patients receiving trandolapril. In most cases, elevated serum potassium levels were isolated values, which resolved despite continued therapy.  None of these patients were discontinued from the trials because of hyperkalemia.  Risk factors for the development of hyperkalemia include renal insufficiency, diabetes mellitus, and the concomitant use of potassium-sparing diuretics, potassium supplements, and/or potassium-containing salt substitutes, which should be used cautiously, if at all, with trandolapril. (See PRECAUTIONS - Drug Interactions .)

Warnings


Anaphylactoid and Possibly Related Reactions



Presumably because angiotensin converting enzyme inhibitors affect the metabolism of eicosanoids and polypeptides, including endogenous bradykinin, patients receiving ACE inhibitors, including trandolapril, may be subject to a variety of adverse reactions, some of them serious.



Anaphylactoid Reactions During Desensitization



Two patients undergoing desensitizing treatment with hymenoptera venom while receiving ACE inhibitors sustained life-threatening anaphylactoid reactions. In the same patients, these reactions did not occur when ACE inhibitors were temporarily withheld, but they reappeared when the ACE inhibitors were inadver­tently readministered.



Anaphylactoid Reactions During Membrane Exposure



Anaphylactoid reactions have been reported in patients dialyzed with high-flux membranes and treated concomitantly with an ACE inhibitor. Anaphylactoid reactions have also been reported in patients undergoing low-density lipoprotein apheresis with dextran sulfate absorption.

Overdosage


No data are available with respect to overdosage in humans. The oral LD50 of trandolapril in mice was 4875 mg/Kg in males and 3990 mg/Kg in females. In rats, an oral dose of 5000 mg/Kg caused low mortality (1 male out of 5; 0 females). In dogs, an oral dose of 1000 mg/Kg did not cause mortality and abnormal clinical signs were not observed. In humans, the most likely clinical manifestation would be symptoms attributable to severe hypotension. Symptoms also expected with ACE inhibitors are hypotension, hyperkalemia, and renal failure.



Laboratory determinations of serum levels of trandolapril and its metabolites are not widely available, and such determinations have, in any event, no established role in the management of trandolapril overdose. No data are available to suggest that physiological maneuvers (e.g., maneuvers to change the pH of the urine) might accelerate elimination of trandolapril and its metabolites. Trandolaprilat is removed by hemodialysis. Angiotensin II could presumably serve as a specific antagonist antidote in the setting of trandolapril overdose, but angiotensin II is essentially unavailable outside of scattered research facilities. Because the hypotensive effect of trandolapril is achieved through vasodilation and effective hypovolemia, it is reasonable to treat trandolapril overdose by infusion of normal saline solution.

Geriatric Use


In placebo-controlled studies of trandolapril, 31.1% of patients were 60 years and older, 20.1% were 65 years and older, and 2.3% were 75 years and older. No overall differences in effectiveness or safety were observed between these patients and younger patients. (Greater sensitivity of some older individual patients cannot be ruled out.)

Pediatric Use


Neonates with a history of in utero exposure to trandolapril



If oliguria or hypotension occurs, direct attention toward support of blood pressure and renal perfusion. Exchange transfusions or dialysis may be required as a means of reversing hypotension and/or substituting for disordered renal function.



The safety and effectiveness of trandolapril in pediatric patients have not been established. 

Fetal Toxicity


Pregnancy Category D  



Use of drugs that act on the renin-angiotensin system during the second and third trimesters of pregnancy reduces fetal renal function and increases fetal and neonatal morbidity and death. Resulting oligohydramnios can be associated with fetal lung hypoplasia and skeletal deformations. Potential neonatal adverse effects include skull hypoplasia, anuria, hypotension, renal failure, and death. When pregnancy is detected, discontinue trandolapril as soon as possible. These adverse outcomes are usually associated with use of these drugs in the second and third trimester of pregnancy. Most epidemiologic studies examining fetal abnormalities after exposure to antihypertensive use in the first trimester have not distinguished drugs affecting the renin-angiotensin system from other antihypertensive agents. Appropriate management of maternal hypertension during pregnancy is important to optimize outcomes for both mother and fetus.



In the unusual case that there is no appropriate alternative to therapy with drugs affecting the renin-angiotensin system for a particular patient, apprise the mother of the potential risk to the fetus. Perform serial ultrasound examinations to assess the intra-amniotic environment. If oligohydramnios is observed, discontinue trandolapril, unless it is considered lifesaving for the mother. Fetal testing may be appropriate, based on the week of pregnancy. Patients and physicians should be aware, however, that oligohydramnios may not appear until after the fetus has sustained irreversible injury. Closely observe infants with histories of in utero exposure to trandolapril for hypotension, oliguria, and hyperkalemia. (See PRECAUTIONS, Pediatric Use .)



Doses of 0.8 mg/kg/day (9.4 mg/m2/day) in rabbits, 1000 mg/kg/day (7000 mg/m2/day) in rats, and 25 mg/kg/day (295 mg/m2/day) in cynomolgus monkeys did not produce teratogenic effects. These doses represent 10 and 3 times (rabbits), 1250 and 2564 times (rats), and 312 and 108 times (monkeys) the maximum projected human dose of 4 mg based on body-weight and body-surface-area, respectively assuming a 50 kg woman.

Nursing Mothers


Radiolabeled trandolapril or its metabolites are secreted in rat milk. Trandolapril should not be administered to nursing mothers.

Surgery/anesthesia


In patients undergoing major surgery or during anesthesia with agents that produce hypotension, trandolapril will block angiotensin II formation secondary to compensatory renin release. If hypotension occurs and is considered to be due to this mechanism, it can be corrected by volume expansion.

Clinical Pharmacology

Mechanism of Action



Trandolapril is deesterified to the diacid metabolite, trandolaprilat, which is approximately eight times more active as an inhibitor of ACE activity. ACE is a peptidyl dipeptidase that catalyzes the conversion of angiotensin I to the vasoconstrictor, angiotensin II. Angiotensin II is a potent peripheral vasoconstrictor that also stimulates secretion of aldosterone by the adrenal cortex and provides negative feedback for renin secretion. The effect of trandolapril in hypertension appears to result primarily from the inhibition of circulating and tissue ACE activity thereby reducing angiotensin II formation, decreasing vasoconstriction, decreasing aldosterone secretion, and increasing plasma renin. Decreased aldosterone secretion leads to diuresis, natriuresis, and a small increase of serum potassium. In controlled clinical trials, treatment with trandolapril alone resulted in mean increases in potassium of 0.1 mEq/L. (See PRECAUTIONS .)



ACE is identical to kininase II, an enzyme that degrades bradykinin, a potent peptide vasodilator; whether increased levels of bradykinin play a role in the therapeutic effect of trandolapril remains to be elucidated.



While the principal mechanism of antihypertensive effect is thought to be through the renin-angiotensin-aldosterone system, trandolapril exerts antihypertensive actions even in patients with low-renin hypertension. Trandolapril was an effective antihypertensive in all races studied. Both black patients (usually a predominantly low-renin group) and non-black patients responded to 2 to 4 mg of trandolapril.



Pharmacokinetics and Metabolism



Pharmacokinetics

Trandolapril’s ACE-inhibiting activity is primarily due to its diacid metabolite, trandolaprilat. Cleavage of the ester group of trandolapril, primarily in the liver, is responsible for conversion. Absolute bioavailability after oral administration of trandolapril is about 10% as trandolapril and 70% as trandolaprilat. After oral trandolapril under fasting conditions, peak trandolapril levels occur at about one hour and peak trandolaprilat levels occur between 4 and 10 hours. The elimination half-life of trandolapril is about 6 hours. At steady state, the effective half-life of trandolaprilat is 22.5 hours.  Like all ACE inhibitors, trandolaprilat also has a prolonged terminal elimination phase, involving a small fraction of administered drug, probably representing binding to plasma and tissue ACE. During multiple dosing of trandolapril, there is no significant accumulation of trandolaprilat. Food slows absorption of trandolapril, but does not affect AUC or Cmax of trandolaprilat or Cmax of trandolapril.



Metabolism and Excretion



After oral administration of trandolapril, about 33% of parent drug and metabolites are recovered in urine, mostly as trandolaprilat, with about 66% in feces. The extent of the absorbed dose which is biliary excreted has not been determined. Plasma concentrations (Cmax and AUC of trandolapril and Cmax of trandolaprilat) are dose proportional over the 1 to 4 mg range, but the AUC of trandolaprilat is somewhat less than dose proportional. In addition to trandolaprilat, at least 7 other metabolites have been found, principally glucuronides or deesterification products.



Serum protein binding of trandolapril is about 80%, and is independent of concentration. Binding of trandolaprilat is concentration-dependent, varying from 65% at 1000 ng/mL to 94% at 0.1 ng/mL, indicating saturation of binding with increasing concentration.



The volume of distribution of trandolapril is about 18 liters. Total plasma clearances of trandolapril and trandolaprilat after approximately 2 mg IV doses are about 52 liters/hour and     7 liters/hour respectively. Renal clearance of trandolaprilat varies from 1 to 4 liters/hour, depending on dose.



Special Populations

Pediatric



Trandolapril pharmacokinetics have not been evaluated in patients <18 years of age.



Geriatric and Gender

Trandolapril pharmacokinetics have been investigated in the elderly (> 65 years) and in both genders. The plasma concentration of trandolapril is increased in elderly hypertensive patients, but the plasma concentration of trandolaprilat and inhibition of ACE activity are similar in elderly and young hypertensive patients. The pharmacokinetics of trandolapril and trandolaprilat and inhibition of ACE activity are similar in male and female elderly hypertensive patients.



Race



Pharmacokinetic differences have not been evaluated in different races.



Renal Insufficiency

Compared to normal subjects, the plasma concentrations of trandolapril and trandolaprilat are approximately 2-fold greater and renal clearance is reduced by about 85% in patients with creatinine clearance below 30 mL/min and in patients on hemodialysis. Dosage adjustment is recommended in renally impaired patients. (See DOSAGE AND ADMINISTRATION .)



Hepatic Insufficiency



Following oral administration in patients with mild to moderate alcoholic cirrhosis, plasma concentrations of trandolapril and trandolaprilat were, respectively, 9-fold and 2-fold greater than in normal subjects, but inhibition of ACE activity was not affected. Lower doses should be considered in patients with hepatic insufficiency. (See DOSAGE AND ADMINISTRATION .)

 

Drug Interactions



Trandolapril did not affect the plasma concentration (pre-dose and 2 hours post-dose) of oral digoxin (0.25 mg). Coadministration of trandolapril and cimetidine led to an increase of about 44% in Cmax for trandolapril, but no difference in the pharmacokinetics of trandolaprilat or in ACE inhibition. Coadministration of trandolapril and furosemide led to an increase of about 25% in the renal clearance of trandolaprilat, but no effect was seen on the pharmacokinetics of furosemide or trandolaprilat or on ACE inhibition.



Pharmacodynamics and Clinical Effects



A single 2 mg dose of trandolapril produces 70 to 85% inhibition of plasma ACE activity at 4 hours with about 10% decline at 24 hours and about half the effect manifest at 8 days. Maximum ACE inhibition is achieved with a plasma trandolaprilat concentration of 2 ng/mL. ACE inhibition is a function of trandolaprilat concentration, not trandolapril concentration. The effect of trandolapril on exogenous angiotensin I was not measured.



Hypertension



Four placebo-controlled dose response studies were conducted using once-daily oral dosing of trandolapril in doses from 0.25 to 16 mg per day in 827 black and non-black patients with mild to moderate hypertension. The minimal effective once-daily dose was 1 mg in non-black patients and 2 mg in black patients. Further decreases in trough supine diastolic blood pressure were obtained in non-black patients with higher doses, and no further response was seen with doses above 4 mg (up to 16 mg). The antihypertensive effect diminished somewhat at the end of the dosing interval, but trough/peak ratios are well above 50% for all effective doses. There was a slightly greater effect on the diastolic pressure, but no difference on systolic pressure with b.i.d. dosing. During chronic therapy, the maximum reduction in blood pressure with any dose is achieved within one week. Following 6 weeks of monotherapy in placebo-controlled trials in patients with mild to moderate hypertension, once-daily doses of 2 to 4 mg lowered supine or standing systolic/diastolic blood pressure 24 hours after dosing by an average 7 to 10/4 to 5 mmHg below placebo responses in non-black patients. Once-daily doses of 2 to 4 mg lowered blood pressure 4 to 6/3 to 4 mmHg in black patients. Trough to peak ratios for effective doses ranged from 0.5 to 0.9. There were no differences in response between men and women, but responses were somewhat greater in patients under 60 than in patients over 60 years old. Abrupt withdrawal of trandolapril has not been associated with a rapid increase in blood pressure.



Administration of trandolapril to patients with mild to moderate hypertension results in a reduction of supine, sitting and standing blood pressure to about the same extent without compensatory tachycardia.



Symptomatic hypotension is infrequent, although it can occur in patients who are salt- and/or volume-depleted. (See WARNINGS .) Use of trandolapril in combination with thiazide diuretics gives a blood pressure lowering effect greater than that seen with either agent alone, and the additional effect of trandolapril is similar to the effect of monotherapy.



Heart Failure Post Myocardial Infarction or Left Ventricular Dysfunction Post Myocardial Infarction



The Trandolapril Cardiac Evaluation (TRACE) Trial was a Danish, 27-center, double-blind, placebo controlled, parallel-group study of the effect of trandolapril on all-cause mortality in stable patients with echocardiographic evidence of left ventricular dysfunction 3 to 7 days after a myocardial infarction. Subjects with residual ischemia or overt heart failure were included. Patients tolerant of a test dose of 1 mg trandolapril were randomized to placebo (n=873) or trandolapril (n=876) and followed for 24 months. Among patients randomized to trandolapril, who began treatment on 1 mg, 62% were successfully titrated to a target dose of 4 mg once daily over a period of weeks. The use of trandolapril was associated with a 16% reduction in the risk of all-cause mortality (p=0.042), largely cardiovascular mortality. Trandolapril was also associated with a 20% reduction in the risk of progression of heart failure (p=0.047), defined by a time-to-first-event analysis of death attributed to heart failure, hospitalization for heart failure, or requirement for open-label ACE inhibitor for the treatment of heart failure. There was no significant effect of treatment on other end-points: subsequent hospitalization, incidence of recurrent myocardial infarction, exercise tolerance, ventricular function, ventricular dimensions, or NYHA class.



The population in TRACE was entirely Caucasian and had less usage than would be typical in a U.S. population of other post-infarction interventions: 42% thrombolysis, 16% beta-adrenergic blockade, and 6.7% PTCA or CABG during the entire period of follow-up. Blood pressure control, especially in the placebo group, was poor: 47 to 53% of patients randomized to placebo and 32 to 40% of patients randomized to trandolapril had blood pressures > 140/95 at 90-day follow-up visits.

Warning: Fetal Toxicity
  • When pregnancy is detected, discontinue trandolapril as soon as possible.
  • Drugs that act directly on the renin-angiotensin system can cause injury and death to the developing fetus. (See WARNINGS: Fetal Toxicity.)
Head and Neck Angioedema

In controlled trials ACE inhibitors (for which adequate data are available) cause a higher rate of angioedema in black than in non-black patients.



Angioedema of the face, extremities, lips, tongue, glottis, and larynx has been reported in patients treated with ACE inhibitors including trandolapril. Symptoms suggestive of angioedema or facial edema occurred in 0.13% of trandolapril-treated patients. Two of the four cases were life-threatening and resolved without treatment or with medication (corticosteroids). Angioedema associated with laryngeal edema can be fatal. If laryngeal stridor or angioedema of the face, tongue or glottis occurs, treatment with trandolapril should be discontinued immediately, the patient treated in accordance with accepted medical care and carefully observed until the swelling disappears. In instances where swelling is confined to the face and lips, the condition generally resolves without treatment; antihistamines may be useful in relieving symptoms. Where there is involvement of the tongue, glottis, or larynx, likely to cause airway obstruction, emergency therapy, including but not limited to subcutaneous epinephrine solution 1:1,000 (0.3 to 0.5 mL) should be promptly administered. (See  PRECAUTIONS - Information for Patients and ADVERSE REACTIONS .)



Patients receiving coadministration of an ACE inhibitor with an mTOR (mammalian target of rapamycin) inhibitor (e.g., temsirolimus, sirolimus, everolimus) or a neprilysin inhibitor (e.g., sacubitril) may be at increased risk for angioedema.



Intestinal Angioedema



Intestinal angioedema has been reported in patients treated with ACE inhibitors. These patients presented with abdominal pain (with or without nausea or vomiting); in some cases there was no prior history of facial angioedema and C-1 esterase levels were normal. The angioedema was diagnosed by procedures including abdominal CT scan or ultrasound, or at surgery, and symptoms resolved after stopping the ACE inhibitor. Intestinal angioedema should be included in the differential diagnosis of patients on ACE inhibitors presenting with abdominal pain.

Hypotension



Trandolapril can cause symptomatic hypotension. Like other ACE inhibitors, trandolapril has only rarely been associated with symptomatic hypotension in uncomplicated hypertensive patients. Symptomatic hypotension is most likely to occur in patients who have been salt- or volume-depleted as a result of prolonged treatment with diuretics, dietary salt restriction, dialysis, diarrhea, or vomiting. Volume and/or salt depletion should be corrected before initiating treatment with trandolapril. (See  PRECAUTIONS - Drug Interactions and ADVERSE REACTIONS .) In controlled and uncontrolled studies, hypotension was reported as an adverse event in 0.6% of patients and led to discontinuations in 0.1% of patients.



In patients with concomitant congestive heart failure, with or without associated renal insufficiency, ACE inhibitor therapy may cause excessive hypotension, which may be associated with oliguria or azotemia, and rarely, with acute renal failure and death. In such patients, trandolapril therapy should be started at the recommended dose under close medical supervision. These patients should be followed closely during the first 2 weeks of treatment and, thereafter, whenever the dosage of trandolapril or diuretic is increased. (see DOSAGE AND ADMINISTRATION .) Care in avoiding hypotension should also be taken in patients with ischemic heart disease, aortic stenosis, or cerebrovascular disease.



If symptomatic hypotension occurs, the patient should be placed in the supine position and, if necessary, normal saline may be administered intravenously. A transient hypotensive response is not a contraindication to further doses; however, lower doses of trandolapril or reduced concomitant diuretic therapy should be considered.



Neutropenia/Agranulocytosis



Another ACE inhibitor, captopril, has been shown to cause agranulocytosis and bone marrow depression rarely in patients with uncomplicated hypertension, but more frequently in patients with renal impairment, especially if they also have a collagen-vascular disease such as systemic lupus erythematosus or scleroderma. Available data from clinical trials of trandolapril are insufficient to show that trandolapril does not cause agranulocytosis at similar rates. As with other ACE inhibitors, periodic monitoring of white blood cell counts in patients with collagen-vascular disease and/or renal disease should be considered.

Hepatic Failure



ACE inhibitors rarely have been associated with a syndrome of cholestatic jaundice, fulminant hepatic necrosis, and death. The mechanism of this syndrome is not understood. Patients receiving ACE inhibitors who develop jaundice should discontinue the ACE inhibitor and receive appropriate medical follow-up.

Information for Patients


Angioedema



Angioedema, including laryngeal edema, may occur at any time during treatment with ACE inhibitors, including trandolapril. Patients should be so advised and told to report immediately any signs or symptoms suggesting angioedema (swelling of face, extremities, eyes, lips, tongue, difficulty in swallowing or breathing) and to stop taking the drug until they have consulted with their physician. (See WARNINGS and ADVERSE REACTIONS .)



Symptomatic Hypotension



Patients should be cautioned that light-headedness can occur, especially during the first days of trandolapril therapy, and should be reported to a physician. If actual syncope occurs, patients should be told to stop taking the drug until they have consulted with their physician. (See WARNINGS .)



All patients should be cautioned that inadequate fluid intake, excessive perspiration, diarrhea, or vomiting, resulting in reduced fluid volume, may precipitate an excessive fall in blood pressure with the same consequences of light-headedness and possible syncope.



Patients planning to undergo any surgery and/or anesthesia should be told to inform their physician that they are taking an ACE inhibitor that has a long duration of action.



Hyperkalemia



Patients should be told not to use potassium supplements or salt substitutes containing potassium without consulting their physician. (See PRECAUTIONS .)



Neutropenia



Patients should be told to report promptly any indication of infection (e.g., sore throat, fever) which could be a sign of neutropenia.



Pregnancy



Female patients of childbearing age should be told about the consequences of exposure to trandolapril during pregnancy. Discuss treatment options with women planning to become pregnant. Patients should be asked to report pregnancies to their physicians as soon as possible.



NOTE:As with many other drugs, certain advice to patients being treated with trandolapril is warranted. This information is intended to aid in the safe and effective use of this medication. It is not a disclosure of all possible adverse or intended effects.

Clinical Laboratory Test Findings


Hematology



Thrombocytopenia.



Serum Electrolytes



Hyponatremia.



Creatinine and Blood Urea Nitrogen



Increases in creatinine levels occurred in 1.1% of patients receiving trandolapril alone and 7.3% of patients treated with trandolapril, a calcium ion antagonist and a diuretic. Increases in blood urea nitrogen levels occurred in 0.6% of patients receiving trandolapril alone and 1.4% of patients receiving trandolapril, a calcium ion antagonist, and a diuretic. None of these increases required discontinuation of treatment.  Increases in these laboratory values are more likely to occur in patients with renal insufficiency or those pretreated with a diuretic and, based on experience with other ACE inhibitors, would be expected to be especially likely in patients with renal artery stenosis. (See PRECAUTIONS and WARNINGS .)



Liver Function Tests



Occasional elevation of transaminases at the rate of 3X upper normals occurred in 0.8% of patients and persistent increase in bilirubin occurred in 0.2% of patients. Discontinuation for elevated liver enzymes occurred in 0.2% of patients.



Other
 



Another potentially important adverse experience, eosinophilic pneumonitis, has been attributed to other ACE inhibitors.

Carcinogenesis, Mutagenesis, Impairment of Fertility


Long-term studies were conducted with oral trandolapril administered by gavage to mice (78 weeks) and rats (104 and 106 weeks).  No evidence of carcinogenic potential was seen in mice dosed up to 25 mg/kg/day (85 mg/m2/day) or rats dosed up to 8 mg/kg/day (60 mg/m2/day). These doses are 313 and 32 times (mice), and 100 and 23 times (rats) the maximum recommended human daily dose (MRHDD) of 4 mg based on body-weight and body-surface-area, respectively assuming a 50 kg individual. The genotoxic potential of trandolapril was evaluated in the microbial mutagenicity (Ames) test, the point mutation and chromosome aberration assays in Chinese hamster V79 cells, and the micronucleus test in mice. There was no evidence of mutagenic or clastogenic potential in these in vitro and in vivo assays.



Reproduction studies in rats did not show any impairment of fertility at doses up to 100 mg/kg/day (710 mg/m2/day) of trandolapril, or 1250 and 260 times the MRHDD on the basis of body-weight and body-surface-area, respectively.

Dosage Adjustment in Renal Impairment Or Hepatic Cirrhosis


For patients with a creatinine clearance <30 mL/min. or with hepatic cirrhosis, the recommended starting dose, based on clinical and pharmacokinetic data, is 0.5 mg daily. Patients should subsequently have their dosage titrated (as described above) to the optimal response.

Package Label Principal Display Panel 1 Mg (100 Tablet Bottle)


Rising®         NDC 57237-089-01

Trandolapril

Tablets USP


1 mg

100 Tablets          Rx only









Package Label Principal Display Panel 2 Mg (100 Tablet Bottle)


Rising®             NDC 57237-090-01

Trandolapril

Tablets USP


2 mg

100 Tablets              Rx only



Package Label Principal Display Panel 4 Mg (100 Tablet Bottle)


Rising®           NDC 57237-091-01

Trandolapril

Tablets USP


4 mg

100 Tablets        Rx only




Structured Label Content

Cough


Presumably due to the inhibition of the degradation of endogenous bradykinin, persistent nonproductive cough has been reported with all ACE inhibitors, always resolving after discontinuation of therapy. ACE inhibitor-induced cough should be considered in the differential diagnosis of cough. In controlled trials of trandolapril, cough was present in 2% of trandolapril patients and 0% of patients given placebo. There was no evidence of a relationship to dose.

General


Impaired Renal Function



As a consequence of inhibiting the renin-angiotensin-aldosterone system, changes in renal function may be anticipated in susceptible individuals. In patients with severe heart failure whose renal function may depend on the activity of the renin-angiotensin-aldosterone system, treatment with ACE inhibitors, including trandolapril, may be associated with oliguria and/or progressive azotemia and rarely with acute renal failure and/or death.



In hypertensive patients with unilateral or bilateral renal artery stenosis, increases in blood urea nitrogen and serum creatinine have been observed in some patients following ACE inhibitor therapy. These increases were almost always reversible upon discontinuation of the ACE inhibitor and/or diuretic therapy. In such patients, renal function should be monitored during the first few weeks of therapy.



Some hypertensive patients with no apparent preexisting renal vascular disease have developed increases in blood urea and serum creatinine, usually minor and transient, especially when ACE inhibitors have been given concomitantly with a diuretic. This is more likely to occur in patients with preexisting renal impairment. Dosage reduction and/or discontinuation of any diuretic and/or the ACE inhibitor may be required. Evaluation of hypertensive patients should always include assessment of renal function. (See DOSAGE AND ADMINISTRATION .)



Hyperkalemia and Potassium-sparing Diuretics  



In clinical trials, hyperkalemia (serum potassium > 6 mEq/L) occurred in approximately 0.4% of hypertensive patients receiving trandolapril. In most cases, elevated serum potassium levels were isolated values, which resolved despite continued therapy.  None of these patients were discontinued from the trials because of hyperkalemia.  Risk factors for the development of hyperkalemia include renal insufficiency, diabetes mellitus, and the concomitant use of potassium-sparing diuretics, potassium supplements, and/or potassium-containing salt substitutes, which should be used cautiously, if at all, with trandolapril. (See PRECAUTIONS - Drug Interactions .)

Warnings (WARNINGS)


Anaphylactoid and Possibly Related Reactions



Presumably because angiotensin converting enzyme inhibitors affect the metabolism of eicosanoids and polypeptides, including endogenous bradykinin, patients receiving ACE inhibitors, including trandolapril, may be subject to a variety of adverse reactions, some of them serious.



Anaphylactoid Reactions During Desensitization



Two patients undergoing desensitizing treatment with hymenoptera venom while receiving ACE inhibitors sustained life-threatening anaphylactoid reactions. In the same patients, these reactions did not occur when ACE inhibitors were temporarily withheld, but they reappeared when the ACE inhibitors were inadver­tently readministered.



Anaphylactoid Reactions During Membrane Exposure



Anaphylactoid reactions have been reported in patients dialyzed with high-flux membranes and treated concomitantly with an ACE inhibitor. Anaphylactoid reactions have also been reported in patients undergoing low-density lipoprotein apheresis with dextran sulfate absorption.

Overdosage (OVERDOSAGE)


No data are available with respect to overdosage in humans. The oral LD50 of trandolapril in mice was 4875 mg/Kg in males and 3990 mg/Kg in females. In rats, an oral dose of 5000 mg/Kg caused low mortality (1 male out of 5; 0 females). In dogs, an oral dose of 1000 mg/Kg did not cause mortality and abnormal clinical signs were not observed. In humans, the most likely clinical manifestation would be symptoms attributable to severe hypotension. Symptoms also expected with ACE inhibitors are hypotension, hyperkalemia, and renal failure.



Laboratory determinations of serum levels of trandolapril and its metabolites are not widely available, and such determinations have, in any event, no established role in the management of trandolapril overdose. No data are available to suggest that physiological maneuvers (e.g., maneuvers to change the pH of the urine) might accelerate elimination of trandolapril and its metabolites. Trandolaprilat is removed by hemodialysis. Angiotensin II could presumably serve as a specific antagonist antidote in the setting of trandolapril overdose, but angiotensin II is essentially unavailable outside of scattered research facilities. Because the hypotensive effect of trandolapril is achieved through vasodilation and effective hypovolemia, it is reasonable to treat trandolapril overdose by infusion of normal saline solution.

Description (DESCRIPTION)


Trandolapril is the ethyl ester prodrug of a nonsulfhydryl angiotensin converting enzyme (ACE) inhibitor, trandolaprilat. Trandolapril is chemically described as (2S,3aR,7aS)-1-[(S)-N-[(S)-1-Carboxy-3-phenylpropyl]alanyl] hexahydro-2-indolinecarboxylic acid, 1-ethyl ester. Its molecular formula is C24H34N2O5 and its structural formula is





M.W. = 430.54

Melting Point = 125°C



Trandolapril USP is a white or almost white powder that is soluble (>100 mg/mL) in chloroform, dichloromethane, and methanol. Trandolapril tablets USP contain 1 mg, 2 mg, or 4 mg of trandolapril USP for oral administration. Each tablet also contains lactose monohydrate, corn starch, croscarmellose sodium, hypromellose, povidone, and sodium stearyl fumarate. In addition 1 mg and 4 mg tablet also contains ferric oxide red and 2 mg tablet contains ferric oxide yellow.

How Supplied (HOW SUPPLIED)


Trandolapril tablets USP are supplied as follows:



Trandolapril Tablets USP 1 mg are salmon colored, round, biconvex, uncoated tablets debossed with ‘E’ on upper side of the bisector line on one side and ‘35’ on the other side.



                     Bottles of 100               NDC 57237-089-01

                     

Trandolapril Tablets USP 2 mg
are yellow colored, round, biconvex, uncoated tablets debossed with ‘E’ on one side and ‘36’ on the other side.



                     Bottles of 100               NDC 57237-090-01

                

Trandolapril Tablets USP 4 mg
are rose colored, round, biconvex, uncoated tablets debossed with ‘E’ on one side and ‘37’ on the other side.



                     Bottles of 100               NDC 57237-091-01

                      

Dispense in well-closed container with safety closure.



Store at 20° to 25°C (68° to 77°F); excursions permitted to 15° to 30°C (59° to 86°F) [see USP Controlled Room Temperature].



Distributed by:

Rising Health, LLC

Saddle Brook, NJ 07663



Made in India

Code: TS/DRUGS/19/1993



Revised: 01/2018

Geriatric Use


In placebo-controlled studies of trandolapril, 31.1% of patients were 60 years and older, 20.1% were 65 years and older, and 2.3% were 75 years and older. No overall differences in effectiveness or safety were observed between these patients and younger patients. (Greater sensitivity of some older individual patients cannot be ruled out.)

Pediatric Use


Neonates with a history of in utero exposure to trandolapril



If oliguria or hypotension occurs, direct attention toward support of blood pressure and renal perfusion. Exchange transfusions or dialysis may be required as a means of reversing hypotension and/or substituting for disordered renal function.



The safety and effectiveness of trandolapril in pediatric patients have not been established. 

Fetal Toxicity


Pregnancy Category D  



Use of drugs that act on the renin-angiotensin system during the second and third trimesters of pregnancy reduces fetal renal function and increases fetal and neonatal morbidity and death. Resulting oligohydramnios can be associated with fetal lung hypoplasia and skeletal deformations. Potential neonatal adverse effects include skull hypoplasia, anuria, hypotension, renal failure, and death. When pregnancy is detected, discontinue trandolapril as soon as possible. These adverse outcomes are usually associated with use of these drugs in the second and third trimester of pregnancy. Most epidemiologic studies examining fetal abnormalities after exposure to antihypertensive use in the first trimester have not distinguished drugs affecting the renin-angiotensin system from other antihypertensive agents. Appropriate management of maternal hypertension during pregnancy is important to optimize outcomes for both mother and fetus.



In the unusual case that there is no appropriate alternative to therapy with drugs affecting the renin-angiotensin system for a particular patient, apprise the mother of the potential risk to the fetus. Perform serial ultrasound examinations to assess the intra-amniotic environment. If oligohydramnios is observed, discontinue trandolapril, unless it is considered lifesaving for the mother. Fetal testing may be appropriate, based on the week of pregnancy. Patients and physicians should be aware, however, that oligohydramnios may not appear until after the fetus has sustained irreversible injury. Closely observe infants with histories of in utero exposure to trandolapril for hypotension, oliguria, and hyperkalemia. (See PRECAUTIONS, Pediatric Use .)



Doses of 0.8 mg/kg/day (9.4 mg/m2/day) in rabbits, 1000 mg/kg/day (7000 mg/m2/day) in rats, and 25 mg/kg/day (295 mg/m2/day) in cynomolgus monkeys did not produce teratogenic effects. These doses represent 10 and 3 times (rabbits), 1250 and 2564 times (rats), and 312 and 108 times (monkeys) the maximum projected human dose of 4 mg based on body-weight and body-surface-area, respectively assuming a 50 kg woman.

Nursing Mothers


Radiolabeled trandolapril or its metabolites are secreted in rat milk. Trandolapril should not be administered to nursing mothers.

Adverse Reactions (ADVERSE REACTIONS)

The safety experience in U.S. placebo-controlled trials included 1069 hypertensive patients, of whom 832 received trandolapril. Nearly 200 hypertensive patients received trandolapril for over one year in open-label trials.  In controlled trials, withdrawals for adverse events were 2.1% on placebo and 1.4% on trandolapril. Adverse events considered at least possibly related to treatment occurring in 1% of trandolapril-treated patients and more common on trandolapril than placebo, pooled for all doses, are shown below, together with the frequency of discontinuation of treatment because of these events.



ADVERSE EVENTS IN PLACEBO-CONTROLLED HYPERTENSION TRIALS

 

Occurring at 1% or greater

 

TRANDOLAPRIL

(N=832)

% Incidence

(% Discontinuance)

PLACEBO

(N=237)

% Incidence

(% Discontinuance)

Cough

1.9 (0.1)

0.4 (0.4)

Dizziness

1.3 (0.2)

0.4 (0.4)

Diarrhea

1 (0)

0.4 (0)



Headache and fatigue were all seen in more than 1% of trandolapril-treated patients but were more frequently seen on placebo. Adverse events were not usually persistent or difficult to manage.



Left Ventricular Dysfunction Post Myocardial Infarction



Adverse reactions related to trandolapril occurring at a rate greater than that observed in placebo-treated patients with left ventricular dysfunction, are shown below. The incidences represent the experiences from the TRACE study. The follow-up time was between 24 and 50 months for this study.



Percentage of Patients with Adverse Events Greater Than Placebo
Placebo-Controlled (TRACE)

Mortality Study

Adverse Event

 

Trandolapril

N=876

Placebo

N=873

Cough

35

22

Dizziness

23

17

Hypotension

11

6.8

Elevated serum uric acid

15

13

Elevated BUN

9

7.6

PICA or CABG

7.3

6.1

Dyspepsia

6.4

6

Syncope

5.9

3.3

Hyperkalemia

5.3

2.8

Bradycardia

4.7

4.4

Hypocalcemia

4.7

3.9

Myalgia

4.7

3.1

Elevated creatinine

4.7

2.4

Gastritis

4.2

3.6

Cardiogenic shock

3.8

< 2

Intermittent claudication

3.8

< 2

Stroke

3.3

3.2

Asthenia

3.3

2.6



Clinical adverse experiences possibly or probably related or of uncertain relationship to therapy occurring in 0.3% to 1% (except as noted) of the patients treated with trandolapril (with or without concomitant calcium ion antagonist or diuretic) in controlled or uncontrolled trials (N=1134) and less frequent, clinically significant events seen in clinical trials or post-marketing experience include (listed by body system):



General Body Function

Chest pain.



Cardiovascular

AV first degree block, bradycardia, edema, flushing, and palpitations.



Central Nervous System

Drowsiness, insomnia, paresthesia, vertigo.



Dermatologic



Pruritus, rash, pemphigus.

Eye, Ear, Nose, Throat

Epistaxis, throat inflammation, upper respiratory tract infection.



Emotional, Mental, Sexual States

Anxiety, impotence, decreased libido.



Gastrointestinal

Abdominal distention, abdominal pain/cramps, constipation, dyspepsia, diarrhea, vomiting, nausea.



Hemopoietic



Decreased leukocytes, decreased neutrophils.

Metabolism and Endocrine

Increased liver enzymes including SGPT (ALT).



Musculoskeletal System

Extremity pain, muscle cramps, gout.



Pulmonary

Dyspnea.



Postmarketing

The following adverse reactions were identified during post approval use of trandolapril. Because these reactions are reported voluntarily from a population of uncertain size, it is not always possible to reliably estimate their frequency or establish a causal relationship to drug exposure.



General Body Function

Malaise, fever.



Cardiovascular



Myocardial infarction, myocardial ischemia, angina pectoris, cardiac failure, ventricular tachycardia, tachycardia, transient ischemic attack, arrhythmia.



Central Nervous System

Cerebral hemorrhage.



Dermatologic

Alopecia, sweating, Stevens-Johnson syndrome and toxic epidermal necrolysis.



Emotional, Mental, Sexual States

Hallucination, depression.



Gastrointestinal

Dry mouth, pancreatitis, jaundice and hepatitis.



Hemopoietic

Agranulocytosis, pancytopenia.



Metabolism and Endocrine



Increased SGOT (AST).



Pulmonary

Bronchitis.



Renal and Urinary

Renal failure.

Contraindications (CONTRAINDICATIONS)


Trandolapril tablets are contraindicated in patients who are hypersensitive to this product, in patients with hereditary/idiopathic angioedema and in patients with a history of angioedema related to previous treatment with an ACE inhibitor.



Do not co-administer aliskiren with trandolapril in patients with diabetes (see PRECAUTIONS, Drug Interactions ).



Trandolapril tablets are contraindicated in combination with a neprilysin inhibitor (e.g., sacubitril). Do not administer trandolapril tablets within 36 hours of switching to or from sacubitril/valsartan, a neprilysin inhibitor (see WARNINGS ).

Drug Interactions

Dual Blockade of the Renin-Angiotensin System (RAS)



Dual blockade of the RAS with angiotensin receptor blockers, ACE inhibitors, or aliskiren is associated with increased risks of hypotension, hyperkalemia, and changes in renal function (including acute renal failure) compared to monotherapy. Most patients receiving the combination of two RAS inhibitors do not obtain any additional benefit compared to monotherapy. In general, avoid combined use of RAS inhibitors. Closely monitor blood pressure, renal function and electrolytes in patients on trandolapril and other agents that affect the RAS.



Do not co-administer aliskiren with trandolapril  in patients with diabetes. Avoid use of aliskiren with trandolapril in patients with renal impairment (GFR <60 mL/min).



Concomitant Diuretic Therapy



As with other ACE inhibitors, patients on diuretics, especially those on recently instituted diuretic therapy, may experience an excessive reduction of blood pressure after initiation of therapy with trandolapril. The possibility of exacerbation of hypotensive effects with trandolapril may be minimized by either discontinuing the diuretic or cautiously increasing salt intake prior to initiation of treatment with trandolapril. If it is not possible to discontinue the diuretic, the starting dose of trandolapril should be reduced. (See DOSAGE AND ADMINISTRATION .)



Agents Increasing Serum Potassium



Trandolapril can attenuate potassium loss caused by thiazide diuretics and increase serum potassium when used alone. Use of potassium-sparing diuretics (spironolactone, triamterene, or amiloride), potassium supplements, or potassium-containing salt substitutes concomitantly with ACE inhibitors can increase the risk of hyperkalemia. If concomitant use of such agents is indicated, they should be used with caution and with appropriate monitoring of serum potassium. (See PRECAUTIONS .)



Antidiabetic Agents  



Concomitant use of ACE inhibitors and antidiabetic medicines (insulin or oral hypoglycemic agents) may cause an increased blood glucose lowering effect with greater risk of hypoglycemia.



Lithium



Increased serum lithium levels and symptoms of lithium toxicity have been reported in patients receiving concomitant lithium and ACE inhibitor therapy. These drugs should be coadministered with caution, and frequent monitoring of serum lithium levels is recommended.  If a diuretic is also used, the risk of lithium toxicity may be increased.



Non-Steroidal Anti-Inflammatory Agents including Selective Cyclooxygenase-2 Inhibitors (COX-2 Inhibitors)



In patients who are elderly, volume-depleted (including those on diuretic therapy), or with compromised renal function, co-administration of NSAIDs, including selective COX-2 inhibitors, with ACE inhibitors, including trandolapril, may result in deterioration of renal function, including possible acute renal failure. These effects are usually reversible. Monitor renal function periodically in patients receiving trandolapril and NSAID therapy.



The antihypertensive effect of ACE inhibitors, including trandolapril may be attenuated by NSAIDs.



Gold



Nitritoid reactions (symptoms include facial flushing, nausea, vomiting and hypotension) have been reported rarely in patients on therapy with injectable gold (sodium aurothiomalate) and concomitant ACE inhibitor therapy including trandolapril.



Mammalian Target of Rapamycin (mTOR) Inhibitors



Patients taking concomitant mTOR inhibitor (e.g., temsirolimus, sirolimus, everolimus) therapy may be at increased risk for angioedema (see Warnings – Head and Neck Angioedema).



Neprilysin Inhibitor

Patients taking concomitant neprilysin inhibitors (e.g., sacubitril) may be at increased risk for angioedema (see WARNINGS ).





Other



No clinically significant pharmacokinetic interaction has been found between trandolaprilat and food, cimetidine, digoxin, or furosemide.



The anticoagulant effect of warfarin was not significantly changed by trandolapril.



The hypotensive effect of certain inhalation anesthetics may be enhanced by ACE inhibitors including trandolapril. (See PRECAUTIONS-Surgery/Anesthesia .)

Surgery/anesthesia (Surgery/Anesthesia)


In patients undergoing major surgery or during anesthesia with agents that produce hypotension, trandolapril will block angiotensin II formation secondary to compensatory renin release. If hypotension occurs and is considered to be due to this mechanism, it can be corrected by volume expansion.

Clinical Pharmacology (CLINICAL PHARMACOLOGY)

Mechanism of Action



Trandolapril is deesterified to the diacid metabolite, trandolaprilat, which is approximately eight times more active as an inhibitor of ACE activity. ACE is a peptidyl dipeptidase that catalyzes the conversion of angiotensin I to the vasoconstrictor, angiotensin II. Angiotensin II is a potent peripheral vasoconstrictor that also stimulates secretion of aldosterone by the adrenal cortex and provides negative feedback for renin secretion. The effect of trandolapril in hypertension appears to result primarily from the inhibition of circulating and tissue ACE activity thereby reducing angiotensin II formation, decreasing vasoconstriction, decreasing aldosterone secretion, and increasing plasma renin. Decreased aldosterone secretion leads to diuresis, natriuresis, and a small increase of serum potassium. In controlled clinical trials, treatment with trandolapril alone resulted in mean increases in potassium of 0.1 mEq/L. (See PRECAUTIONS .)



ACE is identical to kininase II, an enzyme that degrades bradykinin, a potent peptide vasodilator; whether increased levels of bradykinin play a role in the therapeutic effect of trandolapril remains to be elucidated.



While the principal mechanism of antihypertensive effect is thought to be through the renin-angiotensin-aldosterone system, trandolapril exerts antihypertensive actions even in patients with low-renin hypertension. Trandolapril was an effective antihypertensive in all races studied. Both black patients (usually a predominantly low-renin group) and non-black patients responded to 2 to 4 mg of trandolapril.



Pharmacokinetics and Metabolism



Pharmacokinetics

Trandolapril’s ACE-inhibiting activity is primarily due to its diacid metabolite, trandolaprilat. Cleavage of the ester group of trandolapril, primarily in the liver, is responsible for conversion. Absolute bioavailability after oral administration of trandolapril is about 10% as trandolapril and 70% as trandolaprilat. After oral trandolapril under fasting conditions, peak trandolapril levels occur at about one hour and peak trandolaprilat levels occur between 4 and 10 hours. The elimination half-life of trandolapril is about 6 hours. At steady state, the effective half-life of trandolaprilat is 22.5 hours.  Like all ACE inhibitors, trandolaprilat also has a prolonged terminal elimination phase, involving a small fraction of administered drug, probably representing binding to plasma and tissue ACE. During multiple dosing of trandolapril, there is no significant accumulation of trandolaprilat. Food slows absorption of trandolapril, but does not affect AUC or Cmax of trandolaprilat or Cmax of trandolapril.



Metabolism and Excretion



After oral administration of trandolapril, about 33% of parent drug and metabolites are recovered in urine, mostly as trandolaprilat, with about 66% in feces. The extent of the absorbed dose which is biliary excreted has not been determined. Plasma concentrations (Cmax and AUC of trandolapril and Cmax of trandolaprilat) are dose proportional over the 1 to 4 mg range, but the AUC of trandolaprilat is somewhat less than dose proportional. In addition to trandolaprilat, at least 7 other metabolites have been found, principally glucuronides or deesterification products.



Serum protein binding of trandolapril is about 80%, and is independent of concentration. Binding of trandolaprilat is concentration-dependent, varying from 65% at 1000 ng/mL to 94% at 0.1 ng/mL, indicating saturation of binding with increasing concentration.



The volume of distribution of trandolapril is about 18 liters. Total plasma clearances of trandolapril and trandolaprilat after approximately 2 mg IV doses are about 52 liters/hour and     7 liters/hour respectively. Renal clearance of trandolaprilat varies from 1 to 4 liters/hour, depending on dose.



Special Populations

Pediatric



Trandolapril pharmacokinetics have not been evaluated in patients <18 years of age.



Geriatric and Gender

Trandolapril pharmacokinetics have been investigated in the elderly (> 65 years) and in both genders. The plasma concentration of trandolapril is increased in elderly hypertensive patients, but the plasma concentration of trandolaprilat and inhibition of ACE activity are similar in elderly and young hypertensive patients. The pharmacokinetics of trandolapril and trandolaprilat and inhibition of ACE activity are similar in male and female elderly hypertensive patients.



Race



Pharmacokinetic differences have not been evaluated in different races.



Renal Insufficiency

Compared to normal subjects, the plasma concentrations of trandolapril and trandolaprilat are approximately 2-fold greater and renal clearance is reduced by about 85% in patients with creatinine clearance below 30 mL/min and in patients on hemodialysis. Dosage adjustment is recommended in renally impaired patients. (See DOSAGE AND ADMINISTRATION .)



Hepatic Insufficiency



Following oral administration in patients with mild to moderate alcoholic cirrhosis, plasma concentrations of trandolapril and trandolaprilat were, respectively, 9-fold and 2-fold greater than in normal subjects, but inhibition of ACE activity was not affected. Lower doses should be considered in patients with hepatic insufficiency. (See DOSAGE AND ADMINISTRATION .)

 

Drug Interactions



Trandolapril did not affect the plasma concentration (pre-dose and 2 hours post-dose) of oral digoxin (0.25 mg). Coadministration of trandolapril and cimetidine led to an increase of about 44% in Cmax for trandolapril, but no difference in the pharmacokinetics of trandolaprilat or in ACE inhibition. Coadministration of trandolapril and furosemide led to an increase of about 25% in the renal clearance of trandolaprilat, but no effect was seen on the pharmacokinetics of furosemide or trandolaprilat or on ACE inhibition.



Pharmacodynamics and Clinical Effects



A single 2 mg dose of trandolapril produces 70 to 85% inhibition of plasma ACE activity at 4 hours with about 10% decline at 24 hours and about half the effect manifest at 8 days. Maximum ACE inhibition is achieved with a plasma trandolaprilat concentration of 2 ng/mL. ACE inhibition is a function of trandolaprilat concentration, not trandolapril concentration. The effect of trandolapril on exogenous angiotensin I was not measured.



Hypertension



Four placebo-controlled dose response studies were conducted using once-daily oral dosing of trandolapril in doses from 0.25 to 16 mg per day in 827 black and non-black patients with mild to moderate hypertension. The minimal effective once-daily dose was 1 mg in non-black patients and 2 mg in black patients. Further decreases in trough supine diastolic blood pressure were obtained in non-black patients with higher doses, and no further response was seen with doses above 4 mg (up to 16 mg). The antihypertensive effect diminished somewhat at the end of the dosing interval, but trough/peak ratios are well above 50% for all effective doses. There was a slightly greater effect on the diastolic pressure, but no difference on systolic pressure with b.i.d. dosing. During chronic therapy, the maximum reduction in blood pressure with any dose is achieved within one week. Following 6 weeks of monotherapy in placebo-controlled trials in patients with mild to moderate hypertension, once-daily doses of 2 to 4 mg lowered supine or standing systolic/diastolic blood pressure 24 hours after dosing by an average 7 to 10/4 to 5 mmHg below placebo responses in non-black patients. Once-daily doses of 2 to 4 mg lowered blood pressure 4 to 6/3 to 4 mmHg in black patients. Trough to peak ratios for effective doses ranged from 0.5 to 0.9. There were no differences in response between men and women, but responses were somewhat greater in patients under 60 than in patients over 60 years old. Abrupt withdrawal of trandolapril has not been associated with a rapid increase in blood pressure.



Administration of trandolapril to patients with mild to moderate hypertension results in a reduction of supine, sitting and standing blood pressure to about the same extent without compensatory tachycardia.



Symptomatic hypotension is infrequent, although it can occur in patients who are salt- and/or volume-depleted. (See WARNINGS .) Use of trandolapril in combination with thiazide diuretics gives a blood pressure lowering effect greater than that seen with either agent alone, and the additional effect of trandolapril is similar to the effect of monotherapy.



Heart Failure Post Myocardial Infarction or Left Ventricular Dysfunction Post Myocardial Infarction



The Trandolapril Cardiac Evaluation (TRACE) Trial was a Danish, 27-center, double-blind, placebo controlled, parallel-group study of the effect of trandolapril on all-cause mortality in stable patients with echocardiographic evidence of left ventricular dysfunction 3 to 7 days after a myocardial infarction. Subjects with residual ischemia or overt heart failure were included. Patients tolerant of a test dose of 1 mg trandolapril were randomized to placebo (n=873) or trandolapril (n=876) and followed for 24 months. Among patients randomized to trandolapril, who began treatment on 1 mg, 62% were successfully titrated to a target dose of 4 mg once daily over a period of weeks. The use of trandolapril was associated with a 16% reduction in the risk of all-cause mortality (p=0.042), largely cardiovascular mortality. Trandolapril was also associated with a 20% reduction in the risk of progression of heart failure (p=0.047), defined by a time-to-first-event analysis of death attributed to heart failure, hospitalization for heart failure, or requirement for open-label ACE inhibitor for the treatment of heart failure. There was no significant effect of treatment on other end-points: subsequent hospitalization, incidence of recurrent myocardial infarction, exercise tolerance, ventricular function, ventricular dimensions, or NYHA class.



The population in TRACE was entirely Caucasian and had less usage than would be typical in a U.S. population of other post-infarction interventions: 42% thrombolysis, 16% beta-adrenergic blockade, and 6.7% PTCA or CABG during the entire period of follow-up. Blood pressure control, especially in the placebo group, was poor: 47 to 53% of patients randomized to placebo and 32 to 40% of patients randomized to trandolapril had blood pressures > 140/95 at 90-day follow-up visits.

Indications and Usage (INDICATIONS AND USAGE)

Hypertension

Trandolapril tablets USP are indicated for the treatment of hypertension. They may be used alone or in combination with other antihypertensive medication such as hydrochlorothiazide.



Heart Failure Post Myocardial Infarction or Left-Ventricular Dysfunction Post Myocardial Infarction



Trandolapril tablets USP are indicated in stable patients who have evidence of left-ventricular systolic dysfunction (identified by wall motion abnormalities) or who are symptomatic from congestive heart failure within the first few days after sustaining acute myocardial infarction. Administration of trandolapril to Caucasian patients has been shown to decrease the risk of death (principally cardiovascular death) and to decrease the risk of heart failure-related hospitalization (see  CLINICAL PHARMACOLOGY -Heart Failure or Left-Ventricular Dysfunction Post Myocardial Infarction for details of the survival trial).

Warning: Fetal Toxicity (WARNING: FETAL TOXICITY)
  • When pregnancy is detected, discontinue trandolapril as soon as possible.
  • Drugs that act directly on the renin-angiotensin system can cause injury and death to the developing fetus. (See WARNINGS: Fetal Toxicity.)
Head and Neck Angioedema

In controlled trials ACE inhibitors (for which adequate data are available) cause a higher rate of angioedema in black than in non-black patients.



Angioedema of the face, extremities, lips, tongue, glottis, and larynx has been reported in patients treated with ACE inhibitors including trandolapril. Symptoms suggestive of angioedema or facial edema occurred in 0.13% of trandolapril-treated patients. Two of the four cases were life-threatening and resolved without treatment or with medication (corticosteroids). Angioedema associated with laryngeal edema can be fatal. If laryngeal stridor or angioedema of the face, tongue or glottis occurs, treatment with trandolapril should be discontinued immediately, the patient treated in accordance with accepted medical care and carefully observed until the swelling disappears. In instances where swelling is confined to the face and lips, the condition generally resolves without treatment; antihistamines may be useful in relieving symptoms. Where there is involvement of the tongue, glottis, or larynx, likely to cause airway obstruction, emergency therapy, including but not limited to subcutaneous epinephrine solution 1:1,000 (0.3 to 0.5 mL) should be promptly administered. (See  PRECAUTIONS - Information for Patients and ADVERSE REACTIONS .)



Patients receiving coadministration of an ACE inhibitor with an mTOR (mammalian target of rapamycin) inhibitor (e.g., temsirolimus, sirolimus, everolimus) or a neprilysin inhibitor (e.g., sacubitril) may be at increased risk for angioedema.



Intestinal Angioedema



Intestinal angioedema has been reported in patients treated with ACE inhibitors. These patients presented with abdominal pain (with or without nausea or vomiting); in some cases there was no prior history of facial angioedema and C-1 esterase levels were normal. The angioedema was diagnosed by procedures including abdominal CT scan or ultrasound, or at surgery, and symptoms resolved after stopping the ACE inhibitor. Intestinal angioedema should be included in the differential diagnosis of patients on ACE inhibitors presenting with abdominal pain.

Hypotension



Trandolapril can cause symptomatic hypotension. Like other ACE inhibitors, trandolapril has only rarely been associated with symptomatic hypotension in uncomplicated hypertensive patients. Symptomatic hypotension is most likely to occur in patients who have been salt- or volume-depleted as a result of prolonged treatment with diuretics, dietary salt restriction, dialysis, diarrhea, or vomiting. Volume and/or salt depletion should be corrected before initiating treatment with trandolapril. (See  PRECAUTIONS - Drug Interactions and ADVERSE REACTIONS .) In controlled and uncontrolled studies, hypotension was reported as an adverse event in 0.6% of patients and led to discontinuations in 0.1% of patients.



In patients with concomitant congestive heart failure, with or without associated renal insufficiency, ACE inhibitor therapy may cause excessive hypotension, which may be associated with oliguria or azotemia, and rarely, with acute renal failure and death. In such patients, trandolapril therapy should be started at the recommended dose under close medical supervision. These patients should be followed closely during the first 2 weeks of treatment and, thereafter, whenever the dosage of trandolapril or diuretic is increased. (see DOSAGE AND ADMINISTRATION .) Care in avoiding hypotension should also be taken in patients with ischemic heart disease, aortic stenosis, or cerebrovascular disease.



If symptomatic hypotension occurs, the patient should be placed in the supine position and, if necessary, normal saline may be administered intravenously. A transient hypotensive response is not a contraindication to further doses; however, lower doses of trandolapril or reduced concomitant diuretic therapy should be considered.



Neutropenia/Agranulocytosis



Another ACE inhibitor, captopril, has been shown to cause agranulocytosis and bone marrow depression rarely in patients with uncomplicated hypertension, but more frequently in patients with renal impairment, especially if they also have a collagen-vascular disease such as systemic lupus erythematosus or scleroderma. Available data from clinical trials of trandolapril are insufficient to show that trandolapril does not cause agranulocytosis at similar rates. As with other ACE inhibitors, periodic monitoring of white blood cell counts in patients with collagen-vascular disease and/or renal disease should be considered.

Hepatic Failure



ACE inhibitors rarely have been associated with a syndrome of cholestatic jaundice, fulminant hepatic necrosis, and death. The mechanism of this syndrome is not understood. Patients receiving ACE inhibitors who develop jaundice should discontinue the ACE inhibitor and receive appropriate medical follow-up.

Information for Patients


Angioedema



Angioedema, including laryngeal edema, may occur at any time during treatment with ACE inhibitors, including trandolapril. Patients should be so advised and told to report immediately any signs or symptoms suggesting angioedema (swelling of face, extremities, eyes, lips, tongue, difficulty in swallowing or breathing) and to stop taking the drug until they have consulted with their physician. (See WARNINGS and ADVERSE REACTIONS .)



Symptomatic Hypotension



Patients should be cautioned that light-headedness can occur, especially during the first days of trandolapril therapy, and should be reported to a physician. If actual syncope occurs, patients should be told to stop taking the drug until they have consulted with their physician. (See WARNINGS .)



All patients should be cautioned that inadequate fluid intake, excessive perspiration, diarrhea, or vomiting, resulting in reduced fluid volume, may precipitate an excessive fall in blood pressure with the same consequences of light-headedness and possible syncope.



Patients planning to undergo any surgery and/or anesthesia should be told to inform their physician that they are taking an ACE inhibitor that has a long duration of action.



Hyperkalemia



Patients should be told not to use potassium supplements or salt substitutes containing potassium without consulting their physician. (See PRECAUTIONS .)



Neutropenia



Patients should be told to report promptly any indication of infection (e.g., sore throat, fever) which could be a sign of neutropenia.



Pregnancy



Female patients of childbearing age should be told about the consequences of exposure to trandolapril during pregnancy. Discuss treatment options with women planning to become pregnant. Patients should be asked to report pregnancies to their physicians as soon as possible.



NOTE:As with many other drugs, certain advice to patients being treated with trandolapril is warranted. This information is intended to aid in the safe and effective use of this medication. It is not a disclosure of all possible adverse or intended effects.

Dosage and Administration (DOSAGE AND ADMINISTRATION)

Hypertension



The recommended initial dosage of trandolapril tablets for patients not receiving a diuretic is 1 mg once daily in non-black patients and 2 mg in black patients. Dosage should be adjusted according to the blood pressure response. Generally, dosage adjustments should be made at intervals of at least 1 week. Most patients have required dosages of 2 to 4 mg once daily. There is little clinical experience with doses above 8 mg.



Patients inadequately treated with once-daily dosing at 4 mg may be treated with twice-daily dosing. If blood pressure is not adequately controlled with trandolapril tablets monotherapy, a diuretic may be added.



In patients who are currently being treated with a diuretic, symptomatic hypotension occasionally can occur following the initial dose of trandolapril tablets. To reduce the likelihood of hypotension, the diuretic should, if possible, be discontinued two to three days prior to beginning therapy with trandolapril tablets. (See WARNINGS .) Then, if blood pressure is not controlled with trandolapril tablets alone, diuretic therapy should be resumed. If the diuretic cannot be discontinued, an initial dose of 0.5 mg trandolapril tablets should be used with careful medical supervision for several hours until blood pressure has stabilized. The dosage should subsequently be titrated (as described above) to the optimal response. (See WARNINGS PRECAUTIONS and Drug Interactions .)



Concomitant administration of trandolapril tablets with potassium supplements, potassium salt substitutes, or potassium sparing diuretics can lead to increases of serum potassium. (See PRECAUTIONS .)

Heart Failure Post Myocardial Infarction or Left-Ventricular Dysfunction Post Myocardial Infarction



The recommended starting dose is 1 mg, once daily. Following the initial dose, all patients should be titrated (as tolerated) toward a target dose of 4 mg, once daily. If a 4 mg dose is not tolerated, patients can continue therapy with the greatest tolerated dose.

Clinical Laboratory Test Findings


Hematology



Thrombocytopenia.



Serum Electrolytes



Hyponatremia.



Creatinine and Blood Urea Nitrogen



Increases in creatinine levels occurred in 1.1% of patients receiving trandolapril alone and 7.3% of patients treated with trandolapril, a calcium ion antagonist and a diuretic. Increases in blood urea nitrogen levels occurred in 0.6% of patients receiving trandolapril alone and 1.4% of patients receiving trandolapril, a calcium ion antagonist, and a diuretic. None of these increases required discontinuation of treatment.  Increases in these laboratory values are more likely to occur in patients with renal insufficiency or those pretreated with a diuretic and, based on experience with other ACE inhibitors, would be expected to be especially likely in patients with renal artery stenosis. (See PRECAUTIONS and WARNINGS .)



Liver Function Tests



Occasional elevation of transaminases at the rate of 3X upper normals occurred in 0.8% of patients and persistent increase in bilirubin occurred in 0.2% of patients. Discontinuation for elevated liver enzymes occurred in 0.2% of patients.



Other
 



Another potentially important adverse experience, eosinophilic pneumonitis, has been attributed to other ACE inhibitors.

Carcinogenesis, Mutagenesis, Impairment of Fertility


Long-term studies were conducted with oral trandolapril administered by gavage to mice (78 weeks) and rats (104 and 106 weeks).  No evidence of carcinogenic potential was seen in mice dosed up to 25 mg/kg/day (85 mg/m2/day) or rats dosed up to 8 mg/kg/day (60 mg/m2/day). These doses are 313 and 32 times (mice), and 100 and 23 times (rats) the maximum recommended human daily dose (MRHDD) of 4 mg based on body-weight and body-surface-area, respectively assuming a 50 kg individual. The genotoxic potential of trandolapril was evaluated in the microbial mutagenicity (Ames) test, the point mutation and chromosome aberration assays in Chinese hamster V79 cells, and the micronucleus test in mice. There was no evidence of mutagenic or clastogenic potential in these in vitro and in vivo assays.



Reproduction studies in rats did not show any impairment of fertility at doses up to 100 mg/kg/day (710 mg/m2/day) of trandolapril, or 1250 and 260 times the MRHDD on the basis of body-weight and body-surface-area, respectively.

Dosage Adjustment in Renal Impairment Or Hepatic Cirrhosis (Dosage Adjustment in Renal Impairment or Hepatic Cirrhosis)


For patients with a creatinine clearance <30 mL/min. or with hepatic cirrhosis, the recommended starting dose, based on clinical and pharmacokinetic data, is 0.5 mg daily. Patients should subsequently have their dosage titrated (as described above) to the optimal response.

Package Label Principal Display Panel 1 Mg (100 Tablet Bottle) (PACKAGE LABEL-PRINCIPAL DISPLAY PANEL - 1 mg (100 Tablet Bottle))


Rising®         NDC 57237-089-01

Trandolapril

Tablets USP


1 mg

100 Tablets          Rx only









Package Label Principal Display Panel 2 Mg (100 Tablet Bottle) (PACKAGE LABEL-PRINCIPAL DISPLAY PANEL - 2 mg (100 Tablet Bottle))


Rising®             NDC 57237-090-01

Trandolapril

Tablets USP


2 mg

100 Tablets              Rx only



Package Label Principal Display Panel 4 Mg (100 Tablet Bottle) (PACKAGE LABEL-PRINCIPAL DISPLAY PANEL - 4 mg (100 Tablet Bottle))


Rising®           NDC 57237-091-01

Trandolapril

Tablets USP


4 mg

100 Tablets        Rx only




Advanced Ingredient Data


Raw Label Data

All Sections (JSON)